Vector 24

Page 1


VECTOR

OKTOBER 2025 - nummer 24

TIJDSCHRIFT voor wiskundeonderwijs

DE ONEINDIGE STAPELTOREN 3

DE MAGIE VAN HET GETAL 49 22

PYTHAGORAS EN FIBONACCI ONTMOETEN ELKAAR 43

Met medewerking van Uitwiskeling, VVWL (Vlaamse Vereniging van Wiskundeleraars), GeoGebra Instituut, Vlaamse Wiskunde Olympiade, Ars et Mathesis en Pythagoras

3 DE ONEINDIGE STAPELTOREN

TEKENEN MET WISKUNDE 6

14 STATISTIEKOLYMPIADE

GAUSS EN DE REGELMATIGE VEELHOEKEN 16

21 USOLV-IT

DE MAGIE VAN HET GETAL 49 22

28 SPRINGEND NAAR BENEDEN

UITDAGENDE OPGAVEN IN GROEP OPLOSSEN EEN AANPAK GEBASEERD OP HET ‘IMO-SPEL’ 34

38 WONDEREN MET MUNTEN (OF VERBAAS JE VRIENDEN OP CAFÉ)

PYTHAGORAS EN FIBONACCI ONTMOETEN ELKAAR 43

VECTOR

7e jaargang - nummer 24

REDACTIE Bart Delepierre, Daphné Depape, Anke Oderij, Karel Sierens, Esther Verhelst - die Keure, Kleine Pathoekeweg 3, 8000 Brugge, educatief@diekeure.be

EXTERNE AUTEURS die occasioneel of op geregelde basis een bijdrage willen leveren, kunnen contact opnemen met educatief@diekeure.be.

VECTOR is gratis voor alle leerkrachten wiskunde in België.

VERANTWOORDELIJKE UITGEVER die Keure, Kleine Pathoekeweg 3, 8000 Brugge

VORMGEVING EN DRUK Isabelle Tilleman - die Keure, Brugge REACTIES Al je reacties, suggesties en opmerkingen zijn welkom op educatief@diekeure.be

DE ONEINDIGE STAPELTOREN

IN ONZE DAGELIJKSE LEEFWERELD ZIJN AANTALLEN EN GROOTTES ALTIJD

EINDIG. IN DE WISKUNDE DAARENTEGEN HEEFT HET ONEINDIGE NET ZO GOED EEN PLEK. MEESTAL HEEFT ONS VOORSTELLINGSVERMOGEN

DAAR GEEN MOEITE MEE, MAAR SOMS KOMT ONEINDIGHEID VOOR IN EEN VERBAZINGWEKKENDE VORM. ZO ZIJN ER DENKBEELDIGE OBJECTEN MET EEN EINDIG GROTE INHOUD DIE EEN ONEINDIG GROOT OPPERVLAK HEBBEN. EEN POT VERF MET DEZELFDE INHOUD ZOU DAN, LEEGGEGOTEN IN HET INWENDIGE VAN ZO’N OBJECT, TOEREIKEND ZIJN OM DE ONEINDIG GROTE BINNENWAND TE BESTRIJKEN. DIT LIJKT TEGENSTRIJDIG, OOK AL BEN JE OVERTUIGD VAN DE JUISTHEID VAN DE BEREKENINGEN. WAAR HEEFT ONS VOORSTELLINGSVERMOGEN HET DAN MIS?

RIK BIEL

Iedereen kent wel de stapeltoren van kubussen als speelgoed voor peuters. Doorgaans zijn het setjes van tien kubussen van verschillend formaat, om van groot naar klein op elkaar te leggen. Stel je nu eens een toren van kubussen voor met ribben met afnemende lengtes , die zonder einde de hoogte in reikt.

Hoe tellen de oppervlakten van deze kubussen op? De oppervlakte van een enkele kubus met zijn zes vierkante zijvlakken met zijden ter lengte ,is (de kubussen van stapeltorens zijn aan één kant open zodat ze in elkaar kunnen worden geschoven, maar hier gaat het over holle kubussen met dichte zijvlakken). Voor de toren volgt dan de oneindige som 6H met

H heet de harmonische oneindige som. De termen ervan zijn allemaal groter dan nul. Worden ze een voor een bij elkaar opgeteld, dan worden de sommen van het

toenemend aantal termen dus steeds groter. De termen op zich worden van links naar rechts wel steeds kleiner. Er zijn dan twee mogelijkheden: (1) de stijgende sommen blijven kleiner dan een of ander getal (dat groot genoeg is) en de oneindige som heeft een eindige waarde, of (2) ze overstijgen uiteindelijk elk getal dat je maar kunt bedenken (hoe groot dat ook is) en de oneindige som is ‘oneindig groot’.

Figuur 1 geeft een aanschouwelijk bewijs dat de oneindige som H geen eindige waarde heeft.

OPGAVE 1

Probeer voordat je verder leest uit Figuur 1 te beredeneren dat H geen eindige waarde heeft. (Tip: Reken na dat rechthoeken met dezelfde kleur dezelfde oppervlakte hebben.)

Figuur 1a is een weergave van de oneindige som H. De n-de term van H wordt voorgesteld door de oppervlakte van een rechthoek met hoogte 1/n en breedte 1. Figuur 1b heeft dezelfde oppervlakte als Figuur 1a. Een rechthoek in Figuur 1b heeft dezelfde oppervlakte als de

rechthoek in Figuur 1a van dezelfde kleur, omdat ze als volgt met elkaar in verband staan. De rode rechthoek is naar links en omhoog geschoven. De bruine met dikte 1/3 is verdeeld in twee plakken van dikte 1/6 (en dat is 1/2 - 1/3), die naast elkaar zijn gelegd, de linker onder de rode rechthoek. De blauwe met dikte 1/4 is verdeeld in drie plakken van dikte 1/12 (en dat is 1/3 - 1/4), die weer daaronder naast elkaar zijn gelegd. In het algemeen gaat de (n+1)-de rechthoek over in n plakken van dikte 1/(n(n+1)), naast elkaar gelegd op hoogte 1/(n+1) boven het interval [0, n]. Dit patroon zet zich onbeperkt voort. Maar dan blijft de witte rechthoek in figuur 1a met oppervlakte 1 over!

Wordt de gezamenlijke oppervlakte van de gekleurde rechthoeken aangeduid met X, dan zegt Figuur 1a dat H = 1 + X en Figuur 1b dat H = X. Dit kan niet als H een eindige waarde heeft, dus is de som oneindig groot.

Terwijl de kubussen van de toren van beneden naar boven gaand steeds kleiner worden, neemt de gezamenlijke oppervlakte van het toenemend aantal kubussen dus onbegrensd toe.

Figuur 1a
Figuur 1b

Hoe zit het met de inhoud? Een enkele kubus met ribbe met lengte heeft inhoud . Voor de toren volgt dan de oneindige som

Voor S zijn alle sommen van eindig veel termen, anders dan bij H, kleiner dan een vast getal. Dit volgt uit een beschouwing van de som van de eerste 2n + 1 termen. Gegroepeerd in deelsommen:

De laatste deelsom is kleiner dan die ervoor omdat de noemers in de overeenkomende termen telkens groter zijn; vervolgens kan er ook nog een factor buiten haakjes worden gebracht:

Omdat meer termen heeft dan , geldt Uit de twee ongelijkheden volgt , ofwel

Het getal is een afschatting van de som van de eerste termen van S die niet van n afhangt. Elke som van een eindig aantal termen kan worden afgeschat door een voor een geschikt gekozen n, en dus door . Dit getal is een bovengrens van de sommen van eindig veel termen. We schrijven ‘een’ bovengrens, want alle grotere getallen zijn vanzelfsprekend ook bovengrenzen. De kleinste bovengrens, per definitie de waarde van S, blijkt ongeveer 2,612 te zijn.

De inhoud van de kubussen van beneden naar boven bij elkaar optellend, geeft uitkomsten die steeds dichter bij deze waarde komen.

OPGAVE 2

Beschouw meer algemeen de oneindige sommen

H en S vallen hieronder voor respectievelijk p = 1 en p = 3/2 (immers ).

Wat kun je zeggen over de termen voor toenemende n wanneer p < 1, en wat betekent dat voor de oneindige som?

Leid op dezelfde manier als hierboven af dat voor p > 1 (dus ), de hyperharmonische oneindige sommen, geldt dat .

Waarom werkt deze afleiding niet voor p = 1?

De oneindige stapeltoren is dus een object met een eindige inhoud en een oneindige oppervlakte. De op het eerste gezicht moeilijk te geloven uitspraak over de pot verf in de inleiding van dit artikel staat bekend als de schildersparadox. Misschien vind je de beschouwingen hierboven niet helemaal volstaan om de paradox te aanvaarden. Bedenk dan het volgende. Als je de steeds kleinere kubussen achtereenvolgens volgiet met verf, dan beschilder je als het ware hun binnenkant. Je bedekt die zodoende met een steeds dunner laagje, omdat tegenoverliggende zijvlakken steeds dichter bij elkaar komen te liggen. Als je hun buitenkant normaal, met een laag van vaste dikte, beschildert, dan kost het vanaf een zekere kubus meer verf ze te bedekken dan ze te vullen. Voor het netjes afwerken van de buitenkanten is die ene pot verf niet toereikend.

VERWIJZINGEN

De harmonische en hyperharmonische oneindige sommen worden behandeld in het artikel Rare reeksen in Pythagoras 20-4. De stapeltoren wordt besproken op het YouTube-kanaal Up and Atom in de video The Painter’s Paradox – These Weird Objects Will Blow Your Mind: https://www.youtube.com/watch?v=3WVpOXUXNXQ

ARS ET MATHESIS

TEKENEN MET WISKUNDE

HET HERONTDEKTE WERK VAN ALBERT ERNST

BOSMAN

IN 1957 VERSCHEEN HET WONDERE ONDERZOEKINGSVELD DER VLAKKE MEETKUNDE. DAARIN BEHANDELDE IR. A.E. BOSMAN MEETKUNDIGE

ONDERWERPEN DIE NIET VOORKWAMEN IN DE TOEN GANGBARE

SCHOOLBOEKEN, ONDERSTEUND DOOR WERKELIJK PRACHTIGE

TEKENINGEN. ZIJN BOOM VAN PYTHAGORAS (HIERONDER) IS DAAR EEN BEKEND VOORBEELD VAN. HIER GAAT ECHTER DE AANDACHT UIT NAAR ZIJN ONDERZOEK NAAR DE VERDELING VAN EEN CIRKEL, WAT UITEINDELIJK OOK EEN PRACHTIGE TEKENING OPLEVERDE.

KLAAS LAKEMAN, ARS ET MATHESIS

ALBERT ERNST BOSMAN

Albert Ernst Bosman (1891-1961) was een Nederlandse ingenieur, wiskundeleraar en kunstenaar. Hij was in Baarn de overbuurman van de bekende graficus M.C. Escher. Met hem deelde hij een fascinatie voor het verbeelden van wiskundige principes. Met potlood, passer, liniaal en trekpen bracht hij patronen tot leven waarin wiskunde, onderzoek, schoonheid en verwondering samenvallen. Hij sneed daarbij geen lastige of belangwekkende onderwerpen aan. Wat vooral opviel was de manier waarop hij naar de dingen keek en als het ware nieuw wist te maken. Zelfs nu, bijna zeventig jaar na verschijnen van het wondere onderzoekingsveld der vlakke

meetkunde is de manier waarop Bosman zijn onderwerpen benaderde nog steeds bijzonder.

GELIJKE OMTREK, GELIJKE OPPERVLAKTE

In Figuur 1 is een cirkel in twee delen opgesplitst door twee halve cirkelbogen op de middellijn. Onmiddellijk is duidelijk dat beide delen, wit en zwart gelijke oppervlakte hebben, elk de helft van de oppervlakte van de cirkel. Ook is meteen duidelijk dat hun omtrekken gelijk zijn: een halve cirkelboog plus de twee kleinere halve cirkelbogen die niet alleen de middellijn, maar ook de cirkel in tweeën delen. De lengte van die golflijn is eenvoudig te berekenen. Neem aan dat de straal van de cirkel r is. Dan zijn de lengten van de twee delen van de slingerlijn elk ½ · r. Dus samen ∙ r

Dat betekent dat de witte en zwarte visvormige delen elk een omtrek hebben gelijk aan die van de cirkel: 2 ∙ r

ANDERE VERDELING

In Figuur 2 is een cirkel in drie delen opgesplitst: twee licht blauwe en een witte. De beide slingerlijnen die het witte deel afscheiden van de beide blauwe delen bestaan elk uit twee halve cirkelbogen. Deze lijnen hebben elk een lengte

⅔ ∙ r + ⅓ ∙ r = ∙ r.

Daarmee kan worden geconcludeerd dat de lengte van de omtrek van alle drie delen in Figuur 2 gelijk is aan 2 ∙ r, en dus gelijk aan die van de oorspronkelijke cirkel.

Ook hier is zonder meer duidelijk dat de twee licht blauwe delen gelijke oppervlakte hebben. Het ligt dus voor de hand om te veronderstellen dat het witte deel in het midden dezelfde oppervlakte heeft als de twee blauwe delen. Neem voor het gemak ter vermijding van veel breuken net als Bosman, de straal r van de cirkel gelijk aan 3.

Dan is de oppervlakte van elk van de blauwe delen te schrijven als: ½ (32 – 22 + 12 – 02)

Voor de oppervlakte van het witte deel volgt ½ (22 – 12 + 22 – 12)

In beide gevallen bepalen de termen tussen de haakjes de oppervlakte. In het vervolg zal duidelijk worden waarom die termen hier ‘wat overdreven’ worden weergegeven. Berekening geeft in beide gevallen hetzelfde resultaat, dus ook hier hebben de beide blauwe delen en het witte naast gelijke omtrek ook gelijke oppervlakte. Met straal r van de cirkel gelijk aan 3 wordt de omtrek dus 6 en de oppervlakte 3 , terwijl de oppervlakte van de hele cirkel dan gelijk is aan ∙ r2 = ∙ 32 = 9

IN ZESSEN

In zijn boek behandelde Albert Bosman nog een aantal andere opdelingen van de cirkel, zoals een verdeling in zessen (Figuur 3). Op vergelijkbare manier als hiervoor is na te gaan dat deze zes delen een gelijke omtrek en gelijke oppervlakte hebben. Voor wie dat wil doen is het handig om de middellijn van de cirkel gelijk aan 12 te nemen en de straal dus gelijk aan 6.

Figuur 1
Figuur 2
Figuur 3

BUITEN DE CIRKEL

Interessanter is echter dat Bosman zich afvroeg of verdelingen in gelijke omtrekken en gelijke oppervlakten, zoals in de figuren 1, 2 en 3, beperkt blijven tot de ruimte binnen de cirkel en hoe het is met de ruimte daarbuiten.

Ga buiten de cirkel op dezelfde manier te werk als er binnen. Neem bijvoorbeeld Figuur 2. Daar is de middellijn van de cirkel in drie gelijke

stukken verdeeld. Dat levert twee punten op de middellijn, die elk door halve cirkels worden verbonden met de twee uiteinden van de middellijn op de rand van de cirkel. Verleng dan de middellijn buiten de cirkel en pas daarop eenzelfde verdeling toe als binnen de cirkel. Verbind vervolgens de deelpunten eveneens door halve cirkels met de beide uiteinden van de middellijn die op de rand van de cirkel liggen.

In Figuur 4 is zo’n eerste stap buiten de cirkel weergegeven. De middellijn van de cirkel is naar boven toe verlengd met een stuk gelijk aan een derde van de middellijn en dus twee derde van de straal. Het uiteinde van dat stuk is door halve cirkels verbonden met de beide uiteinden van de middellijn die op de rand van de oorspronkelijke cirkel liggen. De vraag is dan of de omtrek en oppervlakte van de donkere figuur buiten de cirkel (Figuur 5A) gelijk zijn aan de omtrek en oppervlakte van de delen binnen de cirkel.

JA, MITS ...

Het antwoord is nee. Maar Bosman ontdekte dat het ja kan zijn, mits ... Bij bepaling van de oppervlakte moet het lichtgrijze deel rechts dan niet bij het donkerblauwe deel links worden opgeteld, wat strikt genomen zou moeten (Figuur 5B), maar er juist van afgetrokken (Figuur 5C). Met de straal van de cirkel net als eerder gelijk aan 3 wordt dan voor de oppervlakte van het donkerblauwe deel in Figuur 5C gevonden: ½ (42 – 32 + 02 – 12).

In Figuur 6 is een volgende stap weergegeven. Die levert voor de oppervlakte: ½ (52 – 42 + 12 – 22).

Merk op dat het donkergrijze deel dat in Figuur 6 van het heel donkerblauwe moet worden afgetrokken bij omklappen niet meer geheel binnen dat heel donkerblauwe stuk valt. Dus kan de resulterende oppervlakte niet in de tekening worden uitgebeeld, zoals in Figuur 5C. Bij alle volgende stappen is dat ook het geval.

Bij een derde stap buiten de cirkel (Figuur 7) wordt de oppervlakte

Figuur 4
Figuur 5

½ (62 – 52 + 22 – 32).

In Figuur 7 zijn de termen die de oppervlakte bepalen (en dus steeds tussen haakjes staan) telkens in de betreffende delen opgenomen. Dat zijn dus de oppervlakten van de delen links van de verlengde middellijn waar de oppervlakten van de delen rechts daarvan steeds zijn afgetrokken.

Figuur 7 is door Bosman uitgebreid en destijds in zwart-wit weergegeven in het wondere onderzoekingsveld der vlakke meetkunde (Figuur 8).

De kwadranten buiten de cirkel rechtsboven en linksonder bevatten de oppervlakten die van die in de naast liggende kwadranten moeten worden afgetrokken om steeds gelijke oppervlakten te krijgen als de drie delen binnen de cirkel.

CONCLUSIE

De gelijkheden uit Figuur 8, de termen die de oppervlakten bepalen, vertonen een zekere wetmatigheid. Die regelmaat is mogelijk ook al op te maken uit Figuur 7. Zet die gelijkheden op volgorde onder elkaar en dan kan het niet uitblijven of de eerstvolgende die helemaal linksboven moet komen, is te voorspellen: 152 – 142 + 112 – 122. En ook de eerstvolgende helemaal rechtsonder: (-11)2 – (-12)2 + 152 – 142.

OMTREK

Bij bepaling van de omtrek werkt het net zo. De kwadranten buiten de cirkel rechtsboven en linksonder bevatten omtrekken die van die in de naast liggende kwadranten moeten worden afgetrokken om steeds

gelijke omtrekken te krijgen als de drie delen binnen de cirkel. Bosman werkte dit niet verder uit, maar dit is niet lastig te controleren. Voor de omtrek van het helderblauwe deel in Figuur 5C (weer met straal van de cirkel r = 3) geldt: (4 + 3 – 1 – 0).

Voor de tweede stap wordt met Figuur 6 gevonden: (5 + 4 – 2 – 1).

En de derde stap met Figuur 7: (6 + 5 – 3 – 2), enz.

De termen tussen de haakjes bepalen steeds de omtrekken. Die zijn telkens 6, waarmee de omtrekken dus 6 ∙ worden. Dat is gelijk aan de omtrek van elk van de drie delen binnen de cirkel en de cirkel zelf. Ook hier vertonen de termen tussen de haakjes een zekere regelmaat, die gemakkelijk is te ontdekken.

ALGEMEEN

Wat met de bekeken driedeling van de cirkel is gedaan binnen en buiten de cirkel kan ook met de tweedeling van Figuur 1 of de splitsing in zessen van Figuur 3 of algemener met elke n-deling van de cirkel die op de aangegeven wijze wordt uitgevoerd. Telkens zullen de delen binnen de cirkel en er buiten gelijke oppervlakten en omtrekken hebben. Voor een eventuele vlotte controle is het handig om de middellijn van de cirkel dan telkens gelijk aan 2 ∙ n te nemen en dus de straal gelijk aan n, zoals bij de opdeling in drieën en in zessen van de figuren 2 en 3. De omtrek van elk deel is gelijk aan die van de cirkel terwijl de oppervlakte het n-de deel is van dat van de cirkel, mits de delen buiten de cirkel op de door Bosman aangegeven manier worden behandeld. Ook kennen alle gelijkheden steeds een zekere wetmatigheid te vergelijken met de regelmaat die uit Figuur 8 naar voren kwam.

Figuur 6
Figuur 7
Figuur 8

BOEK

De oorspronkelijke tekening van figuur 8 is net als de Boom van Pythagoras een waar kunststuk. Enkele jaren geleden wist Fernand Bosman een groot deel van de verloren gewaande tekeningen van zijn grootvader Albert Bosman weer bijeen te brengen. Na grondige restauratie bleek wat een ware kunstwerken het betrof! Afgelopen voorjaar was in het museum Escher in het Paleis onder de titel M.C. Escher & Albert E. Bosman: Een wiskundige verbintenis al een tiental van die originele prenten te bewonderen, waaronder uiteraard de oorspronkelijke Boom van Pythagoras.

In Tekenen met wiskunde – in eigen beheer uitgegeven - zijn een dertigtal teruggevonden tekeningen in groot formaat en in de oorspronkelijke kleuren afgebeeld samen met een aantal

glasnegatieven. Het is een schitterend (kunst)boek geworden. Dat de bijbehorende wiskundige teksten uit het oorspronkelijke boek van Albert Bosman daarin ontbreken is geen enkel bezwaar. In tegendeel, de prenten alleen al dagen juist uit tot aandachtig kijken, vragen stellen en verder denken. Iets wat Albert Bosman oorspronkelijk voor ogen stond met zijn boek.

Naast de prenten werpt Fernand Bosman nieuw licht op het bijzondere leven van zijn grootvader en diens vriendschap met M.C. Escher.

Het boek Tekenen met wiskunde is te bestellen via alberternstbosman.nl en via onderstaande QR-code.

OEFENING 1

De tien kaarten in de figuur liggen voor Luc op tafel. Hij verdeelt de kaarten in vijf paren met dezelfde som. Met welke kaart vormt de kaart met het getal 22 een paar?

OEFENING 2

Een bepaald woord wordt vijf keer doorgestuurd maar wordt slechts één keer correct ontvangen. Elke andere keer worden precies twee letters verkeerd ontvangen. Hiernaast zie je de ontvangen woorden. Welk woord probeert men door te sturen?

De gekleurde figuur hiernaast bestaat uit lijnstukken en kwartcirkels. Wat is de oppervlakte van die figuur? OEFENING 3

OEFENING 4

Van drie van de vier rechthoeken in de figuur is de oppervlakte gegeven. Wat is de oppervlakte van de vierde rechthoek?

OEFENING 5

Domien legt de vier onderstaande dominostenen samen zoals in de figuur, zodanig dat de som van de drie vakjes op elke zijde van het vierkant dezelfde is.

Timo schrapt twee getallen uit de rij 1, 2, 3, 4, 5, 6, 7, 8, 9, 10. Het product van die twee getallen is precies gelijk aan de som van de acht resterende getallen. Wat is de som van de twee geschrapte getallen?

DOE MEE MET DE 7DE EDITIE VAN DE STATISTIEKOLYMPIADE!

BEN JIJ LEERKRACHT IN DE DERDE GRAAD VAN HET SECUNDAIR ONDERWIJS? GRIJP DAN DEZE UNIEKE KANS OM SAMEN MET JE LEERLINGEN OP ONTDEKKINGSTOCHT TE GAAN IN DE WERELD VAN ST AT IST IEK, DAT A EN KRIT ISCH DENKEN!

INSCHRIJVEN KAN VANAF 22 SEPT EMBER VIA WWW.STATISTIEKOLYMPIADE.BE

WAT IS HET?

De Statistiekolympiade is een online teamwedstrijd (1 tot 3 leerlingen per team), exclusief voor leerlingen van de derde graad secundair onderwijs. De Olympiade stimuleert zowel analytische als creatieve vaardigheden aan de hand van echte statistische gegevens.

WANNEER?

De wedstrijd loopt van november 2025 tot mei 2026, met concrete opdrachten in november 2025 en januari/februari 2026.

Nieuw dit jaar: een aangepaste timing met ruimere deadlines, zodat scholen en leerlingen voldoende ruimte hebben om deel te nemen.

HOE WERKT HET?

De Olympiade bestaat uit twee rondes:

1. Online test (november 2025)

Een toets op kennis, kritisch denken en analysevaardigheden.

Nieuw! Kies tussen twee trajecten:

- Traject π (pi) – je leerlingen hebben 5 of meer lesuren wiskunde per week

- Traject σ (sigma) – je leerlingen hebben minder dan 5 lesuren wiskunde per week

2. Video-opdracht (januari-februari 2026)

Leerlingen maken een korte video over een statistisch onderwerp. Hier testen we communicatievaardigheden, creativiteit, data-interpretatie en onderzoekscompetenties.

In mei 2026 nemen de Belgische winnaars het automatisch op tegen teams uit meer dan 20 landen in de Europese finale.

VOOR WIE?

De Statistiekolympiade wordt in heel België georganiseerd, in het Nederlands, Frans en Duits

JOUW ROL ALS LEERKRACHT:

- Je schrijft je team(s) in vóór vrijdag 17 oktober 2025.

- Je fungeert als contactpersoon voor de communicatie.

- Je begeleidt de teams en geeft inhoudelijke feedback.

Tip: Leerkrachten van om het even welk vak kunnen begeleiden. Werk gerust samen met collega’s voor een interdisciplinaire aanpak!

WAT VALT ER TE WINNEN?

- Een trofee voor het winnende team

- Cadeaubonnen voor de leerlingen

- En wie weet… een uitnodiging voor de Europese prijsuitreiking!

WEES ER SNEL BIJ!

- Inschrijven kan vanaf maandag 22 september 2025 op www.statistiekolympiade.be

- Promotiemateriaal ontvang je automatisch op jouw school. Wil je meer materiaal? Neem contact op.

Heb je nog vragen? Contacteer ons via statolympiade@economie.fgov.be

UITWISKELING

GAUSS EN DE REGELMATIGE VEELHOEKEN

INLEIDING

Een idee-fixe bij vele mensen is dat de wiskunde altijd al geweest is wat ze nu is, dat ze al eeuwenlang quasi onveranderlijk wordt doorgegeven, net zoals de bijbel. Het beschrijven van de soms moeizame evolutie van de wiskunde door verschillende tijden en culturen heen is belangrijk om te kunnen begrijpen waar we nu mee bezig zijn.

We schreven in Uitwiskeling een uitgebreid artikel over negen historische fragmenten uit de geschiedenis van de wiskunde die passen bij bepaalde leerstofonderdelen. Sommige fragmenten kun je de avond voor de les nog lezen. Andere geschiedkundige tussendoortjes vragen wat meer voorbereidingstijd. Je kunt korte, geselecteerde stukjes van deze loep gebruiken wanneer de gelegenheid en de interesse van de leerlingen zich voordoen. In elk van de negen fragmenten vermelden we duidelijk waarom we voor dat fragment kiezen en bij welke leerstof en graad de uitweiding past.

In dit artikel belichten we het fragment over Gauss en de regelmatige veelhoeken.

WAAROM DEZE KEUZE?

De grote wiskundigen uit de klassieke oudheid krijgen de meeste belangstelling in de literatuur en bij uitbreiding ook in onze lessen: Euclides, Archimedes ... De belangrijke kopstukken uit de achttiende en de

negentiende eeuw krijgen die veel minder: Euler, Gauss ... Carl Friedrich Gauss (1777-1857) niet bespreken in de wiskundeles is van eenzelfde orde als het niet ter sprake brengen van Napoleon in de geschiedenisles.

Beide tijdgenoten zijn elk in hun eigen werkdomein zeer invloedrijk geweest.

BIJ WELKE GELEGENHEID?

In de derde graad komen er heel wat thema’s aan bod die rechtstreeks in verband staan met Gauss. Zo worden stelsels van eerstegraadsvergelijkingen in het vijfde jaar opgelost door het rijherleiden van een uitgebreide matrix via de methode van GaussJordan. In de statistiek maken we gebruik van de normale verdeling en de kleinste-kwadratenmethode.

Beide onderwerpen werden voor het eerst door Gauss beschreven.

Ook bij de leerstof van complexe getallen kun je iets over Gauss vertellen. We stellen complexe getallen grafisch voor in het vlak van Gauss. En wanneer we het later hebben over de hoofdstelling van de algebra die zegt dat elke complexe veelterm van de n-de graad precies n nulwaarden heeft, dan hebben we het eerste bewijs van deze stelling ook te danken aan Gauss. Ook in de lessen meetkunde wanneer de cirkel aan bod komt, kun je tijd maken voor een korte uitweiding over de uitzonderlijke prestatie van de 19-jarige Gauss die erin slaagde een manier te bedenken om enkel met een passer en een latje een regelmatige zeventienhoek te tekenen, ingeschreven in een gegeven cirkel.

HET LEVEN VAN GAUSS

Carl Friedrich Gauss werd in 1777 in een volks gezin geboren in Braunschweig, een stadje in het koninkrijk Hannover (nu centraal Duitsland). Zijn vader was tuinman en bouwopzichter, zijn moeder was een dienstmeid die geen onderwijs had genoten. Carl Friedrich zou wellicht ook geen hogere onderwijskansen hebben gekregen, mocht hij niet opgemerkt zijn door zijn mecenas, de hertog van Braunschweig, die hem een toelage gaf om op 15-jarige leeftijd naar het Collegium Carolinum van Braunschweig te gaan en op 18-jarige leeftijd naar de universiteit van Göttingen, een honderdtal kilometer verderop.

Volgens een wijdverspreide anekdote verbaasde de jonge Carl Friedrich zijn meester in de lagere school al door in enkele ogenblikken een lange rekenopdracht uit te voeren waarmee de leerkracht de klas zoet probeerde te houden. Hij gaf hen de opdracht de getallen van 1 tot 100 op te tellen. Carl Friedrich had het inzicht om deze getallen twee aan twee op te tellen: 1 met 100, 2 met 99… en 50 met 51. Zo verkreeg hij in een oogwenk 50 sommen die gelijk waren aan 101. Volgens bepaalde biografieën toonde Gauss zijn antwoord (5050) aan de meester met de woorden ‘Ligget se’ (hier heb je ze).

Om onduidelijke redenen ruilde Gauss in 1798 de universiteit van Göttingen in voor de kleinere en minder gereputeerde universiteit van Helmstedt, dichter bij huis. Daar diende hij een jaar later zijn proefschrift in waarin hij de hoofdstelling

van de algebra bewees over het aantal nulwaarden van een veeltermvergelijking van graad n.

In 1801, op 23-jarige leeftijd, publiceerde hij zijn belangrijkste werk, de ‘disquisitiones arithmeticae’ (Latijn voor ‘rekenkundig onderzoek’), waarin hij het modulorekenen introduceerde. Sommige onderwerpen hieruit had hij al jaren eerder uitgedacht. Zo kondigde hij al in 1796 aan een constructie gevonden te hebben voor de regelmatige zeventienhoek, maar gaf hij zijn geheimen pas prijs in de ‘disquisitiones arithmeticae’. Met deze vroegtijdige aankondiging veroverde Gauss als jonge snaak de bewondering van de brede wiskundige gemeenschap.

Figuur 1 – Carl Friedrich Gauss (1777-1855) op een bank- biljet van 10 Duitse Mark.
Figuur 2 – De heliotroop van Gauss op een bankbiljet van 10 Duitse Mark

Gauss heeft niet zo lang van de gunsten van zijn mecenas kunnen genieten. Toen de hertog van Braunschweig in 1806 na verwondingen in de Slag van Jena overleed en Westfalen in handen viel van Jérôme Bonaparte (een broer van Napoleon), kreeg Gauss het financieel moeilijk. Om zijn gezin te onderhouden, aanvaardde hij het ambt van directeur van het sterrenkundig observatorium van Göttingen.

Toen Gauss kort na het overlijden van zijn eerste vrouw hertrouwde en een nieuw gezin stichtte, aanvaardde hij ook de opdracht om heel Hannover op te meten door middel van de driehoeksmeting. De naburige meetpunten die zich op kerktorens en bergtoppen bevonden, kon hij wederzijds zichtbaar maken door zijn pas uitgevonden heliotroop, een toestel dat zonlicht kon opvangen en nauwkeurig in een andere richting kon weerkaatsen. Om zijn opdracht als landmeter uit te voeren, was Gauss soms maanden van huis. Hij vond elke dag dat hij met landmeting bezig was een verlies voor de wetenschap, maar kon dit verlies ook relativeren.

In de jaren ’30 van de negentiende eeuw was de kennis van de aarde nog niet wat ze nu is. Men twijfelde nog of de vorm van de aarde een oblate (pilvormige) of een prolate (sigaarvormige) ellipsoïde was. Er waren discussies of de aarde twee of vier magnetische polen heeft. Om uitsluitsel te geven, werden er verre expedities gedaan en werden er observatoria voor aardmagnetisme opgericht.

In 1833 bouwde Gauss samen met zijn goede vriend Max Weber het eerste magnetische observatorium in Göttingen. Rond die tijd knutselden Gauss en Weber ook de eerste elektromagnetische telegraaf in elkaar. In zijn briefwisseling was Gauss lyrisch over deze uitvinding en zelfs visionair:

De keizer van Rusland zou hiermee zijn bevelen binnen een minuut zonder tussenstations kunnen overbrengen van Sint-Petersburg naar Odessa.

Naar het einde van zijn leven werd Gauss minder productief. Hij had een zwakke gezondheid, hij leed aan astma en had aanvallen van depressiviteit. Carl Friedrich Gauss stierf op 23 februari 1855 aan een hartaanval.

REGELMATIGE VEELHOEKEN

Niet elke regelmatige, in een cirkel ingeschreven n-hoek is met enkel een passer en een latje te construeren (dus volgens de regels van de Griekse oudheid). Dit is wel mogelijk voor n gelijk aan 3, 4, 5, 6, 8, 10,… In de Almagest van Ptolemaeus (rond 100 na Christus) kunnen we deze constructies al terugvinden. We laten die van de vijfhoek, de zeshoek en de tienhoek hier even zien.

Gegeven is de cirkel c met middelpunt M en met twee onderling loodrechte middellijnen [BC] en [DE], (zie Figuur 3). Deel het lijnstuk [MC] in twee door middel van een hulpcirkel en een hulplijnstuk. Het punt A is het midden van [MC].

Vervolgens teken je een hulpcirkel met middelpunt A en met straal AE

3 – Het middelpunt van een straal

Deze cirkel snijdt het lijnstuk [BM] in het punt H dat tussen B en M ligt. De driehoek EHM (figuur 4) is de basisdriehoek voor het tekenen van de ingeschreven regelmatige 5-hoek, 6-hoek en 10-hoek. De schuine zijde van deze rechthoekige driehoek is de zijde van de regelmatige 5-hoek, de lange rechthoekszijde is de zijde van de regelmatige 6-hoek en de korte rechthoekszijde is de zijde van de regelmatige 10-hoek.

4 – De basisdriehoek

Figuur
Figuur

Pas de zijden van deze veelhoeken nu af op de cirkelomtrek. In Figuur 5 deden we dit voor de 5- en de 10-hoek. Met de 6-hoek erbij zou de tekening te overladen zijn. Onder andere in Kindt 2015 vind je een bewijs van de constructie met de basisdriehoek voor de 5-, 6- en 10-hoek.

Sinds de oudheid bleef de theorie van de construeerbare regelmatige veelhoeken onaangeroerd. Dit bleef zo tot de 19-jarige Gauss de wereld na anderhalf millenium plots verbaasde met de aankondiging van een constructie voor een regelmatige 17-hoek, die pas gepubliceerd zou worden wanneer de theorie helemaal uitgewerkt was. Vijf jaar later (in 1801) publiceerde hij effectief zijn Disquisitiones Arithmetica waarvan het laatste gedeelte een volledig uitgewerkte studie was van de construeerbaarheid van de regelmatige n-hoeken.

Naast de constructie van de regelmatige 17-hoek bewees Gauss welke regelmatige n-hoeken er nog meer construeerbaar waren.

Hiervoor had hij de priemgetallen van Fermat nodig. Deze priemgetallen zijn van de vorm Fn = 22n + 1 met n een natuurlijk getal. Momenteel zijn er slechts vijf priemgetallen van Fermat bekend. Maar in de tijd van Euler was men er van overtuigd dat er meer Fermatpriemgetallen waren. Euler toonde met zijn extreme rekenvaardigheid aan dat F5 deelbaar was door 641. Een zeer kort en bevattelijk bewijs van de deelbaarheid van F5 door 641 vind je in Kindt 2015.

Door de passer-en-liniaalconstructie van de bissectrice van een hoek, kan het aantal zijden van een construeerbare regelmatige veelhoek verdubbeld worden. Als een vijfhoek construeerbaar is, zijn ook een tienhoek en een twintighoek construeerbaar.

Gauss bewees dat de construeerbare regelmatige n-hoeken met een oneven aantal zijden precies deze zijn waarvoor n een product is van meerdere, verschillende priemgetallen van Fermat. Zo is de regelmatige 51-hoek construeerbaar want 51 = 3 · 17. En ook de regelmatige 255-hoek want 255 = 3 · 5 · 17. Maar de regelmatige 45-hoek is dit niet want 45 = 3 · 3 · 5. De priemfactoren zijn hier niet verschillend.

Met de Fermatpriemgetallen die nu gekend zijn, blijft het aantal construeerbare regelmatige veelhoeken met een oneven aantal zijden zeer beperkt. Het zijn er 31, tel maar na. Het is echter niet geweten of er nog andere Fermatpriemgetallen zijn dan de vijf gekende.

Tabel 1 – De vijf gekende priemgetallen van Fermat

Tot slot nog een klein staartje aan deze uitweiding. Kun je met een passer en een latje een hoek van 3° tekenen? En een hoek van 1°? Ziehier het antwoord op de eerste vraag. Een regelmatige 120-hoek is construeerbaar want 120 = 23 · 3 · 5. Een 3 · 5-hoek is immers construeerbaar volgens het criterium van Gauss en je mag altijd vermenigvuldigen met een macht van 2. Dit betekent dat een hoek van 3* construeerbaar is want deze hoek is de middelpuntshoek die een zijde van de regelmatige 120-hoek ondersteunt. Wat het antwoord op de tweede vraag betreft:als de hoek van 1° construeerbaar zou zijn, zou dit betekenen dat de 360-hoek te tekenen is met een passer en een latje. Maar dat is hij niet want 360 = 23 · 32 · 5. De oneven

Figuur 5 – De ingeschreven 5- en 10-hoek
Figuur 6 – Constructie van zeventienhoek volgens Gauss

priemfactoren zijn niet allemaal verschillend. De hoek van 1° is dus niet construeerbaar.

HET GROOTSTE

VERMISTE VOORWERP

Voor 1800 kenden de wetenschappers zeven planeten. Er waren gezaghebbende Duitse filosofen zoals Hegel die met wijsgerige argumenten verkondigden dat er nooit meer dan zeven planeten zouden gevonden worden. T och op 1 januari 1801 echter ontdekte de onbekende Italiaanse astronoom Giuseppe Piazzi op 1 januari 1801 een achtste planeet vanuit zijn sterrenwacht in Palermo op Sicilië. Hij doopte de planeet Ceres naar de Romeinse godin van de akkerbouw (de Griekse godin Demeter). Voor de astronomen kwam deze ontdekking niet als een volledige verrassing. Er waren immers onverklaarbare afwijkingen opgemeten in de ellipstische banen van de planeten Mars en Jupiter. Wij kennen Ceres nu als de grootste planetoïde in de gordel tussen Mars en Jupiter.

Piazzi volgde de baan van Ceres van 1 januari tot 11 februari. Daarna bleek ze vermist te zijn. Ze volgde echter keurig haar baan in de ‘schaduw van de zon’. Piazzi bezat op dat moment maar informatie over een boogsegment van 9° van de baan van Ceres, wat volgens de toenmalige wetenschappers onvoldoende was om de hele baan vast te leggen.

In 1833 bouwde Gauss samen met zijn goede vriend Max Weber het eerste magnetische observatorium in Göttingen. Rond die tijd knutselden Gauss en Weber ook de eerste elektromagnetische telegraaf in elkaar. In zijn briefwisseling was Gauss lyrisch over deze uitvinding en zelfs visionair:

De keizer van Rusland zou hiermee zijn bevelen binnen een minuut zonder tussenstations kunnen overbrengen van Sint-Petersburg naar Odessa.

Naar het einde van zijn leven werd Gauss minder productief. Hij had een zwakke gezondheid, hij leed aan astma en had aanvallen van depressiviteit. Carl Friedrich Gauss stierf op 23 februari 1855 aan een hartaanval.

Tijdens de laatste voorbereidingen voor de druk van zijn Disquisitiones Arithmeticae nam Gauss, die zeer geïnteresseerd was door deze mysterieuze verdwijning, de tijd om de baan van Ceres te voorspellen. Zijn berekening week sterk af van de berekeningen van zijn collegaastronomen. Maar Gauss had het bij het rechte eind. Op oudejaarsavond herontdekte een amateurastronoom de planetoïde Ceres. De reputatie van Gauss als een briljant wetenschapper kreeg in 1801 in heel Europa dus een dubbele boost, door de publicatie van zijn belangrijkste werk en door het terugvinden van het grootste vermiste voorwerp ooit. De Franse wiskundige Laplace noemde hem ‘een buiten-aardse geest in een

menselijk lichaam’. Enkele maanden nadien kwam er een tweede planetoïde in beeld, Pallas. Gauss die er op gebrand leek om de betrouwbaarheid van zijn methode te bewijzen, berekende de baan in slechts enkele uren.

Dit artikel is een stuk uit een uitgebreid artikel met negen fragmenten uit de geschiedenis van de wiskunde, verschenen in Uitwiskeling 39/3. Op www.uitwiskeling.be vind je alle info.

BRONNEN

Kindt, M. (2015). Wat te bewijzen was. Freudenthal Instituut.

Wat is usolv-it?

• een elektronisch oefen-, toets- en inspiratieplatform met meer dan 27.000 oefeningen, voorzien van uitgewerkte oplossingen en veel meer, kant-en-klaar voor leerkracht en leerling. De focus ligt op wiskunde en natuurwetenschappen en de inhoud groeit met meer dan 700 oefeningen per jaar.

• een gebruikersgroep, aanwezig in elke Vlaamse universiteit en in meer dan 450 scholen.

Met een

schoollidmaatschap kan

Elke leerkracht

- onbeperkt inspiratie opdoen en oefeningen samenbrengen voor oefen- of toetssessies, klassiek op papier of online; - samenwerken met andere leerkrachten in de school rond oefenreeksen of hun favoriete oefeningen.

- op de hoogte blijven van de inhoud van alle voorbije en actuele start- en ijkingstoetsen, en de toelatingsexamens arts, tandarts en dierenarts.

- de voortgang van de eigen leerlingen volgen via de Smartschool-koppeling. - eigen oefeningen toevoegen en beschikbaar maken voor de gebruikersgroep.

Elke leerling van de derde graad in de school persoonlijk en doelgericht oefenen voor starttoetsen, ijkingstoetsen en toelatingsexamens

met de unieke Athena-module, zodra die leerling deelneemt aan de wiskunde-olympiade of een natuurwetenschappen-olympiade. Al vroeg in het schooljaar!

Wist je dat usolv-it ook oefenmogelijkheden biedt op basis van o.a. start- en ijkingstoetsen, de wiskunde- en chemie-olympiade en kangoeroe-edities?

Info en toegang op: www.usolvit.be

Van bij de start met inhoudelijke steun van de Vlaamse Wiskunde Olympiade. Gebouwd en gegroeid met projectsteun van de Vlaamse Overheid, KU Leuven en UGent

Coördinatie: Prof. dr. ir. Tinne De Laet en Prof. dr. Paul Igodt

Maak via het usolv-it

YouTube-kanaal kennis met de verschillende functionaliteiten van usolv-it

DE MAGIE VAN HET GETAL 49

In 1976 – precies 49 jaar geleden –scoorde de Zweedse popgroep ABBA haar grootste hit met Dancing Queen. In hetzelfde jaar werd ook de Apple Computer Company opgericht door Steve Jobs, Steve Wozniak en Ronald Wayne. Ook in 1976 studeerde aan de KU Leuven de eerste lichting wisen natuurkundestudenten af, die in 1972 hun studies aan de KULAK in Kortrijk begonnen. Zelf behoorde ik tot deze groep studenten. Redenen genoeg om een boek te schrijven met als titel ’De magie van het getal 49’. Hierin verzamelde ik een aantal weetjes, raadsels, puzzels, spelletjes, rekentrucs met getallen

en met speelkaarten rond het getal 49. Hierbij een voorproefje!

WAAROM IS 49 EEN

BIJZONDER GETAL?

Het getal 49 is een kwadraatgetal en beide cijfers 4 en 9 zijn zelf ook kwadraatgetallen. Bovendien is 49² = 2401 en 2 + 4 + 0 + 1 = √49.

HET GETAL 49 EN DE DRIEHOEK VAN PASCAL

Op verschillende manieren kan je kwadraten ontdekken via sommen en verschillen

van getallen in de driehoek van Pascal. We nemen 7² = 49 als voorbeeld:

7² = 21 + 28

7² = 84 – 35

7² = (210 + 35) – (126 + 70)

7² = (36 – 7) + (28 – 8).

Controleer nu zelf eens of analoge bewerkingen gelden voor 8² = 64. Kan je ook de algemene formules bewijzen voor n2?

EEN

ZOEKERTJE (ENKEL VOOR WISKUNDIGE BOLLEBOZEN!)

Op de tekening staan vier vierkanten. Van drie ervan staat de oppervlakte op de figuur.

Wat is de oppervlakte van het grootste vierkant? En waarom?

TIP. Pas de cosinusregel toe.

MAGISCHE GETALLENKAARTJES

Hieronder staan 30 kaartjes in vijf verschillende kleuren. Kies van elke kleur één kaartje en tel de getallen op die kaartjes bij elkaar op. De som is een getal van vier cijfers. Splits dat getal in twee groepjes van twee cijfers: de voorste twee en de laatste twee.

Wat is de som van die twee getallen? Waarom kom je altijd dit getal uit, onafhankelijk van de vijf gekozen kaartjes?

EEN WEETJE

491 = 49

49³ = 117649

495 = 282475249

497 = 678223072849 …

49² = 2401

494 = 5764801

496 = 13841287201

498 = 33232930569601 …

Alle ONEVEN positieve gehele machten van 49 eindigen op 49. Alle EVEN positieve gehele machten van 49 eindigen op 01.

Verklaring (enkel voor wiskundige bollebozen!).

Om dit te begrijpen heb je modulorekenen nodig:

49 49 (mod 100) en 49² = 2401 1 (mod 100).

Voor ONEVEN machten van 49 geldt: 492k + 1 = 49 (49²)k 49 1k (mod 100) en bijgevolg is 492k + 1 49 (mod 100).

Voor EVEN machten van 49 geldt: 492k = (49²)k . 1k (mod 100) en dus is 492k 1 (mod 100).

EEN REKENSPELLETJE

Een gelukkig getal (Engels: happy number) is een speciaal positief geheel getal dat bepaald wordt door de volgende werkwijze: - kwadrateer de afzonderlijke cijfers van het getal; - de som van deze kwadraten vormt een nieuw getal; - herhaal deze procedure totdat je in een lus van dezelfde getallen terechtkomt, ofwel tot het getal 1 optreedt;

- wordt het getal 1 bereikt, dan is het oorspronkelijke getal een gelukkig getal.

We controleren of 49 een gelukkig getal is:

- 4² + 9² = 16 + 81 = 97;

- 9² + 7² = 81 + 49 = 130;

- 1² + 3² + 0² = 1 + 9 + 0 = 10;

- 1² + 0² = 1 + 0 = 1 en zo wordt uiteindelijk het getal 1 bereikt.

We controleren of 29 een gelukkig getal is:

- 2² + 9² = 4 + 81 = 85;

- 8² + 5² = 64 + 25 = 89;

- 8² + 9² = 64 + 81 = 145;

- 1² + 4² + 5² = 1 + 16 + 25 = 42;

- 4² + 2² = 16 + 4 = 20;

- 2² + 0² = 4 + 0 = 4;

- 4² = 16;

- 1² + 6² = 1 + 36 = 37;

- 3² + 7² = 9 + 49 = 58;

- 5² + 8² = 25 + 64 = 89 en omdat 89 al eerder opdook in de berekeningen zal er hier een lus ontstaan en kan dit procedé nooit eindigen op 1.

Zoek nu zelf eens uit welk van de vier onderstaande getallen een gelukkig getal is.

EEN LEEFTIJDENRAADSEL (ENKEL VOOR WISKUNDIGE BOLLEBOZEN!)

Alberto was 4 jaar geleden 15 keer zo oud als zijn zoon Lorenzo. Vorig jaar was hij nog maar 8 keer zo oud als zijn zoon. Over hoeveel jaar zal hij precies 7 keer zo oud zijn als zijn zoon?

HET GETAL 49 EN DE STELLING VAN PYTHAGORAS

Het getal 49 is op een unieke manier (op een permutatie na) te schrijven als de som van de kwadraten van drie positieve gehele getallen. Dit kan op de volgende manier geïllustreerd worden:

23 + 32 + 62 = 49

Kan je nu zelf twee verschillende manieren bedenken om 49 te schrijven als de som van de kwadraten van vier positieve gehele getallen?

ANTWOORDEN HET GETAL

49

EN DE DRIEHOEK VAN PASCAL

Wie vertrouwd is met formules en berekeningen met binomiaalcoëfficiënten, verwijzen we graag door naar de website van Alexander Bogomolny: https://www.cut-the-knot.org/arithmetic/ algebra/SquaresInPascal.shtml.

EEN ZOEKERTJE (ENKEL VOOR WISKUNDIGE BOLLEBOZEN!)

Noem x² de gezochte oppervlakte. We passen twee keer de cosinusregel toe: (merk op dat α en β supplementaire hoeken zijn, zodat cos α = − cos β)

? 25 9 19 β α

19 = 9 + 25 − 2 ∙ 3 ∙ 5 ∙ cos α x2 = 9 + 25 + 2 ∙ 3 ∙ 5 ∙ cos α

72 60 13 25 49

Dan is 19 + x2 = 2 ∙ (9 + 25) zodat x2 = 49.

MAGISCHE

GETALLENKAARTJES

Op de rode kaartjes is de som van het aantal honderdtallen en het aantal eenheden telkens 7. Als a het cijfer van de honderdtallen is, dan is 7 – a het cijfer van de eenheden. Bovendien is op die vijf kaartjes het cijfer van de tientallen gelijk aan 8.

Ga dan zelf eens na wat er aan de hand is met de getallen op de kaartjes met een andere kleur. Noem het cijfer van de honderdtallen op de vijf soorten kaartjes a, b, c, d en e.

Wat blijkt nu?

Het getal gevormd door de eerste twee cijfers van de som van de vijf gekozen getallen is a + b + c + d + e + 3. Deze laatste 3 is afkomstig van de som van de cijfers van de tientallen op de vijf kaartjes: 8 + 7 + 6 + 5 + 4 = 30 (30 tientallen is gelijk aan 3 honderdtallen).

Het getal gevormd door de laatste twee cijfers is 7 – a + 10 – b + 9 – c + 12 – d + 8 – e en dit is gelijk aan 46 – (a + b + c + d + e). En uiteraard is (a + b + c + d + e + 3) + 46 – (a + b + c + d + e) = 49.

EEN REKENSPELLETJE

Van die vier getallen is enkel het ‘ongeluksgetal’ 13 een gelukkig getal.

EEN LEEFTIJDENRAADSEL

Alberto is nu 49 jaar en zijn zoon Lorenzo is 7 jaar. Dit kan uiteraard met een stelsel opgelost worden. Noem v de leeftijd van de vader en z de leeftijd van de zoon. Dan is 15(z – 4) = v – 4 en 8(z – 1) = v – 1 zodat 15z – v = 56 en 8z – v = 7. Hieruit leidt men dan gemakkelijk af dat z = 7 en v = 49.

HET GETAL 49 EN DE STELLING VAN PYTHAGORAS

1² + 4² + 4² + 4² = 49 en 2² + 2² + 4² + 5² = 49.

REFERENTIE

Het boek ‘De magie van het getal 49’ telt 67 pagina’s. De meeste tekeningen en figuren in dit boek zijn gemaakt met behulp van artificiële intelligentie.

Wie belangstelling heeft voor dit boek kan contact opnemen met de auteur via e-mail: lucgheysens@yahoo.com.

Dr. Luc Gheysens is wiskunstenaar en ere-pedagogisch adviseur wiskunde van het Katholiek Onderwijs Vlaanderen. Hij heeft een levendige belangstelling voor recreatieve wiskunde, probleemoplossend denken, euclidische meetkunde, geschiedenis en didactiek van de wiskunde en functioneel ICT-gebruik. Sinds het einde van zijn studententijd (1976) is hij reeds 49 jaar actief met wiskunde bezig.

OEFENING 7

Hoeveel van de volgende vijf beweringen zijn correct?

OEFENING 8

Een balk wordt gesneden door twee vlakken die evenwijdig zijn met het grondvlak zoals in de figuur. Een ruimtediagonaal snijdt die twee vlakken in de punten A en B. Wat is de lengte |AB|?

PYTHAGORAS

SPRINGEND NAAR BENEDEN

OP 14 MAART VOND DE T WEEDE RONDE VAN DE NEDERLANDSE WISKUNDE

OLYMPIADE PLAATS. HIERVOOR WAREN BIJNA DUIZEND LEERLINGEN VERSPREID OVER HEEL NEDERLAND UITGENODIGD, DIE EEN UITSTEKEND RESULTAAT HADDEN NEERGEZET BIJ DE EERSTE RONDE. ZIJ KREGEN TWEEËNHALF UUR DE TIJD VOOR VIJF B-OPGAVEN, WAARBIJ ENKEL EEN

KORT ANTWOORD VAN BELANG WAS, EN TWEE UITDAGENDE C-OPGAVEN, WAARBIJ NAAST EEN ANTWOORD OOK OM EEN BEWIJS WERD GEVRAAGD.

OPGAVE C1 GING OVER EEN AAP DIE HEEN EN WEER SPRINGT T USSEN DE BENEN VAN EEN DRIEHOEK EN ZO EEN VRIJ WILLEKEURIG PAD LIJKT AF TE LEGGEN. TENMINSTE, TOTDAT JE GOED KIJKT NAAR WAT ER ÉCHT AAN DE

HAND IS. INGMAR GUNS, WINNAAR VAN HET BELOFTEPROGRAMMA VAN DE WISKUNDE OLYMPIADE, LEGT JE GRAAG UIT HOE DEZE OPGAVE IN ELKAAR STEEKT.

INGMAR GUNS

OPGAVE

C1. Een aap zit in de top P0 van een zeer hoge gelijkbenige driehoek met tophoek en een horizontale basis. Hij maakt telkens even grote sprongen, waarbij hij afwisselend landt op de linkerzijde en de rechterzijde van de driehoek. Hij springt nooit terug naar zijn vorige positie, maar altijd naar een positie die verder van P0 ligt dan het vorige punt op die zijde. Zodra hij geen sprong meer kan maken die aan deze voorwaarden voldoet, stopt hij. De punten waarop

de aap achtereenvolgens neerkomt, noemen we P1 , P2 ,… , P n . Hieronder zie je twee voorbeelden voor n = 4.

(a) Stel de aap springt vier keer (n = 4) en de laatste sprong is horizontaal, oftewel, |P0 P3 | = |P0 P4|. Bereken de tophoek van de driehoek.

(b) Stel de tophoek van de driehoek is 6 graden. Hoe vaak kan de aap dan maximaal springen? (De driehoek is zo hoog dat hij op de grond nooit bereikt.)

Op het eerste gezicht lijkt deze opgave erg abstract. Er zijn weinig lengtes of hoeken gegeven om op te bouwen en de route van de aap verandert ook nog eens voor elke verschillende driehoek die je tekent. Vaak is het in zo’n geval, als je eigenlijk niet weet waar je moet beginnen, handig om gewoon maar iets te proberen en te kijken of je een vermoeden kan krijgen van wat je wil bewijzen. Zo’n vermoeden is bij de Wiskunde Olympiade vaak al een groot deel van je antwoord en het maakt de rest van het bewijs een stuk makkelijker.

Laten we beginnen met kijken naar de eerste paar sprongen van de aap. Hij springt als eerste van P0 naar P1, langs de linkerzijde van de driehoek. Vervolgens springt hij van P1 naar P2 op de andere zijde van de driehoek en daarna van P2 naar P3, waarbij hij weer terugkomt op de zijde waar P1 ook op ligt. In de opgave is gegeven dat elke sprong van de aap even lang is, dus we weten dat |P0 P1| = |P1 P2| = |P2 P3|, etc.

Nu we dit weten, kunnen we iets zeggen over de patronen die de aap maakt tijdens het springen. Elke driehoek die de aap maakt door twee keer te springen, is namelijk gelijkbenig. Zo is driehoek P0P1P2 gelijkbenig met tophoek ∠P0P1P2 omdat |P0 P1| = |P1 P2|, is driehoek P1P2P3 gelijkbenig met tophoek ∠P1P2P3 omdat |P1 P2| = |P2 P3| en is elke volgende driehoek die de aap creëert door heen en weer te springen ook gelijkbenig. Dit is nuttig, want het helpt bij het berekenen van de hoeken die de aap maakt tijdens het springen.

1

FIGUUR 1

Als er geen hoeken gegeven zijn, zoals bij deze opgave, komt het bij meetkundeopgaven vaak van pas om zelf een hoek te benoemen, en daarmee verder te rekenen. Op die manier kun je de andere hoeken in deze benoemde hoek uitdrukken, wat erg handig is voor het bewijzen van bepaalde eigenschappen zoals gelijkvormigheid. Het benoemen van bepaalde dingen die je vaak gebruikt in je bewijs kan je ook nog eens helpen om je bewijs overzichtelijk te houden, dubbel handig dus!

In de opgave is het benoemen van deze hoek al voor ons gedaan, de tophoek van de grote driehoek, ∠P1P0P2 is namelijk α. Daarnaast noemen we de hoek tussen de spronglijn van de aap en het lijnstuk van P0 naar het punt waarop de aap landt, de landingshoek. De landingshoek na sprong n noteren

2

∠P15P16P0 ( = ∠P

en is

16

P16P14). Nu we een beter beeld hebben van hoe de aap precies springt, kunnen we de vragen beantwoorden:

FIGUUR 2, MET α EN DE LANDINGSHOEK

TWEE KEER HEEN EN WEER:

Voor onderdeel a willen we weten wat de tophoek van de driehoek is als de vierde sprong van de aap horizontaal is. Laten we kijken naar de eerste vier sprongen van een aap in een driehoek met tophoek α en kijken of we daarmee verder komen:

∠L1 = 0o en ∠L2 = ∠P1P2P0 , maar dit is gelijk aan de tophoek van de grote driehoek, omdat driehoek P0P1P2 gelijkbenig is met tophoek

∠P0P1P2. De landingshoek na zijn tweede sprong is dus ∠L2 = ∠P1P2P0

= ∠P1P0P2 = α

Figuur
Figuur

Omdat ∠P1P2P0 = ∠P1P0P2 = α, weten

we door de hoekensom van de driehoek dat: ∠P0P1P2 = 180o - 2α

Door de gestrekte hoek bij P1 weten

we dan dat ∠P2P1P3 = 180o - ∠P0P1P2

= 180o - (180o - 2α) = 2α . Driehoek

P1P2P3 is gelijkbenig met tophoek

∠P1P2P3, dus ∠L3 = ∠P2P3P0 = ∠P2P3P1

= ∠P2P1P3 = 2α. Hieruit volgt door de hoekensom van driehoek P1P2P3

weer dat ∠P1P2P3 = 180o - ∠P2P1P3

- ∠P2P3P1 = 180o - 4α. Door de gestrekte hoek bij P2 weten we dat

∠P3P2P4 = 180o - ∠P1P2P0 - ∠P1P2P3 = 180o - α - (180o - 4α) = 3α. Driehoek

P2P3P4 is gelijkbenig met tophoek

∠P2P3P4, dus ∠L4 = ∠P3P4P0 = ∠P3P4P2

= ∠P3P2P4 = 3α.

FIGUUR 3, MET HET BOVENSTAANDE IN DE DRIEHOEK

VERWERKT

Dit lijkt misschien weinig te zeggen, maar eigenlijk zijn we nu al heel dicht bij de oplossing! In de opgave staat

dat de vierde sprong van de aap horizontaal is, dat wil zeggen dat |P0

P3| = |P0 P4|. Dit betekent dat driehoek

P3P0P4 gelijkbenig is, met tophoek

∠P3P0P4. Maar deze tophoek is gelijk aan hoek ∠P1P0P2, dus ∠P3P0P4 = α

Omdat driehoek P3P0P4 gelijkbenig is met tophoek ∠P3P0P4 , zijn ∠P0P3P4 en ∠P0P4P3 gelijk en geldt dat ∠P0P4P3 = ½(180o - ∠P3P0P4) = 90o - ½ α.

Verder geldt dat ∠P0P4P3 = ∠P3P4P2 en we hadden eerder al gevonden dat ∠P3P4P2 = 3. We hebben dus twee verschillende uitdrukkingen voor ∠P3P4P2. Als we deze twee uitdrukkingen gelijkstellen zien we dat: 90o - ½ = 3, dus 3½ = 90o en = 180/7o In de opgave wordt gevraagd naar de tophoek van de driehoek, en die is α. De tophoek van de grote driehoek is dus 180/7o, waarmee we antwoord hebben op onderdeel a.

BLIJF DOORSPRINGEN

Voor onderdeel b moeten we berekenen hoe vaak de aap kan springen als de tophoek 6o is. Dit kunnen we uittekenen en berekenen, maar je zult snel merken dat dit erg veel tijd en precisie gaat kosten, waarnaast het ook nog eens geen sluitend bewijs is. Vaak is het bij de Wiskunde Olympiade zo dat een eerste, makkelijkere opgave je een vermoeden geeft voor een tweede en moeilijkere opgave, waarin je dit vermoeden kan toepassen. Laten we eens kijken of we zo’n vermoeden kunnen krijgen.

We zagen hierboven al dat ∠L2 = α , ∠L3 = 2α en ∠L4 = 3α. Analoog vinden we dat ∠L5 = 180o - 2α - (180o - 6α) = 4α. Zijn landingshoek lijkt dus na elke

sprong precies α groter te worden!

Om een volgende landingshoek te berekenen gebruiken we steeds dezelfde redenering; ∠Ln+1 is namelijk steeds gelijk aan 1800 - ∠Ln-1 - (180o2∠Ln), oftewel ∠Ln+1 = 2∠L n - ∠Ln-1. Als we deze formule gebruiken zien we dat:

We zien dus dat dit patroon zich voortzet en dat ∠L steeds groter wordt! Dit betekent dat we een formule voor ∠L n kunnen opstellen, namelijk: ∠L n = (n-1)α. Merk op dat deze inderdaad aan onze formule

∠Ln+1 = 2∠L n - ∠Ln-1 voldoet. Nu we dit weten, kunnen we de opgave beantwoorden.

FIGUUR 4, MET DE LANDINGSHOEKEN VAN DE EERSTE VIJF SPRONGEN

In de opgave staat dat de aap verder

Figuur 3
Figuur 4

kan springen zolang hij op een punt kan landen dat verder van P0 afligt dan zijn vorige punt op die zijde. Alle sprongen van de aap zijn even lang, dus de aap kan verder springen zolang hij hierbij een gelijkbenige driehoek creëert, waarbij zijn laatste punt verder van P0 afligt dan zijn andere punt op die zijde. Hiervoor moet gelden dat de landingshoek van de aap kleiner is dan 90o, omdat hij anders alleen maar boven zijn vorige punt kan neerkomen, of terug kan springen naar zijn vorige positie, wat allebei niet mag. We kunnen dus concluderen dat de aap door kan springen zolang zijn landingshoek kleiner is dan 90o .

FIGUUR 5, MET SPRONGEN DIE ‘NIET MOGEN’

We weten dat de tophoek van de grote driehoek 6o is. Als we α = 6o invullen in de formule die we voor ∠L n hebben gevonden, zien we dat

∠L n = (n-1)6o . De landingshoek moet kleiner zijn dan 90o, omdat de aap anders op of boven zijn vorige punt op die zijde neerkomt wat niet mag. De aap kan dus verder springen zolang (n-1)6o < 90o. Nu is ∠L15 = (15-1) 6o = 84o en ∠L16 = (16-1) 6o = 90o. Dat betekent dat de aap na zijn zestiende sprong, waarbij hij op P16 terechtkomt, niet verder van P0 landt dan zijn vorige positie op die zijde, P14; hij komt namelijk precies op P14 neer. Dit betekent dat de aap op P15 stopt met springen, en dus maximaal 15 sprongen kan maken bij een tophoek van 6o, waarmee we het antwoord hebben op de vraag!

6, MET DE LAATSTE

Terugblik

Om bij deze opgave tot een oplossing te komen, hebben we verschillende strategieën gebruikt. We begonnen met het

verduidelijken van de opgave, door bepaalde concepten uit de opgave te benoemen. Vervolgens keken we naar de eerste paar sprongen van de aap om erachter te komen wat er gebeurde na elke sprong van de aap. In de wiskunde heten dit de kleine gevallen, en ze komen vaak van pas om ingewikkelde opgaven als deze beter te begrijpen.

Door vervolgens de vermoedens die we kregen tijdens de kleine gevallen te bewijzen en deze te gebruiken om de opgave op te lossen, hebben we het antwoord berekend, en ook nog eens bewezen dat onze oplossing klopt, een sluitend bewijs dus! Zo zie je dat je je, met genoeg geduld en slimme trucjes, zelfs door opgaven die op het eerste gezicht heel moeilijk en abstract lijken, heen kan slingeren.

FIGUUR
PAAR SPRONGEN
Figuur 5
Figuur 6

ENKELE (BEKENDE) WISKUNDIGE

TEL-, KNIP- EN VOUWPUZZELS (MET VIERKANTEN)

VIERKANT

BOEKJE VOUWEN

HENRY DUDENEY

Knip uit (of kopieer in iets groter formaat en knip uit) en vouw op zo’n manier, via de lijnen, dat de 8 vierkantjes achter elkaar zitten (als in een boekje - zie rechts) in de volgorde van 1 tot 8. Er zijn 2 verschillende opgaven.

AANTAL RECHTHOEKEN IN EEN VIERKANT MARTIN GARDNER

Hoeveel rechthoeken zitten er in een vierkant van 9x9? En hoeveel vierkanten? Hieronder kan je tellen!

VIERKANT KNIPPEN

1 Knip de rechthoekige strook met 4 rechte sneden in 5 stukken die samen een vierkant vormen.

2 Knip deze rechthoek met 1 rechte snede in 5 stukken die samen een vierkant vormen. Gebruik wat je weet uit 1.

VERDELING VAN EEN

VIERKANT

MARTIN GARDNER

Verdeel dit vierkant in precies 8 delen die allemaal scherphoekige driehoeken zijn.

WRAP A CUBE

MARTIN GARDNER

Een vierkant stuk papier is aan de ene kant gekleurd en aan de andere kant wit. Verdeel het vierkant met lijnen in negen even grote vierkantjes. (Zie onder, kopieer en knip uit, en kleur de achterkant). Is het mogelijk om, door alleen langs de getekende lijnen te knippen, een patroon te knippen dat langs de getekende lijnen kan worden gevouwen tot een kubus die aan de buitenkant helemaal gekleurd is? Het patroon moet uit één stuk bestaan en de sneden en vouwen mogen enkel langs de lijnen die het vel in vierkantjes verdelen.

UITWISKELING

UITDAGENDE OPGAVEN IN GROEP OPLOSSEN

EEN AANPAK GEBASEERD OP HET ‘IMO-SPEL’

HET IS JE WAARSCHIJNLIJK ALS WISKUNDELEERKRACHT AL VAKER

OVERKOMEN: JE VINDT OF BEDENKT EEN LEUK VRAAGSTUK, MAAR DE OPLOSSING BLIJKT TE MOEILIJK TE ZIJN VOOR EEN TOETSVRAAG OF KLASSIEKE OEFENING. GEÏNSPIREERD DOOR HET ZOGENAAMDE ‘IMO-SPEL’

BEN IK AAN DE SLAG GEGAAN MET EEN WERKVORM DIE ME TOCH TOELAAT

DEZE UITDAGENDE OPGAVEN TE GEBRUIKEN IN DE LES.

DENNIS PRESOTTO

HET ‘IMO-SPEL’ ALS INSPIRATIE

1.1 De IMO en de stageweekends

De IMO (International Mathematical Olympiad) is een internationale wiskundewedstrijd waarin de meeste landen zes leerlingen van middelbare scholen afvaardigen. De deelnemers krijgen, verspreid over twee wedstrijddagen, zes problemen voorgeschoteld. Deze problemen variëren in moeilijkheidsgraad maar zijn alle op zijn minst pittig te noemen. Zo was de gemiddelde

score van de 589 deelnemende bollebozen van 2022 amper 20,3 op 42.

In België wordt het IMO-team van zes leerlingen samengesteld uit drie Vlamingen en drie Walen. In Vlaanderen worden er ter voorbereiding jaarlijks twee stageweekends georganiseerd. Finalisten van de Vlaamse Wiskunde Olympiade kunnen hun ticket voor deze weekends bemachtigen via een instaptest.

1.2 Het IMO-spel

Een onderdeel dat traditioneel plaatsvindt in het lenteweekend is het zogenaamde IMO-spel. De deelnemers van het weekend worden in teams opgedeeld waarbij elk team binnen een beperkte tijd moet proberen twee IMO-problemen op te lossen. Zoals je waarschijnlijk al begrepen hebt uit de vorige paragraaf is dat allesbehalve evident. Daarom krijgt elk team ook enkele kleinere raadsels waarmee ze tips kunnen verdienen voor de moeilijkere IMO-vragen.

Ik houd zelf veel positieve herinneringen over aan de jaren waarin ik deelnam aan dit spel. Enerzijds heerst hierbij een leuke competitiesfeer waarbij de teams elkaar proberen te verslaan in het aantal opgeloste raadsels of zelfs het aantal opgeloste IMO-problemen. Anderzijds zijn er weinig zaken in de wiskunde die het eureka-moment kunnen overtreffen wanneer de verzamelde tips mooi samenvallen en je de oplossing van het IMO-probleem hebt gevonden. Daarom gebruik ik ook in mijn lessen in het middelbaar soms een analoge werkvorm om moeilijkere opgaven haalbaar en interessant te maken. Zo vind je hieronder een voorbeeld bij de lessen over afgeleiden voor leerlingen in het vijfde jaar met 8 uur wiskunde.

LESVOORBEELD

MET AFGELEIDEN

2.1 De opgave

Tijdens de lessen over afgeleiden zien de leerlingen de vergelijking van de raaklijn aan een gegeven grafiek in een gegeven punt. Soms kan het gebeuren dat verschillende grafieken eenzelfde raaklijn delen. De opgave voor dit groepswerk luidt als volgt.

Opgave • Een raaklijn aan twee grafieken

De functies f en g hebben de volgende voorschriften:

f (x) = x2 + 2x + 4

g (x) = −2x2 + 2x − 2

Bepaal (een vergelijking van) iedere rechte die raakt aan zowel de grafiek van f als aan de grafiek van g

In de vijf schooljaren waarin ik deze opgave al gebruikt heb, zijn er slechts twee groepen geslaagd in het vinden van de oplossing zonder enige hints. De meeste groepen vonden (het grootste deel van) de oplossing pas nadat ze enkele hints hadden vrijgespeeld via de hulpvragen. Daarom staat hieronder eerst de modeloplossing van de opgave. Daaruit zal ook snel duidelijk worden waar de moeilijkheden zitten en welke hints je dus best voorziet.

2.2 De modeloplossing

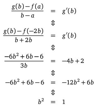
Noem a de x-coördinaat van het raakpunt aan f en b de x-coördinaat van het raakpunt aan g. Aangezien de richtingscoëfficiënt van de gemeenschappelijke raaklijn zowel gelijk moet zijn aan f' (a) als aan g′'(b), geldt de gelijkheid

f' (a) = g' (b)

(1.1)

Wat onmiddellijk aanleiding geeft tot 2a + 2 =−4b + 2 of a = −2b

Een gemeenschappelijke raaklijn gaat door de punten (a, f (a)) en (b, g (b)). Deze rechte heeft richtingscoëfficiënt

Anderzijds is de richtingscoëfficiënt ook gegeven door f' (a) = g' (b).

Samen met de identiteit a = −2b geeft dit

Er zijn dus twee oplossingen: b = 1 en b = −1. De overeenkomstige raaklijnen zijn gegeven door y = −2x y = 6x

Merk op dat je bijvoorbeeld de eerste raaklijn zowel kon vinden via y − g (1) = g' (1)(x − 1)

als via y − f (−2) = f (−2)(x + 2)

Figuur 1 - De twee gemeenschappelijke raaklijnen

Als alternatief voor formule (1.2) kun je na het vinden van a = −2b ook de vergelijking van de raaklijnen in (a, f (a)) en (b, g (b)) opstellen en de constante termen in deze vergelijkingen gelijkstellen. Dit zal eveneens aanleiding geven tot b2 = 1.

2.3 De hulpvragen en de hints De modeloplossing is gebaseerd op twee cruciale inzichten: enerzijds moeten de leerlingen werken met twee onbekenden in plaats van slechts eentje zoals in de meeste klassieke oefeningen. Anderzijds moeten de leerlingen ook de formule voor de richtingscoëfficiënt van een rechte door twee punten gebruiken. Hoewel beide inzichten haalbaar lijken zodra je de modeloplossing kent, hebben de leerlingen het meestal moeilijk met deze stappen.

In mijn ervaring hebben veel leerlingen wel door dat ze iets met afgeleiden moeten doen, maar geïnspireerd door de vele oefeningen met gelijkstellen van vergelijkingen proberen de meesten een oplossing te vinden van f' (x) = g' (x). Daarom leiden de eerste twee tips de leerlingen naar (1.1).

1. Noem a de x-coördinaat van het raakpunt aan f en b de x-coördinaat van het raakpunt aan g.

2. Het feit dat dit een gemeenschappelijke raaklijn is, geeft een verband tussen a en b. (Je kunt de richtingscoëfficiënt zowel schrijven in functie van a als in functie van b.)

Deze tips krijgen ze echter niet gratis. Ze verdienen deze tips pas na het oplossen van de overeenkomstige hulpvragen. Zo was de eerste hulpvraag:

1. Bereken de afgeleide functie van

Uiteraard kun je de hulpvragen aanpassen aan het niveau van de leerlingen en aan de leerstof die voor hen relevant is.

De volgende twee hints die de leerlingen kunnen verkrijgen (na het oplossen van de overeenkomstige hulpvragen) hebben betrekking op (1.2) en (1.3).

3. Deze gemeenschappelijke raaklijn gaat door de punten (a, f (a)) en (b, g (b)). Wat is de richtingscoëfficiënt van de rechte door die twee punten?

4. Je hebt een verband a = … gevonden dat a uitdrukt in functie van b. Substitueer dit verband in de vergelijking

Voor het verdienen van hints en hulpvragen kies ik er steeds voor om met één hulpvraag te beginnen. Wanneer de groep deze hulpvraag opgelost heeft, verdienen ze een hint voor het grote probleem alsook een nieuwe hulpvraag. Bij grotere groepen kun je ervoor kiezen om te starten met twee hulpvragen.

2.4 Werken in groep

Voor deze opdracht laat ik de leerlingen steeds in groepen werken. Er is immers voldoende ruimte voor differentiatie binnen de groepen. De leerlingen die iets minder zelfzeker zijn, zullen meestal beginnen aan de hulpvragen. Zij durven niet meteen naar de grote opdracht te kijken en daar is niets mis mee. Daarom kies ik er steeds voor om (in tegenstelling tot het originele IMO-spel) de hulpvragen erg klassiek te houden qua vraagstelling.

Zo kunnen deze leerlingen de basisleerstof iets meer inoefenen. Ook zullen ze daarbij sneller tot antwoorden komen, hetgeen het zelfvertrouwen ten goede komt.

De zelfzekere leerlingen beginnen meestal met de hoofdvraag. In vrijwel alle groepen zullen deze leerlingen op een bepaald moment de hints nodig hebben die via de hulpvragen vrijgespeeld worden. Mogelijks moet je daarbij een beetje bijsturen wanneer een leerling zich hopeloos lijkt vast te rijden op de hoofdvraag en die zich beter even op hulpvragen zou focussen. Dat is vooral een risico bij leerlingen die minder sterk zijn in algebraïsch rekenwerk of abstract denken, maar zich (onterecht) zeker genoeg voelen om de moeilijke hoofdvraag zonder hulp aan te pakken.

Ik laat de leerlingen ook toe om GeoGebra te gebruiken in de zoektocht naar de gemeenschappelijke raaklijn. Zo kunnen ook de grafisch sterkere leerlingen een nuttige bijdragen leveren. Grafisch

kun je immers snel zien dat er twee gemeenschappelijke raaklijnen moeten zijn. Dat vertelt al meteen dat de ene x-waarde (x = 0) die volgt uit f' (x) = g' (x) niet correct kan zijn. De grafieken insinueren bovendien dat de gemeenschappelijke raaklijnen door de oorsprong gaan zodat het plotten van de rechte y = mx voor verschillende waarden van m al snel de gezochte raaklijnen geeft.

Zodoende biedt dit werk een taak voor zowel algebraïsch sterke, grafisch sterke als iets minder sterke leerlingen. De groepen waarin deze leerlingen samenwerken en hun informatie delen, maken daarbij de snelste vooruitgang.

SLOTOPMERKINGEN

Hoewel het bovenstaande voorbeeld focust op leerlingen met 8 uur wiskunde in het vijfde middelbaar, kun je analoge ideeën gebruiken voor andere onderwerpen en andere doelpublieken. Zo wordt de berekening wat gemakkelijker bij f (x) = x2 + 1 en g (x) = −x2 − 1. Bij de leerstof over determinanten (die vanaf komend schooljaar in meerdere richtingen van de derde graad terugkomt) kun je een analoge opgave maken rond de vraag ‘Toon aan dat een stochastische matrix steeds 1 als één van de eigenwaarden heeft.’ In de tweede graad kun je kijken naar het aantal oplossingen van een (bi)kwadratische vergelijking met een parameter erin. Je kunt ook inspiratie vinden bij vragen uit wiskundecompetities zoals Wiskunnend Wiske, Maastricht Mathematical

Modelling Competion of de Vlaamse Wiskunde Olympiade.

Tot slot geef ik mee dat ik dit groepswerk nog nooit op punten heb laten meetellen. Het doel is immers om leerlingen te laten samenwerken in groep en een zeker competitiegevoel te laten ervaren tussen de groepen. En uiteindelijk streven we toch naar dat eurekagevoel bij het oplossen van de grote vraag. Dat is toch veel meer waard dan een extra cijfer op het rapport?

Dit artikel verscheen in Uitwiskeling 39/3. Op www.uitwiskeling.be vind je alle info.

BRONNEN

International Mathematical Olympiad (2022). 63rd IMO 2022 statistics https://www.imo-official.org/year_ statistics.aspx?year=2022

Maastricht University (2023). The exercises of the competition. https://project. dke.maastrichtuniversity.nl/ mmm/ exercises.html

Vrij Universiteit Brussel (2023). Wiskunnend Wiske. https://www.vub.be/nl/ studeren-aan-de-vub/iedereenwelkom-aan-de-vub/wiskunnendwiske

VWO (2023). Wedstrijdvragen per jaargang en ronde. https://www.vwo.be/vwo/ wedstrijdvragen-per-jaargang-enronde/

WONDEREN MET MUNTEN (OF VERBAAS JE VRIENDEN OP CAFÉ)

DIT ARTIKEL VERSCHEEN IN DE HUFFINGTON POST, ONDER DE TITEL

FLIPPING MIRACLES (OR BAR BETS TO AMAZE YOUR FRIENDS).

COLM MULCAHY, IS PROFESSOR EMERITUS VAN SPELMAN COLLEGE, ATLANTA, GEORGIA. HIJ STAAT BEKEND ALS EEN ZEER GOED WETENSCHAPSPOPULARISATOR EN ONTVING HIERVOOR IN OKTOBER ’24 DE MATHS WEEK IRELAND AWARD FOR CONTRIBUTIONS TO RAISING PUBLIC AWARENESS OF MATHS. HIJ HAD JARENLANG EEN COLUMN OP DE WEBSITE VAN DE MATHEMATICAL ASSOCIATION OF AMERICA (MAA), “CARD COLM”, OVER WISKUNDIGE KAARTTRUCS. DAAR SCHREEF HIJ OOK EEN BOEK OVER. BEGIN NOVEMBER IS COLM IN BELGIË EN GEEFT ER LEZINGEN OVER GOOCHELTRUCS MET SPEELKAARTEN, AL DAN NIET MET EEN WISKUNDIGE INSLAG.

Houdt u van een beetje melk in uw koffie, of bent u een van die mensen die graag een beetje koffie in hun melk hebben?

Voor je staat een pot koffie en een kan met melk. Je doet een koffielepel melk uit de kan in de pot en vervolgens een koffielepel van het

mengsel uit de pot terug in de kan. Is er nu meer koffie in de (melk)kan of meer melk in de (koffie)pot?

Let op: we hebben niet gezegd of er geroerd of gemengd is of hoe grondig dat eventueel is gebeurd. En we suggereren ook niet dat je een van beide mengsels drinkt. Voor

het gemak negeren we mogelijke chemische interacties.

Als je het antwoord op deze vraag weet, probeer dan de volgende caféweddenschap eens. Vraag een (mannelijke) vriend om zijn zakken leeg te maken. Er vallen een tiental munten op tafel.

Kondig aan dat je vriend je over 10 seconden mag blinddoeken en de munten door elkaar mag schudden door ze over de tafel te bewegen. Je wedt dat je, zonder ze te kunnen zien, in staat bent om ze in twee stapels te verdelen, waarbij elke groep hetzelfde aantal munten heeft met de muntzijde boven. Als je daarin slaagt, betaalt je vriend je volgende drankje, en als het niet lukt, dan betaal jij dat van hem.

Wat doe je in die 10 seconden? Je mag kijken, maar niet aanraken.

Als je wat meer tijd hebt en een geduldig publiek, probeer dan het volgende. Leg 15 kaartjes, aan beide kanten blanco, en een stift op tafel. Vraag een toeschouwer om een

aantal kaartjes aan te wijzen waarop je het woord ‘wijn’ moet schrijven, en schrijf dan zelf op de andere kaartjes het woord ‘water’. Spreid de kaartjes uit en laat een foto maken van het resultaat.

Je wordt vijf minuten alleen gelaten, terwijl je publiek koffie gaat drinken, met of zonder melk. Als iedereen terugkomt, wordt met behulp van de foto gecontroleerd dat de kaartjes er nog precies hetzelfde uitzien als daarvoor. Je wordt geblinddoekt of je moet je ogen dichthouden, en de kaartjes worden door elkaar geschud (op dezelfde manier als de munten, dus door ze te verschuiven op de tafel). Zonder ze te kunnen zien, moet je de kaartjes vervolgens in twee groepen verdelen, zodanig dat

elke groep hetzelfde aantal kaartjes bevat waarop ‘wijn’ te lezen is. Wat doe je in die vijf minuten om dit voor elkaar te krijgen? De kaartjes plooien of buigen is geen optie; de kaartjes moeten vlak blijven en in het donker onderling niet te onderscheiden zijn. Als je op zeven (of een oneven aantal) kaartjes ‘wijn’ hebt geschreven, op vraag van de toeschouwer, lijkt het probleem onoverkomelijk. En het lijkt niet makkelijker als je begint met acht of tien ‘wijn’-kaartjes, aangezien je niet kunt zien wat er gebeurt.

De oplossing van het raadsel met de melk en de koffie biedt het inzicht dat nodig is om de twee problemen die er op volgen op te lossen! In een andere versie heb je een grote pot met zwarte knikkers en een kleinere pot met witte knikkers nodig.

Doe vier knikkers uit de kleinere pot in de grotere pot, meng ze eventueel een beetje met de zwarte knikkers en neem daarna vier willekeurige knikkers uit de grote pot en gooi ze in de kleine. Zijn er nu meer witte knikkers in de grote pot dan zwarte knikkers in de kleine pot, of andersom?

Deze vraag klinkt redelijk, maar laat u niet misleiden; het is een suggestieve vraag. Er is een derde optie die niet wordt genoemd, maar die uiteindelijk de doorslag geeft. In feite is het aantal witte knikkers in de grote pot hetzelfde als het aantal zwarte knikkers in de kleine pot, en dat hangt niet af van hoeveel witte knikkers er in de tweede stap terug in de kleinere pot zijn gedaan!

Je kan dit eenvoudig nagaan door elk van de vijf mogelijke gevallen te bekijken (nul, één, twee, drie of vier witte knikkers bij de vier die teruggeplaatst werden), maar er is een slimmere manier. Merk eerst op dat, omdat er elke keer vier knikkers zijn verplaatst, de twee potten uiteindelijk hetzelfde aantal knikkers bevatten als oorspronkelijk. Het aantal “verontreinigende” witte knikkers in de grote pot aan het einde heeft dus een gelijk aantal zwarte knikkers verdrongen, die zich nu in de kleinere pot moeten bevinden.

Dezelfde logica geldt voor het probleem met de melk en de koffie. Welk deel van een koffielepel melk ook in de koffiepot terechtkomt,

het heeft een gelijke hoeveelheid koffie verdrongen, die zich alleen in de melkkan kan bevinden. Vergeet boekhouden op moleculair niveau! Elementair, mijn beste Watson. Ook is de relatieve inhoud van de potten niet relevant. Soms worden deze problemen gepresenteerd in een scenario waarbij beide potten dezelfde afmetingen hebben, maar dat kan beter worden vermeden, zoals de volgende anekdote bevestigt.

De ontbrekende schakel tussen deze raadsels en die met de munten en kaartjes is een bekende kaarttruc die een vriend ongeveer 15 jaar geleden voor mij deed in een bar. Bill verdeelde een kaartspel in twee gelijke delen. Daarna draaide hij één

van beide helften om en schudde de speelkaarten op zo’n manier door elkaar dat precies de helft van de kaarten met de beeldzijde naar boven lag. Vervolgens hield hij het kaartspel onder de tafel en haalde toen twee stapels kaarten tevoorschijn, waarna hij mij liet controleren of ze allebei hetzelfde aantal kaarten met de beeldzijde naar boven bevatten. Dat was inderdaad het geval. Maar dat aantal kaarten kwam in beide gevallen uit op 11, wat dus een totaal van slechts 22 kaarten met de beeldzijde boven gaf, dus ik wist dat er iets transformatiefs moest zijn gebeurd.

(Hij had de fout gemaakt om te vermelden dat hij met 26 open kaarten begonnen was. Het kan natuurlijk afhangen van hoeveel je gedronken hebt, maar als je met twee gelijke stapels begint, dan verwacht je wel dat er aan het einde evenveel open als gesloten kaarten zijn.)

Nu volgt een nog betere manier om het te brengen, een manier die moeilijker te doorgronden is, gebaseerd op Martin Gardners bewerking van de belangrijkste ideeën van Bob Hummer uit de jaren 40. (Voor wie dit niet weet: Martin Gardner was de koning van de popularisering van de wiskunde in de vorige eeuw, vooral bekend door zijn column in de Scientific American. Bob Hummer was een excentriek Amerikaans goochelaar en een vriend van Gardner.)

Neem een spel kaarten en geef het aan Jane. Vraag haar om ongeveer

een derde van het pak terug te geven. Hou die kaarten onder de tafel en doe alsof je ze “voelt om te wennen aan het verschil tussen de voorkant en de achterkant van de kaarten”. Wat je in werkelijkheid doet, is de kaarten tellen! Stel dat het er 16 zijn. Haal het pakje kaarten terug tevoorschijn, draai het om en schud ze met de beeldzijde naar boven door de rest van de kaarten die je met de rug boven houdt. Breng daarna het hele kaartspel onder de tafel en tel in stilte de bovenste 16 kaarten af terwijl je mompelt dat je je gevoelige vingers gebruikt om de kaarten te scheiden (wat ook echt zo is). Breng de twee stapels tevoorschijn en draai de kleinere stapel van 16 kaarten discreet om voordat deze in het zicht komt. Tot verbazing van iedereen blijkt dat beide stapels hetzelfde aantal open kaarten bevatten.

Zie je hoe dit verband houdt met de puzzels met melk en koffie of knikkers?

Het is nu tijd om het geheim te onthullen, als je het nog niet doorhebt: voor de weddenschap met de muntjes tel je in de 10 seconden voordat je geblinddoekt wordt, in stilte het aantal geldstukken met ‘munt’ boven.

Op de foto zijn dat er drie van de elf. Zodra je ogen bedekt zijn (of gewoon gesloten) en de munten door elkaar zijn geschud, tik je op de bovenkant ervan en doe je alsof je ze ‘voelt’. Concentreer je vervolgens op drie munten en leg ze apart en draai ze dan om! Je kunt dat gewoon in het zicht van iedereen doen of je

kan met je handen verbergen wat je precies doet. In elk geval is het resultaat twee groepen munten die gegarandeerd hetzelfde aantal keer ‘munt’ laten zien. Je hebt de weddenschap gewonnen - en dat welverdiende drankje - ervan uitgaande dat je vriend niet te luid klaagt dat je vals hebt gespeeld. Het is een wonder: munten opgooien mét resultaat.

Waarom werkt het in het algemeen? Een beetje elementaire algebra (slik!) onthult alles: begin met C munten, waarvan T met munt bovenaan en dus C - T met kop boven, meng ze, en verdeel ze als volgt:

- Groep A, bestaande uit T munten, waarvan een onbekend aantal X kop toont, en de resterende T - X noodzakelijkerwijs munt.

- Groep B, bestaande uit de overige C - T munten.

Aangezien er in totaal T munten met de muntkant boven liggen, waarvan T - X munten in groep A, moeten de overige T - (T - X) = X munten met muntkant boven in groep B liggen.

Het omdraaien van alle munten van groep A levert dus twee groepen op met hetzelfde (onbekende) aantal munten met de muntkant naar boven.

Tot slot keren we terug naar de kaartjes. Lees de beschrijving van het probleem nog eens aandachtig door. Je hebt tijd en een pen. Hoe kun je de kaartjes meer op de munten laten lijken? Door ‘water’ op de achterkant van elk ‘wijn’-kaartje te schrijven en ‘wijn’ op de achterkant van elk ‘water’-kaartje! Dat doe je tijdens de vijf minuten dat je alleen bent, waarbij je ervoor zorgt dat je elk kaartje weer op dezelfde plek op tafel teruglegt. Dat is tijd die goed besteed is.

Als je met zeven ‘wijn’-kaartjes bent begonnen, scheid dan na het schudden van de kaartjes gewoon zeven kaartjes van de rest en draai ze om. Beide groepen kaartjes bevatten dan hetzelfde aantal ‘wijn’kaartjes.

Het is een kwestie van ‘wijn’ in ‘water’ veranderen en ‘water’ in ‘wijn’, een waar wonder van bijbelse proporties!

Als je geneigd bent om nog meer caféweddenschappen te doen, gok dan niet op een eerlijke munt die gemiddeld de helft van de tijd kop oplevert. Je kunt zelfs niet 100 procent zeker zijn dat munten die op een hard oppervlak vallen altijd op kop of munt terechtkomen: ik heb twee keer in mijn leven gezien dat een munt in deze situatie op zijn rand bleef staan.

PYTHAGORAS EN FIBONACCI ONTMOETEN ELKAAR

IN DEZE TEKST ZETTEN WE EEN METHODE UITEEN OM AAN DE HAND

VAN VIER OPEENVOLGENDE GETALLEN UIT DE RIJ VAN FIBONACCI EEN

PYTHAGORISCH DRIETAL (a, b, c)

OP TE BOUWEN (MET a2 + b2 = c2).

BOVENDIEN LEGGEN WE EEN

VERBAND TUSSEN DE VIER

GEKOZEN FIBONACCIGETALLEN

EN DE STRAAL VAN DE

INGESCHREVEN CIRKEL, VAN

DE OMGESCHREVEN CIRKEL EN VAN DE DRIE AANGESCHREVEN

CIRKELS VAN DE RECHTHOEKIGE

DRIEHOEK WAARVAN DE ZIJDEN

LENGTE a, b EN c HEBBEN.

DR. LUC GHEYSENS, IS WISKUNSTENAAR EN EREPEDAGOGISCH ADVISEUR WISKUNDE VAN HET KATHOLIEK ONDERWIJS VLAANDEREN. HIJ HEEFT EEN LEVENDIGE BELANGSTELLING VOOR RECREATIEVE WISKUNDE, PROBLEEMOPLOSSEND DENKEN, EUCLIDISCHE MEETKUNDE, DIDACTIEK VAN DE WISKUNDE EN FUNCTIONEEL ICT-GEBRUIK.

E-MAIL: LUCGHEYSENS@YAHOO.COM.

HET BEWIJS VAN DRIE FORMULES

We bewijzen eerst de (gekende) formules voor de straal van de ingeschreven en de omgeschreven cirkel van een willekeurige driehoek.

Daarna bewijzen we ook de (minder gekende) formule voor de straal van een aangeschreven cirkel van een willekeurige driehoek.

In al deze formules komen enkel de lengtes a, b en c van de drie zijden

en de oppervlakte van de driehoek ABC voor.

Voor de halve omtrek van de driehoek gebruiken we het symbool s:

Formule 1. De straal r van de ingeschreven cirkel van een driehoek ABC is bepaald door Bewijs

Verbind het middelpunt I van de ingeschreven cirkel met de drie hoekpunten van de driehoek.

Dan is |BD| = 2R en BÂC = BDC (omtrekshoeken op dezelfde boog).

Bovendien is BCD = 90°. Bijgevolg is

De oppervlakte van de driehoek ABC is gelijk aan en hieruit volgt de gewenste formule.

Elke driehoek heeft ook drie aangeschreven cirkels. Dit zijn cirkels die raken aan een zijde en aan twee zijlijnen van de driehoek. Het middelpunt van een aangeschreven cirkel is het snijpunt van twee buitenbissectrices van de driehoek (en van een binnenbissectrice).

Op de figuur onderaan staan de drie aangeschreven cirkels getekend van de driehoek ABC. De middelpunten zijn de punten Ma, Mb en M c en de stralen ra, rb en r c .

Het punt Ma is het snijpunt van de buitenbissectrices van de hoeken

B en C aangezien dit punt even ver ligt van de zijlijnen AB en AC van de driehoek ligt het ook op de binnenbissectrice van de hoek Â.

Dan is de oppervlakte van de driehoek gelijk aan de som van de oppervlakten van drie driehoeken en hieruit volgt de gewenste formule.

Formule 2. De straal R van de omgeschreven cirkel van een driehoek ABC is bepaald door Bewijs

De halfrechte met beginpunt B door het middelpunt O van de omgeschreven cirkel van de driehoek snijdt de cirkel in het punt D.

Formule 3. De stralen van de drie aangeschreven cirkels van een driehoek ABC zijn bepaald door

Bewijs

De oppervlakte van de driehoek ABC is gelijk aan

en hieruit volgt de gewenste formule. Voor de beide andere stralen is het rekenwerk analoog.

FIBONACCIGETALLEN EN PYTHAGORISCHE DRIETALLEN

Hoe krijg je nu een pythagorisch drietal door te vertrekken van vier opeenvolgende Fibonaccigetallen

F n, Fn+1, Fn+2 en Fn+3 ? En hoe kan je via deze vier getallen eveneens de straal r vinden van de ingeschreven cirkel, de straal R van de omgeschreven cirkel en de stralen r a , rb en r c van drie aangeschreven cirkels van de rechthoekige driehoek

ABC, waarvan de zijden lengte a, b en c hebben?

Plaats om te beginnen de vier Fibonaccigetallen in een 2 x 2rooster zoals op de onderstaande figuur en maak dan de zes mogelijke producten van die getallen tweeaan-twee.

de overeenkomstige rechthoekige driehoek met de bijbehorende cirkels te tekenen. In dit geval vinden we de zogenaamde 3-4-5-driehoek met 3² + 4² = 5².

We bemerken dat de volgende gelijkheden gelden:

Bovendien is het product van de vier getallen precies gelijk aan de oppervlakte van de driehoek

ABC:

We controleren dit eerst even aan de hand van de eerste vier Fibonaccigetallen 1, 1, 2 en 3 en door met behulp van GeoGebra

= oppervlakte van driehoek

ABC = 1 1 2 3 = 6

We bewijzen nu de algemene formules en vertrekken hierbij van vier opeenvolgende Fibonaccigetallen die we kunnen voorstellen als m – n, n, m en m + n, waarbij m en n positieve gehele getallen zijn met 1 < n < m. Merk op dat de onderstaande formules ook geldig zijn als m en n zelf geen Fibonaccigetallen zijn!

Op deze manier krijgen we een pythagorisch drietal want

Met behulp van de bovenstaande formules vinden we dan dat

Dat zijn precies de waarden die we terugvinden met behulp van het schema op de volgende pagina.

De oppervlakte van de driehoek ABC is dan gelijk aan:

en dit is precies het product van de vier (Fibonacci)getallen in het bovenstaande 2 x 2-rooster.

Voor de straal R van de omgeschreven cirkel van de driehoek ABC vinden we via de formule 2 (zie hoger) dat

Dit is uiteraard gelijk aan de helft van de schuine zijde van de driehoek ABC, aangezien volgens een welbekende eigenschap bij een rechthoekige driehoek het midden van de schuine zijde het middelpunt is van de omgeschreven cirkel.

OPMERKINGEN

1. Bij een rechthoekige driehoek is r a + rb = c , m.a.w. de som van de stralen van twee kleinste aangeschreven cirkels van de driehoek is gelijk aan de lengte van de schuine zijde.

2. Op mijn website

https://101.jouwweb.be vind je bij het getal 3 vijf verschillende recepten om pythagorese drietallen te maken.

3. Op mijn website https://piphi.jouwweb.be ontdek je nog meer verbanden tussen de Fibonaccigetallen en de stelling van Pythagoras.

REFERENTIE

Frank R. Bernhart & H. Lee Price, Pythagoras’ garden, revisited, Australian Senior Mathematics Journal vol. 26 no.1, 2012.

Events

woe 4 februari, PXL in Hasselt woe 11 februari, Flanders Expo in Gent woe 25 februari, Congres- en Erfgoedcentrum Lamot in Mechelen die Keure Dagen

In februari 2026 ontmoeten we je graag op de die Keure Dagen. Op woensdagmiddag geniet je van boeiende infosessies over actuele onderwijsthema’s en ontdek je onze nieuwste blended lesmethodes. Ook reken je op een lekkere lunch, tussendoortje en een heuse boekenmarkt.

Ben jij er graag bij?

Schrijf je nu al in via diekeuredagen.diekeure.be

februari Keurieusdagen

In februari krijg je de unieke kans om ons aanbod lesmethodes gratis in te kijken op het digitale platform Polpo. Verken tijdens de Keurieusdagen ons nieuwe lesmateriaal en de digitale tools van Isaac, Max, Savvy en Audace 1e graad!

Heb je al toegang tot Polpo?

Als gebruiker krijg je automatisch toegang via het dashboard.

Heb je nog geen toegang tot Polpo? Registreer je via het online formulier.

KEURIEUSDAGEN

Turn static files into dynamic content formats.

Create a flipbook
Issuu converts static files into: digital portfolios, online yearbooks, online catalogs, digital photo albums and more. Sign up and create your flipbook.