DRABPOL NEWS 2(99)

Page 1

CZUJNIKI EUROSWITCH

Doskonałość i niezawodność, poparte tradycją i doświadczeniem!

w w w . d r a b p o l . p l
„Fundamentalną zasadą w transporcie jest jego bezpieczeństwo” Kwartalnik firmowy nr 2(99) kwiecień - maj - czerwiec 2023 r.

W NUMERZE:

AUTOMOTIVE

3. Kick Off Tacho powraca

4. Wspólna debata o elektromobilności

5. Wyzwania dla komunikacji miejskiej

6. Innowacje techniki wojskowej

7. Rozwiązania wodorowe w centrum uwagi

9. Pakiet mobilności w ogniu pytań i odpowiedzi

10. Pakiet mobilności UE I – wykorzystaj w pełni jego potencjał!

12. Zdobywamy wiedzę na temat czujników

13. Czujniki Euroswitch i ich szerokie zastosowanie

15. Oświetlenie NightViu do wozów strażackich

18. Rozwój pomp ciepła

21. Aktualności i szkolenia I Kwartał

22. Wspólnie świętujemy Jubileusz 40-lecia naszej firmy

AVIONICS

24. Odwiedzamy AERO

26. Aktywnie na AEA

27. Na PARIS AIR SHOW

28. PlaneSync – połączone zarządzanie statkiem powietrznym

29. Współpraca polsko-ukraińska

20. Nasze propozycje dla pilotów

Szanowni Państwo!

Drodzy Czytelnicy!

W ostatnich miesiącach miało miejsce wiele różnych konferencji, sympozjów i spotkań, poruszających ważne i aktualne tematy z rynku Automotive. Wiele z nich dotyczyło zakresu naszej działalności, toteż z wielkim zainteresowaniem uczestniczyliśmy w tych wydarzeniach. Wspomnieć należy choćby trzy aktualne i gorące tematy, poruszane podczas różnych debat – pakiet mobilności, elektromobilność, czy rozwiązania wodorowe do pojazdów – wszystkie ściśle związane z prowadzonymi przez nas projektami.

Wiosną odbyliśmy również szkolenie w firmie Euroswitch z zakresu szerokiej gamy czujników tego włoskiego producenta. Najważniejsze informacje, dotyczące naszej oferty w tym zakresie przedstawiamy w tym numerze.

Podobnie jak w dziale Automotive, także w branży lotniczej aktywnie uczestniczyliśmy w licznych wydarzeniach, które w ostatnich miesiącach miały miejsce. Mowa tu o imprezach zarówno zagranicznych, jak targi AERO, Paris Air Show, konwencja AEA, jak i krajowych – pokazy w Mielcu czy Świdwinie.

Wydarzenia te były doskonałą okazją do prezentacji wielu nowości, jakie pojawiły się na rynku awionicznym. W tym numerze prezentujemy jedno z nich, które wychodzi naprzeciw potrzebom wszystkich pilotów. Jest to nowa technologia PlaneSync od firmy Garmin, która pomaga pilotom uprościć zarządzanie statkami powietrznymi.

Zachęcamy do lektury !

Pakiet mobilności UE I – wykorzystaj w pełni jego potencjał!

18|

NightViu do wozów strażackich 28|

Wydawnictwo firmy DRABPOL

Wydawca: Drabpol sp. jawna P. Drabczyński i Wspólnik 42-233 Mykanów, ul. Akacjowa 24/26

tel.0-34 366 00 22, fax 0-34 366 01 02 centrala@drabpol.pl, www.drabpol.pl

OD REDAKCJIOD REDAKCJI
PlaneSync – połączone zarządzanie statkiem powietrznym Rozwój pomp ciepła 15| 10| Oświetlenie
Alicja Drabczyńska

Międzynarodowe spotkanie

Continental VDO w Budapeszcie

25-27 kwietnia

Kick Off Tacho powraca

Po długim okresie pandemii wreszcie doczekaliśmy się spotkania dealerów działu tachografów Continetal VDO. Tym razem do Budapesztu zjechali partnerzy niemieckiegoproducenta,wtymiprzedstawicielenaszejfirmy.

Tematem przewodnim tegorocznego spotkania było Pakiet Mobilności, zmiany, jakie za sobą niesie oraz wszystkie kluczowe informacje, powiązane z tym tematem. Najważniejsze z nich dotyczyły nowego tachografu inteligentnego 2. generacji – DTCO 4.1. Na spotkaniu dokładnie omówiono nowe funkcje urządzenia. W stosunku do poprzedniej wersji tachografu wprowadzono zarówno zmiany sprzętowe, jak iwizualne.

Najważniejsze zmiany sprzętowe to nowy kontroler bezpieczeństwa, ulepszona architektura kontrolera aplikacji, moduł Bluetooth, nowy odbiornik GNSS, nowy zegar wewnętrzny o wysokiej precyzji oraz nowe niezależne źródło informacji oruchupojazdu(opróczKITASiGNSS).

Zmiana wizualna dotyczy symbolu Bluetooth, który jest widoczny na panelu przednim (w celu odróżnienia inteligentnego tachografu V1 (DTCO 4.0/4.0e) od inteligentnego tachografuV2(DTCO4.1a).

Przedstawionorównieżzmianyiaktualizacjęwoprogramowaniu DTCO 4 1, dostosowane do Pakietu Mobilności Nie zabrakło także prezentacji innych nowości, jakie pojawiły się w dziale tachografów. Pierwsza z nich to Workshop II generacji. W porównaniu do pierwszej wersji, nowy tablet posiada o 20% większy ekran oraz dwukrotnie większą jasność wyświetlacza. Samo urządzenie jest szybsze (dzięki nowemu procesorowi Intel Pentium) oraz bardziej wytrzymałe dzięki zastosowaniu ebonitu na krawędziach. Gniazdo kart jest wymienne i wbudowane głębiej, dzięki czemu karta warsztatowa mniej wystaje.

Zmiany objęły również klucz do pobierania danych DLK. Nowy DLK Smart Download Key wyróżnia się teraz smukłą konstrukcją i mniejszą wagą, mocniejszą platformą sprzętową, większym 2,4” pojemnościowym wyświetlaczem dotykowym TFT oraz pełną kompatybilnością ze wszystkimi certyfikowanymi tachografami cyfrowymi i inteligentnymi oraz powiązanymi kartami do tachografów. Kolejne udoskonalenia, jakie spotkamy w nowym kluczu to Interfejs Bluetooth BLE do DTCO 4.1. i do aplikacji/komputerów, Tag NFC do łatwego połączenia

przez Bluetooth z aplikacją VDO oraz możliwość automatycznego przesyłania danych bezpośrednio z klucza do VDO FleetzaplikacjąVDOlubprzezkomputer.

Zwieńczeniem prezentacji było przedstawienie nowego rozwiązania, jakim jest VDO Link, które jest prawdziwym przełomem w telematyce Plug & Play. System ten miał swoją premierę na zeszłorocznych targach IAA w Hanowerze. Szczegóły dotyczące nowego rozwiązania przedstawiliśmy w numerze3.22.

Niejako kontynuacją Kick Off był zorganizowany miesiąc później przez Continentala , National Dealers Tech Day 2023 , który miał miejsce w Villingen. Nasi przedstawiciele również wzięliwnimudział. Tematykaspotkaniabyłabardzopodobna - przedstawiany został nowy tachograf DTCO 4.1, nowe czujnikiorazuwarunkowaniadotyczącePakietuMobilności.

3 AKTUALNOŚCI
VDOContinental,zaprezentowane naKickOff
Nowości
DTCO 4.1 – Tachograf inteligentny 2 generacji
WORKSHOPTAB 2 DLK Smart Download Key Rozwiązanie VDO Link
dystrybutorów

Międzynarodowa Konferencja „Energia w Dobie Zmian” w Katowicach

27 kwietnia

WSPÓLNA DEBATA O ELEKTROMOBILNOŚCI

Na zaproszenie Akademii Śląskiej z wielkim zainteresowaniem wzięliśmy udział wkonferencjionazwie„EnergiawDobieZmian”.Wydarzenieto,mającecharakterdebaty i paneli dyskusyjnych na temat elektromobilności zgromadziło ekspertów i specjalistów z różnych dziedzin, takich jak nauka, elektromobilność, prawo, edukacja czy nowe technologie.

Tym samym zainicjowało dyskusję na temat przyszłości rynku energetycznego i koniecznościmodyfikacjinaszegopodejściadojejprodukcjiiużytkowania.

Dyskusja ta nie mogła obyć się bez naszego udziału. Firma nasza już od wielu lat trwale jest związana z nowoczesnymi, ekologicznymi technologiami. Oferujemy silniki elektryczne DANA/TM4 do szerokiej gamy pojazdów elektrycznych, zaawansowane sterowniki takich pojazdów, czy autorskie rozdzielnice PDU HV. Jednocześnie oferowane przez nas usługi zostały wykorzystane w wielu projektach pojazdów elektrycznych i hybrydowych różnej klasy. W roku ubiegłym nawiązaliśmy współpracę z kanadyjską firmą Loop Energy –wiodącym w branży projektantem, producentem i dostawcą systemów wodorowych ogniw paliwowych do elektryfikacji mobilnościkomercyjnej.

Tym bardziej było nam miło, że na konferencję w Katowicach przybył przedstawiciel naszego, nowego partnera – pan Luigi Fusi, VicePresident,SalesEMEARw LoopEnergy.

Firma Loop Energy w swoim portfolio posiada ponad 30 patentów, oferując gotowe produkty w szerokim zakresie zastosowań. Przypomnijmy, że rdzeniem opatentowanej przez Loop Energy architektury ogniw paliwowych eFlow™ jest charakterystyczna płytka trapezowa, która zapewnia jednolitą gęstość prądu i mocy w całym obszarze aktywnym, zwiększając prędkość gazu, aby zapewnić doskonałą wydajność i zarządzanie wodą, a także znaczące ulepszenia w zakresietrwałości,mocyiwydajności.

Konferencja organizowana przez Akademię Śląską (dawniej Wyższa Szkoła Techniczna) była doskonałą okazją do przybliżenia wodorowych ogniw paliwowych kanadyjskiego producenta W swojej prezentacji pan Luigi Fusi, przedstawił nie tylko, jak technologie wodorowe zmieniają transport, ale również jakie przewagi nad konkurencją mają rozwiązania

4 AKTUALNOŚCI

ogniwwodorowychod LoopEnergy.

Po wykładzie nastąpiła ożywiona dyskusja z pozostałym uczestnikami spotkania Obecność naszego partnera była także okazją do wspólnych rozmów z CEO ARP E-Vehicles w zakresie wykorzystania kanadyjskich ogniw wodorowych w autobusach PILEA. Nie zabrakło również wywiadów dla przedstawicielimediów–TelewizjiSilesia(TVS)iTVP3.

Dziękujemy organizatorom,którymi byli Akademia Śląska oraz Park Naukowo-Technologiczny Silesia za zaproszenie i możliwośćudziałuwinteresującejdebacie.

Na konferencję w Katowicach przybył przedstawiciel naszego partnera, firmy Loop Energy – pan Luigi Fusi, Vice President, Sales EMEAR, który zaprezentował, produkowane przez kanadyjski koncern wodorowe ogniwa paliwowe.

V Kongres Organizatorów i Operatorów Publicznego Transportu

Miejskiego w Warszawie

20 kwietnia

Wyzwania dla komunikacji miejskiej

Jako członek Izby Gospodarczej Komunikacji Miejskiej po raz kolejny uczestniczyliśmy wcorocznymKongresie,poświęconympublicznemu transportowimiejskiemu.

Wtegorocznymspotkaniuuczestniczyliprzedstawicieleok.75 przedsiębiorstw, takich jak – Zakłady Komunikacji Miejskiej, Zarządy Transportu Miejskiego, producenci autobusów (Man, Mercedes,Solaria,Volvo,StalowaWola-Autosan,Otokar)oraz dostawcykomponentówdlaproducentówautobusów.

Z zainteresowaniem wysłuchaliśmy wystąpień, dotyczących praktycznych wdrożeń technicznych, ograniczających zużycie energii elektrycznej w tramwajach w MPK Poznań, MPK Kraków oraz współpracy Tramwajów Szczecińskich z Moder-

transem przy składaniu wagonów tramwajowych na potrzeby Szczecina.

Kongres był dla nas okazją do spotkań i konstruktywnych rozmów z przedstawicielami zakładów komunikacyjnych z całegoobszaruPolski.

Tradycyjnie już następnego dnia miało miejsce Walne ZgromadzenieCzłonkówIzbyGospodarczejKomunikacjiMiejskiej.

5 AKTUALNOŚCI

XII Międzynarodowa Konferencja Naukowa EKSPLOBALIS 2023

15-17 maja

INNOWACJE TECHNIKI WOJSKOWEJ

Już od kilku lat tradycją naszej firmy jest udział w specjalistycznej konferencji naukowej, znanej pod nazwą EKSPLOBALIS, organizowanej corocznie przez Wojskowy Instytut Techniki Pancernej i Samochodowej. Tym razem do Soliny, gdzie odbyło się tegoroczne spotkanie zjechało wielu przedstawicieli Sił Zbrojnych RP i instytutów naukowobadawczych, cywilnych ośrodków naukowych, a także reprezentanci podmiotów państwowegoiprywatnegoprzemysłuobronnego.

Tegorocznej konferencji towarzyszyło hasło: „Innowacje technikiwojskowejnawspółczesnympoluwalki”.

Trzydniowe spotkanie podzielone zostało na pięć sesji plenarnych, w czasie których odbyły się trzy panele dyskusyjne iwygłoszonoponad20referatów.

W tym roku oprócz reprezentacji naszej firmy na konferencję przybył również przedstawiciel naszego partnera – firmy Enersys,panNeilChilton.

Pierwszego dnia spotkania, w czasie drugiej sesji plenarnej nasz partner wystąpił z 20- minutową prezentacją, dotyczącą zalet akumulatorów ArmaSafe+ Enersys oraz systemu monitorowaniaakumulatorówDatacellII.

Bezobsługowe, kwasowo-ołowiowe z separatorami z maty szklanej i czystymi, cienkimi płytami ołowiowymi, akumulatory ARMASAFE +, jako jedyne na świecie wykonane są w połączonych technologach AGM i TPPL Spełniają one wymogi wielu specyfikacji wojskowych, dlatego też od wielu już lat stosowane są w milionowych ilościach w pojazdach wojskowych na całym świecie. Zastosowanie znajdują także wwozachbojowych,produkowanychprzeznaszychklientów, takich jak Huta Stalowa Wola, KTO Rosomak, którzy także obecnibylinategorocznymEKSPLOBALIS.

Dla naszej firmy tradycyjnie już konferencja EKSPLOBALIS stanowiła doskonałą okazją do poszerzenia wiedzy w obsza-

rze uzbrojenia czy nowych rozwiązań technicznych i technologicznych w zakresie sprzętu wojskowego. Dała nam także możliwość licznych rozmów, wymiany poglądów i doświadczeń zarówno w zakresie eksploatacji naszych rozwiązań, jak również w całym obszarze techniki pancernej i samochodowej.

W tym roku w konferencji EKSPLOBALIS uczestniczył również przedstawiciel naszego partnera – firmy Enersys, pan Neil Chilton, który wystąpił z prezentacją, dotyczącą zalet akumulatorów ArmaSafe+ Enersys orazsystemumonitorowaniaakumulatorówDatacellII.

6 AKTUALNOŚCI
UczestnicytegorocznejkonferencjiEKSPLOBALIS.

Środkowoeuropejskie Forum Technologii Wodorowych H2POLAND w Poznaniu

16-18 maja

Rozwiązania wodorowe w centrum uwagi

Nadążając za rynkowymi trendami, firma nasza z wielkim zaangażowaniem bierze udział w projektach związanych z wodorem. Nie mogło więc nas zabraknąć na tegorocznym poznańskim forum H2Poland,zorganizowanymprzezGrupęMTP.To pierwsza w Polsce i Europie ŚrodkowoWschodniej konferencja połączona z targami, w całości poświęcona technologiom wodorowym.

Poznańskie forum staje się nie bez przyczyny ważnym miejscem międzynarodowej dyskusji o dążeniu do neutralnościklimatycznej.

Polska jest bowiem jednym z największych producentów autobusów elektrycznych w Europie. W ciągu ostatnich kilku lat podążanie w kierunku zielonych technologii jest zdecydowanie widoczne na ulicach polskich miast, zwłaszcza w segmencie transportu zbiorowego. Po popularyzacji autobusów

Na tegorocznym H2POLAND podpisany został list intencyjny, dotyczący współpracy w zakresie realizacji projektu autobusu wodorowego PILEA pomiędzy ARP E-Vehicles Sp. z o.o., reprezentowaną przez Prezesa Zarządu ARP, pana Piotra Śladowskiego, a naszą firmą, reprezentowaną przez Dyrektora Działu R&D, pana MichałaSitka.

7 AKTUALNOŚCI

elektrycznych,corazsilniejakcentowanajestobecnośćpaliwa, uważanego bardzo często za najbardziej przeszłościowe: wodoru, zwłaszcza odnawialnego. Wprowadzenie wodoru jako paliwa, rewolucjonizuje sektor energetyczny Unii Europejskiej, umożliwiając pełniejsze wykorzystanie potencjału

źródeł odnawialnych i zbliżając Europę do osiągnięcia neutralnościklimatycznej.

Tegoroczne forum spotkało się z bardzo dużym zainteresowaniem ze strony przedstawicieli samorządów, nauki oraz biznesu. W programie znalazło się kilkadziesiąt debat, wystąpień czy prezentacji najnowszych rozwiązań wodorowych. To także platforma do wspólnego wytyczania ścieżek rozwoju, wymiany wiedzy oraz nawiązywania relacji biznesowych.

Obecność nasza na H2Poland związana była również z promocją ogniw wodorowych naszego partnera – kanadyjskiego producenta LOOP ENERGY. Wspomniane ogniwa to rozwiązania, które przewyższają rynkową konkurencję w tak istotnych czynnikach, jak jednostkowe zużycie wodoru, żywotność ogniwa, czy łatwość implementacji i serwisowania. Nasza aktywność na

forum nie ograniczała się jednak tyko do promocji, czego wyrazem było podpisanie listu intencyjnego dotyczącego współpracy w zakresie realizacji projektu autobusu wodorowego Pilea pomiędzy ARP E-Vehicles Sp. z o.o., reprezentowaną przez Prezesa Zarządu ARP E-Venicles pana Piotra

Śladowskiego, a naszą firmą, reprezentowaną przez Dyrektora Działu R&D, pana MichałaSitka.

Podpisany dokument stanowi potwierdzenie naszej wzajemnej współpracy w dziedzinie rozwoju i wdrażania technologiiwodorowych.

Warto podkreślić, że to już kolejny wspólny projekt pomiędzy naszą firmą a ARP E-Vehicles.

Tegoroczne forum było dla nas również okazją do spotkań z naszymi, innymi partnerami, korzystającymi z oferowanych przez nas rozwiązań i prowadzącymi także projekty wodorowe.MowatuofirmachNESO BUSorazARTHURBUS.

8 AKTUALNOŚCI
Poznańskie forum połączone było z targami, na których prezentowano autobusy wodorowe, takie jak PILEAARPE-Vehicles,NesoBusiArthurBus.

Konferencja Pakiet Mobilności w Serocku

Pakiet mobilności w ogniu pytań i odpowiedzi

Z końcem maja nasz partner – Continental VDO zorganizował konferencję poświęconą

PakietowiMobilności,czylizbiorowiregulacji,któregocelemjestpoprawawarunkówpracy kierowcówwewszystkichkrajachWspólnoty.JakonajstarszyNationalDealerContinental VDOwPolscezdumąwzięliśmyudziałwtymważnymwydarzeniu.

Do Serocka przybyli także przedstawiciele około 130 warsztatów tachografów, PWPW, TLP, GUM, ITD oraz gościezcentraliVDO.

Na konferencji został przedstawiony nowy zespół Continental VDO Polska, odpowiedzialny za współpracę na naszym rynku Omówiono potencjał rynku wymiany tachografów, nowe produkty, jakie znalazły się w portfolio VDO oraz szereg rozwiązań z ogólnej pojętej części tachografucyfrowego.

Zasadniczym tematem spotkania był Pakiet Mobilności i nowe przepisy z zakresu prawa pracy, społecznego i transportu, które wraz z nim wejdą niebawem w życie. Już 21 sierpnia 2023 r. wszystkie nowo rejestrowane pojazdy powyżej 3,5 t muszą być wyposażone w nową, 2. generację tachografów. Oferowany przez Continental ® VDO, DTCO 4.1 to tachograf spełniający wszystkie niezbędnewymagania.

Na konferencji nie zabrakło pytań, także tych trudnych, dotyczących zagadnień, związanych z Pakietem Mobilności, które bezpośrednio dotyczą warsztatów i dealerów VDO, takich jak dostępność DTCO 4.1, ceny, kompatybilność urządzeń telematycznych i wiele różnorodnych kwestii,dotyczącychsamychwymian.

Wiedzę , jaką zdobyliśmy na konferencji w Serocku dzielić się będziemy z naszymi partnerami już wkrótce w serii szkoleńonlineoraznażywo.

Więcej informacji na temat nadchodzących zmian w zakresie Pakietu Mobilności przedstawiamy na kolejnych stronach.

9 AKTUALNOŚCI
24 maja

Pakiet mobilności UE I – wykorzystaj w pełni jego potencjał!

Jak już wspomnieliśmy, wraz z pakietem mobilności UE I wchodzą w życie nowe przepisy zzakresuprawapracy,społecznegoitransportu.Dokontrolowaniaiwdrażaniatychnorm

konieczne jest zaawansowane technicznie urządzenie kontrolne UE. Już od 21 sierpnia 2023r.wszystkienoworejestrowanepojazdy powyżej 3,5 t muszą być wyposażone wnowągeneracjętachografów(Gen2)w2. wersji.

Wszystkie niezbędne wymagania spełnia tachograf inteligen® tnyDTCO 4.1.

Po nowych rejestracjach, do 19 sierpnia 2025 r. również wszystkie starsze pojazdy, jeżdżące w ruchu międzynarodowym z inteligentnym tachografem w 1. wersji muszą być wyposażone w nowy tachograf w 2. wersji. To oznacza, że dopo® sażenie w postaci DTCO 4.1 musi nastąpić bezwzględnie do tego terminu. Wydaje się, że okres 2 lat to wystarczająco dużo czasu, ale już teraz warto podjąć działania. Z kolei wszyscy, którzy obecnie jeżdżą jeszcze z tachografem analogowym lub starszym cyfrowym (Gen1) muszą przezbroić swoje pojazdy w tachografy w 2. wersji do 31.12.2024 r., jeśli mają jeździć w ruchu międzynarodowym. W obliczu nadchodzących zmian w warsztatach należy liczyć się z brakiem wolnych terminów, tak więc już dzisiaj warto starannie zaplanować wszystkie działania związane z przezbrojeniem. Najlepiej połączyć terminy doposażenia z wymaganymi terminami konserwacji lub przeglądami okresowymi W ten sposób można uniknąć przestojów.Zapraszamydonaszychserwisów.

® Jak już pisaliśmy, tachograf DTCO 4.1 to precyzyjne urządzenie, spełniające wszystkie wymagania. Jego potencjał można w pełni wykorzystać korzystając z innowacyjnych usług, które dla flot, działających w transporcie międzynarodowymoferuje VDOFleetServices.

Należądonich:

! Uwzględnienieeuropejskiegoczasupracy

VDO Fleet Tachograph Management uwzględnia różne, krajowe regulacje czasu pracy w Europie, na przykład wytyczne dotyczące pracy nocą. Dzięki automatycznie generowanym pismom do kierowców można ich informowaćopozostałymczasiepracy.

! Zapobieganieutracielicencjiwspólnotowej

Service VDO Fleet Scorecard (ERRU) już po dwóch kliknięciach myszą wyświetla zestawienie wszystkich naruszeń we flocie i wg kierowcy. Od razu widać, czy grozi przekroczenie określonych wartości granicznych oraz czy przyczyną naruszeń są błędy planowania bądź nieprawidłowe postępowanie poszczególnych kierowców. Dzięki temu można reagować w odpowiednim czasie i we właściwy sposób.

! Świadomośćzagrożeniagrzywnami

Usługa katalogu grzywien Service VDO Fleet łączy dane ® z DTCO z rodzajem naruszenia i właściwą wysokością grzywny w danym kraju. W ten sposób można zawsze po pobraniu danych z tachografu ustalić chwilowe ryzyko grzywnydlaflotyorazdlaposzczególnychkierowców.

! Rejestrowanieprzekraczaniagranicy

®DTCO 4.1 znacznie ułatwia dokumentowanie przekraczania granic krajowych, również personelowi jeżdżącemu.UsługaVDOFleetTachographManagementwspiera zarządzanie flotą przez uwzględnianie różnych regulacji krajowych w dyspozytorni, a w przyszłości również w rozliczaniuwynagrodzenia.

10 AKTUALNOŚCI
11 AKTUALNOŚCI ®DTCO 4.1 Inteligentny tachograf (Gen2) 2. wersji Harmonogram wprowadzenia inteligentnego tachografu: Sierpień 2023 Koniec 2024 Sierpień 2025 Lipiec 2026 Najważniejsze informacje https://automotive.drabpol.pl/pakietmobilnosci

Szkolenie w siedzibie firmy Euroswitch

8-10 maja

ZDOBYWAMY WIEDZĘ NA TEMAT CZUJNIKÓW

W pierwszym kwartale tego roku zostaliśmy partnerem handlowym włoskiej firmy

EUROSWITCH,będącejrenomowanym producentem wysokiejjakościczujników,któresą stosowane w wielu gałęziach przemysłu, takich jak hydraulika, pneumatyka, Automotive, filtracja,HVAC,kolejnictwo,kompresory,sprężarkiorazgeneratoryprądu.

W każdej z tych branż Euroswitch oferuje różne rodzaje czujników, takie jak czujniki ciśnienia, temperatury, poziomu, paliwa oraz czujniki z protokołem IO-Link. Warto zaznaczyć, że firma wyróżnia się swoją postawą i kreatywnością, gdy chodzi o opracowywanie rozwiązań dedykowanych indywidualnym potrzebom swoich klientów Dzięki produkcji odbywającej się wyłącznie we włoskich fabrykach Euroswitch, mamy możliwość stworzenia dedykowanych czujnikówdlailościjużod10.sztuk.

W ślad za nawiązaną współpracą, kolejnym jej etapem było szkolenie produktowe naszych pracowników, które miało miejsce w urokliwej miejscowości Sale Marasino we Włoszech,gdziemieścisięsiedzibafirmy.

Podczas trzydniowego szkolenia szczegółowo zapoznaliśmy się z szeroką gamą czujników – poziomu, ciśnienia oraz temperatury (z naciskiem na najbardziej popularne modele z każdej z wymienionych grup) wraz z branżami, w których znajdują zastosowanie. Duży nacisk położono na prezentację czujników IO-Link oraz ich funkcjonalność. Omówione zostało znaczenie czujników z protokołem komunikacyjnym IO-Link wkontekścieprzemysłu4.0.

Szkolenie było także okazją do zwiedzenia fabryki firmy, w tym linii produkcyjnych, hal magazynowych, laboratoriów badawczych oraz poznania osób z poszczególnych działów, z którymi na bieżąco będziemy współpracować.

Poniżej przedstawiamy podstawowe informacje na temat czujników Euroswitch wraz zszerokimspektrumichzastosowań.

Podczas trzydniowego szkolenia szczegółowo zapoznaliśmy się z szeroką gamą czujników wraz z branżami, w których znajdują zastosowanie, a także zwiedziliśmy fabrykę firmy, w tym linie produkcyjne, hale magazynowych ilaboratoriabadawcze.

12 AKTUALNOŚCI

Czujniki Euroswitch i ich szerokie zastosowanie

W tym numerze skoncentrujemy się na sektorach przemysłu, w których czujniki Euroswitch odgrywają najbardziej istotną rolę. Kluczowe obszary, w których produkty te znajdują szerokie zastosowanie to przemysł motoryzacyjny (Automotive), kolejnictwo oraz sektory maszyn budowlanych i rolniczych.

BRANŻAAUTOMOTIVE

Czujniki Euroswitch zapewniają niezawodność, precyzję i wydajność, które są niezbędne w branży Automotive. Są one kluczowymi elementami systemów monitorowania, kontroli i diagnostyki w pojazdach, przyczyniającsię do ich bezpieczeństwa i sprawnej pracy. Dowodem niezawodności niech będzie fakt, że wymagany podczas testów certyfikacyjnych 1 milion cykli użycia czujnika, w praktyce zakończył się po 70 milionach cykli.

Dlatejbranżydedykowanesąnastępującemodeleczujników:

! Przełącznik hamulca hydraulicznego / czujnik hamulca hydraulicznego – ten model jest wykorzystywany do monitorowania i kontroli działania układu hamulcowego pojazdu. Jest również często stosowany w systemach kontrolistabilnościpojazdu.

! Czujniki temperatury – są używane do kontrolowania temperatury silnika, układu chłodniczego oraz układu wydechowego w pojazdach. Są one niezwykle przydatne w monitorowaniu i utrzymaniu odpowiednich temperatur wtychsystemach.

! Czujnik temperatury z podwójnym NTC/PTC – jest specjalnym czujnikiem temperatury, który wykorzystuje zarówno termistory NTC (ujemny współczynnik temperaturowy), jak i termistory PTC (dodatni współczynnik temperaturowy).

Jesttoidealnerozwiązaniedoprecyzyjnegomonitorowania temperaturywróżnychaplikacjachmotoryzacyjnych.

! Elektromagnetyczne czujniki poziomu – znajdują zastosowanie w monitorowaniu poziomu olejów silnikowych, płynów hydraulicznych lub innych płynów eksploatacyjnych w pojazdach. Zapewniają dokładne i niezawodne odczyty poziomucieczywzbiornikach.

! Czujniki poziomu paliwa – jest powszechnie używany do monitorowania ilości paliwa znajdującego się w zbiorniku pojazdu. Jest niezwykle przydatny dla kierowców i mechaników,umożliwiającprecyzyjneśledzeniestanupaliwa.

BRANŻAKOLEJOWA

Czujniki Euroswitch spełniają najwyższe standardy niezawodności, trwałości i precyzji, które są kluczowe w wymagającej branży kolejowej. Są one niezastąpione w monitorowaniu poziomu paliwa, oleju, ciśnienia oraz temperatury w różnych komponentachisystemachpojazdówkolejowych.

W kolejnictwie znajdują zastosowanie następujące modele czujników:

! elektromagnetyczny czujnik poziomu – został zaprojektowany specjalnie do pracy w ciężkich warunkach, charakterystycznych dla branży kolejowej. Jest wykorzystywany do monitorowania poziomu paliwa w lokomotywach, poziomu oleju oraz do monitorowania poziomu substancji wwagonachtowarowych.

! Membranoweprzełącznikiciśnienia–sąszerokostosowane w branży kolejowej do monitorowania ciśnienia w układzie hamulcowym. Te przełączniki ciśnienia mogą być również wykorzystywane w systemach hamowania awaryjnego,

13 AKTUALNOŚCI
MODEL 23-1 MODEL 514 MODEL 520 MODEL 589 MODEL SPF MODEL A2 MODEL 507 MODEL 580-DIN72585 MODEL SPF MODEL A2 MODEL 41 MODEL 41DIN72585

zapewniając niezawodne odczyty i bezpieczeństwo w operacjachkolejowych.

! Czujnik temperatury z dodatkowym kablem i złączem – jest przeznaczony do monitorowania temperatury w zespołach hamulcowych i innych obszarach specjalnych w pojazdach kolejowych. Wyposażony w dodatkowy kabel i złącze, za-

MASZYNYBUDOWLANEIROLNICZE

pewnia wygodną instalację i precyzyjne pomiary temperatury.

! Czujniki temperatury ze stykami SPDT – są wykorzystywane domonitorowaniatemperaturysilnikaorazinnychistotnych obszarów w pojazdach kolejowych. Posiadają styki SPDT, które umożliwiają łatwą integrację z innymi systemami monitorowaniaikontroli.

Czujniki Euroswitch oferują szeroką gamę rozwiązań dla branży maszyn budowlanych i rolniczych, umożliwiając monitorowanie ciśnienia, temperatury oraz poziomu płynów w kluczowych systemach tych maszyn. Ich niezawodność, trwałość i elastyczność sprawiają, że są niezastąpione w tych wymagającychbranżach.

Dlabranżytejprzeznaczonesąnastępującerodzajeczujników:

! Membranowy/tłokowy przełącznik ciśnienia z regulowaną histerezą i stykami SPDT – ten model czujnika ciśnienia jest szeroko stosowany jako przełącznik ciśnienia w układach hamulcowych i kierowniczych w maszynach budowlanych i rolniczych. Dzięki regulowanej histerezie oraz stykom SPDT, umożliwiaprecyzyjnąkontrolęciśnienia.

! Tłokowy wyłącznik ciśnieniowy – jest wykorzystywany jako wyłącznik ciśnieniowy w osiach napędowych maszyn budowlanych i rolniczych, zapewniając niezawodne działanie ibezpieczeństwowoperacjach.

! Membranowe przełączniki ciśnienia – modele te dedykowane są do monitorowania ciśnienia w różnych systemach maszyn budowlanych i rolniczych. Dostępne są różne złącza i przewody, co pozwala na łatwą integrację z istniejącymi systemami.

! Termostaty bimetaliczne – są wykorzystywane w układach chłodzenia, zapewniając precyzyjne monitorowanie temperatury oleju silnikowego, przekładniowego i osi napędowej.

Dostępne są różne złącza i przewody, umożliwiając elastycznąinstalację.

! Przełącznik podciśnienia – jest używany jako wskaźnik zatkania układu filtracji w maszynach budowlanych i rolniczych, zapewniając niezawodną kontrolę i ochronę przed zanieczyszczeniami.

! Czujnik temperaturyz dodatkowym kablem i złączem– znajduje zastosowanie w monitorowaniu temperatury w różnych obszarach maszyn budowlanych i rolniczych, szczególnie w przypadku temperatury oleju silnikowego, przekładniowego i osi napędowej. Posiada dodatkowy kabel i złącze, ułatwiając instalację i dokładne pomiary temperatury.

! Elektryczny wskaźnik różnicy ciśnień – jest stosowany jako wskaźnik różnicy ciśnień w układach hydraulicznych maszyn budowlanych i rolniczych, umożliwiając monitorowanie ikontrolęciśnieniawtychsystemach.

! Elektryczny wskaźnik różnicy ciśnień z termostatem –oprócz funkcji wskaźnika różnicy ciśnień, posiada także termostat, co pozwala na jednoczesne monitorowanie temperaturyiciśnieniawmaszynach.

! Elektromagnetyczny czujnik poziomu z mocowaniem bocznym – jest dedykowany do monitorowania poziomu płynów, takich jak płyn chłodzący, w zbiornikach maszyn budowlanych i rolniczych Jego specjalne mocowanie

14 AKTUALNOŚCI
MODEL 27-28 MODEL 40 MODEL 40-41 WIRED MODEL 506 MODEL 506 WIRED MODEL 506 AMP SUPERSEAL MODEL 580 DEUTSCH DTO42P MODEL P535
MODEL SPF MODEL 80 MODEL 83T MODEL A2 MODEL B2

boczneułatwiainstalacjęiprecyzyjneodczytypoziomu.

! Elektromagnetyczne czujniki poziomu – są wykorzystywane jako czujniki poziomu w zbiornikach płynów, takich jak olej silnikowy, płyny hydrauliczne itp W maszynach budowlanych i rolniczych, zapewniając dokładne pomiary i niezawodnedziałanie.

! Czujniki poziomu paliwa – są używane do monitorowania poziomu paliwa w zbiornikach maszyn budowlanych i rolniczych. Dostępne są różne rodzaje mocowania, co umożliwia elastycznąintegracjęzróżnymitypamizbiorników.

PROTOKÓŁ IO-Link

Firma Euroswitch, jako część swojego procesu rozwoju technologicznego, inwestuje w badania i rozwój w celu wykorzystanianajnowszejgeneracjiprotokołów,wtymIO-Link.

Dzięki swoim zaletom, takim jak zdalne programowanie, dwukierunkowa komunikacja i wysoka precyzja, protokół IOLink stanowi idealne rozwiązanie dla inteligentnych i zauto-

matyzowanych systemów produkcyjnych Zapewniają one precyzyjne pomiary oraz umożliwiają zdalną kontrolę, diagnostykę i monitorowanie procesów. Dzięki tym funkcjom, czujniki IO-Link przyczyniają się do optymalizacji wydajności, zwiększenia elastyczności i poprawy jakości w ramach Przemysłu4.0.

Czujniki IO-Link z gamy produktowej Euroswitch znajdują zastosowanie w różnych dziedzinach przemysłu. Czujnik temperatury IO-Link jest wykorzystywany do automatyzacji magazynów i logistyki, kontroli maszyn i urządzeń, monitorowania temperatury w systemach grzewczych i chłodzących, kontrolijakościorazmonitorowaniaprocesówprodukcyjnych.

Czujnik poziomu IO-Link jest używany do monitorowania poziomu cieczy w zbiornikach, automatyzacji procesów napełniania i opróżnianiaorazkontrolipoziomuwukładachchłodzenia. Z kolei przetwornik różnicy ciśnień IO-Link pozwala na pomiar różnicy ciśnień po obu stronach filtra w systemach prze-mysłowych oraz kontrolę systemów hydraulicznych w celu monitorowania i regulacji ciśnienia w układach hydraulicznych Dzięki protokołowi IO-Link, czujniki można łatwo integrować z innymi urządzeniami i systemami, co umożliwia tworzenie kompletnych i inteligentnych rozwiązań w automatyce przemysłowej. Wykorzystanie czujników IO-Link umożliwia gromadzenie danych w czasie rzeczywistym, analizę big data oraz szybkie i dokładne podejmowanie decyzji wceluoptymalizacjiprocesówprodukcyjnych.

To rozwiązanie zwiększa efektywność, elastyczność, jakość i innowacyjność Przemysłu 4.0, otwierając nowe perspektywy rozwoju technologicznego i doskonalenia operacji przemysłowych.

Oświetlenie NightViu do wozów strażackich

Wubiegłymrokuwnaszejoferciepojawiła się seria oświetlenia NightViu

Continental, opracowywana specjalnie do zastosowań w sektorze maszyn roboczych i wszelkich pojazdach specjalnych. W tej ostatniej grupie znajdują się wozy strażackie, gdzie także doskonale sprawdzają się te rozwiązania.

15 AKTUALNOŚCI
Czujnik ciśnienia IO-Link Czujnik temperatury IO-Link Czujnik poziomu IO-Link MODEL 987 MODEL EST-IO MODEL ESL-IO

Wozy strażackie odgrywają kluczową rolę w reagowaniu kryzysowym,spieszącnamiejscepożarów,wypadkówiinnych krytycznych zdarzeń. W tych stresujących sytuacjach, bez wątpienia widoczność i bezpieczeństwo odgrywają kluczową rolę. W związku z tym nie bez znaczenia pozostają tu systemy oświetlenia wozów strażackich, które mają zapewnić wydajne operacje, a także zwiększyć bezpieczeństwo, zarówno strażaków,jakipozostałychuczestnikówzdarzeń.

Na kompleksowy system oświetlenia w pojeździe strażackim składająsię:

Oświetlenieawaryjne

Światła awaryjne są sercem oświetlenia wozu strażackiego. Zamontowane są na dachu lub po bokach pojazdu i służą jako światła ostrzegawcze, stroboskopowe lub obrotowe. Ich intensywneiwyraźnebłyskiostrzegająkierowcówipieszycho zbliżającym się pojeździe ratunkowym, ułatwiając bezpieczne manewrowaniewruchuulicznyminaskrzyżowaniach.

Oświetleniemiejscazdarzenia

Kiedy strażacy przybywają na miejsce zdarzenia, stają przed wyzwaniem oceny sytuacji i wykonywania swoich obowiązków w potencjalnie niebezpiecznym i słabo oświetlonym otoczeniu. W tym miejscu do gry wkracza oświetlenie sceniczne. Wozy strażackie są wyposażone w potężne światła sceniczne, strategicznie rozmieszczone w celu oświetlenia obszaru otaczającego incydent. Światła te zapewniają bardzo potrzebną widoczność, pozwalając strażakom identyfikować zagrożenia, lokalizować ofiary i skutecznie wykonywać swoje zadania,ostatecznieratującżycieimienie.

Światłaostrzegawcze

Systemy oświetlenia wozów strażackich obejmują również światła ostrzegawcze, aby zapewnić widoczność pojazdu pod każdym kątem. Jasne reflektory, światła tylne i boczne światła obrysowe służą jako sygnały dla innych kierowców, wskazując pozycję ciężarówki, kierunek jazdy i obecność w sytuacjach awaryjnych. Te ulepszone światła ostrzegawcze zostały zaprojektowane z myślą o trudnych warunkach pogodowych, co dodatkowozmniejszaryzykowypadkówikolizji.

Reflektory

W niektórych sytuacjach strażacy mogą potrzebować skupić swoją uwagę na określonych obszarach. Reflektory zamontowane na wozach strażackich zapewniają ukierunkowaną wiązkę światła, którą można sterować zdalnie lub ręcznie. Reflektory te odgrywają kluczową rolę w kierowaniu działaniami poszukiwawczo-ratowniczymi, oświetlając wejścia do budynków, dachy lub inne obszary docelowe, umożliwiając ratownikom szybkie zlokalizowanie i zajęcie się krytycznymi punktamizainteresowania.

ListwyświetlneLightbar

Wozy strażackie często wyposażone są w belki świetlne –wydłużonezespołymieszczącewieleświateł.Umieszczonena dachu pojazdu, belki świetlne integrują różne funkcje oświetleniowe w jednym urządzeniu. Mogą one obejmować

oświetlenie awaryjne, oświetlenie sceny i światła ostrzegawcze. Listwy świetlne poprawiają widoczność, ułatwiając identyfikację pojazdu i zapewniając optymalne bezpieczeństwopodczasakcjiratunkowych.

Z szerokiej oferty oświetlenia

NightViu Continental, znajdującego się w naszej ofercie, z myślą m.in. o wozach strażackich opracowano listwy świetlneLightbar(dwieserie–Lightbar oraz Lightbar Slim) oraz rożnego rodzaju światła robocze.

Lightbar seria 1

Slim Lightbar seria 1

Slim Lightbar seria 2

Lightbar seria 2

Slim Lightbar seria 3

Pierwsze z nich (Ligtbary) wykorzystywane są m.in. do oświetlenie terenu pożaru, czy innego obszaru, szczególnie w sytuacjach, gdy oświetlenie zewnętrzne jest ograniczone lub niejestdostępne.

Listwy te mogą być też wykorzystywane do zapewnienia wystarczającego oświetlenia wokół obszaru stanowiska/dowodzenia, umożliwiając koordynowanie zespołem i podejmowanie krytycznych decyzji w dobrze oświetlonym środowisku/miejscu. Lightbar może być skierowany na sprzęt lub pojazdy, ułatwiając strażakom szybkie ich zlokalizowanie, co poprawiawydajnośćiskracaczasreakcjiwsytuacjachkryzysowych. Listwy świetlne są często wykorzystywane do tworzenia dobrze oświetlonych obszarów medycznych, w których strażacy mogą robić przerwy, nawadniać się i otrzymywać pomoc medyczną. Odpowiednie oświetlenie zapewnia strażakom bezpieczne i komfortowe środowisko do odpoczynku i regeneracji sił przed wznowieniem prac Zapewniając skuteczne oświetlenie w różnych scenariuszach, działająca listwa świetlna na wozie strażackim zwiększa widoczność strażaków, poprawia ich bezpieczeństwo i umożliwia im bardziej efektywne wykonywanie zadań podczas gaszenia pożarówlubprzyakcjachposzukiwawczo-ratowniczych. Większe pojazdy strażackie są wyposażone w szereg świateł roboczych. Światła te zapewniają odpowiednie oświetlenie dla personelu dowodzącego, aby koordynować operacje, zarządzać zasobami i skutecznie podejmować krytyczne decyzje,nawetwnocylubwwarunkachsłabegooświetlenia.

Wśród świateł roboczych NightViu dla wozów strażackich dedykowanesąnastępująceserie:

16 AKTUALNOŚCI

® SeriaświatełroboczychNightViu :

! Flood-beam(wiązkaświatłapowodziowego)

! Spot-beam(wiązka światłapunktowego)

! Wide-beam(wiązkaświatłaszerokokątnego)

! Ultra-wide-beam(wiązkaświatłaultraszerokokątna)

Flood-beam – wiązka światła powodziowego

Światła Flood-beam są powszechnie używane w wozach strażackichdoróżnychcelów,związanychzoświetleniempola i bezpieczeństwem operacyjnym. Zapewniają one szerokie, intensywne i równomierne rozprzestrzenianie się światła, które pomaga oświetlić duże obszary lub ograniczone przestrzenie. Pomaga to w lokalizowaniu osób, identyfikowaniu przeszkód i zapewnianiu bezpieczeństwa zarówno ofiarom, jak i ratownikom. Zazwyczaj są one umieszczone na podwoziu, na masztach oświetleniowych, wewnątrz wozu do podświetlaniaaparatury/sprzętu,bliskopodwoziaskierowane w dół – używane są wówczas do zapewnienia oświetlenia na poziomiegruntuwokółpojazdu.

Podczas gaszenia pożarów, światła Flood-beam mają kluczoweznaczeniedlastworzeniadobrzeoświetlonegośrodowiska pracy.

Spot-beam–wiązka światłapunktowego

Światła punktowe Spot-beam są nieocenione podczas akcji poszukiwawczych i ratowniczych, umożliwiając strażakom szybkie i skuteczne przeszukiwanie dużych obszarów, zwłaszczawnocylubwwarunkachograniczonejwidoczności.

Światła te mogą pomóc w gaszeniu pożarów, kierując światło bezpośrednio na ogień, dzięki czemu strażacy mogą lepiej zrozumiećjegorozmiar,lokalizacjęizachowanie.

Lampy te zazwyczaj montowane są na na dachu, zderzaku, po bokachczyztyłupojazdu.

Wide-beam – wiązka światła szerokokątnego

Lampy szerokostrumieniowe w wozach strażackich są zaprojektowane tak, aby zapewnić szersze pole oświetlenia w po-

równaniu ze standardowymi reflektorami. Pomagają one oświetlićbezpośredniobszarwokółwozustrażackiego,wtym boki i przód, poprawiając oświetlenie obwodowe podczas akcji ratunkowych. Lampy te umożliwiają strażakom lepszą nawigację w ciasnych przestrzeniach, takich jak wąskie ulice, alejki lub podjazdy. Szersze rozproszenie światła pomaga kierowcom oceniać odległości, wykrywać przeszkody i manewrowaćwozemstrażackimzwiększąprecyzją.

Rozwiązania te w wozach strażackich zapewniają lepsze oświetlenie obwodowe, lepszą manewrowość, zwiększone bezpieczeństwo w wąskich ulicach, lepsze oświetlenie pola, wsparcie operacyjne w nocy, a także pomoc w dowodzeniu akcją/zdarzeniem.

Ultra-wide-beam – wiązka światła ultraszerokokątna

Lampytemają podobnezastosowanie jakopisanawyżejseria Wide-beam.

Lampy do wozów strażackich Night Viu Continantal są zaprojektowane tak, aby wytrzymać wymagające warunki napotykane podczas akcji ratunkowych. Są trwałe, odporne na wstrząsy, wytrzymałe na wibracje, czy na nieostrożne obchodzenie się z nimi, a przede wszystkim są odporne na zmienne warunki atmosferyczne, zapewniając niezawodne działanie w różnych środowiskach, w tym w deszczu, śniegu i ekstremalnychtemperaturach.

Przy serii oświetlenia NightViu warto podkreślić także ich wyjątkowo wysoką wydajność świetlną – posiadają więcej lumenów,aleprzytakimsamymzużyciuenergii,jakwprzypadku konwencjonalnychświateł.

Systemy oświetlenia wozów strażackich muszą sprostać wyjątkowym wyzwaniom, przed którymi stają strażacy podczas akcji ratunkowych. Dzięki połączeniu świateł awaryjnych, oświetlenia sceny, świateł ostrzegawczych, reflektorów i listew oświetleniowych, pojazdy te zapewniają optymalną widoczność, umożliwiając szybkie i skuteczne działanie w krytycznych sytuacjach. Ciągły rozwój technologii oświetleniowych dodatkowo zwiększa bezpieczeństwo i wydajność operacji wozów strażackich, co gwarantuje, że strażacy mogą wykonywaćswojekluczoweobowiązki,jednocześniechroniąc siebieiinnych.

17 AKTUALNOŚCI

Pompy ciepła CO2 Konvekta w dobie regulacji prawnych, dotyczących

F-gazów, rozwoju e-busów oraz specyfikacji przetargowej

dla systemów e-HVAC.

ROZWÓJ POMP CIEPŁA

Z informacji przekazanych od pana Reinera Bolanda – Kierownika działu autobusowego w Konvekta AG w Schwalmstadt wynika, że ponad 2000 autobusów wyposażonych zostało w system HVAC z pompą ciepła CO2. Obecnie są one zpowodzeniemeksploatowanewcałejEuropie.

System HVAC pompy ciepła CO2 Konvekta wykorzystuje dwutlenek węgla jako czynnik chłodniczy, którego współczynnik

Zasada działania pompy ciepła CO firmy Konvekta do autobusów elektrycznych

Konwencjonalna klimatyzacja elektryczna z ogrzewaniem elektrycznym

Temperatura otoczenia

1 2

Parownik

100 %

Pompa ciepła CO firmy Konvekta 2

energia operacyjna 100 % 100 % energia cieplna 75 %

ciepło otoczenia + gromadzenie energii

25 %

zasilanie operacyjne 75 % 100 % ciepło termiczne

SchematpokazującyzasadędziałaniapompyciepłaCO2Konvekta.

ocieplenia globalnego GWP (GWP porównuje ilość absorbowanego przez określoną masę gazu ciepła do ilości ciepła zatrzymanego przez podobną masę dwutlenku węgla) wynosi 1. Pompa ciepła CO2 Konvekta wykorzystuje „energię ciepła odpadowego”doogrzewaniaautobusu,energię,którawkonwencjonalnych systemach klimatyzacji byłaby po prostu odprowadzana do atmosfery. W pełni elektryczny system 400V oferuje znaczne oszczędności energii w porównaniu z autobusami wykorzystującymikonwencjonalne systemy grzewcze, ponieważ może sam wytwarzać ciepło (wodę i powietrze) potrzebne do ogrzania wnętrza. Można to zrobić do temperatury zewnętrznej-22°C.

Zawór rozprężny Chłodzenie gazem

Ciepło systemowe

Sprężarka

Aby uzyskać 100% ciepła, pompa ciepła potrzebuje tylko ułamka dostarczonej energii. System Konvekta pozwala zaoszczędzić do 3/4 energii (kosztów) i zwiększa zasięg.

W konwencjonalnych autobusach, silnik wysokoprężnywautobusiejestnajczęściej używany do produkcji i przesyłu ciepłej wody do wymienników ciepła, aby umożliwić dostarczenie ciepłego powietrza do wnętrza. W autobusach

18 AKTUALNOŚCI
Pompaciepła Konvekta UL700EMCO2
2
4 3

elektrycznych nie ma ciepłej wody dostarczanej z silnika wysokoprężnego, ponieważ oczywiście nie ma silnika wysokoprężnego, ale do wymienników ciepła nadal potrzebna jest ciepła woda. Istnieją dwie opcje rozwiązania tego problemu, doradziłpanR.Boland–albozastosowaniemałejnagrzewnicy diesla, która nie jest już akceptowana przez prawie 95% rynków, albo zastosowanie nagrzewnicy elektrycznej, która potencjalnie stanowi znaczący pobór energii w akumulatorze trakcyjnym,coostateczniezagrażazasięgowipojazdu. Pompa ciepła, w najlepszym przypadku, może zużywać 75% energii z otaczającego powietrza. Zimą, na przykład, pobiera zimne powietrze (energię) z zewnątrz i zamienia je w ciepłą energię,abyuzyskaćciepłąwodęiciepłepowietrzezapomocą pompy ciepła (W niektórych przypadkach jednak nadal konieczne jest użycie grzejnika elektrycznego).R. Boland zwrócił uwagę, że pompa ciepła ma współczynnik wydajności (COP)równy4,podczasgdygrzejnikelektrycznymaCOPtylko

1 (Tak więc, w przypadku grzejnika elektrycznego, aby wytworzyć jeden kilowat energii grzewczej, należy zainwestować w 1 kW energii elektrycznej). Dodatkową zaletą, jak wspomniano wcześniej, stosowania CO2 jako czynnika chłodniczegojestto,żemaonwspółczynnikociepleniaglobalnego (GWP)równy1.

NapoczątkuKonvektamontowałaswojejednostkiCO2wkonwencjonalnych autobusach z silnikiem wysokoprężnym

Jednak ze względu na różnicę w wymaganiach ciśnieniowych, do pracy potrzeba 400 woltów, co oznaczało, że trzeba było zamontować generator elektryczny, co zwiększyło wagę i zu-

życie energii. Pompa ciepła CO2 jest obecnie oferowana tylko zautobusaminapędzanymielektrycznie.

FRegulacjagazu–wymuszaniezmian

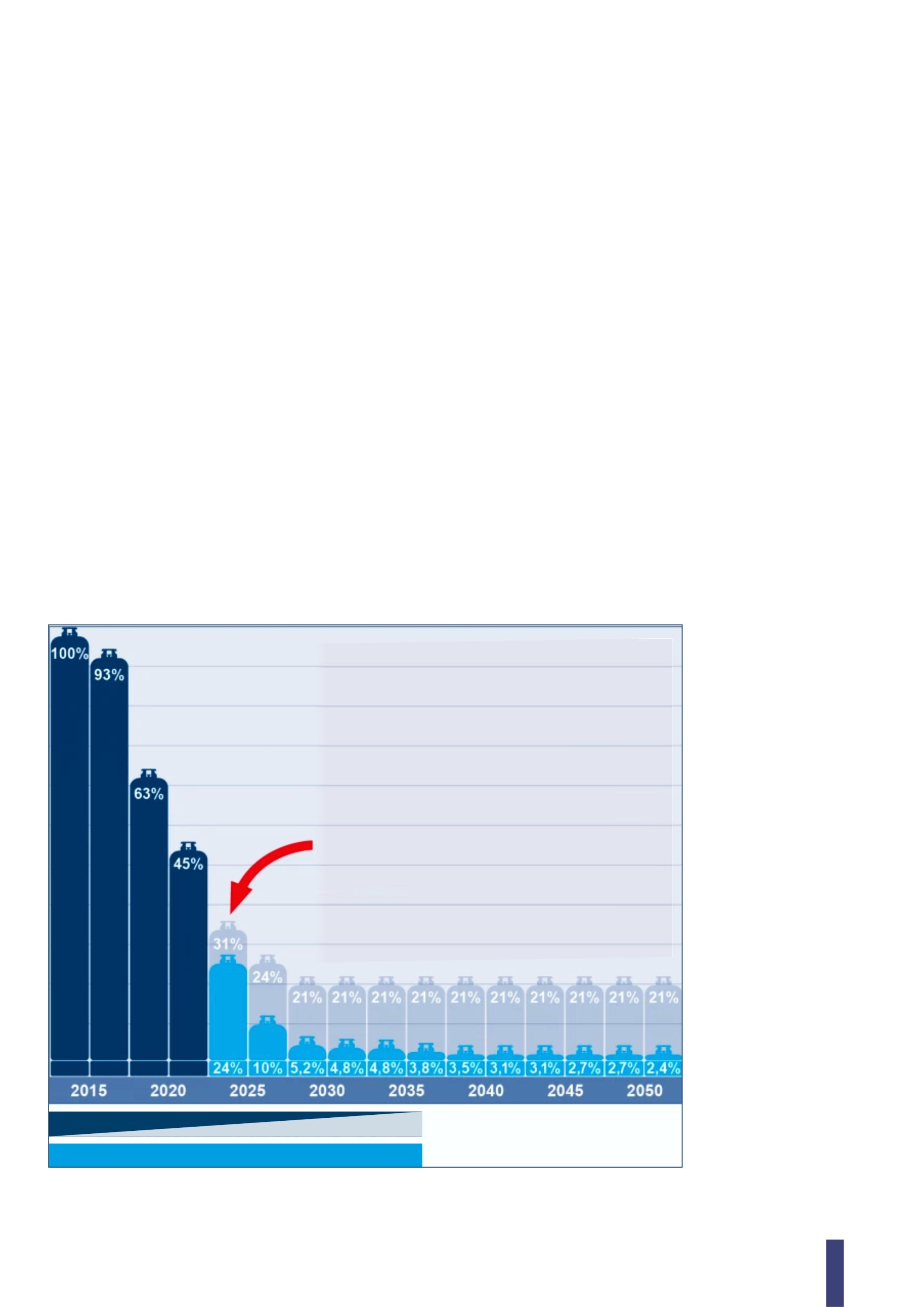
Rozporządzenie w sprawie fluorowanych gazów cieplarnianych prawdopodobnie będzie miało również znaczący wpływ na popyt na czynniki chłodnicze niewodorofluorowęglowodorowe (HFC). Rozporządzenie w sprawie fluorowanych gazów cieplarnianych, które zostało wprowadzone w 2015 r. przezWspólnotęEuropejską,manaceluzmniejszenieimportu i produkcji fluorowanych gazów cieplarnianych lub HFC ze 100% w 2015 r. do 21% w 2030 r.; oznacza to, że dostępność fluorowanych gazów cieplarnianych do stosowania we wszystkich zastosowaniach (domy, budynki komercyjne i transport) zmniejszy się, a ceny będą tylko rosły. Ograniczenie to dotyczy wszystkich pojazdów nowych i używanych. Obecnie UE pracuje nad dalszą zmianą rozporządzenia w sprawie fluorowanych gazów cieplarnianych, planując zmniejszenie zużycia gazówHFCdo5%w2030r.,aprawodawstwospodziewanejest wciągunajbliższychdwóchlat.

Co to oznacza dla nabywcy i operatora autobusu? Konvekta, powiedział R. Boland, nieustannie stara się przypominać lub edukować swoich klientów, że jeśli wymagają R134a lub inne konwencjonalne czynniki chłodnicze (takie jak R407), mogą mieć duży problem w 2030 r. ze znalezieniem czynnika chłodniczego dla swoich jednostek AC. „Większość klientów nawetniewie,żemożetobyćdlanichdużyproblem.”Beztych gazów jednostka HVAC po prostu nie będzie działać! Wymiana

i modernizacja systemu HVAC za pomocą pompy ciepła CO2 będzie również trudna i kosztowna; Będzie to również najprawdopodobniej ekonomicznie nieopłacalne, biorąc pod uwagęwiekautobusu.

Rynki dla pompy ciepłaCO2

Znaczne zaostrzenie przepisów dotyczących fluorowanych gazów cieplarnianych (F-Gas), przyspieszone wycofywanie od 2024 r.

Pompa ciepła CO2 Konvekta została po raz pierwszy zamontowanawautobusie 9-metrowym i 12-metrowym. System został następnie zainstalowany w pojazdach przegubowych o długości 15 m i 18 m, a następnie dwupokładowych Rozwiązanie HVAC z pompą ciepła CO2 może być również instalowane w pojazdach o długoścido24metrów.

Harmonogram wycofywania F-gazów (według stanu na 2014 r.)

Harmonogram wycofywania F-gazów (po rewizji 2022)

Konvekta koncentruje się silnie na wysokiej jakości i zaawansowanychrynkach technologicznych w Euro-

19 AKTUALNOŚCI
Wykres przedstawiający wpływ rozporządzenia w sprawie fluorowanych gazów cieplarnianych z 2015 r. na dostępnegazyHFCwEuropie

pie. Obecni klienci, budujący autobusy elektryczne z pompą ciepła CO2 to Solaris (pojedynczy i przegubowy), Evobus (pojedynczy i przegubowy), MCV-Volvo na rynek brytyjski (zarówno jedno-, jak i dwupokładowy) oraz Irizar (opcja dla modelu autobusu jedno- i przegubowego, pierwszy pojazd był dlaoperatorawSzwajcarii).

Firma ma kilka projektów z nowymi klientami budującymiautobusy,wtymHess, BYD i Ikarus. W przypadku

Kolejny nowy projekt jest realizowany przez węgierskiego producenta autobusów Ikarus Electric Zrt. z Székesfehérvár –Konvekta planuje dostarczyć pierwszy prototyp pompy ciepła CO2wpołowie2023roku.

Niektórzy z dużych producentów w Europie dopiero rozpoczynają budowę autobusów elektrycznych, a dostawy masowe zaczną się odbywać w ciągu najbliższych dwóch lat.

Carrosserie HESS AG z Bellach w Szwajcarii pompa ciepłaCO2zostaniezamontowana w 2023 r., zarówno w autobusach o długości 12 m, jak i 18 m.Chiński producent autobusów elektrycznych, BYD Inc z Shenzhen jest kolejnym producentem autobusów elektrycznych, stosującym pompę ciepła CO2 Konvekta. R. Boland poinformował, że w połowie 2022 r. rozpoczął swój pierwszy projekt, w którym BYD dostarczy pompy ciepła CO2 do autobusów elektrycznych w swojej fabryce na Węgrzech. Autobusy te są Centrummagazynowo-logistycznegoczęściKonvekta

przeznaczone dla Niemiec, gdzie rośnie zapotrzebowanie niemieckich operatorów na tę technologię. R. Boland dodał, że na rynku europejskim rośnie liczba przetargów na autobusy elektryczne, określających pompę ciepła CO2 ze względu na kosztyizaletyśrodowiskowetegoproduktu.

W ciągu pięciu lat, jeśli nie wcześniej, wszystkie autobusy miejskiebędąelektryczne,przewidujeR.Boland.Stwierdziłon także, że Konvekta koncentruje się na regionie MENA i że niedawno wznowiła działalność z MCV w Egipcie. Jeśli chodzi o nowicjuszy, każda firma jest oceniana, a następnie po przeprowadzeniu dyskusji podejmowana jest decyzja, czy kontynuowaćprojekt,czynie.

Działalność Konvekty w Chinach polega głównie na pozyskiwaniu części z lokalnego rynku i utrzymaniu łańcucha dostawwysokiejjakości.

Konvekta nadal zaopatruje firmę Scania w Chinach, która produkuje tam niektóre produkty – takie jak Scania Touring – na eksport na rynki Europy oraz Azji i Pacyfiku. Nie dostarcza pompy ciepła dla producentów OEM na rynek chiński, ponieważ rynek autobusów i autokarów w Chinach jest zupełnie inny, z różnymi oczekiwaniami pod względem jakości i niezawodności produktu.

20 AKTUALNOŚCI
KomoratestowapompyciepłaCO2Konvekta

Inwestycje–R&Dimagazynowanie

Przed pandemią Konvekta zainwestowała w zaawansowane centrum testowania, które może pomieścić autobusy o długości do 24 metrów. Może tworzyć temperatury przekraczające 50 stopni i minus 20 stopni Celsjusza. Jest również w stanie symulować promieniowanie słoneczne w celu testowania autobusów w tych ekstremalnych warunkach, a także doprecyzyjnegodostrajaniaswoichsystemów.

Konvekta zainwestowała również znaczną sumę w komory ciśnieniowe, w których przeprowadza końcowy test ciśnieniowy do 160 barów jednostek CO2. (Jednostki CO2 mogą osiągnąć maksymalne ciśnienie 120 barów, ale jest to ostateczna kontrola – każda jednostka jest testowana pod ciśnieniem160bar).

Aktualności II kwartał :

> MZK w Grudziądzu zakupiło 17 szt. hybrydowych Solarisów 12m.,wyposażonychw68portówUSB.

> Na wyposażeniu 2 Solarisów 18m CNG- CPC dla MPK Rzeszówznalazłosię10ładowarekUSB.

> Do MZA w Warszawie trafiło 10 Autosanów 18m LNGFAP.Każdywyposażonyzostałw3portyUSB.

> W systemy CPC wyposażone zostało 52 autobusy Mercedes18mdiesel,przeznaczonedlaMPKwŁodzi.

> W 2. elektrycznych Solarisach 18m dla MPK w Radomiu zabudowanosystemyCPCoraz12portówUSB.

> Do MPK w Świdnicy trafiło 6 elektrycznych autobusów VOLVO z zamontowanymi ładowarkami USB ( po 6 na pojazd).

> MZA w Warszawie zasiliło swoją flotę o 5 Autosanówkażdy wyposażony w miejsce pracy kierowcy FAP oraz 3 portyUSB.

Szkolenia II kwartał:

21kwietnia

Szkolenie okresowe dla techników warsztatu w zakresie tachografówcyfrowych.

24-26maja

Szkolenie podstawowe na Technika Warsztatu - Tachografy Cyfrowe.

Kolejną dużą inwestycją był magazyn części w celu zabezpieczenia łańcucha dostaw. W ciągu ostatnich dwóch lub trzech lat łańcuch dostaw był dużym problemem. Aby zapewnić dostawy swoich systemów wszystkim klientom, w 2022 r., Konvekta podwoiła swoje magazynowe możliwości w zakresie części wymiennych – dlatego też w ciągu ostatnich dwóch lat była wiarygodnym partnerem na rynku, mając niewieleopóźnieńwdostawachdoklientów.

Podczas gdy sprzedaż konwencjonalnych systemów HVAC dla autobusów napędzanych olejem napędowym i gazem nadal stanowi większość sprzedaży firmy, R. Boland stwierdził, że 90% jej badań i rozwoju jest obecnie wydawanych na produkty do autobusów elektrycznych, dzięki czemu jej produkty są jeszcze lepsze i bardziej wydajne. Obejmuje to kolejną generację produktów do autobusów elektrycznych, które zostaną wprowadzonewciągunajbliższychkilkulat.

> 44 ładowarki USB zabudowano w 11 hybrydowych Solarisach12 dlaKMwRybniku.

> MPK we Włocławku zwiększył swoją flotę o 3 elektryczne autobusyMAN,wyposażone w15portówUSB.

> Na wyposażeniu 32 elektrycznych Solarisów dla GZM w Katowicachznalazłosię256ładowarekUSB.

> W 20. elektrycznych Solarisach znalazły się systemy CPC oraz83portyUSB.

> 110 portów USB zabudowano w 22 hybrydowych autobusachVOLVOdlaPKMwKatowicach.

> Do MZK w Toruniu trafiły 4 elektryczne Solarisy 12 m. –każdyz5. portamiUSB.

> 10 Autosanów 18m LNG z miejscem pracy kierowcy FAP oraz30.ładowarkamiUSBzasiliłoflotęMZAwWarszawie.

30czerwca

Szkolenie okresowe dla techników warsztatu w zakresie tachografówcyfrowych

WszystkiepowyższeszkoleniaodbyłysięwWarszawie.

21
AKTUALNOŚCI

WSPÓLNIE ŚWIĘTUJEMY JUBILEUSZ 40-lecia NASZEJ FIRMY

Rok 2023 jest dla naszej firmy rokiem jubileuszowym – obchodzimy bowiem 40 –lecie swojej działalności. Z tej okazji 17majacałyzespółfirmyświętowałokrągły jubileusz.

Miejsce spotkania wszystkich pracowników naszej firmy było niecodzienne – Fabryka Rowerów w Częstochowie – podobne miejsce trudno znaleźć nie tylko w Polsce, ale i w całej Europie. Fabryka Rowerów to połączenie olbrzymiej przestrzeni sklepowej, ciągu stanowisk serwisowych, magazynu i powierzchni biurowych. To także Pub Sportowy z galerią koszulek i historycznych egzemplarzy rowerów TREK, tory do kręgli oraz stanowiska z pamiątkami dwóch częstochowskich

klubów – Rakowa i Włókniarza We wspominanym pubie bawiliśmysięwyśmienicie.

W części oficjalnej naszej uroczystości miało miejsce wręczenie podziękowań i nagród wszystkim pracownikom firmy. Specjalnie wyróżniono osoby, które przepracowały w firmie ponad25i20lat.Potemjużnastałczaszabawy.

22 AKTUALNOŚCI
23 AKTUALNOŚCI

Międzynarodowe Targi AERO we Friedrichshafen

19-22 kwietnia

ODWIEDZAMY AERO

Z wielkim zainteresowaniem wzięliśmy udział w tegorocznej edycji targów AERO, odbywającychsiętradycyjniewniemieckimFriedrichshafen.

Na tej największej na świecie imprezie, poświęconej lotnictwu ogólnemu, biznesowemu i sportom lotniczym, ponad 550 wystawców z kilkudziesięciu krajów świata zaprezentowało szerokie spektrum statków powietrznych – drony, szybowce, wiatrakowce, śmigłowce, samoloty ultralekkie, turystyczne, szkolne, z napędem tłokowym i turbośmigłowym, a także odrzutowce biznesowe. Ofertę tę uzupełniała prezentacja najnowszych rozwiązań z zakresusystemównapędowych,wtym elektrycznych, a także awioniki, usług i akcesoriów dla pilotów.

Wśródtegorocznychwystawcównie mogło zabraknąć naszych partnerów biznesowych, których stoiska mieliśmy przyjemność odwiedzić AERO było doskonałą okazją do zaprezentowania przez nich swoich nowościwzakresieawioniki.

Firma Garmin przedstawiła system zintegrowanego zarządzania samolotami PlaneSync Connected Aircraft

24 DZIAŁ LOTNICZY | AKTUALNOŚCI
Firma Garmin zaprezentowała na AERO system zintegrowanego zarządzania samolotami PlaneSync ConnectedAircraftManagement.

Management, który automatycznie aktualizuje bazy danych awioniki, rejestruje dane dotyczące lotu i silnika oraz umożliwia właścicielom i operatorom statków powietrznych zdalne sprawdzanie stanu paliwa i systemów za pośrednictwem aplikacji Garmin Pilot. System PlaneSync został zaprojektowany do współpracy z nowym łączem danych GDL 60 w celu zapewnienia nowych poziomów łączności i wygody zarówno właścicielom, jak i operatorom samolotów. Więcej na temat nowegosystemuPlaneSyncpiszemynastronie28.

FLEX, prezentowany na stoisku naszego partnera – Mid Continent. Wyświetlacz FLEX jest jedynym certyfikowanym konfigurowalnym wyświetlaczem, kontrolerem i przetwornikiem danych w jednym przyrządzie. Seria Flex MD23 to „czysta karta” dla konstruktorów, awioników i inżynierów systemów. Jest to jedyny kontroler, konwerter danych i konfigurowalny wyświetlacz w jednym przyrządzie. Certyfikowany, 2-calowy cyfrowy przyrząd odbiera i wyświetla dane z szyny ARINC 429, analogowe, dyskretne, częstotliwości, dane dotyczące temperatury, ciśnienie całkowite i różnicowe aby spełnić specyficzne potrzeby każdego pilota lub operacjilotniczej.

Podczas naszego pobytu na tegorocznym AERO odbyliśmy również konstruktywne rozmowy zarówno z przedstawicielami naszych partnerów,jakinowychfirmzbranży lotniczej.

Gościliśmy m.in. na stoiskach firmBENDIXKING,THOMMEN / SATHOM / BECKER, VSE, AVIDYNE, ASPEN AVIONICS, MIKROTECHNA, MCIO, KANNAD, ADAMS AVIATION czy GENESIS.

25 DZIAŁ LOTNICZY | AKTUALNOŚCI
Kolejnym nowym rozwiązaniem, który wzbudzał duże zainteresowanie był konfigurowalny wyświetlacz wielofunkcyjny Dziękujemy wszystkim naszym partnerom za miłe spotkania igościnęnaswoichstoiskach. Nowy, konfigurowalny wyświetlacz wielofunkcyjny FLEX można było zobaczyć na stoisku naszego partneraMidContinent. Stoiskanaszychpartnerów–BeckerAvionicsiAspenAvionicsnategorocznychtargachAERO.

66 Międzynarodowa Konwencja AEA w Orlando

24-27 kwietnia

AKTYWNIE NA AEA

Tradycją naszej firmy stał się już coroczny udział w amerykańskiej Konwencji AEA. W tym roku członkowie stowarzyszenia, w tym i przedstawiciele naszej firmy przybyli do Orlando na Florydzie , by wziąć udział w tym największym zgromadzeniu producentów, dystrybutorów i certyfikowanych stacji naprawczych awioniki lotnictwa ogólnego na świecie.

Dla nas AEA to przede wszystkim możliwość spotkaniazproducentamiawionikiorazodbyciawieluszkoleń,którecorokumająmiejscepodczaskonwencji.

W ciągu czterodniowego spotkania odbyliśmy szkolenia produktowe u naszych partnerów, takich jak Garmin (seria produktów TXi, Xî i autopiloty), Trig (radiostacje), Universal Avionics (elektroniczne wskaźniki PFD i HSI), Aspen Avionics (seria wskaźników E5 i ADS), Avidyne (seria produktów IFD), Collins Aerospace (aircraft modernization) oraz Mid Continent. Uczestniczyliśmy także w szkoleniu, poświęconemuADS-BUpdate.

Konwencja AEA to także targi, na których wystawcy prezentują swoje najnowsze rozwiązania. Mieliśmy więc okazję odwiedzić naszych stałych dostawców i zapoznać się z nowościami, jakie pojawiły się na rynku. Z nich zainteresowanie nasze wzbudziły systemy NAV/COM firmy Trig, systemy PFD oraz HSI Universal Avionics oraz porty USB z wbudowanym zegarem od Mid-Continent. Z wielką przyjemnością spotkaliśmy się również z zespołem i zarządem AEA, któremu przedstawiliśmy temat regionalnego spotkania w Polsce w 2024 roku. Propozycja nasza przyjętazostałazdużymentuzjazmem.

Nakoniecchcemydodać,zetegorocznymczłonkiem stowarzyszenia AEA został nasz wieloletni partnerfirmaAvidyne.Serdeczniegratulujemytegosukcesu!

26 DZIAŁ LOTNICZY | AKTUALNOŚCI

NA PARIS AIR SHOW

Pokilkulatachprzerwy,spowodowanejpandemią,ParisAirShowpowróciłwtymrokudo kalendarza targowego. Impreza ta zaliczana jest do najstarszych i największych pokazów lotniczychnaświecie.

Na targach prezentowane są najnowsze rozwiązania w zakresie przemysłu lotniczego i związanego z nim sprzętu, takie jak silniki lotnicze, nawigacje satelitarne,kabinysamolotóworazsystemy uzbrojenia.

Wśród wystawców pojawili się wszyscy najwięksiproducenciidostawcy,związani z lotnictwem GA, BA i Defence, zaś wśródgościobecnybyłprezydentFrancjiEmmanuelMacron.

NategoroczneAirShowdoParyżaudali się także nasi przedstawiciele. Na targach odwiedziliśmy stoiska naszych partnerów – L3 Harris oraz Bet Shemesh Engines Group, których aktywnie wspieraliśmy podczas rozmów z licznie przybyłymigośćmizPolski.

Bardzo ważną informacją dla polskiego rynku jest potwierdzenie inwestycji, planowanej na terenie Polski przez korporację L3 Harris we współpracy z naszą firmą. Dzięki temu, wybierając rozwiązania L3 Harris de facto wspierany będzie nasz rodzimy rynek, na który transferowana będzie technologia produkcyjna L3 Harris. Jeszcze w tym roku rozpocznie się w naszym kraju produkcjarozwiązańdlacałejEuropy.

Paris Air Show były również okazją do spotkania z naszym partnerem z zakresu Automotive – firmą Curtiss-Wright i rozmów na temat rozszerzenia asortymentu dostarczanego przez nas na teren Polski, o czym poinformujemy naszychCzytelnikówjużwkrótce.

27 DZIAŁ LOTNICZY | AKTUALNOSCI Międzynarodowy Salon Lotniczy w Le Bourget 19-25 czerwca
Na targach gościliśmy m.in. na stoisku naszego partnera – Bet Shemesh Engines Group.

NOWOŚĆ !!!

PlaneSync – połączone zarządzanie statkiem powietrznym

Każdy pilot doskonale wie, że latanie nie zaczyna się dopiero na pasie startowym. Przygotowanie samolotu do lotu wymaga czasu, wysiłku i przygotowań. Wychodząc naprzeciwpotrzebompilotównaszpartner–firmaGarminopracowałanowerozwiązanie PlaneSync. Zostało ono zaprezentowane na tegorocznych targach AERO we Friedrichshafen.

Technologia PlaneSync pomaga uprościć zarządzanie samolotami, umożliwiając właścicielom i operatorom samolotów poświęcenie większej ilości czasu na wykonywane zadanie –latanie.

® Wykorzystując łączność komórkową 4G LTE lub Wi-Fi , za® pewnianą przez łącze danych GDL 60, PlaneSync łączy się z obsługiwaną awioniką i urządzeniami, umożliwiając kontrolę nadsamolotemzpraktyczniedowolnegomiejsca.

Zintegrowanezarządzaniesamolotami

Za pośrednictwem połączenia komórkowego 4G LTE lub Wi-Fi, zapewnionego przez łącze danych GDL 60, technologia PlaneSync zapewnia imponujące możliwości łączności awioniki w celu usprawnienia działań właściciela samolotu przed lotem i po nim. Łączność LTE jest wykorzystywana do zdalnego sprawdzania stanu paliwa i systemów samolotu, natomiast łącznośćLTEiWi-Fimożesłużyćdopobieraniaaktualizacjibazy danych i przesyłania zarejestrowanych podczas lotu danych parametrówpracysilnika.

KompatybilnazpopularnąawionikąGarmin,takąjakseriaGTN Xi, wyświetlacze danych pilotażowych TXi, przyrządy pokładowe GI 275, a także z wybranymi zintegrowanymi systemami awionicznymi, technologia PlaneSync jest dostępna dla szerokiej gamy samolotów lotnictwa ogólnego i biznesowego, wyposażonychwurządzeniafirmyGarmin.

Automatyczneaktualizacjebazdanych

Eliminując czasochłonny proces aktualizacji baz danych za pomocą komputera i karty pamięci, technologia PlaneSync automatycznie pobiera bazy danych do samolotu za pośrednictwem Wi-Fi lub LTE. Pobieranie może nastąpić, gdy samolot jestnapostoju/whangarze,awłaścicieljestzdalaodniego.Po uruchomieniu samolotu niezbędne bazy danych są automatycznie synchronizowane między kompatybilnymi urządzeniami awionicznymi. Eliminuje to potrzebę planowania przez pilotówcyklicznychaktualizacjibazdanychlubręcznegoaktualizowaniabazdanychzapomocąkartpamięci.

Rejestrowanie danych pilotażowych i parametrów pracysilnika

Dzięki funkcji, która pojawi się na początku 2024 r., PlaneSync po wylądowaniu będzie automatycznie przesyłać parametry pracy silnika i dane pilotażowe do bezpiecznego „magazynu” w chmurze. Właściciele będą mogli przeglądać te dane na urządzeniach z aplikacją Garmin Pilot lub na stronie flyGarmin.com i będą mieć możliwość pobierania plików do wglądu dla personelu obsługowego. Dane pilotażowe mogą zawierać pozycję i prędkość wg GPS, informacje o położeniu, a także parametry pracy silnika, jeśli jest odpowiednio dostosowany dowspółpracyzsystemem.

28 DZIAŁ LOTNICZY | AKTUALNOŚCI

Zdalne monitorowanie stanu

samolotu

Technologia PlaneSync pozwoli właścicielom samolotów na zdalne sprawdzanie stanu ich samolotów i ich systemów za pomocą aplikacji Garmin Pilot lub smartwatcha D2 Mach 1. Przy odpowiednim wyposażeniuzdalne funkcje stanu samolotu pozwalają pilotowi sprawdzić lokalizację GPS, ilość paliwa, stan bazy danych, licznik motogodzin, obrotomierz i czas lotu, napięcie akumulatora, temperaturę powietrza zewnętrznego i temperaturę oleju. Jest to wygodne dla aeroklubów lub samolotów mających wielu właścicieli; abonenci usługi mogą przydzielać dostęp innym użytkownikom w celu przeglądania stanu samolotu.

Łącznośćzurządzeniamimobilnymi

Łącze danych GDL 60 oferuje łączność z urządzeniami Garmin Connext, umożliwiając pilotom podłączenie kompatybilnej aplikacji lub urządzenia przenośnego i połączenie ich z awioniką w celu przesyłania planów lotu i przesyłania strumieniowego informacji o pogodzie, ruchu lotniczym, położeniu przestrzennym i innych danych. GDL 60 może również działać jako interfejs do satelitarnego urządzenia komunikacyjnego GSR

56, umożliwiając pilotom korzystanie z wiadomości tekstowych podczas lotu lub inicjowanie połączeń głosowych za pośrednictwem aplikacji Garmin Pilot, co umożliwia pozostawanie w kontakcie praktycznie w dowolnym miejscu na świecie.

Usługa PlaneSync jest dostępna za pośrednictwem trzech prostych opcji planu subskrypcji. Subskrypcje można aktywować za pośrednictwem strony internetowej flyGarmin.com, a opłata za usługę jest naliczana co miesiąc. Zasięg LTE jest dostępnywwiększościkrajównacałymświecie.Cenysubskrypcjimogąsięróżnićwzależnościodtypusamolotu.

Technologia PlaneSync i łącze danych GDL 60 będą dostępne wtrzecimkwartale2023r.GDL60jestzawartywGTNXiPart23 AML STC i w ramach modernizacji do montażu wymaga urządzeniaNAV/COM/GPSGTNXi.

Przedstawiamy Konotopskie Lotnicze Zakłady Remontowe AVIAKON

Współpraca polsko-ukraińska

W 2017 roku nawiązaliśmy współpracę z ukraińskimi Lotniczymi Zakładami Remontowymi

AVIAKON. Z roku na rok jej zakres się rozszerzał i co ważne, nawet wybuch wojny na Ukrainieniestanąłna jejdrodze.

Zakres wzajemnej współpracy obejmuje dostawy przez naszą firmę wyrobów do remontowanych i modernizowanych przez

AVIAKON śmigłowców.

W tym miejscu nie sposób nie wspomnieć o naszym partnerze, który poszczycić się może ponad 90-letną historią swojej działalności. Historia ta sięga 1931 r., kiedy to utworzone zostały warsztaty naprawy samolotów w ramach 18. brygady lotniczej Ukraińskiego Okręgu Wojskowego. Przez te kilkadziesiąt lat firmarozszerzałazakresswoichusługoremonty,przebudowy i przezbrojenia wielu typów śmigłowców, m.in. Mi-2, Mi-6, Mi-8,Mi-10,Mi-Mi-14,Mi-24,Mi-26,Mi-35.

Dziś AVIAKON uchodzi za przedsiębiorstwo wyróżniające się pod względem swojego zaplecza produkcyjnego i techno-

logicznego, posiadające olbrzymie kompetencje do wykonywania prac remontowych i renowacyjnych o wysokim stopniu złożoności. Duża koncentracja zasobów kadrowych, produkcyjnychifinansowychpozwalafirmienaobsługęcałegocyklu życia wiropłatów, począwszy od przeglądu stanu technicznego śmigłowców w miejscach ich eksploatacji, aż po wszelkiego rodzaju remonty, modernizacje, a następnie dalsze wsparcieserwisowe.

Od 2005 roku, wychodząc z potrzeby wymiany przestarzałych i zawodnych części i podzespołów na identyczne, produkowane zarówno przez lokalnych, jak i światowych, czołowych producentów przemysłu lotniczego, AVIAKON opracował iwdrożyłwżycieokoło40BiuletynówSerwisowych.

29 DZIAŁ LOTNICZY | AKTUALNOSCI

Równolegle z opracowywaniem Biuletynów Serwisowych przygotowywane są Uzupełnienia do Instrukcji Użytkowania śmigłowców oraz prowadzone są prace nad opanowaniem produkcji zestawów montażowych do instalacji wyposażenia opcjonalnego.

Od listopada 2011 roku Przedsiębiorstwo Państwowe „Konotop Zakłady Naprawy Samolotów AVIAKON” jest członkiem Państwowego Koncernu „UKROBORONPROM”. Ukraińskie Zakłady Napraw Samolotów AVIAKON w całej swojej historii

niezmiennie cieszą się opinią lidera w zakresie remontów wiropłatów, wykonując wszelkiego rodzaju prace na niezmiennie wysokim poziomie jakościowym. Podstawowym dokumentem aktualnego systemu jakości jest „Księga Jakości”, opartanazadeklarowanej„PolityceJakości”.

Obecna „Polityka Jakości” ma na celu zintegrowanie wysiłków całego personeluzakładuwkwestii zapewnienia jakości produktów i stabilności ekonomicznejnarynku. Dziękujemy firmie AVIAKON za wieloletnią współpracę oraz wspólne spotkanie przedstawicieli obu, naszych firm, podczas którego omawialiśmy dalszy rozwój wzajemnych stosunków.

Spotkanie było także okazją do wręczenia nam okolicznościowej statuetki z okazji jubileuszu 90lecia Konotopskich Lotniczych Zakładów Remontowych AVIAKON.

Nasze propozycje dla pilotów

30 DZIAŁ LOTNICZY | AKTUALNOŚCI
Podkarpackie Pokazy Lotnicze w Mielcu
24
czerwca

Po trzyletniej przerwie spowodowanej pandemią w Mielcu odbyła się kolejna edycja Podkarpackich Pokazów Lotniczych. Niebo nad Mielcem już po raz szósty stało się areną widowiskowych popisów pilotów. Tegoroczna impreza zbiegła się także z obchodami 85-leciaprzemysłulotniczegowMielcu.

Na pokazy przybyły tysiące osób, zarówno mieszkańców Mielca i Podkarpacia, jak również goście z wielu, innych zakątków Polski. Także nasz zespół z działu awioniki z wielką przyjemnościąwziąłudziałwtymwydarzeniu.

Nasza obecność związana była głównie z promocją awioniki Garmin, która od wielu już lat cieszy się dużym zainteresowaniemwśródpilotówstatkówpowietrznych.

Na swoim stoisku odbyliśmy wiele spotkań z obecnymi, jak i mamy nadzieję przyszłymi użytkownikami awioniki od naszego partnera – firmy Garmin.

Miło nam poinformować, że jednym z naszych klientów, którzy użytkują w swoim samolocie, zakupioną u nas w firmie awionikę Garmina jest pochodzący z Podkarpacia Łukasz Czepiela, pierwszy polski pilot w Red Bull Air Race, mistrz świata Klasy Challenger i wybitny pilot akrobacyjny. Na tegorocznych pokazach w Mielcu prezentował on swoje wyjątkowe umiejętności.

Wszyscy, którzy przybyli na lotnisko do Mielca nie mogli czuć się zawiedzeni. Tegoroczne pokazy różnorodnych formacji lotniczych spotkały się z wielkim aplauzem.

Wisienką na torcie był imponujący pokaz z pirotechniką w wykonaniu formacji AeroSPARX, który odbył się jużnocą.Nocneakrobacjesamolotowe z pewnością były nie lada gratką dla wszystkich fanów lotnictwa. My równieżbyliśmypodwrażeniem.

31 DZIAŁ LOTNICZY | AKTUALNOSCI
ZawionikiGarminkorzystapierwszypolskipilotwRedBullAirRace–ŁukaszCzepiela.

PLANESYNC™

Połączone zarządzanie statkami powietrznymi:

Zautomatyzuj aktualizacje bazy danych

Zdalnie sprawdź stan swojego samolotu

Zintegruj urządzenia mobilne ze swoją

awioniką

Płynnie połącz się z samolotem

Uzyskaj łatwy dostęp do danych dotyczących lotu i silnika

Proste wprowadzanie planu lotu

Opcje rozrywki podczas lotu

Globalna komunikacja satelitarna

https://avionics.drabpol.pl/garmin-planesync/

Turn static files into dynamic content formats.

Create a flipbook
Issuu converts static files into: digital portfolios, online yearbooks, online catalogs, digital photo albums and more. Sign up and create your flipbook.