Irrigazine #82

Page 1

No dia nacional da agricultura irrigada, 15 de junho, ocorreu uma extensa agenda em comemoração à data, principalmente em Brasília. Nas redes sociais também vimos muitas manifestações de apoio, o que demonstra a mobilização do setor. Relendo uma projeção apontada no Atlas Irrigação 2ª. ed., 2021 (ANA) a agricultura irrigada deverá crescer bastante no país, passando de 8,2Mha para 12,4Mha até 2040. Será que podemos fazer melhor? Não seria importante encarar o desafio e traçar políticas e estratégias para encurtar esse tempo? Quem sabe, irrigar 100 % do potencial efetivo do país (13,7Mha) até 2030. Seria ousado demais? Se considerarmos que nos últimos anos a área incorporada saltou de 200mil ha/ano para 400mil ha/ano, apenas por pressão da demanda, talvez não seja um desafio muito difícil de cumprir. Mais importante é manter e aprofundar estes estudos liderados pela ANA.

Nesta edição trazemos um importante trabalho da Comissão de Estudos de Sistemas de Irrigação e Drenagem, apresentado pelo Coordenador da Comissão Antônio Pires de Camargo. O objetivo do artigo é divulgar as normas ISSO que já estão disponíveis, em português, no catálogo da ABNT.

Lineu Neiva Rodrigues, traz dois lançamentos em comemoração ao Dia Nacional da Agricultura Irrigada. O primeiro é o livro “Agricultura Irrigada no Cerrado”, o segundo é a plataforma de conhecimento sobre agricultura irrigada Wikirriga.

Daniel Pedroso, em seu artigo, explica como a agricultura irrigada é uma aliada fundamental para a redução na emissão de carbono.

Caio de Andrade Pariz apresenta o sistema AgronewControl, uma plataforma que integra diversos recursos de controle, automação e monitoramento, de forma fácil e na palma da mão.

José Giacoia Neto, finaliza com o último capítulo desta série, “O Kc em paisagismo - parte IV”. Neste capítulo, o cálculo de um mix de plantas em plantio denso e de plantio espaçado.

Boa leitura!

DENIZART VIDIGAL

Diretor

DIREÇÃO

Denizart Pirotello Vidigal denizart@irrigazine.com.br

JORNALISTA

Bruna de Oliveira Fernandes MTB 81204/SP

COLABORAÇÃO

Antonio Pires de Camargo

Caio de Andrade Pariz

Daniel Pedroso

Lineu Neiva Rodrigues

José Giacoia Neto

EDITORAÇÃO E CAPA

André Feitosa

PRODUÇÃO/PROJETO GRÁFICO

Interação - Comunicação e Design FOTOS Divulgação| Arquivos Pessoais

Assessoria de Imprensa

REVISÃO

Denizart Vidigal Barufe

CONTATO

Comercial e Editora AGROS Ltda.

Fone: (17) 3046-3204 comercial@irrigazine.com.br

ASSINATURAS

Débora Pirotello Vidigal revista@irrigazine.com.br

Acesse irrigazine na internet: www.irrigazine.com.br

A Revista Irrigazine não se responsabiliza pelo conteúdo dos artigos assinados o pelas opiniões emitidas pelos entrevistados, fontes e dos anúncios publicitários.

“Esforça-te, e tem bom ânimo; não temas, nem te espantes; porque o SENHOR teu Deus é contigo, por onde quer que andares.”

Josué 1:9

04 Junho | 2023 Editorial

Notícias 12

Comisão divulga normas ISO sobre equipamentos de irrigação agrícola publicadas pela ABNT

A Comissão de Estudo (CE) de Sistemas de Irrigação e Drenagem (CE-203:018) é composta por especialistas representantes do setor acadêmico, industrial e de usuários de sistemas de irrigação e drenagem.

Infoeditorial

24

Controle de alto nível em grandes sistemas

O setor do agronegócio enfrenta a cada dia novos desafios como a necessidade de melhorar e aumentar a produção de maneira sustentável, fazendo o uso racional de recursos limitados como a água e de insumos que impactam o meio ambiente como fertilizantes e defensivos.

Artigos

21

Por elevar em até 50% a produtividade, agricultura irrigada é aliada fundamental para a redução de emissão de carbono

O “Kc” em Paisagismo - Parte IV

05 Índice 07 Agenda 08 Conta
Gotas
Junho | 2023
27
07 Junho | 2023

Estão abertas as inscrições para o Congresso Brasileiro de Engenharia Agrícola

- CONBEA 2023

As inscrições para o Congresso Brasileiro de Engenharia Agrícola – CONBEA 2023 já estão abertas. O evento acontecerá no período de 18 a 21 de outubro de 2023, no Centro de Convenções de Ribeirão Preto - SP, o LII Congresso Brasileiro de Engenharia Agrícola – CONBEA 2023, que tem como objetivos difundir e discutir temas relacionados à Engenharia Agrícola e sua relação com a agricultura e a sociedade.

O tema desta edição é “Ciências agrárias na segurança

alimentar, hídrica e tecnológica”.

Realizado anualmente pela Associação Brasileira de Engenharia Agrícola – SBE, o CONBEA, apresenta-se como fórum multidisciplinar que se desenvolve por meio de sessões técnicas, apresentação de trabalhos e resultados de pesquisas relevantes nos formatos pôster e oral (com premiação dos melhores trabalhos), conferências de especialistas, mesasredondas, representando rara oportunidade para a efetiva troca de experiências entre os profissionais de diferentes áreas de atuação e conhecimento.

O uso de energia solar pode reduzir até 80% do custo operacional com irrigação

O Brasil está caminhando para dar mais um passo rumo à sustentabilidade. Com 8,2 milhões de hectares irrigados, vai poder substituir motores à diesel por fontes limpas de energia, como o lítio, para rodar os sistemas de pivô central, o mais utilizado na irrigação de grandes áreas com monocultura de grãos.

Essa solução foi apresentada durante a Bahia Farm Show pela Bauer do Brasil e Micropower. A tecnologia promete reduzir em até 80% o uso do combustível fóssil, evitando até 150 toneladas de CO² ao ano emitidas com irrigação. Além disso, se mostra como um recurso importante na irrigação que, em algumas regiões, é fundamental para viabilizar a produção.

De acordo com o CO-CEO da Bauer do Brasil, Rodrigo Parada, a proposta da empresa foi desenvolver uma solução de irrigação que abranja todo o processo, incluindo a disponibilidade de energia, desde a aquisição dos equipamentos até o funcionamento do sistema de irrigação.

“Permitimos hoje que uma fazenda opere em locais sem disponibilidade de rede elétrica, sem depender diretamente de recursos externos e que possa aumentar a produtividade com um custo baixo ao produtor rural”, explica o executivo. “A grande sacada com a energia solar é o incremento da bateria, onde se pode gerenciar a energia de tal maneira que,

em alguns casos, nem precisa do diesel”, explica o engenheiro comercial da Micropower, Eugênio Gorgulho.

Investimento

Apesar de custar quatro vezes mais do que os sistemas à diesel, a economia com o combustível gerada pelo uso da energia solar, segundo a empresa, permite ter um retorno sobre o valor investido em até três anos. “Com o diesel a R$ 7, em três anos usando o combustível, você vai gastar a mesma coisa que o investimento na bateria de energia solar, só que com e ela roda três anos ainda”, detalha Gorgulho. Ele vê o oeste baiano como uma “cereja do bolo” do mercado de energia solar no Brasil.

Apesar de custar 4 vezes mais do que os sistemas à diesel, a economia com o combustível permite ter um retorno sobre o valor investido em até três anos

e Imagem: Valor Econômico

08 Junho | 2023
Informações

Eduardo Navarro é reeleito presidente da Câmara Setorial de Equipamentos de Irrigação da ABIMAQ

Eduardo Porto Navarro foi reeleito presidente da Câmara Setorial de Equipamentos de Irrigação (CSEI), da Associação Brasileira da Indústria de Máquinas e Equipamentos (Abimaq) e assume a gestão do biênio 2023/2025 com os vice-presidentes Cristiano Del Nero, Antonio Alfredo Teixeira Mendes, Laércio José Lavor, Luiz Paulo Heimpel e Marcos Orlando Germek.

A cerimônia de posse aconteceu no dia 03 de maio na Agrishow 2023 – 28ª Feira Internacional de Tecnologia Agrícola em Ação.

A CSEI apoia o desenvolvimento de agricultura sustentável com o uso inteligente dos recursos naturais graças à tecnologia agregada aos modernos sistemas de irrigação. Este trabalho ajuda a impulsionar o crescimento do setor e do país, pautando-se em ações como o levantamento da área irrigada e linhas de financiamento específicas e direcionadas como o Programa de Financiamento da Agricultura Irrigada (Proirriga).

“O Brasil precisa aumentar a produção de alimentos para exportação sem afetar o meio ambiente e sem expandir área plantada e um dos caminhos para isso é a irrigação. A CSEI

tem realizado um excelente trabalho de esclarecimento sobre irrigação e o uso da água de maneira consciente para melhorar a produtividade na agricultura”, observou José Velloso, presidente executivo da Abimaq.

Eduardo Navarro reforçou o apoio da Abimaq ao trabalho da Câmara e ressaltou a educação como um dos focos de atuação da CSEI. “A irrigação é uma tecnologia que cresce 30% ao ano e rompeu a barreira dos 400 mil hectares irrigados no ano passado. Quando se ultrapassa patamares como esse, dificilmente se volta atrás. A indústria da irrigação está preparada para esse crescimento, temos recursos, inclusive os naturais como a água, mas ainda há um trabalho a ser feito na desburocratização do investimento nessa tecnologia”, enfatizou.

Navarro ressaltou ainda que a agricultura irrigada é a única tecnologia que entrega dois dígitos de produtividade a partir do momento em que se investe nela e será, certamente, a quarta revolução na agricultura. “Não precisamos abrir mais terras, derrubar mais árvores para aumentar a produtividade e fazer nosso papel na garantia de segurança alimentar para o mundo. Somos uma tecnologia limpa que cuida do meio ambiente e precisamos falar mais sobre isso”.

09 Junho | 2023
Diretoria da CSEI foi reeleita para a gestão do biênio 2023/2025 informações e foto: Assessoria de Imprensa

Livro sobre agricultura irrigada no cerrado é lançado em 15 de junho

O Dia da Agricultura Irrigada é comemorado no dia 15 junho. Em comemoração à esta data, será lançado o livro “Agricultura Irrigada no Cerrado: subsídios para o desenvolvimento sustentável”.

O objetivo do livro é apresentar informações essenciais para o desenvolvimento da agricultura irrigada na região do Cerrado. Nessa primeira edição, o livro foi organizado em sete capítulos. É possível ver na capa do livro o destaque na região do Cerrado. Com área de aproximadamente 200 milhões de hectares, representando 24% do território brasileiro, o Cerrado foi fundamental para a ascensão da agricultura brasileira ao cenário internacional. Nos últimos anos, tem-se observado um crescimento contínuo da agricultura irrigada na região, que já concentra aproximadamente 80% dos pivôs centrais existentes no país. Por outro lado, observa-se o aumento das disputas pelo uso de água, trazendo desafios para o crescimento da agricultura irrigada na região.

Além do Cerrado, a capa traz como elemento central, um esquema representativo do nexo água-energia-alimento, sendo a irrigação elemento central desse quebra cabeça, pois é dependente da água e da energia e estratégica para a produção de alimentos.

O objetivo do livro é apresentar informações essenciais para o desenvolvimento da agricultura irrigada na região do Cerrado Foto: Arquivo pessoal

Alimento e água são elementos essenciais para a existência humana e, juntamente com a energia, são indispensáveis para o desenvolvimento da economia, redução da pobreza e melhoria da qualidade de vida das pessoas.

De acordo com Lineu Neiva Rodrigues – autor do livro, “esperase que este material possa ser utilizado por diversos setores da sociedade, servindo de subsídios para o desenvolvimento sustentável da agricultura irrigada na região”.

Junho | 2023

Comissão divulga normas ISO sobre equipamentos de irrigação agrícola publicadas pela ABNT

A Comissão de Estudo (CE) de Sistemas de Irrigação e Drenagem (CE-203:018) é composta por especialistas representantes do setor acadêmico, industrial e de usuários de sistemas de irrigação e drenagem. Essa Comissão atua na elaboração e revisão de normas técnicas nacionais (ABNT NBR) e internacionais (ISO).

Antonio Pires de Camargo é o Coordenador da Comissão de Estudo de Equipamentos e Sistemas de Irrigação e Drenagem da ABNT (ABNT/CE-203:018.001). Além de ser Professor Associado na Faculdade de Engenharia Agrícola (FEAGRI/ UNICAMP). Desenvolve atividades nas áreas de engenharia de irrigação, processos de obstrução de emissores em micro irrigação, processos de filtragem e instrumentação.

No âmbito internacional, a Comissão atua juntamente com o Comitê Técnico ISO/TC 23/SC 18 estabelecido pela Organização Internacional de Normalização (ISO) para desenvolver e promover padrões internacionais relacionados a equipamentos e sistemas de irrigação e drenagem.

O objetivo principal do comitê é estabelecer requisitos técnicos mínimos de fabricação, operação e/ou desempenho de equipamentos e sistemas. Com isso busca-se garantir a operação segura, confiável e eficiente de sistemas de irrigação e drenagem.

O comitê ISO/TC 23/SC 18 é composto por especialistas de diferentes países, incluindo fabricantes, projetistas, consultores e acadêmicos, que colaboram para desenvolver normas que atendam às necessidades do setor. O trabalho do comitê abrange uma ampla variedade de tópicos relacionados à irrigação e drenagem, incluindo requisitos de fabricação, projeto, instalação, operação, manutenção e desempenho de sistemas, bem como os materiais e equipamentos usados nesses sistemas.

Esse texto foi elaborado pelos membros da Comissão de Estudo (CE) de Sistemas de Irrigação e Drenagem e tem como objetivo divulgar as normas ISO, que já estão disponíveis em português no catálogo da ABNT.

Abaixo o professor Antônio Camargo apresenta as normas já traduzidas e um breve resumo da aplicação de cada documento.

ABNT NBR ISO 7714:2020 Equipamentos de irrigação agrícola - Válvulas volumétricas - Requisitos gerais e métodos de ensaio

Especifica os requisitos gerais e os métodos de ensaio para válvulas volumétricas capazes de fornecer automaticamente quantidades pré-ajustadas de água. Se aplica às válvulas acionadas por pressão e vazão disponível na própria tubulação, de forma isolada, dispensando qualquer outra fonte de energia externa.

ABNT NBR ISO 8026:2016 Equipamentos de irrigação agrícola - Sprayers - Requisitos gerais e métodos de ensaio

Especifica os requisitos gerais e métodos de ensaio para sprayers de irrigação, destinados para instalação em linhas laterais de irrigação. Um sprayer de irrigação é um dispositivo que descarrega água na forma de jatos finos ou na forma de leque sem movimento rotativo das suas partes.

ABNT ISO TR 8059:2020 Equipamentos de irrigaçãoSistemas de irrigação automáticos - Controle hidráulico

Trata dos sistemas de irrigação automatizados com base em dispositivos hidráulicos que utilizam somente a energia que pode ser obtida da água no sistema de irrigação. Este documento fornece definições e uma classificação desses sistemas.

ABNT NBR ISO 9261:2006 Equipamentos de irrigação agrícola - Emissores e tubos emissores - Especificação e métodos de ensaio

Estabelece os requisitos mecânicos e funcionais para emissores e tubo-emissores para irrigação agrícola e, quando aplicável, suas conexões, além de estabelecer métodos de ensaios de conformidade com os requisitos. Também especifica os dados a serem fornecidos pelo fabricante para permitir corretas informação, instalação e operação no campo.

ABNT NBR ISO 9635-1:2017 Equipamentos de irrigação agrícola - Válvulas de irrigação - Parte 1: Requisitos gerais

12 Junho | 2023

Especifica os requisitos de construção e desempenho e os métodos de ensaio para válvulas destinadas para operação em sistemas de irrigação com água em temperaturas não superiores a 60 °C, que podem conter fertilizantes e outros produtos químicos de tipos e em concentrações geralmente utilizados na irrigação.

ABNT NBR ISO 9635-2:2017 Equipamentos de irrigação agrícola - Válvulas de irrigação - Parte 2: Válvulas isolantes

Se aplica às válvulas isolantes de irrigação, de diâmetro nominal DN 8 ou superior, projetadas para operar nas posições totalmente aberta e totalmente fechada, podendo ainda operar por longos períodos em qualquer posição intermediária.

ABNT NBR ISO 9635-3:2018 Equipamentos de irrigação agrícola — Válvulas de irrigação - Parte 3: Válvulas de retenção

Se aplica às válvulas de retenção para irrigação operadas hidraulicamente, com diâmetro DN 15 ou superior, projetadas para operar nas posições totalmente aberta e totalmente fechada, podendo ainda operar por longos períodos em qualquer posição intermediária.

ABNT NBR ISO 9635-4:2018 Equipamentos de irrigação agrícola - Válvulas de irrigação - Parte 4: Válvulas de ar

Se aplica às válvulas de ar para irrigação operadas hidraulicamente, com diâmetro DN 15 ou superior. As válvulas podem ser operadas por uma força aplicada ao obturador pela boia, por articulação mecânica, ou por meio de um piloto ajustável.

ABNT NBR ISO 9635-5:2018 Equipamentos de irrigação agrícola - Válvulas de irrigação - Parte 5: Válvulas de controle

Se aplica às válvulas de controle para irrigação operadas hidraulicamente, com diâmetro DN 15 ou superior, projetadas para operar em qualquer posição, de totalmente aberta até totalmente fechada. As válvulas podem ser operadas diretamente (ou seja, a força é aplicada por meio de uma mola ou diafragma no obturador) ou operadas por piloto ajustável.

ABNT NBR ISO 9644:2020 Equipamentos de irrigação agrícola - Perdas de pressão em válvulas de irrigaçãoMétodo de ensaio

Especifica método de ensaio para determinar a perda de pressão em válvulas de irrigação agrícola operadas em condições de escoamento permanente. A medição das perdas

de pressão fornece um meio para determinar a relação entre perda de pressão e vazão através da válvula, sendo uma informação essencial para projetistas de sistemas de irrigação.

ABNT NBR ISO 10522:2022 Equipamentos de irrigação agrícola - Válvulas reguladoras de pressão de ação direta

Especifica os requisitos de construção e de desempenho, bem como os métodos de ensaio para válvulas reguladoras de pressão de ação direta (reguladores de pressão), destinadas à operação em sistemas de irrigação, com água em temperaturas não superiores a 60 °C, que podem conter fertilizantes e produtos químicos de tipos e em concentrações geralmente utilizados na irrigação agrícola.

ABNT NBR ISO 11545:2016 Equipamentos de irrigação agrícola - Máquinas de irrigação pivô central e linear móvel, equipadas com sprayers ou aspersoresDeterminação da uniformidade de distribuição de água

Especifica um método de campo para determinação da uniformidade de distribuição de pivô central e linear móvel com sprayers ou aspersores. O cálculo do coeficiente de uniformidade também é especificado.

ABNT NBR ISO 11738:2022 Equipamentos de irrigação agrícola - Cabeçais de controle

Especifica os requisitos para os componentes e o método de instalação de cabeçais de controle de sistemas de irrigação pressurizados (aspersão e irrigação localizada). É aplicável a cabeçal de controle básico para irrigação, no qual componentes de controle e comando de irrigação podem ser montados.

ABNT NBR ISO 13457:2022 Equipamentos de irrigação agrícola - Bombas injetoras de produtos químicos acionadas a água

Especifica a construção, os requisitos operacionais e os métodos de ensaio para bombas injetoras de produtos químicos acionadas a água. Essas bombas são utilizadas para injetar produtos químicos em sistemas de irrigação. Os produtos químicos incluem fertilizantes líquidos e soluções de fertilizantes e outros produtos químicos agrícolas solúveis, como ácidos e pesticidas.

ABNT NBR ISO 13460-1:2021 Equipamentos de irrigação agrícola - Colares de tomada plásticos - Parte 1: Tubos pressurizados de polietileno

Especifica as propriedades e os métodos de ensaio requeridos para os colares de tomada plásticos, utilizados na

13 Junho | 2023

montagem de tubos pressurizados de polietileno. É aplicável a componentes de sistemas de irrigação instalados acima do solo e subterrâneos, que transportam água em temperaturas não superiores a 50 °C.

ABNT NBR ISO 13693-1:2021 Equipamentos de irrigação - Dispositivos de segurança para quimigaçãoParte 1: Válvulas pequenas de plástico para quimigação

Especifica os requisitos gerais e métodos de ensaio para válvulas pequenas com corpo de plástico utilizadas em quimigação, destinadas à operação em sistemas de irrigação pressurizados que podem conter fertilizantes e produtos químicos do tipo e da concentração utilizados na agricultura.

ABNT NBR ISO 13693-2:2021 Equipamentos de irrigação - Dispositivos de segurança para quimigação - Parte 2: Conjunto de válvulas para quimigação de DN 75 (3”) a DN 350 (14”)

Especifica os requisitos de construção e de desempenho e os métodos de ensaio de válvulas de corpo metálico para quimigação, com água em temperaturas não superiores a 50 °C, que podem conter fertilizantes e produtos químicos dos tipos e concentrações utilizados na agricultura.

ABNT NBR ISO 15081:2015 Equipamento agrícola - Símbolos gráficos para sistemas de irrigação pressurizados

Estabelece os símbolos gráficos para uso em desenhos e diagramas relativos à instalação de sistemas de irrigação agrícola pressurizados.

ABNT ISO TR 15155-1:2020 Equipamentos de irrigação agrícola - Instalações de ensaio para equipamentos de irrigação agrícola - Parte 1: Generalidades

Fornece diretrizes para o projeto, seleção, instalação e uso dos equipamentos requeridos para estabelecer instalações básicas de ensaio para avaliação dos equipamentos de irrigação. Este documento fornece as informações suficientes para complementar os procedimentos incluídos em diversas normas para o ensaio de componentes do sistema de irrigação agrícola, especificamente aquelas relacionadas a emissores, aspersores, válvulas, sprayers e medidores de água.

ABNT ISO TR 15155-2:2020 Equipamentos de irrigação agrícola - Instalações de ensaio para equipamentos de irrigação agrícola - Parte 2: Manual de operação da instalação de ensaio

Fornece orientações sobre a operação de instalações de

ensaio básicas para avaliação de equipamentos de irrigação, incluindo aspectos básicos para implementar os procedimentos detalhados em diversas normas para o ensaio de componentes do sistema de irrigação agrícola.

ABNT NBR ISO 15873:2021 Equipamentos de irrigação - Injetores de aditivos líquidos do tipo Venturi

Especifica a construção, os requisitos operacionais e os métodos de ensaio para injetores de aditivo líquido tipo Venturi de pressão diferencial. Esse é um componente de sistemas utilizado para injetar produtos químicos, incluindo fertilizantes líquidos, soluções líquidas de fertilizantes solúveis em água, ácidos, produtos cáusticos, pesticidas, herbicidas e outros aditivos líquidos, em sistemas de irrigação.

ABNT NBR ISO 15886-1:2017 Equipamentos de irrigação agrícola – Aspersores - Parte 1: Definição de termos e classificação

Define os termos relativos a aspersores e especifica a classificação de aspersores de acordo com as seguintes categorias: fatores físicos; características da aspersão de água; mecanismo de operação e distribuição de água; mecanismo de vedação; uso pretendido; funções adicionais incorporadas no aspersor. O escopo é intencionalmente amplo para abranger a maior faixa possível de construção, desempenho e alternativas de uso pretendido do aspersor.

ABNT NBR ISO 15886-2:2022 Equipamentos de irrigação agrícola – Aspersores - Parte 2: Requisitos de projeto e operação

Especifica o projeto e os requisitos operacionais de aspersores de irrigação e seus métodos de ensaio.

ABNT NBR ISO 15886-3:2022 Equipamentos de irrigação agrícola – Aspersores - Parte 3: Caracterização de distribuição e métodos de ensaio

Especifica as condições e os métodos utilizados para ensaio e caracterização dos padrões de distribuição de água de aspersores de irrigação.

ABNT NBR ISO 15886-4:2021 Equipamentos de irrigação - Aspersores para irrigação Parte 4: Métodos de ensaio de durabilidade

Especifica as condições e os métodos de ensaio de durabilidade de aspersores rotativos para irrigação.

ABNT NBR ISO 16399:2016 Medidores de água para irrigação

14 Junho | 2023

Aplicável aos medidores de água destinados ao uso em irrigação, independentemente da qualidade da água utilizada para esta finalidade. A norma especifica os requisitos e procedimentos para avaliar medidores de água, independentemente das tecnologias de projeto utilizadas para medir o volume real de água fria ou água quente que flui através de um conduto fechado completamente cheio. Estes medidores de água incorporam dispositivos que indicam o volume total escoado em dado intervalo de tempo.

ABNT NBR ISO 18471:2017 Equipamentos de irrigação agrícola - Filtros - Verificação do grau de filtragem

Especifica um método de ensaio para a verificação do grau de filtragem de filtros destinados à operação em sistemas de irrigação agrícola. A norma destina-se a ser utilizada para verificação da declaração de grau de filtragem informado pelo fabricante do filtro.

ABNT NBR ISO 24649:2022 Equipamentos de irrigação

agrícola - Válvulas de plástico operadas manual e hidraulicamente

Estabelece os requisitos gerais e métodos de ensaio para válvulas de plástico operadas manual e hidraulicamente, destinadas ao uso em sistemas de irrigação agrícola.

As normas ABNT NBR ISO podem ser adquiridas por qualquer pessoa via internet no seguinte site: https://www.abntcatalogo.com.br/

15 Junho | 2023
O objetivo principal do comitê é estabelecer requisitos técnicos mínimos de fabricação, operação e desempenho de equipamentos e sistemas de irrigação e drenagem | Foto: Divulgação Antonio Pires de Camargo Coordenador da Comissão de Estudos

Wikirriga: plataforma de conhecimento sobre agricultura irrigada aberta à sociedade

Por Lineu Neiva Rodrigues | Pesquisador da Embrapa Cerrados

A irrigação é a base de toda a agricultura irrigada. Talvez ela seja a tecnologia mais antiga utilizada na produção de alimentos. Há cerca de 6 mil anos, na Mesopotâmia, região que hoje compreende o Iraque e parte do que é chamado Crescente Fértil, colonos construíram canais e desviaram a água do Rio Eufrates para suas plantações, iniciando a prática da irrigação, que acabou transformando a terra e aquela sociedade como nenhuma outra atividade havia proporcionado até então. Aquela ação viabilizou uma produção confiável de alimentos e possibilitou que parte das pessoas pudesse trabalhar em atividades diferentes da agricultura.

Segurança alimentar e segurança hídrica estão no centro das maiores preocupações da sociedade na atualidade. Produzir alimento demanda quantidades significativas de água. Em um cenário onde o clima é cada vez mais incerto, a produção de alimentos em agricultura de sequeiro, aquela que depende apenas da água da chuva, é cada vez mais incerta. Nesse contexto, a irrigação torna-se cada vez mais estratégica para trazer sustentabilidade e estabilidade à produção de alimentos.

A irrigação é a principal usuária de recursos hídricos, e talvez esse fato torne mais difícil para a sociedade a compreensão de sua importância. Mas é justamente por esse motivo que a comunicação e a disponibilização de conhecimento são tão importantes. A falta de uma comunicação adequada com a sociedade é um dos principais entraves ao desenvolvimento sustentável da agricultura irrigada. É fundamental melhorar a interlocução do setor agrícola com a sociedade, principalmente quanto ao uso dos recursos hídricos.

A disseminação de informações incorretas contribui para o aumento da polarização do debate sobre a agricultura irrigada. A água, principal insumo da produção de alimentos, é sinônimo de diálogo, de compartilhamento e de integração. A falta de comunicação coloca os usuários de recursos hídricos em posições antagônicas: ao invés de cooperarem entre si, entram em disputas muitas vezes desnecessárias. A água não deve ser geradora de conflitos, mas sim de oportunidades para o desenvolvimento econômico e melhoria da qualidade de vida das pessoas.

Nesse sentido, é preciso divulgar informações corretas com base em dados técnicos e análises consistentes, que possam ser atualizados continuamente. Essa é a premissa do Wikirriga, uma plataforma on-line e gratuita de conhecimento sobre

agricultura irrigada, criada com o objetivo principal de disponibilizar à sociedade brasileira conhecimentos atuais sobre a agricultura irrigada.

Dois princípios básicos e fundamentais nortearam a criação do Wikirriga: (i) uso de ferramenta colaborativa, que possibilite que o conhecimento agregado à plataforma seja dinâmico, ou seja, continuamente atualizado; (ii) conhecimento de fácil acesso e gratuito para a sociedade. Como disse Ricardo Almeida, CEO da empresa Netafim, o Wikirriga é um “livro social” que permite deixar à sociedade a oportunidade de constante atualização.

Com o Wikirriga, o conhecimento sobre agricultura irrigada estará disponível e acessível a toda a sociedade. Além disso, esse conhecimento será constantemente atualizado por uma rede de profissionais da área – os denominados editores associados e colaboradores, provenientes de instituições como a Embrapa e universidades.

Na comunicação, a mensagem do emissor produz sentido e gera valor para o receptor, num processo que se retroalimenta. Dessa forma, ao decodificar a informação técnica para a sociedade, facilitando o acesso e a apreensão do conhecimento, a comunicação contribui decisivamente para diferenciar o fato do mito. Os debates sobre a melhor forma de se utilizar os recursos hídricos sempre existirão, principalmente em regiões com baixa disponibilidade hídrica. Nesses casos, embora não esteja prevista na política de recursos hídricos, a comunicação é, sem dúvida, um dos principais instrumentos da gestão. Informar com qualidade contribui para redução de conflitos pelo uso de água.

Espera-se que o Wikirriga possa, portanto, contribuir para melhorar o conhecimento sobre a agricultura irrigada e envolver a comunidade acadêmica e técnica na atividade de socializar o conhecimento. A plataforma pode ser acessada no endereço: https://wikirriga.com.br/.

18 Junho | 2023

15 de junho - Dia Nacional da Agricultura Irrigada

apresentação da Política Nacional de Recursos Hídricos e seus instrumentos de gestão destacando o importante papel do usuário nesse sistema.

O Dia Nacional da Agricultura Irrigada é celebrado no dia 15 de junho, foi proposto em 2021, pela PL2975/2021. A data foi escolhida estrategicamente por ser próxima ao Dia Mundial do Meio Ambiente e também por estar no início do período seco em grande parte das regiões do Brasil, quando a produção de alimentos depende totalmente da irrigação.

O objetivo dessa data é criar uma postura crítica e ativa em relação à importância da agricultura irrigada para a sustentabilidade na produção de alimentos e para o desenvolvimento e segurança alimentar, econômica e ambiental do Brasil.

A irrigação tem crescido de forma sólida no país e demostrado um grande potencial nos últimos anos. De acordo com o relatório da ANA (Agência Nacional de Águas e Saneamento Básico), a irrigação pode crescer 45% até 2030 no Brasil, frente a uma demanda alta de produção de alimentos. Segundo a ONU (Organização das Nações Unidas), será necessário aumentar em 70% a produção até 2050.

Lineu Neiva Rodrigues, fundador e Coordenador da RENAI (Rede Nacional de Irrigantes), explica que a irrigação é, sem dúvida, a tecnologia com maior potencial de contribuir para o aumento da segurança alimentar e ambiental, bem como à redução da fome e da pobreza, além de gerar grande número de empregos.

Neste ano em razão a esta data, aconteceram diversos eventos como o “Papo Irriga”: Dia da Agricultura Irrigada: Tecnologia fundamental para o desenvolvimento sustentável do Brasil. Também o MIDR celebra o Dia da Agricultura Irrigada com um evento para discutir ações e programas da temática. O encontro contará com a presença do Ministro Waldez Góes e outros participantes. Além disso, haverá um workshop promovido pelo Sistema CNA Senar: Setor Agropecuário na Gestão da Água, que será um evento técnico com a

Para Luiz Roberto Barcelos, Presidente da Rede Nacional de Irrigantes (RENAI) o Dia Nacional da Agricultura Irrigada, é muito importante uma vez que a irrigação é uma tecnologia associada hoje a produção do agronegócio, que permite você fazer, duas ou três safras na mesma área, evita que você expanda para áreas novas que ainda estejam com a cobertura da vegetação natural, além de ajudar a preservar o meio ambiente.

“Com a agricultura irrigada você tem uma segurança hídricamuito grande, o irrigante fica menos dependente, devido as alterações climáticas. A irrigação aumenta a produtividade, e com isso barateia o preço dos alimentos, o que ajuda e muito o consumidor, ou seja, são inúmeras as vantagens. O que acaba gerando mais empregos, mais renda, então, em lugares como o semiárido, por exemplo, é a forma que você tem para produzir; ela mais que ajuda, ela é fundamental. Também é uma forma, de reduzir as diferenças sociais, ela tem o poder de transformar, levar alimento, emprego e renda para todos”, conclui o Presidente da RENAI.

Para finalizar, a irrigação continua sendo um desafio para todas as instituições de pesquisa e setor agrícola privado. É muito importante mostrar à sociedade que a agricultura brasileira pode ser eficaz e eficiente em relação à utilização da água na produção agrícola. Além de que é também uma oportunidade para mostrar o conhecimento que temos no Brasil sobre o assunto e que pode ser difundido e transferido para capacitar produtores e profissionais.

20 Junho | 2023

Com a promessa de reduzir a emissão de carbono em 50% até 2030, o Brasil entra como protagonista mundial nessa batalha.

Para esse ponto, o país tem um forte e grandioso aliado, o agronegócio. Responsável por aproximadamente 25% do PIB brasileiro, esse setor é um dos maiores, se não o maior, gerador de renda para o país.

Em todo mundo, se comenta sobre os carros híbridos, movidos a eletricidade, no entanto, não podemos nos esquecer que o Brasil contribui com o etanol, através do setor sucroenergético.

Sabemos que com o uso do etanol em substituição à gasolina diminuiria em 73,3% as emissões de carbono equivalente por ano, de acordo com o padrão do IPCC, ou 78,1%, quando considerado o modelo dos cientistas brasileiros.

Junto a isso, recentemente a Forbes publicou um estudo que diz que o cultivo de cana de açúcar remove 9,8 milhões de toneladas de CO²/ano.

Mesmo com toda essa eficiência, o setor sucroenergético ainda tem a possibilidade de ser mais agressivo, através da adoção de técnicas que melhorariam as produtividades.

Especialista agronômico da Netafim Brasil

Das várias tecnologias empregadas, a irrigação é a única que pode aumentar em mais de 50% a produtividade dos canaviais. No entanto, a água também deve ser considerada como um insumo e junto a isso como um bem natural, vital e de grande importância para a sociedade. Nesse ponto, o gotejamento é a tecnologia de irrigação que mais se destaca, pois, além de ser a mais nova e, portanto, tecnologia ainda, segundo estudos da Embrapa, que possui maior eficiência de aplicação quando comparada às demais.

Como dito anteriormente, com o uso da irrigação localizada a produtividade pode aumentar em torno de 50% da produtividade histórica da área. Sendo assim, considerando que uma área qualquer produz 100 ton./ ha e que em média 1 ton. de cana de açúcar produz 80 litros de etanol, chegamos a produção de 8.000 litros de etanol/ha.

Caso opte em utilizar a irrigação por gotejamento e considerando um aumento mínimo de 50% na produtividade, teremos: 150 ton./ha x 80 litros de etanol, seria igual a 12.000 litros de etanol/ha ou seja 50% a mais de etanol, com potencial de redução de 78% de carbono para atmosfera.

Conforme podemos observar na tabela 01, abaixo.

Por elevar em até 50% a produtividade, agricultura irrigada é aliada fundamental para a redução de emissão de carbono
21 Junho | 2023

Baseando-se no estudo publicado pela Forbes, através do uso do gotejamento e com isso aumentar em 50% a geração de biomassa da cana de açúcar, intui-se que teríamos um potencial de remoção de 14,7 milhões de toneladas de CO²/ano.

Além do aumento da produtividade, há outras vantagens que podem nos ajudar a realizar a produção de canade-açúcar de maneira mais sustentável. Recentemente foram concluídos 2 trabalhos que mostram que através do uso da irrigação por gotejamento podemos reduzir ainda mais as emissões de CO² para a natureza (pegada de Carbono).

Nesse estudo, realizado em Minas Gerais, foi comparado a irrigação por gotejamento versus a testemunha por salvamento e mostrou que com o uso do gotejamento a emissão de CO² reduziu de 0,161kg CO² /kg de cana produzida para 0,077kg de CO²/kg de cana produzida. Ou seja, uma redução na ordem de 52%.

Para dar continuidade nesse trabalho, foi desenvolvido um estudo com os mesmos parâmetros da emissão de carbono, mas desta vez enquadrados na realidade do setor brasileiro, o Renovabio. Através desse estudo e lançando os dados na Renovacalc, chegamos ao resultado que utilizando o gotejamento a Nota de Eficiência Energética Ambiental (NEEA) aumentou de 35 para 61g de CO²eq/UM. E isso gerou um acréscimo de renda de 74% na área avaliada, conforme relação, maior NEEA gera mais CBIOS.

Entretanto, mesmo com toda essa importância o agronegócio é alvo de críticas infundadas quando relacionado a fatores ambientais. Recentemente a FAO (Food and Agriculture Organization) publicou um estudo dizendo que a agricultura é responsável por 70% do consumo de água no planeta. No entanto, essa afirmação foi erroneamente interpretada e divulgada. Uma vez que: Quando realizamos uma irrigação na cultura de cana de açúcar são aplicados aproximadamente, por exemplo, 8 mm, ou seja, 80.000 litros por hectare. Se considerarmos uma área de 100 ha, aplicaremos 8.000.000 litros. E se analisarmos de maneira muito superficial podemos concluir que uma lavoura de 100 ha consome a mesma quantidade de água, em 4 meses, que 240 habitantes consomem por ano. No entanto, o que foi desconsiderado nesse estudo é que desses 8 mm aplicados é para atender o que chamamos de evapotranspiração, ou seja, a evaporação do solo e a transpiração da planta, fenômenos em que a água é devolvida ao seu ciclo natural em forma de vapor, apenas uma pequena porcentagem é capturada pela planta para produção de biomassa, o que gera alimentos, energia, empregos, tecnologia ou seja os 25% da PIB.

O agronegócio, com a grande participação do setor sucroenergético é um grande trunfo para a diminuição da emissão de carbono a natureza, cabendo a nós, profissionais do setor informar a sociedade através de trabalhos científicos e sérios as grandes contribuições do setor para o planeta.

22 Junho | 2023
Tabela 01. Quantidade de etanol produzido em canaviais de sequeiro e por gotejamento.

Caio de Andrade Pariz

Engenheiro de Controle e Automação

Controle de alto nível em grandes sistemas

O setor do agronegócio enfrenta a cada dia novos desafios como a necessidade de melhorar e aumentar a produção de maneira sustentável, fazendo o uso racional de recursos limitados como a água e de insumos que impactam o meio ambiente como fertilizantes e defensivos. Para isso é necessário ter conhecimento e o controle da atividade. A Agronewtec dispõe de ferramentas e equipamentos projetados para dar auxílio nessa empreitada.

A Agronewtec tem como seu foco de trabalho o desenvolvimento de sistemas de controle, automação e monitoramento voltados para as atividades do agronegócio, daí nasceu o AgronewControl, um sistema que integra em uma única plataforma diversos recursos de controle, automação e monitoramento, com uma enorme possibilidade de arranjos e de escalabilidade.

O maior problema de sistemas de automação, controle e monitoramento em atividades agrícolas é a disperssão dos equipamentos a serem acessados. A Agronewtec solucionou este problema desenvolvendo unidades de rádio que formam uma rede tipo “mesh” onde uma unidade além de comandar o equipamento local, funciona também como repetidor de comunicação para outras unidades.

A plataforma do sistema AgronewControl integra-se a rede de unidades dispersas, por rádio, reunindo todas as informações coletadas e permitindo as operações de controle das unidades, fazendo também a conexão com a Internet, o que dá acesso ao sistema de qualquer lugar e possibilita também a integração com outras propriedades geograficamente distantes.

Controle de irrigação: O sistema AgronewControl

é muito eficiente no controle de sistemas de irrigação, permitindo o acionamento de bombas e válvulas acompanhados do monitoramento de níveis de umidade do solo, vazão de água e volume utilizado, níveis de reservatórios, pressão em tubulações, consumo de energia e outras medições que se fizerem necessárias. O controle pode ser feito “manualmente” pela plataforma ou programado para atuar de forma automatizada através de agendamento das operações. Assim é possível controlar os volumes de águas outorgados com racionalidade e fazer uso dos equipamentos em horários em que a tarifa de energia é mais econômica.

24 Junho | 2023
Imagem 1: Sistema AgronewControl utilizado na automação de hidrante e carretel de irrigação. (Fonte: autor). Imagem 2: Carretel e plataforma de controle AgronewControl. (Fonte: autor).

Controle de estufas: O sistema AgronewControl é facilmente integrado ao controle de estufas, permitindo o uso de todos os seus recursos relacionados ao controle de irrigação, como já descrito, e proporcionando conexão com equipamentos como controles de temperatura, umidade e iluminação.

Medições em geral: A plataforma AgronewControl está preparada para concentrar e armazenar em um banco de dados as mais variadas medições relevantes em uma atividade, como parâmetros atmosféricos obtidos de uma estação meteorológicas local e sensores dos mais diversos, como de umidade de solos, usados no controle racional da água de irrigação, sensores de molhamento foliar, que podem prever o aparecimento de doenças fúngicas e indicar a necessidade de intervenção, medidores de vazão e volumes de água para controle de cotas de outorgas.

Os relatórios podem ser gerados a partir das informações salvas e impressos em PDF, onde épossível comparar diversos pontos de medição, além de ser possível exportá-las para Excel no formato de CSV.

Outra grande vantagem do sistema, é que a filosofia de funcionamento do mesmo, permite que ele seja expansível, ou seja, agregar novos pontos, sem ter que adquirir outros controladores, sendo necessário somente o equipamento que será adicionado e a criação de telas adicionais.

Todas as placas de comunicação e controle do sistema, são projetos próprios da empresa, além do software, que pode ser modificado para garantir uma melhor utilização por parte do cliente.

26 Junho | 2023
Imagem 4: Sensor e gráfico de umidade e temperatura instalado em estufa. (Fonte: autor). Imagem 5: Painel de controle de bomba. (Fonte: autor). Imagem 3: Sistema usado para controle de irrigação em centro de pesquisa. (Fonte: autor).

Engenheiro Agrícola, M.Sc. em Irrigação e Drenagem (UFV) e MBA em Gestão Comercial (FGV). Gerente Internacional de Negócios Américas, Rain Bird

O“Kc” em Paisagismo - Parte IV

Dando continuidade e finalizando o nosso tema de determinação de Kc e necessidade de água de plantas em paisagismo, vamos fazer um cálculo de um mix de plantas em plantio denso e de plantio espaçado.

Antes de iniciar vale a pena observar que cada espécie de planta possui estruturas radiculares e exploram volumes diferentes de solo. Aqui temos um problema clássico em irrigação paisagística quando utilizamos um emissor e uma taxa de descarga idêntica para todas as plantas em um projeto.

Em locais de clima com períodos de seca bem marcados podemos observar que muitas vezes a grama está verde e os arbustos e árvores começam a apresentar stress hídrico. Isso ocorre quando a irrigação está calibrada para atender a grama e as plantas de maior porte não estão recebendo água suficiente e na profundidade correta.

A Fig. 1 mostra a profundida do sistema radicular de cada planta vista por baixo do solo. Normalmente a prática comum é aumentar o tempo de irrigação para que a água percole e o arbusto, neste exemplo, receba a quantidade

de água adequada, porém estaremos desperdiçando água pois o excesso aplicado na grama e na forração vegetal está drenando e também lixiviando nutrientes.

Teremos, portanto, desperdício de água, aumento de custo de adubação e, se o sistema possui bombeamento, aumento de consumo de energia elétrica.

Baseado nisso é que o projeto de irrigação em paisagismo começa com a determinação da planta base, que é sempre a planta que necessita de menos água.

Este nosso novo projeto (Fig.2) possui três espécies de plantas: uma forração Lírio Amarelo (Hemerocallis Flava), palmeiras fênix (Phoenix Roebelenii), e arbustos ligustro (ligustrum variegata).

Fig. 1. Projeção da profundidade efetiva do sistema radicular para cada espécie em um projeto paisagístico (em azul), as plantas são: grama, cobertura vegetal e um arbusto.

Fig.2. Área de jardim de 18 a 7 metros com as espécies: Lírio (forração), Palmeira Fênix e Ligustros
27 Junho | 2023
Fig. 3. Fotos das espécies do projeto da Fig.2, da esquerda para a direita temos: Palmeira Fênix, Arbusto Ligustro e a forração que é o Lírio Amarelo

Neste caso a planta base é o Lírio Amarelo e em plantio denso.

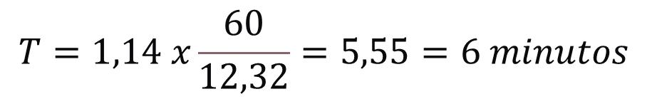
O solo deste projeto é argiloso e a evapotranspiração de referência é de 3 mm/dia.

O diâmetro da copa do Ligustro é de 0,80 metros e o diâmetro da copa da Palmeira Fênix é de 1,60 metros. Sendo o solo argiloso podemos especificar o mesmo tubo gotejador subterrâneo autocompensado, com escudo de cobre, com um espaçamento entre linhas de 60 cm. Elegemos o modelo de 2,3 lph por emissor e o espaçamento entre emissores de 30 cm.

Cálculo do número de linhas:

Retiramos uma bordadura de 15 cm de cada lado: 700 cm – 30 cm = 670 cm

Dividimos a largura final pelo espaçamento entre linhas: 670 cm/ 60 cm = 11,167

Ajustamos o espaçamento entre linhas arredondando o resultado e efetuando uma nova divisão: 670 / 12 = 56 cm.

Portanto na instalação teremos um espaçamento entre linhas de 56 cm. Este ajuste em um projeto de agricultura pode parecer irrisório, mas em paisagismo é muito importante pois podemos ter mais linhas que o projetado ou menos, o que afeta o orçamento e pior, podemos ter uma parte da área com espaçamento entre linhas diferente o que resulta em desuniformidade de aplicação de água gerando alturas e densidade de plantas diferentes que afetam a estética e beleza do paisagismo. Vamos iniciar os cálculos:

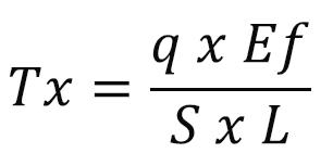
1. Cálculo da Taxa de descarga ou precipitação da planta base

Onde:

Tx = Taxa de descarga em mm/h

q = Descarga do emissor em lph

Ef = eficiência em decimal (0,90 para gotejamento)

s = espaçamento entre emissor (m)

L = espaçamento entre linhas (m)

Tx = 12,32 mm/h

2. Requerimento de água de cada espécie. Recordando que o Kc é determinado por três coeficientes ou fatores:

Fc = Fe x Fd x Fm ou dependendo da literatura Kc = Ke x Kd x Km.

2.1. Planta Base: Lírio

Fator de espécie: Baixo

Fator de Densidade: Alto

Fator de Microclima: Médio

Consultando a tabela (tipo de vegetação) teremos

Kc = 0,3 x 1,3 x 1,0 = 0,39

IR = Kc x Etr = 0,39 x 3 = 1,17 mm/dia. Para plantios densos sempre consideramos a IR em mm/ dia

2.2. Plantas não base

a. Palmeira Fênix

Fator de espécie: Médio = 0,5

Fator de Densidade: Médio = 1,0

Fator de Microclima: Médio = 1,0

Diâmetro da planta = 1,60 m o que nos dá uma área da copa de 2,01 m²

28 Junho | 2023
Tabela 1. Fatores ou coeficientes por grupo de vegetação

Para plantas isoladas temos a seguinte fórmula de IR (Irrigação)

Onde:

IR = Irrigação necessária em litros/dia

ETr = Evapotranspiração de referência

Kc = Coeficiente de cultivo Ac = Área da copa em m²

IR = 3 l/dia

b. Ligustro

Fator de espécie: Alto = 0,7

Fator de Densidade: Baixo = 0,5

Fator de Microclima: Médio = 1,0 Diâmetro da planta = 0,80 m o que nos dá uma área da copa de 0.50 m2

IR = 0,53 l/dia

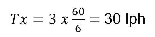
3. Cálculo do tempo de irrigação da planta base

Para os ligustro podemos especificar apenas um emissor por planta. Como não temos um emissor de exatamente 5,3 lph, podemos especificar também um gotejador de 8 lph por planta.

A melhor maneira de instalar estes emissores é conectando o emissor no tubo de gotejamento e levando um microtubo com uma estaca até o ponto de instalação. Assim se houver algum dano ou ocorrer vandalismo não teremos uma saída livre de água.

4. Cálculo da Taxa de descarga para as plantas não base: é a vazão em lph que as outras plantas do projeto têm que receber para obterem suas respectivas IR no tempo de irrigação da planta base.

a. Palmeira Fênix

b. Arbusto Ligustro

Agora temos que buscar determinar número de emissores por planta

Para solos argilosos e diâmetro de copa o mínimo recomendado é de 2 emissores. Por uma questão de distribuição e por não existe emissores de 15 lph vamos especificar 4 gotejadores de botão autocom-

a planta.

Agora teremos a layout final de nosso projeto com os emissores.

Abraços e até a próxima.

30 Junho | 2023
Fig. 4. Foto de gotejadores de botão autocompensados pensado de 8 lph cada ao redor de cada palmeira fênix. Fig. 5. Corte transversal e esquema de uma instalação de um gotejador em uma mangueira enterrada e levando o microtubo com estaca até Fig. 6. Layout de emissores do projeto. Assim finalizamos nosso artigo completo de determinação de Kc e necessidade de água de plantas em um projeto de paisagismo.

Turn static files into dynamic content formats.

Create a flipbook
Issuu converts static files into: digital portfolios, online yearbooks, online catalogs, digital photo albums and more. Sign up and create your flipbook.