636 Talon Way Property Book

Page 1

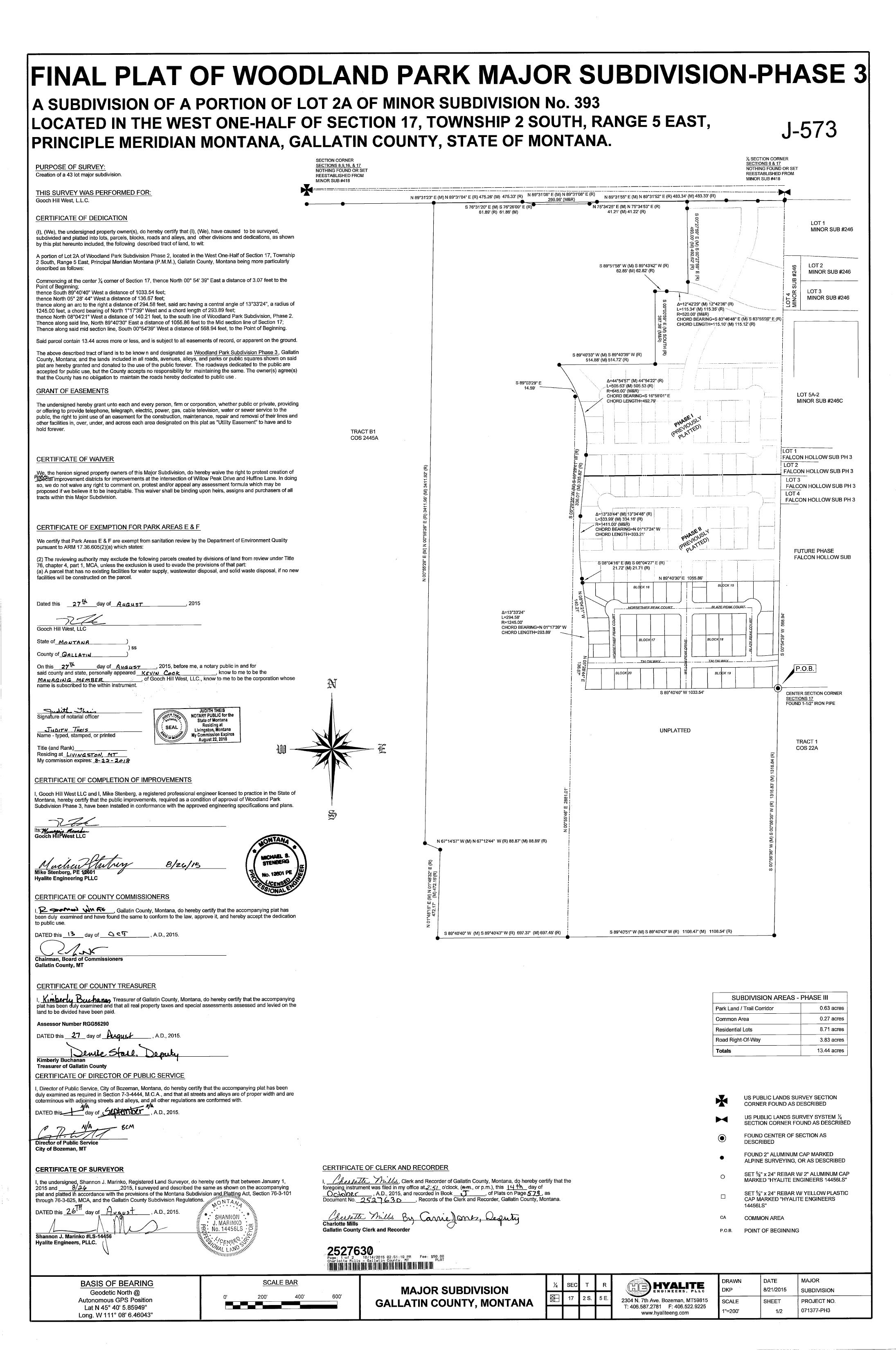
6 Talon Way BOZEMAN, MT 59718 Offered at $879,000 Lori Hart 406.599.6961 Lori@HartRes com Built for real life and appointed for comfort, this newer Woodland Park Home is a rare find in Bozeman With 5 bedrooms, main level living and a FULL finished basement, everyone and everything has a place.Views of the Spanish Peaks and Gallatin Range are wonderful from the back and the Bridgers can be enjoyed from the front porch over the adjacent community park. Woodland Park is convenient to Bozeman, Big Sky and Belgrade.

Property Features

5 Bed, 3 Bath, 3,268 Square Feet

2 Car Attached Garage

Spacious, Fully Fenced Backyard w/ Underground Sprinklers

Adjacent to community park and open space

Central A/C

Gas Fireplace

HUGE bonus room in the basement.

Views of the Spanish Peaks, Gallatin Range and Bridgers

Convenient location walkable to coffee shops, restaurants, and

Quick access to Bozeman, Big Sky and Belgrade

HOA is $135/Quarterly

Taxes in 2022 $3,053

Thetablesbelowshowyourenergyusageforthepast24months.Thisinformationmaybeusefulasyoulook for opportunities to save energy or when you compare offers of energy suppliers.These figures do not include usageforarealightingorotherunlimitedservices.

2/10/23, 10:46 AM NorthWestern Energy - Usage History
1/1 SelectPropertyAddress ChangeMyUserProfile EnergySavingTips ContactUs Logout UsageHistory RealEstateAgentName: TimPHart PropertyAddress: 636TALONWAY BOZEMAN,MT ShowUsageFor  Gas ShowingMonth1to12outof24Months 1 Go
https://myaccount2.northwesternenergy.com/NWESSP/UsageSummary.aspx?SearchType=ServiceAddressSearch
Year 2023 2022 Month Feb Jan Dec Nov Oct Sep Aug Jul Jun May Apr Mar Usage(THERM) 86.0 95.0 64.0 16.0 1.0 3.0 1.0 11.0 25.0 40.0 40.0 63.0 Demand 0.0 0.0 0.0 0.0 0.0 0.0 0.0 0.0 0.0 0.0 0.0 0.0 $Billed 94.33 98.08 69.73 22.83 7.56 9.36 7.48 18.32 30.73 41.38 39.54 58.77 No.Days 31 31 32 29 30 33 29 29 32 29 30 32 Year 2022 2021 Month Feb Jan Dec Nov Oct Sep Aug Jul Jun May Apr Mar Usage(THERM) 64.0 63.0 43.0 17.0 3.0 2.0 0.0 4.0 11.0 31.0 16.0 101.0 Demand 0.0 0.0 0.0 0.0 0.0 0.0 0.0 0.0 0.0 0.0 0.0 0.0 $Billed 58.06 59.39 43.28 20.91 8.88 8.04 6.5 10.92 17.54 34.6 15.33 85.64 No.Days 29 30 33 28 30 32 31 32 29 30 11 29 Feb 2023 Jan 2023 Dec 2022 Nov 2022 Oct 2022 Sep 2022 Aug 2022 Jul 2022 Jun 2022 May 2022 Apr 2022 Mar 2022 ReadDate 0 20 40 60 80 100 THERM ©2021NorthWesternEnergy Allrightsreserved. PrivacyPolicy|POTerms&Conditions

Thetablesbelowshowyourenergyusageforthepast24months.Thisinformationmaybeusefulasyoulook for opportunities to save energy or when you compare offers of energy suppliers.These figures do not include usageforarealightingorotherunlimitedservices.

2/10/23, 10:45 AM NorthWestern Energy - Usage History https://myaccount2.northwesternenergy.com/NWESSP/UsageSummary.aspx?SearchType=ServiceAddressSearch 1/1 SelectPropertyAddress ChangeMyUserProfile EnergySavingTips ContactUs Logout UsageHistory RealEstateAgentName: TimPHart PropertyAddress: 636TALONWAY BOZEMAN,MT ShowUsageFor  Electric ShowingMonth1to12outof24Months 1 Go
Year 2023 2022 Month Feb Jan Dec Nov Oct Sep Aug Jul Jun May Apr Mar Usage(KWh) 1452.0 1009.0 1055.0 922.0 1136.0 1604.0 843.0 861.0 1154.0 1083.0 1156.0 1321.0 Demand 0.0 0.0 0.0 0.0 0.0 0.0 0.0 0.0 0.0 0.0 0.0 0.0 $Billed 208.0 141.8 148.05 129.27 136.1 190.42 102.0 101.92 135.15 127.08 134.53 152.15 No.Days 31 31 32 29 30 32 30 29 32 29 30 32 Year 2022 2021 Month Feb Jan Dec Nov Oct Sep Aug Jul Jun May Apr Mar Usage(KWh) 1206.0 927.0 1150.0 973.0 1064.0 989.0 936.0 1580.0 1355.0 1294.0 556.0 1701.0 Demand 0.0 0.0 0.0 0.0 0.0 0.0 0.0 0.0 0.0 0.0 0.0 0.0 $Billed 139.63 115.65 142.44 121.18 128.72 119.93 113.72 184.31 158.65 151.82 66.34 204.79 No.Days 29 30 33 28 30 31 31 33 29 30 11 29 Feb 2023 Jan 2023 Dec 2022 Nov 2022 Oct 2022 Sep 2022 Aug 2022 Jul 2022 Jun 2022 May 2022 Apr 2022 Mar 2022 ReadDate 800 1,000 1,200 1,400 1,600 1,800 KWH ©2021NorthWesternEnergy Allrightsreserved. PrivacyPolicy|POTerms&Conditions

Hart2Admin<admin@hartres.com>

636TalonWoodlandPark

1message

HayleeBruce<office@bozemanlegacy.com> Thu,Jan26,2023at3:39PM To:admin@hartres.com

Cc:HOAManager<support@bozemanlegacy.com>

Good Afternoon,

Here are the answers to your questions:

1.Howmucharetheduesandwhatdotheycover?Theduesare$135aquarter Thiscoverscommonareamaintenance,snow removalofroadsandcommonareas,roadmaintenanceandcommonareairrigation.

2.Arethereanytransferfees?Thetransferfeeis$150.00

3.Arethereanyspecialassessmentscurrentlyorprojectedinfuture?Asofrightnow,therearenoplansforaspecialassessmentin theworks.

4.Arethereanyrentalrestrictions?Thecountydoesnotallowshorttermrentalsinthiszoning.

5.Aresalessignspermittedontheproperty?Yes,professionalforsalesignsareallowed.Noothersignsareallowed.

Best, HayleeMarston

office@bozemanlegacy.com 406-577-1470

Leaveusareviewhere!

https://g.page/r/CTQPLm6RYx-0EBM/review

https://mail.google.com/mail/u/1/?ik=220e0ef26a&view=pt&search=all&permthid=thread-f%3A1756126547287573703%7Cmsg-f%3A1756126547287573703&sim

1/27/23, 10:05 AM Hart Real Estate Solutions Mail - 636 Talon Woodland Park
1/1
Authentisign ID:
B1305EEE-ADA8-ED11-9174-0050F2765AB1
Authentisign ID:
B1305EEE-ADA8-ED11-9174-0050F2765AB1
Authentisign ID:
B1305EEE-ADA8-ED11-9174-0050F2765AB1
Authentisign ID:
B1305EEE-ADA8-ED11-9174-0050F2765AB1
Authentisign ID:
B1305EEE-ADA8-ED11-9174-0050F2765AB1
Authentisign ID: B1305EEE-ADA8-ED11-9174-0050F2765AB1
Authentisign ID:
B1305EEE-ADA8-ED11-9174-0050F2765AB1

Turn static files into dynamic content formats.

Create a flipbook
Issuu converts static files into: digital portfolios, online yearbooks, online catalogs, digital photo albums and more. Sign up and create your flipbook.