Revista IE 74

Page 1

deseMpeño sísMIco de pueNTes TípIcos eN

ARGeNTINA: RehABILITAcIÓN coN AIsLAdoRes LRB

AsocIAcIÓN de INGeNIeRos esTRucTuRALes

cARGAs de vIeNTo soBRe MÓduLos foTovoLTAIcos: evALuAcIÓN expeRIMeNTAL

MéTodo de dIseño sIMpLIfIcAdo eN eL dIMeNsIoNAdo de coRReAs pARA cuBIeRTAs MeTáLIcAs coN peRfILes c coNfoRMAdos eN fRío, seGúN cIRsoc 303-09

Año 26 / ABRIL 2023 / edIcIÓN 74 / edIcIÓN dIGITAL

LRB

45 AIe Informa eficiencia de Recursos y cambio climático

48 AIe Informa

14 razones para usar acero estructural en puentes

52 AIe Informa

“La voz de los ingenieros es crucial para la reducción del riesgo de desastres”

54 AIe Informa cementoN

56 AIe Informa el rol de la ingeniería para el desarrollo sostenible

58 AIe Informa documentos de la NsBA

36

Método de diseño simplificado en el dimensionado de correas para cubiertas metálicas con perfiles c conformados en frío, según

cIRsoc 303-09

60 AIe Informa Lo que se mide se puede mejorar

63 AIe Informa

Reflexiones para las nuevas demandas de la Ingeniería Latinoamericana

|4|
suMARIo
Nota de Tapa desempeño sísmico de puentes típicos en Argentina: Rehabilitación con aisladores
10 cargas de viento sobre módulos fotovoltaicos: evaluación experimental 28 Análisis del comportamiento estático y dinámico en líneas de transmisión: una revisión metodológica 18

Nuestro mayor capital

Me complace brindar la bienvenida a un nuevo año de contactos entre la Asociación de Ingenieros Estructurales, entidad que me ha honrado con la responsabilidad de su presidencia, y todos sus asociados e interesados en la temática

Este 2023 presenta un núcleo de dificultades económicas, las cuales, con seguridad, serán decisorias para las definiciones expectantes de planes resolutivos Argentina transita una de las etapas más dificultosas de su historia No vamos aquí a cuantificar los severos indicadores de déficit en diferentes planos, los cuales exigen una urgente solución

En esta oportunidad, los invito a enfocar nuestra mirada en el mayor capital disponible, el cual cotiza en positivas expectativas y pura esperanza: Nuestras y nuestros jóvenes, los protagonistas en quienes debemos depositar todos los esfuerzos Durante su proceso de formación profesional, en el ámbito de la ingeniería civil, distintas entidades llevan a cabo convocatorias capaces de alentar y premiar iniciativas basadas en el conocimiento, la investigación y la reflexión participativa Por caso, en el marco de los 100 años de la Asociación de Fabricantes de Cemento Portland (AFCP), se presentó recientemente el CementON, un hackaton virtual para trabajar, colaborativamente, en ideas y soluciones sostenibles e innovadoras, capaces de nutrir a la industria cementera

Se fomentó de esa forma un ámbito donde más de 100 estudiantes y egresados/as noveles de todas las universidades e instituciones terciarias del país, con interés en la temática, trabajaron formando equipos interdisciplinarios con el apoyo de co-facilitadores y representantes de las cuatro empresas organizadoras: Loma Negra, Holcim, Cementos Avellaneda y PCR El equipo ganador desafió la siguiente premisa: ¿Cómo podríamos fomentar el uso de cementos “más verdes”?, un interesante tema. De esta forma, Emilia Amalia Beatriz Rojas (Chaco), Micaela Weber (Entre Ríos), Johanna Buhr (Córdoba), Ángel Adrián Lugo (Misiones) y Alan Domingo (Santa Fe), fueron reconocidos con el primer premio

En paralelo, vale reconocer la iniciativa de nuestra institución junto al Consejo Profesional de Ingeniería Civil (CPIC), ofrecida en el 18° Concurso Nacional de Modelos Estructurales, Premio CPIC 2022 “Ing Civil Norberto Walter Pazos” En la última edición del certamen, llevado a cabo durante las 27° JORNADAS ARGENTINAS DE INGENIERÍA ESTRUCTURAL, el concurso contó con la organización del Instituto de Mecánica Aplicada y Estructuras (IMAE) de la Facultad de Ciencias Exactas, Ingeniería y Agrimensura (FCEIA), junto a la Universidad Nacional del Rosario (UNR), siendo ganadores del primer premio los estudiantes Hugo Quiñones, Tania Quenaya y Ariel Meneses, de la UTN Facultad Regional Mendoza; el segundo puesto fue para Valentino Benedetich, Agustín Rafaelli y Santiago Rolando, de la FCEIA-UNR; y el tercer puesto correspondió al equipo de la FIUBA integrado por María Constanza Ruffinelli, Carolina Barrera y Manuela Medina Como es tradicional, este concurso de modelos distingue a aquellas propuestas capaces de responder, satisfactoriamente, ante las desafiantes condiciones estructurales impuestas por sus bases de participación, fomentando en los estudiantes el mérito de poner a prueba los conocimientos adquiridos durante las distintas asignaturas cursadas

Instituciones y empresas, mancomunadas, brindan su aporte al mañana, estimulando y premiando el compromiso demostrado por estudiantes ávidos de manifestar sus aptitudes A ellas y ellos van dedicadas estas palabras, inaugurando así este espacio Editorial 2023, y garantizándoles, desde la AIE, la firme convicción de continuar incrementando estas vías de protagonismo, tendientes al fomento de un mañana venturoso para nuestra ingeniería estructural y la Argentina toda

Los mejores deseos para este año 2023 Continuamos trabajando

|5|
edIToRIAL

Prohibida la reproducción total o parcial de textos, fotos, planos o dibujos sin la autoriz ación expresa del Editor Los artículos firmados son de exclusiva responsabilidad de sus autores o de las firmas que facilitan la información y no reflejan necesariamente la opinión de la AIE

Publicación de la Asociación de Ingenieros Estructurales para la información y divulgación de temas científicos y técnicos

Edición digital 74

ISSN 16671511 / AÑO 26 / Abril de 2023

COMISIÓN DIRECTIVA DE LA AIE

PRESIDENTE:

Ing Pablo Luis Diéguez

SECRETARIO: Ing Ricardo Taba

TESORERO:

Ing Mario C Chiesa

VOCALES TITULARES:

Ing Patricia Lucía Aab

Arq Roberto Alfie

Ing Carlos Marcelo Salomone

Ing. Rafael Garcia Tornadu

VOCALES SUPLENTES:

Ing. Gloria Gutiérrez

Ing. José A. Rueda

REVISORES DE CUENTAS:

Ing. Eduardo A. Cotto

Ing Máximo Fioravanti

SECRETARÍA

Lic María Laura Rivas Díaz

Sandra Orrego

REVISTA IE

COMITÉ EDITORIAL

Director: Ing Marcos De Virgiliis

Mg Inga Laura Cacciante

Mg Ing Carlos Gustavo Gauna

Inga Gloria Gutiérrez

PRODUCCIÓN EDITORIAL CONTÉCNICOS Contenidos Técnicos

Arq. Gustavo Di Costa

EDITOR RESPONSABLE ASOCIACIÓN DE INGENIEROS ESTRUCTURALES

Hipólito Yrigoyen 1144 1º, C1086AAT

Ciudad Autónoma de Buenos Aires

Tel/Fax: +54 (911) 4381-3452/5252-8838

Info09@aiearg org ar

www aiearg org ar

CORRESPONSALES

ARGENTINA

Bahía Blanca: Ing Mario Roberto Minervino

Córdoba: Dr Ing Carlos Prato

El Calafate: Ing Otto Manzolillo

Mendoza: Mg. Ing. Carlos Llopiz

Neuquén: Ing. Emanuel Gevara

Rosario: Mg Inga Yolanda Galassi

Santa Fe: Dr Ing Gustavo Balbastro

Trelew: Ing Hugo Juan Donini

EXTERIOR

Bolivia: Ing. Mario R. Terán Cortez (La Paz)

Brasil: Dr Ing Paulo Helene (San Pablo), Ing Silvio de Souza Lima (Río de Janeiro), Prof Darío Lauro Klein (Porto Alegre)

Colombia: Ing Luis Enrique García (Bogotá), Prof Harold Muñoz (Santa Fe de Bogotá)

Chile: Ing Rodolfo Saragoni Huerta (Santiago)

China: Ing Carlos F Mora (Hong Kong)

República Dominicana: Ing. Antonio José Guerra Sánchez

Estados Unidos: Inga María Grazia Bruschi (Nueva York)

España: Ing Jorge Alberto Cerezo, Prof José Calavera Ruiz (Madrid), Dr Antonio Aguado de Cea (Barcelona)

Israel: Ing Mario Jaichenco (Naharia)

México: Dr. Ing. Pedro Castro Borges (Mérida, Yucatán), Ing Daniel Dámazo Juárez (México DF)

Paraguay: Ing Angélica Inés Ayala Piola (Asunción)

Portugal: Prof Antonio Adao da Fonseca (Porto)

Perú: Ing Carlos Casabonne (Lima)

Puerto Rico: Ing José M Izquierdo (San Juan)

Uruguay: Ing. Gerardo Rodríguez (Montevideo)

Venezuela: Inga Gladis Troconis de Rincón (Zulia)

|6|
|9|

Saracho, José Aníbal (1) y (2); Pérez, Gustavo Ariel (2); Dip, Oscar (1) y (2)

(1) Universidad Tecnológica Nacional, Facultad Regional Tucumán

(2) Instituto de Estructuras, Universidad Nacional de Tucumán joseanibalsaracho@yahoo.com.ar; g perez@herrera.unt.edu.ar; odip@herrera.unt.edu.ar

deseMpeño sísMIco de pueNTes TípIcos eN ARGeNTINA: Rehabilitación

con aisladores LRB

INTRoduccIÓN

El propósito de este trabajo de investigación, es presentar un método de avanzada de evaluación detallada, mediante análisis dinámico no lineal (ADNL), de puentes típicos ubicados en zonas caracterizadas como de elevada, y muy elevada, peligrosidad sísmica dentro del territorio nacional La citada evaluación se aplica para la situación de dichos puentes en los estados original y rehabilitado Para la rehabilitación se consideró la técnica basada en el uso de aisladores elastoméricos con núcleo de plomo La metodología permite evaluar, cuantitativamente, la capacidad sísmica de una estructura existente, y también, determinar la efectividad global de la técnica de rehabilitación empleada

|10|
NoTA de TApA
Fig ura 1 Puente sobre el Arroyo Tierras Blancas, Ruta Nacional Nº 40

MeTodoLoGíA

Se seleccionaron dos puentes típicos ubicados en la provincia de Mendoza, en los cuales, las luces de tramo, número de tramos, altura de pilas y ancho de tablero, se corresponden con los valores medios de un estudio estadístico llevado a cabo por los autores En las Figuras 1 y 2 se ofrecen vistas y cortes de los mencionados puentes de estudio La longitud total de ambas estructuras es de, aproximadamente, 66 m

tónicos similares a los del centro-oeste argentino, los cuales fueron escalados para compatibilizar con los espectros de respuesta para los sismos menor y mayor, respectivamente.

Se siguió la metodología establecida en el Manual de Rehabilitación Sísmica de Puentes (MRSP), una publicación de la Administración Federal de Carreteras de los Estados Unidos (FHWA) Allí se plantean objetivos de desempeño estructural para dos niveles de sismos, de 100 y 1000 años de periodo de retorno promedio, respectivamente, considerando asimismo la vida útil remanente de las estructuras

Los acelerogramas a utilizar en los ADNL, para la verificación del desempeño estructural, deben representar el ambiente tectónico y las condiciones locales del sitio de emplazamiento del puente En este trabajo, se utilizaron registros de sismos reales de ambientes tec-

En este estudio se emplearon dos Parámetros de Demanda Ingenieril (PDI), capaces de definir los Umbrales de Daño en Componentes que ofician de límites para los distintos niveles de desempeño establecidos: ductilidad por curvatura en las columnas y capacidad de desplazamiento de la superestructura en función de las dimensiones de los elementos que le sirven de apoyo

Se desarrollaron modelos analíticos 3D de los puentes usando la plataforma de elementos finitos OpenSees La superestructura de cada puente fue modelada aplicando elementos de barra prismáticos elásticos, asumiendo la hipótesis de que permanecen en el rango elástico según las prescripciones de Caltrans (Departamento de Transporte de California) Para las pilas, se adoptaron elementos de barra no lineales con plas-

Fig ura 2 Puente Acceso Este a la ciudad de Mendoz a, Ruta Nacional Nº 7

|11|

Modelo analítico

detallado del Puente sobre la Ruta Nº 40 Basado en el trabajo del investigador norteamericano Nielson (2005)

ticidad concentrada en los extremos, donde se formarán las rótulas plásticas. En este caso, las secciones son discretizadas con fibras longitudinales de acero para las armaduras longitudinales, hormigón confinado para el núcleo central, y hormigón no confinado para el recubrimiento

Asimismo, la interacción suelo-estructura en los estribos se modeló disponiendo resortes en los extremos del modelo con adecuadas relaciones no lineales de fuerza-deformación, las cuales, están basadas en las disposiciones de Caltrans

En Figura 3 se ofrece una vista del modelo analítico del puente sobre la Ruta Nº 40, con detalles de los resortes ubicados en estribos y pilas, como, asimismo, de las fibras en columnas

En relación con los aisladores elastoméricos con núcleo de plomo (Figura 4), los mismos se diseñaron de conformidad con lo establecido por las especificaciones AASHTO en la materia.

Por último, se instalaron dichos dispositivos en el modelo, en reemplazo de los apoyos elastoméricos exis-

|12|
Fig ura 3 3D

tentes, para así llevar a cabo los análisis dinámico no lineales con cada sismo de entrada

ResuLTAdos y dIscusIÓN

En la Figura 5 se muestran las respuestas MomentoCurvatura para los dos puentes ante el sismo mayor en la dirección longitudinal, donde resultaron más desfavorables Obsérvese la notable reducción de las curvaturas máximas de los casos aislados sísmicamente respecto de la situación original

La Figura 6 ofrece la respuesta de uno de los aisladores ubicados sobre la pila del puente sobre la Ruta Nº 7, en dirección longitudinal, apreciándose los ciclos histeréticos que dan lugar a la disipación de energía en estos dispositivos

Fig

Diag ramas Momento - Curvatura en columnas de pila del Puente sobre la Ruta Nº 40 (izquierda) y del Puente sobre la Ruta Nº 7 (derecha) en Dirección Longitudinal

|13|
Fig ura 4 Aislador elastomérico con núcleo de plomo (LRB) ura 5

coNcLusIoNes

De acuerdo con los resultados obtenidos, ambos puentes no cumplen con los requerimientos mínimos de desempeño para el denominado Sismo Mayor, de 1000 años de recurrencia

La técnica de rehabilitación empleada resultó altamente efectiva, a través de la limitación de fuerzas en componentes críticos como las pilas y la modificación de la respuesta dinámica, permitiendo que las estructuras estudiadas puedan cumplir con los objetivos de desempeño esperados conforme a la normativa

|14|
Fig ura 6 Respuesta de uno de los Aisladores sobre la Pila en el Puente sobre la Ruta Nº 7, en Dirección Longitudinal

Wyss, Guillermo1; Castro, Hugo G.2; De Bortoli, Mario E.2

1 Ingeniero Electromecánico, Grupo de Investigación en Mecánica de los Fluidos (GIMEF), Facultad Regional Resistencia, Universidad Tecnológica Nacional. gwyss@yahoo.com

2 Ingeniero Civil, Laboratorio de Mecánica Computacional (LAMEC), Facultad de Ingeniería, Universidad Nacional del Nordeste guillermo.castro@conicet.gov.ar

3 Ingeniero Civil, Secretario de Investigación y Posgrado (FI-UNNE), Facultad de Ingeniería. Universidad Nacional del Nordeste m debortoli@yahoo com ar

ANáLIsIs

deL coMpoRTAMIeNTo esTáTIco y dINáMIco eN LíNeAs de TRANsMIsIÓN: una revisión metodológica

Los numerosos colapsos que sufren las Líneas de Transmisión de energía eléctrica, tras el paso de tormentas y fuertes vientos, evidencian un esquema de cálculo insuficiente con respecto a los códigos de diseño estructural, como por ejemplo, los Códigos AS/NZS: 7000 (2010), ASCE 74 (2010), entre otros. Se estima que los eventos de vientos de alta intensidad, como ráfagas descendentes y tornados, son los responsables de más del 80% de todas las fallas en las Líneas de Transmisión relacionadas con el clima Investigaciones llevadas a cabo por instituciones públicas y privadas, dan cuenta que aún hoy, no se tiene información relevante en lo referente a modelos que representen, adecuadamente, estos fenómenos, por no considerar un análisis detallado de la interacción del viento sobre los conductores Esto ha llevado a que deba considerarse el efecto dinámico con respecto a las características de turbulencia del viento downburst (ráfagas descendentes)

De acuerdo con el análisis anterior, los códigos de viento proponen, para el cálculo estructural, el análisis de la Torre aislada, y posteriormente, la interacción del viento atmosférico con el conjunto de Torre-Líneas de Transmisión de energía En este trabajo se presenta una revisión de las respuestas de los sistemas y Líneas de Transmisión bajo vientos de alta intensidad, incluyendo mediciones de campo, métodos de simulación numérica, modelado estructural y análisis de modelos aero-elásticos.

|17|

INTRoduccIÓN

Las Torres de Transmisión de Alta Tensión son las responsables de transportar la energía eléctrica desde la fuente de Generación hasta el sistema de Distribución

Estas Líneas de Transmisión consisten principalmente en estructuras, compuestas por conductores, aisladores, soportes y cables de protección El óptimo diseño de las Líneas de Transmisión es importante cuando el sitio de generación se encuentra geográficamente alejado respecto de los centros de población, como en el caso de muchas represas hidroeléctricas en América del Norte y América del Sur En la mayoría de los casos, el diseño de Líneas de Transmisión se basan en casos de carga estática, carga ambiental, datos estadísticos de la acumulación de viento y hielo Informes anteriores de colapsos en Líneas de Transmisión, debido a condiciones climáticas, incluyendo vientos de tormenta de alta intensidad, enfatizan la importancia de profundizar la investigación sobre la interacción de estos tipos de vientos con las Líneas de Transmisión

(De Bortoli y otros, 2009)

Las vibraciones de interacción entre conductores y estructura, como el cambio de velocidad de diseño del viento, no son considerados en las especificaciones actuales de cálculo para el dimensionamiento de la misma

La siguiente revisión muestra un análisis capaz de detallar las cargas y factores naturales que afectan a la estructura Torre y Línea en forma dinámica

1. vIeNTos dowNBuRsT (RáfAGAs desceNdeNTes)

Un downburst se define como una corriente descendente intensa de aire que induce un viento con altas velocidades, en todas direcciones, al golpear el suelo

Fujita (1985) definió como una masa del aire frío y húmedo que desciende repentinamente de la base de la nube de tormenta, incidiendo sobre la superficie del suelo, y luego, divergiendo horizontalmente desde su centro de impacto, como se muestra en la Figura 1

|18|
Fig ura 1 Masa de aire con desplaz amiento vertical descendente

1.1 Mediciones de campo

Los trabajos de campo que actualmente se ofrecen sobre estos tipos de vientos, incluyen investigaciones y estudios meteorológicos ejecutados en el Norte de Illinois, Aeropuertos Internacionales informados por Fujita (1990), y estudios operacionales sobre clima de FAA/Lincoln Laboratory (FLOWS) reportados por Wolfson y otros (1985) Debido a su presentación muy localizada, el número de mediciones disponible es escaso, por ello, la mayor parte de la investigación se basa en modelos numéricos o modelos físicos en condiciones controladas a escala reducida, buscando predecir su comportamiento y la respuesta de las estructuras ante tales eventos

1 2 Modelado numérico

A continuación, se realiza una breve descripción de los tres modelos numéricos, los cuales usualmente, se utilizan para reproducir este evento

1.2.1 Anillo de vórtice

En un anillo típico de vórtice, las partículas de fluido se mueven en trayectorias circulares alrededor de un círculo imaginario (el núcleo), perpendicular a esas trayectorias Como en cualquier vórtice, la velocidad del fluido es constante, excepto cerca del núcleo, de modo que la velocidad angular aumenta hacia el núcleo, y la mayoría de la vorticidad se concentra cerca de él, como muestra la Figura 2.

Existen diferentes modelo de anillos de vórtice entre los que se destacan: “Modelo de anillo de vórtice (Zhu y Etkin, 1985; Ivan, 1986; Vicroy, 1992; Savory et al , 2001)”, simula el anillo de vórtice que se forma durante el descenso de la columna de aire de tiro descendente, reportado por Savory et al. (2001).

El modelo de chorro de choque, se basa en la analogía utilizando un chorro impulsivo y una superficie plana (Fujita, 1985) La Figura 3 explicita el desarrollo y su perfil de velocidad de salida.

Con el análisis de modelos en CFD de chorro impactante, pudieron calcular una componente vertical (axial) y horizontal (radial) de la velocidad La Figura 4 ilustra en planta un modelo de chorro impactante, las variables espaciales, diámetro del chorro (DJ) y la ubicación del centro de downburst relativo a la Torre en coordenadas polares.

|19|
Fig ura 2 Modelo de Anillo de vórtice 1 2 2 Modelo de chorro de inyección (chorro impulsivo) Fig ura 3 Modelo perfil de velocidad Fig ura 4 Parámetros de Downburst

Shehata y otros (2005) realizaron un extenso estudio paramétrico para investigar los perfiles de viento downburst, obteniendo el perfil de velocidad máxima

El Damatty y otros (2013), informaron que puede considerarse como una velocidad de referencia de diseño a 10 m de altura Estas experiencias presentan el comportamiento significativo de la componente vertical (dirección axial) de la velocidad del viento Se observa que el aumento de la velocidad es mayor respecto de la componente horizontal (dirección longitudinal) del sistema Los valores de velocidad obtenidos en los modelos corroboran con los logrados en los ensayos experimentales Por esta razón, es importante tener en cuenta esos valores de velocidad de perfiles para su posterior análisis en los diseños de estructuras en Líneas de Torres de alta tensión

vés de la reproducción de la variación espacial de la velocidad media)

2. ModeLAdo y sIMuLAcIÓN

Los estudios actuales sugieren que la investigación sobre la carga de viento estática de la estructura de la línea de la Torre no es suficiente para reducir accidentes y mejorar la fiabilidad de la línea de Transmisión, en particular, bajo fuertes condiciones de viento Para evaluar la estabilidad de un sistema de Torre-línea, se introdujo la comparación entre cargas estáticas y dinámicas, tomando como objeto de estudio la línea de Transmisión Leiwen que pertenece a China Southern Power Grid Limited Company

El método de la fuente de enfriamiento se basa en la introducción de la corriente vertical descendente implementado a través de una fuente de enfriamiento dentro del dominio computacional que simula la disminución de la temperatura en la base de la nube, aumentando la densidad del aire hasta provocar su descenso de forma repentina. La Figura 5 ofrece un esquema del modelo descripto

De acuerdo con la estructura real de la línea de Transmisión, se generó un modelo de análisis de elemento finito que contiene tres Torres y dos segmentos de Línea, como muestra la Figura 6, los vanos entre las tres Torres se encuentran a 339 y 327 metros, respectivamente, se utilizó como software de análisis dinámico el programa Ansys Se diseñó la Línea de Transmisión para una velocidad máxima del viento de 35 m/s a una altura de 10 m

Mason et al (2009) implementaron el método de fuente de enfriamiento basado en un método seco, no hidrostático, sub-nube y modelo asimétrico. Los códigos de diseño definen la velocidad del viento como la suma de una velocidad media constante y una velocidad fluctuante (la mayoría de los estudios focalizan la caracterización de estos eventos, únicamente, a tra-

1 2 3 el modelo de fuente de enfriamiento
|20|
Fig ura 5 Modelo de fuente de enfriamiento Fig ura 6 Modelo de elementos finitos de tres Torres y dos tramos de Líneas

2 1 simulación de carga de viento

La velocidad de 35 m/s a la altura de 10 m se establece como valor promedio La variación de la velocidad del viento, en general, tiende a aumentar con un incremento de altura de la estructura, obstaculizando la simulación de la velocidad en cada nodo El modelo final de elementos finitos es mostrado en la Figura 7

La velocidad del viento se considera como la carga, convirtiéndose en valores de presión, aplicados en las Torres y Líneas Por lo tanto, el procedimiento adoptado en el presente estudio, es la discretización de la Torre y la selección de nodos de altura promedio de cada sección, como puntos representativos

Se analizaron distintas distribuciones de la tensión debido a cargas de viento provocados por diferentes ángulos de incidencia sobre la Torre La simulación indica que la tensión de compresión máxima se produce, especialmente, en las barras principales, cerca del pie de la Torre Para evaluar la estabilidad del sistema Torre-Línea, la tensión máxima en la Torre se obtiene del análisis dinámico La distribución de la tensión en la Torre presenta una variación constante en la velocidad instantánea, lo cual conduce a un cambio en la ubicación de la tensión máxima y, ocasionalmente, obstaculiza la extracción de información en ese lugar Como se muestra en la Figura 8, a medida que aumenta la tensión, la relación se convierte en no lineal Además, a medida que se incrementa la velocidad del viento, el efecto del ángulo se vuelve más prominente, demostrando así que la función exponencial se puede utilizar para describir la relación entre la máxima tensión y la velocidad del viento

2.2 La relación entre tensión, velocidad y dirección del viento

Bajo diferentes condiciones de viento, la Torre exhibe diferentes dinámicas. La relación entre la tensión, la velocidad del viento y su dirección, se observa en la Figura 9 En ordenadas se ubica la tensión en Mpa, en abscisas, la velocidad del viento, y sobre el eje de cotas, la dirección del viento en grados

Relación entre la carga del viento y la tensión

Modelo discretiz ado de la Torre

Variación entre tensión, velocidad y dirección del viento

|21|
Fig ura 7 Fig ura 8 Fig ura 9

2 3 Modelo aeroelástico

La interacción del sistema meteorológico y estructural produce una respuesta de la Torre que se amplifica notablemente debido a la existencia de conductores Cuando se trata de analizar la vibración en el sistema de Línea y Torre, usualmente, se aplica el modelo aeroelástico La Figura 10 exhibe los componentes de un sistema Línea y Torre

Huang et al (2012) investigaron el modelo aeroelástico en un sistema de Líneas y Torres de largo alcance, cuya altura real trepó a los 370 m. Este estudio experimental se concentró en la carga de ráfagas y el factor de respuesta dinámica de la Torre Liang et al (2015) diseñó una prueba para un sistema de Línea y Torre de Transmisión de 500 kV, donde se discutieron las propiedades dinámicas de la Torre, con y sin Líneas El estudio analítico-numérico sobre las respuestas inducidas por el viento en el sistema Línea y Torre, también fue abordado por otros investigadores Se construyeron modelos dinámicos del sistema Línea y Torre, utilizándose para analizar la estabilidad de la Torre sometidas a vientos fuertes (Yasui et al , 1999; Battista et al , 2003)

La vibración inducida por el viento en el sistema de Líneas y Torres, es compleja y los problemas que pueden ocurrir son diversos, por ello, los investigadores prestan atención a diferentes aspectos

La literatura reciente se refiere al comportamiento dinámico de los conductores, como el galope, la vibración eólica y el amortiguamiento (Yan y otros, 2012; Barry y otros, 2013) Otros estudios se centran en el comportamiento mecánico y la seguridad de la Torre bajo la acción del viento (Klinger et al , 2011; Rao y otros, 2010) Como sistema, la Torre y el Conductor se influyen mutuamente, por lo que el efecto de vibración de acoplamiento siempre permanece presente

A diferencia de la Torre única, el sistema de Línea y Torre muestra diferentes modos de vibración, debido a la existencia de cables

Atento a ello, las frecuencias naturales de la Torre se reducen ligeramente y las relaciones de amortiguamiento aumentan notablemente. Con el fin de explorar la propiedad dinámica del sistema de Línea y Torre, verificando el modelo de prueba, se construyó un modelo numérico como muestra la Figura 11

|22|
Fig ura 10 Sistema Torre y Conductores Fig ura 11 Modelo numérico del sistema de Líneas y Torre

2.4 propiedades dinámicas del sistema Torre-Línea y Torre

Los resultados obtenidos indicaron que las propiedades dinámicas del sistema Línea y Torre, estarían más influenciadas por la vibración de los conductores respecto del sistema de Torre sola La Figura 12, presenta la ubicación de los sensores y la dirección del viento para el análisis

Las variaciones de desplazamiento y tensión dinámica en sistemas de Torre y Línea, se producen en todos sus componentes, y en mayor grado, sobre la parte superior de la Torre, amplificándose con el aumento de la velocidad del viento y la longitud de la línea

De acuerdo con las conclusiones anteriores, se puede pensar que para la propia Torre, su comportamiento dinámico no es tan susceptible al cambio de velocidad del viento, pero cuando se conectan cables a la misma, el incremento de tensión debido al movimiento de los cables bajo carga de viento, es considerable

El cable es el componente que conduce a la variación de las propiedades dinámicas del sistema Línea y Torre, por lo tanto, esos resultados deben ser considerados a la hora de diseñar estructuras de ese tipo

3

ModeLAdo esTRucTuRAL de uNA LíNeA de TRANsMIsIÓN BAjo cARGA desceNdeNTe

3.1 Torre de celosía y cables de retención

Shehata et al. (2005) desarrollaron un modelo de elementos finitos para simular la Torre y los cables de conexión como un elemento de marco tridimensional, lineal, de dos nodos con tres grados de libertad de traslación y tres de rotación por nodo

Cada miembro de la Torre fue simulado por un elemento Se asumieron conexiones rígidas entre los miembros de la Torre, al permanecer conectados físicamente mediante conexiones atornilladas que pueden transferir momentos

Los conductores se estudiaron por separado, y luego, se revirtieron y aplicaron sus reacciones en los puntos de conexión de la Torre Para la carga de downburst, se desarrolló un procedimiento para ampliar el campo de velocidades de un pequeño chorro de viento (Hangan et al , 2003), Ladubec y otros (2012) El análisis lineal de Shehata, Damatty (2008) y estudios de respuesta de la Torre, mostraron un aumento del 20% en las fuerzas axiales máximas de los soportes principales, resultando en una menor capacidad de falla de la estructura

|23|
Fig ura 12 Sensores y dirección del viento

3.2 Líneas conductoras

Debido a las consecuencias de provocar corte de suministro de energía, Shehata y otros (2005) analizaron diferentes modos de falla para las Torres de Transmisión expuestas a vientos tipo downburst Concluyeron que el modo de falla más crítico se debía a la variación de las fuerzas de tracción longitudinales, de las Líneas de Transmisión de energía eléctrica sobre las Torres, debido a que la fuerza longitudinal resultante transmitida a los brazos de la Torre, provocaba un momento de flexión fuera del plano en estudio

Para profundizar ese análisis, Aboshosha y El Damatty (2013) desarrollaron un estudio paramétrico para verificar los valores esperados de las fuerzas longitudinales de tracción sobre el conductor, llegando a la conclusión de que existe un aumento sobre la tensión media de los conductores; tensión que no se tiene en cuenta a la hora de dimensionar las estructuras de las Torres de Transmisión Eléctrica

El Damatty y otros (2013) demostraron que la respuesta estructural del conductor es altamente no lineal en diferentes tipos de conductores, y experimentan diferentes respuestas basadas en las características y propiedades del conductor Llegaron a la conclusión de que los principales parámetros que afectan a las fuerzas longitudinales y transversales de un conductor, son su material, el área de sección transversal, el área proyectada, la longitud del aislador y la profundidad de las bases

El análisis de elementos finitos (FEA) con modelos no lineales (Koziey y Mirza, 1994), ha sido modificado por Gerges y El Damatty (2002), para incluir los efectos geométricos, y fue utilizado por Shehata y otros (2005), para reproducir, con precisión, las propiedades de la Línea conductora prediciendo sus reacciones Shehata y otros (2005) informaron que modelar seis tramos de conductores, como se muestra en la Figura 13, es suficiente para obtener resultados precisos de las fuerzas transmitidas desde el Conductor hacia una Torre

Posteriormente, Aboshosha y El Damatty (2013), desarrollaron una técnica numérica para analizar los conductores de múltiples vanos en vientos de alta intensidad El comportamiento no lineal de los conductores, conducirá a un análisis de elementos finitos y procesamiento de datos, demandantes de muchas iteraciones para diferentes configuraciones de downburst, llegando al caso crítico de carga (Aboshosha y El Damatty, 2013) Existe la necesidad de una técnica computacionalmente eficiente, la cual logre analizar conductores en múltiples tramos bajo carga vertical y horizontal para vientos de alta intensidad, incluyendo las propiedades del conductor

4. coNcLusIÓN

En nuestro país, para el dimensionamiento de las cargas de viento sobre las Torres de Alta Tensión, se encuentran vigentes los siguientes reglamentos:

|24|
Fig ura 13 Modelado de la línea de Transmisión en estudio

Especificaciones Técnicas GC-IE-T-Nº 1, edición 1979, de la extinta empresa del estado Agua y Energía Eléctrica (AyEE); el reglamento AEA-95301, edición 2003, de la Asociación Electrotécnica Argentina; y la Guía de Diseño General de Líneas de Transporte por Distribución Troncal, 2009, de la Asociación de Transportistas de Energía Eléctrica de la República Argentina (ATEERA); el Reglamento CIRSOC 102, edición 2005, del Centro de Investigación de los Reglamentos Nacionales de Seguridad para las Obras Civiles; y otras normas de países con mayor desarrollo, como la norma IEC 826, edición 1991, de la Comisión Electrotécnica Internacional; el manual ASCE N° 74, edición 1991, de la Sociedad Americana de Ingenieros Civiles; la norma NBR 6123, edición 1987, de la Asociación Brasilera de Normas Técnicas; la norma Eurocode 1: EVN 1991-2-4, edición 2005, del Comité Europeo de Normalización (CEN); y finalmente, la norma DIN VDE 0210/12.85 de la Comisión Alemana de Tecnologías Eléctricas, Electrónicas y de Información (DKE), que sirvió de base para la ET GC-IE-T-N°1 de AyEE.

Estos reglamentos definen el cálculo de la carga de viento como el producto de una presión dinámica de

referencia, dependiente de la velocidad del viento y la altura sobre el terreno, por un coeficiente adimensional de fuerza en función de la geometría de la Torre, considerando vientos sinópticos que se desplazan en grandes extensiones.

Los eventos caracterizados por flujos descendentes intensos, durante tormentas eléctricas, que posteriormente resultan en un flujo expansivo horizontal de fuertes vientos cerca la superficie, son vientos de difíciles detecciones por su corta duración, no estacionarias y muy localizadas. La respuesta estructural del conjunto: Torre, Conductores, Aisladores y Cables de Protección, con respecto a estos tipos de vientos, han identificado configuraciones críticas en esos sistemas, debido a la variación de fuerzas de tracción longitudinales en los conductores, constituyendo la principal causa de accidentes en Torres y Líneas de Transmisión de energía eléctrica.

Sería importante profundizar el análisis y estudio de un sistema acoplado de Línea y Torre, observando su comportamiento dinámico bajo carga de viento Downburst, creando un modelo numérico el cual brinde respuesta a los distintos estados de carga.

|25|

AUNQUE LOS CÓDIGOS DE DISEÑO ESTRUCTURAL ESTABLECEN REQUISITOS MÍNIMOS PARA LA CONSTRUCCIÓN DE ESTRUCTURAS, NO PUEDEN GARANTIZAR LA RESISTENCIA COMPLETA ANTE EVENTOS EXTREMOS ES IMPORTANTE QUE LOS DISEÑADORES Y CONSTRUCTORES TOMEN EN CUENTA FACTORES ADICIONALES Y REALICEN ANÁLISIS DETALLADOS PARA GARANTIZAR LA SEGURIDAD Y CONFIABILIDAD DE LAS ESTRUCTURAS.

|27|

cargas de viento sobre módulos fotovoltaicos: evaluación experimental

INTRoduccIÓN

1Marighetti, Jorge O ;

2De Bortoli, Mario E ;

2Wittwer, Adrián R.;

3Loredo Souza, Acir M

1Mgr Ingeniero Mecánico, Facultad de Ingeniería, Universidad Nacional del Nordeste. jomaringha@g mail com

2Dr Ingeniero, Facultad de Ingeniería, Universidad Nacional del Nordeste. m debortoli@yahoo.com.ar; a wittwer@yahoo es

3PhD, Engenheiro Civil, Universidade Federal de Rio Grande do Sul. acir@ufrg s br

El Reglamento Argentino de Acción del Viento Sobre las Construcciones, CIRSOC 102, especifica coeficientes de carga aplicables a estructuras de formas regulares y de tipo general En el caso de los módulos fotovoltaicos y paneles solares, el reglamento no establece un tratamiento específico, como en el caso de otras normas internacionales revisadas recientemente El cálculo de las cargas de viento sobre módulos y paneles solares, a través del CIRSOC 102, se puede realizar considerando coeficientes sobre cubiertas planas aisladas, sin embargo, ensayos en túnel de viento permiten prever la interacción aerodinámica entre módulos, efectos de vecindad o aspectos topográficos, y, de esta forma, permiten lograr un proyecto seguro desde el punto de vista de las acciones del viento

El Reglamento CIRSOC 102, además, establece cuáles deben ser las condiciones a cumplir en los ensayos para aplicar el procedimiento del túnel de viento, incluyendo la simulación física de la capa límite atmosférica, la reproducción de escalas de la componente longitudinal de la turbulencia, el modelo a escala del edificio, la topografía y edificios circundantes, condiciones de bloqueo, gradiente de presión longitudinal en la sección de ensayo, efectos del número de Reynolds, y las características del instrumental del túnel de viento

Un estudio experimental fue llevado a cabo en el Laboratorio de Aerodinámica de la Facultad de Ingeniería de la Universidad Nacional del Nordeste (UNNE), donde se determinaron cargas de viento atmosférico sobre los módulos fotovoltaicos de una planta de energía solar Se trata del complejo “Cordillera Solar”, em-

|28|

plazado en el departamento de Iglesia, Las Flores, San Juan, Argentina, mediante ensayos en túnel de viento, utilizando dos tipos de modelos a escala reducida Se analizan los resultados de la determinación de los coeficientes de carga de viento sobre los módulos del parque “Cordillera Solar”, mediante ensayos en túnel de viento Se considera, primero, el caso de un módulo aislado y, luego, el caso de un conjunto de módulos seguidores Se determinaron los coeficientes de presión local y de fuerza global, para 6 o 13 direcciones de viento incidente, de acuerdo al caso considerado

cARAcTeRísTIcAs GeNeRALes de LA pLANTA de GeNeRAcIÓN soLAR

Los paneles solares de la empresa italiana Convert, ensayados en el túnel de viento, aerodinámicamente, son módulos individuales baja altura que generan grandes superficies de exposición al viento, y modifican su aspecto aerodinámico a lo largo del día Consiste en un soporte de paneles solares, con simple eje horizontal móvil a un metro de altura del suelo, soportado por 5 columnas, con paneles de 2 metros por 30 metros (Figura 1) y permite la variación en un ángulo de 55º

La disposición en planta de los módulos solares presenta una disposición de ejes paralelos cada 5 metros, aproximadamente En este trabajo, se verificará el tracker con velocidad de viento de 40 m/s, para un ángulo de inclinación de 20º, y con una velocidad de viento de 20 m/s, para una inclinación de 40º Esta verificación se efectuó a partir de los valores experimen-

tales obtenidos de ensayos en el túnel de viento, con el análisis del comportamiento con inclinación de 5º

descRIpcIÓN de AcTIvIdAdes expeRIMeNTALes

Los ensayos fueron realizados sobre dos modelos rígidos a escala reducida El primero, denominado aislado, con una escala de 1:10, en tanto el segundo representa un área de, aproximadamente, 115 m x 115 m a escala natural del parque Cordillera Solar, con una escala geométrica 1/200 Mediciones de presiones estáticas, medias y fluctuantes, sobre los modelos, se aplicaron en ensayos de túnel de viento, a velocidad máxima en vacío de 25 m/s, en las superficies superior e inferior de los módulos

Los ensayos se ejecutaron con viento incidiendo desde 0º a 180º, a intervalos de 15º y 45º Para cada dirección de viento analizada, se determinaron los coeficientes de fuerza global, punto de aplicación, y dirección de la fuerza resultante Los ensayos se corroboraron en el túnel de viento de la UNNE Se trata de un túnel de capa límite de circuito abierto, y su longitud total es de 39,65 m La cámara de ensayos tiene 2,4 m de ancho x 1,8 m de alto x 22,8 m de largo; con una velocidad máxima en vacío de 25 m/s. En el modelo aislado de escala 1:10, se utilizaron flujos incidentes de características turbulentas y uniforme y suave

El viento turbulento de capa límite simulada, con perfil de velocidades medias de relación U/Umáx de 0 74, próximo al piso del túnel; la intensidad de turbulencia

Detalle de los módulos del seg uidor solar Convert y disposición de los módulos seg uidores en una planta de generación

|29|
Fig ura 1

Iu es del 10%, disminuyendo hasta el 3% en la parte superior de la capa límite El viento uniforme y suave, indica una relación U/Uref, prácticamente constante (uniforme), con una intensidad de turbulencia Iu en torno al 1% La técnica de simulación de la capa límite atmosférica implementada en el túnel de viento (Figura 2), está comprendida en métodos de rugosidad y dispositivo de mezcla, adecuadas para su utilización en el área estructural

El modelo del módulo aislado, de escala geométrica de 1:10 (Figura 3), permite modificar la inclinación de la superficie, con tomas de presión superior e inferior del panel, para los ensayos en inclinaciones: 0º, 5º, 10º, 20º, 30º y 50º El modelo del conjunto de módulos seguidores (Figura 4), sector del parque correspondiente a una superficie de 115 m x 115 m, presenta una escala geométrica de 1:75, considerándose la inclinación más desfavorable respecto a la horizontal de 20º

ResuLTAdos

Los resultados de los ensayos en túnel de viento se presentan para el modelo aislado (escala 1/10) y para el modelo del conjunto de seguidores (escala 1/75)

|30|
Fig ura 2
Cámara de ensayos para generar viento turbulento y suave y con dispositivos de simulación de CLA de Standen

dIsTRIBucIÓN de coefIcIeNTes de pResIÓN ModeLo AIsLAdo

La distribución de los coeficientes de presión media correspondientes al modelo aislado, utilizando viento incidente donde efectos de succión localizada más importantes se producen para la inclinación de 20º respecto a la horizontal del módulo, para viento incidente oblicuo a 135º, cara superior (Figura 5), y con viento a 45º, cara inferior (Figura 6)

Características del modelo aislado, escala 1:10, y montaje del modelo aislado en la cámara de ensayos

Config uración del sector del parque solar a representar en el modelo a escala 1:75 y montaje del modelo en la cámara de ensayos

|31|
Fig ura 3 Fig ura 4

Coeficientes de presión para viento incidente turbulento a 135º, inclinación de 20º, cara superior

coefIcIeNTes de fueRzA pARA eL ModeLo AIsLAdo

Coeficientes de fuerza neta para el modelo aislado con flujo turbulento (Tabla 1)

Los coeficientes de fuerza sobre la cara más elevados se producen para las direcciones desde 135º a 180º El

Tabla 1

Coeficientes de fuerz a neta sobre el módulo aislado

análisis de los coeficientes de fuerza indica valores máximos de sustentación neta de -1 12 a -1 26, para las direcciones de viento incidente turbulento desde 135º a 180º, cuando la inclinación del módulo es de 20º Las cargas globales se obtienen al multiplicar coeficientes globales por la presión dinámica q del sitio de emplazamiento y el área de referencia considerada

Coeficientes de presión para viento incidente turbulento a 45º, inclinación de 20º, cara inferior

|32|
Fig ura 5 Fig ura 6

coefIcIeNTes de pResIÓN deL ModeLo deL coNjuNTo coN sIMuLAcIÓN de vIeNTo

Los coeficientes de presión media correspondientes al modelo del conjunto de seguidores, se realizaron, solamente, para una inclinación de 20º Para las direcciones de viento de 105º a 165º, se registran valores localizados de succión elevados (coeficientes negativos del orden de -1 80) por vórtices de esquina (Figura 7)

coMpARAcIÓN ModeLo AIsLAdo - ModeLo deL coNjuNTo

Dada la semejanza de las distribuciones de presión en ambos tipos de flujo incidente para el modelo aislado, se consideran solo los valores correspondientes al flujo turbulento Para direcciones de viento de 105º a 165º, se registran las succiones localizadas más elevadas, producto de los vórtices de esquina; sin embargo, valores de Cp indican succiones localizadas mayores para el modelo aislado, principalmente, para la dirección 135º, mientras que en el modelo del conjunto se registran para 150º

Los valores promedio de las succiones para la dirección de 180º son elevados, en el caso del modelo aislado (Cp = -0.9), mientras que, en el modelo del conjunto, se registran valores promedio de Cp = -0 6 para los paneles ubicados a barlovento y sotavento, y succiones más bajas en el panel emplazado en la zona central del sector (Cp = - 0 35)

Para la cara Inferior, viento incidiendo a 0º, las succiones promedio obtenidas en el conjunto de seguidores indican valores de Cp de -0 6, con registros localizados de -1 0, y son inferiores al caso aislado, los cuales indican valores de -0 9 y localizados de -1 3 Los vórtices de esquina se evidencian en las direcciones de 15º, 30º, 45º y 60º, con succiones localizadas que alcanzan valores de Cp = -1.03, para el modelo del conjunto, pero son mayores en el modelo aislado En las direcciones de viento que van desde 75º a 120º, en ambos casos, predominan las succiones leves, con valores promedio de Cp de entre 0 0 y -0 2

Para direcciones de 135º y 150º, sobrepresiones localizadas con valores de Cp entre +0.5 y +0.9 que, en el modelo de conjunto, se distribuyen uniformemente sobre una línea en el módulo ubicado más a sotavento, mientras en el modelo aislado son más locales y disminuyen a sotavento Las sobrepresiones localizadas

Fig ura 7. Coeficientes de presión para modelo del conjunto con inclinación de 20º - simulación de viento incidente a 150º - cara superior

|33|

verificadas para las direcciones de 165º y 180º son muy similares en el modelo aislado y del conjunto de seguidores, con valores de Cp +0 9 a +1 0

coNcLusIoNes

Las condiciones establecidas por el Reglamento CIRSOC 102, y la verificación experimental de que el conjunto de seguidores proporciona un estado de menores cargas aerodinámicas, señalan que, por razones de seguridad, el cálculo estructural debería realizarse teniendo en cuenta los casos más desfavorables obtenidos, considerando el modelo aislado Se debería analizar la inclinación del panel y las direcciones de viento incidente, capaces de provocar las peores situaciones de carga de viento

Ag radecimientos: Los autores ag radecen a Fernando Mateo de la empresa Jinko IPP International.

Referencias Bibliog ráficas

Centro de Investigación de los Reglamentos Nacionales de Seg uridad para las Obras Civiles, Reglamento CIRSO C 102: “Reglamento Argentino de Acción del Viento sobre las Construcciones”, INTI, Bs As , 2001

Convert S.p.A. PI1003PEMN0010E - Tracker - Installation Manual. 2018.

Sterling & Wilson, “Model fixing justification, Cordillera Solar Power PV Plant”, Doc No: COR O CL ModelFixing Justification V01, 2018

American Societ y of Civil Engineers, ASCE/SEI 7-22: Minimum Desig n Loads and Associated Criteria for Building s and Other Structures. 2022.

Structural Engineers Association of California, SEAO+C PV2-2012: Wind Desig n for Low -Profile Solar Photovoltaic Arrays on Flat Roofs Report 2012

López, A , Parnás, V E , & Cataldo, J , Experimentos en túnel de viento sobre paneles fotovoltaicos montados en el suelo. Revista Ingeniería de Construcción, 34(1), 15-24, 2019.

A R Wittwer, S V Möller, “Characteristics of the low -speed wind tunnel of the UNNE”, J Wind Eng Ind Aerodyn , 84 (3), pp 307-320, 2000

Marighetti, Jorge O., De Bortoli, Mario E., Wittwer, Adrián R. Análisis de cargas de viento sobre un edificio torre mediante ensayos en túnel de viento. 25º Jornadas Argentinas de Ingeniería Estructural, 26-29 de Setiembre de 2018, Resistencia (Chaco), Argentina

N J Cook, “Wind-Tunnel Simulation of the Adiabatic Atmospheric Boundar y Layer by Roughness, Barrier and Mixing-Device Methods”, J. Wind Eng. Ind. Aerodyn., 3, pp. 157-176, 1978.

M. De Bortoli, B. Natalini, M. J. Paluch, M. B. Natalini, “Part-Depth Wind Tunnel Simulations of the Atmospheric Boundar y Layer”, J Wind Eng Ind Aerodyn , 90, pp 281-291, 2002

J Blessmann, “O vento na engenharia estrutural”, Editora da Universidade, UFRGS, Porto Aleg re, RS, Brasil, 1995.

|34|
|35|

Método de diseño simplificado en el dimensionado de correas para cubiertas metálicas con perfiles

conformados en frío, según cIRsoc 303-09

Ing. Belcaro, Franco Mariano (1); Ing. Orler, Rodolfo (2); Mg. Ing. Donini Hugo Juan (3)

(1)Ingeniero Civil. Investigador y docente de la Facultad de Ingeniería Civil de la UNPSJB (Sede Trelew) Miembro Activo de la Asociación de Ingenieros Estructurales. francobelcaro@g mail com

(2)Ingeniero en Construcciones Investigador y docente de la Facultad de Ingeniería Civil de la UNPSJB (Sede Trelew). Miembro Plenario de la Asociación de Ingenieros Estructurales

(3)Ingeniero Civil Investigador y docente de la Facultad de Ingeniería Civil de la UNPSJB (Sede Trelew). Miembro Plenario de la Asociación de Ingenieros Estructurales

El dimensionado de correas para cubiertas metálicas con perfiles conformados en frío es una tarea habitual para el proyectista de este tipo de estructuras, pero a su vez, su cálculo a través del reglamento CIRSOC 303-09 resulta un trabajo laborioso y complejo. La tarea más complicada es determinar las resistencias de diseño en ambos planos de las secciones tipo C para las distintas acciones. En este trabajo, se propone generar tablas con resistencias de diseño de flexión y corte para los perfiles comerciales tipo C más utilizados de acero calidad F-24, logrando así que el dimensionado de esos elementos resulte más sencillo.

INTRoduccIÓN

El presente trabajo pretende desarrollar un procedimiento simplificado con fines prácticos y didácticos, en comparación con la metodología planteada según CIRSOC 303/09, para el dimensionado de correas de perfiles C en cubiertas Las dimensiones de este tipo de perfil se observan en la Figura 1 Las hipótesis adoptadas para la obtención de las resistencias de diseño, y la utilización de este método, son:

• Cuando la flexión se produce alrededor del eje x para cargas gravitatorias (peso propio, sobrecargas y nieve) se consideró que el ala superior comprimida se encuentra arriostrada por una chapa unida mediante tornillos autoperforantes o autorroscantes, colocados en el valle del plegado (Ver Figura 2).

• Para el caso de cargas de succión (viento), el ala inferior resulta comprimida y el ala superior traccionada Esta última, permanece arriostrada como se mencionó anteriormente

|36|
c
Fig ura 1: Perfil C conformado en frío (Referencia 1).

• Al estar arriostrado el cordón superior, se desprecia la torsión por no pasar la carga por el centro de corte (Referencia 2)

Entonces, para utilizar las tablas que se presentarán a continuación, se debe asegurar en obra que el revestimiento con chapa permanecerá unido mediante tornillos autoperforantes o autorroscantes colocados en el valle del plegado. En caso de no ser así, se llevará a cabo un análisis particular

verificación de relación de esbeltez

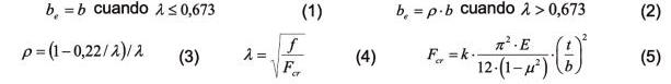
Se verificará la relación entre el ancho plano y el espesor de cada elemento que conforma la sección C, según el Capítulo B de la Referencia 3

Anchos efectivos

El ancho efectivo, , se deberá determinar utilizando las siguientes expresiones:

longitudinal y uniformemente comprimido se adopta 4 .

b) Para elementos comprimidos con un rigidizador de borde el coeficiente de abolladura se calcula según la Tabla B 4-1 de la referencia 3

c) Para elementos rigidizados con tensiones linealmente variables se adopta

Siendo: (En valor absoluto).

Tensiones que se muestran en la Figura 3, calculadas en función de la sección efectiva. Cuando son de compresión, .

d) Para elementos no rigidizados uniformemente comprimidos, se adopta 0,43

Siendo: Ancho plano

= !

Esbeltez del elemento que se determina de la manera indicada a continuación

Coeficiente de abolladura de placas que se determina según las Referencias 3 y 4

a) Para elementos rigidizados simplemente apoyados sobre un alma en cada borde

|37|
Fig ura 3: Alma rigidiz adas con tensiones linealmente variables (Referencia 3) Fig ura 2: Tornillos autorroscantes colocados en el valle del plegado de la chapa

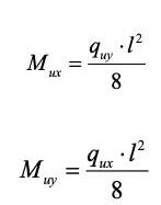
Resistencia nominal para flexión alrededor del eje x-x

Cuando la flexión se produce alrededor del eje X-X (eje fuerte), se analizarán dos casos:

1 Cuando predominan las cargas gravitatorias: En este caso, el ala superior se encuentra comprimida

2 Cuando predominan las cargas de viento: Se genera succión en la cubierta, provocando que el ala inferior se comprima

1. cargas gravitatorias

Cuando la unión del ala comprimida del perfil a la chapa de la cubierta se realiza con tornillos autoperforantes o autorroscantes, colocados en el valle del plegado, y el arriostramiento del sistema de cubierta se ejecuta según lo especificado en el artículo D 3 2 1 (Referencia 3), la resistencia nominal a la flexión, Mn, de secciones C cargadas en un plano paralelo al alma, se determinará considerando como longitud no arriostrada 2 veces la distancia entre pasadores, medida según el eje del perfil, de la siguiente manera:

es de 50 cm, por lo tanto, la longitud no arriostrada es de 100 cm

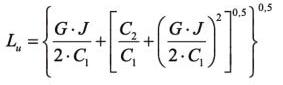
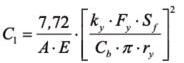
La longitud no arriostrada límite , para la cual, el pandeo lateral no es crítico, se obtiene con la siguiente fórmula:

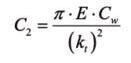
Siendo:

Módulo elástico de la sección efectiva, referido a la fibra extrema comprimida con la tensión , en cm³

Tensión elástica crítica de pandeo lateral-torsional calculado de acuerdo con (a) o (b) del artículo

C 3 1 2 1 (Referencia 3) en MPa

La longitud entre pasadores adoptada para este trabajo

Siendo:

para secciones de simple simetría

Factores de longitud efectiva

Área total de la sección transversal, en cm²

Módulo de elasticidad transversal, en MPa

Módulo de elasticidad longitudinal, en MPa

Módulo resistente elástico de la sección transversal no reducida (sección total) referido a la fibra comprimida extrema, en cm³

Módulo de alabeo de la sección transversal, en cm6

Módulo de torsión de Saint Venant, en cm4

Radio de giro de la sección bruta respecto al eje y, en cm.

Para este caso particular, se consideró las correas simplemente apoyadas y cargas distribuidas, por ende, el diagrama de momento es parabólico, siendo

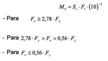
2 cargas de viento

La resistencia nominal a la flexión, Mn, en kNm de secciones C o Z cargadas en un plano paralelo al alma, con el ala traccionada unida a un tablero o revestimiento, y con el ala comprimida sin arriostramiento lateral, se debe calcular de la siguiente manera:

|38|

Siendo:

Módulo elástico de la sección efectiva calculado para la fibra extrema comprimida o traccionada con , en cm³

Tensión de fluencia en MPa.

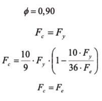
Factor de reducción, el cual se obtiene de la tabla C 3-1 de la referencia 3

Para aplicar la ecuación 13, el sistema de cubierta debe satisfacer 15 condiciones indicadas en la sección C 3 1 3 (Referencia 3) Pero debido a que los perfiles utilizados en nuestro medio, por lo general, no cumplen con la condición 3 y 4, no es posible utilizar la misma Dichas condiciones incumplidas son:

Resistencia nominal para flexión alrededor del eje y-y

Cuando la flexión es alrededor del eje Y-Y (eje débil) no se produce pandeo lateral, por lo tanto, la resistencia nominal a la flexión, Mn, se deberá calcular en base a la iniciación de la fluencia en la sección efectiva (Procedimiento I), o en base a la capacidad de reserva inelástica (Procedimiento II), cuando se admita su consideración

a) Procedimiento I - En base a la iniciación de la fluencia: El momento elástico efectivo, Mn (en kNm), se determinará de la siguiente manera:

Se debería realizar ensayos a escala real para validar esta ecuación utilizando los perfiles de nuestro medio

En forma conservadora, se determinó la resistencia nominal a la flexión con la ecuación 6, con distintas luces de correas, teniendo como consideración que el cordón inferior comprimido no se encuentra arriostrado y la chapa unida en el cordón superior traccionado no aporta resistencia al pandeo lateral De todas maneras, se calculó la resistencia con la ecuación 13, con el fin de comparar valores, aunque se deja aclarado que los mismos no se deben utilizar por las razones ya expuestas

Siendo:

La tensión de fluencia según lo especificado en el artículo A 2 8 (Referencia 3), en MPa

b) Procedimiento II - En base a la reserva de capacidad flexional inelástica:

La reserva de capacidad flexional inelástica se dispondrá cuando se satisfacen, simultáneamente, las condiciones indicadas en la sección C 3 1 1 de la Referencia 3

Resistencia de diseño al corte

La resistencia nominal y de diseño al corte se determinará de la siguiente manera:

|39|

Siendo:

Área del alma de la barra, en cm2 Módulo de elasticidad longitudinal, en MPa Tensión de corte, en MPa Resistencia nominal al corte, en kN. Espesor del alma, en cm Altura de la parte plana del alma medida sobre el plano del alma, en cm Coeficiente de abolladura por corte, el cual se determina según el artículo C 3 2 1 de la Referencia 3

procedimiento de diseño

En base a las ecuaciones descriptas anteriormente, se calcularon las resistencias de diseño a flexión, corte, longitud limite no arriostrada, módulos resistentes y momentos de inercia efectivos de correas comerciales para flexión alrededor de los ejes x e y Las resistencias de diseño se obtuvieron con una tensión de fluencia de Estas resistencias se resumen en la Tabla 1

|40|
Tabla 1: Resistencias de diseño para perfiles comerciales C (elaboración propia)

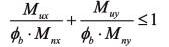
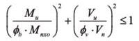
1 verificación a flexión disimétrica

Se aplicará la expresión C 5 2 1-1 del CIRSOC 303/09, con , por ende, las resistencias requeridas , deben satisfacer la expresión (20) de interacción Adicionalmente, cada relación individual no debe ser mayor a 1:

Siendo:

Resistencia a flexión requerida respecto de los ejes principales de la sección efectiva, en kNm

Resistencia de diseño a flexión respecto de los ejes principales, obtenidos de la Tabla 1, en kNm

2. verificación a corte

Se verificará: Siendo:

Resistencia a corte requerida respecto de los ejes principales de la sección efectiva, en kN

Resistencia de diseño a corte respecto de los ejes principales, obtenidos de la Tabla 1, en kN

Nota: * Los valores de esta columna son solo a título informativo, no deben utiliz arse en el cálculo ya que no cumplen con las condiciones 3 y 4 exigidas en la sección C.3.1.3. (Referencia 3).

3 verificación a flexión y corte combinados

Para vigas solicitadas a flexión Mu y a corte, la resistencia requerida a flexión Vu, y la resistencia requerida al corte, no deben superar a , respectivamente

Para vigas con almas no rigidizadas, la resistencia requerida a flexión Mu, y la resistencia requerida al corte Vu, deberán también satisfacer la expresión (22) de interacción:

Siendo:

Resistencia requerida a corte, en kN

Resistencia requerida a flexión, en kNm

Resistencia de diseño a corte cuando sólo se considera corte obtenido de la Tabla 1, en kN

Resistencia de diseño a flexión respecto al eje baricéntrico x, obtenido de la Tabla 1

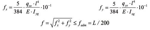
4. verificación en estado de ser vicio

(deformaciones)

Al considerarse simplemente apoyadas, la ecuación de flecha es:

||41| 41|

Siendo:

Deformación respecto a los ejes principales, Carga de servicio respecto a los ejes principales, en kN/m

Luz de la correa según la dirección analizada, en cm

Momentos de inercia efectivos respecto a los ejes principales, en cm4

Módulo de elasticidad del acero, en MPa

Según la Tabla A-L 4 1 (Referencia 4), la flecha no debe superar el valor de L/200 (deformaciones verticales - techos en general).

5 determinación de los momentos y cortes últimos

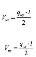
El esquema estructural es el de una viga simplemente apoyada en el plano XZ e YZ:

Las cargas lineales son:

Siendo:

Separación entre correas, en m

Luz de la correa, en m

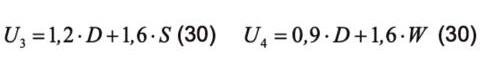
Se determinan las cargas lineales últimas en cada plano de acuerdo a las combinaciones a estudiar

1) Combinación

Las acciones más usuales en correas son:

Peso propio

Sobrecarga en cubierta

Nieve.

Viento

Las combinaciones de estas acciones a analizar son:

Fig ura 4: Determinación de cargas últimas para la combinación U1

2) Combinación

|42|

3) Combinación

conclusiones

En base al procedimiento presentado, se pueden obtener las siguientes conclusiones:

• El logro de una optimización en los tiempos de dimensionado, o verificación de estos elementos estructurales, cuando se tienen tabulados los valores de resistencias de diseño para perfiles comerciales

• Los valores de resistencia de diseño alrededor del eje x-x (eje fuerte) para cargas gravitatorias, son válidos cuando la unión del ala comprimida del perfil a la chapa de la cubierta se realiza con tornillos autoperforantes o autorroscantes, colocados en el valle del plegado En caso de no existir seguridad de que se ejecute de esta manera, se llevará a cabo un análisis particular

• Cuando el ala comprimida no se encuentra arriostrada por la chapa, como es el caso donde los tornillos se colocan en la cresta de la misma, las resistencias de diseño se reducen considerablemente, dando secciones mayores

• Se puede observar que, para cargas de viento donde el cordón inferior resulta comprimido, las resistencias obtenidas con la hipótesis de que la chapa unida en la forma descripta, no aporta resistencia al pandeo lateral, es muy conservadora, dando correas de mayores dimensiones

• Para trabajos posteriores se podría ampliar la Tabla, agregando resistencias de diseño con las hipótesis de arriostramientos discretos al centro y tercio de la luz de cálculo

• Se podría aplicar el mismo concepto para otros tipos de secciones, como puede ser el perfil Z, usualmente utilizado en nuestro medio

|43|
Fig ura 5: Determinación de cargas últimas para las combinaciones U2 y U3 Fig ura 6 Determinación de cargas últimas para la combinación U4

Referencias

1. INTI CIRSO C. 2009. CIRSO C 303/09. Ejemplos de aplicación del Reglamento Argentino de Elementos Estructurales de Acero de Sección Abierta Conformados en Frío

2. Gabriel Troglia. (2010). Estructura de acero con tubos y secciones abiertas conformadas en frio: Proyecto por estados límites Editorial Universitas. Argentina.

3. INTI CIRSO C. 2009. CIRSO C 303/09. Reglamento Argentino de Elementos Estructurales de Acero de Sección Abierta Conformados en Frío.

4. INTI CIRSO C. 2005. CIRSO C 301/09. Reglamento Argentino de Estructuras de Acero para Edificios

5. Del Río, M y Busnelli, A. P. (2014). Dimensionado directo de perfiles conformados en frío 23° Jornada Argentina de Ingeniería Estructural

Te invitamos a leer las ediciones de Revista Ie, publicación de la Asociación de Ingenieros estructurales para la divulgación e información sobre temáticas científicas y técnicas, en el siguiente link https://issuu com/asociaciondeingenierosestructurales

|44|

eficiencia de Recursos y cambio climático

El pasado 4 de abril de 2023, se llevó a cabo el segundo Taller Nacional del proyecto “Eficiencia de Recursos y Cambio Climático: Estrategias de eficiencia de materiales para un futuro bajo en carbono en Argentina, México e Indonesia”. Del evento participó el presidente de la AIE, Ing. Pablo Dieguez.

La citada reunión se formalizó el pasado 4 de abril de 2023, entre las 9 y 16 horas, en la sede de la Cámara de Industria y Comercio Argentino-Alemana, cita en la avenida Corrientes 327, de la ciudad de Buenos Aires La participación en el taller implicó priorizar acciones clave para alcanzar una mayor eficiencia de materiales y desarrollar una hoja de ruta de utilidad para nuestro país Durante el encuentro, los invitados formaron parte de dos mesas de trabajo

Las mismas se centraron en los cinco objetivos principales identificados en el proyecto hasta el momento: Utilizar materiales bajos en contenido de carbono, disponer menos material por diseño, alentar la descarbonización y sustitución de materiales, promover la descarbonización de los procesos de fabricación, y reducir los residuos e incrementar la reutilización y el reciclaje.

En la primera mesa de trabajo, los asistentes se concentraron en uno de los mencionados objetivos, iden-

tificando acciones prioritarias, actores clave, oportunidades actuales, barreras para lograr las metas y aprovechar las oportunidades, y soluciones factibles de implementarse en el país tendientes a eliminar los obstáculos existentes

En la segunda mesa de trabajo, se sugirieron plazos tentativos demandados para cumplir con las metas propuestas, las razones del cronograma ideado, y sugerencias acerca de los apoyos a obtener para acelerar el proceso y lograr una mayor eficiencia de materiales en la construcción residencial en el país

El taller incluyó presentaciones de actualización del trabajo del equipo del Panel Internacional de Recursos (IRP), así como también, una discusión plenaria con expertos locales sobre el tema El presidente de la Asociación de Ingenieros Estructurales (AIE), Ing. Pablo Diéguez participó del evento a los fines de reflexionar sobre esta temática de especial interés para la disciplina y las sociedades modernas

AIe > INfoRMA |45|
Cerrito 1250 CABA - Ciudad de Buenos Aires, Argentina Tel (+54 9) 11 2880-9243
cadeci@cadeci@org ar / www.cadeci org ar

14 razones para usar acero estructural en puentes

El puente de Brooklyn (EEUU) en construcción

1. ResILIeNcIA

Los puentes de acero se han construido durante más de 100 años. Muchos puentes notables, históricos y venerados, fueron materializados empleando acero:

El puente Golden Gate, el puente Eads y el puente de Brooklyn, por solo nombrar algunos Con el mantenimiento adecuado, estos puentes de 100 años de edad, han demostrado su resistencia a las duras condiciones ambientales y los eventos extremos Los puentes de acero construidos actualmente con materiales, revestimientos y técnicas de fabricación de acero, suman el potencial de ser, incluso, más resistentes respecto de los puentes construidos hace 100 años

El Instituto Americano de la Construcción en Acero, fundado en el año 1995, brindó estas 14 razones para utilizar acero en el diseño estructural de puentes Sus ventajas y características técnicas son analizados en cada uno de los tópicos descriptos

2.

Fabricado fuera del sitio, con equipo controlado geométricamente, el acero estructural presenta la ventaja de estar listo para erigir tan pronto como llegue al sitio de destino final No se requiere instalación de refuerzo y encofrado La construcción de acero estructural no se encuentra limitada a un rango de temperatura específico El acero estructural suele ser más liviano en relación con otros materiales para el mismo tramo, brindando como resultado, grúas de montaje más pequeñas o en menor cantidad El uso de acero estructural para un proyecto de puente acelera su construcción y reduce los requisitos de mano de obra en el sitio, junto con los costos generales del proyecto

cALeNdARIo de coNsTRuccIÓN AceLeRAdo
AIe > INfoRMA |48|

3 supeResTRucTuRA LIvIANA

Las superestructuras para puentes de acero son, generalmente, más livianas respecto de otros materiales de construcción, brindando como resultado, cimientos más pequeños y menos costosos Además, las superestructuras más livianas generan fuerzas sísmicas reducidas, una gran ventaja en regiones de elevada actividad sísmica

4. ModIfIcAcIÓN y AdApTABILIdAd fuTuRAs

Los componentes del puente de acero estructural se pueden fortalecer y adaptar, si surge la necesidad en el futuro, de abordar el aumento de cargas vivas, el ensanchamiento de carreteras u otros cambios en la configuración de la estructura Otros materiales no ofrecen la misma adaptabilidad, y muchas veces, demandan su completo reemplazo para soportar nuevas cargas o transformaciones en su morfología estructural

5 coNfIABILIdAd y ReduNdANcIA

Los puentes de acero logran confiabilidad a través de prácticas redundantes de diseño y construcción Se puede lograr una redundancia eficaz y eficiente a través de mecanismos a nivel de miembros o del sistema, que utilicen tolerancias de daños diseñadas, las cuales se pueden acoplar con el intervalo de inspección del puente Además, los elementos de tensión expuestos de los puentes de acero en servicio, mejoran la probabilidad de detección de daños durante las inspecciones visuales de rutina, incrementando aún más la seguridad y confiabilidad

|49|
El puente de Brooklyn (EEUU) en la actualidad El puente Eads (EEUU) en construcción

6 coNsTRuccIÓN de exTeNsos TRAMos

El acero presenta la capacidad de atravesar cruces de más de 150 metros, en forma de vigas placa, arcos atirantados, puentes colgantes, puentes atirantados y cerchas Muchos ejemplos, tanto históricos como actuales, señalan que el acero es el material ideal para estructuras de grandes luces, al ofrecer ventajas de fabricación controlada, componentes más livianos, y durabilidad para aplicaciones de largo alcance

7. ApLIcAcIoNes feRRovIARIAs y de TRáNsITo

Los puentes de acero son adecuados para aplicaciones ferroviarias y de tránsito, debido a la alta resistencia y rigidez que puede proporcionar como puentes de vigas de cubierta, vigas pasantes o tipo armadura. La alta relación resistencia-peso del acero, es ideal para soportar cargas sobre rieles casi cinco veces más pesadas respecto de las cargas vivas tradicionales de las carreteras Las características de rigidez proporcionadas por los puentes de acero, se pueden aprovechar para cumplir con los requisitos operativos y de deflexión de carga más estrictos.

8 INspeccIÓN eN seRvIcIo

Los puentes de acero son inspeccionados visualmente, ya que los inspectores de puentes pueden acceder fácilmente a todos los componentes principales que soportan carga, a los fines de evaluar, de manera eficiente, su condición en servicio. Los componentes de transporte de la carga principal no están ocultos ante los ojos del inspector del puente y, por lo general,

no requieren costosos equipos especializados, ni métodos de prueba no destructivos, para determinar su estado

9 MANTeNIBILIdAd y RepARABILIdAd

Cuando sea necesario, los puentes de acero se pueden reparar de manera eficiente y permanecer en servicio, y no requieren un reemplazo completo Los componentes se pueden reforzar con acero adicional, o quitarse y reemplazarse, manteniéndose el puente en servicio de manera permanente Los impactos y daños causados por vehículos de gran altura debajo del puente, a menudo, se corrigen fácilmente con técnicas de enderezamiento por calor, las cuales se encuentran suficientemente documentadas El mantenimiento, las reparaciones y la rehabilitación de un puente de acero, a menudo, ocurren con todo o una parte del tráfico mantenido en la estructura, mientras se amplía la utilidad en servicio del puente existente

10 GeoMeTRíAs coMpLejAs

Los componentes de puentes de acero se fabrican y montan para numerosas complejas configuraciones geométricas Los puentes de acero presentan la ventaja de manejar curvas cerradas, grandes sesgos, cubiertas de ancho variable, intercambios urbanos de un solo punto, así como bifurcaciones de rampas de entrada y salida, una particular necesidad dentro de los espacios de derecho de paso limitados

11. pueNTes de “cABALLos de BATALLA”

Los puentes de acero ofrecen oportunidades en el mercado de puentes de “caballos de batalla”, puentes típicos y tramos cortos Los puentes de acero pueden proporcionar una solución rentable para tramos cortos, utilizando secciones laminadas estándar o vigas placas estándar, así como modernos sistemas de revestimiento Cuando es necesario un reemplazo rápido, para un tramo más corto, el acero ofrece la capacidad de ser de construcción modular, y las secciones laminadas se encuentran disponibles en el mercado

|50|
El puente Eads (EEUU) en la actualidad

12 ReduccIÓN de desechos y coNTAMINAcIÓN

En promedio, el acero estructural producido en los EE UU se compone de un 93% a un 98% de contenido reciclado, y el 100% de una estructura de acero se puede reciclar en nuevos productos de acero, incluida la chatarra de acero del proceso de fabricación. La alta relación resistencia-peso del acero, junto con una baja huella de carbono (1,16 toneladas de CO2 por tonelada de acero laminado en caliente fabricado), brinda como resultado, una reducción general del carbono incorporado de una estructura típica, en comparación con otros materiales estructurales En pocas palabras, los residuos y los impactos ambientales se minimizan cuando se utiliza acero

13. cALIdAd y pRevIsIBILIdAd

La fabricación fuera del sitio permite condiciones controladas, garantizando un producto de mayor calidad, configurado con tolerancias precisas Si bien todos los puentes experimentan algún tipo de movimiento, un puente de acero estructural se comporta de manera predecible, para brindar comodidad y seguridad al público

14. duRAdeRo

La rigidez y resistencia, tanto a la tensión como a la compresión, y la capacidad de doblarse sin agrietarse ni romperse, constituyen ventajas inherentes del

acero estructural. En comparación con todos los demás materiales, el acero estructural ofrece una mayor capacidad para mantener la resistencia y la integridad durante eventos extremos Los puentes de acero no se encuentran sujetos a contracción o fluencia bajo carga con el tiempo Incluso, en ambientes corrosivos, los revestimientos aplicados protegen al acero estructural y aumentan la longevidad del puente

El puente Golden Gate (EEUU) en construcción

El puente Golden Gate (EEUU) en la actualidad

|51|

Se llevó a cabo en Madrid, en el marco de la reunión del Consejo Ejecutivo de la Federación Mundial de Organizaciones de Ingeniería (FMOI) y de los eventos del día Mundial de la Ingeniería, el lanzamiento del “Marco de Sendai para la Reducción del Riesgo de Desastres 2015-2030: Reflexiones y puntos de vista de la Comunidad Global de Ingeniería” Este documento fue dirigido por integrantes de la Institution of Civil Engineers (ICE) y la International Coalition for Sustainable Infrastructure (ICSI). Esta colaboración, multidisciplinaria e intersectorial, particularmente desarrollada con expertos en ingeniería, permitirá efectuar me evaluaciones al crear marcos de red de riesgos y canalizar recursos de m más efectiva, según el informe presentado.

El plan para la “Reducción del Riesgo de De 2015-2030: Reflexiones y conocimientos de munidad Global de Ingeniería”, ofrece una per tiva sobre cómo prevenir y planificar mejo siniestros. Fue publicado por la International alition for Sustainable Infrastructure (ICSI), el apoyo de la Institution of Civil Engine (ICE)

El programa recomienda a los Estados miem bros de la ONU, acciones concretas para apli car en aquellos casos de riesgos de desastres. El informe de ICSI e ICE constituye una oportunidad para reflexionar sobre los mecanismos actuales de gobernanza y gestión de riesgos, con el fin de identificar qué cambios se necesitan aplicar a lo largo del ciclo 2023-2030 para alcanzar los mejores objetivos.

AIe > INfoRMA |52|
“La voz de los ingenieros es crucial para la reducción del riesgo de desastres”

“EL PROGRAMA PARA LA REDUCCIÓN DEL RIESGO DE DESASTRES 20152030: REFLEXIONES Y CONOCIMIENTOS DE LA COMUNIDAD GLOBAL DE INGENIERÍA, OFRECE UNA PERSPECTIVA ACERCA DE CÓMO PREVENIR Y PLANIFICAR ADECUADAMENTE LOS SINIESTROS”

Savina Carluccio, Directora Ejecutiva de ICSI, expresó: “Los ingenieros desempeñan un papel crucial en la gestión del entorno construido, como implementadores clave de las actividades de reducción del riesgo de desastres y el desarrollo de la resiliencia Nuestro informe presenta recomendaciones prácticas y enfocadas a los profesionales, con el objetivo de permitir una toma de decisiones más documentada sobre la implementación del Marco de Sendai.

Es una oportunidad única para amplificar la voz de la comunidad de ingenieros y garantizar que los tomadores de decisiones la escuchen en foros de alto nivel”

Los hallazgos del documento se basan en una consulta global. La misma comprende una encuesta multilingüe y una serie de entrevistas con expertos en Reducción del Riesgo de Desastres (RRD) y resiliencia, efectuada por profesionales del ICSI y el ICE

David Smith, presidente de la Junta Asesora Comunitaria de Infraestructura Resiliente Sostenible del ICE, afirmó: “Los ingenieros tienen habilidades únicas, con antecedentes que les permiten garantizar un gran impacto en la creación de infraestructura sostenible y resiliente

Nuestras investigaciones muestran que la comunidad de ingenieros debe participar antes en los debates re-

lacionados con el desarrollo de políticas y proyectos Ello nos permitirá continuar abordando los grandes problemas que enfrenta la sociedad y ser pioneros en proponer nuevas soluciones ante los futuros desafíos”, sostuvo David Smith

Abhilash Panda, Jefe de Financiamiento de Resiliencia, Eliminación de riesgos de inversión y Resiliencia de Infraestructura, de la Oficina de las Naciones Unidas para la Reducción del Riesgo de Desastres, dijo que, según el informe, “aún persisten seis deficiencias críticas en la gobernanza y gestión de riesgos: Falta de estándares, ausencia de aplicación de la RRD, velocidad de implementación de la gobernanza, incentivos desiguales, rendición de cuentas del gobierno y coordinación entre niveles de gobierno y con otros sectores”, comentó Panda

La revisión destaca la importancia de promover la capacidad local y garantizar un enfoque inclusivo y participativo de las RRD, logrando así empoderar a los profesionales locales, quienes a menudo, son responsables de la implementación, operación y mantenimiento del proyecto

El documento puede ser consultado, en su versión original, ingresando en: https://sustainability-coalition org/sendaiframework-disaster-risk-reduction/

AIe > INfoRMA |53|

cementoN

En el marco de los 100 años de la Asociación de Fabricantes de Cemento Portland (AFCP), se desarrolló un Hackaton virtual para trabajar, colaborativamente, en ideas y soluciones sostenibles e inno vadoras, capaces de nutrir a la industria cementera: Un espacio para crear en equipos interdisciplinarios con el apoyo de co-facilitadores y representantes de las cuatro empresas organizadoras: Loma Negra, Holcim, Cementos Avellaneda y PCR.

La invitación fue abierta a estudiantes y egresados/as recientes de todas las universidades e instituciones terciarias del país con interés en el sector; en metodologías ágiles de innovación y sostenibilidad Durante tres días,

el 29 y 30 de septiembre y el 1º de octubre de 2022, más de 100 estudiantes y profesionales se reunieron a trabajar, colaborativamente, para explorar problemas en torno a los desafíos de sostenibilidad y proponer soluciones

AIe > INfoRMA |54|

De todas las ideas presentadas, un jurado seleccionó a 4 equipos para formar parte de una ronda final Estos 4 equipos finalistas tuvieron la oportunidad de probar y validar, durante 1 mes, sus ideas, acompañados por un representante de cada una de las empresas miembro de la AFCP

La evaluación de las propuestas finalistas se llevó a cabo el 31 de octubre

En el evento, los 4 equipos finalistas presentaron sus proyectos y recibieron la devolución de un nuevo jurado, que, en esta oportunidad, estuvo conformado por: María José García, Directora Ejecutiva de la Federación Interamericana del Cemento (FICEM); Sebastian Bigorito, Director General del CEADS, Consejo Empresario para el Desarrollo Sostenible; y Pablo Bereciartua, Presidente del Centro Argentino de Ingenieros (CAI)

El equipo que resultó ganador del CementON fue “NN”, con su proyecto “Green is better” Asimismo, el jurado consideró importante destacar, con una mención especial, el trabajo realizado por el equipo “Los Hormigoneros Recargados”, con su proyecto “Hormigón Sustentable” El evento fue transmitido a través de YouTube, en modalidad “estreno” y puede volver a verse a través del siguiente enlace:

https://www youtube com/watch?v=Qj8OKQXIqEI

El equipo Ganador del CementON, desafío la siguiente premisa: ¿Cómo podríamos fomentar el uso de cementos “más verdes”? Fueron sus integrantes:

Ángel Adrián Lugo (Misiones), Emilia Amalia Beatriz Rojas (Chaco), Micaela Weber (Entre Ríos), Alan Domingo (Santa Fe) y Johanna Buhr (Córdoba)

Actuó como Co-facilitador Osvaldo Rabadan, representando a la empresa mentora LOMA NEGRA La Mención Especial de este CementON trabajó la premisa: ¿Cómo podríamos resolver la brecha entre viviendas económicamente asequibles, y a la vez, sostenibles? Integraron el equipo Macarena Sestini (Santa Fe), Pablo Enrique Aldana Boasso (Mendoza), Javier Francisco Rodriguez Cacik (Entre Ríos), Enzo Hernán Groisman (Entre Ríos), Aime Belén Ocampo Miranda (Mendoza) y Mercedes Palma (Tucumán), participando como Co-facilitadora, Natalia Callegaro de la empresa mentora HOLCIM

La Asociación de Fabricantes de Cemento Portland (AFCP), es una entidad civil sin fines de lucro que representa a la industria argentina del cemento Portland, y promueve su constante crecimiento y desarrollo tecnológico y sustentable. Está compuesta por las cuatro empresas productoras de cemento en Argentina: Loma Negra, Holcim, Cementos Avellaneda y PCR

Más información: www.afcp.org.ar

H Yrigoyen 1144 1º Of 2, (C1086AAT)

Ciudad Autónoma de Buenos Aires Argentina

Tel/Fax: (54 11) 4381-3452 / 5252-8838

E-mail: info09@aiearg org ar

Web: www aiearg org ar

AIe > INfoRMA |55|

Por la Ing en Construcciones

el rol de la ingeniería para el desarrollo sostenible

El “Día Mundial de la Ingeniería para el Desarrollo Sostenible” se celebró el pasado 4 de marzo, a partir de una propuesta de la UNESCO del mes de no viembre del año 2019. La fecha es oportuna para formular una reflexión acerca del rol de la ingeniería civil en cuanto a la generación de obras tendientes a alcanzar un futuro ambientalmente posible, en favor de las futuras generaciones

La ingeniería juega un papel clave en el logro de los Objetivos de Desarrollo Sostenible (ODS) de la ONU, al aplicar los principios de la ciencia y las matemáticas para impulsar acciones prácticas en alimentos, agua, energía, ambiente, ciudades sostenibles, resiliencia ante los desastres naturales, y otras áreas cruciales para toda la humanidad También, resulta decisiva para el desarrollo de nuevas tecnologías que permitan lograr la Cuarta Revolución Industrial, tales como inteligencia artificial, Internet de las cosas, robótica o computación cuántica, entre muchos otros fundamentales avances La ingeniería permanece en el corazón de nuestro mundo moderno y dará forma al futuro, como ha sido caso por milenios

Las ingenieras y los ingenieros aportan un gran valor a la sociedad, ofreciendo un significativo impacto en la mejora de la vida, sumando duraderos beneficios La ingeniería, como disciplina, resulta esencial para la resistencia al cambio climático y a los fines de diseñar una infraestructura resistente, capaz de soportar los crecientes eventos relacionados con el clima, tales como inundaciones, ciclones, incendios forestales, especialmente, en los países emergentes

La ingeniería es indispensable a los efectos de potenciar el desarrollo económico sostenible, al ser necesaria para apoyar el crecimiento y progreso de aquellas infraestructuras esenciales como carreteras, presas, suministro de agua potable y saneamiento, tanto en los países desarrollados como en desarrollo ¿Qué posibilidades ciertas tendría la innovación tecnológica, responsable de beneficiar a las personas y al planeta, para una mayor prosperidad y una mejor calidad de

vida, sin el decisivo aporte de la ingeniería, entre otros aspectos, a los fines de garantizar el acceso equitativo a la tecnología para las mujeres y en las zonas rurales? Nunca antes en la historia de la humanidad fueron necesarios tantos ingenieros, los cuales faltan, para cumplir con los requisitos de la citada Cuarta Revolución Industrial, abordando, en paralelo, las apremiantes exigencias del desarrollo sostenible de la humanidad y el planeta.

La conmemoración, el pasado 4 de marzo, del “Día Mundial de la Ingeniería para el Desarrollo Sostenible”, puede utilizarse para reflexionar, entre otras temáticas, sobre el acceso inclusivo a la ingeniería de mujeres y niñas, para alentar a los jóvenes a considerar a la ingeniería como una carrera, un modo de vida, y expresar: "Si querés lograr un mundo mejor, enamórate de la ingeniería” Ese amor podrá salvaguardarnos

INGeNIeRíA y desARRoLLo sosTeNIBLe

El “Día Mundial de la Ingeniería para el Desarrollo Sostenible”, habilitó una oportunidad para celebrar las importantes contribuciones de la ingeniería en el desarrollo sostenible y la vida moderna Se trata de una fecha internacional, con celebraciones coordinadas en todo el mundo, constituyendo una verdadera oportunidad para aumentar el perfil social de la ingeniería. El Día conforma también una ocasión para comprometerse con los gobiernos, las industrias, los principales referentes sociales y las fuerzas vivas, para abordar la necesidad de potenciar la capacidad de la ingeniería e incrementar la calidad de

|56| AIe > INfoRMA
(CPIC)

los ingenieros de todo el mundo, para así desarrollar marcos estratégicos y mejores prácticas en la implementación de las soluciones de la ingeniería para el desarrollo sostenible

Se trata de promover a la ingeniería como una carrera y una imprescindible oportunidad para mejorar el mundo Hay mucho por hacer, especialmente, para alcanzar los deseados Objetivos de Desarrollo Sostenible de la ONU (ODS), particularmente, en los países en desarrollo, para garantizar un acceso justo al agua limpia, al saneamiento, a las fuentes de energía confiable, junto con otras demandas humanas básicas La necesidad de poner manos a la obra se verifica en todos los puntos de la Tierra, puesto que la raza humana debe y deberá lidiar con los impactos del cambio climático, los problemas ambientales, nuestras crecientes ciudades y los desafíos de las nuevas tecnologías, incluida la mencionada inteligencia artificial.

Los referidos ODS, conforman un plan maestro para arribar a un empático futuro Los mismos se interrelacionan entre sí, e incorporan los desafíos globales ante los cuales nos enfrentamos día a día, como la pobreza, la desigualdad, el clima, la degradación ambiental, la prosperidad, la paz y la justicia. Para no dejar a nadie atrás, es importante cumplir con cada uno de estos objetivos, fijando al año 2030 como posible meta Fue en el mes de septiembre del año 2015, cuando la Asamblea General de la Organización de las Naciones Unidas adoptó su Resolución 70/1, anunciando la Agenda 2030 para el Desarrollo Sostenible y sus diecisiete objetivos, adoptando un enfoque integrado para el futuro desarrollo, combinando el progreso en la prosperidad económica, la inclusión social y la sostenibilidad ambiental La ingeniería es crítica para alcanzar dichos fines:

a Los proyectos de ingeniería son esenciales para un mundo pacífico, ya que los/as ingenieros/as son quienes desarrollarán e implementarán las tecnologías y sistemas que progresarán en los Objetivos de Desarrollo Sostenible de la ONU con respecto al agua, la energía, el ambiente, las ciudades sostenibles, la resiliencia

ante los desastres naturales y otras áreas Ello es esencial para la inclusión y para abordar el acceso desigual a estas tecnologías, resultantes de los desequilibrios en los ingresos

b Los/as ingenieros/as son esenciales para la resiliencia al cambio climático y para diseñar una infraestructura resistente ante los crecientes eventos relacionados con el clima

c Los/as ingenieros/as son indispensables para un desarrollo económico sostenible, al apoyar el crecimiento de una infraestructura esencial, tanto en países desarrollados como emergentes

d Los/as ingeniero/as se necesitan para potenciar tecnologías inclusivas e innovaciones capaces de beneficiar a las personas y al planeta, para una mayor prosperidad y mejor calidad de vida.

El “Día Mundial de la Ingeniería para el Desarrollo Sostenible”, se celebra cada 4 de marzo, pero todos los días conforman una valiosa oportunidad para discutir estos temas e involucrar y difundir, entre la comunidad, las notables contribuciones de la ingeniería, destacando las acciones a formularse para lograr la Agenda 2030 de la ONU, rotundamente imprescindible por su nobleza e inclusividad Desde nuestro Consejo Profesional de Ingeniería Civil, continuaremos bregando por más ingeniería civil, por poblar con una mayor cantidad de jóvenes las aulas donde se imparte la disciplina, y por el incremento de la matrícula a partir de acciones concretas.

Una de ellas, relativa a la temática de la sostenibilidad, las ciudades y la tecnología, se potencia en nuestra Maestría en Planificación y Gestión de la Ingeniería Urbana (CPIC/FIUBA/UTN), como así también, en los Foros de Eficiencia Energética que anualmente presentamos; impulsando la ética en la ingeniería civil, crucial para la sana proliferación de propuestas en favor de nuestra sociedad

Hacia allá vamos ¿Nos acompañas?

AIe > INfoRMA |57|

documentos de la NsBA

La National Steel Bridge Alliance (NSBA), ofrece a los profesionales interesados, un número de imprescindibles documentos, los cuales permanecen disponibles para consultas relativas al diseño y calculo estructural de puentes de acero.

En esta oportunidad, compartimos material de referencia esencial sobre la estandarización de contratos y las mejores prácticas para el diseño, la fabricación y la construcción de puentes de acero

El listado de documentos, los cuales se pueden descargar desde la web de la Asociación de Ingenieros Estructurales (AIE), ingresando en el link: h t t p s : / / a i e a r g o r g a r / l a - n a t i o n a l - s t e e l - b r i d g ealliance-tiene-documentos-disponibles-para-facilitar-el-diseno-de-puentes/, se lista a continuación:

• G1.1-2020 SHOP DRAWING REVIEW/APPROVAL GUIDELINES FOR FABRICATED STRUCTURAL STEEL

• G1 2-2003 DESIGN DRAWINGS PRESENTATION GUIDELINES

• G1 3-2002 SHOP DETAIL DRAWING PRESENTATION GUIDELINES

• G1.4-2006 GUIDELINES FOR DESIGN DETAILS

• G2 2-2016 GUIDELINES FOR RESOLUTION OF STEEL BRIDGE FABRICATION ERRORS

• G4 1-2019 STEEL BRIDGE FABRICATION QC QA GUIDELINES

• G4 2-2021 GUIDELINES FOR THE QUALIFICATION OF STRUCTURAL BOLTING INSPECTORS

• G4 4-2006 SAMPLE OWNERS QUALITY ASSURANCE MANUAL

• G9 1-2022 STEEL BRIDGE BEARING GUIDELINES

• G12 1-2020 GUIDELINES TO DESIGN FOR CONSTRUCTABILITY AND FABRICATION.

• G13 1-2019 GUIDELINES FOR STEEL GIRDER BRIDGE ANALYSIS

• G14 1-2021 ADDRESSING FATIGUE CRACKING AND DETAILS AT RISK OF CONSTRAINT-INDUCED FRACTURE

Para acceder a los mencionados documentos de manera directa, se deberá ingresar en el link: https://www aisc org/nsba/design-and-estimationresources/aashto-nsba-collaboration/aashto-ns ba-collaboration/

|58| AIe > INfoRMA

PROMUEVE Y ORGANIZA

La obra pública, patrimonio de todos

INSTITUCIONES COLABORADORAS

ENTIDADES COLABORADORAS

|59| Cuenca, Toledo, Madrid 26/29 Septiembre 2023 Patrimonio de la Obra Pública y de la Ingeniería Civil Congreso Internacional Construyendo el paisaje y activando el turismo
CON EL APOYO DE
INTERNACIONALES www congresopatrimoniodeobrapublica es Fundación Eduardo Torroja
INSTITUCIONES
Colegio de Ingenieros de Caminos, Canales y Puertos CASTILLA-LA MANCHA Colegio de Ingenieros de Caminos, Canales y Puertos

Lo que se mide se puede mejorar

En el ciclo “Ciudades” llevado adelante por el Centro Argentino de Ingenieros (CAI), se formalizó el encuentro “El Nuevo Etiquetado Energético de viviendas en la Argentina y la experiencia internacional”

El miércoles 29 de marzo del corriente año, se llevó a cabo un nuevo encuentro del Ciclo “Ciudades”, esta vez, bajo la consigna “Lo que se mide se puede mejorar”, donde se disertó acerca del nuevo etiquetado de viviendas en la Argentina y la experiencia internacional

Con la moderación de los Ing Juan Yacopino, presidente de la comisión de Urbanismo y Vivienda del CAI; y del Ing Martín Borghi, Integrante de la Comisión de Urbanismo y Vivienda del CAI, los oradores de esta jornada fueron las arquitectas Irma Padilla y Paola Sandoval, asesoras en eficiencia energética de la Secretaría de Energía de la Nación, para el Programa Nacional de Etiquetado de Viviendas (PRONEV); el Ing. Jorge A. Caminos, secretario de Desarrollo Ecosistémico y Cambio Climático del Ministerio de Ambiente y Cambio Climático de la provincia de Santa Fe; la Ing María del Carmen Rubio, directora de Evaluación de Proyectos y Regulación de la Secretaría de Energía Eléctrica de Río Negro; la Arq Bárbara Lanstchner, especialista en Eficiencia Energética, Arquitectura Sustentable y Rehabilitación Energética; el Arq York Ostermeyer, co-founder and managing director ChillServices; y la Dra en Ing Civil y Arq Carmen Díaz López, profesora de la Escuela Técnica Superior de Arquitectura de la Universidad de Sevilla, España

Luego de una breve presentación del Ing. Yacopino, tuvo la palabra a la Arq Padilla, quien explicó que el “día 5 de enero pasado obtuvimos la Resolución de la Secretaría de Energía, el primer paso, para implemen-

tar el Programa Nacional de Etiquetado de Viviendas (PRONEV), que ahora vamos a llevar a cada provincia para firmar un convenio con cada Poder Ejecutivo, para comenzar a implementarlo, en la primer etapa, con cursos de capacitación. Este programa busca lograr unificar un etiquetado energético para clasificar las viviendas según su grado de eficiencia en el requerimiento de energía primaria, lo que permitiría calificar y cuantificar la energía consumida para comparar la demanda en diferentes zonas del país, su particularidad, eficiencia de consumos y tipos de viviendas

Con esa información, ofreceremos mejoras en toda la cadena del consumo, incluyendo al constructor, quien podrá obtener recomendaciones para realizar una planificación sustentable de cada desarrollo”

AIe > INfoRMA |60|

Seguidamente, la Arq Sandoval, explicó las características del desarrollo “La etiqueta de Eficiencia Energética contiene un código de colores, similar al de los electrodomésticos, cuyas características van de la A, más eficiente, a la G, menos eficiente. La escala de valores del indicador se denomina IPE, representando el Índice de Prestaciones Energéticas, teniendo en cuenta el requerimiento de energía primaria de la normal utilización de esa unidad, en cuanto a calefacción, refrigeración, agua e iluminación Consideramos también si existe contribución de energías renovables, cuantificando el resultado en kW hora, por año y por metro cuadrado de cada tipología de vivienda” Además, agregaron que el programa se llevó a cabo a partir del año 2017 donde intervinieron, especialmente, en la provincia de Santa Fe, unos 902 profesionales formados en 18 provincias y la CABA “Se han evaluado unas 1 357 viviendas en 8 pruebas piloto Ahora, vamos a implementarlo en todas las provincias, para completar el resto del país en 2024” Las arquitectas sostuvieron que a partir de agosto y septiembre de este año, comenzarán las capacitaciones en todo el país, de manera ordenada Mientras tanto, cada provincia deberá adherir al programa para su implementación

Luego, fue el turno de la Ing. María del Carmen Rubio, directora de Evaluación de Proyectos y Regulación, de la Secretaría de Energía Eléctrica de Río Negro, quien expresó: “No nos olvidemos que el relevamiento energético nacional nos indicó que casi un 40% radica en el consumo residencial, entonces, debemos trabajar en ello para reducirlo Esto es un cambio de paradigma, es decir, transformar la manera de pensar las construcciones, nuevas y ya existentes, para que la variable energética sea una herramienta decisoria a la hora de elegir un proyecto Estamos trabajando en pensar la sustentabilidad, en una vivienda que consuma lo menos posible, con un IPE lo más bajo posible La provincia inició este programa en 2019, se convocó a todos los municipios e instituciones intervinientes, firmamos un convenio con la Nación En el 2020, logramos dictar dos cursos de capacitación y convocamos a las provincias linderas a sumarse Lo-

gramos hacer los pilotos, para llevar la teoría a la práctica; logramos identificar las distintas zonas, verificar la herramienta, y aggiornarla a cada zona de acuerdo a sus particularidades constructivas y climáticas Los pilotos quedaron en la letra D y nos muestran cuánto hay hacer para llegar a las letras A y B Vale resaltar que los profesionales están muy interesados en recibir capacitaciones y empezar a pensar las construcciones con ese objetivo Los cursos lo pagaron los propios profesionales y quedaron muchos pendientes para próximas implementaciones En el 2021, la provincia impulsó, a través de una Ley provincial, el marco regulatorio al cuál adherimos al programa nacional, y a partir de ahora, las construcciones deberán ofrecer ciertas características y cumplir con un estándar”

Fue el turno, entonces, del Arq York Ostermeyer, quien desde el Reino Unido, realizó su presentación en inglés. Una de las cuestiones que llamó la atención de los profesionales presentes, respecto a la exposición de York, es que en los países de la UE ya no se permite comercializar, ni rentar, ningún tipo de propiedades sin etiquetado ni historial de adecuación a las normas

Continuó el Ing. Jorge Caminos, secretario de Desarrollo Ecosistémico y Cambio Climático en el Ministerio de Ambiente y Cambio Climático de la provincia de Santa Fe El profesional explicó que en su provincia son precursores en la certificación energética de viviendas a partir de la implementación de la Ley 13903/19, y resaltó que resulta de un uso muy útil para calificar y mejorar las viviendas construidas. “Tomando la exposición de York, y siguiendo en ese camino, queda bien en claro que el etiquetado de viviendas genera una serie de acciones positivas para todos, no sólo como una medida de mitigación frente al cambio climático, teniendo en cuenta que en Argentina, el sector residencial es el segundo consumidor de energía primaria del país. Por otro lado, le permite al propietario conocer las condiciones energéticas de la unidad, dato desconocido para aprender a leer esa etiqueta, siendo responsabilidad del profesional formu-

AIe > INfoRMA |61|

lar pequeños cambios para mejorar el IP de la casa También, empodera al usuario para exigir ese etiquetado, genera empleo verde, un tema fundamental, pues contar con una buena etiqueta aporta un plus al valor inmobiliario de la vivienda” Explicó, además, el proceso de implementación de la Ley en su provincia, los cursos de capacitación brindados, y las constancias de los cursos para intervenir como certificadores de viviendas Relató que hoy suman 66 profesionales inscriptos en su provincia y compartió la experiencia en la intervención, para la certificación, de un barrio llevado a cabo al norte de la provincia, con ladrillos de madera, el cual sirvió como prueba piloto del etiquetado, dando como resultado la calificación E

Le siguió, en conexión desde España, la Arq Carmen

Díaz López, profesora de la Universidad de Sevilla, quien presentó el marco europeo de los edificios sostenibles y explicó el método de evaluación de sostenibilidad empleado, denominado Level, de reciente desarrollo en España, el cual evalúa “desde la fase de

diseño de un edificio hasta el fin de su vida útil, junto con los procesos de deconstrucción de los materiales y la energía que ello conlleva” Díaz López comentó: “El plan se inicia con una investigación en 2017, donde tuve la suerte de participar al frente de un grupo de la Universidad de Granada, aplicando la prueba piloto de Level, a 86 casos de estudio en toda Europa Actualmente, Level es un lenguaje común de indicadores para promover edificios sostenibles y resiliente dentro del marco de la economía circular

No tiene como objetivo la certificación, pues está enmarcado dentro del Pacto Verde Europeo en neutralidad climática para 2050 Level también permanece alineado con los Objetivos de Desarrollo Sostenibles entre los puntos 7, 8, 9 10, buscando el comportamiento y rendimiento del edificio, evaluándolo en los aspectos cuantitativos y cualitativos La diferencia entre Level y los demás métodos evaluativos europeos radica en su filiación con la normativa dictada por la Unión Europea”, concluyó

Reflexiones para las nuevas demandas de la Ingeniería Latinoamericana

Este texto, reúne las reflexiones de una serie de calificados protagonistas, quienes analizan los principales desafíos de la disciplina necesarios de superarse para brindar mejoras en aspectos clave de nuestras sociedades

El libro “Reflexiones para las nuevas demandas de la Ingeniería Latinoamericana”, una obra producida conjuntamente por Global Engineering Deans Council (GEDC Latam), la Federación Internacional de Sociedades de Educación en Ingeniería (IFEES), el Consejo Federal de Decanos de Ingeniería de Argentina (CONFEDI), la Asociación Colombiana de Facultades de Ingeniería (ACOFI), y el Consorcio Latinoamericano y del Caribe de Instituciones de Ingeniería (LACCEI); conforma el segundo libro de esa colección

El mismo, compila las memorias de diferentes conversatorios realizados en el segundo semestre del año 2020, tales como “Vinculación Universidad-Industria”, “Responsabilidad Social Universitaria”, “La Ingeniería y la Sostenibilidad”, “Desafíos para la Universidad Latinoamericana” y “La ingeniería y los trabajos del futuro”

Dichos conversatorios, coorganizado por las asociaciones antes mencionadas, buscó abarcar temáticas diversas que afectan y condicionan el futuro de la enseñanza de la Ingeniería, la visión sistémica de su interrelación con el entorno, y los desafíos que enfrenta la educación superior en este particular momento de la humanidad

Para ello, fueron convocados una serie de prestigiosos académicos pertenecientes a diferentes Universidades de Latinoamérica, especialistas de distintas empresas y representantes de diversas instituciones, preocupados por el futuro de la educación.

Las ponencias y conclusiones expresadas en esta obra, son de vital interés para la comunidad universitaria, pero también, para las industrias, instituciones y gobiernos, para incorporar nuevas visiones sobre temáticas de notable importancia

Es posible acceder a este interesante libro, ingresando a: https://confedi org ar/download/LibroReflexionesNvasDemandas pdf

AIe > INfoRMA |63|

U n p r o y e c t o s e g u r o

U n a e s t r u c t u r a d u r a b l e

U n a i n s t i t u c i ó n s ó l i d a

H Y r i g o y e n 1 1 4 4 1 º O f 2 , ( C 1 0 8 6 A A T )

C i u d a d A u t ó n o m a d e B u e n o s A i r e s A r g e n t i n a

Tel/Fax: (54 11) 4381-3452 / 5252-8838

E-mail: info09@aiearg org ar

Web: www aiearg org ar

D í a s y h o r a r i o d e a t e n c i ó n : l u n e s a v i e r n e s d e 1 3 a 1 8

As o c i a c i ó n d e I n g e n i e ros

E s t r u c t u ra l e s

A R G E N T I N A

Turn static files into dynamic content formats.

Create a flipbook
Issuu converts static files into: digital portfolios, online yearbooks, online catalogs, digital photo albums and more. Sign up and create your flipbook.