GO GREEN 2023 - Április

Page 1

2023. ÁPRILIS

„KLÍMAVÁLTOZÁS

ÉS AMI MÖGÖTTE VAN”

- INTERJÚ TÓTH ZOLTÁNNAL 10. OLDAL

MAGAZIN

A FENNTARTHATÓSÁGRÓL

ENERGIA ÉS GAZDASÁG

Energiaválság Európában - 2. rész

AZ ÚJ GENERÁCIÓ

KOMPRESSZORA

TECHNOLÓGIA ÉS KÖRNYEZET

KISTELEPÜLÉS ENERGIAELLÁTÁSA

ORC ALKALMAZÁSÁVAL– 2. RÉSZ

FORRADALMIAN ÚJ HŰTŐKÖZEG

ÉLETMÓD ÉS TÁRSADALOM

„Klímaváltozás és ami mögötte van”

- Interjú Tóth Zoltánnal

Élelmiszer-hulladékok csökkentése, tudatos élelmiszer-fogyasztás

1

Tar talom

IMPRESSZUM

GoGreen kiadó: EnergyHub Kft.

Ügyvezető igazgató: Tóth Zoltán

Szabó Ádám

Kapcsolat:

1118 Budapest, Rétköz utca 5.

Szerkesztő: Green Edge reklámügynökség

Közreműködők:

Kelner Máté

Atlas Copco Hungary Kft.

Szabó Barbara Linda

Fehér Tamás

Orbico Trade Hungary Kft.

Gombkötő Csaba

Kovács-Sós Kitti

Navratil Ágnes

Soós Eszter Zsófi

Biró Barbara

Báló-Gazsó Ditta

Lajtos Edina

Tóth Zoltán

Rácz Attila Zoltán

EnergyHub Kft.

Fénykörközösség Nonprofit Kft.

Energymarket24 Kft.

Get Data Informatikai Kft.

Van olyan téma, amiről szívesen olvasna?

Írja meg nekünk a gogreen@energyhub.hu e-mail címre!

ENERGIA ÉS GAZDASÁG

3 ENERGIAVÁLSÁG EURÓPÁBAN - 2. RÉSZ

5 AZ ÚJ GENERÁCIÓ KOMPRESSZORA - AZ ELSŐ KOMPRESSZOR, AMELY PÉNZT TERMEL

TECHNOLÓGIA ÉS KÖRNYEZET

6 KISTELEPÜLÉS ENERGIAELLÁTÁSA ORC ALKALMAZÁSÁVAL – 2. RÉSZ

8 FORRADALMIAN ÚJ HŰTŐKÖZEG

ÉLETMÓD ÉS TÁRSADALOM

10 „KLÍMAVÁLTOZÁS ÉS AMI MÖGÖTTE VAN”

- INTERJÚ TÓTH ZOLTÁNNAL

12 ÉLELMISZER-HULLADÉKOK CSÖKKENTÉSE, TUDATOS ÉLELMISZER-FOGYASZTÁS

Borítókép: Unsplash (Zhou Xian)

Energiaválság Európában - 2. rész

Tavaly hatalmasat kaszáltak az oroszok a földgázon, aztán jött a feketeleves

Már a háború előtt, 2021 második felétől, azaz az energiaválság kezdetétől is sok esetben az mozgatta az európai gázárakat, hogy milyen hírek érkeztek az oroszországi szállításokról, így pedig a gázcsapok tekergetésével feljebb és feljebb tornázták az energiahordozó európai tőzsdei árát. A háború kirobbanása után azonban szép fokozatosan csökkent a szállított földgáz mennyisége, de a gázbevételek a csökkenő szállítások mellett is a korábbi bevételek három-négyszeresét jelentették, és maradtak nagyjából ezen a szinten egész 2022-ben. Az év második felére szinte teljesen leállt az orosz import, a gázárak pedig szeptember végéig még olyan magasak voltak, amik túlkompenzálták a mennyiség csökkenését. A szállított vezetékes földgáz mostanra annyira minimális, hogy Moszkvának már esélye sincs érdemben felhajtani az árakat.

Avilágjárvány miatt a gázpiacon valójában már az orosz-ukrán háború, illetve a 2021 második felétől berobbanó energiaválság előtt sem volt teljesen normális a helyzet, de ebben az időszakban még stabilan érkezett a földgáz a kontinensre. A legfontosabb küldő országokból heti 6-7 milliárd m3 futott be, a mennyiség nagyjából 50%-a Oroszországból. 2021 őszén azonban az oroszok szép fokozatosan elkezdtek játszani a szállításokkal. Már a Magyarországgal kötött hosszútávú szerződésnek is volt egy olyan eleme, amely az útvona-

lakat érintette: a megállapodás értelmében a magyar fél azt vállalta, hogy a korábban Ukrajnán keresztül beszerzett mennyiséget a jövőben Szerbián keresztül hozhatják be az országba. Ennek azonban érdemi hatása még nem volt a piacra, viszont a Lengyelországba befutó Jamal vezetéken keresztüli szállítások 2021 szeptember végi leállítása már rendesen megbolygatta a szektort.

Ettől kezdve a kereskedés legfőbb indikátora az lett, hogy az oroszok saját értékesítési platformjukon mekkora

3
ENERGIA ÉS GAZDASÁG

mennyiséget kínálnak fel eladásra, illetve, hogy kötnek-e le szállítási útvonalat Európába. Az oroszok pedig ki is használták a helyzetet, és a Jamal-szállítások újbóli csökkentését, illetve az Északi Áramlat körüli problémák nyilvánosságra hozatalát egy időpontra időzítették, és ez decemberben történelmi csúcsra repítette a gáz árát.

Az oroszok egész januárban jóval kevesebb gázt küldtek Európába a megszokottnál, és több európai ország is aggodalmát fejezte ki, hogy a hosszútávú szerződéseikben foglaltakkal sincsösszhangban ez az aránytalan és indokolatlan mennyiség csökkentés. A háború kitörését követően, a kiugróan magas gázárak mellett viszont az oroszok újra felpörgették a szállításokat, amiből további hatalmas nyereségre tettek szert. Mivel azonban az EU és Oroszország közötti viszony folyamatosan romlott, Moszkva fokozatosan leállította a különböző útvonalakat. A Jamalon, azaz a lengyel vezetéken keresztül tavaly május óta egyáltalán nem szállítanak, majd nyáron először lefelezték, később teljesen leállították a forgalmat az Északi Áramlat 1-en, az Északi-Áramlat 2 projektet viszont Németország állította le nyomásgyakorlás céljából. Ezen események pedig az utóbb említett két gázvezeték rejtélyes felrobbantásával csúcsosodtak ki.

Ez volt az a pillanat, amikor az oroszok végleg elveszítették az európai gázárak érdemi befolyásolásának lehetőségét. Az Északi Áramlat júliusi karbantartás miatti teljes leállításának időpontjára a piac már beárazta,

hogy ezen a vezetéken nem fog több gáz érkezni. Pánik lett úrrá a piacokon, ami augusztus végére a földgáz tőzsdei jegyzésárát soha nem látott szintekre emelte, azóta viszont folyamatosan esik az árfolyam, jelenleg a tavaly augusztusi alig hetedén áll. Ennek hátterében természetesen nemcsak az orosz befolyásolás lehetőségének minimálisra csökkenése áll, de a teljes Oroszországgal szembeni bizalomvesztés után a földgáz pótlása az Európa egészével jóval stabilabb kapcsolatban levő és megbízhatóbb Norvégia, illetve Egyesült Államok felé terelődött, ezáltal a piaci mozgások is jóval kiszámíthatóbb mederbe kerültek.

Míg korábban a teljes európai behozatal közel fele érkezett Oroszországtól, mostanra 10% alá esett a részesedésük, ilyen relatíve kis mennyiséggel pedig sokkal nehezebb nyomást gyakorolni a piacra. Ezzel együtt pedig az orosz gázbevételek is drasztikusan estek, de még mindig jelentősek: az elmúlt fél évben a koronavírusjárvány előtti átlagosan 2,5 milliárd EUR/ hó szintről átlagosan 1,8 milliárd EUR/hó összegre. Az árak és a szállítási mennyiség alakulása alapján pedig a következő hónapokban ebben nem is lesz látványos változás.

Képek forrása: Freepik prémium

Kelner Máté

Az új generáció kompresszora - az első kompresszor, amely pénzt termel

A VSDS kompresszor 60%-os energiamegtakarításra képes a fix fordulatszámú kompresszorokhoz hasonlítva. Ez a teljesítmény a VSD technológia 1994-es bevezetése óta töretlen lendülettel folytatott kutató-fejlesztő munka eredménye.

Akutatómérnökök

a VSD+ után minden egyes alkatrészt megvizsgáltak és keresték az optimalizálás lehetőségeit, miközben a napi munkában szükséges elvárásokat (megbízhatóság, karbantartások gyakoriságának leszorítása, időnként a teljesítmény túllépése, gépleállás nélkül stb.) sem vesztették szem elől. A sűrített levegős rendszerek tervezése vagy kibővítése során nem szabad csak a beszerzési árat és a karbantartás várható költségeit figyelembe venni. Kritikus tényező a kompresszorok által elhasznált energia mértéke is. Az előrelátó tervezésben és a takarékosságban is kiváló partner ez a kimagaslóan takarékos technológia.

akár 21%-kal nagyobb légszállítást (FAD) biztosít. Az FASR motor megfelel az IE5 szabványok követelményeinek, plusz IP66-os védettségi szintet biztosít a porral és a szennyeződésekkel szemben. Az inverter és az FASR motor túlszárnyalja az IES2 (EN 50598) szabvány elektromos meghajtási hatékonysággal kapcsolatos követelményeit.

2. Intelligens jellemzők: A modern hőmérsékletszabályzó rendszer optimális olajhőmérsékletet és -befecskendezést biztosít. A Neos Next inverter nemcsak a motor fordulatszámát, de a ventilátort és a termosztatikus vezérlőszelepet is szabályozza. Így a kompresszor mindig optimális olajbefecskendezési hőmérsékleten működik. Az áramlásnövelési üzemmód lehetővé teszi a maximális kompresszorkapacitás ideiglenes túllépését, ami más kompresszorok esetén nyomásveszteséghez, de akár a teljes gyártósor leállásához is vezethet. Az intelligens leeresztők korlátozzák az energiafelhasználást és hosszabb szervizidőközöket biztosítanak.

Egy takarékos kompresszor működése során akár vissza is adhat a tervezett teljes élettartam- költségből

Összefoglaltuk 6 pontban, hogy milyen vezérelvek és műszaki megoldások vezettek ehhez a rendkívüli teljesítményhez:

1. Nagy teljesítmény: A VSDS innovatív megoldásai egyáltalán nem mentek a teljesítmény rovására. A fix fordulatszámú kompresszorokhoz képest

3. Megtakarítás: A VSDS akár 60%-kal alacsonyabb energiafogyasztást nyújt (az állandó fordulatszámú modellekhez képest), de további jelentős energiamegtakarítás érhető el hővisszanyeréssel, hiszen így a kompresszor energiája kétszer is felhasználható. A sűrített levegős rendszerből nyert 70–90°C-os melegvíz használható tisztálkodási célokra és helyiségek fűtésére, de különösen alkalmas gyártási alkalmazásokhoz.

5 ENERGIA ÉS GAZDASÁG

4. Csatlakoztathatóság: A SMARTLINK valós idejű távoli felügyeletet és optimalizálást biztosít. Lehetséges több kompresszor összehangolt vezérlése: az EQ2i vezérlőegység az alapfelszereltség része. A kompresszor OPC UA kompatibilis a gyártási rendszerbe integrálás érdekében.

5. Fenntarthatóság: Az energiahasználat kétszámjegyű csökkentése segít a károsanyag-kibocsátás csökkentésében. Minimális számú alkatrészt tar-

talmaz, hogy a karbantartás minél kevesebb időt vegyen el a termeléstől.

6. Kicsi és csendes: A mindössze 63 dB-es hangszintnek köszönhetően a gyártás helyén is elhelyezhető, nem szükséges az elkülönített kompresszorhelyiség. A rendkívül kis helyigény könnyű és rugalmas telepíthetőséget tesz lehetővé. Atlas Copco Hungary Kft.

Kistelepülés energiaellátása ORC

alkalmazásával – 2. rész

Előző cikkünkben megnéztünk néhány lehetséges ORC megvalósítási lehetőséget és alkalmazást, a következőkben az előző számban ismertetett kistelepülésen, Turán alkalmazott hibrid geoterm-szolár ORC rendszer gazdaságossági vizsgálatát mutatjuk be.

Nettó jelenérték számítás

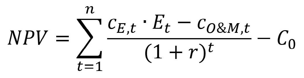
A hibrid geotermikus erőmű gyakorlati megvalósíthatóságát döntő mértékben a gazdasági megtérülése határozza meg. A számítás alapját a nettó jelenérték adja (NPV – net present value), amely a vizsgált időtartam alatt keletkező bevételek és kiadások jelenértékének előjelhelyes összegzését jelenti. A projekt akkor számít megtérülőnek, ha a nettó jelenértéke pozitív.

tárolóval kell rendelkeznie a geotermikus kút 0,002 m3 /s vízhozama mellett. A vizsgált időszakok száma (n) a projekt időtartama, maximális értékét az erőmű élettartama határozza meg. A termálkutak legalább 50-70 évre létesülnek, a napkollektorok élettartama azonban ennél rövidebb, mindössze 20-25 év. A projekt megtérülési idejének ezért ennél rövidebbnek kell lennie. A geotermikus áramtermelés diszkontráta értéke 10,55%.A nettó jelenérték összefüggésében a legbizonytalanabb tényező a beruházási költség, amely értékét a rendszer elemeinek költségei adják, azaz a napkollektor, a geotermikus kutak, az ORC és a hőtároló költségeiből tevődik össze.

Egy 650 fős kistelepülés villamosenergia-igényeinek ellátásához a hibrid geoterm-szolár ORC rendszernek 1.248 darab napkollektorral, 4.402 m3 -es hő -

A választott síkkollektor nettó listaára 155.200 Ft, a hozzá tartozó tartószerkezet ára 159.200 Ft, melyen 5 darab kollektor fér el. A síkkollektorok nagy előnye a többi típushoz képest, hogy beruházási költsége alacsony, és szinte a teljes geometriai felület részt vesz

6 TECHNOLÓGIA ÉS KÖRNYEZET

a hőtermelésben.A geotermikus erőművek költségeinek legnagyobb része a projekt kezdeti fázisában jelentkezik. Ez magában foglalja a kútfúrást, a csővezeték-építést, az erőforrás-elemzést és az erőműnek a megtervezését. A tőkebefektetéseket 3 szakaszra lehet osztani: rezervoárok feltárása, erőmű megépítése, jövőbeni kút újrafúrás, kút vízhozamnövelés. A geotermikus erőművek létesítési költsége erősen függ az elérhető hőhordozó közeg mélységétől és hőmérsékletétől.

1.700-2.000 méter mély kutak fúrásának költsége hozzávetőlegesen 500 millió forintot igényel. A fázisváltó anyagot tartalmazó hőtároló beruházási költsége korábbi megvalósult szezonális hőtárolók adatai alapján ~30 EUR/m3. Az erőmű egyes részegységeinek becsült beruházási költségeit az alábbi táblázat tartalmazza.

A nettó jelenérték számlálóját a villamosenergia megtakarításból származó bevételek és az üzemeltetési és karbantartási költségek különbsége adja meg. A kiindulási adatok és a kapott eredmény az alábbi táblázatban látható.

A nettó jelenérték kiszámításához szükség van az adott időszakban esedékes összes bevétel és kiadás különbségére. Egy geotermikus projekt gazdaságossága elsősorban a termelt villamos energia eladásából származó bevételtől függ. Egy saját ellátásra termelő kistelepülés esetében azonban a helyi igények kielégítése a cél, ezért a meg nem vásárolt villamos energia ára adja a bevételeket. Azzal az egyszerűsítéssel élve, hogy a felhasználók legnagyobb részét a lakossági fogyasztók teszik ki, a villamos energia ára 2.523 kWh/év felett 70,104 Ft/kWh.

Az évente felmerülő kiadásokat az üzemeltetési és karbantartási költségek adják, melynek van egy állandó és változó része. A geotermikus erőműveknek jellemzően hosszú az élettartamuk (minimum 30-50 év), és ez idő alatt az üzemeltetési és karbantartási költségek mérsékeltek. A korszerű geotermikus erőművek és napkollektorok esetén az alábbi értékek jellemzőek.

A számítás eredménye alapján a nettó jelenérték negatív, tehát a beruházás nem megtérülő. A legnagyobb költséget a geotermikus kút létesítése jelenti, mely 1 milliárd forintra tehető. A költségek csökkentésére megoldást nyújthat a már meglévő kutak újra felhasználása. A meglévő szénhidrogén kutak, egy kimerült lelőhely átalakítható lenne geotermikus kúttá, így a beruházási költségek jelentősen csökkennének, ha a kút megfelelő állapotban van, ezzel a nettó jelenérték is pozitív lehetne.

Kockázatok, finanszírozási lehetőségek

A geotermikus projektek hátránya a magas kezdeti tőkeigény, amely leginkább a költséges kutatási módszerekből, a mélyfúrásokból, a kitermelő és viszszasajtoló kutak kialakításából adódik. A felszín alatti térrész pontos ismeretének hiányából adódó bizonytalanság kockázatossá teszi a geotermikus beruházásokat. A földtani kockázat mellett megjelennek a fúrástechnikai, környezeti és jogi kockázatok is.

7
Rendszerelemek Beruházási költség (Ft) Napkollektoros rendszer 359.709.257 Geotermikus rendszer 73.507.300 Kútfúrás 1.000.000.000 Tároló 52.824.000 Összesen 1.486.040.557 Geotermikus erőmű Állandó költség 137,5 $/kW/év Változó költség 1,17 $/MWh Napkollektor Állandó költség 85,82 $/kW/év Változó költség 0 $/MWh Diszkontráta r 0,1055 1 Villamos energia ára CE,t 70,104 Ft/ kWh Éves villamosenergia-termelés Et 863.654,16 kWh/ év O&M költségek CO&M,t 6.810.408,98 Ft/év Tervezett beruházási költség C0 1.486.040.557 Ft Nettó jelenérték NPV -977.157.021 1

Ezen okok miatt a befektetők nem vágnak bele a magas tőkeigényű projektekbe, valamint a pénzintézetek sem nyújtanak hitelt, így támogatás hiányában sok projekt megvalósulása ellehetetlenül. Európa több országában azonban felismerték ezt a problémát, és ezért létrehoztak geotermikus kockázatkezelő garanciaalapokat. A folyamatban részt vesznek

külső szakértők, illetve állami szervek is. A szerződéssel az előre meghatározott technikai peremfeltételek alapján sikertelennek tekinthető fúrást követően kerül folyósításra a biztosítási összeg.

Forradalmian új hűtőközeg – integrált merülő hűtéses megoldások az energiahatékony és klímabarát adatközpontokért

Globális népességünk növekedésével minden nap egyre nagyobb az igény az adatokhoz való gyorsabb, intelligensebb és közvetlenebb hozzáférésre. Mivel az éghajlatváltozás az egyik legnagyobb kihívás, amellyel ma az emberiség szembesül, rugalmas, környezetkímélő megoldásra van szükségünk adatközpontjaink fenntarthatóbb működtetéséhez.

Az adatközpontok infrastruktúrájának éves bővülése meghaladja a 20%-ot, így gyökeres változást hozó intézkedések nélkül a károsanyag-kibocsátásuk exponenciálisan nőni fog. Ezzel egy időben a társadalomnak 50%-kal kell csökkentenie a szén-dioxidkibocsátást annak érdekében, hogy mérsékelni tudja a globális felmelegedés hatásait. Sok gyártó vállalat terve az, hogy 2050-re nettó zéró kibocsátásúvá váljon, és a tudomány fejlődése lehetőséget ad már arra is, hogy például az adatközpontok energiafelhasználását is csökkenteni tudjuk. Ezt a megoldást kívánjuk ebben a cikkben röviden bemutatni.

Az adatközpontok hardverei és számítógépes alkatrészei hűtésének rendkívül hatékony módja az, ha ezeket teljes terjedelmükben valamilyen hővezető, ugyanakkor elektromos vezetőképességgel nem rendelkező (szigetelő tulajdonságú) hűtőfolyadékba merítjük. Ezzel nemcsak az energiafogyasztás és a szén-dioxid-kibocsátás, de a költségek is csökkenthetők, miközben javul a helyszín mindenkori igényekhez való alkalmazkodása. A folyadék keringetéséről vagy

a természetes konvekció, vagy pedig szivattyú gondoskodik, így vezetve el a hőt a részegységektől. További előnye, hogy ez a hő vízhűtéses hőcserélőkkel visszanyerhető, és távfűtési berendezésekben újra felhasználható.

8
KÖRNYEZET
TECHNOLÓGIA ÉS

A legtöbb előnnyel az egyfázisú merülő hűtőrendszerek rendelkeznek, ugyanis egyszerű felépítésűek, kisebb tőkeberuházást igényelnek, nyitott tartályokban is tárolhatók, így a karbantartásuk is könynyebb. Ez a megoldás akár 48%-kal is csökkentheti a karbonlábnyomot, 33%-kal csökkenhet a bekerülési és üzemeltetési költség, 30%-kal kevesebb lehet a szén-dioxid kibocsátás, 80%-kal kisebb alapterületet igényel, és 40%-kal nagyobb CPU teljesítményt hoz.

A szintetikus, egyfázisú merülő rendszerben használt hűtőfolyadék nem más, mint egy úgynevezett gas-to-liquids technológiával földgázból előállított közeg. Magas szintű hűtési hatékonyságának, áramlási viselkedésének, valamint kiváló termodinamikai

tulajdonságainak köszönhetően csökkenti az energiaköltségeket és a károsanyag-kibocsátást, előállítása kevésbé költséges, javítja a termékbiztonságot, jobb hőkapacitással rendelkezik, nagyobb a hőátadási hatékonysága és kevésbé illékony. Természetes konvekciójú merülő hűtéses megoldásokra lett optimalizálva, de szivattyús/kényszerített keringetésű rendszerekben is használható. Ez a speciális közeg rendkívül alacsony sűrűséggel és magas lobbanásponttal rendelkezik, nem párolog. A folyadék összetétele rendkívül konzisztens, illetve igen magas oxidációs és hőstabilitással rendelkezik. Gyakorlatilag nem tartalmaz ként, nitrogént vagy aromás összetevőket, továbbá nem korrozív hatású.

Az integrált merülő hűtéses megoldásokat kiválóan tudják hasznosítani a felhőszolgáltatók, távközlési szolgáltatók, vállalatok, kutatóintézetek és a kolokációs szolgáltatók is.

A fent említett termék jelenleg bevezetés alatt áll, igény esetén Magyarországon is elérhetővé válik.

Április 22. A FÖLD NAPJA

9
Fehér Tamás, Orbico Trade Hungary Kft.

„Klímaváltozás és ami mögötte van” - Interjú Tóth Zoltánnal

A Budapesti Fazekas Mihály Gimnázium „Fazekas + Fesztivál” -ján megtartott előadása apropóján beszélgettünk Tóth Zoltánnal, az EnergyHub ügyvezető partnerével.

Mit értesz az alatt, hogy nem értjük a jeleket?

Arra célzol, hogy a klímaváltozás valami másra akarja ráirányítani a figyelmünket?

Miért vállaltad el ezt a felkérést?

Nagyon fontosnak tartom, hogy egy ilyen presztízsű oktatási intézményben tanuló gyerekek pontos információkat kapjanak arról, ami leginkább őket, illetve kortársaikat érinti majd.

„Klímaváltozás és ami mögötte van” címet adtad az előadásodnak. Úgy gondolod, hogy ez a téma még nincs elég jól körül járva?

Azt tapasztalom, hogy még mindig nem értjük jól a jeleket, beleesünk ugyanabba a hibába, azaz leegyszerűsítjük a problémát. Egyenlőségjelet teszünk a klímaváltozás és a szén-dioxid kibocsátás közé.

Másként fogalmazva, el akarjuk hitetni magunkkal, hogy a fenntarthatóságot úgy is megvalósíthatjuk, hogy ugyanúgy élünk, mint eddig, elegendő ehhez a szén-dioxid kibocsátás csökkentése.

Az emberiség a létezése óta mítoszokat teremt azért, hogy meghatározza önmagát és az egymással, illetve a környezetével való viszonyát. Az egyik ilyen fontos mítoszunk az elszakadás mítosza. Vagyunk mi, emberek, és van a környezet, ami körülvesz bennünket. És ebben vannak az úgynevezett természeti erőforrások, azaz az ember számára teremtett és kiaknázandó, másként fogalmazva kihasználható természeti kincsek. És ebben a kiaknázásban az emberiség eljutott egy olyan szintre, ami elviselhetetlen a bolygó, mint élő rendszer számára. A klímaváltozás az ökoszisztéma pusztulásának tünete.

Ha jól értem, akkor szerinted nem a szén-dioxid kibocsájtás csökkentésére kellene első sorban fókuszálnunk?

Ez is nagyon fontos, de a probléma gyökere ennél mélyebben van. Ma már számos tudományos elemzés támasztja alá, hogy a legnagyobb gond a vízkörforgás zavara, az erdők, a lápvidékek, a füves puszták és a talaj pusztulása, illetve, hogy ezek a rossz folyamatok egymásra is nagyon komoly kihatással vannak.

Szerinted, ha ezeket megoldjuk, akkor megoldjuk a klímaváltozást? Van erre egyáltalán megoldás?

Én hiszek benne, hogy van. Például a regeneratív mezőgazdaság lényege, hogy takarónövényzetet és

10 ÉLETMÓD ÉS TÁRSADALOM

évelőket alkalmazva a talaj sosem marad csupaszon, a rotációs legeltetéssel pedig imitáljuk a vadon élő nagyvadak csordáinak talaj és ökoszisztéma építő hatását. A jelenleg mintegy 4 milliárd hektáron folyó legeltetés és takarmánytermesztés helyett, a rotációs legeltetés önmagában képes lenne a Föld teljes széndioxid-kibocsátásának elnyelésére és tárolására a talajban.

egyértelmű számunkra - már általános iskolában megtanuljuk -, hogy a fák szén-dioxidot nyelnek el és oxigént bocsátanak ki. Az emberek pedig pont fordítva: oxigént lélegeznek be és szén-dioxidot bocsátanak ki. Kölcsönösen függünk egymástól. Ahogy minden mástól, méhektől, madaraktól, termőtalajtól, víztől is. Mégis, a döntéseinkben nem ez a kölcsönös függés, hanem az elszakadás vezérel bennünket.

Ahogy ez a kölcsönösségre való tudatosságunk egyre jobban vezérel bennünket a döntéseinkben, úgy fogunk egyre nagyobb lépéseket tenni egy valóban fenntartható élet irányába. És mivel a szemléletváltás kis lépések folyamatos, következetes végrehajtásán múlik, így bármilyen apró tettünk, amivel a kölcsönösség érzését erősítjük, elhozhatja a megoldást.

Tóth Zoltán, EnergyHub ügyvezető igazgató, partner

Gombkötő Csaba

Ha ez ilyen egyszerű, miért nem beszél erről senki? Miért nem oldjuk így meg?

Bárcsak ilyen egyszerű lenne. Az első gond, hogy nem erre vagyunk jelenleg berendezkedve. Az átállás pedig sokak számára fájdalmas lehet rövid- és akár középtávon is. A második gond - és ez összefügg az elsővel -, hogy valójában ismét leegyszerűsítettük a problémát a szén-dioxid kibocsátás szintjére.

Akkor véleményed szerint hogyan kellene jól megfogni ezt a kérdést?

Mítoszváltásra, szemléletváltásra van szükség. Tudatosságra abban, hogy a saját tapasztalataink alapján másként kezdjük el látni a világot. Például teljesen

11

Élelmiszer-hulladékok csökkentése, tudatos élelmiszer-fogyasztás

Az éghajlatváltozás, a népesség növekedése és a politika egyre nagyobb nyomást gyakorol az élelmiszeriparra, ezért fontos, hogy a túlfogyasztó magatartás ne üsse fel fejét élelmiszervásárlás terén, illetve, ha módunkban áll, vásárláskor válasszuk a környezetet jobban kímélő termékeket. Az élelmiszer-előállítás környezeti hatásai a föld- és vízhasználat mennyiségének növekedése, a természeti erőforrások kimerítése és üvegházhatású gázok kibocsátása.

Ahhoz, hogy a víz-, energia- és területigények ne növekedjenek, oda kell figyelni arra, hogy tényleg csak annyit vételezzünk, amire szükségünk van, és ne kerüljenek kidobásra még használható ételek. Az élelmiszerhulladék nedvességtartalma magas, így elégetés helyett hulladéktárolóba kerül, melynek helyigénye világszerte több milliárd hektár. 2

A növekvő hulladékmennyiséggel csökken a megművelhető földterület, ám a növekedő élelmiszerigény kielégítése érdekében a természetes erdők, legelők, korábban érintetlen területek mezőgazdasági területekké válnak. Ez azt is jelenti, hogy egyre nagyobb területet szükséges műtrágyázni és növényvédő szerekkel kezelni, ami a talajvíz szennyeződését okozza.

Az élelmiszerlánc szereplői az adott ország gazdasági fejlettségétől függően más - más mértékben felelősek az élelmiszerhulladékok keletkezéséért: a fejlődő országokban jellemzően a termesztés, a betakarítás utáni kezelés és a tárolás során ke -

letkezik a hulladék jelentős része, míg a fejlett országokban főként az előállítás, a feldolgozás, a disztribúció és a fogyasztás fázisaiban jelentkezik legnagyobb mennyiségben. 3

A keletkező hulladékokért Európában legnagyobb hányadban a háztartások felelősek, de emellett a vendéglátásban, közétkeztetésben is jelentős menynyiségű élelmiszer kerül kidobásra.

Az élelmiszer-hulladék, pazarlás, éghajlatra gyakorolt hatás csökkentése és fenntarthatóbb élelmiszerrendszer létrehozása érdekében az EU kidolgozott stratégiákat, és biztosítani kívánja, hogy igénynek megfelelően egyre több élelmiszer álljon rendelkezésre.1 Az Európai Unió irányelvben írja elő a tagállamok számára, hogy az élelmiszer-ellátási lánc minden fázisában kövessék nyomon, illetve csökkentsék a hulladék mennyiségét. A tagállamok számára kötelező az élelmiszerhulladék-megelőzési program

12 ÉLETMÓD ÉS TÁRSADALOM

kidolgozása, élelmiszer adományozás emberek vagy állatok számára, a hulladékban található anyagok újrahasznosítása, komposztálás, az élelmiszerhulladék anaerob bomlásából származó gáz hasznosítása, illetve az élelmiszer feldolgozási folyamatiból származó melléktermékek felhasználása.

A hulladékmennyiség csökkentésének eszközei

A termelési folyamatok hatékonyságának növelése mellett a háztartásokban való takarékoskodás, azaz a helyes fogyasztói magatartás a legkézenfekvőbb eszköz.

Tudatos termékválasztás, táplálkozás

Mindamellett, hogy az élelmiszer eredetű hulladékot redukálni próbáljuk, lehetőségünk van olyan termékeket kiválasztani, melyeknek előállítása kevesebb energiával, vízfelhasználással, földigénnyel vagy károsanyag-kibocsátással járt.

Érdemes figyelni a tojás, tejtermék, hús eredetére, az állattartás formájára - például a tojásokra nyomtatott kód a termék minőségét jelöli. Napjainkban egyre elterjedtebb a vegetáriánus és vegán étkezés, mely táplálkozási formák kiváltó okai nem feltétlen az állatok kíméletén alapul, hanem a környezetünk megóvásán.

A gyártók kidobás helyett eladományozhatják az eladásra már nem alkalmas, sérült csomagolású termékeiket. Emellett a gyártók használhatnak környezetbarát anyagot a csomagolás során. 3 A kisebb kiszerelésű, többféle méretű csomagolások alkalmazása (egyszemélyes háztartások számára) lehetővé teszi a szükséges adaghoz való hozzáférést, csökkentené a kidobott termékek mennyiségét. A romlott ételek kidobásából származó hulladék mennyisége csökkenthető az eltarthatóság pontosabb meghatározásával, csomagolási innovációk alkalmazásával például oxigén jelenlétére foszforeszkáló szenzor előrecsomagolt sajtok, húsok esetében, és az üzemi higiénia tartásával. Fogyasztói szinten elsősorban törekedjünk arra, hogy megelőzzük a túlvásárlást, ha mégis van maradék, akkor találjuk meg az újrahasználás lehetőségét, például rászorulóknak, társállatoknak való adományozás.

Nem csupán kerttel rendelkező háztartásokban lehet külön gyűjteni és komposztban elhelyezni a lebomló szemetet. Budapesten számos helyen, kihelyezett ládákban vagy komposzttelepeken a lakosság számára 100 kg-ig ingyenesen adható le zöldhulladék. Emellett beltérbe, főképp irodákba tervezett komposztgyűjtő szemetesek, úgynevezett okoskukák is megtalálhatók már a piacon.4Vásárlás során törekedhetünk a környezetbarát csomagolás választására. Több termék címkéjén található információ a gyártó szemléletformáló kampányairól, melyeket érdemes figyelnünk.

Az állattartás során, főképp a trágyatároláshoz és a szarvasmarhák emésztéséhez kapcsolódóan, ammónia és a metán szabadul fel, mely jelentősen hozzájárul a környezet terheléséhez. Emellett az állattenyésztés hely- és vízigénye jóval magasabb a növényekéhez képest, fajlagosan kevesebb élelemmel szolgál egy állattenyésztésre használt terület, mint amin növényeket termesztenek. Szerencsére rengeteg különféle növényi alapú termék áll rendelkezésünkre az állati eredetű ételek alternatívájaként. Már azzal is csökken a karbonlábnyomunk, ha a tehéntejről és tejtermékekről átváltunk növényi alapú termékekre, fehérjeforrásnak pedig inkább tofut vagy hüvelyeseket választunk.

Számos kutatás foglalkozott már a különböző tejek előállításának környezeti hatásával, melyet több mutató (1 liter tej előállításához felhasznált földterület, vízhasználat, ÜHG kibocsátás, eutrofizáció) szerint vizsgáltak. A tehéntejnek minden mérőszám tekintetében lényegesen nagyobb a hatása, mint a növényi alapú alternatíváknak. Körülbelül háromszor annyi üvegházhatású gázkibocsátást okoz, tízszer annyi földet használ fel, akár hússzor annyi édesvizet és sokkal nagyobb mértékű eutrofizációt okoz. Mindegyik alternatív tej környezeti hatása kisebb, de különféle mutatókat vizsgálva nem lehet egyértelmű következtetést levonni, hogy környezetünk szempontjából melyiket a legcélszerűbb fogyasztani. Területigény szempontjából a rizstej, vízhasználat alapján a szójatej, ÜHG kibocsátás alapján a mandulatej a legjobb.

13

Látható tehát, hogy környezetünk megóvása érdekében életünk minden területén választhatunk jobb megoldást. A fogyasztói magatartás megváltoztatásával, pazarlás csökkentésével kevesebb élelmiszerhulladék keletkezik, helyes termékek választása pedig károsanyag-kibocsátás csökkenéséhez vezethet.

Képek forrása: Freepik prémium

Források:

1. https://ec.europa.eu/info/law/better-regulation/haveyour-say/initiatives/13223-Food-waste-reductiontargets_en

2. https://www.eea.europa.eu/hu/jelzesek/jelzesek-2012/ kozelrol/elelmiszer-hulladek

3. https://portal.nebih.gov.hu/documents/10182/1218772/ maradeknelkul_utmutato_ELELMISZERIPAR_webes. pdf/580e6f4d-b9b9-4756-02ce-0481970c3e05

4. https://forbes.hu/zold/okoskuka-komposztalo-startupcompocity/

5. https://ec.europa.eu/environment/resource_efficiency/ index_en.htm

6. https://maradeknelkul.hu/2018/07/23/azelelmiszerpazarlas-kornyezeti-es-gazdasagi-hatasai/

14
Soós Eszter Zsófi

Tovább folytatódik az Orbico és az

EnergyHub együttműködése, melynek

következő eseménye a „SHELL KENŐANYAG AKADÉMIA”.

Tisztelt Partnerünk!

Meghívjuk Önt az Orbico Hungary Kft. és az EnergyHub Kft. által szervezett online Shell Kenőanyag Akadémia következő előadására, melyen a magyar piacon egyedülálló szakmai kenőanyag továbbképzést biztosítunk partnereink részére egy interaktív webinárium-sorozat formájában.

Miért érdemes csatlakoznia a szakmai webináriumhoz?

A szakmai webinárium során:

• szó lesz az olajcserékről, mint energiahatékonysági beruházásokról,

• üzemi tesztek eredményeit és referenciáit mutatjuk be

• az igénybe vehető támogatási források (TAO és EKR) is ismertetésre kerülnek.

A webinárium szakmai előadói:

• Fehér Tamás, műszaki tanácsadó – Orbico Hungary Kft.

• Kepka György (EKR) – EnergyHub Kft.

• Csabai István (TAO) - EnergyHub Kft.

Időpont: 2023. április 20 (csütörtök) - 14:00 óra (A várható időtartam 1 óra)

Az interaktív webináriumhoz a Microsoft Teams-en keresztül lehet majd csatlakozni. Amennyiben szeretne részt venni, kérjük e-mail-es jelentkezését küldje meg a gogreen@energyhub.hu címre.

Ezek után a csatlakozáshoz szükséges Teams meghívót e-mailben és ezzel egyidejűleg az online naptárába is elküldjük Önnek!

Üdvözlettel: Shell Kenőanyagok és EnergyHub csapata

15

KLENEN'23 konferencián jártunk

„Osszuk meg tapasztalatainkat, dolgozzunk együtt a természet egyensúlyának megőrzéséért” mottóval a konferenciasorozat 24. alkalommal került megrendezésre a megújult Thermal Hotel Visegrádban idén márciusban. A konferenciasorozat 2003-ban kapta meg a KLENEN nevet a „Klímaváltozás – Energiatudatosság –Energiahatékonyság” mozaikszavaként. A konferencia célja, hogy a szakmai program összeállításával segítsék az energetikai auditorokat és szakreferenseket, az auditálásra, szakreferens igénybevételére kötelezett vállalatokat, az energiaszolgáltatókat és az Energiahatékonysági Kötelezettségi Rendszer (EKR) kötelezettjeinek képviselőit.

Az első napon a plenáris előadások tájékoztatást adtak az aktuális jogalkotói feladatokról a klímavédelemben, az EKR működésének tapasztalatairól és a hitelesített energiamegtakarítások szervezett piacának folyamatáról. Önálló szekciókban a kötelezettség teljesítésében

szerzett tapasztalatokról számoltak be a terület jeles képviselői, akik kerekasztal beszélgetés keretében osztották meg véleményüket a felmerülő kérdésekkel kapcsolatban.Nagy büszkeségünkre cégünk kereskedelmi igazgatója, Rácz Attila az Energiahatékonysági Kötelezettségi Rendszer (EKR) aktuális kihívásairól, működési tapasztalatairól beszélt, valamint javaslatokat tett az EKR-ben résztvevő szereplők számára. Az előadások végével a kiállító cégek standjainak meglátogatásával az érdeklődők hasznos információkkal gazdagíthatták ismereteiket. A konferencia második napján három párhuzamos szekcióban kínáltak programot az energetikai veszteségfeltárás, az auditálás, az alternatív járműhajtások, és a méréstechnikai rendszerek területén. Önálló szekcióban foglalkoztak az ISO 50001 alapú energiagazdálkodási rendszerek bevezetésének és fenntartásának tapasztalataival, végül a szabványalkalmazók számára hasznos helyzetgyakorlatokkal zárult az esemény.

EnergyHub Kft.

Forrás: www.klenen.eu

GoGreen Icons sorozatunk keretén belül egy újabb helyszínnel, a dél-magyarországi műanyagipari cég, geotermikus energiával fűtött gyárával szeretnénk lehetőséget biztosítani a különböző erőműtípusok megismerésére. November 16-án érdeklődő partnereinkkel megnézhettük a geotermikus kutat és a hőközpontot, miközben a gyár szakértőitől minden felmerült kérésünkre választ kaptunk. Többek között megtudhattuk, hogy a 2.346 m-es úgynevezett pozitív kútból 85°C körüli fluidumot nyernek ki, mellyel hőcserélőkön keresztül a gyár fűtési és használati melegvíz igényének 100%-át fedezik. Bár a hőközpontban földgáz tüzelésű kazánok is vannak, de a geotermiának ezek csak vésztartalékként vannak beépítve. Az idei évben egy napelem farmot is telepítettek, hogy a fűtési igényük mellett, már a villamos energia felhasználásukat is minél nagyobb részben saját termelésű megújuló energiával lássák el.

Szél-és vízerőművek mellett biogáz- és szalma- tüzelésű erőművekbe, az ország első önálló akkumulátoros energiatárolójának megtekintésére, illetve egyéb kisebb napelemes rendszerek megtekintésére továbbra is lehetőséget kínálunk. Az események ingyenesen látogathatók, de a létszámkorlát miatt regisztrációhoz kötöttek. Regisztrálni a gogeen@energyhub.hu e-mail címen folyamatosan lehet, a megtekinteni kívánt erőműtípus megjelölésével! A jelentkezőket a részletekkel kapcsolatban e-mailen értesítjük. Tartsanak velünk!

ICONS

ZÖLDHÍREK a nagyvilágból

Megszűnik a benzines autók értékesítése 2035-től

Németország ugyan először visszalépett az Európai Parlament és a tagállamok közti elvi megállapodástól, miszerint 2035- től csak elektromos autókat lehet értékesíteni az EU-ban, kihasználva a több másik tagállammal létrehozott blokkoló kisebbséget. Végül azonban kompromisszumos megoldás született: lehetséges lesz majd az e-üzemanyaggal (légköri szén-dioxidból vagy szén-monoxidból, illetve megújuló energiával előállított hidrogénből gyártott üzemanyaggal) működő belső égésű motorok használatára is.

forrás: https://forbes.hu/zold/eu-benzines-autikivezetes/

Egyre kevesebb a víz

Idén is folytatódhat a 2022-es szárazság hazánkban, ezért fontos, hogy korszerű vízgazdálkodási módszerekkel megőrizzük vízkészletünket. A WWF Magyarország szerint a mesterséges vízpótlás nem elegendő és fenntartható, ezért a keletkező csapadék megtartására alkalmas helyeket kell kijelölni, és biztosítani kell a víz talajba való bejutását. Víztakarékossági intézkedések bevezetésére is szükség van: a vízhiányos területeken nem szabad nagy vízigényű mezőgazdasági vagy ipari tevékenységet végezni. A folyószabályozások jelentősen csökkentették az árterek területét, ami szintén hozzájárul az elsivatagosodási folyamathoz.

forrás: https://index.hu/gazdasag/2023/03/22/ wwf-magyarorszag-klimavaltozas-elsivatagosodasvizmegtartas-energia-veszelyhelyzet/

Rossz állapotú termőföldek miatt

drágul az élelmiszer

A termény nemcsak a klímaváltozás hatásait sínyli meg, hanem a monokultúra, a túlzásba vitt vegyszerezés, kiszáradás, belvizek, szervesanyag-utánpótlás elmaradása is negatív hatással van a termőföldekre, figyelmeztet Hidas András, a mezőgazdaság tudományok kandidátusa, aki évtizedek óta foglalkozik a témával. A rossz termőtalaj minősége visszaállítható megfelelő, mikrobák sokaságából álló készítményekkel, melyekkel helyrehozható a talajban lévő jótékony baktériumok egyensúlya. A 2023-tól elinduló agro-ökológiai program pontrendszere alapján a gazdáknak plusz pontot jelent a mikrobiológiai készítmények alkalmazása.

forrás: https://index.hu/belfold/2023/03/27/ termofoldek-elelmiszerarak-dragulas-klimavaltozas/

Spanyolország ezévi első nagy erdőtüze pusztított

Több mint 5.000 hektárnyi erdő égett le, 155 embernek kellett elhagynia otthonát. Több repülőgép, helikopter és több mint 500 tűzoltó dolgozott a Villanueva de Viver falu közelében keletkezett tűz megfékezésén Az éghajlatváltozás következtében a tél szokatlanul száraz volt, az Európi Bizottság további tüzektől tart, valamint aszályriadót rendeltek el Franciaországra, Írországra, Nagy-Britanniára, Észak-Olaszországra, Görögországra és Kelet-Európa bizonyos részeire.

forrás: https://index.hu/kulfold/2023/03/25/ erdotuz-langok-aszaly-riado-spanyolorszageghajlatvaltozas/

17

Turn static files into dynamic content formats.

Create a flipbook
Issuu converts static files into: digital portfolios, online yearbooks, online catalogs, digital photo albums and more. Sign up and create your flipbook.