Property Book - N 27th, Unit 15

Page 1

PROPERTYINFORMATION

Date: 4/4/2023

Prepared By:

TitleOne Customer Service

PropertyAddress: 2953 N 27thAve #15 Bozeman

Parcel Number: 06090435203037015

Warmest Regards, TheTitleOneTeam

TitleOne Corporation

wwwTitleOneCorp com

Disclaimer

Any property information contained in this email is subject to the following:This report is based on a search of our tract indexes of the county records This is not a title or ownership report and no examination of the title to the property described has been made For this reason, no liability beyond the amount paid for this report is assumed hereunder, and the company is not responsible beyond the amount paid for any errors and omissions contained herein

Gallatin County Parcel Information

Assessor Number: 00RFG53977

Parcel: 06090435203037015

SiteAddress: 2953 N 27thAve #15

Bozeman MT

Owner: Yonkin, Dale O

Yonkin, Boungyob

OwnerAddress: 1416 5thAve S

Great Falls MT59405 - 2420

Township/Range/Section: 01N / 05W / 35

Parcel Size: 0.0000Acres (0 SqFt)

Plat/Subdivision: Kingfisher Condo

CensusTract/Block:

Lot / Block:

Waterfront:

AssessmentYear: 2022

Total Land Value: $10,751 00

Total Impr Value: $270,749 00

Total Value: $281,500 00

Tax Information

Levy Code: 035008

2022 Levy Rate: 622 9700

Legal

KINGFISHER CONDO, S35,T01 S, R05 E, UNIT15

Land Use: KU - Condominium Urban Land Use Std: 112 / Condominium

TaxYear AnnualTax 2022 $2,367 29 2021 $2,158 40 2020 $2,166 22
Zoning: Neighborhood:
School District: Watershed: Recreation Name: RecreationType: Year Built: 2005 Bedrooms: 3 Stories: 2 Bathrooms: 2 5 Full Baths: 2 Half Baths: 1 BuildType: Condo - Rowhouse Heat Source: 3 - Gas HeatType: 5 - ForcedAir TotalArea: 1,500 Fin SqFt: 1,500 Roof Covering: Asphalt Shingle Basement Fin/Unfin: Floor 1: 660 SqFt Roof Style: 2 - Hip Garage: 252 SqFt - 19Garage, Frame, Finished Floor 2: 840 Deck SqFt: Porch SqFt: 96 Carport SqFt: Foundation: 2 - Concrete Condition: Good (8) Ext Walls: Wood Siding or Sheathing
206 700 K
Parcel Information
Land
Improvement

Transfer Information

Rec Date:09/04/2020

Owner:Dale OYonkin

Orig. LoanAmt:$223,200.00

Doc Num:2698858

Grantor:POULIN DANAM

DocType:Deed

Title Co:AMERICAN LANDTITLE

FinanceType:ADJ LoanType:Conventional Lender:FIRSTINTERSTATE BK

Sentry Dynamics, Inc and its customers make no representations, warranties or conditions, express or implied, as to the accuracy or completeness of information contained in this report

Property/Parcel TaxID: RFG53977 Status: Current Receipt: 53977

2022 Owner(s): YONKIN DALE O & BOUNGYOB

Mailing Address: 1416 5TH AVE S GREAT FALLS, MT 594052420

Levy District: 0350-08, 7C BOZEMAN(C)BZP

Shopping Cart: 0 items [$0 00]
2022 Value: Market: $281,500 Taxable: $3,800 2022 Taxes: First Half: $1,188.89 Due: 12/9/2022 Second Half: $1,188 88 Due: 5/31/2023 Total: $2,377 77
First Half: $1,188.89 Second Half: $1,188 88 Total: $2,377 77
Legal Records: Geo Code: 06-0904-35-2-03-03-7015 Instru#: 2698858 Date: 2020-09-04 Property address: 2953 N 27TH AVE UNIT 15, BOZEMAN MT TRS: T01 S, R05 E, Sec. 35 Legal: KINGFISHER CONDO, S35, T01 S, R05 E, UNIT 15
2022 Payments:
(May include penalty & interest) 2022
Shopping Cart: 0 items [$0 00] Tax Year: 2022 Property/Parcel TaxID: RFG53977 Status: Current Type: RE Owner: YONKIN DALE O & BOUNGYOB 2022 Tax Breakdown: Stat# Kind Description 1st Half 2nd Half 53977 CITY CITY TAXES $1.84 $1.84 53977 CITY/RURAL CITY/RURAL TAXES $386 71 $386 71 53977 COUNTY COUNTY TAXES $93 02 $93 02 53977 PUBLIC SAFETY PUBLIC SAFETY $80.35 $80.35 53977 SCHOOL LOCAL SCHOOL TAXES $423 18 $423 17 53977 SPECIAL: 0110 GLTN CONSV DIST MILLS $1 37 $1 37 53977 SPECIAL: 0112 GLTN CO WTR QUALITY (FEE) $3 30 $3 30 53977 SPECIAL: 0300 OPEN SPACE BOND MILLS $4 37 $4 37 53977 STATE SCHOOL STATE SCHOOL TAXES $180 50 $180 50 53977 UNIVERSITY UNIVERSITY/COLLEGE $14 25 $14 25 1st Half Total: $1,188 89 2nd Half Total: $1,188 88 Total Tax: $2,377 77

Shopping Cart: 0 items [$0 00]

Property/Parcel TaxID: RFG53977 Status: Current Type: RE Owner: YONKIN DALE O & BOUNGYOB History:

** Paid Amount may include penalty & interest

Tax Year Statement# Bill Date Bill Amount Date Paid ** Paid Amount Notes 2022 53977 10/24/2022 $2,377.77 11/20/2022 11/20/2022 $1,188 89 $1,188 88 2021 53977 10/27/2021 $2,183.01 11/28/2021 5/24/2022 $1,091.51 $1,091 50 2020 22903 11/05/2020 $2,189 92 12/4/2020 5/22/2021 $1,094.96 $1,094 96 2020 58667 01/07/2021 $381 94 7/25/2021 7/25/2021 $266 50 $140.60 2019 53977 10/30/2019 $2,239 73 11/20/2019 5/15/2020 $1,119 87 $1,119.86 2019 5650 01/14/2020 $194.74 4/23/2021 4/23/2021 $107 33 $102 68 2018 53977 10/31/2018 $1,795 70 11/19/2018 5/19/2019 $901.16 $894 54 2018 90449 12/31/2018 $185 33 4/4/2019 11/15/2019 $97 70 $98.85 2017 100439 01/16/2018 $189 43 4/30/2018 10/22/2018 $100 70 $100.18 2017 53977 10/31/2017 $1,679.04 11/16/2017 5/14/2018 $842 82 $836 22 2016 53977 11/16/2016 $1,427 46 11/25/2016 5/20/2017 $717.03 $710 43

Property Record Card

Summary

Primary Information

Property Category:RP

Geocode:06-0904-35-2-03-03-7015

Subcategory:Residential Property

Assessment Code:00RFG53977

Primary Owner: PropertyAddress:2953 N 27THAVE

YONKIN DALE O & BOUNGYOB

1416 5THAVE S COS Parcel:

GREATFALLS, MT59405-2420

NOTE: See the Owner tab for all owner information

Certificate of Survey:

Subdivision:KINGFISHER CONDO

Legal Description:

KINGFISHER CONDO, S35,T01 S, R05 E, UNIT15

Last Modified:3/11/2023 11:32:23AM

General Property Information

Neighborhood:206 700 K Property Type:KU - Condominium Urban

Living Units:1 Levy District:06-035008-7C 08

Zoning: Ownership %:100

Linked Property: No linked properties exist for this property

Exemptions: No exemptions exist for this property

Condo Ownership:

General:4 167 Limited:0

Property Factors

Topography: Fronting: Utilities: Parking Type: Access: Parking Quantity: Location: Parking Proximity: Land Summary Land Type Acres Value Grazing 0 000 00 00 Fallow 0 000 00 00 Irrigated 0 000 00 00 Continuous Crop 0 000 00 00 Wild Hay 0 000 00 00 Farmsite 0 000 00 00 ROW 0 000 00 00 NonQual Land 0 000 00 00 TotalAg Land 0 000 00 00 Total Forest Land 0 000 00 00 Total Market Land 0 000 00 00 Deed Information: Deed Date Book Page Recorded Date Document Number Document Type 9/4/2020 9/4/2020 2698858 Warranty Deed 5/2/2016 6/2/2016 2546948 Quit Claim Deed

Owners

Party #1

Default Information: YONKIN DALE O & BOUNGYOB 1416 5THAVE S

Ownership %: 100

Primary Owner: "Yes"

Interest Type: JointTenant w/Right of Survivorship

Last Modified: 9/29/2020 9:20:17AM

Market Land

Market Land Info

No market land info exists for this parcel

EffectiveYear:0

Type:2 - Hip

Story Height:2 0 Attic Type:0

Grade:5

Class Code:3501

Year Remodeled:0

Exterior Walls:1 - Frame

Exterior Wall Finish:6 - Wood Siding or Sheathing

Degree Remodeled:

Mobile Home Details Manufacturer: Serial #:

Basement Information Foundation:2 - Concrete

Basement Type:0 - None

Heating/Cooling Information

0

Type:Central System Type:5 - ForcedAir

Fuel Type:3 - Gas

LivingAccomodations

Bedrooms:3

Family Rooms:0

Additional Information

Baths:1

3/13/2006 2221 397D
Other Names OtherAddresses Name Type
Appraisal History TaxYear Land Value Building Value Total Value Method 2022 10751 270749 281500 MKT 2021 10751 270749 281500 MKT 2020 12857 243143 256000 MKT
Appraisals
Dwellings
Dwellings Dwelling Type Style Year Built Condominium 22 - Condo - Rowhouse 2005 Dwelling
Residential Type:Condominium Style:
- Condo - Rowhouse Year
Roof
Existing
Information
22
Built:2005
Material:10 -Asphalt Shingle
Roof
Length:
Width:0 Model:
0
FinishedArea:
Daylight:
Quality:
HeatedArea:0
Full
Addl
Baths:2
Fixtures:4
Half
Fireplaces: Stacks:0 Stories:

Outbuilding/Yard Improvement #1

Type:Residential Description:RPA2 - Concrete

1

Built:2005

A

3501

12

Commercial

Existing Commercial Buildings

No commercial buildings exist for this parcel

Ag/Forest Land

Ag/Forest Land

No ag/forest land exists for this parcel

23

Openings:
Garage Capacity:0 Cost & Design:0 FlatAdd:0 % Complete:0 Description: Description: DwellingAmenities View: Access: Area Used In Cost Basement:0 Additional Floors:0 Attic:0 First Floor:660 Half Story:0 UnfinishedArea:0 Second Floor:840 SFLA:1500 Depreciation Information CDU: Physical Condition:Good (8) Utility:Good (8) Desirability: Property:Good (8) Location:Good (8) Depreciation Calculation Age:17 Pct Good:0 86 RCNLD:0 Additions / Other Features Additions Lower First Second Third Area Year Cost 11 - Porch, Frame, Open 96 0 0 19 - Garage, Frame, Finished 252 0 0 21 - Porch, Masonry, Open 128 0 0 There are no other features for this dwelling
Buildings/Improvements
0 Prefab/Stove:0
Other
Quantity:
Condition:
Dimensions
Year
Grade:
Functional: Class Code:
Width/Diameter:
Length:
Size/Area: Height: Bushels: Circumference:

Click2Gov Assessment Billing - Account Inquiry

Account ID: 169590

Owner Name: YONKIN, DALE O & BOUNGYOB

Location ID: 169590

Address: 2953 N 27TH AVE UNIT 15, BOZEMAN, MT 59718

County Parcel # RFG53977

General Account Information

Assessment Information for 2023

Billed Assessments: $324.66

Current Assessments Due : $0.00

Interest, Penalties, and Collections: $0.00

Total Due: $0.00

Only the "Total Due:" amount may be paid at this time. "LOG IN" is not required.

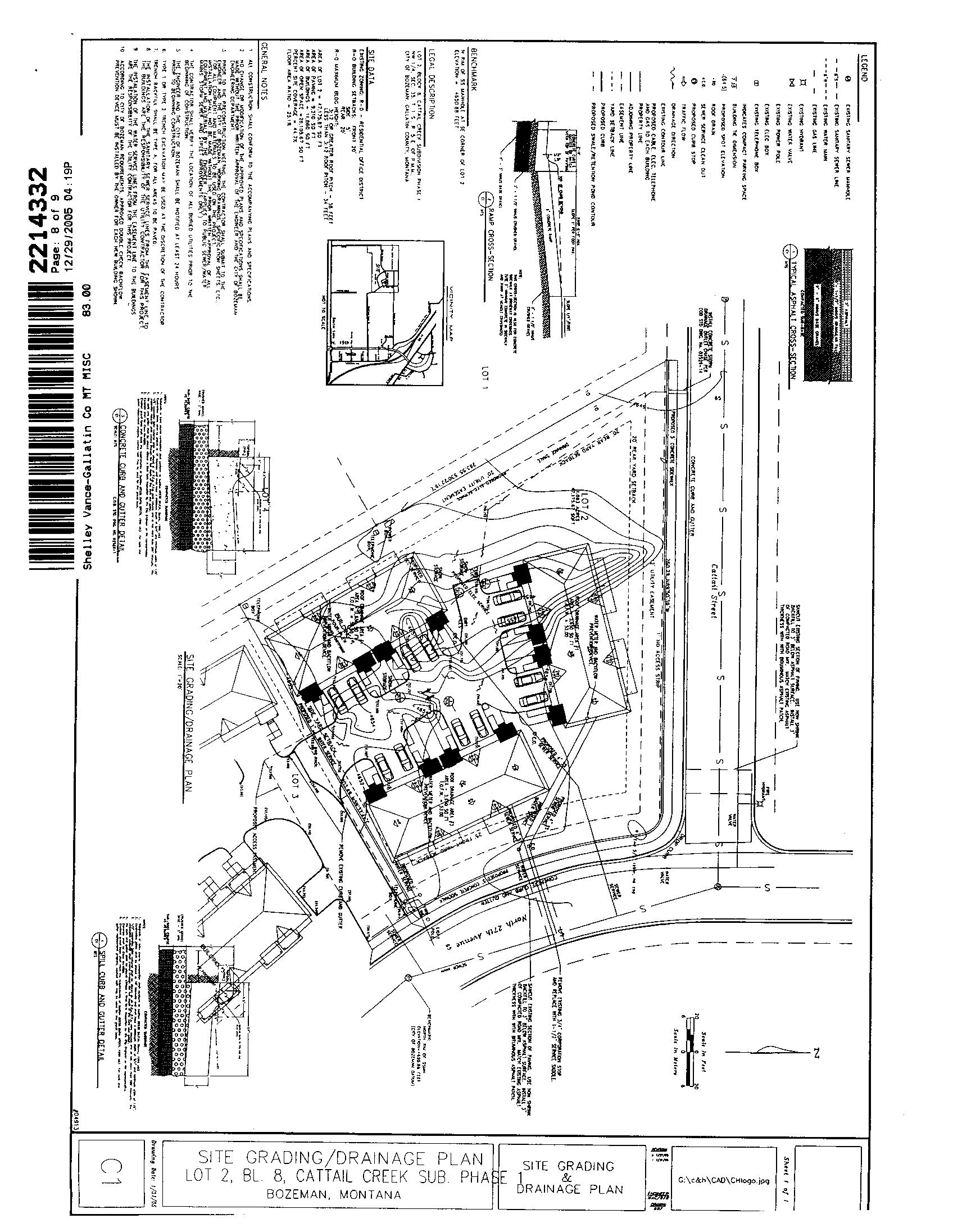
This map/plat is being furnished as an aid in locating the herein described land in relation to adjoining streets, natural boundaries and other land, and is not a survey of the land depicted Except to the extent a policy of title insurance is expressly modied by endorsement, if any, the company does not insure dimensions, distances, location of easements, acreage or other matters shown thereon

This map/plat is being furnished as an aid in locating the herein described land in relation to adjoining streets, natural boundaries and other land, and is not a survey of the land depicted Except to the extent a policy of title insurance is expressly modied by endorsement, if any, the company does not insure dimensions, distances, location of easements, acreage or other matters shown thereon

Thetablesbelowshowyourenergyusageforthepast24months.Thisinformationmaybeusefulasyoulook for opportunities to save energy or when you compare offers of energy suppliers.These figures do not include usageforarealightingorotherunlimitedservices.

4/4/23, 3:05 PM NorthWestern Energy - Usage History https://myaccount2.northwesternenergy.com/NWESSP/UsageSummary.aspx?SearchType=ServiceAddressSearch 1/1 SelectPropertyAddress ChangeMyUserProfile EnergySavingTips ContactUs Logout UsageHistory RealEstateAgentName: TimPHart PropertyAddress: 2953N27THAVEAPT15 BOZEMAN,MT ShowUsageFor  Gas ShowingMonth1to12outof24Months 1 Go
Year 2023 2022 Month Mar Feb Jan Dec Nov Oct Sep Aug Jul Jun May Apr Usage(THERM) 55.0 74.0 100.0 96.0 27.0 0.0 0.0 0.0 1.0 16.0 38.0 40.0 Demand 0.0 0.0 0.0 0.0 0.0 0.0 0.0 0.0 0.0 0.0 0.0 0.0 $Billed 60.66 82.06 103.57 100.91 33.91 6.5 6.5 6.5 7.58 22.28 40.15 39.82 No.Days 29 29 33 30 29 32 30 29 32 30 29 33 Year 2022 2021 Month Mar Feb Jan Dec Nov Oct Sep Aug Jul Jun May Apr Usage(THERM) 40.0 43.0 60.0 40.0 23.0 2.0 7.0 0.0 0.0 11.0 26.0 35.0 Demand 0.0 0.0 0.0 0.0 0.0 0.0 0.0 0.0 0.0 0.0 0.0 0.0 $Billed 39.77 41.16 56.56 40.69 26.03 8.1 11.88 6.5 6.5 17.65 30.51 35.34 No.Days 29 28 33 31 28 32 30 29 33 30 29 33 Mar 2023 Feb 2023 Jan 2023 Dec 2022 Nov 2022 Oct 2022 Sep 2022 Aug 2022 Jul 2022 Jun 2022 May 2022 Apr 2022 ReadDate 0 20 40 60 80 100 120 THERM ©2021NorthWesternEnergy Allrightsreserved. PrivacyPolicy|POTerms&Conditions

Thetablesbelowshowyourenergyusageforthepast24months.Thisinformationmaybeusefulasyoulook for opportunities to save energy or when you compare offers of energy suppliers.These figures do not include usageforarealightingorotherunlimitedservices.

4/4/23, 3:05 PM NorthWestern Energy - Usage History https://myaccount2.northwesternenergy.com/NWESSP/UsageSummary.aspx?SearchType=ServiceAddressSearch 1/1 SelectPropertyAddress ChangeMyUserProfile EnergySavingTips ContactUs Logout UsageHistory RealEstateAgentName: TimPHart PropertyAddress: 2953N27THAVEAPT15 BOZEMAN,MT ShowUsageFor  Electric ShowingMonth1to12outof24Months 1 Go
Year 2023 2022 Month Mar Feb Jan Dec Nov Oct Sep Aug Jul Jun May Apr Usage(KWh) 215.0 173.0 260.0 234.0 512.0 617.0 682.0 470.0 486.0 416.0 455.0 681.0 Demand 0.0 0.0 0.0 0.0 0.0 0.0 0.0 0.0 0.0 0.0 0.0 0.0 $Billed 34.41 28.51 39.8 36.11 74.02 77.39 83.38 58.77 59.56 51.41 55.84 81.08 No.Days 29 29 33 30 29 32 30 29 32 30 29 33 Year 2022 2021 Month Mar Feb Jan Dec Nov Oct Sep Aug Jul Jun May Apr Usage(KWh) 815.0 971.0 865.0 547.0 444.0 439.0 427.0 557.0 579.0 497.0 639.0 677.0 Demand 0.0 0.0 0.0 0.0 0.0 0.0 0.0 0.0 0.0 0.0 0.0 0.0 $Billed 95.48 112.96 107.09 69.97 57.58 55.79 54.17 69.36 70.53 60.86 77.05 82.83 No.Days 29 28 33 31 28 32 30 29 33 30 29 33 Mar 2023 Feb 2023 Jan 2023 Dec 2022 Nov 2022 Oct 2022 Sep 2022 Aug 2022 Jul 2022 Jun 2022 May 2022 Apr 2022 ReadDate 100 200 300 400 500 600 700 KWH ©2021NorthWesternEnergy Allrightsreserved. PrivacyPolicy|POTerms&Conditions

Turn static files into dynamic content formats.

Create a flipbook
Issuu converts static files into: digital portfolios, online yearbooks, online catalogs, digital photo albums and more. Sign up and create your flipbook.