
International Research Journal of Engineering and Technology (IRJET) e-ISSN: 2395-0056
Volume: 12 Issue: 07 | Jul 2025 www.irjet.net p-ISSN: 2395-0072
![]()

International Research Journal of Engineering and Technology (IRJET) e-ISSN: 2395-0056
Volume: 12 Issue: 07 | Jul 2025 www.irjet.net p-ISSN: 2395-0072
Ms.
Mrunal Mali 1 , Dr. Pradeep. P. Tapkire 2 , Mr. Atul S. Chandanshive 3
1Research Scholar at N.B. Navale Sinhgad College of Engineering, Solapur, Maharashtra, India-413255
2H.O.D. Civil Dept., N.B. Navale Sinhgad College of Engineering, Solapur, Maharashtra, India-413255 3Lecturer at Solapur Education Society’s Polytechnic, Solapur, Maharashtra, India-413255 *** -
Abstract - In this study, the influence of soil-structure interaction on a counterfort retaining wall was explored using the finite element software ANSYS 18.0. The wall was modeled as being fully supported by and surrounded by soil, replicating natural ground conditions. To accurately reflect real-life scenarios, a sufficient portion of soil beneath and around the wall was included in the model. The analysis focused on static loading conditions. Various heights and shapes of the counterfort retaining wall were examined to assess how these changes affect stress distribution and structural deformation, revealing notable differences in performance
Key Words: Soil-Structure Interaction (SSI), Counterfort RetainingWall,EarthPressure,FiniteElementAnalysis(FEA), RetainingWallDesign,SlopeStability,LoadDistribution.
A retaining wall is a structure built to hold back soil and maintaindifferentgroundlevelsoneitherside.Thesoilor materialheldbehindthewallisreferredtoasbackfill,and the wall is specifically constructed to support this load. Retainingwallsarewidelyusedincivilengineeringprojects suchasrailways,highways,bridges,canals,andotherworks whereit'snecessarytoholdbackearthononeside.
There are several types of retaining walls, including cantilever(orT-shaped),semi-counterfort,andcounterfort walls.Otherlesscommonvariationsincludebuttresswalls and braced walls. Among these, the counterfort retaining wall is particularly popular due to its relatively straightforwardconstructionprocess.
Typically, counterfort retaining walls are built using plain cementconcrete,althoughstoneorbrickmasonrymayalso be used in certain cases. However, these walls can be vulnerabletovarioustypesoffailure,suchas:
1. Slidingfailure
2. Overturningfailure
3. Excessivesettlement
4. Scourorerosionbeneaththebase
The first three failure modes are the most frequently encountered, so during the design process, the wall’s geometry is evaluated against criteria for sliding, overturning, and bearing capacity. Additionally, the wall’s cross-sectionisassessedto ensurethematerialsusedcan handletheappliedstresses.Ofthesefailuremodes,slidingis often the most critical to address, as it typically dictates a largerbaseareaforstability oftenresultinginadesignthat isstructurallyconservativeorunder-stressed.
TofindtheeffectofSoilStructureInteractiononcounterfort retaining wall based on Geometrical & geotechnical parameters
Exclusiveliteraturereviewiscarriedoutandtheunfocused areaisidentifiedwhichisconsiderasproblemforproposed dissertation. The effect of soil structure interaction on counterfortretainingwallisproposedtocarriedoutusing followingpoints,
1. Analysiscounterfortretainingwallsectionsforvarious heights&variousloadingcondition.
2. FiniteElementanalysisofabove-mentionedfaceswith and without soil structure interaction for counterfort retainingwall.
3. Identify the parameters influenced by soil structure interaction and develop non-dimensional chart for finding effect of soil structure interaction for geometrical&geotechnicalparameters.
Researchers have extensively analyzed various structures usingtheconceptofsoil-structureinteraction.Manystudies have particularly focused on soil-structure interaction in relationtoretainingwalls.However,theinteractionbetween soilandCounterfortRetainingWalls,especiallywithvarying geometrical and geotechnical parameters, remains largely unexplored. Identifying this gap in research, the present studyisformulatedtoinvestigatethebehaviorofCounterfort Retaining Walls under the influence of soil-structure interaction, considering different geometrical and geotechnicalfactors.

International Research Journal of Engineering and Technology (IRJET) e-ISSN: 2395-0056
Volume: 12 Issue: 07 | Jul 2025 www.irjet.net p-ISSN: 2395-0072
Contributionsofresearchersarepresentedasfollows,
Sunil Gupta, Tsung-Wu Lin, Joseph Penzien, ChanShioung Yeh [1] Anewhybridtechniquehasbeendeveloped tobetteranalyzehowsoilandstructuresinteract,improving uponoldermethodsdatingbacktothe1800s.Thisapproach splitsthesoil-structuresystemintotwozones:anearfield close to the structure and a far field extending outward, separated by a hemispherical boundary. The near field encompasses the structure and a limited surrounding soil area,whichisstudiedusingthefiniteelementmethod(FEM). Beyond this boundary lies the far field, which stretches infinitely, where a specially designed impedance matrix represents the soil’s dynamic response. This matrix helps modelhowenergydissipatesaswavestravelawayfromthe foundation, resulting in a more accurate and practical analysis
Robert M. Ebeling [2] A thorough review of previous research was carried out, concentrating on how the finite elementmethod(FEM)hasbeenusedtostudysoil-structure interaction in earth-retaining systems like U-frame locks, gravity retaining walls, and basement walls. This method allowsengineerstocalculatestressesandmovementswithin boththestructuralcomponentsandthesurroundingsoil.The studieshighlightedtheimportanceofrealisticallysimulating theconstructionprocessandusinganonlinearstress-strain model for soil to better capture its true behavior. Another crucial factor was accurately representing the interface between the backfill soil and the retaining wall, often achievedthroughspecializedinterfaceelements.Thereview alsocoveredtworecentcasestudieswhereFEMwasapplied toheavilyloadedretainingwalls.Inonecase,theloadwasso intensethatagapdevelopedbetweenthebaseofthewalland itsfoundation,emphasizingtheimportanceofincludingsuch complexinteractionsintheanalysis
Timothy D. Stark, Steven M. Fitzwilliam, Joseiph J. Vettel, Robert M. Ebeling [3] This study aimed to pinpoint soilstructure interaction parameters specifically for silts, focusingoncapturingboththedrainedandundrainedstressstrain responses of normally consolidated silts and clayey silts.Theresearcherscreatedadetaileddatabasefeaturing hyperbolic stress-strain curves alongside Mohr-Coulomb strengthparametersforthesesoils.Tobuildthisdata,they carriedoutaseriesofthoroughtriaxialtests bothdrained andundrained onsiltsampleswithdifferentclaycontents (0%, 10%, 30%, and 50%). They also looked at how soil densityaffectsbehaviorbypreparingspecimensatvarious compactionlevels,basedonStandardProctortests,ranging from 85% up to full compaction at 100%. The paper summarizes the key findings from these tests, providing valuable insights into the stress-strain characteristics and strength properties needed for designing foundations and structuresinvolvingsiltyandclayeysoils.
T. Kupsmy, Mark A. Zarco [4] This study used the finite element software SOILSTRUCT to analyze the interaction between soil and earth-retaining structures. The program facilitatesdetailedmodelingofboththestructuralelements
andthesurroundingsoil,allowingforpreciseevaluationof stresspatterns,deformations,andthecomplexinteractions betweenthesoilandtheretainingsystem
Mete Oner, William P. Dawkins [5] Athoroughanalysis was conducted to explore how soil-structure interaction affects the performance of floodwall systems. The study utilizedthefiniteelementmethod,incorporatingarealistic representationofthesoil-structureinterface,nonlinearsoil behavior,anda loadingsequencethatcloselymimicsrealworld conditions. To ensure the model’s accuracy, results werecomparedagainstdatafromatestsectionofanexisting floodwallforvalidation
Eduardo Kausel [6] Thestudyofsoil–structureinteraction (SSI)firsttookshapebycombiningknowledgefrommultiple fieldssuchassoilandstructuralmechanics,geotechnicaland structural dynamics, earthquake engineering, geophysics, materialscience,andcomputationalmodeling.Asresearchers gaineddeeperinsightintothecomplexrelationshipbetween structures and the ground beneath them, they started blending ideas from these disciplines to develop a comprehensivemethodforanalyzinghowstructuresreactto soilbehaviorunderdifferenttypesofloads
Dr. S. A. Halkude, Mr. M. G. Kalyanshetti, Mr. S. H. Kalyani [7] The study investigated how soil–structure interaction (SSI)affectstheseismicbehaviorofreinforcedconcrete(R.C.) framessupportedbyisolatedfootings,focusingontheroleof soil flexibility during earthquakes. Two SSI modeling techniques were compared: the Discrete Support Model, whichsimulatesthesoilasspringswithequivalentstiffness, andtheContinuumModel,whichrepresentstheentiresoil massasanelasticcontinuum.Analyseswereperformedon symmetrical space frames with isolated footings in three setups 2-bay2-storey,2-bay5-storey,and2-bay8-storey consideringbothfixed-baseandflexible-basescenarios.The springstiffnesswascalculatedacrosssixdegreesoffreedom, whiletheelasticcontinuummodelwasdevelopedusingthe FiniteElementMethod(FEM)inSAP2000.Threesoiltypes hard, medium, and soft were included in the study. The dynamic response was evaluated using the Response SpectrummethodaccordingtoIS1893:2002.Keystructural parameters such as natural time period, base shear, roof displacement, and moments in beams and columns were examined.ResultsshowedthatSSIsignificantlyimpactsthe seismicperformanceofstructures,andtheFEM-basedelastic continuummodeleffectivelycapturessoilbehaviorbeneath foundations.
K. Senthil, M. A. Iqbal & Amit Kumar [8] Theauthorcarried out three-dimensional finite element analyses using ABAQUS/Standardtostudyhowcantileverandcounterfort retaining walls respond to lateral earth pressure. Four retainingwallswithdifferentdesignswereexamined three cantilevertypesandonecounterfortwall tocomparetheir behavior.Thestudyfocusedonkeyperformanceaspectslike lateral displacement, vertical settlement, and stress distributionwithineachwallcomponent.Inadditiontothe structuralevaluation,aneconomicanalysiswasperformedto

International Research Journal of Engineering and Technology (IRJET) e-ISSN: 2395-0056
Volume: 12 Issue: 07 | Jul 2025 www.irjet.net p-ISSN: 2395-0072
evaluate the cost-effectiveness of each design, offering guidanceonselectingthemostefficientoptionbasedonboth performanceandbudget
Dr. P. P. Tapkire [9] Thisresearchaimedtooptimizegravity retainingwalldesignbyintroducingcavitieswithinthewall’s cross-section. The objective was to create a retaining wall that is both more economical and structurally efficient. Differentcross-sectionalsizeswereevaluated,andthebestperforming profile was chosen from the analyses. After selectingtheoptimaldesign,stabilityassessmentsforvarious wall heights were carried out using strength of materials principles,implementedthroughCprogramming
Ms. Patil Swapnal V. [10] This study explored how soilstructureinteractionaffectsagravitydam’sbehaviorusing finiteelementanalysisinANSYS14.Tocloselyreplicaterealworldconditions,thedamwasmodeledasfullysupportedby and surrounded with a realistic volume of soil. Dynamic analysiswascarriedoutundertransientloadingbasedonthe 1940 Imperial Valley earthquake record. The research focusedonhowvaryingsoilpropertiesinfluencedthedam’s response especially in transverse sections highlighting significant differences in stress patterns and deformations causedbytheinteractionbetweenthesoilandstructure
Snehal R. Lahande [11] Thisanalyticalstudyinvestigated thebehaviorofcantileverretainingwallswhileaccounting forsoil-structureinteraction(SSI)effects.Itexaminedhow different soil types impact walls of varying heights. The cantilever wall was modeled in SAP2000 Version 14.0.0, simulatingSSIandanalyzingitsdynamicresponseacrossall six degrees of freedom. For validation, the wall’s supports were considered fixed. Key input parameters included concretedensity,concretemodulusofelasticity,soildensity, soil bearing capacity, soil modulus of elasticity, internal frictionangle,andbothactiveandpassiveearthpressures. Theprimaryfocuswasonthemaximumlateraldisplacement ofthewall.Responsespectrumanalysiswasperformedfor threesoilconditions soft,medium,andhardrock across seismiczonesIII,IV,andV.Theresultsrevealedsubstantial differences compared to traditional methods, with lateral deflections near the fixed end varying by up to 900%, decreasing to about 1% near the free end. Stiffer soils reduceddeflections,whiletallerwallsexperiencedgreater lateral displacements at their free ends. Additionally, deflectionsincreasedwithhigherseismiczoneintensity
Eko TavipMaryanto,RezzaRuzuqi,VictorDanny[12] The authorsperformedastrengthanalysisofsoilretainingwalls attheManokwarilandfillusingnumericaltechniques.They examinedthemechanicalbehaviorofretainingwallsunder three different landfill design layouts through twodimensionalfiniteelementanalysis(2DFEM).Thegoalwas toofferpracticalguidancefordesigningretainingwallsthat can withstand active lateral pressures from both soil and water.UsingANSYSsoftware,theysimulatedandassessed thecompressive strengthofthe walls for each design.The resultsindicatedthatoneparticulardesign referredtoas Design2 providedahighersafetymarginthantheothers.
Thesefindingsserveasauseful referenceforensuringthe durabilityandstabilityofretainingwallsinlandfillsettings
Structural and geotechnicalengineering arecloselylinked, and accurate analysis requires modeling both the superstructureandthesupportingsoiltogetherthroughsoilstructureinteraction(SSI).Whilestructuralengineersoften simplifythesoilasbasicsupports,andgeotechnicalengineers simplifythestructure,combiningdetailedmodelsfromboth fieldscanbecomputationallyexpensive.Therefore,practical engineeringreliesonsimplifiedSSImethods,thoughopinions differonhowdetailedthesoilmodelshouldbe.Thisstudy explorestheimpactofthesemodelingchoices,considering loading,materials,andkeyparameterstodefinetheproblem effectively.
Manycivilengineeringproblemsinvolvestructuresindirect contactwiththeground,suchasfoundations,retainingwalls, andtunnels.Soil-structureinteraction(SSI)occursbecause thestructuralelementandthegrounddeformtogetherand affecteachother’sbehavior.Althoughmoderncomputational toolsmakeSSIanalysismorefeasible,itremainscomplexand time-consuming, so engineers sometimes simplify by neglecting SSI, especially in routine cases like low-rise buildingfootingsorsimpleretainingwalls.
However,ignoringSSIwithoutstrongjustificationcanleadto poor design performance. It’s important for engineers to recognizethatSSIisalwayspresentwhenstructuresinteract with any type of subgrade, whether soil or rock. If SSI is neglected,thisdecisionshouldbebasedonsoundtheoretical andpracticalreasoning
TherearetwomainapproachestomodelingSSIproblems: the structural approach and the continuum approach. The structural approach treats the soil and structure as assemblies of structural elements like springs and beams, oftenusingarigidbase.Thismethodiseasiertoapplywith commoncommercialsoftwarebutestimatingthesoil-related parameterscanbechallenging.
The continuum approach models the soil as a continuous materialgovernedbydifferentialequationsforcompatibility, constitutivebehavior,andequilibrium.Whilesoilparameters are more straightforward to define in this method, implementing such models in standard software is more complex.

International Research Journal of Engineering and Technology (IRJET) e-ISSN: 2395-0056
Volume: 12 Issue: 07 | Jul 2025 www.irjet.net p-ISSN: 2395-0072
A hybridapproach combines elements of both methodsto leverage their advantages. Regardless of the approach, accurategeotechnicalevaluationofsoilpropertiesisessential
In continuum mechanics, a continuum refers to a material thatiscontinuouslydistributedinspace.Thesimplestmodel of an elastic continuum assumes linear, isotropic behavior following Hooke’s law, which was used in this study’s preliminaryanalysis.Thiselasticmodelassumesthematerial can withstand unlimited tension and compression, which isn’trealisticforsoils.Moreadvancedmodels,liketheMohrCoulomb criterion, better represent soil behavior by includingfailureconditions.
Analyticalsolutionsexistforloadsappliedtoasemi-infinite elasticcontinuum,suchasBoussinesq’ssolutionforpointand distributed loads. However, this model doesn’t accurately describe shallow soil layers. For finite soil depth, Reissner developedasolutionthatconsiderssoilheight,elasticity,and shear modulus under distributed loads, represented by a differentialequation(Equation3.1).
(3.1)
Reissner’s model assumes the soil is weightless, with no horizontalstressesordisplacementsattheboundaries,so it’s best suited for analyzing surface effects rather than internalstresses.NumericalmethodsliketheFiniteElement Method (FEM) and Boundary Element Method (BEM) are typically used to analyze soil continua, with FEM being especiallyeffectiveforsoilswithnonlinearpropertiesand widelysupportedbycommercialsoftware
TheWinklermodelisoneoftheoldestandmostcommonly usedmethodsforsoil-structureinteraction(SSI)analysisby structuralengineers.Itsimplifiesthesoilasaninfiniteseries ofindependentspringsrestingonarigidbase.Inthismodel, eachspringprovidesverticalsupporttothestructure,and horizontalinteractionsbetweenspringsareignored.

In a 2D analysis, beam elements of the structure rest on springs placed at each node. Since the springs act only
verticallyandthebasenodesarefixed,thesefixednodescan be excluded from the system equations, simplifying the calculations. This makes the Winkler model easy to implement,thoughitmaynotcapturecomplexsoilbehavior fully.
Based on the theoretical concepts of Soil-Structure Interaction (SSI) discussed earlier, this study focuses on analyzing the interaction between soil and structure. Specifically,theresearchexaminesaCounterfortRetaining Wallandinvestigateshowthebackfillsoilactingaspartof thesysteminfluencesthewall’sbehavior.Themainproblem addressedinthisdissertationistounderstandtheeffectof thebackfillontheperformanceoftheCounterfortRetaining Wall.
A Counterfort Retaining Wall is subjected to various loads andforcesthatarecrucialtoitsdesign.Theseforcesdepend onseveralfactorsandinclude:
1. Lateralearthpressure
2. Surchargeloads
3. Axialloads
4. Windpressureontheprojectingstem
5. Impactforces
6. Seismicearthpressure
7. Seismicforcesduetothewall’sself-weight Amongthese,lateralearthpressureistheprimaryloadsince thewall’smainfunctionistoretainsoil.Thecalculationof lateralearthpressureisgenerallybasedontheslidingsoil wedge theory, which assumes that a triangular soil wedge would move if the wall were suddenly removed. The retainingwallmustresistthepressurefromthiswedge. Figure showing free body lateral forces on the counterfort retaining wall is included.

No 3.2 Forces acting on Counterfort Retaining Wall
Coulomb and Rankine equations are two major formulas whichareusedtocomputelateralearthpressure

International Research Journal of Engineering and Technology (IRJET) e-ISSN: 2395-0056
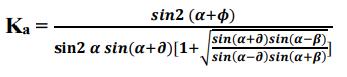
The Coulomb method of Lateral Earth Pressure Calculation
Thisequationtakesbackfillslope,frictionangleatwallface, rupture plan angle, and internal friction angle into consideration: (3.2)

Where:
Ka: Coefficientofactivepressure
��:Angleofinternalfriction
��:Angleofbackfillslope
��:Angleoffrictionbetweensoilandwall(��2/3to��1/2is assumed)
��:Slopeangleofthewallwhichismeasuredfromhorizontal (equalto90degreesfortheverticalwall)
Furthermore,inthecaseofflatlevelbackfillsoil,considering zero friction at soil- wall interface, and soil-sidewall is vertical,thecoulombequationisreducedtothefollowing (3.3)

The Rankine method of Lateral Earth Pressure Calculation
This equation, which derived by William Rankine, is the developmentofthecoulombformula.TheRankinemethod does not take the friction between the wall and soil into account. This makes it a conservative way of designing retainingwalls.TheRankinelateralearthpressureequation isthesameforbothzero-wallfrictionandlevelbackfillsoil:

Where,
(3.4)
��:Backfillslopeangle ��:Internalfrictionangleofsoil.
4. RESULTS & DISCUSSION
The design of counterfort retaining walls is governed by stabilitycriteria.Dimensionsforvariouswallheightswere calculatedusingaworksheet(detailsprovidedinAppendix
A),specificallydevelopedfordesigningcounterfortretaining wallsunderhorizontalbackfillloading.Thewallsofdifferent heights, both considering and ignoring soil-structure interaction (SSI), were analyzed using the finite element software ANSYS. For each case, maximum and minimum deformations, as well as stresses, were recorded. The resulting non-dimensional variations are plotted and discussedinthischapter.
ThevariationoftheDeformationpercentageofcounterfort retainingwallwithandwithoutsoilstructureinteractionare considered&plottedagainstheightratio
The deformation percentage are obtained by considering onlyretainingwall,retainingwallwithsoilasawholemass (soil+retainingwallaswholestructure),onlyretainingwall withsoilmass(consideringsoilstructureinteraction).

ForPlotG1showsthat,allthetwo-loadingprofileshowing variations in deformation percentage compare with soil structureinteraction.Deformationpercentageasmentioned above are calculated with reference to without SSI considering only structure (excluding soil mass). The variationofmaximumdeformationpercentageofCRWwith SSI referred to without SSI is plotted with height ratio as showinginPlotG1
Followingobservationsarenoted,
Fromaboveplotprofile,showingvariationofdeformation percentagewhichissubstantiallyreducedascomparedto withoutSSI.
Thehighestdeformationpercentageincludingallheightis only15percentageascomparedtowithoutSSI(thatis85 percentage reduction is observed.) in both the loading conditions.
Volume: 12 Issue: 07 | Jul 2025 www.irjet.net p-ISSN: 2395-0072 © 2025, IRJET | Impact Factor value: 8.315 | ISO 9001:2008 Certified Journal | Page580

International Research Journal of Engineering and Technology (IRJET) e-ISSN: 2395-0056
Volume: 12 Issue: 07 | Jul 2025 www.irjet.net p-ISSN: 2395-0072
For Profile shows variation of deformation percentage increasesuptomaximumvaluethatis15percentage.
WholeStructurethatisretainingwallandbackfillsoilshows maximumdeformation.Ascomparedtoonlyretainingwall analysis.
Thehighestdeformationpercentageincludingallheightis only 0.47 percentage as compared to without SSI (that is 99.43percentagereductionisobserved.)inboththeloading conditionsconsideringtheresultsofonlyretainingwall.
ThedeformationpercentageuniformforallHrconsidering onlyretainingwallwithSSI
4.2 Variation of Deformation percentage of CRW with SSI for various heights of different loading condition



G4: 8m Height for different type of loading of CRW to Deformation percentage of CRW with SSI

G5: 9m Height for different type of loading of CRW to Deformation percentage of CRW with SSI

Graph G6: 10 m Height for different type of loading of CRW to Deformation percentage of CRW with SS
Followingaretheobservationnotedfromtheaboveseriesof Plot
Followingaretheobservationnotedfromtheaboveseriesof Plot For loading condition I, for lower height ratio, the deformationpercentageisupto6%comparedtostandard case&forhigherheightratioitisupto2%

International Research Journal of Engineering and Technology (IRJET) e-ISSN: 2395-0056
Volume: 12 Issue: 07 | Jul 2025 www.irjet.net p-ISSN: 2395-0072
For loading condition II, for lower height ratio, the deformation percentage increases up to 15 % for higher heightratiocomparativelyonlowersideupto9%.
These Plot indicates that soil mass consideration affect DeformationassociatedwithheightofCRW
The analysis of deformation percentage in counterfort retainingwallsrevealsasignificantreductioninstructural deformation when soil-structure interaction (SSI) is considered. Across varying wall heights and loading conditions,themaximumdeformationobservedwithSSIis substantiallylowercomparedtomodelswithoutSSI.Forthe completestructure(retainingwallplussoil),deformationis reducedbyupto85%,withamaximumvalueof15%.Inthe caseoftheretainingwallalonewithSSI,thedeformationis further minimized, showing a reduction of up to 99.43% with a peak deformation of only 0.47%. Additionally, deformation percentages remain largely uniform across different height ratios when SSI is incorporated. Further evaluationsundertwodifferentloadingprofilesindicatethat deformation percentages are highest (up to 15%) under loadingconditionIIandgenerallylower(upto6%)under loading condition I for shorter walls, with deformation gradually decreasing at higher wall heights. These results highlight the critical importance of including SSI in the design and analysis of CRWs, as it leads to more accurate deformation predictions and significantly enhances structural performance, especially in taller retaining wall configurations
[1] Sunil Gupta, Tsung-Wu Lin, Joseph Penzien, ChanShioung Yeh (1980), “Hybrid Modelling of SoilStructure Interaction”, Earthquake Engineering Research Center University of California, Richmond Field Station 47th and Hoffman Blvd. Richmond, California94804,REPORTNO.UCB/EERC-80/09MAY 1980
[2] Robert M. Ebeling (1990) “Review of finite element proceduresforearthretainingstructure”,Information technology Laboratory, 3909 Halls Ferry Road Vicksburg,MS391806199,paperITL-90-5.
[3]TimothyD.Stark,StevenM.Fitzwilliam,JoseiphJ.Vettel, Robert M. Ebeling (1991) “Soil Structure Interaction ParametersforSilts”,TechnicalReportITL-91-2.
[4]T.Kupsmy,MarkA.Zarco(1994)“User'sGuideforthe Incremental Construction, SoilStructure Interaction Program SOILSTRUCT with Far-Field Boundary Elements”,CharlesViaDepartmentofCivilEngineering
VginiaPolechnicIntfetandStateUnfreetyBlackiuurg, VA24061,TechnicalReportITL-94-2.
[5]MeteOner,WilliamP.Dawkins(1997)“Soil-Structure InteractionEffectsinFloodwall”,Professors,Schoolof Civil Engineering, Oklahoma State University, Stillwater, OK. www.ejge.com/1997/Ppr9707/Ppr9707.htm
[6]EduardoKausel(2010),”Earlyhistoryofsoil–structure interaction”, Department of Civil and Environmental Engineering, Massachusetts Institute of Technology, Room1-271,Cambridge,MA02139,USA.
[7] Dr. S. A. Halkude1, Mr. M. G. Kalyanshetti2, Mr. S. H. Kalyani3(2014),” Soil Structure Interaction Effect on SeismicResponseofR.C.FrameswithIsolatedFooting”, Civil Engg. Dept. Walchand Institute of Technology, Solapur,SolapurUniversity,India.
[8]K.Senthil,M.A.Iqbal&AmitKumar(2014)Behaviorof cantileverandcounterfortretainingwallssubjectedto lateral earth pressure, International Journal Engineering, 8:2, 167-181, DOI: 10.1179/1938636213Z.00000000075.
[9] Dr. P. P. Tapkire (2015),” Optimization of gravity retaining wall profile by introducing cavity”, Head of DepartmentofCivilEngineeringofSinhgadCollegeof Engineering, Solapur, Maharashtra, India (e-mail: pptapkire.nbnscoe@gmail.com).
[10]Ms.Patil Swapnal V.(2015),“EffectofSoil Structure InteractiononGravityDam”,AssistantProfessor,Dept. ofCivilEngg.,JSPM‟sImperialCollegeofEngineering& Research,Pune.
[11] Snehal R. Lahande(2016), “Analytical Study Of Cantilever Retaining Wall Including Effect Of Soil Structure Interaction.”, Assistant Professor, DepartmentOfCivilEngineering,NewHorizonCollege OfEngineering,Karnataka,India.
[12]EkoTavipMaryanto,RezzaRuzuqi,VictorDannyWaas (2021).StrengthAnalysisofSoilRetainingWallUsing Numerical Method of Manokwari Landfill. Civil Engineering and Architecture, 9(3), 682-689. DOI: 10.13189/cea.2021.090311.

International Research Journal of Engineering and Technology (IRJET) e-ISSN: 2395-0056
Volume: 12 Issue: 07 | Jul 2025 www.irjet.net p-ISSN: 2395-0072

Ms. Mrunal Mali
B.E.(Civil),MTech(Civil-Structure) (pursuing)ResearchScholaratN.B. Navale Sinhgad College of Engineering,Solapur,Maharashtra, India
Dr. Pradeep. P. Tapkire

Working as Head of Department, Civil Engineering, N. B. Navale Sinhgad College of Engineering, Solapur, Maharashtra, India. Graduatedincivilengineeringand did masters in structure from ShivajiUniversity,Ph.D.fromS.P. Pune University and having experienceofmorethan18years inteachingaswell asinindustry. PG recognized teacher of Solapur University. Has selected as Board of Study Member for Solapur University,Solapur.Guided22PG studentsand16areworkingunder theguidance.HandledIITMCband radar installation project as structural and execution expert. Nominatedasmemberfordistance learning syllabus formation committee IGNOU, Delhi. Also worked as committee member to identify centers for IGNOU for distance learning courses. Receivedappreciationawardfrom ULTRATECH, Cement Solapur for contributioninM-sandProject.

Mr. Atul S. Chandanshive
Working as Lecturer in, Civil Engineering, Solapur Education Society’s Polytechnic, Solapur, Maharashtra, India. Graduated in civil engineering and did masters in structure from Solapur University,andhavingexperience ofmorethan4yearsinteachingas wellasinindustry