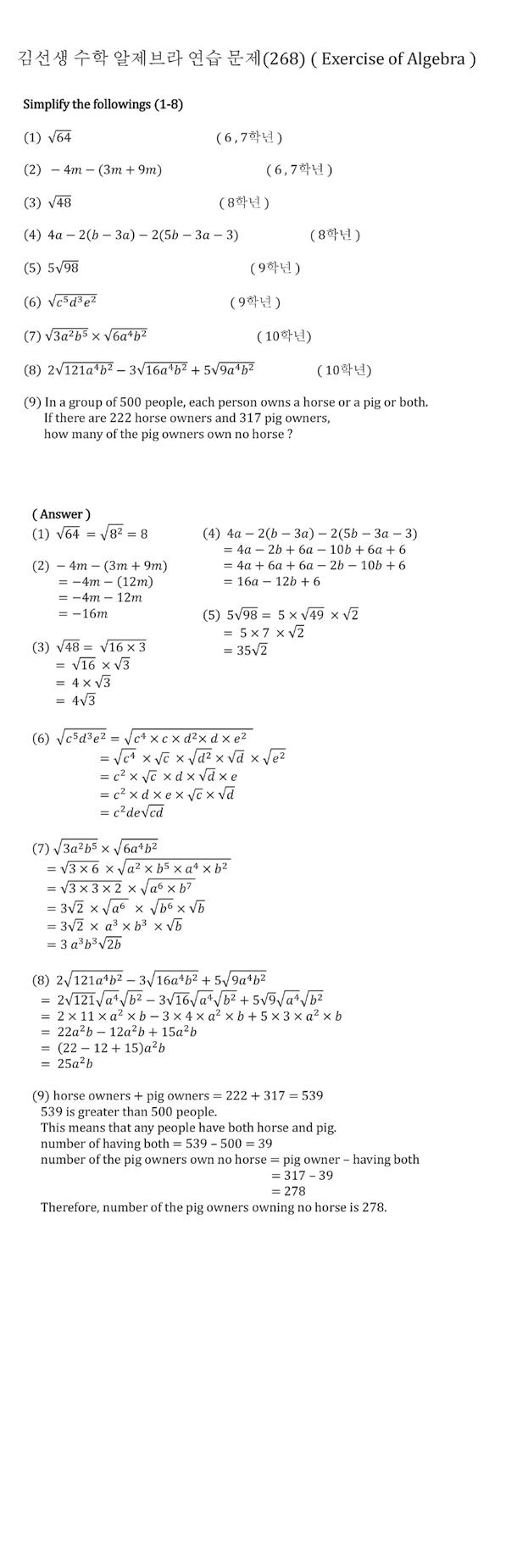
QLD KOREAN LIFE - V1033

Page 1


아이를 커가면서 거실에 있는

장난감 정리를 거의 손을 놓

게 되었다. 아무리 정리해도

우리 집 꼬맹이 덕분에 5분을

채 못가 다시 엉망이 되기 때

문이다. 아이가 잠든 후에 정

리해 놓으면 다음날 아침까진

무사하긴 하지만 아이가 점점

커가면서 나도 아이와 같이

잠들어버리게 되면서 이 마저 도 할 수 없게 되었다.

키즈카페 못지않은 우리 집

거실은 미끄럼틀, 각종 블록, 기차 레일, 트램펄린이 점

령하고 있는데, 내가 전업맘

일 때나 워킹맘인 지금도 우

리 집 거실은 늘 정리되지 못

한 채 퇴근한 남편을 맞이하 곤 한다.

어디 거실뿐이랴. 미처 다 씻

지 못한 아이의 어린이집 식 판, 출근길에 버려야지 하고 깜빡한 음식물쓰레기, 아직 개지 못한 빨래들이 소파에서 널브러져 있기도 한다.

하지만 퇴근 후 이렇게 어질 러진 거실을 보고 남편은 내 게 단 한 번도 잔소리를 하거

나 뭐라 한 적이 없다. ‘집 좀

치워놓지 그랬어’ 단 한 마디

할 법도 한데 심지어 내가 일

하지 않았을 때도 남편은 아

무 말이 없다.

그런데 남편의 이런 마인드는

예상치 못했던 곳에서 교훈을

얻은 것이다. 결혼 전에 남편

이 내게 이런 말을 한 적이 있 다. '결혼하고 나서 같이 살게

되었을 때 만약 집이 엉망이

라도 나는 아무 말도 하지 않

을게. 왜냐면 분명 그렇게 된

이유가 있을 테니까' 왜 그런

생각을 갑자기 하게 됐냐고

물으니 어제 본 예능 프로그

램 때문이란다.

상황은 이렇다. 그 프로그램

에 나오는 부부는 남편이 주

로 집에서 아이를 보고 아내

를 밖에서 일을 하는 부부였

는데, 어느 날 아내의 퇴근시

간 무렵 아이가 사고를 쳐서

집안이 엉망이 되었고, 이를

미처 수습하지 못한 남편 앞

에 이제 막 일을 마친 아내가

집으로 들어온다.

밖에서 이리 치이고 저리 치

이며 지친 몸을 이끌고 퇴근 한 아내는 엉망이 된 집을 보 고는 화를 내기 시작한다. 남 편도 이 상황이 너무 억울하

지만 왜 인지 이유도 묻지 않 고 무작정 화만 내는 아내를 보며 같이 화를 낸다. 그렇게 두 부부는 싸우게 되었다고 한다.

남편은 이 예능 프로그램을

보고 큰 깨달음을 얻었다고 한다. 모두에게는 미처 알리 지 못한 각자의 사정이 있으 니 감정을 드러내기 보단 일 단 그러려니 하고 넘어가는 자세가 필요하다는 사실을, 그리고 그 대상이 가족이라면

조금 더 감싸안아 줄 수 있어

야 한다는 사실을 말이다.

나는 이 이야기의 아내, 남편

의 입장 모두 공감은 간다. 하

지만 만약 아내가 이 모든 과

정을 실시간으로 보고 있었다

면 절대 화를 내지 못했을 것 이다. 아이 앞에서 전전긍긍 하며 뒷수습을 위해 최선을 다하는 남편에게 말이다. 우 리의 일상은 연예인들의 예능 프로처럼 누군가가 계속 카메

라로 찍고

제대로 알 수 없다. 아침이면 뿔뿔이 흩어져 어린 이집에서 또는 학교에서 회사 에서 아니면 집에서 어떤 일 이 있었는지

모인다.

미처 알지 못한 서로의 사정 은 ‘그럴만한 일이

디바이스는 사라지고

AI만 남게 될

미래에 대하여

22년차 애플 디자이너가 설립한 AI 스타트업 이야기

전 애플 디자이너이자, 현 AI 스타트업 Humane의 창업자 Imran Chaudhri가

TED 강연 무대에 섰다.

무대 위에서 휴대폰 없이 와이프와 통화를 하고, 허공을 응시하며

AI와 대화를 나누는 그의 모습은 한 단계 더 진화한 AI 기술의 성능을 여과없이 보여준다.

디바이스의 미래, AI의 미래, 인간의 미래에 대해 많은 인사이트를 전해준 그의 강연을 글로 정리하고, 짤막한 단상들도 남겨보았다.

기술이 발전함에 따라, 디바

이스는 점점 작아졌다. 거대

한 컴퓨터에서부터 데스크

탑, 노트북, 스마트폰, 스마트

워치까지. '그렇다면 그 다음

은 무엇일까'라는 질문에 대 해 생각해본 적이 있는가. 아 마 대부분은 아래 이미지를 떠올릴 것이다.

각하지 않는다. AR/VR은 이

미 많은 이들에게 친숙하며, 새로운 것을 보여주는 대신

이전에도 충분히 볼 수 있었 던 영상과 이미지들을 보여

그러나 Imran Chaudhri의 의견과 비슷하게 나는 AR/VR 이 우리의 다음 단계라고 생

물론 virtual한 세상과의 연결 은 더욱 긴밀하게 유지하면서 말이다.

준다. 그저 좀 더 가까이, 생 동감 있게 보여줄 뿐 '신선한 충격'은 없는 것이다. Imran Chaudhri 또한 우리의 미래 가 얼굴에 씌우는 무거운 기 기로 향해 가고 있지 않으며 기술과 디바이스는 곧 눈 앞

에서 사라지게 될 것이라고 말했다.

Screen-free한 환경을 만들 어주는 AI 기술의 발전으로, 우리는 출근길에 자전거를 타며 메일을 확인하거나 타 국민의 눈을 바라보며 외국

텍스 트를 읽고 이미지와 영상을 보며 수천년의 시간을 지나왔 는데, 과연 시각 작용 없는 소 통에 쉽게 적응할 수 있을까?

Imran Chaudhri와 Humane이 만들어가는 AI 솔루 션은 새로운 형태의 웨어러블 디바이스 및 플랫폼에 기반한

다. 그 첫 번째 디바이스가 바

로 Humane Ai Pin인데, 셔츠

등에 꽂아 사용할 수 있는 작

은 핀의 형태를 띠고 있으며

스크린이 없는 대신 손바닥

또는 사물에 인터페이스를 투

영할 수 있는 기기이다.

어로 소통할 수 있게 되었다. 콘서트장에서 공연 영상을 찍 기 위해 핸드폰을 들고 있을 필요 또한 없다. 그저 셔츠 한

쪽에 Ai Pin만 꽂아 놓는다면

눈 앞의 장면을 얼마든지 녹

화해 저장할 수 있으니까 말 이다. 결국 초소형 디바이스, 혹은 무형의 디바이스와 함께

하는 AI 시대는 인간에게 불 필요한 인터랙션을 요구하지 않음으로써 인간을 더욱 자

유롭게 만든다고 볼 수 있다.

3. 이렇게 기술이 인간의 진화 속도를 앞서가며 발전하고, 인간의 신체와 뇌 구조가 여 전히 과거에 머물러 있게 된 다면 오히려 기술이 발전할수 록 인간의 본연적 습성을 충 족시키는 콘텐츠와 서비스가 흥하지 않을까?

이 Ai Pin의 핵심 가치는 Screenless, Seamless, Sensing으로, 스크린에 매

몰되어 있던 현대인들에게 자

신을 둘러싼 현실 세계의 주

변부를 둘러볼 수 있는 기회 를 제공한다.

Humane은 최근 미국 특허

청에 레이저 프로젝션 시스

템을 사용하는 웨어러블 디

바이스의 특허를 신청했으

며, Microsoft, SK networks, LG, Volvo 등과 함께 전략적

4. 강연을 보는 내내 영화 'HER'이 생각났다. AI와 음 성으로 더욱 깊게 소통할 수 있다면 정말 AI가 인간의 정 서적 외로움을 달래줄 수 있 는 존재가 될 수도

Apple 사의 Vision pro

by

다이어트 할 때

적정 식사량 과 도움되는 음식

이혁재 / 브런치

저는 살빼기에 도전하시는 분에게

“다이어트의 진정한 목적은 건강해지기 위해서” 라고 강조합니다.

만일 체중감량을 위해 무작정 굶는다면 스트레스만 쌓여

결국 요요가 생기는 위험천만한 결과가 발생됩니다.

그렇다면 일상생활 무엇을 먹어야 다이어트에 도움이 될까요?

그리고 그 적정량은 어느 정도일까요?

다이어트에 도움이 되는 음

식은 이미 많은 곳에서 소개 가 돼있습니다. 그 중에서 나

에게 가장 잘 맞는 방법을 선

택하셔서 꾸준히 식이요법을

한다면 건강한 살빼기가 가능

하게 됩니다. 그런데 식이요

법 음식 종류를 고르는 것보

다 더 중요한 사항이 하나 더

있습니다.

그것은 우리가 식생활 습관에 서 꼭 실천해야 하는 ‘꼭꼭 씹

어 천천히 먹기’입니다. 다이

어트에서는 무엇을 먹을까 하

는 문제 보다는 어떻게 먹을 까가 훨씬 중요합니다. 꼭꼭

씹어 먹기는 살을 빼고 몸도 더 건강하게 만들 수 있는 필

수 사항이라는 점을 잊지 마 시기 바랍니다.

그럼 이제 어떤 음식을 꼭꼭

씹어 천천히 먹어야 하는지 알려 드리겠습니다.

첫째, 번거롭게 다이어트 음

식을 따로 챙기지 않아도 되 고 요요가 쉽게 일어나지 않 는 식이요법은 3끼를 소량의 한식으로 가능한 한 싱겁게 드시는 것입니다.

그러나 부득이하게 한식으 로 매 끼니를 챙겨먹기 어려 운 경우에는 간편식사로 1~2 끼를 대신하는 방법도 있습니 다. 간편식사는 단백질, 지방, 칼슘, 탄수화물, 비타민과 무 기질 등의 영양소가 골고루 들어가게 몇 가지 음식을 선 택해서 소량씩 드시면 됩니 다. 단백질은 우유, 두부, 삶은 달걀 1/2, 닭가슴살, 돼지고기 수육 등에서 준비하시고, 탄 수화물은 고구마1개, 통밀식 빵 1조각, 지방은 올리브 오일 을 야채와 섞어서 또는 식빵 을 올리브 오일에 찍어 드시 고, 견과류를 소량 드시면 좋 습니다.

또, 제철에 구할 수 있는 야채, 과일(특히 사과 1/2), 토마토, 당근, 브로콜리, 시금치, 양상

추, 오이, 고추 2~3개, 파프리

카 등 녹황색 야채를 소스 없

이 드시거나 양파, 가지 등은

살짝 구워서 드시면 좋습니 다. 특히 주부님들은 요리하

시고 남은 채소들을 먹기 좋 게 썰어서 통에 담아 두었다 가 드시면 간편합니다.

한식은 밥이 기본이므로 다이

어트에 좋은 곡물로 잡곡밥을

지어 드시는 것이 효과적입니

다. 수수, 보리, 현미, 귀리, 율 무, 검은 쌀, 검은 콩, 차조 등

으로 1끼에 1/2공기를 드시거 나, 호밀 또는 메밀로 국수를

해 드셔도 됩니다. 그러나 주

의 하실 점은 이런 곡물이라 도 백미에 비해 열량 차이가

거의 없으므로 많이 먹으면 체중감량에 전혀 도움이 되지 않습니다.

둘째, 다른 식이요법으로는 고지방, 고단백, 저탄수화물 식이요법이 있습니다.

이것은 탄수화물을 거의 먹 지 않고 고기와 생선, 버터 등 고단백 식이를 기본으로 하고 야채와 과일을 챙겨 먹으면서 다이어트를 하는 것입니다.

업무량이 과중하거나 식욕 조

절이 안 되는 분들은 이 식이 요법을 하시면 좋은데 가장 중요한 것은 빵, 떡, 밥, 설탕, 음료수, 술 등의 당분 섭취는 금물이고, 살코기와 생선, 천 연버터, 올리브 오일 등 고단 백 식이와 야채, 과일을 곁들 이는 식사법입니다.

이 방법은 우리 몸이 에너지

원으로 당분을 사용하는 것이 아니라 지방을 에너지원으로 사용하여 태우게 하는 것이므

로 탄수화물을 극도로 제한하 여 당분의 비축을 막는 것을

철처히 해야 하며 이를 통해 서 지방을 태우는 몸으로 서

서히 바꾸어 체중을 감량시키

는 다이어트 법입니다.

수시로 먹는 방법인데 이렇게

때는 죽이나 소량 식 사를 철저히 지켜서 순차적 으로 3끼 식사를 진행하셔야 합니다.

한의학적인 병인으로 보았을 때는 기허형 비만은 밥물요 법, 담음형은 2끼 식간요법이 나 한식 식단이 좋고, 식적형, 칠정형 비만은 고단백 저탄수 화물 식이요법이 좋을 것으로 생각됩니다.

다만 이런 곡물들은 식이섬

유, 비타민, 무기질 함량이 백

미에 비해 풍부하므로 배변이

좋지 못한 분이나 피부 트러

블이 있는 분들에게는 장내 독소를 해독하는 데 효과가 있습니다.

셋째, 또 다른 식이요법으로

는 여러 가지 음식을 챙겨먹 기 번거로운 분들에게 권해드

리는 방법입니다. “찹쌀, 조, 수수, 팥, 콩” 이 다섯 가지 오 곡밥물을 숭늉처럼 만들어서

그러나 본격적으로 다이어트 를 시행하기 전에 병인을 먼 저 살피고, 체질량 지수를 측 정하여 내 몸의 상태가 근육 형인지 붓는 형인지를 먼저 파악하고 난 후 시작한다면

한복 입고

대중교통을 타면

생기는 일

by

은한 / 브런치

집에서부터 한복을 입고 나섭니다

얼마 전까지만 해도 자가용이 없어서 대중교통으로 전국을

다니며 공연했다. 혹 음향 장

비가 필요한 날이면 작은 앰

프를 캐리어에 넣고 낑낑거리

며 지하철 계단을 오르락내리

락했다. 전통한복, 어깨에는

해금, 왼쪽 어깨엔 에코백, 왼

쪽 손엔 치맛자락, 오른쪽 손

엔 무거운 앰프. 구경하기 딱

좋은 모양새긴 하다. 집 밖을

나서는 순간 나는 아주아주

무거운 물질이 되어 모두의

시선을 블랙홀처럼 빨아들인

다. 어디에서든 시선이 느껴

진다. 그런 때에는 쳐다보는

사람을 나도 웃으며 쳐다보면 된다. 그러면 상대방은 화들

짝 놀라며 시선을 거둔다. 가

끔은 눈이 마주친 김에 내게 말을 걸기도 한다. 아유 이뻐 라. 한복 어디서 샀어요? 등에 진 건 뭐예요? 자연스레 이야

기를 나누게 된다.

줄 알았는데 집에서부터 입 고 오시는군요. 그러면 집에

옷이 없어서 그렇다며 농담한 다. 실은 속치마 부피가 너무 커서 입고 오는 게 낫거든요.

남들 눈에 띄는 걸 정말 좋아 하지 않지만요. 못 믿으시겠 지만 진짜예요.

그날도 지하철을 탔다. 자리 가 없어 일반석 앞에 서 있었 는데 마침 할머님들이 세 분 앉아 계셨다. 내가 타는 순간 그분들의 눈이 커지며 위아래 로 어마어마하게 나를 훑었

다. 보통은 이렇게까지 노골

적으로 보시지는 않는데. 민 망해서 다른 데로 갈까 하다

가 눈이 마주쳤다. 어색하게 웃었다. 그게 시작이었다.

할머님들은 “어머어머 이런 거 어디에서 맞췄어? 인형 같

끼야악. 정말 놀랐지만 이분 들의 눈빛에는 악의가 아닌 반가움이랄까 친근감이 가득 차 있었다. 흑흑 네. 오늘은

그리고 계단을 오를 때, 의외 로 많은 분이 앰프를 들어주 신다. 아이 다정한 한국 사람

들. 감사하다는 말씀을 계단 수만큼 한다. 그리곤 기도한 다. 오늘 선행하신 저분의 길

은 힘든 계단 없이 평탄하시

기를. 문득 기분이 맑아진다.

가끔 울적한 날에는 시선이

부담스러울 때가 있다. 동물

원 유리에 갇힌 기분이다. 수

많은 시선이 치마에 끈적하

게 달라붙어 걸음이 더욱 무

겁다. 그런 날에는 화장실에

서 잠시 숨을 돌린다. 이상하

다는 눈으로 보셔도 실은 예

뻐서 그러신 거겠지. 한국 사

람들은 굳은 표정이 기본이니

까. 난 예뻐, 난 최고야! 마음

을 단단히 한다.

공연장 담당자님들도 놀라신

다. 현장에서 옷을 갈아입을

고 예쁘네~” 하며 칭찬하셨 다. 갑자기 맨 왼쪽에 계시던 분이 “그런데 임신한 거 아니 야?” 하셨다. 아아니 츠녀한 테 무슨 말씀이세요. 엄청 당

황했지만 속치마를 여러 겹

입어서 빵실해 보인다고 말씀

드렸다. 그러자마자 이분들은

일제히 내 긴 치마를 들추고 속치마를 꺼내 보셨다. “어머

어머 정말 많이도 입었네. 덥 겠다.” “어머 정말 그러네. 재 질이 뭐야?”

보 네. 이게 얼마만이야~” 그 옛 날 소녀님 세 분은 천진하게 웃으셨다. 내친김에 신고 있 던 버선이랑 꽃신까지 죄다 자랑을 하고 나니 소녀님들 의 목적지가 가까워졌다. “아 유, 오랜만에 이렇게 이쁜 모 습을 보니까 내 마음이 다 밝 아지네. 여기 앉고, 조심히 가 요. 응.” 어휴, 폭풍이 지나간 것 같다.

역시 한복을 입어서 그런지 주로 할머님들의 사랑을 담 뿍 받는다.

이렇게 한복을 입고 다니면 생각지도 못한 사람들과 대화 하게 된다. 내향형이라 아직 은 많이 어색하지만, 한국인 이 한복 입겠다는데 뭐 어때. 오늘도 나는 집에서부터 당당 히 한복을

역시 한복을 입어서 그런지 주로 할머님들의

나들이

by 황현숙(칼럼니스트)

내가 은퇴를 한 후에 첫 번째로

찾아온 귀한 손님이 있다. 뉴욕

에 사는 오빠 부부가 처음으로

브리즈번을 방문한 것이다. 지

구 반대편에서 서로의 다른 삶

을 살고 있으니 우리 남매의

만남은 쉽게 이루어지지 않는

다. 2023년 7월이 되어서야 오

빠는 북반구 미국에서 지구의

반 바퀴를 돌아서 남반구 호주

에 사는 동생을 만나러 오는 특

별한 순간을 만들었다. 공항에

서의 기다림은 마치 연인을 기

다리듯 긴장과 설렘으로 마음

을 들뜨게 했다. 오빠가 호주

를 방문하는 계획을 실행하는

데에는 참으로 긴 시간이 걸린

듯하다. 막내동생에 대한 유난

한 사랑은 뉴욕과 브리즈번 사

이의 지리적인 먼 거리를 잊게

할 만큼 늘 가깝게 이어지고 있

다. 카톡이라는 정보기술의 혜

택을 톡톡히 누리고 있는 덕분

이다. 그래서, 서로 간에 나이

들어가는 모습을 확인하면서

수다를 떨기도 하고 남매가 살

아가는 다른 두 공간을 이해할

수도 있다. 오빠 부부가 브리

즈번을 방문하기로 한 후에 3

주간의 시간을 어떻게 보내야

할지 다양한 계획을 세워 보았

다. 호주의 아름다운 자연과 다

양한 문화를 경험하면서 동생

이 사는 호주라는 나라를 제대

로 보여주고 싶었다.

70대 중반인 오빠는 아주 세심

하고 자상한 심성을 지닌 사람

이다. 호주에 오면 코알라와 캥

거루를 직접 볼 수 있는지, 오

페라 하우스에도 갈 수가 있는

지를 호기심에 차서 여러 차례

묻곤 했었다. 나는 오빠 부부

가 도착한 날부터 떠날 때까지

의 여행일정을 세우면서 건강

을 염려했는데 한낱 우려에 불

과했다. 여행지에서 보여준 왕

성한 에너지는 나이를 잊을 만

큼 활력이 넘쳐났기 때문이다.

도착 첫날의 즐거움은 점심

으로 시작되었다. 1800년대

에 지어진 고풍스러운 유럽풍

의 건물에 있는 식당에서 스테

이크와 와인으로 환영의 잔을

부딪쳤다. 식후에 시내 구경을

하면서 깨끗한 거리와 바둑판

처럼 연결된 길의 배치에 연

신 감탄하는 모습을 보며 뉴

욕과 브리즈번, 두 도시의 다

름을 느낄 수 있었다. 주말에

는 오빠가 그토록 보고 싶다던

코알라와 캥거루를 만나러 브

리즈번 외곽에 있는 론파인 야

생동물 보호구역(Lonepine Sanctuary)에 갔다. 나무 둥

지에 붙어서 하루에 18시간

이상 잠을 자는 코알라지만

다행히도 잠이 깬 상태로 있

는 코알라들과 눈을 마주치 는 행운을 얻었다. 오빠 부부

의 얼굴에는 실물로 보는 코알

라의 모습이 신기한지 연신 카

메라를 누르며 즐거워했다. 코

로나 사태 이후로 조용했던 론 파인에도 관광 붐이 새롭게 부 는지 관광객들과 가족들의 모

습이 많이 보였다. 코알라를

직접 안고 사진을 찍는 포토

샵 이벤트의 하루 예약이 이미

이른 오전에 마감이 되었을 정

도였다. 상상만 하던 코알라를

품에 안고 사진을 찍은 오빠의

얼굴에는 흐뭇한 미소가 번지

며 드디어 소원이 이루어졌다

는 표정을 지었다. 드넓은 풀

밭 위에 군데군데 드러누운 캥

거루에게 먹이를 주고, 펄쩍거

리며 뛰어가는 캥거루를 보며

즐거워하는 오빠 부부의 모습

이 보기에 참 좋았다. 선샤인 코스트의 긴 해변과 골드코스

트의 서퍼스 파라다이스의 야

간 벼룩시장 구경하기, 미숫가

루처럼 부드러운 하얀 백사장

에서 맨발로 걸으며 아이처럼

즐거워하는 모습이 행복해 보 였다. 그 모든 순간이 추억이

라는 이름으로 차곡차곡 벽돌

처럼 하나씩 가슴 안에 쌓였을

것만 같다.

골드코스트에 있는 오스트레

일리아 아웃백 스펙타큘러 쇼 (Australia Outback Spectacular Show)를 관람했다. 백인

정착인들이 이 땅에 자리 잡으 며 살아온 고된 개척사를 말 묘

기와 함께 보여주는 공연이었

다. 호주의 역사를 시작한 애버

리지니를 호주 땅의 첫 거주자

로 인정하며 그들의 전통문화

와 삶의 모습을 영상으로 먼저

보여주었다. 백인들이 부시 생

활을 하며 새로운 삶을 개척하

는 파이오니어들의 힘든 공동

체 생활을 소 떼 몰이, 양무리, 야생말 길들이기, 부시 화재와

같은 상징적인 모습으로 나타

내었다. 마지막으로 호주인의

전통 레인코트를 걸친 기병대

들이 호주국가가 울려 퍼지는

가운데 호주 국기를 손에 들고

힘찬 행진을 하는데 가슴 뛰는

감동을 받았다. 손이 아프도록

손뼉을 치면서 “아~~ 내가 어

느새 호주를 사랑하는 진짜 호

주인이 되었구나.” 하는 생각

이 순간적으로 들었다.

2박 3일의 여정으로 시드니에

여행을 다녀왔다. 가능한 이름

난 장소들을 많이 보여주고 싶

었기에 아침부터 늦은 밤까지

정말 많이도 돌아다녔다. 달링

하버에 숙소를 잡고 가까운 지

역부터 가이드와 함께 본다

이 비치, 메리 대성당, 바랑가 루와 오페라 하우스를 차례로

둘러보았다. 오빠 부부는 오페 라 하우스 앞에서 감동에 젖은 모습으로 얼마나 많은 사진을

찍었는지 보고 싶었던 그 마음

을 충분히 이해할 수 있었다.

블루마운틴, 로라마을, 동물원 에도 가보았고, 다른 지역에도 갔었지만. 도시 중심가의 골목 과 골목 사이를 걷는 야간 투 어는 정말 인상적이었다. 높은

언덕에 올라가서 한눈에 바라

보는 하버브리지와 오페라하

우스 야간 풍경 그리고, 불빛

에 휩싸인 시드니 도심의 아

름다운 경치는 말로 표현할

수 없는 매력을 내뿜고 있었

다. 하버브리지를 걸어서 건너

가는 야간걷기 투어는 예전의

어떤 여행보다도 더 깊고 진한 추억을 만들어 주었다.

호주 브리즈번에서

것은 서로가 나 이 들어가면서 가족이라는 공 동체의 나눔이라고 생각한다. 어려운 순간에도 함께 하며 서 로에게 힘이 되어주는 것은 가 족이라는 우산 아래에서 하나 의 희망이 될 수도 있다. 즐거 움을 같이 나누는 기쁨은 형제 애를 표현하는 것이며 따뜻함 을 느끼고 삶을 더욱 의미 있 게 만들어 줄 것이다. 이제 3 주간의 만남을 정리하면서 오 빠 부부가 남은 생애를 건강하 고 서로에게 향기로운 부부로 서 살아가기를 기도하는 마음 이다. 자신들의 집이 있는 곳, 뉴욕으로 안전하고 편안하게 잘 가시기를 바라며 두 손을 모아본다.

일본 맥도날드가

한국과 다른 점

‘お待たせいたしました。’ ‘오래 기다리셨습니다.’ 맥도날드는 한국과 일본뿐

만 아니라 전 세계 어느 나라 를 가도 있는 프랜차이즈 기 업이다. 몇몇 그 나라 특별 메 뉴들을 제외하면 메뉴에도 큰

차이는 없다. 물론 한국과 달

리 일본에서는 미리 말을 하

지 않으면 케첩을 주지 않지 만 말이다. 말하지 않아도 케

첩을 챙겨주는 한국이 특이 한 걸까? 거기에 더해 일본 맥

도날드는 한국과 달리 음식을

자리로 가져다 주는 서비스가

잘 되어있다. 한국에서는 무

언가 복잡해서 잘 써보지 않

은 서비스이지만, 일본에서

맥도날드에 갈 적에는 매번

이용하는 좋은 서비스였다.

아마 한국에서도 익숙해지면

잘 썼었겠지.

그런데 일본에서 이 서비스

를 이용해 보면 특이한 점이

하나 눈에 띈다. 바로 어느 지

점이든지 가져다 주시는 직원

분들이 대부분 할머니, 할아

버지와 같은 노인분들이라는

것이다. 처음 봤을 때는 그냥

그렇구나 하고 넘겼는데 여러

매장을 돌아다녔음에도 불구 하고 계속 노인분들이 보이자

신기하다는 인상을 받았다. 그도 그럴 것이 한국의 패스

트푸드점 직원분들은 대부분 젊은 사람들 아닌가.

'한국에서도 이렇게 되면 좋 을 텐데.' 나는 그분들을 보며 이런 생각이 들었다. 오해하

지 말자. 집에서 쉬셔야 하는

노인분들을 끌어내어 전부 일 을 시켜야 한다는 이상한 이 야기가 아니다. 일을 하고 싶

음에도 일자리가 없어 쉬시는

분들에게 일반적인 아르바이 트의 기회라도 열려있었으면 한다는 이야기이다.

사람에게 있어 일이라는 건 단순히 돈을 버는 수단이 아 니라, 자신이 살아있음을 느 끼게 해주는 수단이 되기도 한다. 집에 박혀 가만히 쉬는 것보다 타인에게 도움을 주며 돈을 버는 편이 자기 효능감 을 느끼게 하는 것이다. 그로 인해 오는 행복은 덤이고 말 이다.

처음에 이런 글을 읽었을 때, 나는 헛소리라며 일축했던 기억이 있다. 그때의 나는 소 위 '돈 많은 백수'를 동경했었 던 터라 노동을 숭배하는 이 상한 사람들이 하는 이야기 로만 들렸기 때문이다.

소변을 생산하는 일을 한다

고 알려져 있는 콩팥은 실

제로 소변 생산 말고도 많

은 일들을 한다. 기본적으

로 체내 대사 과정의 마지

막 산물인 노폐물을 배설하

고 필요한 영양분을 흡수하

며 산·염기, 전해질 대사에

관여해 우리 몸의 항상성

을 유지시켜 준다. 또한 혈

압을 조절하고 적혈구 생

성 인자를 생산해 체내 빈

혈 수치를 조절하는 역할

을 한다. 콩팥의 무게는 전

체 체중의 약 0.4%로 많이

차지하진 않지만 기능이 많

이 저하될 경우 생명을 유 지하기 어려울 정도로 중요 한 역할을 한다.

중요한 역할을 하는 콩팥

이 망가진다면 우리 몸은 어떻게 될까? 가장 일차적

으로 생기는 증상은 부기 일 것이다. 콩팥에서 수분

조절이 되지 않아 쉽게 붓

게 된다. 또한 소변으로 단

백질이 빠져나오기 때문에

소변에 거품이 자주 발견된 다. 만약 소변에 거품이 자 주 보인다면

30년 전 일기장에

고스란히 담긴

by 이드id / 브런치

학창 시절의 나를 돌아보며 아이들 마음을 이해합니다

오늘은 깃털보다 약간 무거운, 가볍고 유쾌한 이야기다. 중학

구의 푸념이다. 어른의 높은 기

대를 아이들이 충족시키기는 쉽지 않다. 이 사실을 알기에

아이들에게 최대한 잔소리를 하지 않겠다고 다짐하고 또 다

짐한다. 덕분에 아이들을 향한

아빠의 잔소리는 근면함, 정직 함 정도의 범위를 크게 벗어나

지 않는다. 그럼에도 불구하고

사람인지라 눈에 거슬리는 모

습을 보면 심장이 벌렁거리고

입이 근질근질할 때가 있다.

이런 내 마음이 흔들릴 때는 학창 시절을 떠올린다. 그리 고 중학생 때 쓴 일기장을 들

고 치우지 않아서, 할머니한테

밉게 굴어서, 시간 관리를 제대 로 하지 못해서였다. 얼마나 안

치우고, 말을 안 들었으면 꾸준

히 꾸중을 들었을까. (방을 안

치우는 중3 딸내미도 크면 나

처럼 깔끔쟁이가 될 수 있을까

요? 갑자기 궁금하네요) 사탕

을 사러 가서 혼났다는 내용도

있다. 추측하건대 아버지께서

무언가를 시키셨을 때 "네!" 대

답만 하고, 머릿속에 가득했던

사탕 사는 일만 실천했을 가능 성이 크다. 현세대의 내 아들도 과거의 나와 다르지 않다. 역시 부전자전. 갑자기 날 닮은 아들

이상적인 바람이라는 것을 잘 알고 있다. 뭐든 억지로 할 수

생 아이들이 말도 잘 듣고, 청 소도 잘하고, 운동도 잘하고, 계획적이고, 공부도 잘했으면 좋겠다. 물론 부모의 욕심이자

없다는 사실도. "부모가 챙긴다고 안 한다. 지

들이 알아서 해야지. 난 포기!"

학창 시절에 공부 꽤나 하던 친

춰본다. 마음이 평온해짐을 느 낀다. 아이들을 조금이나마 더 이해할 수 있는 긍정적인 효과

도 있다. 나름 모범생이었고 잘

자랐다고 자부했는데, 기억의

왜곡일까. 아버지께는 왜 그렇

게 맞았을까? (가정 폭력은 아

니었습니다. 잘못했을 때 아버

지께서는 종아리에 신문지를

대고 때리셨습니다. 잘못만 알

면 된다고)

아이들에게 아빠는 말썽 한번

안 피운 모범생이었다고 말한

바 있다. 그런데 일기장에는

아버지께 혼났던 시절이 빼곡

하게 남아 있다. 맞지 않기 위

해 노력했던 흔적이 생생해 안

쓰러울 지경이다. "아빠께 꾸

중을 들었다. 쳇! 괜히 아빠 기

분 나쁘면 누나랑 나한테 화풀

이 셔~" 중학생 때 아빠한테 혼

나고 쓴 일기의 내용이다. 중학

교 1학년 아들이 나한테 혼나

면 누나한테 가서 "아빠 괜히

나한테 화내!"라고 전하는 모

습과 흡사하다.

과거를 떠올려 보면 나 역시 잘

못을 뉘우치기보다는 일단 기

분 나쁜 게 우선이었다. 그래서

떠난 아버지께 늘 죄송하다. 이

제 와서. 그러면서 아이들을

한 움큼 더 이해한다. "... 오늘

은 맞지 않았다. 다행이다. 맞

지 않게 잘해야지..." 제대로 기

억나지 않는 상황이지만, 가장

인상 깊은 구절이다. 유독 방학

기간에 많이 혼났다. 어질러 놓

이 사랑스럽기까지 하다. 새 학 기의 각오도 있다. '까불지 말 자, 전화 간단히 하자, 편지 가

끔씩 쓰자, 용돈 아껴 쓰자, 할 머니한테 잘하자, 누나한테 대 들지 말자, 일기를 꼭 쓰자...' 구구절절하다.

아들이 중학생이 된 후부터 거 의 매일 밤 친구와 통화를 한 다. "일찍 자야지"라고 이를 악 물고 자상하게 말하지만, 이 역 시 부전자전이었다니. 학창 시

절 친구 사랑은 아무도 못 말린 다. 예전에는 각방에 전화가 있 었고, 모든 전화가 연결돼 있었 다. 내 방에서 통화를 해도 안

방에서 수화기를 들면 꼼짝없

이 들켰다. 일기장에는 공부에

대한 비장한 다짐을 비롯해 누

나와 싸운 내용, 나의 이상형, 여자 친구 이야기뿐만 아니라

아주 낭만적인 자작시도 남아

있다. 어린 이드id의 글 놀이터

가 이때는 일기장이었다. 이 낡

은 공책 덕분에 30년 넘는 세

월을 기억하고 추억한다. 중학

생 아이들을 좀 더 이해할 수

있는 기회는 덤이다.

지난주부터 아이들 방학이 시

작됐다. 방학 때마다 늘어졌던

나의 학창 시절이 떠오르지 않

을 수 없다. 매번 거창한 계획

표를 정성스레 그렸고, 무조건

신나게 놀았다. 단, 아빠의 유

일한 숙제였던 일기는 꼭 썼

다. 2023년 여름방학을 맞은 아이들에게 계획표를 만들라 고 했다. 그리고 나름 열심히 선별한 중1, 중3 권장도서를 각 4권씩 선사했다. 방학에는 책을 읽고, 일기도

고 있는 거 상상이 안 된다면 서도 "내용은 다 제 얘기 같은 데요?"라고 했다. 아이들이 뭔 가 안심하는 눈치다. 중학생 삼 인방(딸과 아들 그리고 중학생 아빠)의 만남을 통해 서로를 조금 더 이해할 수 있는 계기가 되지 않았을까. 일기로 남은 아 빠의 학창 시절을 떠올리면서 일기 쓰고 싶은 마음이 생기지 않았을까. ('착각은 자유지만 혼자 즐기세요'라는 책 제목이 떠오르는 이유는 뭘까요) 중학교 때 일기를 보며 나 자 신을 돌아보고 아이들을 이해 한다. 일기를 남기지 않았다 면, 그 시절을 떠올리며 수시 로 곱씹지 않았다면 아이들을 지금만큼 이해할 수 있었을까. 어린 시절 내 일기를 분석하 며 나 역시 내 아이들과 비슷 한 시절을 보냈다는 게 신기해 웃음이

퇴근 날 아침이 되면 항상 하

는 것이 있다. 바로 아침식사

준비다. 시ㆍ군ㆍ구 단위로

있는 본서나 본서에 속해 있

는 직할센터가 아니면 아침

은 따로 해 먹어야 한다. 그

러다 보니 교대근무를 하는

소방관들은 라면을 끓여 먹

기도 하는데 대부분 굶고 퇴 근을 한다.

몇 년 간의 본서 내근(행정

분야) 업무를 마치고 센터로

발령받아 와 보니 우리 팀도

아침을 먹지 않는 문화가 조

성되어 있었다. 그래서 당장

다음 근무부터 식사를 준비

하기로 했다. 이유는 내가 할

줄 알아서이다. 잘해서가 아 니다.

결심하자마자 계란, 간장, 참

기름, 소금 한 꼬집만 있으면

만들 수 있는 간장 계란밥부

터 전 날 남은 반찬이나 소

시지 같은 것을 잘라 넣어 만

든 볶음밥, 만두랑 물만 있으

면 만들 수 있는 만두백반까

지 하나하나 정성스레 만들

어 나갔다.

식사를 강요하지 않아야 한

내가 아침마다 식사 준비를 하는 이유

by 키랭이 / 브런치 섬김, 잘할 수 있는 것을 베푸는

다는 생각이 있어 아침마다

식수 인원을 파악했고 그에

맞게 조리했다. 반년이 흐른

지금은 자연스레 아침식사 담당이 되어 있었다.

사실 요리는 결혼 전까지 전 혀 해보지 않았다. 정확히 표 현하자면 해도 실패하기 일 쑤여서 시도조차 잘하지 않 았다. 그러다 아이가 생기 고 임신한 아내를 위해 이 것저것 만들다 보니 여기까 지 오게 된 것.(여기까지라 고 해봤자 그냥 지나가는 요 리 초보)

내가 잘할 수 있는 것으로 세 상을 이롭게, 선한 영향력을 끼치면서 살아가자.

이것이 수험생활 때 수첩 맨

앞장에 단단하게 설치한 내 인생 비전이자 소망이다.

길지 않은 인생을 살아오며 귀인(?)들의 도움을 많이 받 았다. 금전의 문제가 아니

다. 등 한 번 토닥거려 준 것, 손 한 번 잡아 준 것, 눈물 한 번 같이 흘려준 것, 모르는 사이인데 양보 한 번 해 준 것. 셀 수 없는 도움을 많이 도 받고 살았다. 그래서 늘

내가 피곤할지 언정 남에게 조금씩 베풀며 살아야 한다

는 것이 내 가치관으로 자리

잡게 된 것이다. 평생 소방관으로 근무하시

다 몇 년 전 퇴직하신 아버

지께서는 얼굴도 목소리도

모르는 소방동료의 도움 요

청에 본인이 상대방의 지역

까지 찾아가 몇 날 며칠이

고 물심양면으로 도움을 주

신 적이 있다. 훗날 내가 소 방에 입문하였을 때 그 분과

근무할 기회가 생겼는데, 두 고두고 감사의 말씀을 전하 셨었다. 다른 선배님들도 내

게 찾아와 과거의 감사했던 이야기들을 하나 둘 풀어놓 고 가곤 했다.

베풀고 산다고 해서, 그래서 조금 불편하다고 해서 아무

도 베풀지 않으면 세상은 점 점 더 각박해진다. 나의 살과 뼈를 깎고 가정을 내팽개치는 도움은 지양해 야겠지만,

원 프로와 나누는 골프이야기

생각이 행동을 지배한다

안녕하세요? 제목을 보시고 당연한 말을 한다

고 하시겠죠? 네 맞습니다. 이 당연한 이치를

우리 골퍼들은 가끔 잊고 있는 듯합니다. 나의

생각이 행동을 지배합니다. 즉 뇌에서 어떻게

움직이라고 신호를 보내면 각 근육들이 그 신

호대로 반응을 합니다. 무의식 중 행동이라고

해서 우리가 인지하지 못하는 생각을 통해서

도 어떠한 동작을 합니다. 주로 걷기 숨쉬기 등

등 일상 생활에서 습관적으로 또는 하루 중 많

은 시간을 해야 하는 반복된 동작의 경우에는

생각을 하고 있지 않아도 자동으로 근육들이

반응을 합니다. 마치 근육에 별도에 뇌가 있는

것처럼 말입니다.

by 티칭 프로 원성욱 (0402 598 961) 두 그룹의 공통점은 바로 ‘생각한 대로 행동 한다’ 입니다. 왜냐구요? 프로의 계획이 나무 를 오른쪽으로 피해서 그린을 향해 가는 것 이라면 주말 골퍼의 계획은 “아~ 저 나무를 맞 추면 안되는데...” 입니다. 결국 나무를 맞추는 정교한 샷을 하게 되죠. 방금 전 머리 속에서 타겟을 나무로 설정했기 때문이죠. 하지만 프 로 선수는 타겟을 나무가 아닌 나무 옆을 설 정했습니다. 그리고 그의 머리 속에는 나무를 피해서 날아가는 자신의 공을 상상하고 있겠 죠? 주말 골퍼의 머리 속에는 자신의 공이 나 무를 맞추고 다시 자신에게 올까 하는 걱정과 나무를 맞추면 어디로 튈지 몰라 서둘어서

골프에 이런 말이 있습니다. “프로는 계획한

대로 공을 보내고 주말 골퍼는 걱정한 곳으로

공이 간다.” 이 말도 공감하시죠? 맞습니다. 프

로 선수들의 공은 우리가 예상한 곳으로 갑니

다. 때로는 엉뚱한 곳으로 간다고 해도 그 다

음 샷이 기가 막힐 정도로 홀에 빨려 들어 갑

니다. 하지만 주말 골퍼들의 플레이는 어떤가

요? 친한 사이에서는 배꼽을 잡고 웃을만한 일

들이 자주 나오기도 하고 “또?” 라는 말이 나오

나의 팔이 위로 올라 갈지 옆으로 움직여야 할지는

기 일쑤입니다. 그 다음 자주 나오는 대사는 “

내가 이럴 줄 알았어” 입니다. 그래서 프로 선

수와 주말 골퍼의 차이라고 하기도 합니다만 가만히 보면 두 그룹의 공통점이 있다는 것을

아시나요?

23년 차 중년 부부가 생각하는 좋은 부부란

차 이 나

비 기여제는 최대 40년 예상

부모 이민 비자 처리 시간이 크게 늘어나면서 함께 살기 원하는 가족들의 고통이 커 지고 있다. 전문가들은 비 기여제 부모 이민 비자의 경우 대기 시간이 최대 40년까 지 걸릴 것으로 본다. 가디언 지는 지나치게 긴 부모 이민 비자 대기 시간으로 인해 어려움을 겪는 가족들의 사례를 소개했다.

폴란드 출신으로 현재 노르웨이에 거주하고 있는 마리아와 로버트는 호주 퍼스에 있는 아들과 함께 살 수 있기를 희망하고 있다. 이들은 2021년 8월에 기여 부모 비 자를 신청했다. 신청 시에는 3~4년을 기다리면 된다고 들었지만 지금은 소셜 미디 어를 통해 대기 기간이 6년 이상 걸릴 수 있다는 사실을 알게 되었다.

비슷한 상황으로 10년 전에 호주로 이주한 한국인 미숙 씨도 2017년에 기여 부모

비자를 신청했는데 현재로서는 2025년이나 2026년에야 신청서가 검토될 것으로 보고 있다. 현재 이민부의 처리를 기다리고 있는 기여 부모 비자 신청이 8만6,000 건이 넘는다.

노동당 정부는 작년에 의해 올해도 연간 기여 부모 비자 처리 목표치를 8,500건으 로 잡고 있다. 이는 그 이전 해에 할당된 4,500건보다 거의 두 배가 늘어난 것이지 만 이민부가 목표를 달성하더라도 현 시점의 비자 신청자는 10년 후에야 수속 심 사를 받게 되는 셈이다. 기여 부모 비자에 들어가는 수속 비용은 부부 기준 10만불 가량이다.

비기여 부모 비자의 경우에는 대기자가 5만 1,000건으로 상대적으로 적지만 매년 발급되는 비자 수는 훨씬 적기 때문에 지연 시간이 훨씬 더 길어진다. 내무부 웹사 이트는 비기여 비자를 새로 신청하는

qldkoreanlife.com.au qldkoreanlife

타운

이처럼 장기간의 지연으로 인해 많은 신청자들은 호주 당국이 자신들을 속였다고 느끼고 있다. 미숙씨가 주도하는 #clearthebacklog 캠페인은 정부에 부모 이민 비

자 처리 건수를 매년 2만건으로 늘릴 것을 촉구하고 있다. 이들은 현재와 같은 긴 대 기 시간으로 인해 보상을 요구할 권리가 있다고 믿는다. 정서적, 심리적 피해 외에 도 부모 이민 비자 대기 시간 문제는 심각한 사회적 문제를 야기한다. 많은 이민자

들이 육아 등 실질적인 도움을 받기 위해 부모의 이주를 필요로 하는데 이것이 늦춰

지면서 또 다른 사회 비용이 발생하는 것이다.

정부가 수요에 맞춰 부모 이민 승인 건수를 늘리지 않는 데에는 두 가지 요인이 있 다. 첫째, 매년 2-3만명의 고령 이민자가 호주 인구에 추가될 호주의 인구 및 재정

구조가 건강하지 못하게 바뀔 것이라는 우려이다. 둘째, 현재의 주택 위기, 호주의

보건 및 노인 케어 시스템에 대한 압박과 같은 문제로 부모 이민이 늘면 다음 선거

에서 불리할 수 있다는 각 정당의 계산이다.

알바니즈 연방 정부는 숙련된 이민 개혁에 우선순위를 두면서도 가족 이민 문제도

해결하겠다고 약속한 바 있다.

지난주 앤드류 자일스 이민부 장관은 이전 정부가 수용 인원을 줄이면서 대기 시간

이 폭발적으로 늘어났다며 "이는 현 제도가 모든 호주인에게 최선의 이익을 위해

작동하고 있지 못했다는 신호 중 하나"라며 “현행 시스템을 검토할 계획이고 향후

이에 대해 더 자세히 말씀드릴 수 있을 것”이라고 말했다.

여자 축구 2연패... 16강 사실상 탈락

콜롬비아 전 이어 2연패... 8월 3일 브리즈번에서 최종전

한국 여자축구 대표팀이 2023 국제축구연맹(FIFA) 호주·뉴질랜드 월드컵 조별리그

에서 2연패를 당해 16강 진출이 사실상 어려워졌다.

콜린 벨(잉글랜드) 감독이 지휘하는 한국(FIFA 랭킹 17위)은 30일 호주 애들레이드

의 하인드마시 스타디움에서 열린 모로코(FIFA 랭킹 72위)와 H조 조별리그 2차전

에서 0-1로 졌다. 25일 콜롬비아(FIFA 랭킹 25위)와 1차전에서 0-2로 패한 우리나

라는 2패를 기록, 조 최하위가 됐다.

이로써 우리나라는 이어 열리는 독일(FIFA 랭킹 2위)과 콜롬비아 경기 결과에 따라 16강 탈락이 확정될 수 있다. 이 경기에서 독일이 이기거나, 무승부로 끝나면 한국

의 16강 진출 가능성이 사라진다.

모로코는 전반 6분 하나네 아이트 엘 하지가 오른쪽에서 올린 크로스를 이브티삼

즈라이디가 머리로 받아 넣은 득점을 경기 끝날 때까지 잘 지켰다. 아랍권 국가로는 사상 최초로 여자 월드컵 본선에 나온 모로코는 역사적인 대회 1호 골과 첫 승리를

모두 한국을 상대로 기록했다. 한국은 8월 3일 오후 7시 호주 브리즈번에서 독일과

조별리그 최종전을 치른다.

이름에 '희'자가 들어가는

여자들 때문에

신난다!

내가 주민센터에서 강박적으로 힘들었던 업무 중에 하나는 그 놈의 인감 발급이었다. 한국 여자들의 이름에 유난히도 많이 들어가는 그 '희'자 때문이다. 진희, 순희, 영희, 명희, 주희, 재 희, 예희, 소희, 성희, 경희, 숙희, 선희, 정희, 지희처럼 대한민국 에 수많은 여자들의 이름에 '희'자가 들어간다. 그런데 이 '희' 자 한문 두 글자 생김새가 아주 비슷하다. 바로 姬 와 姫 다. 두 글자 모두 여자 '희'로 자세히 보지 않으면 구분이 잘 안 된다.

그래서 주민센터에서 출생신고를 할 때 한자와 구청에서 가족

관계등록을 할 때 바뀌는 경우도 많고 성인이 돼서 신분증을

만들 때 다른 한자가 들어가서 여기저기 뒤죽박죽 섞여 있는

경우가 아주 많다.

중요한 건 인감도장의 한자도 다른 경우가 매우 많다는 것이

다. 예를 들어 신분증에는 '姬' 이 한자를 쓰고 인감도장은 '姫' 이 한자를 판 경우가 대부분이다. 도장 파는 사람들과 본인조

차도 틀린 사실을 모른다. 아마도 평생 모르고 사는 사람들도 많을 것이다.

원칙왕자인 나는 미대입시를 준비하며 석고데생을 그리고 구

성과 모티브를 하고 미대에 가서 디자인을 전공하고 디자이너 로 일을 하다 공무원이 되었다. 무슨 말이냐면 시각적 관찰력 을 특별하게 훈련받았다는 뜻이다. 나는 어느 날 틀린 그림 찾 기처럼 민원인들이 갖고 온 인감도장의 한자와 신분증의 한 자가 미세하게 다른 것을 예리하게 찾아냈다. 굳이 그럴 필요 도 없는데 말이다. 다 그냥 대충 살면 되는데.... 나는 사서 고 생을 한다. 한번 그런 거에 꽂히면 강박적으로 더욱더 중요하 게 생각하게 된다. 더 자세하게 주도면밀하게 필사적으로 확 인한다.

한자가 틀리면 나는 인감도장을 다시 파오라고 했다. 하지만 말했듯이 대한민국에는 '희'자가 들어간 여자가 아주- 많고 그 들의 인감도장 대부분 '희'자 한자가 틀렸다. 하루에도 몇 명씩

그런 여자들이 내게로 왔다. 나는 원칙 강박이 있기 때문에 무

조건 다시 파오라고 했다. 설명하기도 짜증이 났다. 한자를 쓰

거나 출력해서 일일이 민원인에게 설명을 해야 했다.

"선생님, 신분증에는 이 '姬'고 인감도장은 이 '姫'니까 인감도

장을 다시 파오셔야 합니다."

그럼 정말 100% 여자분들이 그

도 있었지만 고래고래 소리를 지르는 미친 여성분도 있었다.

무조건 인감을 떼 달라는 거다.

"인감 떼 주세요! 인감 떼 달라고요!!!!!"

그 미친 여성분은 월요일 아침 9시부터 와서는 록가수라도 된

것처럼 샤우팅을 해댔다. '컹!', '컹' 무섭게 짖어대는 진돗개처

럼 나를 향해 소리를 지르며 인감을 떼 달라고 하는 모습이 영 화의 한 장면처럼 기억에 남아있다. 그런데 내가 출력을 해줬

는지는 기억이 나지 않는다. 순간적인 기억상실증인 것 같다. 점점 인감증명서를 떼러 오는 여자들이 무서웠다. 마음속으 로 생각했다. '제발 '희'자가 들어가지 않은 여자이길!' 심장이 두근두근 거리며 다가오는 여자의 입술에서 나오는 소리에 귀 기울였다.

"ㅇㅇ이이이인가가가가감 ㄸㄸ떼러러러 ㅇㅇ오와ㅆ어요요."

'제기랄- 인감이라니! 그럼 제발 '희'자가 안 들어갔길!' 타짜가

카드 모서리를 살짝 들어 패를 열어보듯 조심스럽게 신분증

에 인쇄되어 있는 성명과 막도장과는 비교도 안 되는 두껍고 고급스러운 재질의 인감도장을 확인한다. '희'자가 안 들어갔

으면 휴~안도의 한숨을 내쉬고 눈웃음까지 쳐가며 표정이 밝 아진다.

하지만 '희'자가 들어갔고 한자의 차이를 발견하면 얼굴은 다 시 잿빛이 된다. 어떤 반응이 올지도 모르는데 또 어떻게 그들

을 설득해야 하나? 한숨이 절로 나오고 가슴이 깝깝해진다. 아

무도 신경을 안 쓰는 그놈의 '희'자 때문에 노이로제에 걸릴 지 경이었다. 옆에서 함께 일하는 6급 계장님도 강박적으로 '희' 자에 매달리는 나를 보고 답답하셨겠지만 뭐라 할 수 도 없는 상황이었다. 서류발급

두 한자는 명백히 다른 한자였다.

나는 '희'자 들어가는 여자들이 무서웠다. 그런데 여기서 행복 했던 사람이 한 명 등장한다. 그 사람은 바로 우리 주민센터 바 로 앞에 있던 도장집 여사장이었다. 요즘 도장집 찾기가 어렵 다. 인사동이나 가야 예쁜 도장집들이 있지 동네에서는 특히 보기가 어렵다. 더군다나 인감증명서를 대신하는 본인확인증 명서가 생겨서 더욱 인감도장이 필요 없어지고 있다. 그런데 나 때문에 도장집 사장님은 손님들이 꽤 늘었을 것이다. 내가 ' 희'자의 여인들에게 주민센터 건너편에 도장집이 있으니 인감 도장을 다시 파오라고 했기 때문이다. 그럼 대부분의 사람이 내 말을 수긍하고 인감도장을 새로 파왔다. 그럼 나는 인감도 장을 교체해 주고 쿨하게 인감증명서를 발급해 드렸다.

주민센터에 보관되기 때문이다. 내가 이사를 가면 인감대장도 나를 따라서 우편으로 이사 가는 동네 주민센터 인감담당자에 게 가는 시스템이다. 다른 동네에 살고 있는 '희'자가 들어간 여 자들은 어쩔 수 없이 자기 동네 주민센터로 가야 했다. 서울이 라면 상관없겠지만 지방에라도 살게 된다면, 심지어 제주도나 외국에 있다면 진-짜 서로 마음이 어려워진다. 하지만 나는 원 칙 강박이 있기 때문에 어쩔 수 없었다.

가로 열쇠

1. 익살을 부리면서 하는 말이나 짓

3. 돈을 쓰는 데에 몹시 인색한 사람

5. 앞뒤 사정과 까닭

6. 옥수수

9. 금으로 만든 돈

12. 가죽을 재료로 하여 만든 서양식 신

13. 멍하니 정신을 잃음

14. 산과 물, 경치

17. 다른 곳으로 옮겨 가서 사는 사람

19. 마음을 다잡지 아니하고 풀어 놓아 버림

20. 무리를 거느려 다스리는 능력 21. 더욱 심하다 못하여 나중에는

세로 열쇠

1. 뜻하지 아니하게 일어난 일

2.강의를 시작함

3.생선에 양념을 하여 구운 음식

4.○○도 단김에 빼라

5.고마움의 뜻으로 주는 돈

7.음식을 신선하게 보관하기 위해 얼림

8.우리나라 제일의 산

10.멀리 볼 수 있도록 높이 만든 대

11.공자가 구슬을 꿴다

15.수치를 느끼는 마음

16.머리가 아픈 증세

17.거쳐 온 학업, 직업, 경험 등의 내력

18.백성의 마음

19.공격을 막음

스도쿠 SUDDOKU

김선생 수학

김도윤

푸른파도교회 목사

시편 146편 (쉬운성경)

“하늘은 스스로 돕는 자를 돕는

다”는 말이 있습니다. 스스로의

노력을 강조하는 격언입니다.

이 문구는 1859년 사무엘 스마

일즈라는 스코틀랜드 작가, 정

치가가 쓴 '셀프 헬프 Self-Help'

라는 책에서 나오는데 자기계

발서의 원조격입니다. 한국 서

점 베스트셀러 상위를 기록하고

있는 책 ‘세이노의 가르침’도 자

기계발서로 분류되고 있죠. 그

런데 여러분, 그런 책들을 읽고

따라 하면 자기 계발이 잘 되나

요? 스스로 자신을 돕고 노력해

서 크고 놀라운 것을 이루게 되

셨나요? 그런 사람들을 주변에

서 많이 보셨나요?

하나님께서는 시편 146편 말씀

을 통해 누가 진짜 도움이 되시

고, 우리가 무엇에 소망을 두어

야 하는지 알려주십니다.

당신의 도움과 소망은 어디서 옵니까?

1. 사람을 의지하지 말라!

(3-4절)

3절에서 ‘높은 사람들에게 의지 하지 말라’고 하십니다. 영어 성

경에서 ‘높은 사람들’을 왕자들 (NIV), 힘있는 사람들(NLT), 귀 족들(NASB), 영향력 있는 사람 들(GWT), 리더들(GNT), 전문

가들의 손(MSG)이라고 번역합 니다. 하나님께서는 그들을 의

지하지 말라고 하십니다. 언젠 가 죽을 수 밖에 없는 운명을 가

진 그들은 사람을 구원할 수 없

기 때문이라고 하십니다.

아직까지도 가슴 아픈 한국의

세월호 사고, 이태원 참사, 오

송지하차도 침수 사고 등은 높

은 사람들을 의지하기 더 어렵

게 만들고 있습니다. 우리 모두

호주, 한국, 세계 어디서든 가정, 교회, 관계, 교계, 직장, 정치, 입 법, 사법, 행정, 문화/예술, 경제, 교육, 의료, 환경 등 다양한 분야 에 속해 있고 그 안에서 서로에 대한 불신은 커져가고 있습니 다. 각자 알아서 살아야 한다는 ‘각자도생’이라는 말이 유행이 라고 하니 참으로 안타깝습니 다. 인간의 능력과 능력엔 넘을

수 없는 한계가 있습니다. 시편

127:1-2 여호와께서 집을 짓지 않으시면, 집 짓는 자들의 수고 가 헛됩니다. 여호와께서 성을

지키지 않으시면, 경비병들의 보초가 헛됩니다.

헛되이 일찍 일어나고, 늦게까

지 일할 뿐입니다. 먹을 음식을 위해 수고할 뿐입니다.

2. 하나님께 도움을 삼고, 여호와께 소망을 두라! (5절)

시편121:1-2 내가 눈을 들어 산

들을 바라봅니다. 나의 도움이

어디에서 옵니까? 나의 도움은

여호와로부터 옵니다. 하늘과

땅을 만드신 그 분으로부터 옵

니다.

시편 146편의 하나님은 1. 창

조주(6) 2. 영원히 신실하신 분

(6) 3. 박해당하는 자들을 변호

하시는 분(7) 4. 배고픈 자들에

게 음식을 주시는 분(7) 5. 갇힌

자들을 풀어 주시는 분(7) 6. 보

지 못하는 사람에게 시력을 주

시는 분(8) 7. 낮아진 자들을 들

어올리시는 분(8) 8. 의로운 자 들을 사랑하시는 분(8) 9. 나그 네, 고아와 과부를 돌보시는 분 (9) - 10. 악한 자들의 길을 좌절

시키시는 분(9)이십니다. 위의 10가지 성품의 하나님을 자신 의 도움으로 삼고, 그분께 소망 을 두는 사람은 진정 행복한 사 람입니다!(5)

성경에 나오는 하나님의 대표적 인 이름은 엘로힘(하나님)과 야 훼(여호와)입니다. 엘로힘은 피 조세계를 대하시는 창조주 하 나님을 일컬을 때, 야훼는 그분 의 자녀들을 보호하시고 공급하 시는 분으로서의 하나님을 부를 때 사용합니다. 위의 10가지 성 품을 가지신 하나님은 본문에 야훼(여호와)로 기록되었고, 이 는 주께서 믿는 자들을 얼마나 친밀하고 구체적으로 살펴 주시 는지 잘 보여줍니다. 할렐루야!

3. 여호와를 찬양하라! 예배하라! (1-2, 10절) 1. 사람을 의지하지 않고, 2. 하 나님의 도움만으로 살아가기 로 다짐하고 여호와께만 소망 을 둔 사람들은 자연스럽게 3. 여호와를 ‘평생’ 찬양하고 예배 합니다.(1-2) 여호와의 다스리 심 즉 하나님의 주권을 선포하 고 찬양합니다.(10) 미래지향적

입니다. 지금은 아닐지도 모르

지만 미래에는 반드시 여호와 의 통치가 모든 영역에서 실현 될 것입니다. 내가 속한 곳에서 여호와의 다스리심을 경험하게 될 것입니다.

시편 103:1 내 영혼아 여호와를 송축하라. 내 속에 있는 것들아 다 그의 거룩한 이름을 송축하 라.(개역개정)

이제 우리의 삶을 돌아봅시다. 하나님보다 사람들을 더 의지 하지는 않았는지 살펴봅시다. 개인적으로, 가정적으로, 공동 체적으로 하나님 보다 사람들을 더 중요하게 여기지는 않았는지 깊이 생각해봅시다. 만약 그랬

다면 이제 새롭게 리셋하고 하 나님만을 도움으로 삼고, 여호 와께 소망을 두며, 찬양하고 예 배합시다. 그분은 10가지 성품 을 바탕으로 우리에게 가장 좋 은 것을 주시고야 말 것입니다. “하늘은 스스로 돕는 자를 돕는 다”를 “하나님은 스스로 돕는 자를 돕는다”로 치환하는 크리 스천들이 많이 있습니다. 맞습 니다. 하지만 기억해야 할 것은 “하나님은 스스로 돕지 못하는

자들도 돕는다”는 것입니다. 하나님은 우리가 할 수 있는 영역을 초월하는

이거 100개만 하세요!

이것 저것 다 해보지만 좀처럼 빠지지 않는 뱃살! 좀 빠졌다 싶다가도 몇 끼 배불리 먹으면 다시 올라오는 이놈들을 아주 효과적으로 잠재울 수 있는 운동을 소개해드립니다. 저도 어제 이거 하고 잤더니 아침 배가 평소보다 더 들어가 보이더라구요! 난이도가 있는 동작을 초보자를 위해 좀더 쉽게 변형해 알려드릴테니 10개라고 겁부터 먹지 마세요. 특히 복근 운동하면서 배보다 목이 더 아팠던 분들은 오늘 운동에서 불필요한 통증 없이 안전하게 운동하실 수 있을 거예요. 오늘 운동은 제 유튜브 채널 ‘요가읽어주는 여자 hayeon’에서 (DAY7) 살빠지는 요가 | 뱃살 뺀다고 복근 운동하다가 배보다 목이 더 아팠던 분들... 편을

1. Alternating Toe Tap

아랫배 근육 활성화 (코어 운동 전 웜업 ), 허리 보호

STEP 1. 등대고 누운 상태에서 두 다리를 90도 정도로 구부려 줍니다.

STEP 2. 두 다리를 모으고 바닥에서 뗀 다음 한 발씩 바닥에 가져가세요.

STEP 3. 발가락 끝을 살짝 바닥에 스치듯 내려줬다가 바로 올라오면 됩니다.

STEP 4. 아래 허리가 바닥에서 뜨지 않게 주의하며 7-10회 반복합니다.

TIP! 복부를 계속해서 등쪽으로 끌어 당기는 힘으로 허리를 바닥과 밀 착시켜주세요.

2. Hundred 변형 자세 A 복근 강화, 위아래 뱃살 감량

STEP 1. 두발을 바닥에 대고 무릎을 세운 상태에서 두손을 머리 뒤로 깍지 끼 고 상체를 올려주세요.

STEP 2. 천천히 왼손을 앞으로 뻗고 한 팔만 위 아래로 pulse를 반복하며 짧 게 움직여줍니다.

STEP 3. 20번을 진행한후 머리를 잠시 내렸다가 반대 오른팔을 앞으 로 보내 같은 방법으로 20회 반 복합니다.

STEP 4. 양 방향 20번이 끝나면 잠시 휴 식하고 다음 단계를 준비합니다.

3. Hundred 변형 자세 B

위의 A가 익숙해지면 도전해 보세요!

STEP 1. 이번엔 두발을 들고 같은 방법으로 Pulse 동작을 이어갑니다.

STEP 2. 두다리를 90도 정도로 유지하고 팔을 길게 앞으로 뻗어주세요.

STEP 3. 가슴을 최대한 높게 들고 한 손으로 머리를 받쳐줍니다.

STEP 4. 좌우 손을 바꿔가며 각각 20개가 끝나면 한번 더 짧게 휴식하세요.

4. Hundred 변형 자세 C A,B 자세가 잘 되시는 분들을 마지막 변형자세에 도전!

STEP 1. 두다리를 천정 쪽으로 길게 뻗었다가 허리가 뜨지 않은 범위에서 앞 으로 길게 뻗으며 내려줍니다.

STEP 2. 가슴을 앞으로 보낸다는 상상으 로 고개를 들고 한 팔을 뻗고 10 개 진행합니다.

STEP 3. 10개가 끝나면 다른 팔로 바꿔 다시 10개 해줍니다.

STEP 4. 천천히 머리를 내리고 잠시 휴식 하고 영상 참고해 브릿지 동작과 플랭크까지 함께 해주세요.

TIP! 목이 아프지 않은 범위까지만 가 슴을 들고 발을 앞으로 뻗어주고 버텨주세요!

5. Low Plank

팔과 코어 근력 강화, 헌드레드 후 하면 뱃살 감량 효과는 두배!!

STEP 1. 팔꿈치를 바닥으로 대고 마지막으로 플랭크 자세를 취합니다.

STEP 2. 엉덩이가 어깨보다 올라가지 않게 유지하세요.

STEP 3. 옆구리의 자극을 좀더 느끼고 싶 다면 좌우로 엉덩이를 움직여 힙 딥을 해줍니다. (레인보우 모양 상상)

STEP 4. 처음엔 30초 버티는 것을 목표 로 해보세요.

TIP! 위의 헌드레드로 활성화 되었던

코어를 마지막으로 한번 더 사용 해 지방을 불태울 수 있는 기회

니 끝까지 포기하지 않기예요!

Life) 대표 https://bit.ly/3w9ks4u (KOR) https://bit.ly/SubscribeToYogasong (ENG) yogafulnesslife

이메일 : connect@yogafulness.life 홈페이지 : www.yogafulness.life 인스타그램 https://instagram.com/yogasong_hayeon

자녀 성교육 언제부터 해야 할까?

아이들과 ‘성(性)’에 대해서 가장 솔직하고

자연스러운 대화를 나눌 수 있는 연령대가

정해져있을까?

성교육자이자 책「말하는 섹 스(Talking Sex: A Conversation Guide For Parents)」의 저자인 바네사 해밀턴 (Vanessa Hamilton)은 부모와 자녀가 성

에 대해 열린 마음으로 대화를 나누는 것은

도로 안전, 건강한 식습관에 대해 알려주는

것과 동일하게 중요하다고 말했다. 그는 “과

거 성교육의 목표는 원치 않는 임신과 성병

을 피하는 것에 초점을 맞췄다면, 현대사회

에서는 교육의 목표가 훨씬 포괄적이며, 긍

정적이고 상호 존중적인 성관계를 형성하도

록 알려주는 것에 초점을 맞추고 있다.”고 말 했다.

성교육은 내가 나를 이해하고 어떤 가치관과 판단력을 가지고 내 몸을 제어하고 상대방을

이해해야하는지 가르치는 것이며, ‘섹스’는 그 중 일부에 불과하다. 아이들이 분별력을 갖고 자신의 성적 결정권을 행사할 수 있도

록 하는 정보를 제공하는 것이 포괄적 성교 육의 취지이다. 또 해밀턴은 부모들에게 “성 에 관한 정보, 존중 및 관계에 대한 동의에 대 해 아이들이 어디서 정보를 습득하길 원하는 지 묻고싶다. 포르노나 놀이터가 아닌 부모 와 교실에서 이런 정보가 전달되어야한다.”

고 덧붙였다.

[ 아동 시기별 올바른 성교육 방법 ]

△ 미취학 아동

이 시기에는 눈, 코, 귀, 발, 무릎, 외음부, 질,

음경, 고환 등 정확한 신체의 명칭을 알려줘

야 한다. 그래야 건강적인 문제나 또는 성폭

력을 비롯한 부적절한 일이 발생했을 때 정

확하게 의사소통을 할 수 있다. 더불어 신체

안전에 대해서도 이야기해야한다. 섹슈얼

헬스 빅토리아(Sexual Health Victoria)의

커뮤니티 매니저인 사만다 리드는 ‘자기 몸

의 주인은 자신이며, 그 누구도 허락없이 자

신의 몸에 접촉할 권리가 없다.”는 것을 가르

쳐야 한다고 주장한다.

△ 초등학교 저학년

저학년 아이들은 주변에 대한 호기심이 활발 하고, 이해하고 싶어하는 시기이다. 또 신체

가 어떻게 작동하는지에 대한 폭발적인 질문 이 넘쳐난다. 이 때 대부분의 부모들은 당황

하거나 올바른 대답을 해야한다는 강박으로

인해 오히려 아무런 대답을 해주지 못할 경 우가 많다. ‘크면 다 알아, 그럴 시간에 공부 나 해’와 같은 대답은 부적절하다. 오히려 아

이들의 질문에 아주 직접적이고 솔직하게 답 변해주어야 한다. 그렇지 않으면 놀이터나 인터넷에서 성에 대한 잘못된 정보를 얻을 가능성이 높다.

△ 초등학교 고학년

일반적으로 고학년에 접어든 아이들은 성, 생식기에 대한 자세한 정보를 이해할 수 있 다. 해밀턴은 고학년 자녀를 둔 부모들을 위 해 가이드라인을 제시했다. ‘아기는 어떻게

생기는지’에 대해 이야기 할 때 “시험관 아

기, 대리모, 입양 등 아기를 갖는 방법에는 여

러 가지가 있지만 가장 일반적인 방법은 여

성과 남성이 아기를 가질 것을 결정하는 것

이다. 서로를 존중하고 사랑하며 많은 이야

기를 나누고 둘만의 장소와 시간을 선택한

다. 옷을 입지 않은 상태에서 서로 준비가 되

면 여자의 질에 남자의 성기를 삽입하고, 음 경에서는 정자를 전달하고, 정자는 난자를 만나게 된다.”고 자세히 말해주며 이 모든 것

은 어린이들을 위한 것이 아니라 몸과 마음 의 복잡한 것들을 받아들일 준비가 된 어른 들을 위한 것이라고 설명해주는 것이 좋다.

14세에서 18세 사이의 중고등학생 6,500 명을 대상으로 조사한 결과, 학생들은 건강 한 관계를 맺는 방법에 대한 정보를 원한다

는 통계가 나왔다. 단순한 지식을 넘어서 성 적 다양성, 자위와 쾌락, 성관계를 맺는 파트 너와 대화하는 법, 관계에 동의하는 방법 등 실질적인 주제에 대해 필요성을 느끼는 시기 라는 것이다.

호주 연구에 따르면 16세에서 17세 사이의 여학생 절반, 남학생의 1/3이 지난 12개월 동안 원치 않는 성적 행동을 경험한 적이 있 는 것으로 나타났다. 이러한 연구 결과가 반 드시 올바른 성적 정보, 교육을 제공해야하 는 책임을 뒷받침한다.

해밀턴은 “포르노는 폭력적이다. 만약 아이 들이 틱톡, 성인영화, 포르노를 통해서 성에 대해 잘못된 정보를 접하게 된다면 존중, 사 랑, 배려, 기쁨, 즐거움이나 친밀함의 경험 등의 메세지는 얻지 못한다. 한 생명이 태어 나는 놀라운 방법, 사랑스럽고 훌륭한 성경 험, 성교육을 알아가는 것은 전혀 잘못된 일 이 아니며, 부모가 이런 대화에 열린 자세로 참여할 수록 자녀들은 잘못된 정보, 메세지 로부터 보호받을 수 있을 것이다.”고 말했다.

QUEENSLAND 교민게시판

한국통합민원센터 ㈜

대리인 지정 관련 서류 ' POA(위임장), LOA(임명서) 비대면으로 제공

한국통합민원센터 통해 온라인으로 쉽고 빠르게 전세계 제출 가능해

국내에서 사업을 운영하고 있는 다수의 기

업들은 해외 사업 진출 및 사업과 관련한 소

송, 철수 등의 활동을 하게 된다.

이때 가장 먼저 해야 할 일은 법인 대표를 대

신하여 권한위임 또는 직책 등을 임명하는

절차라 할 수 있다.

이 중 선행되는 두가지의 중요한 문서가 있 다. 먼저 특정인에게 특정한 범위에 한정된

사항을 위임하는 문서인 POA(Power Of Attorney) 와 기업으로부터 특정인에 대해 특정한 기간 동안 특정 직책을 규정하는 문 서로 구체적 행위 능력의 범위를 규정하고 있는 임명장인 LOA (Letter Of Au-thorization)이 있다.

만약 한국의 한 법인이 해외 현지에서 사업 상의 피해가 발생하였다면, 이에 대한 소송 및 필요한 절차를 위임하기 위해 위임장 및

임명장을 작성 후 번역, 공증, 외교부 확인, 주한 해당국가의 대사관 인증을 거쳐 '대리

인'을 지정하였음을 증명해야 한다.

한국통합민원센터를 운영중인 후엠아이글

로벌 해외사업팀 최초아 주임은 "대리인을

지정하여 위임하는 과정에 있어 위와 같이

복잡한 절차를 한번에 해결할 수 있는 것이

시간과 비용을 줄이는 효과적인 방안" 이라 고 밝히며 해외에서의 서류 준비와 대행 서

비스에 관하여 전문기관을 활용할 것을 권

고하고 있다.

한편, 전 세계 150여개 국가를 대상으로 해

외 민원서류 발급 대행 서비스를 제공하고

있는 ㈜ 한국통합민원센터는 현재 캐나다,

베트남, 홍콩 등 지사 설립을 확대 추진하는

등 전 세계로 서비스를 확장해 나아가고 있 으며, 2024년 상반기 코스닥 상장을 추진 중 에 있다.

ECCQ BBV & STI 한인지원서비스

B형 간염/C형 간염 문의 B형/C형 간염보유자 무료 간탄력도 검사 (FibroScan) - 비자에 상관없이 무료

담당자: 김미림

연락처: 07 3844 9166 | korean@eccq.com.au

강습 : 65세 이상 남,녀 (회비 $5)

일시: 매월 2, 4째 목요일 오전 10시 ~ 오후 2시

장소: 비전 장로교회

주소: 24-26 3/15 Jackman St, Southport

문의/상담: 골드코스트 한인회, 0418 763 186

주최: 골드코스트 한인회 / 주관: 골드코스트 시니어 그룹

2023 차세대 지도자 포럼에 초대합니다

호주한인총연합회에서 2023 차세대 지도자 포럼에 초대합니다. - 일시 : 2023년 8월 26일(토) 2pm ~ 9pm - 장소 : Albert River Wines, 869 Mundoolun Connection Rd, Tamborine QLD 4270

골드코스트 JUJINIS ART

쉽게 접근하고 오래 유지할 수 있는 취미, 조용하고 잔잔하지만 마음의 큰 위로가 되는

전통과 현대가 어루러진 모던민화로 힐링타임을 즐겨보세요^*^

- 수업대상 : 예쁜것, 클래식을 좋아하시는 분들!!

수업일 : 오전반 10am ~ 1pm (월,화,수,목,금) / 오후반 6pm ~ 9pm(금)

*수업에 필요한 물감과 한지 제공합니다.

- 신청/문의 : 0455 872 743

확과로 노인돌봄 과정을 개설했습니다. 서티 4 과정으로 어스터디 가능하고 학생비자도 가능합니다. www.accu.edu.au / info@accu.edu.au

전화 : 02 6255 4597/ 0402 140 905 / 0430 045 078

- 무료상담 (02 9858 5900)

부부 혹은 자녀와의 혹은 가까운 분들과의 관계의 어려움 혹은 중독의 문제 우울증 등 다양한 어려움에 힘겨운 분들은 전화를 주셔서 회복하여 건강하고 행복한 삶을 영위하시기를 소망합니다.

위기 상담 뿐아니라 소정의 유료서비스도 원하는 내담자에 한해서 제공합니다. 호주 전역 어디에서나 어느 시간이나 상담이 가능합니다. 365일 24시간 www.koreanlifeline.org

상담전화 : 02 9858 5900 | info@koreanlifeline.org

상담원들과 전문상담 의뢰할 기관도 모집합니다. 0430 045 078

교민을 위한 영어회화 교실 Term 2 호주 이민생활 중에 가장 힘들어하는 영어 회화!

영어로 인해 주눅이 들린 사람, 영어 때문에 스트레스 받는 사람 걱정 마세요. 하고 픈 말 마음껏 하 실 수 있도록

여러분과 같이 동행하며 도와 드리겠습니다.

저희는 문법도 모르고 스펠링도 잘 모르지만 하고 픈 말 마음껏 하고 삽니다.

영어 회화는 실력도 아니고 문법도 아닙니다.

영어는 동사와 억양과 그리고 발음만 잘 연습하면 하고 픈 말 다 할 수 있습니다.

영어도 배우는 방법이 있습니다.

강사는 호주에서 40년 이상 살았고, 영어 강사 자격증을 있으며, 현재 브리즈번 소재 영어 학원 강사이며 한인 목사입니다.

이 소식은 전도용이 아니니 영어 배우러 오세요. 교회 출석 안 해도 됩니다.

빨리 영어를 배워, 살기 좋은 호주 땅에서 살 맛 나는 호주 생활 살아보세요!

장소 : 동행하는 교회 (A1, 10-14 Compton Rd, Underwood) 기간 : 7월 21일 ~ 9월 9일 (총 8주)

(매주 금요일 아침 9:30 AM - 11:30 AM 영어 회화 위주) (매주 토요일 아침 9:30 AM - 11:30 AM 영어를 빨리 배우는 방법)

: 하루 수업당 $5 (간식 및 교재)

신청 문의: 0400 878 882 jackjeong@hotmail.com

긴급/주요기관 안내전화

긴급전화(경찰, 앰블런스, 화재) 000

Police Liaison Unit(한국어) 3364 3217

경찰업무 관련 한국어로 통화를 원할 때 Police Link 131 444

가정폭력 1800 811 811

여성상담센터 0425 252 372

성폭행 상담 3636 2414

수도 1300 366 692

독극물, 생명전화(24시간) 13 11 14

위기구호, 아동학대 1800 177 135

음주, 마약 3236 2414

브리즈번 시티카운슬 3403 8888

골드코스트 시티카운슬 5582 8211

골드코스트 관광청 5592 2699

서프사이드 버스 시간표 13 12 30

센터링크 13 61 50 / 13 12 02(한국어)

이민성 13 18 81

일기예보 1900 914 450

임신상담, 정보 1300 139 313

의료기관 정보 3236 4833

전화번호 안내 12 455, 1233

전기, 가스 문의 13 12 53 / 13 62 62 (사고)

텔스트라 문의 125 111 / 1800 773 421(한국어)

통역서비스 13 14 50

대한무역진흥공사 02 9299 1790

간판/인쇄/디자인

i-hub 0435 831 116

NB Signs - 간판, 인쇄, 디자인 0421 790 885

Sunny Creative 0412 840 533

건강식품/기념품

뉴질랜드 초록홍합,녹혈,녹용 캡슐 판매 0403 736 998

드림로드 양모, 한국이불 3209 5445

New Core 건강식품 3012 7886

SINI 건강 (써니뱅크점) 3344 7881

건축/인테리어/집수리

한국

호주지회 0452 188 070 교민단체

한인회 0418 763 186

한인회 총연합회 0427 566 474 월남전 참전자 전우회 퀸즐랜드지회 0411 378 391

재향군인회 퀸즐랜드 분회 0412 629 358

퀸즐랜드 주 한인회 3390 0024/ 0424 724 624

퀸즐랜드 한국 참전 유공자회 0414 295 709

퀸즐랜드 한인 골프회 0430 202 239

퀸즐랜드 한인경로회 0418 883 377/3345 1400

퀸즐랜드 ROTC 동문회 0415 695 635

퀸즐랜드 한인 비즈니스 협회 0408 889 792

퀸즐랜드 한인 오케스트라 0411 820 800

퀸즐랜드주 해병 전우회 0427 334 521

BRISBANE

나이스 블라인드 3133 8330, 0421 594 083

대니 핸디맨 0402 299 915

백향건설 0434 763 843 / 0421 025 230

스타 블라인드 0430 715 906

에벤에셀 인테리어 0421 438 424

윈도우 아트 블라인드 0490 537 244

욕실 누수 전문(욕실

결혼 주례 써니뱅크 정부 공인 주례사 0408 688 010

i-Care 0433 494 281

골프레슨

원성욱 프로 레슨 0402 598 961

Victoria Park Golf Learning Centre 한국어 0451 899 874

타일, 방수) 0452 471 080

콘솔 블라인드 0408 288 789

ARCHIONE Design Builders 0402 533 628

Beauty Home Blind 0408 011 021

Blue River Design & Construction 0478 709 032

Blue Whale Construction 0402 272 891, 0416 911 333

BL 핸디 홈 메인터넌스 0416 911 444

City Garage Doors 차고문 당일수리, 제작 0492 889 349

Dr 핸디맨 0478 833 415

G1 Painting 0450 959 010

교육/학원/개인교습

만나떡집

오복떡집 3711 2155

레저/캠핑

Wi (캠퍼&트레일러 판매 및 대여) 3706 1553

미용/뷰티

Happy Blinds 0481 711 500

Hi Design & Construction 0430 900 630

J Plus Building Inspections 0422 773 031

김선생 수학 0430 127 992

K Total Construction 0466 127 884

KIM’S HOUSING 0411 097 908

NEXUS PLUMBING 0459 999 754

탑원 바이올린 0424 783 353

피아노 전공자쌤 0478 548 500

피아노/망고힐/시드니콘석사 장학생

세계대회1등 0433 309 331

OkayPainting 0430 889 559

OneStop Bath & Tiles 07 3034 1075 Shop4, 655 Toohey Rd, Salisbury

SUNSHINE 블라인드 0481 148 692

Total Cabinet 3299 1978

TOV Construction 0452 578 001

호주 라인 댄스 0401 812 610

CS Education 0402 855 802

EduPlanet College & QCM 3343 6343

Eight Mile Planes 유치원 3841 3350

Elite Tuition 0400 328 187(영 어) 0400 163 227(한국어)

WINDOW ART 3114 2145, 0490 537 244

mih architect

설계

황용연 건축사 0451 377 843

LE SPA MASSAGE ACADEMY 3368 3362

Simili Training (건설현장 자격증

정부승인) 0477 787 200, 0416 740 514

SP 에듀케이션(하이스쿨, ATAR 대비) 3195 8532, 0411 168 007

Winny Family Care 0420 720 894

디멘션스 헤어 0414

광고문의 0422 258 092, 0432 008 985 admin@qldkoreanlife.com.au

마운트 그라밧 마사지/뷰티 0493 655 970

미 앤 유 헤어 0409 893 239

웨딩메이크업헤어(withBRIDAL)

0481 982 486

살롱 헤드쿼터스(부부미용실) 0430 547 588

아이두 헤어(시티점) 3172 1173

아하바 목욕탕 3391 2279

웨딩메이크업헤어(withBRIDAL)

0481 982 486

제시헤어 0414 060 369

헤어시티 시티점 3210 1049

alabuu 0493 475 995

Hair Captain 헤어캡틴 0481 600 088

K Bridal Studio(Julie) 0451 373 313

M nails & beauty 0432 346 799

M&U Beauty Brow(미앤유 뷰티 쿠파루) 0423 056 137

The Face Shop (가든시티) 3344 6014 (써니뱅크) 3423 2514

번역/통역

가영 NAATI 3급 번역공증 0410 672 485

나티공인 한영/영한 번역사 0431 232 673

데레사 통역 0402 307 090

손지은 NAATI 3급 0412 088 428

호주 닷컴 온라인 번역공증 info@hojoo.com

JINO NAATI 통역서비스 0430 812 205

변리사

김현태 특허상표변리(호)사 040 433 5914

변호사

법무법인 Park & Co ㆍ 대표번호(유선) 3345 6665

ㆍ 대표번호(모바일) 0490 130 012 ㆍ 박창민 변호사 0452 435 447

ㆍ 김희용 변호사 0431 628 082

ㆍ 허성은 변호사 0425 030 220

H & H Lawyers 02-9233-1411

ㆍ홍경일 대표변호사

ㆍ강현우 형사전문변호사 0487-192-566

ㆍ김진한 변호사(이민)

ㆍ김현태 변호사·상표변리사

리틀즈 법무법인 ㆍ NSW 1800 000 119

ㆍ QLD 1800 082 082

ㆍ 김경태 변호사 0452 480 920

ㆍ 이종일 변호사 0434 980 635

성도 법무법인

ㆍ대표번호 3392 3981

ㆍ김문기 변호사 0411 211 227

ㆍ김태규 변호사 0403 689 714

KLS Legal Practitioners

ㆍ사무실 (07) 3113 3790

ㆍ나윤제 대표변호사 0423 005 035

ㆍ신선미 변호사 0412 693 115

김린 변호사 0404 871 986

김영규 변호사 07 3210 6489, 0411 624 779

박근영 변호사 0433 372 566

주광훈 변호사 0405 694 497

정회림 변호사 07 3195 4807

진승희 변호사 0403 503 530

LinkOz 이정민 변호사 0401 576 978

무담보 소액대출(호주 어디서나) 0412 232 889

미래종합금융 1300 882 595

ANZ Jin Lee 0434 689 100

C-Herald Insurance 1800 998 557 C-Herald Finance 1800 998 557

Focus Loan(오지훈) 0420 847 110

Hana Finance (알렉스) 0410 622 838

AACA (All About Care Australia) 07 3133 0209 (Gemma) 0430 218 030 (Tasha) 0402 595 741 ONE DREAM COMMUNITY

1800 841 777

Alicia’s Photography 0478 825 233

상담/심리치료

ACC 상담센터 02 6255 4597

JR 부부상담연구소 0434 487 433

브리즈번 명상센터 0466 211 405 숙박시설

스프링우드 타워 호텔 3387 7077

호텔 다이아나(한국어) 3896 1691 송금/환전

한국송금(구. 코원송금) 0474 373 007

스포츠/체육관

원 태권도 0430 295 881

Sunnybank 테니스클럽 0430 014 221

Sunnybank 당구장 0430 014 221 식당/카페

AKLINKS 손한나 대표 0428 87 5050

Bluedog 부동산 0419 536 071

Bluedog 김수정 0408 622 934

HD Property 황기철 0413 515 788

Harcourts Calamvale (홍성우) 0415 413 769

Ideal Realty Advisors (시드니) 02 8007 4989, 0414 088 089

Link Plus Realestate 이지영 0450 908 864

Raas Group 0420 486 651

Remax 부동산 써니뱅크 조권현 0452 65 88 78

YONG 부동산(오세진) 040 228 3003 사진

3 Sisters 3195 4481

누나네 해장국 3107 4158

마녹파크 0433 276 449

마루 3221 7778, 3012 9912

모모치킨(city) 3012 8238

모모치킨(runcorn) 3841 8068

미담 3344 5001

불고기 Bros 3350 2233

샤부하우스 (일식 부페) 3211 5407

소문 삼계탕 3158 3709

차미 푸드 앤 보틀샵 3210 6349

바베큐 3211 1212

여행/공항픽업

가나안 공항 픽업 0478 833 415

도움 투어 3012 8383

우리여행사 0412 393 713

케니 여행사 3344 3220 / 0402 729 595

현대 투어 0432 140 083

HT 여행사 3003 1771

운송/택배/이사

시온 에어컨 냉동 0434 486 877

에어컨 청소 FreshZone 0431 135 071

Airmazing 0451 104 439, 0430 189 603

Fresh Cool 0401 627 853

LEES 에어컨 설치 0434 378 245

SONG 에어컨 설치 0414 781 645

SWIND 0451 994 144

OK 냉동 서비스 센타 0423 457 898

유통

의류/침구/옷수선

드림로드 3209 5445, 0433 267 953

차밍 옷수선 0403 617 076

한복 대여점 이음 e-uum 04 2121 3656

OUR HANBOK 0423 378 055

자동차운전학원

메이 운전학원 0419 708 177

부부 운전학원 0414 273 087 자동차정비

웨스티마켓 0450 103 788

Milton Exchange (노브랜드 유통) 0438 545 007

Cordelia International (온리프라이스

제품외 유통) 0450 103 788

유학원

도움 유학 3012 8383

GLOBAL MATE 3221 8318 0451 281 841

HT 유학원 3003 1771

가나안 용달 서비스 0478 833 415

(각종 소형 ‘짐’ 운반)

대한통운 국제택배 0431 571 657

와이즈 국제물류 1800 577 369

한진택배 0431 231 468

현대택배 0430 014 221

HT Logistics 3823 1802

PNL 택배(한국-->호주) 0449 24 8282

이민 컨설팅

가영 비자 이민 컨설팅 0410 672 485

백승용 이민법무사 3323 3186

변기훈 이민법무사 0425 669 799

이정민 법무사 Select Australia 0430 592 230

채정우 이민법무사 0423 687 378

호주닷컴 02 9746 1452

의료/병원/한의원

극동 한의원 Far East Acupuncture 0402 527 717

라파 한의원 0452 563 365

모유사랑 모유수유클리닉 (상담, 유방관리) 04 5675 5675

보화당 한의원 3219 1002

언어치료사(Speech Pathologist) 0473 562 154

엔한스 덴탈 스튜디오 (런콘) 07 3423 0783

족부 의학 클리닉 (써니뱅크) 07 3344 6866 (해밀턴) 07 3741 2825

질미어 치과병원 3265 6010

Carindale 자매치과 (김현아/김은아) 3324 9172

Dr. Seung-min Youn(윤승민) 정형외과 07 3278 2662

Dr.허 시티 한국인병원 3210 2111

Dr.허병원 Skin Clinic 0407 112 342

Exceptional Dental 3118 5306

Hybrid Physio 3190 9747

JINDALEE Complete Dental 3376 5475

My Clinic (Dr 제임스 강) 3272 2202

The Dental Club 1300 165 768 Stafford | Caboolture | Bellmere | Griffin

조이모터스(정비) 3277 2477

Autocrew Motors 3191 7044 0416 422 099, 0433 649 931

Pro Tinting 0432 390 910

SK 자동차 공업소 3423 8085

Speed mate 자동차 정비 0416 191 319

Top One Motors 0430 123 711

0449 949 343

미트뱅크 3345 5113

정육점 (런콘점) 3423 1337

청소/방역

원스톱 방역 & 카펫 청소 0401 600 887

원펀치 터마이트&페스트컨트롤 0402 157 905

써니뱅크 터마이트 0412 178 944

짐스 터마이트 & 페스트 컨트롤 0416 515 874

클린킹(청소용품판매) 3208 1333

0431 686 296

0423 333 932 ㆍ

성결교회 0433 689 717 ㆍ

JCM 터마이트&페스트 닥터팀 0430 318 776

안디옥 장로교회 0423 733 599

ㆍ 브리즈번 왕성교회 0400 878 882 ㆍ 브리즈번 은혜교회 3376 2143 / 0433 677 241

ㆍ 브리즈번 임마누엘교회 3344 7521

ㆍ 브리즈번 좋은감리교회 3343 1817 / 0413 608 392

브리즈번 주안교회 0432 680 975

ㆍ 브리즈번 평화교회 0425 252 372

ㆍ 브리즈번 한인장로교회 3341 9232

ㆍ 브리즈번 한인중앙장로교회 3202 9553 / 0413 515 737

ㆍ 브리즈번 한인연합교회 0425 306 577

행복한교회 0433 494 281

북부 한인재림교회 3290 0376

사랑교회 0414 624 779

교회 3252 1701

소망교회 0401 458 230 / 0431 259 828

0466 184 366

3191 3743 / 0433 924 843

0433 030 053

0403 252 609

0414 522 654

0433 475 658

3398 9923 / 0413 019 400

0425 118 471

0411 50 9191

3290 1113 / 0418 980

한인천주교회 3369 3159 / 0413 016 031

AplusHomeCare(터마이트,페스트 컨트롤) 0448 226 179

Kleen Hub(청소용품 판매) 3191 3248

푸드패키징

Kleen Hub 3191 3248

Q Pack 3219 5654

플러밍/가스

HIGH TECH PLUMBING & GAS 0431 409 844

JINSU PLUMBING&GAS 0401 359 573

NEXUS PLUMBING 0459 999 754

PK PLUMBING 0433 772 172

폐차/고철/고물

Metal Xchange | Cash for Cars 0410 140 500 컴퓨터/POS/웹사이트

ㆍ 원불교 3219 1002

꿈이 있는 교회 0421 480 870

동행하는 장로교회 3422 0828 / 0400 878 882

브리즈번 순복음교회 3341 9090 / 0433 9933 52

스프링필드 침례교회 킹제임스성경 0469 859 983

호주 가정 상담 대학 0416 069 812

호주 기독교 대학 02 6255 4597

한마음 교회 0410 409 007

Faith Church 써니뱅크

ㆍ 요한계시록 성경예언

ㆍ ilona 목사 0400 374 666

주방용품(상업용)

썬샤인 비즈 솔루션(스시머신, 주방용품) 0413 396 799

All 4 Kitchen 주방용품 수리 0433 974 907

중고 가전

Smart Electrical Clearance Outlet

ㆍ Hyperdome 3133 1805

ㆍ Capalaba 3823 4165

ㆍ Mt Ommaney 3376 7445

ㆍ Browns Plains 3800 1013

미디어 나라 0412 443 066

GGL 토탈 IT 솔루션 0422 395 706

iComputer (TPG 공식딜러, 컴퓨터 수리) 0450 511 829

M4U 웹디자인 0434 417 933

N2 CREATIVE (웹사이트 제작) 02 8091 7333

VTEQ 컴퓨터 3323 3232

(TPG 공식딜러, 웹사이트, IT솔루션) 핸드폰 수리

Jaetech 핸드폰 수리점 0404 932 988

간판/인쇄/디자인

써니 크리에이티브 0412 840 533

NB Signs - 간판, 인쇄, 디자인 0421 790 885

건강식품/기념품

회계사(MAZARS) 3218 3924

뉴질랜드 초록홍합,녹혈,녹용 캡슐 판매 0403 736 998

로얄건강 타운 0401 158 508

장수마을 0422 59 59 79

카사아울렛 5531 3155

건축/인테리어/집수리

Hello Tax 0413 002 316

Prudent Accountants & Co 0412 447 987

TaxBee 3210 0747

Tax Friend 0422 869 630

가나 집수리 04 02 02 8720

핸디맨 0402 299 915 스타 블라인드 0430 715 906 윈도우 아트 블라인드 0490 537 244

Design & Construction 0430 900 630

LINKS 부동산

레삐헤어 5679 3943

신 헤어 스튜디오 0407 090 270

웨딩메이크업헤어(withBRIDAL) 0481 982 486

킴스헤어(사우스포트) 5527 1990

케이살롱뷰티(사우스포트) 0421 187 046

FOREL Beauty & Spa 0413 753 087

Kausie Hair Salon (코지 헤어) 5531 2963

Meraki Hair 5592 0984

Hair COCO.GC 0413 662 699 / 5511 1892

The Hair 5528 6310

The 9 Brows & Beauty 반영구 화장 0448 019 555

Retreat 마사지 0404 806 887, 5527 1147 번역/통역

C-Herald Insurance 1800 998 557

C-Herald Finance 1800 998 557

You and Me Finance 0468 429 180

보험전문 김옥이 0401 411 000

0428 87 5050

Bluedog 부동산 0419 536 071

Bluedog 김수정 0408 622 934

MASTER QLD PROPERTY 서문희

Raas Group(Yong Lee) 0420 486 651 사진

ALICIA’S PHOTOGRAPHY 0478 825 233

WOW CAFE & STUDIO 0401 282 303 스포츠/클럽

AnK 골프 아카데미 0434 142 638

D.I

Rice House 5591 2239

RICE VS NOODLE 5538 8803

The Dak 0468 857 692

WOW CAFE & STUDIO 0401 282 303

식품점/편의점

스마일마트 5527 1312

오페마트 5531 0922

유니마트 5608 9860

하나로마트 Helenvale 0493 090 679

Southport Robina

해피마트 0401 337 458

현우식품 5526 3838

Coomera Asian Mart 0424 491 646

K-Town Supermarket 5528 6781

Lotte 편의점 5591 2356

식품제조

명가(김치, 밑반찬) 5531 0906

고기하우스 5591 7465

감성포차 Yacha 5660 9648

김치하우스 5538 8496

다노시스시 5528 3005

두리분식 0413 965 268

대박집 5531 0374

불고기ya 5591 7270

서라벌 고기부페 5538 8465

소공동 순두부 0423 455 599

이조 숯불 BBQ 5531 2423

코리안 키친 5538 8855

파라다이스 숯불구이 5592 3824

해피롤 5528 0588

Hochan 호찬 0424 215 797

AZIT(아지트) 5661 8537

BBQ 빌리지 5532 2700

BBQ 코리아나 5504 5627

Cafe 928 5679 6616

CHIKOR 5531 1254

Cook & Beer 0402 99 66 94

Gal. B 5591 5141

Izakaya ichi 5564 0190

MAMAS KITCHEN 5571 1896

Oppane 오빠네 5532 2413

BB 두부 0406 541 572

안경점

브리즈번안경원 골드코스트점 5531 0420

여행/공항픽업

시티익스프레스 공항픽업 0413 059 206

우리여행사 0412 393 713

운송/택배/이사

KPOST 우체국 택배 0422 59 59 79

대한통운 국제택배 0431 571 657

한진택배 0431 231 468

현대택배 3075 6872 / 0430 014 221

HT Logistics 3823 1802

PNL 택배(한국-->호주) 0449 24 8282

유학원

마린 유학 5591 7070

의류/침구/옷수선

벨라 옷수선 5511 2077

Sweet Closet 0402 148 750 자동차운전교습

메이

운전학원 0419 708 177

부부 운전학원 0414 273 087

자동차정비

CLUB AUTO 이승엽 0421 707 771

메르세데스 벤츠 골드코스트, 레이튼(한국어) 0478 220 828 카톡 MBGCLY

전기/전자/통신

리스(LEES) 전기공사 0434 378 245

하나로 전기공사 0416 868 818

SONG 전기공사 0414 781 645

정수기/비데

DP Motors 5537 8235, 0433 835 293

GCCEM 이승엽 0421 707 771

H&K Motors 5532 9088, 0433 004 310

JD Motors 5591 6772, 5591 6227

TINT MASTER 0421 707 771

차량복원 전문업체 NICK’s Panel & Paint 5531 3459, 0430 123 950 자동차판매

청소/방역

가나 Termite,Pest Control 04 02 02 8720

얼스 와이즈 방역 0436 321 537

원스톱 방역 & 카펫 청소 0401 600 887

원펀치 터마이트&페스트컨트롤 0402 157 905

짐스 터마이트 & 페스트 컨트롤 0416 515 874

클린킹(청소용품 판매) 5532 2342

JCM 터마이트&페스트 닥터팀 0430 318 776

PAULS Clean King 0425 233 118

권신정 회계사(MAZARS) 3218 3924

RAPID CLEAN 청소용품 5572 2284

컴퓨터/POS/웹사이트

미디어 나라 0412 443 066

김상현 회계사(PKF) 0433 379 280

김재미 회계사 0478 221 525

바른회계법인 한상호 회계사 0450 468 318

백화실 회계사 0421 007 756

iComputer (TPG 공식딜러, 컴퓨터 수리) 0435 831 116

VTEQ 컴퓨터 3323 3232 (TPG 공식딜러, 웹사이트, IT솔루션)

안재웅 공인회계사 0420 518 253

Q Pack 3219 5654

이윤 회계사 3299 1031

심인섭 공인회계사 0432 493 032

AK 정수기/비데 0401 558 353

The Bidet Shop 1800 243 387

VCG (엘지 정수기) 07 3924 1870 / 0421 807 981

정육점

서울 정육점 5531 5227, 0405 934 952

종교단체

기독교

ㆍ 골드코스트 가까운교회 0433 447 483

ㆍ 골드코스트 선교교회 0431 232 304

ㆍ 골드코스트 순복음교회 0402 089 896

ㆍ 골드코스트 온누리교회 0412 341 868

(Southport State High School 내)

ㆍ 골드코스트 열방교회 0412 362 029

(장로교회)

ㆍ 골드코스트 장로교회 0409 995 456

ㆍ 골드코스트 재림교회 0430 041 022

ㆍ 골드코스트 지구촌교회 0433 609 191

ㆍ 골드코스트 사랑의교회 0451 472 202

ㆍ 골드코스트 브니엘교회 0412 194 829

ㆍ Logan 예수제일교회 0426 501 966

ㆍ 비전 장로교회 0423 932 742

ㆍ 사우스포트 한인교회 0433 308 436

ㆍ 우리들 침례교회 0421 579 026

ㆍ 푸른파도 교회 0411 725 639

천주교

ㆍ 골드코스트 한인성당 0402 044 331

골드코스트 기쁜우리교회 0478 782 186

골드코스트 주님뜻교회 0450 501 201

신우 회계 법인 3148 8887

CYS 회계법인 07 5503 0366

JY Accountants 07 5679 1619

Prudent Accountants & Co 0412 447 987

그래픽 디자인

위니아트 0401 596 877

식당

Black Curry 5200 0875

Brown Rice(Peregian Springs) 5448 2197

Hanami (Coolum Beach) 5471 7091

HIKARU

ㆍ Birtinya 0432 389 288

ㆍ Baringa 0432 389 288

ㆍ Kawana 0452 028 804

ㆍ Northshore 5406 9017

ㆍ Buderim 5476 6266

MakiMoto(Noosa) 5447 3254

Master Sushi 5526 7557

The Sushi 79 (Currimundi) 5437 8208

Tampopo 5476 7039

Haru Korean Kitchen 5447 2249

식품점

선샤인 마트 0488 515 288

의료/병원

Doctors@Maleny (닥터.노) 07 5413 8066

전기/전자/통신

존 TV&안테나 0491 068 872

정수기/비데

Intended Blank Page

호주에서 내 집 마련을 준비

하는 사람들이 ‘보통’의 주택

을 사려면 가계 소득이 연간

14만 달러는 되어야 할지도

모른다. 시드니, 멜버른, 브리

즈번에서는 수입이 그보다 더

많아야 비벼볼 수 있다. 파인

더(Finder)는 교외 지역에 있

는 아파트나 주택을 구매하기

위해 필요한 최저 소득을 조

사했다. 소득의 3분의 1 이상

을 상환금으로 갚을 때 발생

하는 ‘모기지 스트레스’가 없

다는 가정하에 10%와 20%

의 계약금, 6.18%의 이자율

로 계산해 분석을 실시했다. 그 결과, 호주에서 한인 밀도

가 높은 시드니에서 중간 가

격의 주택을 대출 상환 압박

없이 구입하려면 가계 소득

이 연간 25만 달러는 돼야 하 는 것으로 나타났다. 연소득

25만 달러 미만 가구는 시드

니 광역권 지역 약 58%의 중

시드니서

주택 마련?

“가계소득 연 25만불은 돼야”

15만불

간 주택 가격을, 약 21%의 중 간 아파트 가격을 감당할 수 없을 것이다. 중간 주택 가격 이 300만 달러가 넘는 스트라 스필드(Strathfield)에서 주 택을 사려면 요구되는 연간 가계 소득은 20% 계약금을 기준으로 64만 달러에 달한 다. 이스트우드(Eastwood) 는 45만 달러, 리드컴(Lidcombe)은 28만 달러에 이른 다. 15만 달러의 연소득이 있 는 가구라면, 시드니 한인 밀 집 지역인 리드컴, 스트라스 필드, 이스트우드의 평균적인

가격의 아파트를 살 수 있다. 이 역시 계약금 20%를 기준 으로 했을 때다.

호주통계국(ABS)에 따르면,

7월 마지막 주 국내 주도들에

서 예정된 옥션물량이 전주 대

비 17.3%가 증가한 것으로 나

타나 계절적 추세를 거스르고

있는 것으로 나타났다. 7월 마

지막주 국내에서 진행된 옥션

물량은 2,028채로 지난 부활

절 전주이후 처음으로 2,000

채가 넘는 옥션물량인 것으로

나타났다. 또한 3주 연속 옥션

물량 증가세가 이어진 것으로

나타났다. 지난해 같은 시기에

는 1,913채의 옥션이 진행되

어 54.0%의 낙찰율을 기록한

것으로 나타났다.

멜번 주택시장의 옥션활동이 지난주 가장 활발해 총 859채

의 옥션이 진행된 것으로 나 타났다. 이는 전주(668채 옥 션진행) 대비 약 28.6%가 증 가한 것이며, 전년 같은 기간 (806채 옥션진행-56.6% 낙찰 율)과 비교해도 약 6.2%가 높

은 수준인 것으로 나타났다.

시드니네서 지난주 진행된 옥 션은 총 814채로, 전주(699채

옥션진행) 대비 역시 16.5%가

증가한 것으로 나타났다. 지난 해 같은 시기 시드니에서 진 행되었던 옥션물량은 총 624

채로 금년과 비교해 -30.4%

수준이었던 것으로 나타났다.

지난주 브리즈번에서 진행된 옥션물량은 총 179채로 전주 대비 6.5%가 증가한 것으로 나타났다. 브리즈번의 리버사 이드 서버브인 Bulimba 에서 지난 토요일 대규모 실내 옥 션이 진행되었는데, 이 행사 가 브리즈번지역의

호주중앙은행, 기준금리 '4.1%' 동결

"인플레이션 완화에도 경제 불확실성 여전"

호주중앙은행(RBA)이 기준

금리를 '4.1%'로 두 달 연속

동결했다. RBA 이사회가 두

번 연속 금리를 유지한 것은

지난해 3월-4월 이후 처음이

다. RBA는 작년 5월부터 금리

를 12차례 인상해, 60만 달러

주택담보대출의 월 상환액을 1,350달러 이상 끌어올렸다.

초저금리 시대에 고정 금리

대출을 받아 내 집 마련을 했

던 약 80만 명이 올해 중에 변

동 금리로 대출을 전환할 것

으로 예상된다. RBA는 금리

를 한 달 더 동결했지만 인플

레이션을 억제하기 위해서라

면 추가 인상을 할 수 있다고

시사했다. 필립 로우 RBA 총

재는 "인플레이션이 합리적

인 기간 내에 목표치로 돌아

오게 할 수 있도록 통화 정책

에 대한 추가 긴축이 요구될

수 있다"며 이는 데이터와 위

험 평가에 달려있다고 밝혔

다. 그러면서 그는 "이사회는

결정을 내릴 때 세계 경제 발

전, 가계 지출 동향, 인플레이

션 및 노동시장 전망 등에 계

속 주의를 기울일 것"이라고

설명했다. 인플레이션 완화

를 보이는 최근 지표에 따르

면, 물가상승률은 2025년 말

에는 RBA의 목표치인 2~3% 로 회복될 것으로 보인다.

하지만 RBA 이사회는 호주 경제에 여전히 불확실성이

남아있다고 판단했다. 로우

총재는 "해외에서 서비스 가

격 인플레이션이 놀라울 정

도로 지속되고 있고, 호주에

서도 같은 현상이 발생할 수

있다"고 말했다. 통화 정책

운용의 시차, 경기 둔화에 대

한 기업의 가격 결정 및 임금 의 대응, 가계 지출 둔화 등도 불확실성을 더 하는 요인들 이다. 이를 고려해 RBA 이사 회는 지난해 5월부터 단행된

4%포인트의 급격한 금리 인

상의 여파를 평가할 시간이 더 필요하다고 결론 내렸다. 짐 차머스 재무장관은 RBA 의 이번 결정이 "주택담보대

출 보유자에게 큰 안도감을

줄 것"이라며 "이미 충분히 힘든 시기를 보내고 있는 호

주인에게 환영할 만한 유예 조치"라고 반겼다. 이어 그는 "인플레이션이 완화되고 오

늘 결정이 나온 이후에도 호

주인은 여전히 압박받고 있

다"면서 "우리 경제에 인플레

이션이 낮아지고 있다는 것

을 알지만 여전히 너무 높다" 고 말했다.

군 연합훈련 도중 헬리콥터

추락 사고로 실종된 4명의 군

장병이 사실상 사망한 것으로 추정된다.

오늘(31일) 오후, 말스 장관

은 실종 대원들의 생존 가능

성이 낮다고 보고 수색 및 구 조 활동의 성격을 시신 수습 작업으로 전환했다고 발표했 다. 말스 장관은 "오늘 아침 네 대원의 가족들에게 이 사 실을 통보했으며, 지난 한 시 간 동안 각 가족과 대화를 나 눴다"고 말했다. 지난 금요일 (28일) 10시 30분경, MRH90 타이판 헬기가 야간 훈련 중 에 퀸즐랜드주 해밀턴 아일

랜드(Hamilton Island) 남 쪽 바다에 추락했다. 그 헬기 에는 제6항공연대 소속 대니 엘 라이언 대위, 맥스웰 뉴전

RBA 금리 동결 배경엔

호주중앙은행(RBA)은 금

리를 동결한 7월 이사회 회

의에서 경기가 예상했던 것

보다 더 나빠질 수 있다고 우려했다. 생계비 압박에

힘이 더 붙었다가는 소비가 급격하게 둔화할 수 있어서

다. RBA가 18일 발표한 7월 4일 회의록에 따르면, 이사

회는 “통화 정책의 추가 긴 축이 필요할 수 있다”는 데 동의했다.

금리 인상을 견딜 여력 이 있는가다. 지난해 5월부터 0.1%에서 4.1%로 치솟은 금리로 인 해 주택담보대출 상환액이 소득에서 차지하는 비중은 1년 만에 9.4%로 사상 최 고치를 찍었다. 상당수의 대출 보유자가 아직은 고정 금리에서 변동금리로 전환 하지 않았다는 점을 고려하 면 소득 대비 상환액 비율

주택난 속, 역대 최대

이민 유입에 우려 커져

올해 이민자 유입 수

투표권이 있는 호주인 상당수

가 노동당 정부가 계획하고 있

는 이민자의 수가 너무 많다고

생각한다는 여론 조사 결과가

나왔다. 이는 여론조사 전문

기관인 리졸브 스트래티직

(Resolve Strategic)이 7월 15

일까지 4일 동안 유권자 1610

명을 대상으로 진행한 여론조

사에서 나온 것이다. 이번 조

사의 오차 범위는 +-2.5%이

다. 조사 결과에 의하면 응답

자의 3%만이 이민자 수가 "너

무 낮다"고 답한 반면, 59%는

"너무 높다"고 답했으며 25% 는 적당하다고 답했다. 마음

을 결정하지 못했다는 비율은

13%였다. 정부는 올해 이민

자 수를 40만 명으로 책정해

놓고 있는데 이는 역대 최고

수준이다. 이번 조사에서 은

퇴자와 야당인 보수 연립 지

지자들 중 이민자 유입량이 너

무 많다고 응답한 비율이 각각

72%와 70%로 높게 나타났 다. 여당 노동당 지지자들 중

이민자 유입률이 높다고 답한

비율은50%였다. 앤서니 알바

니즈 (Anthony Albanese) 총

리는 새 이민법 개정안에 대해

기술 부족 분야의 생산성을 높

이기 위해 "이민은 줄이되 적

합한 인력" (less migration, but of the right people)을

유치하기 위한 것이라고 설명

하고 있다.

그러나 올해 기록적인 이민자

유입이 예상되면서 피터 더튼

야당 대표는 예산안 답변 연

설에서 정부가 "빅 오스트레 일리아 접근법"을 추구하고

있다며 정부의 이민 정책이 인플레이션을 악화시킬 것이 라고 비난했다. 이번 조사 결

과는 시드니와 멜버른을 중

심으로 임대료가 치솟고 있는

가운데 나온 것이다. 현재 노

동당과 녹색당은 주택 정책을

놓고 대립하고 있고 앞으로 5 년 안에 3만채의 저가 주택을

건설하는 목적으로 정부가 내

놓은 100억 달러 규모의 미래

주택 기금 (Housing Australia Future Fund)안은 현재 상 원에 계류 중이다. 현재로서는

주택난에 대한 뚜렷한 단기 대 책이 없다는 것. 올해 해외 입

국자의 유입은 주택 시장에 압

력을 가하는 가장 큰 요인 중

하나로 지목되고 있다. 기록

적인 이민자 유입은 팬데믹이

끝나고 호주로 들아오는 워홀

러들과 유학생의 수가 급증한 데 따른 기저 효과의 영향이 크다. 이러한 급증세는 단기 간에 그칠 것으로 예상되며, 2024~25년과 이듬해에는 순 이민자 수가 26만 명으로 감 소할 것으로 예상된다.

이후에는 연간 23만 5,000명 이 호주로 유입될 것으로 보 고 있다. 또한 숙련된 근로자 를 이민 유입의 우선순위로 삼아야 한다는 응답이 57%, 직계가족을 우선순위로 삼아

2021년 11월에 실시한 설문 조사에서 과반수 이상의 유권 자가 가족을 최우선으로 고려 해야 한다고 답했던 것과 반대 의 결과이다.

모집

'조기 선거설'에 입 연 총리, "올해는 없을 것"

연방정부가 한차례 미끄러 진 주택 법안을 재상정하 겠다고 예고하면서 캔버라

가 '조기 선거설'로 술렁거

렸다. 총리는 올해에 선거

는 없다고 했지만, '의회 해 산' 카드를 완전히 배척하

지도 않았다. 앤소니 알바

니지 총리는 다음 주에 의 회가 돌아오면 100억 달러

규모의 '호주미래주택기금

법안(Housing Australia Future Fund Bill)'을 재상

정할 것이라고 밝혔다.

노동당이 충분한 의석을 보

유하고 있는 하원 통과는 큰 어려움이 없다. 문제는

녹색당이 버티고 있는 상 원이다.

이 법안이 6월 표결에 들어 가지 못했던 것은 녹색당의 반대 때문이었다. 노동당은 오랜 협상 끝에 크로스벤치 (무소속・군소정당)를 설득 해냈지만, '임차인 권리 강 화'를 요구했던 녹색당의 지지를 얻지 못했다. 자유국민연립(연립)은 처음부터

이 법안을 반대했다. 연방정

부는 일단 하원에 법안을

제출한 다음, 10월까지는 표결에 부치지 않을 계획 이다. 이 일정표는 연방정부

가 이 법안의 '두 번째 실패'

를 염두에 든 것으로 해석 될 여지가 있다. 정부 법안 이 최소 3개월 공백으로

QLD 주정부 지원, 새가전제품 리베이트 혜택

퀸즐랜드 주민들은 전기 요금

을 낮추는 데 도움이 되는 에

너지 효율적인 가전 제품을

구매할 때 수백 달러를 절약

할 수 있습니다. 약 40,000명

의 퀸즐랜드 주민이 다음 달

부터 적격 가구에 대해 최대

$1,000의 새로운 리베이트를

청구할 수 있습니다.

이는 노인 및 양보 카드 소지

자에 대한 $550 및 $1072의

전기 요금 리베이트에 추가 됩니다.

정부가 주민들의 생활비 부

담을 완화하고 청구서를 파산

하기 위한 노력의 일환으로,

새로운 2,200만 달러 규모의

Smart Energy Savers 프로

그램은 적격한 다양한 에너

지 효율 가전 제품에 대한 리

베이트를 제공합니다. 별 2개

에서 4개로 전환하면 퀸즐랜

드 개별 가구가 연간 수백에 서 수천 달러를 절약하고 퀸

즐랜드의 CO2 배출량을 매년

수천 톤 줄일 수 있는 것으로

추정됩니다.

저소득 가구는 가전제품에 대 해 가장 많은 비용을 청구할

수 있지만 모든 퀸즐랜드 주

민은 일부 가전제품에 대해

생활비 지원을 받을 수 있습 니다. 저소득 추가 구성요소

에 대한 자격이 되려면 개별

신청자는 ATO에서 정의한 저

소득 세금 상쇄 임계값을 충족 해야 합니다.

아나타시아(Annastacia Palaszczuk) 총리는 “우리는 이

추가 생활비 구호 패키지로 퀸즐랜드 주민들을 지원하게 된 것을 자랑스럽게 생각합니 다. 우리는 이번 회계 연도에

기록적인 82억 달러를 양보에

투자하여 생활비 압박을 완화 하고 퀸즐랜드 주민들을 돕고

있습니다. 여기에는 이러한 리

베이트 외에 미국에서 가장 큰

전기 요금 지원 패키지가 포함 됩니다.” 라고 말했습니다.

에너지 및 공공 사업부 장관

은 “스마트 에너지 세이버 (Smart Energy Savers) 프로 그램은 주정부가 올해 국가를 선도하는 에너지 리베이트에 이어 가정이 전기 요금을 절

약하도록 돕는 또 다른 방법 입니다. 이 리베이트 프로그램 은 퀸즐랜드 주민들이 새 가전

제품을 구입하는 데 도움이 될 뿐만 아니라 앞으로 몇 년 동

안 비용을 절약하고 배출량을 줄이는 데 도움이 된다는 의미 입니다.” 라고 말했습니다.

2,200만 달러의 기후 스마 트 에너지 절약 프로그램(Cli mate

1,000달러의 리베이트를

정보는 https://www. queenslandsavers.qld.gov. au에서 확인할 수 있습니다.

기사제공 : AUS SOLAR ENERGY GROUP

Oliver Kim Energy Consultant & Sales Manager 0426 714 188 (Kakao ID: Aussolar) Oliver. kim@aussolarenergygroup.com.au http://aussolarenergygroup.com.au/

호주와 뉴질랜드를 ‘무여권 여행’으로 오가기는 아직은 어렵겠다. 대신에 양국을 더

욱 간편하게 왕래할 방안을

찾기 위해 실무단이 구성된

다. 지난 26일, 앤소니 알바

니지 총리는 뉴질랜드 수도

웰링턴을 방문해 크리스 힙

킨스 뉴질랜드 총리와 정상 회담을 가졌다.

타스만 횡단 여행 협정 50주

년을 맞이한 가운데 이뤄진

이번 회담에서 두 정상은 양

국 간 여행 절차를 간소화하

는 데 합의했다.

알바니지 총리는 이번에 무

여권 여행이 의제에 포함되

지는 않았으나, 다른 변화가

양국을 더 가깝게 만들 수 있

다고 말했다. 그는 스마트 게

이트를 예로 들면서 “우리가

살펴보고 있는 것은 국가 간

의 이동에 매끄러운(seamless) 경험을 만드는 것”이

라고 설명했다. 힙킨스는 전

문가로 구성된 실무단이 “우

리의 안보를 손상시하지 않

으면서 국경 장벽을 줄이는 방법”을 논의하여 그 결과 를 6월까지 보고할 것이라 고 밝혔다.

관광교통포럼(TTF)은 이 발 표를 “환상적인 첫걸음”이 라고 평하며 환영의 뜻을 전 했다.

마기

Turn static files into dynamic content formats.

Create a flipbook
Issuu converts static files into: digital portfolios, online yearbooks, online catalogs, digital photo albums and more. Sign up and create your flipbook.