MM Junho | Julho

Page 1


A ISCAR celebra seus 30 Anos no Brasil agradecendo aos nossos clientes pela confiança e parceria de tantos anos. Nossas tecnologias e soluções em ferramentas e serviços, bem como nossa estrutura e experiência, nos mantém à frente como seu principal fornecedor de ferramentas de usinagem continuando a CONTRIBUIR COM A PROSPERIDADE DA INDÚSTRIA BRASILEIRA.

12 GUIA I

Ferramentas para brochamento

Usadas para formar perfis estriados, chavetas, dentes de engrenagens etc., ou contornos específicos, com alta precisão e bom acabamento superficial, as brochadeiras são ideais para produção em massa, com bom acabamento superficial.

14 PROCESSO

Efeito da trajetória e do avanço na rugosidade e corrente elétrica no fresamento do aço AISI 316L fabricado por manufatura aditiva

A manufatura aditiva (MA) de materiais metálicos ainda apresenta desafios, principalmente no que diz respeito à baixa qualidade superficial e tolerâncias geométricas e dimensionais, necessitando, portanto, de pós-processamento por usinagem. Este, por sua vez, precisa ser adequado às características da peça obtida por MA.

20 GUIA II

Fresadoras CNC

Confira a oferta dessas máquinas versáteis e de custo relativamente baixo, capazes de usinar diversos tipos de materiais, que foram precursoras dos centros de usinagem.

25 GUIA III

Máquinas para corte por jato d’água

22 FEIRA

Usinagem e digitalização presentes na Intermach Feira que acontece em julho em Joinville (SC) vai reunir importantes fornecedores de maquinário e soluções tecnológicas para a indústria metalmecânica. A programação paralela inclui workshops, palestras e uma visita imersiva a uma instalação industrial.

GUIAS ARTIGOS

O corte por jato d’água, por ser um processo a frio, elimina a deformação por escória e dejetos. As aplicações da tecnologia de jato d’água são ilimitadas e estão sempre sendo expandidas.

26 ELETROEROSÃO

Desenvolvimento de um sistema para interface e simulação do processo EDM com eletrodos distintos O desenvolvimento de um sistema de simulação e predição de resultados é uma situação presente na indústria mecânica. Entretanto, essa prática é pouco aplicada em micro e pequenas empresas devido aos custos envolvidos, uma situação que pode ser revertida com o desenvolvimento de um sistema mais acessível.

Anunciantes

Capa:Processo de eletroerosão com eletrodo de grafite.

Imagem: Pixel B / Shutterstock

Layout da capa: Vanessa C. Silva

Informação, a base para o desenvolvimento de processos avançados

A pesquisa brasileira e as novidades de mercado no setor de usinagem têm potencial para proporcionar um salto tecnológico e competitivo para as empresas locais, aumentando a produtividade e a qualidade dos processos industriais. A evolução desse trabalho pode ser acompanhada aqui na Máquinas e Metais , tanto nas notícias que começam na página 6, quanto nos artigos técnicos desta edição.

O desenvolvimento de um sistema de simulação e predição de resultados para processos complexos como a usinagem por eletroerosão de superligas, por exemplo, pode representar um divisor de águas e

é tema de um artigo apresentado nesta edição, a partir da página 26. Ferramentas computacionais que simulam e otimizam parâmetros reduzem o tempo e o custo de experimentação, permitindo que pequenas e médias empresas avancem em setores estratégicos que dependem de materiais nobres e processos de alta precisão.

Outro artigo, na página 14, trata de como a manufatura aditiva de metais já é uma realidade para a produção de peças com geometrias complexas, mas ainda demanda o domínio do pós-processamento por usinagem para garantir qualidade

superficial e tolerâncias adequadas. O conhecimento dessas técnicas é fundamental para que as empresas brasileiras possam competir em mercados exigentes como os de saúde e aeroespacial, por exemplo.

Saber da disponibilidade de novas tecnologias e possivelmente incorporálas à rotina das fábricas não é apenas uma tendência, mas uma estratégia de competitividade para as empresas de usinagem que necessitam conquistar novos mercados e se posicionar no mercado da manufatura avançada.

Hellen Corina de Oliveira e Souza Diretora de redação hellen.souza@arandaeditora.com.br

* Cadastre-se para receber a newsletter quinzenal da Máquinas e Metais no link: https://bit.ly/3uzxCua Ou via QR Code:

ISSN 0025-2700

REDAÇÃO

Diretor: José Roberto Gonçalves

Diretora de redação: Hellen Corina de Oliveira e Souza

Redator: Adalberto Rezende

Pesquisa: Milena Venceslau

PUBLICIDADE Luci Sidaui - Tel.: (11) 3824-5300 luci@arandaeditora.com.br Ariane Ribeiro - Cel. (11) 99101-5045 ariane.ribeiro@arandaeditora.com.br

Dora Bandelli - Cel.: (11) 95327-6608 / Tel.: (11) 4194-2448 dora.bandelli@arandaeditora.com.br

Consultor de marketing: Sérgio Massis

REPRESENTANTES Paraná/Santa Catarina: Romildo Batista Rua Carlos Dietzsch, 541 cj. 204 bloco E CEP 80330-000, Curitiba, PR Tel.: (41) 3501-2489, Cel.: (41) 9728-3060 romildoparana@gmail.com

Rio Grande do Sul: Maria José da Silva Tel.: (11) 2157-0291, Cel.: (11) 98179-9661 maria.jose@arandaeditora.com.br

INTERNATIONAL ADVERTISING SALES REPRESENTATIVES China: Mr. Weng Jie, Media Manager Hangzhou Oversea Advertising Ltd.

55-3-703 Guan Lane, Hangzhou, Zhejiang 310003, China

Tel: +86 571 870-63843, Fax: +1 928 752-6886 (retrievable worldwide). Email: ziac@mail.hz.zj.cn

Germany: IMP InterMediaPartners GmbH, Mr. Sven Anacker

Beyeröhde 14, 42389 Wuppertal, Tel.: +49 202 271 69-0 fax: +49 202 271 69-20, sanacker@intermediapartners.de

Italy: QUAINI Pubblicità, Ms. Graziella Quaini Via Meloria 7 -20148 Milan

Tel.: +39 2 39216180, fax: +39 2 39217082, grquaini@tin.it

Japan: Echo Japan Corporation, Mr. Ted Asoshina

Grande Maison Room 303, 2-2, Kudan-kita 1-chome, Chiyoda-ku, Tokyo 102-0073, Japan

Tel.: +81-(0)3-3263-5065, fax: +81-(0)3-3234-2064 aso@echo-japan.co.jp

Korea: JES MEDIA INC, Mr. Young-Seoh Chinn

2nd Fl., Ana Blsdg, 257-1, Myeongil-Dong, Gangdong-gu Seoul 134-070, Tel.: +82 2 481-3411, fax: +82 2 481-3414 jesmedia@unitel.co.kr

Switzerland: Rico Dormann, Media Consultant Marketing Moosstrasse 7, CH - 8803 Rüschlikon

Tel.: +41 44 720 8550, fax: +41 44 721 1474 dormann@rdormann.ch

Taiwan: WORLDWIDE Services Co. Ltd., Mr. Erin King 11F-B, nº 540, Wen Hsin Road, Section 1, Taichung, 40848

Tel.: +886 4 2325-1784, fax: +886 4 2325-2967 global@acw.com.tw

UK, Belgium, Denmark, Finland, Norway, Netherlands, Sweden: Mr. Eddard J. Kania Robert G Horsfield International Publishers Daisy Bank, Chinley, Hig Peaks, Derbyshire SK23 6DA

Tel.: +44 1663 75-0242, Cel.: +44 797416-8188 ekania@btopenworld.com

USA: Ms. Fabiana Rezak, 2911 Joyce Lane, Merrick, NY 11566

Tel.: +1 516 858-4327, Fax: +1 516 868-0607 Cel.: +1 516 476-5568 - arandausa@gmail.co ADMINISTRAÇÃO

Diretor: Edgard Laureano da Cunha Jr. Gerente: Rosilene de Paiva Branco

Circulação: Clayton Delfino – Tel.: (11) 3824-5300

Produção: Vanessa Cristina da Silva e Talita Silva Projeto gráfico: Lobo Artes Gráficas

MÁQUINAS E METAIS, MÁQUINAS E METAIS, revista brasileira de tecnologia de usinagem e automação da manufatura, é uma publicação de Aranda Editora Técnica Cultural Ltda. O acesso à revista digital e o download no formato pdf são gratuitos em nosso site www.arandanet.com.br/revista/MM Redação, Publicidade, Administração e Correspondência: Alameda Olga, 315 - 01155-900 - São Paulo - SP - BRASIL Tel.: +55 (11) 3824-5300 - info@arandanet.com.br www.arandanet.com.br

A usinagem auxiliada por ultrassom

A fabricação de peças por usinagem, normalmente sujeita a limitações impostas pelo desgaste das ferramentas e outras variáveis que comprometem a produtividade, pode passar por um importante avanço com a pesquisa que está em curso no Instituto Fraunhofer de Máquinas-Ferramentas e Tecnologias de Conformação (IWU), na Alemanha, onde estão sendo usadas vibrações ultrassônicas para reduzir o atrito das ferramentas com o material a ser trabalhado.

No processo chamado VibroCut, pesquisadores da instituição integraram com sucesso vibrações ultrassônicas adicionais aplicadas no suporte da peça-trabalho, na faixa de baixa frequência – até aproximadamente 200 Hz ou na faixa ultrassônica acima de 16.000 Hz –durante o processo de usinagem, melhorando o seu desempenho.

Como resultado, problemas de quebra de cavacos durante operações de torneamento foram comprovadamente evitados, levando ao aumento da disponibilidade de máquina e à maior confiabilidade do processo. O suporte ultrassônico durante a furação, incluindo a sua versão profunda, também contribuiu para reduzir as forças do processo, minimizando o coeficiente de atrito e melhorando o desempenho na

O VibroCut se baseia na aplicação de vibrações ultrassônicas adicionais no suporte da peça-trabalho, na faixa de baixa frequência.

remoção de cavacos. Como resultado, houve aumento da produtividade e da vida útil da ferramenta.

O Fraunhofer IWU está avançando rapidamente na transferência dessa tecnologia para a indústria. No projeto, os protótipos existentes foram desenvolvidos e convertidos em produtos comercializáveis. A criação de um sistema modular e a padronização estão estabelecendo as bases para a entrada do sistema de furação assistido por vibração ultrassônica no mercado.

Fraunhofer IWU — https://www.iwu.fraunhofer.de

Sistemas de IA mais adaptáveis ao ambiente fabril

A Rockwell Automation (EUA), que tem unidade brasileira em São Paulo (SP), desenvolveu um sistema de inteligência artificial (IA) generativa denominado Factory Talk Analytics Logix AI, que pode ser aplicado em diferentes ambientes da indústria de manufatura, incluindo as empresas de usinagem, tornando possível a análise e a proposição de correções de processos em tempo real.

Trata-se de um módulo que pode ser adicionado aos sistemas de controle da empresa, e que utiliza a aprendizagem de máquina ( machine learning ), uma área da inteligência artificial que permite que computadores aprendam a identificar padrões em grandes volumes de dados e façam previsões ou tomem decisões automaticamente.

O módulo emprega essas análises no controle de processos, transmitindo dados do controlador de modo a criar modelos preditivos. Ele pode monitorar continuamente uma operação de produção,

O Factory Talk Analytics Logix AI habilita o uso de IA em diferentes processos industriais.

detectando anomalias e capacitando os operadores a aplicar conceitos de aprendizagem de máquina para se anteciparem aos problemas de qualidade do produto final.

Eric Vieira, gerente de negócios Software & Control da Rockwell, explicou que a adoção do sistema pode ser feita de maneira gradual, proporcionando ganhos rápidos em termos de desempenho de processo, o que democratiza a adoção da tecnologia. “Há muitos casos de sucesso na indústria envolvendo a IA, que está caminhando junto com a aprendizagem de máquina, fazendo a orquestração das aplicações”, comentou.

O gerente ainda esclareceu que as IAs atuam nos diferentes níveis de aprendizagem de máquina: preventivo, que envolve o diagnóstico antecipado de possíveis falhas; o preditivo, que inclui o aconselhamento sobre medidas a tomar, e o prescritivo, que consiste na criação de uma “ordem” para os equipamentos, assemelhando-se a uma tomada de decisão por parte de um operador.

Para promover o uso das IAs no ambiente fabril, ele aconselha o planejamento, a realização de workshops de transformação digital, a divisão dos projetos em fases executáveis sem grandes transtornos e, sobretudo, fazer com que a adoção da tecnologia se encaixe no orçamento das empresas. Rockwell Automation www.rockwellautomation.com

Mais recursos para a gestão das operações de usinagem

A SolidCAM (Americana, SP), desenvolvedora de sistemas CAM para usinagem, apresentou recentemente, durante a feira Expomafe realizada em maio último em São Paulo (SP), sua suíte de aplicações para gestão digital do chão de fábrica. A solução, chamada SolidShop, é um ecossistema digital oferecido pela empresa.

Os módulos abrangem o gerenciamento de documentos (PDM – Product Data Management), a transmissão e o recebimento de programas (DNC – Direct Numeric

Ecossistema digital permite a gestão integrada de operações de usinagem.

Control) e o monitoramento de operações em tempo real, incluindo o planejamento da capacidade de carga e a gestão de ordens de produção.

O sistema gera dados de interesse imediato para os gestores de equipes e operações industriais, incluindo relatórios e métricas que auxiliam na tomada de decisões e no trabalho colaborativo entre equipes, com documentação disponível em

formato digital.

Específico para o ambiente de usinagem, o SolidShop também atua na rastreabilidade das operações. Pode ser integrado a sistemas de planejamento dos recursos de manufatura (ERP – Enterprise Resource Planning) e a sistemas de células flexíveis de manufatura (FMS – Flexible Manufacturing System).

Daniel Santos, diretor da SolidCAM LATAM, participa atualmente do desenvolvimento dos softwares em nível mundial, junto a profissionais da Alemanha, Estados Unidos e Sérvia. Ele explicou que o SolidShop pode ser considerado um tipo de sistema de execução da manufatura (MES – Manufacturing Execution System), com tecnologia de ponta aplicável a empresas de pequeno e médio porte.

Usinagem complexa

Rita Paulon, gerente de vendas e operações da empresa, explicou que, há cerca de quatorze anos, a SolidCAM passou a se dedicar ao desenvolvimento de sistemas para operações de usinagem em máquinas de cabeçote móvel, também conhecidas como tornos suíços. Essas máquinas são bastante comuns no segmento biomédico e na produção de peças pequenas, tanto em alto quanto em baixo volume. Para isso, foi criado um núcleo de profissionais especializados nos aspectos típicos desse tipo de maquinário, com avanços nas áreas de fresamento, torneamento, pós-processamento, sincronização de canais e simulação de altíssima complexidade, por exemplo. “O Brasil é um mercado em expansão, com muitos clientes comprando máquinas multitarefas novas, o que nos fez aumentar a atenção sobre a demanda dessas empresas”, comentou.

O mercado brasileiro de usinagem altamente especializada tem recebido investimentos significativos da SolidCAM. Para o próximo ano, a empresa planeja inaugurar um centro de tecnologia na cidade de Americana (SP), seguindo as práticas adotadas pela empresa ao redor do mundo. A SolidCAM possui centros desse tipo em mais de um país, como Alemanha, Israel, Índia, Estados Unidos, Reino Unido e China, totalizando mais de oito locais equipados com máquinas de ponta para testar seu software e realizar provas de conceito com clientes e parceiros. O centro de tecnologia também terá foco na realização de testes presenciais para sanar dúvidas dos clientes e evitar a paralisação de suas máquinas, utilizando centros de usinagem multitarefa e de cabeçote móvel, todos conectados em tempo real. SolidCAM www.solidcam.com/br

Sunnen lança máquina de brunimento no mercado brasileiro

A Sunnen do Brasil (São Bernardo do Campo, SP), empresa que integra o grupo homônimo com matriz nos Estados Unidos, passou a comercializar no Brasil a nova máquina de brunimento SSV-1080 (foto).

O equipamento pode executar o brunimento de peças com diâmetro interno de 4 a 80 mm, e com largura máxima de 800 mm, diâmetro externo de 500 mm e altura de até 600 mm.

A máquina tem fuso de alto torque e precisão de 0,0001 mm. Também conta com sistema para medição e está sendo comercializada em versões com dois spindles e mesa giratória.

Ervin Konrath Júnior, diretor administrativo da Sunnen do Brasil, conversou com a reportagem da Máquinas e Metais . Ele comentou que a nova máquina, que é compacta, é recomendada para pequenas indústrias e também para unidades de brunimento instaladas em parques fabris de grande porte.

Os clientes podem contar com assistência técnica local e com uma linha de ferramentas para brunimento, além de abrasivos, fluidos de corte e ferramentas especiais, entre outros produtos e serviços.

CNC Service e Zayer intensificam parceria em usinagem pesada

O Grupo CNC Service, com unidade industrial no município de Santa Bárbara d’Oeste, integrou ao seu portfólio uma linha de máquinas para usinagem pesada desenvolvida pela Zayer, empresa que tem sede na Espanha.

Equipamento para usinagem pesada da Zayer.

O grupo industrial brasileiro passou a representar a fabricante europeia em dezembro de 2024. As estratégias da companhia para 2025 incluem ampliar a rede de comercialização de máquinas de usinagem pesada e de serviços, o que abrange assistência técnica local para os clientes.

A linha de máquinas da Zayer é composta por versões que apresentam curso de 3.000 mm até 30 mil mm no eixo X, de 1.200 mm até 4.750 mm no eixo Y e de 1.600 mm até 7.000 mm no eixo Z. Há máquinas em versões com curso no eixo W, que varia de 900 mm a 1.350 mm.

Lucas Perez, diretor comercial do Grupo CNC Service, comentou sobre outros trabalhos que serão alinhados às estratégias do grupo: “Estamos trabalhando para ampliar o número de contratos de manutenção em máquinas de usinagem pesada no Brasil, além de intensificar relações comerciais com empresas do setor metal mecânico. Nosso objetivo também é aumentar o fornecimento de contratos para serviços específicos como, por exemplo, consultoria e geração de relatórios de manutenção”.

CNC Service

www.grupocnc.com.br

Novo equipamento da Sunnen processa peças com diâmetro interno de 4 a 80 mm.

O Uber da usinagem chega ao mercado

O Grupo Alltech, distribuidor de máquinas e equipamentos industriais, lançou a Okamura, uma máquina para usinagem CNC totalmente conectada e equipada com recursos de inteligência artificial que permitem aos usuários estruturar formas de produção inspiradas no modelo do aplicativo de transporte Uber. Resumidamente, empresas que precisam produzir peças podem utilizar máquinas de parceiros cadastrados na plataforma integrada ao ecossistema Allconnect, que é o ambiente digital da Okamura. Os recursos digitais que permitem essa analogia se baseiam na conectividade total via IoT, no uso de gêmeos digitais ( digital twin ), aplicativos integrados, assistente virtual 24/7 (Edison IA) e na plataforma Academy, para capacitação contínua.

Desenvolvida para atender à crescente demanda por automação inteligente e maior eficiência, a Okamura já sai de fábrica conectada ao ecossistema digital Allconnect, integrando monitoramento remoto, manutenção preditiva e gestão da produção sob demanda. Os diferenciais incluem ainda suporte remoto direto no painel ( on call ) e gestão preditiva (NCAM e digital twin ), além da plataforma Nomad, que permite a programação CAM em nuvem.

A máquina em si atende necessidades de produção com base nas seguintes especificações técnicas: possui cursos dos eixos X, Y e Z de 850, 550 e 600 mm, respectivamente, com área de trabalho de 1.000 x 500 mm, potência do spindle de 7,5 a 11 kW, operando a 12.000 rpm, com acionamento direto. O avanço

Conectividade, recursos digitais e IA fundamentam o sistema de usinagem inspirado no aplicativo de transporte.

rápido é de 48, 48 e 36 m/min para os eixos X, Y e Z, respectivamente, e o equipamento conta ainda com magazine para 24 ferramentas e sistema de troca rápida.

Jean Cardoso, CEO da Alltech, comentou que o lançamento da Okamura se compara ao momento em que o telefone celular se transformou em smartphone : “A máquina tradicional se transformou em uma smart factory por si só, e essa inovação vai muito além da produtividade, pois conecta, integra, aprende e eleva a manufatura a outro nível, criando um verdadeiro ecossistema de soluções industriais que coloca o Brasil na vanguarda da neoindustrialização”, comentou.

“Com o lançamento do aplicativo Nomad, estamos transformando o modo como operadores e máquinas se conectam. Imagine saber, em tempo real, se uma máquina está disponível — como quando você vê no WhatsApp se alguém está on-line — e poder enviar trabalhos diretamente ou até se oferecer para operá-la remotamente. Essa conexão, aliada ao sistema NCAM, nos permite monitorar dados de produtividade em tempo real, algo que simplesmente não existia no mercado até agora. Os empresários finalmente poderão saber exatamente quanto a máquina produz, qual turno performa melhor e qual é o verdadeiro nível

de eficiência. É uma revolução na gestão fabril”, concluiu Cardoso. O Grupo Alltech possui unidades brasileiras em Joinville (SC), Caxias do Sul (RS) e Jundiaí (SP). Alltech https://www.grupoalltech.com.br

Valmet

lança máquina de gravação a laser nas

Américas

A Valmet (Finlândia), com filia l brasileira no município paranaense de Araucária, lançou um equipamento para gravação a laser em peças metálicas baseado em um sistema de laser de alta potência cujo feixe atua diretamente sobre superfícies metálicas, sendo recomendada para a execução de gravações em, por exemplo, cilindros e tubos.

Uma de suas características é o sistema de filtragem e contenção de partículas que são geradas durante o processo de gravação. Ele impede que os resíduos sejam emitidos para a atmosfera, operando de forma semelhante às tecnologias que coletam gases residuais provenientes da soldagem e corte de chapas metálicas. Podem ser realizadas gravações de diferentes tipos, tais como desenhos, números e gravações com superfície texturizada, entre outras aplicações. A estratégia da Valmet é atender à demanda de empresas do setor metal mecânico que buscam

Gravadora a laser para peças metálicas desenvolvida pela Valmet.

por aumento da produtividade, oferecendo também assistência técnica local.

“A nova máquina de gravação direta a laser nos permite criar qualquer tipo de desenho 3D. Com ela é possível desenvolver geometrias variadas, sem a necessidade de uso de ácido utilizado na gravação indireta, por exemplo. Com um altíssimo grau de precisão, a máquina realiza a gravação em diferentes superfícies e garante um ótimo acabamento, conforme a necessidade do cliente. Somos a única empresa das Américas com essa tecnologia”, comentou André Molina, gerente de operações da Valmet.

Valmet www.valmet.com/pt

Metalurgia 2025 será realizada em Santa Catarina

De 7 a 10 de outubro de 2025, das 13 horas às 20 horas, será realizada a 13 a edição da Metalurgia – Feira e Congresso Internacional de Tecnologia para Fundição, Siderurgia, Forjaria, Alumínio e Serviços.

A cidade catarinense de Joinville será a sede do evento, que acontece no Centro de Convenções e Exposições Expoville. A feira está sendo promovida e organizada pela Messe Brasil.

Estão programados para os quatro dias da feira workshops e congresso sobre temas que vão desde a otimização de processos

em ferramentarias até extrusão e fundição de alumínio. Os visitantes também poderão conhecer os produtos oferecidos por empresas dos setores de fundição, tratamento térmico, soldagem e de outras áreas ligadas à indústria metal mecânica.

Também farão parte da programação rodadas de negócios e palestras em que serão abordados temas ligados à Indústria 4.0 como, por exemplo, o uso de robôs em linhas de produção e automatização de operações industriais. A temática do evento abrange ainda o uso de equipamentos de segurança em operações fabris e análise de falhas em peças metálicas.

Mais informações podem ser obtidas no site da feira: www.metalurgia.com.br

Ferramentas para brochamento

Usadas para formar perfis estriados, chavetas, dentes de engrenagens, etc., ou contornos específicos, com alta precisão e bom acabamento superficial, as brochadeiras são ideais para produção em massa, com bom acabamento superficial. Este guia reúne a oferta de ferramentas para brochadeiras internas e externas, incluindo informações como o material com que são fabricadas.

Empresa Telefone E-mail Fabricante País

Anfeer (11)93032-3893 vendas@anfeer.com.br

Brotec (11) 9766-7231 ind.brotec@terra.com.br

DFG (11) 98975-5986 info@dfgferramentas.com.br

Integi (*) www.integi.com integi@integi.com Espanha

Maxibro (11) 96340-3086 maxibro.mis@gmail.com

Takai Máquinas (12) 99105-9321 vendas@takaimec.com.br

(*) A empresa procura por representante para o Brasil. Obs.: Os dados constantes deste guia foram fornecidos pelas próprias empresas que dele participam, de um total de 31 empresas pesquisadas. Fonte: Revista Máquinas e Metais, junho/julho de 2025.

Efeito da trajetória e do avanço na rugosidade e corrente elétrica no fresamento do aço AISI 316L fabricado por manufatura aditiva

J. D. C. M. da Silva, George L. da S. O. Soares, P. A. de Oliveira, D. B. Fernandes, M. G. C. B. Barbosa e R. L. de Paiva

A manufatura aditiva de metal (MA) ganhou espaço na indústria por sua capacidade de fabricar peças de geometrias complexas com materiais inovadores em um vasto campo de aplicações. No entanto, a MA de materiais metálicos ainda apresenta desafios, principalmente no que diz respeito à baixa qualidade superficial e tolerâncias geométricas e dimensionais, necessitando, portanto, de um pós-processamento por usinagem. Este estudo investigou o efeito da trajetória da ferramenta e avanço na rugosidade e corrente elétrica requerida pela máquina-ferramenta no fresamento frontal (faceamento) do aço AISI 316 L fabricado por MA.

Amanufatura aditiva (MA) pode ser definida como o processo de fabricação com o objetivo de criar um objeto tridimensional por camadas a partir de um modelo virtual, e possui aplicação em diversos mercados por permitir a obtenção de geometrias complexas e uma maior variedade de materiais (12). Entretanto, em se tratando da manufatura aditiva de materiais metálicos, esse processo enfrenta desafios referentes à sua baixa qualidade superficial e baixa precisão dimensional e geométrica (7), sendo necessário o pós-processamento de maneira a garantir os requisitos de projeto, como é o caso da usinagem. É importante salientar que, devido às características inerentes aos processos

de manufatura aditiva, que envolvem a fusão e solidificação do material metálico, há a possibilidade de alterações significativas nas propriedades mecânicas e características microestruturais em comparação ao mesmo material fundido (3), o que pode afetar negativamente a usinabilidade do material. Assim, o comportamento do material quando submetido à usinagem pode ser diferente daquele esperado. Vários estudos têm sido realizados para avaliar diferentes condições de corte na usinagem de materiais metálicos fabricados por MA. Sobre o fresamento, um trabalho (6) analisou o efeito da velocidade de corte e avanço no fresamento do aço UNS 15500 obtido por manufatura aditiva,

José Dawson Cavalcante Moreno da Silva (dawsonmoreno@ufpi.edu.br), George Lucas da Silva Oliveira Soares (georgelucas23.gl@gmail.com), Patrick Abreu de Oliveira (patrick@ufpi.edu.br), Marcos Guilherme Carvalho Bráulio Barbosa (marcosguilherme@ufpi.edu.br) e Raphael Lima de Paiva (raphaellimap@ufpi.edu.br) são pesquisadores da Universidade Federal do Piauí (UFPI), em Teresina (PI). Diandro Bailoni Fernandes (diandrobf@ ufu.br) é pesquisador da Universidade Federal de Uberlândia (UFU) em Uberlândia (MG). Este artigo foi apresentado no 26o Colóquio de Usinagem, realizado em novembro de 2024 em Campinas (SP). Reprodução autorizada.

usando uma ferramenta intercambiável de metal duro com diâmetro de 20 mm e dois insertos de designação ISO XDMT090308HXPA120. Os ensaios foram feitos com aplicação de fluido de corte (emulsão). As velocidades de corte foram definidas em: 80, 100, 120, 140 e 160 m/min. Foi realizado um passe de profundidade de 0,5 mm e velocidade de avanço da mesa mantida constante de 85 mm/min em todas as superfícies. A pesquisa concluiu que a velocidade de corte no fresamento afeta diretamente a integridade superficial do material, influenciando principalmente a dureza superficial, que diminuiu com o aumento da velocidade.

Em um estudo complementar mostrado na literatura (13), foi realizada uma análise da usinagem de peças de titânio fabricadas por manufatura aditiva, levando em consideração diferentes estratégias de fresamento (ascendente, descendente e de ranhura). A ferramenta de corte usada foi de metal duro, com diâmetro de 12 mm

e cinco dentes. A profundidade de corte axial (ap) e velocidade de corte foram mantidas constantes e iguais a 0,4 mm e 60 m/min, respectivamente. Este estudo mostrou que o fresamento ascendente ofereceu melhor qualidade superficial em comparação ao descendente (menores valores de rugosidade). Durante o fresamento de ranhuras, foi observada uma quebra prematura da ferramenta, atribuída ao caminho da ferramenta perpendicular ao metal de solda solidificado. O estudo aqui presente tem como objetivo avaliar o efeito de diferentes condições de corte no fresamento do aço inoxidável AISI 316 L fabricado por manufatura aditiva nos resultados de rugosidade da superfície usinada, corrente elétrica requerida pela máquinaferramenta e desgaste da ferramenta de corte. As condições de corte testadas foram em termos de avanço e trajetória da ferramenta em relação à direção longitudinal de deposição do material (paralelo e perpendicular).

Procedimento experimental

Os ensaios de fresamento frontal (faceamento) foram feitos em um centro de usinagem CNC da Romi (modelo D 600), o qual possui potência nominal de 18,5 kW, magazine com capacidade de comportar até 20 ferramentas e comando Fanuc 0i-MD, operando a faixas de rotação de 10 a 8.000 rpm.

A peça usada, em aço inoxidável AISI 316L, foi fabricada por manufatura aditiva por deposição a arco (MADA) com arame metálico. O corpo de prova apresenta geometria prismática, com superfície a ser usinada com dimensões de 14 mm de largura e 85 mm de comprimento. A ferramenta de corte utilizada nos ensaios foi composta por um cabeçote de fresamento de facear com 50 mm de diâmetro e três cortes, para pastilhas com designação ISO TPKN 1603. As três pastilhas usadas nos ensaios foram de metal duro revestido, com designação ISO TPKN1603PPR530, classes P e M, da Rewiid. Na figura 1 são mostrados o cabeçote de fresamento fixado ao cone, uma pastilha utilizada, bem como as informações quanto aos parâmetros de corte conforme recomendação do fabricante.

Conforme os objetivos deste trabalho, diferentes trajetórias da ferramenta em termos de direção de avanço foram avaliadas: paralelo (0°) e perpendicular (90°) à direção longitudinal de deposição do material empregado na manufatura aditiva. Para a trajetória em paralelo, apenas uma passagem da ferramenta sobre a peça foi usada, uma vez que a largura da peça é menor que o diâmetro da ferramenta. Para a trajetória perpendicular, duas passagens foram realizadas: 1º passe e 2º passe. Na figura 2 é mostrado um esquema ilustrativo das diferentes trajetórias avaliadas, bem como a configuração para os ensaios de fresamento.

Em relação aos parâmetros de corte usados nos ensaios de fresamento, a velocidade de corte (v c) e profundidade de corte (a p) foram de 80 m/min

Figura 1 – (a) corpo de fresa, (b) pastilha e (c) recomendações de parâmetros de corte.
Figura 2 – Trajetórias de fresamento testadas neste trabalho (a) e configuração dos ensaios de fresamento (b).

1 Paralela (0°) f1 = 0,1 14 80 0,50 2 Paralela (0°) f2 = 0,2 14 3 Perpendicular (90°) f1 = 0,1

(duas passagens – 1º passe e 2º passe)

4 Perpendicular (90°) f2 = 0,2

e 0,50 mm, respectivamente, ambas constantes para todos os ensaios. Além das diferentes trajetórias da ferramenta (paralelo e perpendicular), diferentes condições de avanço foram testadas: 0,1 mm/rev e 0,2 mm/rev. Em termos de penetração de trabalho (a e - largura efetiva da fresa), este parâmetro foi igual à largura da peça (14 mm) para a trajetória paralela (0°) e 42 mm para a trajetória perpendicular (90°). Na tabela 1 é mostrado o planejamento experimental usado nos ensaios de fresamento.

As variáveis de saída analisadas neste

(duas passagens – 1º passe e 2º passe)

trabalho foram a rugosidade da superfície usinada (parâmetro Ra), corrente elétrica da máquina-ferramenta e o desgaste da ferramenta de corte. A rugosidade foi medida com auxílio de um rugosímetro portátil Mitutoyo SJ 210. Foi utilizado um comprimento de amostragem de 0,8 mm, comprimento de avaliação de 4,0 mm (cinco comprimentos de amostragem) e filtro do tipo Gaussiano. Três medições foram feitas para cada condição de fresamento e os valores médios e desvio-padrão do parâmetro Ra foram considerados para análise.

A corrente elétrica da máquinaferramenta foi medida com auxílio de sensores de Efeito Hall e microcontrolador Arduino, a uma taxa de aquisição de sinais de aproximadamente um ponto por segundo (1 Hz). O desgaste de cada pastilha de metal duro foi analisado com o auxílio de um microscópio digital de bancada Haiz Zoom 1.600 x cam 2.0 Mp. Para avaliação quantitativa, o desgaste de flanco máximo (VBBmax) de cada inserto foi medido com auxílio de software de edição de imagens após calibração de escala com régua de 0,5 mm de resolução conforme exemplificado na figura 3.

Resultados e discussões

Na figura 4 são mostrados os valores de rugosidade Ra obtidos para cada condição de fresamento testada, em que 0° e 90° corresponde à trajetória da ferramenta paralela e perpendicular, respectivamente, f1 e f2 referem-se respectivamente ao avanço de 0,1 mm/rev e 0,2 mm/rev, e 1º passe e 2º passe para primeira passagem e segunda passagem da ferramenta na peça na trajetória de 90°.

Notou-se que, referente ao efeito da trajetória da ferramenta na rugosi -

Tabela 1 – Planejamento experimental dos ensaios de fresamento frontal (faceamento).
Figura 3 – Calibração de escala para medição do desgaste de flanco máximo das pastilhas utilizadas.
Figura 4 – Rugosidade Ra em função das diferentes condições de fresamento testadas neste trabalho.

Figura 5 – Corrente elétrica em função do tempo para as diferentes condições testadas neste trabalho: (a) 0 ° - 0,1 mm/rot; (b) 0 ° - f2; (c) 90 ° - 0,1 mm/rot - 1º passe e 2º passe; (d) 90 ° - 0,1 mm/rot - 1º passe e 2º passe.

dade da superfície usinada (figura 4), a trajetória de 90°, em comparação com a paralela (0°), apresentou, no geral, melhores resultados de rugosidade (menores valores de Ra), com exceção da condição 90° - 0,2 mm/ rot - 2º passe. Além disso, é possível observar que o aumento do avanço resultou em maiores valores de rugosidade Ra, exceto quando foi usada a trajetória paralela (0°), em que o aumento do avanço contribuiu para reduzir os valores de Ra em 35,48%. Este comportamento não é usual, uma vez que maiores valores de rugosidade estão normalmente associados com a utilização de maiores avanços (11). Esse fenômeno, embora atípico, pode ser influenciado por condições específicas do fresamento, como a interação entre a ferramenta e a peça ou a acumulação de material nas arestas da ferramenta, que podem agir como um “amortecedor” durante a usinagem (1) Em relação às passagens da ferramenta na peça para a trajetória perpendicular (90°), pode-se observar (figura 4) que, em geral, a primeira passagem (1º passe) apresentou menores valores de

rugosidade Ra, principalmente para a condição mais severa (maior avanço). Para o menor avanço, embora o 1º passe tenha promovido menor valor de Ra, em média, não houve diferença significativa em relação ao 2º passe. Na figura 5 estão os gráficos contendo os valores da corrente elétrica em função do tempo para cada condição de fresamento testada, incluindo os valores médios de corrente elétrica durante o tempo de corte. Em relação aos valores médios, pode-se observar que o fresamento paralelo (0°) apresentou, no geral, menores valores médios de corrente elétrica no tempo de corte em comparação com a trajetória perpendicular, especialmente para a condição mais severa (maior avanço). Além disso, é possível observar maior variação de corrente elétrica no período ativo para a trajetória de 90°, o que resultou em maiores desvios-padrão. Esse resultado sugere maiores oscilações nos esforços de corte durante o fresamento a 90°, resultando, consequentemente, em maiores variações de corrente elétrica durante o período ativo.

Em relação ao efeito do avanço na corrente elétrica, nota-se (figura 5) que quando se aumenta o avanço no fresamento, a corrente elétrica requerida pela máquina também aumenta. Isso ocorre porque um maior avanço implica na remoção de uma quantidade maior de material por unidade de tempo, o que exige maiores esforços de corte. Essas forças de corte adicionais

demandam mais potência do motor da máquina-ferramenta, resultando em um maior consumo de energia, o que está associado a maiores valores de corrente elétrica (10)

Na figura 6 há imagens da superfície de folga das ferramentas (pastilhas) usadas neste trabalho, incluindo uma pastilha nova para fins comparativos. Visivelmente, se destaca o desgaste de flanco em todas as ferramentas, que se manifesta por uma faixa desgastada que ocorre paralelamente à aresta de corte, fruto do atrito constante entre a ferramenta e a peça (9) . Também pode-se observar que o máximo valor de desgaste de flanco foi de 0,435 mm (figura 6(d)), um valor elevado, considerando o tempo de usinagem em que a ferramenta foi utilizada (240 segundos). De acordo com a literatura (2), o desgaste da ferramenta de corte exerce influência significativa na rugosidade da peça. À medida em que a ferramenta se desgasta, especialmente na aresta de corte, a remoção de material se torna menos precisa, resultando em uma superfície usinada mais rugosa (maiores valores de rugosidade). Ainda de acordo com a literatura (4) , o desgaste da ferramenta de corte diminui sua eficiência durante o corte, exigindo, portanto, maiores esforços para remoção de material, além de aumentar o atrito entre a ferramenta e a peça, levando a um maior consumo energético (maiores valores de corrente elétrica).

Os resultados de desgaste observados neste trabalho sugerem que o elevado

valor de rugosidade Ra observado para a condição 90° - 0,2 mm/rot - 2º passe (figura 4), bem como os maiores valores de corrente elétrica para esta mesma condição (figura 5(d)), podem estar associados ao desgaste elevado da ferramenta de corte, uma vez que as mesmas ferramentas foram usadas para todos os ensaios, sendo essa condição de corte em específico (90° - 0,2 mm/rot) a última testada conforme o planejamento experimental mostrado na tabela 1.

É importante ressaltar que, para as condições testadas neste trabalho, a rotação da ferramenta foi aproximadamente oito vezes maior que a taxa de aquisição da corrente elétrica, o que não permite avaliar com maiores detalhes o comportamento dessa variável de saída em relação à interação entre cada aresta de corte e o material da peça. Além disso, a baixa taxa de aquisição também prejudica a análise no que diz respeito à espessura de corte variável, a qual impacta diretamente a demanda de energia durante a usinagem (8) .

Conclusões

Com base nos resultados obtidos neste trabalho, pode-se concluir que a trajetória de 90°, em comparação com a paralela (0°), apresentou, no geral, melhores resultados de rugosidade (menores valores de Ra), com exceção da condição 90° - f2 - 2º passe, última condição testada. O aumento do avanço resultou em maiores valores de rugosidade Ra, exceto quando foi usada a trajetória paralela (0°). O fresamento paralelo (0°) apresentou uma média de valores de corrente elétrica (valor RMS) pouco menor em comparação com a trajetória perpendicular (90°), principalmente para o maior avanço (f = 0,2 mm/rev). A corrente elétrica ao longo do tempo de corte (remoção de material) aumentou com o avanço.

Figura 6 – Imagem do flanco das ferramentas utilizadas neste trabalho: (a) pastilha nova; (b) pastilha 1; (c) pastilha 2; e (d) pastilha 3.

Para as condições testadas neste trabalho, a ferramenta de corte apresentou um desgaste de flanco acentuado: máximo de 0,435 mm após 240 segundos de remoção de material (tempo de corte).

Agradecimentos

Os autores agradecem ao curso de Engenharia Mecânica e ao Centro de Tecnologia da Universidade Federal do Piauí (UFPI) pelo apoio e disponibilização das instalações e equipamentos necessários para o desenvolvimento deste trabalho. Um dos autores agradece ao Conselho Nacional de Desenvolvimento Científico e Tecnológico (CNPq) pela concessão da bolsa de pesquisa a nível de iniciação científica, a qual foi essencial para a realização deste projeto de código PICT 111142023 (PIBIC UFPI 2023/2024).

Responsabilidade pelas informações

Os autores são os únicos responsáveis pelas informações incluídas neste trabalho.

Referências

1) Altintas, Yusuf. Manufacturing automation: metal cutting mechanics, machine tool vibrations, and CNC design. Cambridge university press, 2012.

2) Amorim, Heraldo José de. “Estudo da relação entre velocidade de corte, desgaste de ferramenta, rugosidade e forças de usinagem em torneamento com ferramenta de metal duro”. (2002).

3) Beese, A.M. Microstructure and mechanical properties of AM Builds. Thermo- mechanical modeling of additive manufacturing. 1 Ed, 2018. ISBN 9780128118207. https://doi. org/10.1016/B978-0-12-811820-7.00007-0.

4) Cataldo, Andrea, Riccardo Scattolini, and T. Tolio. “An energy consumption evaluation methodology for a manufacturing plant”. CIRP Journal of Manufacturing Science and Technology 11 (2015): 53-61.

5) Cozzolino, Ersilia, et al. “Uma abordagem integrada para investigar o consumo de energia para fabricação e acabamento de superfície de peças de Inconel 718 impressas em 3D”. Journal of Manufacturing Processes 79 (2022): 193-205.

6) De Barros, Guilherme Cardoso Ribeiro. “Estudo da integridade superficial após fresamento do aço UNS 15500 obtido por manufatura aditiva”. (2018).

7) Frazier, W. E.; Wang, Z.; Zeng, X. Metal additive manufacturing: A review. Journal Of Materials Engineering and Performance. [S. l.], p. 1917-1928. 08 abr. 2014. Disponível em: https:// link.springer.com/. Acesso em: 25 out. 2021.

8) LI, Xiaoli. A brief review: acoustic emission method for tool wear monitoring during turning. International Journal of Machine Tools and Manufacture, v. 42, n. 2, p. 157-165, 2002.

9) Machado, Álisson Rocha, et al. Teoria da usinagem dos materiais. Editora Blucher, 2015.

10) Mendonça, Geovanna Diniz. “Análise da influência do avanço no microfresamento da liga Al6101 T6 através da qualidade superficial dos canais”. (2022).

11) Stephenson, D. A. e Agapiou, J. S. Metal cutting theory and practice. CRC Press, Boca Raton, 3rd edition, 2016.

12) Stewart, Duncan. 3D printing growth accelerates again: TMT Predictions 2019. Deloitte, 2019. Disponível em: https:// www2.deloitte.com/us/en/insights/industry/ technology/technology-media-and-telecompredictions/3d-printing-market.html. Acesso em: 27 de junho de 2019.

13) Veiga, Fernando, et al. “Analysis of the machining process of titanium Ti6Al-4V parts manufactured by wire arc additive manufacturing (WAAM)”. Materials 13.3 (2020): 766.

Fresadoras CNC

Máquinas versáteis e de custo relativamente baixo, capazes de usinar diversos tipos de materiais, as fresadoras CNC foram precursoras dos centros de usinagem e continuam sendo fabricadas e utilizadas até hoje. Têm ampla aplicação na indústria de moldes e matrizes, na fabricação de engrenagens, blocos de motores, entre outros itens.

Empresa

Bener (19) 3826-7373 vendas@bener.com.br

Chinelatto (19) 98154-8015 vendas@chinelatto.com.br

Fidia (11) 94051-1083 l.araujo@fidia.com.br

Obs.: Os dados constantes deste guia foram fornecidos pelas próprias empresas que dele participam, de um total de 22 empresas pesquisadas. Fonte: Revista Máquinas e Metais, junho/julho de 2025.

Usinagem e digitalização presentes na Intermach

Feira que acontece em julho em Joinville (SC) vai reunir importantes fornecedores de maquinário e soluções tecnológicas para a indústria metalmecânica. A programação paralela inclui workshops, palestras e uma visita imersiva a uma instalação industrial.

Entre 15 e 18 de julho vai acontecer no Complexo Expoville, em Joinville (SC), a Feira e Congresso Intermach – Tecnologia para a Indústria Metalmecânica, organizada pela Messe Brasil, reunindo empresas de diversos segmentos industriais, incluindo as ligadas ao setor de usinagem.

Também serão realizados workshops gratuitos, tratando de temas como visão computacional e inteligência artificial (IA)

na indústria metalmecânica; ESG; gestão de projetos; importação de máquinasferramenta; cibersegurança; pneumática e impressão 3D.

Um seminário especial sobre metrologia na indústria metalmecânica, a cargo da Abimaq, reunirá profissionais de empresas desse segmento tratando da importância desse tema no sucesso das operações industriais.

Já o Cintec – Congresso Mecânica

e Automação, organizado pelo SENAI/ IST, terá uma programação distribuída ao longo dos quatro dias de evento, com apresentações de especialistas em laser, inteligência artificial, manufatura aditiva e robótica industrial, além de uma visita técnica imersiva à ISI – Sistemas de Manufatura e Processamento a Laser, na Zona Industrial Norte de Joinville.

Serviço

INTERMACH 2025 – FEIRA E CONGRESSO DE TECNOLOGIA PARA A INDÚSTRIA METALMECÂNICA

Datas: 15 a 18/07/2025

Horário: 13h às 20h

Local: Centro de Convenções e Exposições EXPOVILLE – R. XV de Novembro, 4315 – Glória, Joinville – SC

Apoio Institucional: Abimaq e FIESC

Organização: Messe Brasil

Informações: www.intermach.com.br

Conheça a seguir alguns dos destaques da feira.

A Adifer Ferramentas marca presença na Intermach com seu espaço técnico de soluções para usinagem, metrologia, automação e gravação industrial. Com foco na produtividade no chão de fábrica, o portfólio da empresa conta com ferramentas de corte, incluindo torneamento, fresamento, furação e rosqueamento, acessórios de fixação, instrumentos de medição de alta precisão e lubrificantes industriais de última geração.

A Altona Engenharia Industrial , do Grupo Altona (Blumenau, SC), por exemplo, confirmou participação e vai levar ao evento o seu portfólio de serviços com operações de fundição, caldeiraria e usinagem, que abrangem desde a análise de engenharia até a entrega de conjuntos e peças com peso variando entre 10 kg a 12 toneladas.

Já o Grupo Arsystem vai destacar sua linha completa de abrasivos Suryha e ferramentas para usinagem, soldagem, polimento e estiletes de segurança. Produzida na fábrica da empresa, em Caxias do Sul (RS), a linha é projetada especialmente para o trabalho com aço inox , proporcionando alto desempenho, durabilidade e acabamento superior. Os equipamentos e ferramentas a serem levados para a feira são destinados a processos industriais como usinagem, soldagem, polimento e estiletes de segurança.

A Betec vai levar seu portfólio robusto de equipamentos voltados para a identificação de produtos, controle da produção e rastreabilidade. Os aparelhos para marcação industrial são capazes de imprimir informações essenciais diretamente nas embalagens ou produtos, tais como data de fabricação, validade, número de lote, códigos de barras e QR codes .

A Braffemam (Campo Largo, PR) vai lançar prensas dobradeiras sincronizadas para chapas metálicas, com recursos para compensação automática do retorno elástico. Novos softwares CNC, desenvolvidos para máquinas com sistema de estabilização por eixo, também serão mostrados.

A Creaform (Votorantim, SP) vai apresentar suas principais tecnologias de digitalização tridimensional. Com foco em alta precisão e versatilidade, a empresa vai demonstrar os scanners

3D HandysCAN Black Elite+, HandySCAN Max Elite e MetraSCAN Black Elite+, além de um novo sistema que será lançado exclusivamente durante a feira: o HandySCAN Black Elite+, ideal para medições de alta precisão em aplicações industriais, inspeção e digitalizaçã o rápida e de grandes volumes.

A CimaCAD , de Joinville (SC), vai divulgar a mais recente versão de seu software Cimatron 2025, solução integrada para a concepção e fabricação de moldes, matrizes, eletrodos e para a programação de máquinas CNC e EDM. Ferramenta essencial para os fabricantes de ferramentas e indústrias que buscam aumento de produtividade, qualidade e eficiência no processo de produção, o Cimatron é uma plataforma completa e integrada, permitindo que os usuários trabalhem com uma única interface intuitiva para realizar tarefas complexas de maneira simplificada.

A Cromoville , de Joinville (SC), vai divulgar a aplicação de cromo duro industrial em peças de pequeno, médio e grande porte, além de serviços de usinagem, retificação cilíndrica, polimento e fabricação de peças. Os serviços de aplicação de cromo duro estão disponíveis para peças novas e usadas.

Marca da global Cyncly, a Focco Soluções de Gestão vai levar

o sistema de gestão empresarial FoccoERP, desenvolvido especialmente para atender à demanda do setor industrial e de distribuição, tendo como foco aumentar a produtividade, o controle dos processos e a assertividade na tomada de decisões estratégicas. O FoccoERP integra todas as áreas de uma organização, do comercial à produção, do financeiro à logística e suprimentos, permitindo que os gestores tenham uma visão completa e em tempo real do desempenho da empresa.

A Heinz-Tools (Diadema, SP) vai levar para a feira catarinense a sua linha completa de ferramentas de corte de alta performance para as indústrias que trabalham com usinagem.

A Hofmann Global (São Paulo, SP) exporá equipamentos para balanceamento industrial, com suporte local especializado. A ampla gama de produtos e serviços inclui balanceadoras industriais universais e automáticas, equipamentos de alta precisão para balanceamento de rotores. A empresa oferece retrofitting de balanceadoras industriais multimarcas, com atualização tecnológica para maior eficiência e conformidade com padrões atuais.

A K&L (Joinville, SC) vai mostrar tecnologias para laboratórios de metrologia. A empresa conta com 16 áreas de calibração e três áreas de ensaios com cinco classes acreditadas pela CGCRE, conforme a norma ABNT NBR ISO/IEC 17025. Essa estrutura faz da K&L um dos laboratórios mais completos do Brasil e da América Latina, pronto para atender com precisão e confiabilidade os mais diversos segmentos da indústria.

Com um portfólio voltado para rastreabilidade e gravação industrial, a MF Flues vai exibir gravadores industriais baseados em duas

Máquinas para corte por jato d’água

O corte por jato d’água oferece algumas vantagens sobre os outros métodos de corte. Por ser um processo a frio, elimina a deformação por escória e dejetos. As aplicações da tecnologia de jato d’água são ilimitadas e estão sempre sendo expandidas. Este guia teve a participação de fabricantes ou importadoras de máquinas desse tipo, os quais forneceram dados técnicos dos equipamentos que comercializam.

Flow Waterjet (11) 3616-2820 flowlatino@flowcorp.com

Hypertherm OMAX (11) 99107-4208 fernando.moreira@hypertherm.com

Jekran (*) https://jekran.com info@jekran.com

Technos Prime (11) 93352-4411 bezerra@technosprime.com.br

(*) A empresa procura por representante para o Brasil.

Obs.: Os dados constantes deste guia foram fornecidos pelas próprias empresas que dele participam, de um total de 20 empresas pesquisadas. Fonte: Revista Máquinas e Metais, junho/julho de 2025.

Desenvolvimento de um sistema para interface e simulação do processo EDM com eletrodos distintos

O desenvolvimento de um sistema de simulação e predição de resultados é uma situação presente na indústria mecânica. Entretanto, essa prática é pouco aplicada em micro e pequenas empresas devido aos custos envolvidos. As ferramentas computacionais que usam simulações para auxiliar no processo de fabricação mecânica reduzem o tempo de ensaios experimentais e o processamento dos dados apurados, especialmente em usinagem, que inclui ensaios longos e dispendiosos. No caso de materiais nobres e ligas especiais, não são encontrados parâmetros de rendimento fornecidos pelos fabricantes de equipamentos EDM/WEDM. O objetivo deste trabalho é desenvolver e apresentar uma solução que aborde as principais práticas para a construção de um sistema de simulação com acesso on-line. Esse sistema visa selecionar materiais de eletrodo e parâmetros adequados para a usinagem EDM do superliga Inconel 718.

Entre as superligas à base de níquel, o Inconel 718 é um dos materiais mais utilizados devido ao seu baixo custo de fabricação em comparação com outras superligas. Sua condutividade térmica é baixa e ele apresenta alta taxa de endurecimento por deformação durante a operação de cisalhamento. Esses fenômenos ocorrem devido à sua complexa microestrutura de matriz austenítica de base níquel em solução sólida supersaturada, seguida de tratamento térmico de precipitação por envelhecimento artificial. A capacidade de usinagem com ferramentas convencionais é reduzida, e normalmente, um método de usinagem não convencional, como a remoção por descargas elétricas, torna-se um pro -

cesso potencializado na fabricação de componentes com Inconel 718 (11) . A remoção por descargas elétricas, ou electrical discharge machining - EDM, é um processo de usinagem não convencional, capaz de processar formas geométricas bidimensionais e tridimensionais complexas em quaisquer materiais condutores elétricos indiferentemente de suas características metalúrgicas e que apresentam grande dificuldade para manufatura por usinagem convencional. Onde ocorre inicialmente a ignição (7) e formação do canal de plasma, passando pela fusão e evaporação de uma pequena porção de material e encerrando o ciclo na ejeção do material fundido e limpeza da fenda de trabalho pelo dielétrico. O processo apresenta vantagens tec -

Giovani Conrado Carlini (giovani.carlini@ifsc.edu.br) é pesquisador da Pontifícia Universidade Católica do Paraná (PUCPR), Curitiba (PR), e também pesquisador do Instituto Federal de Santa Catarina (IFSC), Jaraguá do Sul (SC). Alexandre Altair de Melo (alexandre.melo@ifsc.edu.br) e Cassiano Rodrigues Moura (cassiano.moura@ifsc.edu. br) são pesquisadores do Instituto Federal de Santa Catarina (IFSC). Fred Lacerda Amorim (fred.amorim@pucpr.br) é pesquisador da Pontifícia Universidade Católica do Paraná (PUCPR). Este artigo foi apresentado no 26º Colóquio de Usinagem, realizado em novembro de 2024 em Campinas (SP). Reprodução autorizada.

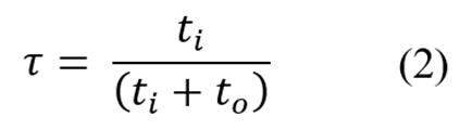
nológicas e produtivas amplas, não ocorrendo mecanismos de ordem tribológica e deformações mecânicas provenientes da interação com as ferramentas de corte durante a fabricação. Assim, as principais variáveis de entrada no processo são: corrente de descarga ī e (A), tensão média da descarga ū e (V) e a duração da descarga te (µs). O produto entre estas variáveis resulta na energia de descarga We (J), conforme a equação 1 descrita na literatura (6) .

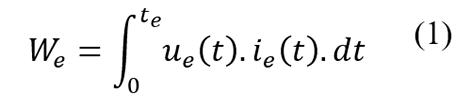
O parâmetro de tempo de intervalo entre pulsos sucessivos t o (µs) possui influência significativa nos resultados de rendimento tecnológico para o processo, contribuindo para o aumento ou diminuição da taxa de descargas elétricas por unidade de tempo. Adicionalmente, há a relação entre a duração do pulso de descarga t i e o intervalo entre pulsos sucessivos t o , descrito como relação de contato τ , de

acordo com a equação 2 apresentada na literatura (1) .

O rendimento do processo EDM é mensurado em termos de taxa de remoção de material, desgaste do eletrodo, desgaste volumétrico relativo, na qualidade e integridade da superfície do componente. A literatura (4) descreve que outros parâmetros de ordem secundária e não elétricos devem ser considerados sobre os efeitos do rendimento do processo. Entre os parâmetros para EDM, são mencionados métodos de aplicação e pressão do dielétrico, e manutenção da limpeza dos minúsculos cavacos e subprodutos promovidos pelas descargas na fenda de trabalho.

Além das grandezas produtivas do rendimento em termos experimentais, ferramentas estatísticas auxiliam na redução de ensaios. A metodologia de fatorial fracionado caracteriza-se em ferramenta estatística consolidada que permite a interação entre os diferentes fatores (k) e seus respectivos níveis (p) sem a necessidade da totalidade de combinações experimentais possíveis (2). A combinação de ferramentas tecnológicas de simulação utilizadas para otimizar os parâmetros do processo em função do desempenho requerido permite prever condições e parâmetros deletérios ao processo de remoção por EDM. São métodos que usam modelos de previsão, relacionando os resultados esperados com os dados experimentais.

De acordo com a literatura (9), uma base de dados robusta necessita ser construída para que o modelo apresente o menor índice de respostas contraproducentes ou baixo nível de confiabilidade. Entre as ferramentas tecnológicas aplicadas, destacam-se

Tabela 1 – Variáveis independentes de entrada selecionadas para compor o planejamento experimental

Regime

Alta energia de descarga

Baixa energia de descarga

Material do eletrodo (polaridade)

Grafita (-)

Grafita (+)

Cobre (+)

CuW (+)

Grafita (-)

Grafita (+)

Cobre (+)

CuW (+)

Tensão em aberto ûi [V]

Corrente da descarga îe [A]

Duração da descarga te [µs]

80

120

Relação de contato τ [-]

11; 18; 24; 56 0,50; 0,66

25 e 37 100 e 420 0,80 e 0,90

24; 3,2 7,5; 24,0 0,20; 0,33

4,0 e 5,6 56,0 e 100,0 0,50 e 0,66

técnicas estatísticas, de elementos finitos e redes neurais artificiais. Entre as ferramentas estatísticas, o método de superfície de resposta, o método Taguchi e a técnica de fatorial fracionado são amplamente aplicados em técnicas experimentais (10) . Um sistema é constituído de dois elementos: uma coleção de objetos e uma relação lógica entre eles. Esses

elementos físicos e lógicos fazem com que o sistema se comporte como um organismo. Na mesma direção, as linguagens para desenvolvimento de sites podem ser divididas em duas categorias básicas: as que rodam no lado do cliente e as que rodam no lado do servidor (8). Assim, o sistema trabalhará para atender os requisitos de ambos os lados, para criar uma

1 – Fluxograma da organização e requisitos do sistema para simulação.

Figura

Eletroerosão

solução que atenda às demandas do software simulador, tendo uma solução que aborde as principais práticas para construção deste tipo de sistema. O objetivo desta pesquisa é desenvolver um sistema de simulação on-line para a seleção de materiais de eletrodo e parâmetros adequados no processo EDM com eletrodos distintos na superliga Inconel 718. O sistema permite visualizar gráficos dinâmicos sobre o desempenho do processo, e simula condições reais para prever resultados com base em variáveis de entrada, usando um modelo estatístico baseado em dados experimentais. A implementação do sistema com uma interface on-line permite aos usuários visualizarem gráficos dinâmicos que mostram o rendimento do processo EDM em termos de taxa de remoção de material, desgaste volumétrico relativo e rugosidade média.

Metodologia

A partir de uma definição prévia das variáveis independentes de entrada, o projeto foi delineado a partir de uma abordagem experimental parcial com fatorial fracionado 4³ resultando em interações distribuídas em duas grandezas: alta energia de descarga e baixa energia de descarga, denominadas de regime de desbaste e regime de acabamento. Assim, resultando em 384 experimentos, considerando a réplica e tréplica de cada ensaio. Como variáveis independentes de entrada, foram selecionados o material do eletrodo, a corrente de descarga ī e (A), a duração da descarga t e (µs) e a relação de contato τ . A tensão média da descarga ū e foi constante de 80 V para alta energia de descarga e 120 V para baixa energia. São mostradas na tabela 1 as variáveis independentes em cada regime de remoção por EDM.

Após a realização dos experimentos na fase analítica, foi utilizado o software Statistica® para o tratamento dos dados resultantes do processo de remoção por EDM aplicado à fabricação de componentes em Inconel 718. Esses experimentos foram conduzidos nos dois regimes caracterizados na tabela 1. Pesquisas recentes indicam um aumento no volume de publicações relacionadas a temas de simulação e otimização em diversos setores industriais (5). Contudo, empresas com recursos limitados usam uma abordagem empírica para resolver problemas.

O sistema planejado baseia-se no desenvolvimento alinhado a critérios estatísticos e heurísticos na formulação de ensaios, planejamento experimental e elaboração de algoritmos usando equações de regressão. Esses algoritmos consideram o comportamento da simulação, tanto relacionado à indicação orientativa de parâmetros de remoção por EDM para a melhor condição estabelecida de um modelo matemático, quanto à simulação de parâmetros disponíveis no equipamento EDM do usuário. O sistema retorna a previsão do rendimento do processo de acordo com as variáveis de entrada informadas.

Após a realização do planejamento experimental, dos ensaios e da caracterização das amostras, foi desenvolvido e organizado um banco de dados contendo os resultados desse planejamento. Com os dados disponíveis, todos os requisitos de execução do projeto foram mapeados, permitindo a definição da estratégia de programação e dos recursos computacionais. A elaboração dos algoritmos, bem como sua posterior implementação, considerando as variáveis de entrada e as equações de regressão resultantes do planejamento experimental, foi previamente estabelecida.

Para disponibilizar os resultados, foram feitos testes de acesso em rede local, seguidos de uma implementação

Figura 2 – Interface de acesso inicial ao sistema: (a) localização do campo de acesso ao login e (b) aba para realização do cadastro ou login e senha já registrados.
Figura 3 – Interface do sistema com login realizado: (a) destaque das ações globais do sistema na versão de administrador e (b) ações disponíveis no sistema para acesso como usuário.

5 – Resultado gráfico da rugosidade média Ra para uma condição de baixa energia: (a) comparativo com quatro condições de eletrodos e (b) aplicação de filtro retirando duas condições e mantendo apenas eletrodos metálicos.

sistema. O acesso para as ações está posicionado à esquerda, no destaque indicado pelo número 1. O administrador pode inserir ou alterar informações do banco de dados (região identificada no destaque 2). Além disso, é possível realizar o cadastramento de novos materiais para a fabricação de componentes, novos materiais para eletrodo, tipo de operação conforme a intensidade da energia de descarga We, alterações na forma de interação gráfica da simulação e importação de novos dados pré-processados para alimentação do banco de dados. O usuário possui acesso indicado na figura 2(b), em que cada um dos ícones de ações está brevemente identificado. No campo “solvEDM” são realizadas todas as simulações cadastradas no banco de dados. Com o preenchimento das variáveis de entrada, as respostas do rendimento do processo são mostradas em formato gráfico. No campo “usuário”, são realizadas as alterações ou atualizações do primeiro cadastro realizado. No campo “panorama EDM”, as principais informações tecnológicas, variáveis do processo e métodos para o dimensionamento do rendimento do processo são descritos.

Ainda na figura 2(b), o campo “fórmu-

las” é uma opção para os usuários que não possuem variáveis independentes de entrada previamente identificadas e cadastradas no campo solvEDM. Eles podem encontrar respostas aproximadas do rendimento do processo pela utilização de equações de regressão dimensionadas anteriormente. Essas equações foram desenvolvidas com base nos dados resultantes do planejamento experimental. No campo “sobre” estão as principais informações do sistema e o tipo de licença Creative Commons. As simulações cadastradas no banco de dados, selecionadas no campo solvEDM, retornam os resultados de rendimento do processo EDM usando gráficos interativos comparativos. A figura 4 mostra um exemplo

de seleção das variáveis de entrada e seus respectivos resultados.

Após a seleção das variáveis independentes de entrada para processamento de resposta, conforme indicado em uma seleção aleatória mostrada na figura 4(a), ao pesquisar o grupo de respostas já contidas no banco de dados, pode-se observar que os “IDs” são listados. Ao selecionar o ícone de “ação”, os gráficos serão exibidos na interface. Na figura 4(b), o gráfico apresenta os resultados da taxa de remoção de material (mm³/min) para quatro durações de descarga t e (µs) e os eletrodos distintos analisados. A figura 4(c) mostra o desgaste volumétrico relativo (%) para a mesma condição de seleção. Pode-se identi -

Figura 6 – Interface do sistema com acesso ao campo “fórmulas”: (a) seleção das variáveis com inserção de lista suspensa e campos para inserir a grandeza da variável; e (b) destaque para retorno das variáveis de saída em relação às variáveis independentes de entrada.

Figura

ficar os comportamentos distintos de cada condição e dos eletrodos usados. No detalhe, ocorre uma ampliação da grandeza para melhor visualização (considerando cor e geometria), enquanto as linhas expressam as tendências do processo. Para complementar as principais respostas do rendimento do processo EDM, na figura 5 são mostrados os resultados para o comportamento da rugosidade Ra (µm) e a aplicação de um “filtro” dinâmico para a variável material do eletrodo. A figura 5 mostra uma seleção aleatória das variáveis independentes de entrada para processamento de resposta da rugosidade média aritmética Ra (µm). Na figura 5(a) pode-se observar o comportamento da rugosidade em relação à duração das descargas t e (µm). O presente trabalho não tem o objetivo de discutir os fenômenos que explicam tal comportamento, concentrando-se na apresentação dos recursos do sistema. Além disso, como mostra a figura 5(b), filtros podem ser aplicados para selecionar as respostas de maior interesse do usuário. No sistema em questão, com um clique ou toque no campo correspondente ao material do eletrodo, é possível adicionar ou remover esse material no gráfico. Utilizando a opção, a escala da grandeza informada na interface se reorganiza automaticamente em ambas as escalas, facilitando a interpretação das respostas. Como forma complementar de auxílio ao usuário na simulação de um processo EDM, uma segunda seleção descreve o sistema por meio de uma entrada de variáveis, em que a base de dados não atenta em sua integridade para a seleção das variáveis. Foram implementadas equações de regressão e um respectivo coeficiente de determinação (%) anteriormente definidos em software . A figura 6 mostra a interface que retorna a previsão do rendimento do processo.

Na figura 6(a) são mostradas a tela de

seleção das variáveis independentes de entrada para processamento. A etapa inicial consiste na inserção de lista suspensa para a seleção do material da peça, regime de operação e da variável de saída em que o usuário deseja simular. Adicionalmente, apresentadas no destaque, são inseridas as grandezas da variável e estas necessitam estar dentro de um limite mínimo e máximo estipulados para: 1 corrente de descarga ī e (A); 2 duração da descarga te (µs); e 3 relação de contato τ

As grandezas são calculadas internamente por meio de equações de regressão. Conforme pode ser observado na figura 6(b), os resultados são relatados para cada material distinto de eletrodo. Cada nível de regime possui uma equação de regressão, e cada uma delas apresenta um coeficiente de determinação R², permitindo ao usuário compreender quão assertiva está uma determinada simulação.

Conclusões

Este trabalho buscou desenvolver uma solução on-line para a problemática de seleção de materiais e parâmetros de usinagem adequados para a EDM da superliga Inconel 718. A partir da tabulação dos dados experimentais, criou-se uma plataforma para interação com os usuários, onde são apresentados resultados gráficos dinâmicos para a avaliação do rendimento da usinagem do respectivo material. Assim, com base nos resultados obtidos, as seguintes conclusões podem ser observadas: o objetivo do trabalho foi alcançado, uma vez que o sistema on-line está publicado e acessível aos usuários, bastando acessar o link e se cadastrar; a interface obtida se mostrou intuitiva e de fácil compreensão, cuja forma gráfica de exposição dos dados torna sua análise rápida e eficiente; além de trabalhar com variáveis cadastradas no banco de dados, o sistema permite a indicação de outras variáveis independentes no campo de fórmulas, encontrando

respostas aproximadas do rendimento do processo por meio de equações de regressão embarcadas na plataforma. As contribuições desta pesquisa são relevantes para o processo de remoção por EDM, principalmente onde se busca a otimização dos parâmetros de trabalho, melhorando a qualidade e reduzindo o número de ensaios experimentais.

Agradecimentos

Os autores agradecem pelo fomento da pesquisa nos editais 03/2022/PROPPI/ DAE e 03/2023/PROPPI/DAE do Instituto Federal de Santa Catarina – IFSC.

Responsabilidade pelas informações Os autores são os únicos responsáveis pelas informações incluídas neste trabalho.

Referências

1) Amorim, Fred Lacerda. 2002. “Tecnologia de eletroerosão por penetração da liga de alumínio AMP 8000 e da liga de cobre CuBe para ferramentas de moldagem de materiais plásticos”. Tese (Doutorado) - Curso de Engenharia Mecânica, Universidade Federal de Santa Catarina, Florianópolis.

2) Bingham, D. R., and R. R. Sitter. 2001. “Design issues in fractional factorial Split-Plot experiments”. Journal of Quality Technology 33(1):2–15.

3) Carlini, Giovani Conrado, André Lubawski, Felipe Alves Cordeiro, Greyce Eloise, Martins, Almir Antenor Do Espírito Santo Junior, Maria Eduarda De Castro Lima, Matheus Döge, Cassiano Rodrigues Moura, Alexandre Altair De Melo, and Fred Lacerda Amorim. 2023. SolvEDM - Software de predição e simulação para processos EDM BR 512023003995-0. Int. FQ-05; IF-07; IN01; IN-02; IN-03. Tipo de programa: AP-01; AP-02; AT-06; FA-04; SM-01; SO-02; SO-09; TC-02. Depósito: 01/09/2023. Concessão: 13/12/2023, Brasil.

4) Carlini, Giovani Conrado, Cristiano Silva, Walter Lindolfo Weingaertner,

Ricardo Diego Torres, and Fred Lacerda Amorim. 2021. “Avaliação da remoção por WEDM com fio de molibdênio no Inconel 718 alterando o meio dielétrico”. P. 8 in 11th Brazilian Congress on Manufacturing Engineering. Curitiba/PR.

5) Chueca, Jorge, Javier Verón, Jaime Font, Francisca Pérez, and Carlos Cetina. 2024. “The consolidation of game software engineering: A systematic literature review of software engineering for industry-scale computer games”. Information and Software Technology 165:107330.

6) Klocke, Fritz, and Wilfried König. 2007. Fertigungsverfahren 3. ed 5. Berlin: Abtragen, Generieren und Lasermaterialbearbeitung. Springer Berlin Heidelberg

7) Mendes, Luciano A., Fred L. Amorim, and Walter L. Weingaertner. 2014. “Automated system for the measurement of spark current and electric voltage in wire EDM performance”. Journal of the Brazilian Society of Mechanical Sciences and Engineering 37(1):123–31.

8) Neto, João Joaquim de Freitas, and Silvia de Castro Bertagnolli. 2021. “Robótica educacional e formação de professores: Uma revisão sistemática da literatura”. RENOTE 19(1):423–32.

9) Quarto, Mariangela, Gianluca D’urso, Claudio Giardini, Giancarlo Maccarini, and Mattia Carminati. 2021. “A comparison between Finite Element Model (FEM) simulation and an Integrated artificial neural network (ANN)-Particle Swarm optimization (PSO) approach to forecast performances of micro electro discharge machining (Micro-EDM) drilling”. Micromachines 12(6).

10) Rajhi, Wajdi, Ibrahim Alatawi, Tayyab Subhani, Badreddine Ayadi, Abdulaziz Al-Ghamdi, and Abdul Khaliq. 2021. “A contribution to numerical prediction of surface damage and residual stresses on Die-Sinking EDM of Ti6Al4V”. Journal of Manufacturing Processes 68(PA):1458–84.

11) Sharma, Vikas, Joy Prakash Misra, and Piyush Singhal. 2019. “Multi-optimization of process parameters for Inconel 718 while Die-Sink EDM using multi-criterion decision making methods”. Journal of Physics: Conference Series 1240(1).

Redutores com folga zero

A Redex (Estados Unidos) anunciou que os seus dispositivos de pré-carga DualDRIVE e TwinDRIVE estão disponíveis para projetistas de máquinas CNC que queiram construir sistemas de posicionamento por pinhão e cremalheira com folga zero.

Os redutores das séries SRP, DRP, KRP e KRPX da Redex possuem pinhões de saída pré-carregados que permitem eliminar folgas, um desafio em projetos que requerem eixos com longos cursos e exigem posicionamento ao longo de todo o curso com precisão inferior a 0,025 mm.

As tecnologias patenteadas pela empresa permitem que o sistema alcance uma pré-carga mecânica ao girar um pinhão contra o outro quando ambos os pinhões estão em contato com a mesma cremalheira. O DualDRIVE necessita de apenas um motor, e não são necessários controladores especiais. Já o TwinDRIVE freia eletricamente um pinhão contra o outro — o pinhão de acionamento — quando ambos estão em contato com a mesma cremalheira. Esses sistemas incorporam dois motores e redutores para uso com controle CNC.

Com alta precisão linear, tamanhos compactos e geometria de precisão para engrenamento com a cremalheira, os redutores podem ser implementados em diferentes combinações, para obter a movimentação requerida no projeto.

Mais informações sobre os redutores para aplicações CNC estão disponíveis em www.redexusa.com.

Empilhadeiras elétricas

A Tria, situada no município paulista de Campinas, comercializa empilhadeiras elétricas que podem ser utilizadas para movimentação de cargas em parques fabris como, por exemplo, blocos e barras metálicas que serão submetidos à usinagem.

Sua linha de equipamentos conta com modelos que têm capacidade para movimentar cargas com peso de até 2,5 toneladas. Além disso, as empilhadeiras contam com bateria de lítio, que proporciona cargas rápidas.

As empilhadeiras elétricas fornecidas pela companhia, que têm design compacto, foram desenvolvidas de maneira a facilitar a sua movimentação em ambientes industriais, e, inclusive, em pequenos espaços. O contato com a Tria pode ser feito pelo telefone (19) 3256-2800.

Desenvolvimento de plantas industriais

Foi lançado pelo Grupo Andritz, com matriz na Áustria e filial brasileira em Curitiba (PR), um conjunto de serviços centrados no desenvolvimento e construção de plantas industriais, que incluem a criação de unidades modulares para empresas que pretendem aumentar suas linhas de produção, por exemplo.

Os trabalhos consistem na aplicação de tecnologias digitais que podem ser utilizadas em simulações voltadas para a criação do layout de fábricas e linhas de produção, além de ensaios virtuais envolvendo a execução de processos produtivos e a automatização deles.

A intensificação do leque de opções de serviços oferecidos pelo grupo é parte de estratégias que visam atender à demanda de empresas de diferentes áreas da indústria de manufatura, tais como o setor metal mecânico e o de usinagem.

A empresa pode ser contatada pelo telefone (41) 2103-7601.

IA para o ambiente industrial

A Dassault Systèmes lançou o sistema 3D UNIV+RSES, que integra tecnologias de inteligência artificial (IA) generativa e recursos para o desenvolvimento de ambientes industriais virtuais e simulação de processos produtivos da plataforma 3DEXPERIENCE.

Os novos recursos digitais, de acordo com um comunicado à imprensa, permitem acesso a ferramentas dedicadas à criação de gêmeos digitais (digital twin) de parques fabris, e, inclusive, de máquinas industriais, assim como a realização de simulações de operações no chão de fábrica e monitoramento do ciclo de vida de peças, entre outros temas.

Treinamento de equipes envolvendo o uso de inteligência artificial também pode ser realizado pelo uso dos recursos integrados. Neste sentido, as ferramentas permitem o compartilhamento de informações sobre normas e resultados obtidos em ensaios virtuais entre diferentes departamentos.

Dassault Systèmes — www.3ds.com

16 A 18 DE SETEMBRO | SÃO PAULO EXPO

A TECHMEI 2025 é um encontro internacional dedicado às tecnologias industriais, que reúne empresas e profissionais das áreas de máquinas, equipamentos e manufatura avançada. De 16 a 18 de setembro, em São Paulo, o evento integrará feira de negócios, congresso técnico, fóruns e workshops com foco na Indústria 4.0, conectividade e soluções completas para a cadeia produtiva.

Durante três dias, participantes terão acesso a conteúdos especializados, oportunidades de networking e demonstrações de tecnologias de ponta, com a presença de especialistas nacionais e internacionais. É o ambiente ideal para impulsionar negócios, lançar produtos e se conectar às inovações da indústria.

Com área de 4.200 metros quadrados, a TECHMEI 2025 oferece um amplo espaço de exposição voltado à geração de negócios, conexões estratégicas e demonstrações de soluções industriais. Garanta seu espaço e seja protagonista da transformação industrial!

Parceiro de mídia

Usinagem otimizada e gestão de processos

A editora Artliber possui em seu catálogo de publicações o livro “Usinagem enxuta. Gestão do processo”, de autoria de Nivaldo Lemos Coppini. A obra tem como tema central o processo de usinagem dos materiais, com foco principalmente em sua gestão e em conceitos de usinagem enxuta.

Também traz uma abordagem que remete aos atuais desafios da indústria metalmecânica, os quais abrangem temas que vão desde a otimização de processos produtivos e do uso de recursos, até custos e competitividade.

No livro são relatados os aspectos de gestão do processo de usinagem, de maneira complementar à tecnologia da usinagem, a qual tem sido extensivamente abordada nos mais diversos cursos de engenharia relacionados a este tema. Também são apresentados alguns conceitos e terminologias sobre a tecnologia do processo de usinagem, exclusivamente com vistas a facilitar o entendimento sobre a sua gestão.

O leitor vai encontrar análises, de forma aprofundada, de diversos fatores que podem estar envolvidos na usinagem, tais como tempo e custos de operações, que são sinônimos de produtividade e competitividade, e que também são fatores fundamentais em qualquer atividade que envolva gestão de atividades lucrativas.

O conteúdo é distribuído em capítulos sobre otimização dos parâmetros da usinagem, seleção e otimização do avanço e da profundidade de usinagem, vida útil de arestas de corte e critério de vida, cálculo dos tempos de usinagem, relações entre dimensões, geometria e preço das ferramentas, entre outros assuntos.

A maximização da produção e minimização do custo em usinagem, assim como a preparação de máquinas (setup fixo) — método conservativo —, também estão presentes nos capítulos do livro. O autor trata ainda de orçamento, negociação, máximo custo admissível e prazos.

A fabricação enxuta, conforme é tratado na obra, sempre será um tema atual para toda a indústria, mas aqui o assunto é abordado do ponto de vista do processo de usinagem, em diferentes cenários de fabricação.

O livro foi escrito em português e tem 136 páginas, e é recomendado para profissionais do setor de usinagem e da indústria de manufatura. Também é indicado para professores e pesquisadores de universidades e centros de pesquisas, alunos de graduação e de pós-graduação em engenharia mecânica, engenharia de produção mecânica e engenharia de produção com base tecnológica própria.

O livro é comercializado pelo site da Artliber (https://artliber.com.br) e pelo site da Amazon (www.amazon. com.br), com preço sugerido na faixa de R$ 50,00 a R$ 58,00.

Para iniciantes: usinagem e máquinas operatrizes

O livro “Usinagem e máquinas operatrizes”, dos autores Marcelo Carlos Barbeli, Nathanael Wagner Sales Morais e Rafaela Filomena Alves Guimarães, foi publicado pela editora Grupo Ser.

A obra é recomendada para iniciantes nas atividades ligadas à usinagem e estudantes de disciplinas relacionadas à indústria de manufatura, por exemplo.

A proposta dos autores é inserir o leitor em uma jornada pelos conhecimentos sobre os processos de usinagem e máquinas operatrizes, explorando temas como os conceitos de usinagem e os princípios de funcionamento de, por exemplo, centros de usinagem, tornos e fresadoras.

Neste sentido, são abordadas as funcionalidades do maquinário utilizado para a fabricação mecânica e também as possíveis aplicações realizadas no dia a dia da indústria metalmecânica.

A temática da obra abrange as características de máquinasferramenta, assim como as operações executadas por meio delas e diversos fatores envolvidos: movimento rotativo, remoção de material, controle dos parâmetros de corte, movimento retilíneo, controle numérico computadorizado (CNC) e qualidade da peça final.

A Indústria 4.0, no que se refere aos conceitos abarcados por este tema, também é abordada no livro. Há capítulos sobre ensaios e testes no setor de usinagem, técnicas de usinagem, ferramentas usadas nesta área, fluidos de corte e segurança operacional.

O livro é comercializado pelo site da editora Grupo Ser (www. livrariagruposer.com.br) e pelo site Estante virtual (www.estantevirtual.com.br), com preço sugerido de R$ 59,00.

Turn static files into dynamic content formats.

Create a flipbook
Issuu converts static files into: digital portfolios, online yearbooks, online catalogs, digital photo albums and more. Sign up and create your flipbook.