Revista institucional nº 49

Page 1


digital nº 49 Edición anual 2024

Directorio Distrito 1 2023 | 2025

Presidente

Ing. Electrónico y Laboral Roberto C. PAMPIGLIONI. Mat. Nº 1-1156-2

Vicepresidente

Ing. Mecánico y Laboral Raul J. BUSTABER. Mat. Nº 1-0011-1

Secretario

Ing. Químico Julio C. PENNO. Mat. Nº 1-1194-5

Prosecretario

AUS Jorge M. FAUDA. Mat. Nº 1-0503-1

Tesorero

Ing. Electricista César N. MARAGNO. Mat. Nº 1-0500-7

Vocales titulares

Área Química

Ing. Química Marianela E. HOMINAL. Mat. Nº 1-2555-5

Área Mecánica

Ing. Mecánico Bruno N. FACCIOLI. Mat. Nº 1-2814-7

Área Eléctrica

Ing. Electricista Juan A. H. KERZ. Mat. Nº 1-0365-9

Área Sistemas

Ing. en Sistemas de Información Viviana A. SANTUCCI. Mat. Nº 1-0956-8

Otras Especialidades

Bioing. Héctor M. DONNET. Mat. Nº 1-1301-8

Vocales suplentes

Área Química

Ing. Químico Roberto D. ZINICOLA. Mat. Nº 1-1333-6

Área Mecánica

Ing. Mecánica Lorena B. MORERO. Mat. Nº 1-1861-3.

Área Eléctrica

Ing. Electricista Juan P. FERNANDEZ. Mat. Nº 1-1392-1

Área Sistemas

Ing. en Sistemas de Información María A. GIMENEZ. Mat. Nº 1-1389-1

Otras Especialidades

Ing. Industrial Guillermo M. R. GALDON. Mat. Nº 1-1901-6

Revisores de Cuentas

Titular: Ing. Química Silvana SANTARELLI. Mat. Nº 1-0988-6

Suplente: Ing. Industrial Gabriela F. ALVAREZ. Mat. Nº 1-2065-1

Tribunal de Ética Profesional y Disciplina

Ing. Química Alicia N. ARESE. Mat. Nº 1-0928-2

Ing. Mecánico Hugo E. S. IUCCI. Mat. Nº 1-0035-8

Ing. Electricista Irene B. STEINMANN. Mat. Nº 1-0793-0

Ing. Mecánico Carlos M. MAS. Mat. 1-0192-3

Ing. Química Mirta S. ZANNIER. Mat. Nº 1-0171-1

Directorio Provincial

Presidente: Ing. Químico Luis R. FERABOLI. Mat. Nº 2-0008-5 Mat. Nº 1-1156-2

Vicepresidente: Ing. Electrónico y Laboral Roberto C. PAMPIGLIONI.

Secretario: Ing. Electrónico Héctor R. MOLINA – Mat. Nº 2-1040-4

Prosecretario: Ing. Químico Julio C. PENNO. Mat. Nº 1-1194-5

Tesorero: Ing. en Sistemas Informáticos Cristian W. DE FILIPPO. Mat. Nº 2-3336-6

Protesorero: Ing. Electricista César N. MARAGNO. Mat. Nº 1-0500-7

Vocales titulares: Ing. Mecánico y Laboral Raul J. BUSTABER. Mat. Nº 1-0011-1; Ing. Mecanico Daniel C. URRERE. Mat. Nº 2-1388-8; AUS Jorge M. FAUDA. Mat. Nº 1-0503-1; Ing. Industrial Teresa Ángela SEIJO. Mat. Nº 2-1860-0. Índice

Por Roberto C. PAMPIGLIONI

Un acercamiento al proceso de fabricación de chocolate 3

Por María P. MOGUES

Un modelo simplificado para la evaluación del consumo de energía de los trenes de alta velocidad 7

Por José DI PAOLO

Mujeres ingenieras. Reflexión entorno a la presencia y el aporte de las mujeres en la Ingeniería 11

Por Viviana A. SANTUCCI

14

Día de la Ingeniería Argentina 16

Equilibrio en la cancha económica. Narración para aprendizaje del modelo económico de las Tres Brechas 18

Por Ariel M. ROCCHI

El refugio oculto de Biodiversidad del norte santafesino.

Descubre la reserva de uso múltiple "Doña Sofía". 22

Por María P. GETAR

Responsables de diagramación y diseño

María Milagros VON OERTEL

Federico GARMENDIA MOLAS

San Martín 1748 S3000FRN | Santa Fe

0342 4597021 | 4581600

+5493424066486

cie1santafe@especialistas.org.ar www.especialistas.org.ar

ciedistrito1

ciedistrito1

ciedistrito1

Las opiniones o artículos firmados y los trabajos publicados son responsabilidad de los autores, sin que esto implique necesariamente los editores lo compartan. Se autoriza su reproducción total o parcial citando la fuente. Propiedad intelectual registrada en Dirección Nacional del Derecho de Autor Form. nº 20239-EXP nº 849073.

Revista Pág. 1

Con mucha satisfacción queremos comunicar que acabamos de obtener la certificación basada en la norma IRAM - ISO 9001:2015 cuyo alcance es la matriculación de profesionales de la Ingeniería Especialista, el visado de expedientes técnicos y la administración del Colegio profesional. Agradecemos a todos los actores involucrados en este logro que no es más que un paso hacia la mejora continua.

Queremos destacar el valor agregado de la matriculación, que deriva de un contexto institucional de Colegios y Consejos profesionales que actuamos como garantes de derechos de la ciudadanía, contralor de un ejercicio de la profesión sin perjuicios para la comunidad y aval de actualización permanente.

Por ello, estamos trabajando de manera conjunta con otros Colegios Profesionales y la Caja de Ingeniería en la defensa del ejercicio legal de la profesión cuyos pilares son la matriculación obligatoria y el visado de proyectos y obras relacionadas a la Ingeniería.

Nos parece oportuna la ocasión para reiterarles la invitación a participar de las comisiones del Colegio, organizadas por áreas de interés, para compartir experiencias, intercambiar información, debatir ideas y problemáticas sobre el ejercicio profesional de cada especialidad, a fin de encontrar soluciones de manera conjunta. Cabe mencionar que

cada comisión puede reunirse de modo presencial o virtual con la plataforma adquirida para tal fin. Además, cada una de ellas cuenta con una partida presupuestaria anual para organizar las capacitaciones con el apoyo del área de comunicación institucional del Colegio.

Quiero destacar el trabajo que viene realizando la comisión CIE Joven, que continúa dando difusión de la misión y

sional de la ingeniería especializada.

Cabe recordarles que tenemos la Fundación CIE como una Unidad de Vinculación Tecnológica (UVT) que está a disposición de los profesionales en búsqueda de alternativas de financiación, acceso a líneas de promoción estatal y colaboración para la formulación y concreción de proyectos; esto es tanto para proyectos pro-

Estamos trabajando de manera conjunta con otros Colegios Profesionales y la Caja de Ingeniería en la defensa del ejercicio legal de la profesión

funciones del CIE a los futuros egresados de las carreras en el ámbito de la Universidad Tecnológica Nacional y la Universidad Nacional del Litoral. Esperamos que estas y otras casas de estudio sigan brindando este espacio que nos permite informar y derribar mitos sobre el rol de los colegios profesionales.

Además, el CIE participa activamente de las reuniones de la Federación Argentina de la Ingeniería Especializada - FADIE- espacio competente para la discusión, consenso y coordinación a nivel nacional en todas aquellas cuestiones que tienen que ver con las buenas prácticas del ejercicio profe-

pios o de las empresas en las que participamos.

Finalmente, quiero mencionar que remodelamos la antigua sede del CPIC Distrito I anexa a nuestra sede, con el objetivo de volver a contar con nuestro propio espacio para reuniones y eventos en un mismo lugar.

Estos pasos que vamos dando sólo se pueden lograr con la colaboración y la participación de todo el conjunto de colegiados, tanto de los que ya van dejando el ejercicio profesional y cuya experiencia en este campo es loable, como de quienes recién salen a enfrentarse al mundo laboral. Todos están invitados a participar.

Cuidemos nuestra profesión

Por Roberto C. Pampiglioni
Ingeniero Electrónico y Laboral.
Matrícula CIE Nº 1-1156-2 Presidente CIE Distrito I

Un acercamiento al proceso de fabricación de chocolate

Por María Pía MOGUES

Ingeniera química. Matrícula CIE Nº 2-5254-9 Máster en Dirección de la Producción y Mejora de Procesos. Consultora especializada en el sector alimentario. mariapiamogues@hotmail.com

La industria del chocolate atrae a propios y extraños con un alimento que es emblema y puede abarcar no sólo al típico chocolate en barra, que representa una deliciosa tradición para los comensales de todas las latitudes, sino también sus múltiples variantes y un análogo, llamado baño o producto de repostería, que en nuestro país suele participar de la mayoría de las preparaciones de encuentros y celebraciones, sean postres, alfajores, tortas, o los mismísimos huevos de Pascuas.

Dotada de procesos artesanales, hasta de otros a la vanguardia en materia de automatización, esta industria parte de las materias primas intermedias en su cadena productiva, tales como, la manteca de cacao, el licor de cacao y el cacao en polvo, que se obtienen a partir del proceso de las vainas de los árboles de cacao (Theobroma cacao), que es un fruto alargado, de color amarillo o rojizo cuando madura, cuyas plantaciones están situadas en regiones tropicales, que admiten su cultivo a gran escala.

Las vainas de cacao, que albergan en su interior a las habas o semillas, deben ser mínimamente procesadas, después del cultivo, revisión de la maduración y recolección, para su aprovechamiento posterior, siguiendo con el desgranado, fermentación, secado y tostado o torrefacción, que resulta en los granos de cacao, y luego, el cernido, trituración y molienda para obtener el licor de cacao, del cual además se obtiene, mediante un proceso de prensado, la manteca de cacao por un lado y el cacao en polvo por otro. Este último puede o no previamente haber sido alcalinizado, para ajustar su pH, y lograr así una mayor intensidad de sabor y color.

Es oportuno aclarar que lo que distingue a los análogos del chocolate respecto del chocolate real es principalmente el hecho de que en los primeros la manteca de cacao ha sido total o parcialmente reemplazada por otras grasas vegetales, que no se obtienen ni proceden de la transformación del cacao, sino a partir de otros frutos tropicales y procesos industriales, principalmente, de la cadena productiva de la palma aceitera (Elaeis guineense). Estas grasas alternativas, que bien merecerían un capítulo aparte, son nutricionalmente similares a la manteca de

cacao, más económicas y disponibles, y presentan propiedades que facilitan el proceso productivo.

Un abordaje posible sobre la industria del chocolate y los baños o productos de repostería, desde el punto de vista tecnológico, contempla la descripción de las etapas de transformación y las variables de producto y proceso. Con este enfoque, el chocolate es una dispersión homogénea de sólidos de cacao, azúcar o leche, finamente divididos, en una fase grasa estable y cristalina, que funde con facilidad en boca y resulta suave al paladar. Para obtener chocolate, partiendo de las materias primas ya mencionadas, es necesario un proceso que permita lograr cada una de las características detalladas. Existen por lo tanto tres unidades principales de operaciones requeridas: la reducción del tamaño de las partículas que participan en esa dispersión, la homogenización y

cristalización.

Si tan solo se mezclase la manteca de cacao con azúcar y demás ingredientes, el resultado sería una textura grosera y rugosa, con una pobre liberación de sabor y apariencia muy deficiente, por ello, la producción de chocolate consta de un proceso de molienda, llamado refinación, el cual debe iniciarse con la dosificación de los ingredientes en polvo, y ser mezclados íntimamente en equipos calefaccionados con una parte de la materia grasa, previamente fundida, hasta alcanzar la plasticidad óptima. El sistema de refinación más difundido en esta industria está compuesto por un refinador de dos cilindros, a través del cual se obtiene una primera reducción en el tamaño de las partículas, y una segunda etapa, en un refinador de cinco cilindros, dispuestos en forma horizontal, uno por encima del otro, girando a velocidad, en direcciones opuestas.

El árbol de cacao
Las vainas de cacao
Revista Pág. 4

La finura de las partículas después de la primera etapa de refinación debe ajustarse dependiendo de la finura final requerida, que en promedio debe encontrarse por lo menos en los 25 micrómetros para una percepción sedosa. Las opciones de ajuste para una menor finura previa son: reducir la rendija de alimentación o aumentar la presión. Luego, cuanto mayor sea la rendija del refinador, que es el espacio entre el primer y segundo cilindro, o mayor la velocidad entre ambos, más grueso resulta el producto. Si entra mucha mezcla, se forma una capa más gruesa en el cilindro último, y por lo tanto se obtiene una finura final más gruesa. Cuanto más seca es la mezcla, más cantidad entra, por lo cual se recomienda estandarizar la dosificación de materia grasa de partida, como también las temperaturas en los cilindros de la alimentación.

Para alcanzar un buen rendimiento en el refinador, con la mezcla transfiriéndose a lo largo de los cilindros en forma de película sin vetas, deben monitorearse las temperaturas del agua de refrigeración del equipo, el rascado del producto que sale del quinto cilindro y el nivel de la alimentación en la tolva. Debe además conseguirse el mismo tamaño de partícula o finura a lo largo de todo el cilindro de salida, por lo cual es sumamente importante ajustar el paralelismo de los cilindros.

Las mediciones de finura se determinan en general por el método del micrómetro, partiendo de la dispersión en una parte de parafina de una muestra del producto

refinado, que en esa instancia es pulverulento y algo aglomerado. Conseguida la reducción del tamaño de las partículas, lo que sigue es la homogenización del producto refinado para lograr la suavidad en su textura y un sabor armónico.

Para ello, existe un proceso conocido como conchado, que se realiza en tanques específicos de esta industria, equipados con aspas de características constructivas especiales e intercambiadores de calor con controladores de temperatura. Esta etapa se suele prolongar entre 4 y 12 horas, entre los 55 y 80 °C de temperatura, según el tipo de receta, a fin de que los componentes previamente refinados y la materia grasa restante de la receta sean convertidos en chocolate fluidificado, teniendo lugar simultáneamente diferentes acciones y fenómenos: agitación, reacciones de Maillard, cizallamiento, pérdida de humedad y compuestos volátiles no deseados, sobre todo presentes en el licor de cacao incorporado. Los objetivos del

conchado se pueden conseguir mediante trabajo mecánico, esparciendo el producto contra la superficie interior del equipo a través de la fuerza de cizalla de las aspas, inclusive mediante el agregado de emulsionantes, los cuales favorecen la lubricación y reducción de la viscosidad, como la lecitina, generalmente de soja, y el poliglicerol de polirricinoleato, obtenido por síntesis a partir del aceite de ricino, para comenzar o terminar de fluidificar el producto conchado, y realizando una agitación final a alta velocidad. En el caso de los baños de repostería, este proceso suele ser abreviado, ya que no se elabora con licor de cacao y el desarrollo del sabor es menos complejo, generalmente apoyado por la adición de aromatizantes. La medición de la reología del producto resultante de esta etapa, que consiste en un fluido no newtoniano, pseudoplástico, caracterizado por el modelo matemático de Casson, generalmente implica el uso de viscosímetros de rotor-estator, tipo Brookfield.

Revista Pág. 5

En este punto, el producto se encuentra fluidificado, por lo cual, el proceso continúa con la cristalización, que es el paso del estado líquido a sólido de la manteca de cacao, que está formada por distintos cristales: unos inestables, que funden entre 18 y 28 ºC aproximadamente, y otro que es estable y funde entre 33 y 35º C. Por lo tanto, el proceso requiere el control de tres fenómenos físicos: la cristalización de la materia grasa, la morfología de los cristales y la reología, todo lo cual determina su habilidad para la formación de redes tridimensionales estables, cuyo aspecto brilloso y crocante se mantenga en el tiempo.

Con esta finalidad, el chocolate a 40-45 °C se enfría hasta 26-28 °C y luego se calienta hasta 30-31 °C, usualmente a través de intercambiadores de calor con paletas que rascan la superficie del recipiente. Cuando el chocolate se enfría, cristalizan juntas distintas formas polimórficas. Al calentarlo, las formas polimórficas metaestables se convierten a la forma buscada y con el enfriamiento posterior estos cristales actúan de semillas para la formación de nuevos cristales de esa misma forma polimórfica. Estos tratamientos térmicos, que habitualmente se conocen como proceso de templado, son una etapa cla-

ve en la producción de chocolate, mientras que, para los baños o productos de repostería, dado que las grasas vegetales utilizadas no presentan este tipo de polimorfismo, el proceso de cristalización resulta facilitado. Por último, el producto debe ser depositado en moldes o bandas transportadoras y ser solidificado a través de túneles de enfriamiento, con un perfil de temperatura que en general debe variar de 8 a 15 °C, para que el resultado sea un producto estable, y en el desmolde o salida se evite la condensación en superficie de la humedad del ambiente, la cual puede afectar su estabilidad, hasta ser finalmente protegido en envases de materiales adecuados para que esté listo para llegar al público.

Cumplida esta reseña sobre algunas de las variables críticas del proceso de fabricación de chocolate, como profesional que ha sabido desempeñarse en ese campo, he querido que el interlocutor ajeno al tema pueda imaginar de manera más concreta cómo se realiza y de dónde se obtiene este producto, que afronta el desafío de contribuir al desarrollo de una alimentación más sostenible, como también la oportunidad de ofrecerse de formas más saludables, a modo de invitación para que los profesionales o estudiantes de la ingeniería se interesen en ensayar su aporte tecnológico, o bien, sumarse a un consumo más consciente de este alimento apreciado universalmente.

Referencias bibliográficas

• BECKETT, Stephen T. Traducción de Antonio Vercet Tormo. La ciencia del chocolate. España. Editorial Acribia. 2000.

• AFOAKWA, Emmanuel Ohene. Chocolate Science and Technology. Willey-Blackwell. 2010.

• MOHOS, Ferenc. Confectionery and Chocolate Engineering. Principles and Applications. Willey-Blackwell. 2010.

• BECKETT, Stephen T. Industrial chocolate manufacture and use. Willey-Blackwell. 2009.

Área Mecánica

Un modelo simplificado para la evaluación del consumo de energía de los trenes de alta velocidad (*)

Por José DI PAOLO

Ingeniero Mecánico. Matrícula CIE: 1-0431-1. Profesor e investigador de la FI-UNER y la FRSF-UTN. jdipaolo@ingenieria.uner.edu.ar

Introducción

La necesidad de traslado cada vez más ágil, en menor tiempo y con mayor confort, ha disparado el desarrollo tecnológico para lograr vehículos de transporte terrestre capaces de moverse a velocidades de 350 km/h sobre ruedas y a mayores velocidades todavía mediante medios de propulsión más avanzados (Maglev). Clásicamente estos son los

trenes eléctricos de alta velocidad (TAV) que se hallan en operación en varios países de Europa, China y Japón entre otros.

Los TAV se han vuelto competitivos al transporte aéreo para distancias del orden de los 500 km, que pueden ser cubiertas hasta en una hora y fracción desde el centro de un área metropolitana al centro de otra, evitando los traslados desde y hacia los aeropuer-

tos. No obstante, los TAV se han puesto en crítica por las enormes cantidades de energía consumidas para moverse a altas velocidades y el impacto que esto tiene sobre las emisiones de gases invernadero. No sólo la energía consumida, también los trazados rectilíneos de las vías que -a veces- cortan zonas medioambientales sensibles, causando daños a largo plazo en especies y por qué no en poblados, así como el gran consumo de terreno debido a la plataforma y espacio de servidumbres a ambos lados de las vías. Hay que tener en cuenta que las vías de alta velocidad requieren ser valladas –es decir aisladas- para evitar el

(*) Este trabajo es una adaptación del trabajo del autor presentado en el congreso CLADI-CAEDI 2021 que obra como referencia [9], donde puede verse en detalle la obtención de las expresiones que se muestran en adelante.

Revista Pág. 7

ingreso de animales de porte que puedan ocasionar accidentes [1], [2]. Este vallado divide el hábitat de algunas especies, generando drásticas modificaciones en su desarrollo, reproducción y supervivencia. Este es un embate más del ser humano contra la naturaleza, que puede ser puesto en crítica sobre datos cuantitativos que arrojen luz sobre la cuestión.

En este trabajo, se aborda simplificadamente el problema del consumo energético con el fin de introducir a los alumnos de ingeniería en el modelado teórico y el análisis de sensibilidad a los parámetros para la toma de decisiones. El modelo en ecuaciones se funda en la Mecánica Newtoniana de acuerdo a: la cinemática y la dinámica de la partícula en movimiento con aceleración constante y la interacción macroscópica de una placa plana con un flujo uniforme e invíscido. Luego, este modelo simplificado representa el movimiento de un vehículo terrestre y la resistencia al avance que produce el aire a nivel del mar, donde su densidad es la máxima posible. Se destaca que otras resistencias al movimiento no se consideran, de modo que el análisis sea válido para cualquier medio de impulsión. Además, para la alta velocidad en el caso de impulsión por ruedas, la suma de las resistencias por rodadura y por fricción en cojinetes es casi un orden de magnitud menor que la resistencia ejercida por el aire [2]. Las predicciones del modelo simplificado disparan una alarma a la alta velocidad a nivel del mar al comparar el consumo energético con los consumos de algunas poblaciones, situación que hace rápidamente dimensionable el problema.

Desarrollo

El movimiento -la cinemática- de un TAV entre dos puntos geográficos se ha supuesto siguiendo una trayectoria rectilínea

[3], comenzando con un tramo donde el incremento de velocidad desde cero se produce con aceleración constante hasta alcanzar la velocidad máxima, seguido de un tramo largo desarrollado a la velocidad máxima constante y un tramo final donde la velocidad cae a cero debido a una aceleración de frenado (desaceleración) constante. Esto es, desde el concepto físico: un tramo de movimiento uniformemente acelerado, un tramo de movimiento uniforme y otro tramo de movimiento uniformemente acelerado con aceleración negativa.

La figura 1 muestra esquemáticamente la variación de velocidad en función de la trayectoria, donde se han indicado simbóli-

frenado al convertir sus motores en generadores. Es decir, se asumirá que la única energía consumida y no recuperada será la utilizada para compensar el efecto disipador de la fuerza de arrastre en cada tramo.

El modelo de la fuerza de arrastre requiere una forma de objeto ya que depende fuertemente de ella. En este modelo simplificado se asume la forma de nariz de la cabina de un TAV asimilándola a una placa plana inclinada que se mueve con velocidad V. Esta suposición desconoce otras resistencias que se dan por efectos más complejos que tienen que ver con la forma completa del TAV, entre ellos el más importante es el desprendimiento de la capa lími-

camente las posiciones finales de cada tramo, el valor máximo de la velocidad, las aceleraciones con sus sentidos y los sentidos de las fuerzas de resistencia al avance ejercidas por el aire en cada tramo.

te, cuyo análisis no admite simplificaciones sencillas como las que se están realizando aquí (ver figura 2).

Respecto a la dinámica del movimiento, se hará foco en la valoración de la fuerza de arrastre para, a su vez, determinar el tra bajo realizado por ésta y en consecuencia el consumo energético para su compensación. Desde este punto de vista –el del consumose supondrá que el TAV recupera la energía consumida para aumentar su energía cinética en el primer tramo, devolviéndola a la red eléctrica durante el proceso de .

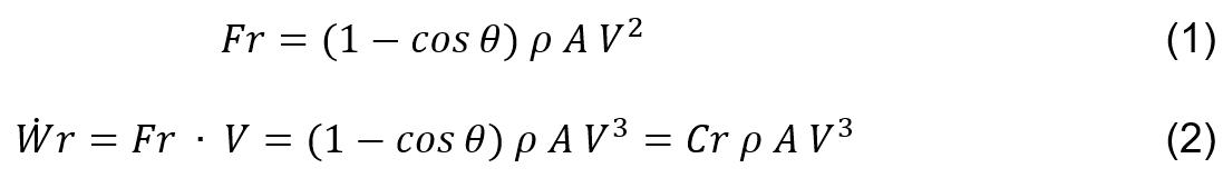
En tales condiciones y en virtud de la dinámica de fluidos que gobierna el impacto de la placa móvil sobre el aire calmo, puede demostrarse que la fuerza de arrastre (Fr) depende directamente de la densidad del aire, del área de la placa medida transversalmente a la dirección del movimiento, del cuadrado de la velocidad y de propiedades trigonométricas del ángulo de inclinación [4]. Asimismo, la potencia para vencer ese arrastre (Wr) depende del cubo de la velocidad. Esto es:

Figura 1: Movimiento unidimensional supuesto para el vehículo en términos de la velocidad en función de la posición desde el reposo. Tramo I: movimiento con aceleración constante. Tramo II: movimiento con velocidad constante. Tramo III: movimiento con aceleración negativa (de frenado) constante.
Revista Pág. 8

Un modelo simplificado para la evaluación del consumo de energía de los trenes de alta velocidad

Considerando las particularidades de la cinemática y de la dinámica expresadas en los párrafos anteriores, surgen las ecuaciones finales para cada tramo. En la tabla I se hallan las expresiones de tiempo y trabajo (energía disipada) por tramos (donde V = 2 a 1 L 1) y, en la tabla II, las magnitudes totales de tiempo (tT = t3), trabajo y potencia promedio respectivamente, todas en función de los datos: VM, r, A, q, L1, L2 y L.

(https://www.siemens.com/).

Resultados y discusión:

2 M

Los resultados fueron obtenidos para un trayecto, tamaños y velocidades elegidas en función de datos generales sobre los TAV, esto es, un trayecto total de 500 km, un ángulo de nariz de 30º, un área transversal de 3,4 m de ancho por 3,7 m de alto y una densidad del aire de 1,225 kg/m3. Para establecer las magnitudes de los desplazamientos de aceleración y frenado, se tomaron los valores de

potencia motriz de TAV españoles que contienen 8 motores eléctricos de 103 kW cada uno [5]. Luego, el recorrido total fue desglosado en un tramo inicial acelerado de 10 km, un tramo de velocidad constante de 480 km y un tramo de 10 km para el frenado y detención total.

Finalmente, se considerará para el análisis que la energía eléctrica tomada por el tren fue generada por centrales térmicas cuya emisión promedio es de 0,75

kg de CO2 por cada kWh generado. Asimismo, a partir de datos de Argentina y de Europa, se tomará el consumo promedio en un mes de una vivienda característica con cuatro personas, en 500 kWh lo que representa una potencia simultánea promedio de 0,694 kW [6].

Los resultados de las expresiones de la tabla II [9] se condensan en la tabla III. A los fines de realizar comparaciones, los renglones 5 y 11 de la tabla III indican que la

Figura 2: Tren Velaro Novo de la compañía Siemens
Der., Resistencia del aire al movimiento de una placa plana inclinada. La placa simula la forma de cuña del frente de un TAV
Tabla I: Tiempos y trabajo disipado por tramos del viaje
Tabla II: Tiempo total, trabajo y potencia promedio disipada en el viaje

Área Mecánica

energía consumida para un viaje con una velocidad máxima de 200 km/h 1 y el mismo viaje con una velocidad máxima de 350 km/h es, apenas, un tercio. Pero ello, en comparación a la potencia consumida por personas durante el tiempo del viaje, representa una población de 1.921 personas en el primer caso y de 10.298 en el segundo caso. Cabe destacar que un TAV transporta, con pasaje completo, entre 350 y 500 personas. Un análisis de los tiempos para los renglones 5 y 11 refleja un ahorro de 1,11 h en un trayecto de 500 km. Cabe preguntarse si este ahorro justifica un consumo 200% superior y si realmente existen aquellos pasajeros para los cuales 1 h merece un sustancial incremento del precio de su pasaje o de los subsidios al transporte.

Respecto a las emisiones, para el viaje a 350 km/h la necesidad de generar 1,789 x 103 kWh más respecto al viaje a 200 km/h, implica emitir 1,342 x 103 kg de CO2 más. Una enorme cantidad de gases invernadero para que entre 350 a 500 persones ahorren un poco más de una hora en un viaje de 500 km. Quizás éste sea el nudo de la cuestión.

1 Tomando como referencia al tren rápido que puede viajar a velocidades máximas de 200 km/h con tecnologías y vías estándares.

Conclusiones

Se ha analizado el consumo energético por el movimiento a altas velocidades a nivel del mar, mediante un modelo simplificado inspirado en los trenes de alta velocidad. Los resultados son elocuentes del extremo consumo energético que demanda la alta velocidad en el transporte terrestre, requiriéndose fuertes razones de la economía en su totalidad, que justifiquen esta discutible necesidad desde el punto de vista ambiental.

Referencias bibliográficas

[1] Pyrgidis, C.N. Railway transportation system. Design, construction and operation, CRC Press, ISBN 978-1-48226216-2 (eBook - PDF), Boca Raton, USA. 2016.

[2] Profillidis, V. A. Railway management and engineering, fourth edition, ISBN 9781409464631, Ashgat Publishing Limited, England. 2014.

[3] Serway, R. Física, Tomo I, Mc Graw-Hill, México. 1998.

[4] Di Paolo, J. Mecánica de los Fluidos. Aspectos teóricos introductorios para ingeniería, JDP, ISBN 978-987-29235-01. 2013.

[5] RENFE, Nuestros Trenes. https://www.renfe.com/es/va/grup-renfe/grup-renfe/flota-de-trens

[6] M. A. Gálvez Huerta, et al. Instalaciones y Servicios Técnicos. Madrid: Sección de Instalaciones de Edificios. Escuela Técnica Superior de Arquitectura.

U.P.M. ISBN 97-884-9264-1253. 2013.

[7] Xiao-Dong Chen, Tang-Hong Liu, Xi-Sai Zhou, Wen-hui Li, Tai-Zhong Xie, Zheng-Wei Chen. Analysis of the aerodynamic effects of different nose lengths on two trains intersecting in a tunnel at 350 km/h. Tunnelling and Underground Space Technology 66, 77–90.2017.

[8] García Álvarez, A., Martín Cañizares, M. del P. Usos de la energía en el transporte. Fundación de los Ferrocarriles Españoles. http://www.enertrans.es, ISBN: 978-84-89649-25-5. 2009.

[9] Di Paolo J. Consumo de energía por la alta velocidad a nivel del mar: un modelo newtoniano simplificado inspirado en los trenes. Congreso CLADI-CAEDI 2021, en modalidad virtual. https://confedi.org.ar/cadi/edicion-2021/. 2021.

Tabla III: Resultados para las expresiones de la Tabla II

Área Sistemas

Mujeres ingenieras

R eflexión en torno a la presencia y el aporte de las mujeres en la Ingeniería

La participación de la mujer en la ingeniería no es reciente. Para dar cuenta de ello basta con mencionar, sucintamente, a unas pocas mujeres que desde épocas remotas marcaron hitos de la humanidad que cambiaron la historia.

Ada Lovelace (1815-1852) que sentó los pilares fundamentales de la ciencia de la computación actuales junto a Charles Babbage; Ellen Swallow Richards (1842-

Viviana Andrea SANTUCCI Ingeniera en Sistemas de Información. Matrícula CIE 1-0956-8 Especialista en Docencia Universitaria

1911) considerada como la madre de la ingeniería ambiental; Sarah Mather (1796-1868) que inventó y patentó el primer telescopio submarino; Emily Warren Roebling (1843-1903) quien lideró la construcción del puente de Brooklyn; Beulah Louise Henry (1887-1993) apodada como "Lady Edison" en analogía a sus múltiples inventos desarrollados; Pilar Careaga Basabe (1908-1993) fue la primera mujer ingeniera titulada en España y la primera en conducir un ferrocarril; Hedy Lamarr (1914-2000) que inventó el sistema de comunicaciones denominado técnica de transmisión en el espectro ensanchado, en el que se basan todas las tecnologías inalámbricas actuales como el WiFi, el GPS o el Bluetooth; Katherine Johnson (1918-2020) cuya principal contribución fue el cálculo de la trayectoria del vuelo espacial de Alan Shepard y Margaret Hamilton (1936) considerada la primera ingeniería de software de la historia.

A pesar de estos antecedentes, actualmente el porcentaje de participación de las mujeres en la ingeniería no se equipara con el de los varones. Lo cual es preocu-

pante porque, en mayor o menor medida, hoy somos partícipes de la Cuarta Revolución Industrial también conocida como Industria 4.0 caracterizada por la mejora de la eficiencia, la apertura de nue-

... actualmente el porcentaje de participación de las mujeres en la ingeniería no se equipara con el de los varones. Lo cual es preocupante porque, en mayor o menor medida, hoy somos partícipes de la Cuarta

Revolución Industrial también conocida como

Industria 4.0 caracterizada por la mejora de la eficiencia, la apertura de nuevas vías de negocio, la gestión de recursos optimizada, el ahorro de tiempo y mayor flexibilidad... " Revista Pág. 12

vas vías de negocio, la gestión de recursos optimizada, el ahorro de tiempo y mayor flexibilidad. Estas características provocan cambios en los paradigmas de las organizaciones –industriales o no- que instauran la innegable necesidad de adaptarnos a las vertiginosas transformaciones en un mundo donde la protagonista es la complejidad. En consecuencia, para abordarla y gestionarla es fundamental recurrir a la ingeniería.

La ingeniería comprende múltiples aspectos. En primer lugar, lo que refiere a innovación tecnológica: permite crear y desarrollar desde dispositivos electrónicos hasta infraestructuras avanzadas y soluciones de energía renovable. A esto debe sumarse la capacidad para diseñar productos y sistemas para todas las áreas de la sociedad. En segundo lugar, lo vinculado a soluciones de problemas complejos: la ingeniería capacita en abordar y resolver problemas en varios campos, desde los más

Margaret Hamilton, primera ingeniera de software

Mujeres Argentinas. Reflexión entorno a la presencia y el aporte de las mujeres en la Ingeniería

tradicionales hasta la inteligencia artificial, porque desarrolla la habilidad para aplicar métodos, herramientas y técnicas para encontrar soluciones a los desafíos actuales. En tercer lugar, en lo que alude a desarrollo sostenible: la ingeniería juega un papel crucial en el desarrollo de tecnologías que minimicen el impacto negativo en el medio ambiente, desde el diseño de edificios ecológicos hasta la optimización de procesos industriales. En penúltimo lugar, hay que mencionar a infraestructura y desarrollo económico: en esta dimensión la ingeniería permite diseñar, construir y mantener la infraestructura que da sustento al funcionamiento de la sociedad (transporte, comunicación, suministro de agua y energía, carreteras). Finalmente, en el ámbito de la medicina y la salud: la bioingeniería o ingeniería biomédica contribuye al desarrollo de equipos de diagnóstico hasta prótesis y dispositivos de asistencia. Por lo expuesto, la ingeniería puede y debe hacer intervenciones cruciales en las formas en que tra-

bajamos y nos relacionamos. Para que esto se materialice se requiere cada vez de mayor cantidad de profesionales comprometidos con la sociedad que ejerzan -sin distinción de género- la ingeniería. Sin embargo, cabe preguntarse ¿por qué es tan escasa la participación de las mujeres en este campo y en particular, en la industria del software y los servicios informáticos?

Para dar una respuesta exhaustiva debe hacerse un trabajo de investigación profundo que excede el alcance de este artículo. No obstante, se pueden aportar algunos elementos para esbozar un cuadro preliminar de situación como lo son: la baja matriculación en carreras de ingeniería, los factores que limitan su acceso, desempeño y promoción, escasez de investigaciones sobre mujeres que ocupan altos cargos en sectores productivos, abandono del ejercicio de la profesión después del nacimiento de su primer/a hijo/a, sesgos discriminatorios en los procesos de promoción que se traducen en distintas varas para

la evaluación de desempeño, la asignación de tareas y la relación con supervisores. Entre los factores que pueden contribuir a que esto suceda puede mencionarse la tendencia a asociar lo tecnológico con lo masculino, falta de incentivo desde la escuela y la familia, la tendencia a creer que una mujer no posee el conjunto de habilidades necesarias para una ingeniería, políticas de trabajo poco flexibles, salarios inferiores a los varones y horarios extendidos. Para concluir, se requiere un trabajo interdisciplinario y a largo plazo que involucre a un conjunto amplio de actores sociales en pos de reducir, y por qué no, de eliminar la brecha entre géneros en el campo de la ingeniería. Las demandas de la sociedad no admiten esperas y es por ello que no podemos darnos el privilegio de descartar a quien ejerce la profesión de ingeniero por su género a sabiendas de que la pluralidad y el trabajo en equipo conducen a resultados de excelencia.

Beulah Louise Henry. Inventora y empresaria estadounidense completamente autodidacta, responsable de unas 110 invenciones y 49 patentes

Institucionales

Gestión de calidad

Recibimos la certificación de la Norma ISO 9001:2015 por parte del Instituto Argentino de Normalización y Certificación (IRAM), cuyo alcance es "matriculación de profesionales de la ingeniería especialista, visado de expedientes técnicos y administración del colegio profesional".

Comisión CIE Joven

La Comisión CIE Joven con el apoyo de la Secretaría Técnica del Colegio y el área de comunicación institucional organizó las charlas sobre la Misión y Funciones del CIE en la distintas facultades de la UTN y UNL.

FADIE

El Ing. Julio Penno, en representación de nuestro Distrito 1, participó junto a veinticinco representantes de veinte provincias de la Asamblea anual ordinaria. La misma tuvo lugar los días 27 y 28 de junio en Rosario, donde se renovaron cargos directivos y se inauguró la nueva sede de la Federación ubicada en el edificio del Distrito 2.

Región Centro

El secretario del Directorio, Ing. Julio Penno, participó del encuentro con autoridades y referentes de la Región Centro “Un modelo de desarrollo desde el interior productivo” realizado en La Redonda, ciudad de Santa Fe.

Evento ronda de negocios "Parque Nacional Avellaneda"

El Ing. Roberto Pampiglioni, presidente del CIE, participó de este evento organizado por ICLEI que convocó a más de cuarenta actores estratégicos en el Centro de Convenciones Estación Belgrano de nuestra ciudad.

Pericias Judiciales

Se realizó la capacitación sobre Pericias Judiciales a cargo del Dr. Carlos Peña, de modo presencial y por videoconferencia. La Secretaría Técnica del Colegio hizo su aporte en relación a la presentación de las pericias judiciales para el visado utilizando el sistema de Autogestión.

Jornada Foro de profesionales de la Región Centro

El presidente del Directorio, Ing. Roberto Pampiglioni, participó de la jornada junto a otros representantes de los Colegios profesionales de la región en la sede del Colegio de Abogados de la Provincia de Santa Fe.

Charlas técnicas

El Área Eléctrica y de Eficiencia Energética y Energías Renovables del Colegio organizó en mayo y junio dos charlas con disertantes de ABB sobre Sistemas eléctricos más seguros, inteligentes y sustentables y E-Mobility, cargadores para autos eléctricos.

Día de la Ingeniería Argentina

Celebramos con nuestra comunidad de ingenieros y licenciados especialistas

El 6 de junio celebramos el Día de la Ingeniería Argentina con un agasajo para nuestros matriculados en el Salón de la Caja de Ingeniería de la ciudad de Santa Fe. Además, invitamos a participar a otras instituciones relacionadas con la Ingeniería Especialista.

Cada año destacamos a un colegiado por su trayectoria profesional y calidez humana. En esta ocasión, la Comisión Directiva decidió distinguir a Eduardo Santiago Groppelli. A continuación, compartimos una breve reseña de su trayectoria.

Ingeniero químico egresado de la Facultad de Ingeniería Química de la Universidad Nacional del Litoral, especialista en Ingeniería Ambiental y en Fuentes Renovables de Energía, desde 1983. Respecto de esta última especialización fue:

Pasante en el Instituto de Pesquisas Tecnológicas en San

Pablo – Brasil. Becado en 1985 por el Gobierno Italiano, para realizar el “Curso Superior de Fuentes No Convencionales de Energía”, durante seis meses en Sogesta - Grupo ENI - Urbino-Italia.

Becado en 1989 por el Centro Argentino-Brasilero de Biotecnología para realizar el “Curso de Tratamiento Biológico de Residuos Orgánicos Líquidos”, en el Instituto de Pesquisas Tecnológicas en San Pablo –Brasil.

Asistió a Congresos Internacionales en San Pablo en el año 1991 y en Barcelona 1999. Además, fue Docente e Investiga-

Distinción a la trayectoria

" A los jóvenes les digo que no hay fronteras en nuestra profesión. La ingeniería tiene termodinámica, la ley de Faraday, la conservación de la energía, se cumple en Ing. químico Eduardo

Bienvenida a nuevos matriculados

En ese mismo encuentro son bienvenidos a la comunidad del Colegio los profesionales recientemente matriculados:

Universidad Tecnológica Nacional. Facultad Regional Santa Fe (UTNFRSF):

• Ing. mecánico Marcos BALDO

• Ing. mecánico Alejandro MARTINEZ

De izquierda a derecha:

Ing. Martín GALDON (Otras Especialidades)

Ing. Marcos BALDO

Ing. Alejandro MARTINEZ

Ing. Juan Manuel SAVOY (secretario técnico adjunto)

Revista Pág. 16

Cuidamos tu profesión

dor en la Facultad de Ingeniería Química (FIQ) y la Facultad de Ciencias Hídricas (FICH) de la UNL. Participó en Ocho (8) Proyectos de Investigación en el ámbito de la UNL en Temas de Ingeniería Ambiental.

Fue DIRECTOR TÉCNICO DEL PROYECTO FITS ENERGÍA 2012 sobre BIOMASA:

“SISTEMA DE CO-GENERACIÓN DE ENERGÍA ELÉCTRICA Y TÉRMICA CON BIOGÁS, Y OPTIMIZACIÓN DEL RENDIMIENTO PRODUCIENDO METANO BIOLÓGICO" - Desarrollado entre los años 2013 a 2016 -y financiado por el Ministerio de Ciencia y Tecnología de la Nación.

Fue también Director del Proyecto CAI+D de la UNL “Desarrollo de Sistemas de Producción y Aprovechamien-

to de Residuos Agropecuarios y Basura Orgánica Domiciliaria por Digestión Anaeróbica, con Producción de Biogás y Abono Orgánico.

Presentó más de treinta (30) trabajos de resultados de investigación y técnicos en diversos Congresos Nacionales e Internacionales.

Es autor del Libro, “BIODIGESTORES - UNA PROPUESTA SUSTENTABLE” – Editado por el Centro de Publicaciones de la UNL – Octubre 2001. Cabe mencionar que el ing. Eduardo GROPPELLI como profesional independiente comprendió y cumplió cabalmente el sistema legal de la ingeniería vigente en nuestra provincia, que se tradujo en el visado de importantes proyectos y obras de su autoría para industrias lácteas, alimenticias y otras empresas.

tiene leyes planetarias, la ley de gravedad se cumple en todo el planeta, las leyes de la en todo el planeta. Cualquier trabajo de ingeniería es de alcance planetario "

Eduardo S. GROPELLI

Realizamos un merecido reconocimiento a nuestros colegiados que accedieron al beneficio de la jubilación.

Este año los agasajados fueron:

• Ing. mecánico y laboral José ROPOLO

• Ing. electricista electrónico Juan VILLIAS

• Ing. químico Eduardo GROPELLI

• Ing. químico Alejandro BERNABEU

De izquierda a derecha:

Ing. Bruno FACCIOLI (Área Mecánica)

Ing. Juan VILLIAS

Ing. Eduardo GROPELLI

Ing. BERNABEU

Ing. José ROPOLO

Ing. Raúl BUSTABER (vicepresidente)

agasajo a juBilados

Revista

Equilibrio en la cancha económica

- Narración para aprendizaje del modelo económico de las Tres Brechas -

Introducción

Por Ariel M. ROCCHI

Ingeniero electromecánico. Matrícula CIE Nº 1-2427-3 arielrocchi@hotmail.com.ar

Imagina que eres el director técnico de la Selección Nacional de Fútbol. Tu objetivo es llevar al equipo a la victoria, pero para ello debes gestionar con precisión diferentes aspectos, como el presupuesto del equipo, las inversiones en jugadores, los resultados en la cancha y las relaciones con otros equipos. El Modelo de las Tres Brechas funciona de manera similar, pero en lugar de un equipo de fútbol, se trata de la economía de un país.

Las Tres Brechas: Manteniendo el control del partido

1 - Brecha fiscal: La Federación Nacional de Fútbol de tu país (FNF) necesita dinero para pagar los salarios de los jugadores y del cuerpo técnico, comprar equipamiento deportivo, viajar a torneos internacionales y organizar partidos. Si la FNF gasta más de lo que gana por derechos de televisión, entradas a los partidos y patrocinios, hay un déficit fiscal. En la economía real, esto ocurre cuando el gobierno gasta más de lo que recauda en impuestos, lo que puede generar inflación y endeudamiento.

Analogía: El déficit fiscal sería como si la FNF gastara más de lo que gana por la venta de entradas y camisetas, lo que obligaría a pedir préstamos a bancos o instituciones financieras para cubrir los gastos.

2 - Brecha externa: La Selección Nacional intercambia camisetas con otras selecciones del mundo. Si se regalan más camisetas de las que se reciben, hay un déficit externo. En la economía real, un país tiene un déficit externo cuando importa más bienes y servicios de los que exporta, lo que puede generar una fuga de divisas y una depreciación de la moneda.

Analogía: El déficit externo sería como si la Selección Nacional cediera más camisetas a otras selecciones de lo que recibe, lo que reduciría la cantidad de camisetas disponibles para vender a los fanáticos.

3 - Brecha del crecimiento: La Selección Nacional busca ganar la Copa del Mundo, pero si no mejora su rendimiento y no gana suficientes partidos, hay una brecha de crecimiento. En la economía real, esto sucede cuando la economía no crece lo suficiente, bajo un determinado lapso de tiempo, para rápidamente crear empleos y reducir la pobreza.

Analogía: La brecha de crecimiento sería como si la Selec-

ción Nacional no entrenara lo suficiente y no ganara suficientes partidos, lo que le impediría alcanzar su máximo potencial y competir con las mejores selecciones del mundo.

Ecuaciones Fundamentales: La fórmula al éxito

El Modelo de las Tres Brechas utiliza una ecuación matemática para explicar cómo funcionan estas brechas: (S - I) + (T - G - TR) + (M - X) = 0

Donde:

S: Ahorro (como cuando los clubes ahorran dinero para mejoras o cuando: empresas, el agro, la minería, energía, universidades, instituciones, agencias, u otros organismos gubernamentales, personas, otros; ahorran parte de sus ganancias para invertir en el futuro).

I: Inversión (como cuando un club de fútbol invierte en la compra de un nuevo jugador o cuando: empresas, el agro, la minería, energía, universidades, instituciones, agencias, u otros organismos gubernamentales, personas, otros; invierte en maquinaria o tecnología).

T: Impuestos (como el dinero que los fanáticos pagan por las entradas a los partidos o: empresas, el agro, la minería, energía, universidades, instituciones, agencias, u otros organismos gubernamentales, personas, otros; pagan al gobierno en impuestos).

G: Gasto público (como el dinero que la FNF invierte en la construcción de un nuevo estadio o el gobierno invierte en infraestructura pública).

TR: Transferencias del sector público (como el dinero que la FNF da a los clubes de fútbol para el desarrollo de sus jugadores juveniles o el gobierno da a: empresas, el agro, la minería, energía, universidades, instituciones, agencias, u otros organismos gubernamentales, personas, otros; como asistencia).

M: Importaciones (como cuando un club de fútbol compra equipamiento deportivo de otro país o cuando una: empresas, el agro, la minería, energía, universidades, instituciones, agencias, u otros organismos gubernamentales, personas, otros; importa bienes del extranjero).

X: Exportaciones (como cuando un club de fútbol vende jugadores a otros clubes del extranjero o cuando una: empresas, el agro, la minería, energía, universidades, instituciones, agencias, u otros organismos gubernamentales, personas, otros; exporta productos o conocimiento a otros países).

Sectores y Políticas: Jugando en equipo para el éxito

El modelo también nos ayuda a comprender las necesidades de diferentes grupos y cómo las políticas de la FNF y el gobierno pueden afectarlos. Por ejemplo:

Jugadores: Quieren ganar más dinero, recibir más beneficios de la FNF y pagar menos impuestos. (En la economía real, serían los trabajadores que buscan mejores salarios, beneficios sociales y una menor carga fiscal).

Clubes de fútbol: Interesados en aumentar las ventas de entradas y camisetas, invertir en la compra de nuevos jugadores y pagar menos impuestos. (En la economía real, serían las empresas que buscan aumentar sus ganancias, invertir en su crecimiento y tener un entorno fiscal favorable).

FNF: Busca recaudar, invertir en infraestructura deportiva, proporcionar mejores servicios y mantener la estabilidad financiera. (En la economía real, sería el gobierno que busca recaudar impuestos para financiar sus programas, invertir en el bienestar de la población y mantener una economía saludable).

Federación internacional de fútbol (FIF): Interesado en la estabilidad económica global de las ligas,

Revista Pág. 19

Equilibrio en la cancha económica - Narración para aprendizaje del modelo económico de las Tres Brechas -

los clubes y las federaciones, el comercio internacional y el crecimiento económico de los mismos. (En la economía, sería el FMI que busca promover la estabilidad económica a nivel mundial, facilitar el comercio internacional y apoyar el crecimiento económico de los países).

El "Fair Play Financiero”: ¿gol en contra? o ¿un camino al éxito?

En tu país, la FNF ha implementado un sistema de control financiero, similar al Fair Play Financiero europeo, conocido como "Licencia de Clubes".

Analogía: La Licencia de Clubes sería como si la FNF estableciera una regla que le prohibiera a los clubes de tu país gastar más de lo que ganan por derechos de televisión, entradas a los partidos y patrocinios, incluso si otros clubes están gastando más y obteniendo mejores resultados. Esto podría ayudar a los clubes a controlar sus gastos a corto plazo, pero a largo plazo podría limitar su capacidad para invertir en nuevos jugadores, mejorar sus infraestructuras y competir con otros clubes más fuertes, tanto a nivel nacional como internacional.

Evaluación y Reflexiones: La implementación de la Licencia de

Clubes en tu país ha generado diferentes opiniones y debates:

Argumentos a Favor:

- Mayor estabilidad financiera: Se busca evitar que los clubes se endeuden excesivamente y pongan en riesgo su supervivencia.

- Juego limpio: Se pretende que la competencia sea justa y que ningún club tenga una ventaja financiera desmedida sobre los demás.

- Inversión responsable: Se alienta a los clubes a invertir de manera responsable y sostenible, priorizando el desarrollo de sus jugadores y la mejora de sus infraestructuras.

Argumentos en Contra:

- Limitación del crecimiento: Se teme que la Licencia de Clubes restrinja la capacidad de los clubes para invertir en nuevos jugadores y mejorar sus planteles, lo que podría afectar su rendimiento deportivo a largo plazo.

- Desigualdad: Se argumenta que la Licencia de Clubes beneficia principalmente a los clubes más grandes y ricos, mientras que los clubes más pequeños y con menos recursos podrían verse perjudicados.

- Falta de flexibilidad: Se critica la rigidez de la Licencia de Clubes y la poca capacidad de adaptación a las diferentes realidades financieras de los clubes.

clubes. La Licencia de Clubes, como herramienta de control financiero, puede ser un instrumento útil para alcanzar este equilibrio, pero es fundamental que se implemente de manera flexible y adaptable a las diferentes realidades del fútbol argentino. Se requiere un diálogo abierto y constante entre la FIF, la FNF, los clubes, los jugadores y los fanáticos para evaluar el impacto de la Licencia de Clubes y realizar los ajustes necesarios para que este sistema contribuya al desarrollo y la prosperidad del fútbol nacional, en su conjunto.

Caja de Conversión Argentina 1991-2001: La Nueva Regla del Juego

La Caja de Conversión —o Plan de Convertibilidad— era un sistema monetario implementado en Argentina entre 1991 y 2001 que fijaba el tipo de cambio del peso argentino al dólar estadounidense. Esta nueva regla del juego, al igual que la FNF que establece un límite salarial para los jugadores, buscaba:

- Reducir la inflación: Al fijar el tipo de cambio, se controlaba la cantidad de pesos en circulación, lo que ayudaba a controlar la inflación y estabilizar la economía (En el fútbol, un límite salarial evitaría que los clubes gasten demasiado dinero en salarios, lo que podría ayudar a estabilizarlos).

El Modelo de las Tres Brechas, aplicado al contexto del fútbol, nos invita a reflexionar sobre la importancia de encontrar un equilibrio entre la estabilidad financiera, la competencia justa y el crecimiento sostenible de los

- Atraer inversiones extranjeras: La estabilidad económica generada por la Caja de Conversión incentivaba a las empresas extranjeras a invertir en Argentina, lo que podía aumentar el crecimiento económico. (En el fútbol, un límite salarial podría hacer que los clubes sean más atractivos para los inversores, ya que sabrían que los gastos están controlados).

- Reducir la incertidumbre: Al saber que el peso argentino siempre valía lo mismo que un dólar estadounidense, las em-

Revista Pág. 20

presas y los consumidores podían tomar decisiones económicas con mayor confianza. (En el fútbol, un límite salarial podría reducir la incertidumbre en la competencia, ya que los equipos más ricos no podrían gastar todo su dinero en jugadores estrellas).

Sin embargo, la Caja de Conversión también tuvo algunos efectos negativos: - Limitaba la capacidad Área Eléctrica

del gobierno para ajustar la política monetaria: Al estar el tipo de cambio fijado, el gobierno no podía usar herramientas como subir o bajar las tasas de interés para controlar la inflación o estimular la economía. (En el fútbol, un límite salarial muy restrictivo podría limitar la capacidad de los equipos para mejorar sus planteles y competir con los mejores equipos del mundo).

- Generaba una recesión económica: La Caja de Conversión podía generar una recesión económica a corto plazo, ya que las empresas tenían que reducir sus costos para poder competir con las empresas de países con salarios más bajos. (En el fútbol, un límite salarial muy bajo podría hacer que los mejores jugadores se vayan a otros equipos, lo que debilitaría la liga nacional).

Conclusión:

El Modelo de las Tres Brechas y la Caja de Conversión nos permiten comprender cómo diferentes políticas económicas pueden afectar el desempeño económico de un país. Es importante utilizar políticas económicas de manera flexible y adaptable para responder a las diferentes necesidades y desafíos que enfrenta un país. La Caja de Conversión fue una herramienta útil para estabilizar la economía argentina en la década de 1990, pero también tuvo efectos negativos. Un análisis profundo y continuo de las diferentes variables económicas es fundamental para tomar decisiones políticas acertadas y alcanzar un desarrollo económico sostenible y equitativo, donde la comunicación y la colaboración entre diferentes sectores de la economía son fundamentales para el éxito de las políticas económicas.

Referencias bibliográficas

- CANAVESE, Alfredo. Convertibilidad en Argentina: Funcionamiento de una Caja de Conversión Anclada al Dólar [en línea]. Buenos Aires: Department of Economics, Universidad Torcuato Di Tella, 2001 [citado: 20-04-2024]. Disponible en Internet: https://econpapers.repec.org/RePEc:udt:wpecon:006

- GRAMKOW, C.; PORCILE, G. Un modelo de tres brechas [en línea]. El Trimestre Económico, v. 89, n. 353, p. 197–227, 2022 [citado: 20-04-2024]. Disponible en: https://doi.org/10.20430/ete.v89i353.1415

- JARAMILLO S., Olga Lucía; CARVAJAL E., Andrés; SÁNCHEZ T., Fabio. Ahorro y crecimiento en un modelo de tres brechas [en línea]. Revista de Planeación y Desarrollo, 1996, 27(1): 79-109 [citado: 20-04-2024]. Disponible en Internet: https://biblat.unam.mx/es/revista/revista-de-planeacion-y-desarrollo/articulo/ahorro-y-crecimiento-en-un-modelode-tres-brechas

- SEMBER, Florencia Romina; VERNENGO, Matías. El Banco Central como Caja de Conversión. En: Historia necesaria del Banco Central de la República Argentina: Entre la búsqueda de la estabilidad y la promoción del desarrollo. Buenos Aires: Lenguaje Claro, 2018. ISBN: 978-987-3764-28-8.

Biodiversidad

Área Otras Especialidades

El refugio oculto de Biodiversidad del norte santafesino

Descubre la reserva privada de uso múltiple "Doña Sofía"

Por María Paula GETAR

Licenciada en Biodiversidad. Matrícula CIE Nº 1-3288-8

Perito de bosques. Matrícula Nº 0641 mpgetar@fhuc.unl.edu.ar

En el noreste de la provincia de Santa Fe, a tan solo 400 km de la capital, los amantes de la naturaleza pueden encontrar un lugar donde la biodiversidad florece y las prácticas humanas se integran armoniosamente con su entorno. Un tesoro natural, que combina la producción, el ecoturismo, la conservación y la investigación científica en compromiso firme con la biodiversidad.

Revista Pág. 22

Área Otras Especialidades

¿Qué es una Reserva Privada de Uso Múltiple?

La Ley 12.175 de la provincia de Santa Fe define a las Reservas Privadas de Uso Múltiple como áreas parcialmente transformadas que mantienen un equilibrio ecológico dinámico. Estas reservas son campos privados en donde se realizan actividades productivas en un marco de regulación estatal que asegura la conservación de los ambientes naturales y la vida silvestre. Forman parte del Sistema Provincial de Áreas Naturales Protegidas (SPANP) aquellos campos que presentan atributos ecológicos y un buen estado de conservación. La normativa establece regulaciones sobre el uso de recursos naturales, la fiscalización del aprovechamiento, y promueve usos científicos, educativos, turísticos y agrarios, al tiempo que impone prohibiciones para evitar abusos ambientales.

Ubicación de la Reserva "Doña Sofía”

La reserva está situada en un sitio estratégico, en el corazón de uno de los humedales más importantes del país: el sitio Ramsar Jaaukanigás. Desde su inclusión en el SPANP en julio de 2020, "Doña Sofía" se convirtió en la primera reserva con categoría “uso múltiple” dentro del sistema de islas del río Paraná. Aquí, la intervención humana es mínima, preser-

vando las prácticas ganaderas tradicionales que respetan la pastura natural. Comprometidos con los preceptos de la Ley, nos dedicamos activamente a la conservación de especies autóctonas, prohibiendo la pesca y la caza, y limitando cualquier actividad que pueda perturbar el equilibrio del ecosistema. Situada a solo 10 km al este de la localidad de Villa Ocampo, a través de la Ruta Provincial N° 32, el área protegida abarca aproximadamente 600 hectáreas y es un rincón natural privilegiado. De estas, alrededor de 30 hectáreas están abiertas para que los visitantes se sumerjan en la naturaleza. La reserva cuenta con cartelería informativa detallada, señalética clara, miradores en altura y panorámicos, y senderos interpretativos bien definidos. Estos elementos pueden ser explorados de forma autoguiada o con la compañía de guías que enfatizan las numerosas potencialidades de este valioso humedal.

Características generales del bosque

La reserva “Doña Sofía” se encuentra en la ecorregión Delta e Islas del Río Paraná, donde el régimen hídrico del río ejerce una influencia significativa sobre la vegetación. Los bosques de inundación se desarrollan gracias al régimen pulsátil del río, que durante la creciente deposita sedimentos aluviales y durante el estiaje provoca la erosión del sustrato (Franceschi & Lewis, 1979). Estos bosques ribereños proporcionan innumerables beneficios para el ser humano, tales como oxígeno, agua, combustible, madera y esparcimiento (Balvanera, 2012). Además, ofrecen servicios culturales que incluyen beneficios recreativos y estéticos, así como aquellos relacionados con la identidad,

el legado cultural y el sentido de pertenencia (Balvanera, 2012). Asimismo, desempeñan un papel crucial en la conservación de la biodiversidad, al ofrecer refugios a la flora y fauna silvestre, y actuar como reguladores de las características físicas y químicas de los ecosistemas acuáticos (Rosales, 2003).

En particular, la Reserva “Doña Sofía” está conformada por un bosque pluriespecífico con más de 30 especies arbóreas (Getar, inédito), esenciales para la conservación de la biodiversidad asociada y la conformación de abundantes nichos ecológicos. Las especies leñosas relevadas no solo son cruciales para el funcionamiento del ecosistema fluvial, sino que también representan una fuente de alimentos, medicinas, fibras, taninos y miel. Entre los árboles más comunes se encuentran el Horquetero (Tabernaemontana catharinensis), Tala trepador (Celtis iguanaea), Ivirá Pitá (Peltophorum dubium), Sangre de Drago (Croton urucu-

rana), Timbó colorado (Enterolobium contortisiliquum), Ingá (Inga uruguensis), Laurel de la costa (Nectandra angustifolia) y Balcoca (Phyllanthus chacoensis). Una mención especial merece el Camboatá blanco (Matayba elaeagnoides), una especie nativa del sur de Brasil, Paraguay y noreste de Argentina (Zuloaga & Morrone, 1996). Este hallazgo en la Reserva constituye una nueva cita para la provincia de Santa Fe, ampliando la distribución de la especie (Getar, inédito).

Revista Pág. 23

El refugio oculto de Biodiversidad del norte santafesino.

Descubre la reserva privada de uso múltiple "Doña Sofía"

La vegetación en un bosque es un elemento estructural básico para el funcionamiento de los ecosistemas, proporcionando recursos como alimento, refugio y protección que son esenciales para la fauna silvestre que habita en él (Rosales, 2003). La interacción entre la flora y la fauna es fundamental para mantener el equilibrio ecológico, subrayando la importancia de conservar ambos componentes.

La fauna, un elemento clave para la conservación

En el estudio de fauna realizado en la Reserva (Lorenzón & Walker, 2019), se constató una notable diversidad de mamíferos, aves, reptiles y anfibios. En total, se registraron 19 especies de mamíferos, representando el 52% de las especies confirmadas en el territorio provincial (Pautasso, 2008). Además, se identificaron 127 especies de aves, constituyendo el 29% de la lista consolidada para la provincia de Santa Fe (Fandiño y Giraudo, 2010). Asimismo, se documentaron 5 especies de anfibios y 7 especies de reptiles. A pesar de esta gran diversidad, se espera que futuros estudios puedan ampliar la lista de especies identificadas, proporcionando una visión más completa de la biodiversidad del área.

Mamíferos

Esta área protegida está situada en una zona identificada como prioritaria para la conservación de mamíferos en la provincia de Santa Fe (Pautasso, 2008). Entre los mamíferos que se destacan en la reserva, el Mono carayá (Alouatta caraya) es notable por su frecuente avistamiento. Esta especie, clasificada como vulnerable a nivel nacional, se considera una "especie bandera" debi-

do a su valor en la educación ambiental. Su presencia atrae considerable atención y simpatía del público, facilitando la promoción de la conservación de su hábitat (Rumiz, 2010). En términos de conservación, cuatro taxones de mamíferos registrados en la reserva requieren una atención especial: el Lobito de río (Lontra longicaudis), clasificado como "en peligro"; el Hurón menor (Galictis cuja) y el Aguará popé (Procyon cancrivorus), ambos catalogados como "vulnerables"; y el Carpincho (Hydrochoerus hydrochaeris), que se encuentra en la categoría de "casi amenazada" (Ojeda et al., 2012). Las demás especies de mamíferos registradas en la reserva están clasificadas como de "preocupación menor". Este perfil resalta la importancia de las estrategias de conservación específicas para proteger tanto las especies en riesgo como la biodiversidad general de la reserva.

Aves

“Doña Sofía” es un importante destino para ornitólogos y aficionados, quienes visitan la zona durante todo el año debido a su notable diversidad de aves. Algunas especies observadas en la reserva solo se han registrado en el extremo noreste de la provincia de Santa Fe, específicamente en los bosques de la planicie del río Paraná (de la Peña, 2006 y 2011). El alto valor de conservación

de los bosques fluviales para la ornitofauna de la provincia, motivó su inclusión como una de las siete áreas de importancia para la conservación de aves de la provincia de Santa Fe. A nivel nacional, se identifican cuatro taxones de aves de particular interés para el área de distribución: el Ñandú (Rhea americana), el Charlatán (Dolichonyx oryzivorus), el Capuchino canela (Sporophila hypoxantha) y el Capuchino garganta café (Sporophila ruficollis). Estas especies están clasificadas como vulnerables a nivel nacional (MAyDSN y Aves Argentinas, 2017). Además, el Ñandú y el Capuchino garganta café están catalogados a nivel internacional como "cercanos a la amenaza" (BirdLife International, 2018).

Anfibios y Reptiles

Se han registrado un total de 5 especies de anfibios y 7 especies de reptiles. De estas especies, la única que presenta problemas de conservación a nivel nacional es la Boa Curiyú (Eunectes notaeus), clasificado como "vulnerable" (Giraudo et al., 2012). Las demás especies de anfibios y reptiles no han sido asignadas a ninguna categoría de riesgo según las evaluaciones actuales (Abdala et al., 2012; Giraudo et al., 2012; Prado et al., 2012; Vaira et al., 2012). Es importante destacar que la información sobre la herpetofauna de la reserva podría expandirse con la implementa-

ción de esfuerzos de muestreo más intensivos y prolongados, lo que podría revelar la presencia de especies adicionales y mejorar la comprensión de su estado de conservación. La diversidad herpetológica de la reserva contribuye significati-

vamente a la riqueza biológica del área y subraya la importancia de las prácticas continuas de monitoreo y conservación para asegurar la preservación de estos grupos de fauna.

El norte santafesino y su patrimonio natural

Sin dudas, “Doña Sofía” es un lugar donde la naturaleza y la humanidad encuentran un equilibrio dinámico. Con sus ricos ecosistemas de humedales, bosques pluriespecíficos y una impresionan-

Referencias bibliográficas

te diversidad de flora y fauna, esta reserva ofrece una experiencia única para todos los amantes de la naturaleza. Los visitantes tienen la oportunidad de explorar senderos interpretativos, observar aves y mamíferos en su hábitat natural, y aprender sobre la importancia de conservar estos ecosistemas vitales. La Reserva “Doña Sofía” no solo es un refugio para especies en peligro, sino también un centro de educación ambiental y un ejemplo de prácticas sostenibles en armonía con la naturaleza.

BALVANERA P. (2012). Los servicios ecosistémicos que ofrecen los bosques tropicales. Revista Ecosistemas 21(1-2): 136147.

BIRDLIFE INTERNACIONAL (2018) The IUCN Red List of Threatened Species 2018: e.T22723484A132165511. Consultado el 21 de marzo de 2019.

DE LA PEÑA, M. R. (2006) Lista y distribución de las aves de Santa Fe y Entre Ríos. Editorial LOLA, Buenos Aires. 136 pp. DE LA PEÑA, M. R. (2011). Atlas ornitogeográfico de la provincia de Santa Fe. Serie Naturaleza, Conservación y Sociedad Nº 4. Ediciones Biológica, Santa Fe. 500 pp. FANDIÑO, B. Y GIRAUDO, A. R. (2010) Revisión del inventario de aves de la provincia de Santa Fe, Argentina. FABICIB, 14: 116-137.

FRANCESCHI E.A. Y LEWIS J.P. (1979). Notas sobre la vegetación del valle santafesino del río Paraná (República Argentina). Ecosur, 6(11): 55-82.

FRANCESCHI E.A., TORRES P.S. Y LEWIS J.P. (2010). Diversidad de la vegetación durante su recuperación tras una creciente extraordinaria del Río Paraná Medio (Argentina). Revista de Biología Tropical 58(2): 707-716.

GETAR, MP. inédito (2020) “Composición, diversidad y estructura de la vegetación arbórea de la Reserva Municipal el Pindó, Villa Ocampo, Santa Fe. Propuestas para conservar su biodiversidad”. Tesina de grado para optar por el título de Licenciada en Biodiversidad. Resolución 225/20. Director: Ing. Agr. Fernando Aiello (FCA-UNL), Codirector: Dr. Hugo F. Gutiérrez (FHUC-UNL).

GIRAUDO, AR, ARZAMENDIA, V, BELLINI, GP, BESSA, CA, CALAMANTE, CC, CARDOZO, G, … Y JD WILLIAMS (2012) Categorización del estado de conservación de las serpientes de la República Argentina. Cuadernos de Herpetología, 26(3): 303-326.

LORENZÓN R., WALKER C. (2018). Evaluación ecológica rápida en ambientes de bosque nativo (Villa Ocampo, Santa Fe): Relevamiento de fauna silvestre. Informe Técnico elaborado en el marco del Proyecto de formulación del Plan de Conservación de Bosques Nativos (Ley Nacional Nº 26.331 y Ley Provincial Nº 13.372) del Establecimiento “El Pindó” (Villa Ocampo, Santa Fe).

MAYDS & AVES ARGENTINAS (2017). Categorización de las Aves de la Argentina según su estado de conservación. Informe del Ministerio de Ambiente y Desarrollo Sustentable de la Nación y de Aves Argentinas.

NEIFF J. (1999). El régimen de pulsos en ríos y grandes humedales de Sudamérica. Tópicos sobre humedales subtropicales y templados de Sudamérica 229: 99-103.

OJEDA RA; CHILLO V Y DÍAZ ISENRATH (Eds) (2012) Libro Rojo de los Mamíferos Amenazados de la Argentina. Sociedad Argentina para el Estudio de los Mamíferos (SAREM). Argentina.

PAUTASSO, A. (2008). Mamíferos de la provincia de Santa Fe, Argentina. Comunicaciones del Museo Provincial de Ciencias Naturales Florentino Ameghino (Nueva Serie) 13(2):1-248.

PRADO, WS, PIÑA, CI Y T WALLER (2012) Estado de conservación de los caimanes de Argentina. Cuadernos herpetológicos, 26 (1): 403-410.

ROSALES J. (2003). Bosques y selvas de galería. En: Aguilera M., Azocar A. y Gonzalez-Jimanez E. (eds.), Biodiversidad en Venezuela, Tomos I y II. Fundacion Polar-Fonacit Caracas, Venezuela. RUMIZ D. (2010). Roles ecológicos de los mamíferos medianos y grandes. En: Distribución, Ecología y Conservación de los Mamíferos Medianos y Grandes de Bolivia, (pp. 55-73). Bolivia: Centro de Ecología Difusión Simón I. Patiño, Santa Cruz de la Sierra, Bolivia.

VAIRA, M., AKMENTINS, M., ATTADEMO, M., BALDO, D., BARRASSO, D., BARRIONUEVO, S., ... & ZARACHO, V. (2012). Categorización del estado de conservación de los anfibios de la República Argentina. Cuadernos de herpetología, 26, 131159.

25

Turn static files into dynamic content formats.

Create a flipbook
Issuu converts static files into: digital portfolios, online yearbooks, online catalogs, digital photo albums and more. Sign up and create your flipbook.