Revista IE 75

Page 1

evALuAciÓN deL coLApSo de uNA LíNeA eLécTricA

ANáLiSiS de FiSurAciÓN eN hormiGÓN por cALor de hidrATAciÓN

FAcToreS de SeGuridAd por mATeriAL eN eL Aci 318

de iNGeNieroS eSTrucTurALeS

ASociAciÓN
Año 26 / AGoSTo 2023 / ediciÓN 75 / ediciÓN diGiTAL

L a re fe re n c i a e n i n ge n i e r í a c i v i l

Su socio especialista en la reparación y construcción de estructuras

Presentes desde 1968 en Argentina

Capital humano experto y especializado que actualiza periódicamente sus conocimientos

Nuestros Servicios

Reparar

• Evaluación de la situación

• Preparación de la superficie

• Hidro-demolición

• Inyección de fisuras

• Restitución de hormigón y armaduras

• Reemplazo de uniones metálicas

• Reemplazo de juntas y apoyos de puentes

Áreas de intervención

Retail e industrias

Tecnología de avanzada que permite optimizar la calidad, rapidez y costos de las soluciones.

Reforzar

• Postesado exterior

• Tejido y barras de fibra de carbono (TFC y BFC)

• Hormigón proyectado por vía seca

• Hormigón de ultra alta performance (UHPC)

• Refuerzos pasivos en acero

• Micropilotes y estabilización de suelos

Red internacional que permite emplear las mismas técnicas en cualquier parte del mundo.

Proteger

• Encapsulado de pilotes

• Revestimientos anticarbonatación

• Protección catódica

• Arenado y pintado en acero

• Impermeabilización de tableros de puentes

• Impermeabilización de recintos estancos

• Levantamientos hidráulicos

Infraestructura vial y ferroviaria

Aguas y saneamientos Edificación

Casos de éxito

PROV DE ENTRE RÍOS

Reparación de turbinas de Salto Grande.

PROV DE BUENOS AIRES

Refuerzo de cubierta de un centro comercial: estructura de hormigón

Puertos y vias navegables

Presas

PROV DE SAN JUAN

Levantamiento Puente Río Bermejo.

info@freyssinet com ar fta-arg Freyssinet Tierra Armada +54 11 707 808 64
Visite nuestra web www.freyssinet.com.ar

50 Aie informa Nuevo mapa de peligrosidad Sísmica

53 Aie informa Aportes de la ingeniería civil a la reducción de la huella de carbono

57 Aie informa Actualización del libro edificio Seguro

60 Aie informa i congreso internacional de patrimonio, obra pública y la ingeniería civil

61 Aie informa encuentro interinstitucional

62 Aie informa Jornadas Aie 2024

63

64 Aie informa

Seminario Aie: postesados Aie informa News ingeniería estructural Aie informa

|4| Nota de Tapa evaluación del colapso de una línea eléctrica 8 Factores de seguridad por material en el Aci 318 38 Análisis de fisuración en hormigón por calor de hidratación 26 SumArio
Almuerzo del día de la ingeniería en el cAi 48

enfoque sustentable de la construcción

La Ingeniería Estructural intenta establecer un enfoque desde nuestra disciplina, para acercarnos al concepto de sustentabilidad, entendiéndola como un proceso el cual busca garantizar el bienestar humano sin dañar el equilibrio del ambiente y de sus recursos naturales, al conformar los mismos, la base de todas las formas de vida

La totalidad de las actividades humanas impactan sobre el ambiente y emplean los recursos naturales, de manera tal de no sobrepasar la propia capacidad de la naturaleza de absorber los contaminantes emitidos y regenerarse a sí misma A partir de la segunda mitad de siglo pasado, la actividad desarrollada ha generado desequilibrios dentro de la biósfera, afectando sensiblemente su estabilidad Una de las acciones con mayor influencia respecto de los mencionados desequilibrios, se relaciona con el diseño, construcción, uso, demolición y reciclaje de edificios, así como los procesos involucrados en ellos

Si hablamos de edificación, la ciudad conforma un organismo factible de analizar Se trata de un sistema abierto, el cual demanda del abastecimiento de ciertos recursos energéticos, materiales y de información para funcionar, implicando una correcta interacción entre los señalados sistemas Una estructura, como una suerte de organismo, demanda un cuantioso número de recursos naturales e insumos, al mismo tiempo que su irreflexivo diseño puede depositar desechos en la naturaleza Esta trama de relaciones requiere energía, imprimiendo una severa presión ambiental en su entorno

A partir del concepto de sustentabilidad, y de su aplicación dentro de los sistemas constructivos, cabe destacar aquellos relacionados, de manera directa, con la materialización de edificios, capaces de mejorar la dinámica existente entre los recursos y las emisiones, para mantener en equilibrio los sistemas Entre los recursos provistos por la naturaleza en las construcciones, los cuales serán eficientemente prescriptos, se destacan el consumo de energía de los edificios du-

rante su ciclo de vida, ya sea en la etapa de construcción como en la de operación (calefacción, refrigeración, iluminación, ventilación); la reducción de la energía de operación, donde se debe apelar al “diseño energético consciente”, y apuntar con el mismo, a la disminución de las pérdidas y ganancias térmicas en la envolvente edilicia; el uso eficiente de los materiales en cuanto a su tipo y ubicación, demandando evaluar el impacto de su producción y utilización

Es necesario emplear sistemas estructurales adaptados a materiales y técnicas constructivas locales, los cuales beneficien su reutilización; y reducir la cantidad de emisiones sólidas, desperdicios y consumo de agua Esto es posible si consideramos, desde la etapa de diseño hasta la de operación, las variables intervinientes para mejorar la eficiencia de las obras

El funcionamiento de los edificios causa emisiones gaseosas que influyen en el aumento de los gases de efecto invernadero Para acotar la incidencia de los mismos, debería reducirse la utilización de aquellos sistemas basados en energías convencionales, y reemplazarlas por sistemas demandantes de energías renovables

Gracias a un adecuado diseño estructural edilicio se reduce el consumo de las energías prescriptas. Ello se asume como una invalorable ventaja, tanto para nuestra industria de la construcción como para nuestra sociedad Recordemos que la mejor energía es aquella que no se consume, garantizando de esta forma, la prosecución de la vida en el planeta Tierra, la casa de todos

Ing Pablo L Diéguez Presidente de la Asociación de Ingenieros Estructurales presidente@aiearg com ar

|5|
ediToriAL

Prohibida la reproducción total o parcial de textos, fotos, planos o dibujos sin la autoriz ación expresa del Editor Los artículos firmados son de exclusiva responsabilidad de sus autores o de las firmas que facilitan la información y no reflejan necesariamente la opinión de la AIE

Publicación de la Asociación de Ingenieros Estructurales para la información y divulgación de temas científicos y técnicos

Edición digital 75

ISSN 16671511 / AÑO 26 / Agosto de 2023

COMISIÓN DIRECTIVA DE LA AIE

PRESIDENTE:

Ing Pablo Luis Diéguez

SEcRETARIO:

Ing Ricardo Taba

TESORERO:

Ing Mario c chiesa

VOcALES TITULARES:

Ing Patricia Lucía Aab

Arq Roberto Alfie

Ing carlos Marcelo Salomone

Ing. Rafael Garcia Tornadu

VOcALES SUPLENTES:

Ing. Gloria Gutiérrez

Ing. José A. Rueda

REVISORES DE cUENTAS:

Ing. Eduardo A. cotto

Ing Máximo Fioravanti

SEcRETARíA

Lic María Laura Rivas Díaz

Sandra Orrego

REVISTA IE

COMITÉ EDITORIAL

Director: Ing Marcos De Virgiliis

Mg Inga Laura cacciante

Mg Ing carlos Gustavo Gauna

Inga Gloria Gutiérrez

PRODUCCIÓN EDITORIAL cONTÉcNIcOS contenidos Técnicos

Arq. Gustavo Di costa

EDITOR RESPONSABLE ASOcIAcIÓN DE INGENIEROS ESTRUcTURALES

Hipólito Yrigoyen 1144 1º, c1086AAT

ciudad Autónoma de Buenos Aires

Tel/Fax: +54 (911) 4381-3452/5252-8838

Info09@aiearg org ar

www aiearg org ar

CORRESPONSALES

ARGENTINA

Bahía Blanca: Ing Mario Roberto Minervino

Córdoba: Dr Ing carlos Prato

El Calafate: Ing Otto Manzolillo

Mendoza: Mg. Ing. carlos Llopiz

Neuquén: Ing. Emanuel Gevara

Rosario: Mg Inga Yolanda Galassi

Santa Fe: Dr Ing Gustavo Balbastro

Trelew: Ing Hugo Juan Donini

EXTERIOR

Bolivia: Ing. Mario R. Terán cortez (La Paz)

Brasil: Dr Ing Paulo Helene (San Pablo), Ing Silvio de Souza Lima (Río de Janeiro), Prof Darío Lauro Klein (Porto Alegre)

Colombia: Ing Luis Enrique García (Bogotá), Prof Harold Muñoz (Santa Fe de Bogotá)

Chile: Ing Rodolfo Saragoni Huerta (Santiago)

China: Ing carlos F Mora (Hong Kong)

República Dominicana: Ing. Antonio José Guerra Sánchez

Estados Unidos: Inga María Grazia Bruschi (Nueva York)

España: Ing Jorge Alberto cerezo, Prof José calavera Ruiz (Madrid), Dr Antonio Aguado de cea (Barcelona)

Israel: Ing Mario Jaichenco (Naharia)

México: Dr. Ing. Pedro castro Borges (Mérida, Yucatán), Ing Daniel Dámazo Juárez (México DF)

Paraguay: Ing Angélica Inés Ayala Piola (Asunción)

Portugal: Prof Antonio Adao da Fonseca (Porto)

Perú: Ing carlos casabonne (Lima)

Puerto Rico: Ing José M Izquierdo (San Juan)

Uruguay: Ing. Gerardo Rodríguez (Montevideo)

Venezuela: Inga Gladis Troconis de Rincón (Zulia)

|6|

evaluación del colapso de una línea eléctrica

Este trabajo estudia la falla de una línea de transmisión eléctrica de 132 kV bajo condiciones climáticas adversas con bajas temperaturas, viento y nevadas El colapso de 8 torres de hormigón ocurrió en una línea en servicio durante cuatro décadas sin daños similares. Se realizaron relevamientos “in situ”, actividades de laboratorio y modelación por elementos finitos de la línea, además de estudios del fenómeno meteorológico acaecido en las horas previas La precipitación de nieve y los vientos permitieron la acumulación de nieve sobre las líneas del tendido eléctrico formando un manguito de hielo en los conductores cuyas dimensiones fueron obtenidas con modelos de simulación de crecimiento de hielo. El comportamiento estructural del conjunto conductor-aislador fue modelado considerando no linealidad geométrica incluyendo las cargas de hielo y viento, para una distribución continua o alternada del manguito a lo largo de la línea. La evaluación de la resistencia estructural de las columnas de suspensión permite concluir que los valores últimos de la resistencia a torsión son superados para la fuerza de tiro no equilibrada sobre la morseta produciendo una falla por torsión de la columna.

iNTroducciÓN

1Ingeniero Civil Facultad de Ingeniería, Universidad Nacional del Comahue javierburaschi@yahoo.com.ar, sap cc@yahoo com ar, ingenei @hotmail com, rossana.jaca@fain.uncoma.edu.ar

Las líneas aéreas de transmisión eléctrica son sistemas complejos sometidos a acciones meteorológicas de diferente intensidad, como vientos, hielo y nieve que pueden combinarse derivando en fallas individuales o de un conjunto de torres. De esta manera, las empresas de electricidad de muchos países en el mundo suelen sufrir interrupciones en su servicio y los principales eventos desencadenantes son tormentas de viento y/o nieve cIGRÉ (consejo Internacional de Grandes Sistemas Eléctricos) presentó un folleto técnico con encuestas a varias empresas de servicios eléctricos de todo el mundo mostrando que estas tormentas representan más del 85% de los incidentes registrados (cIGRÉ, 1996)1 En dicho informe expuso que, aproximadamente, el 45% de los accidentes corresponde a fallas en cascada con colapsos de las columnas de soporte de las líneas

Alminhana et al. (2018)3 presentaron una revisión de propagación de fallas en líneas de transmisión analizando estrategias para evitar la falla en cascada con técnicas de análisis estático y dinámico Debido a las incertidumbres propias de la evaluación de las accio-

|8|
1Javier Buraschi; Sergio Paganini; Renato Enei; Rossana Jaca

nes y la capacidad de la estructura, Detke et al (2013)4 abordaron el problema de diseño óptimo por medios probabilísticos analizando la estructura de sustentación de la línea formada por el poste de hormigón pretensado, la base y el suelo de fundación circundante Aguirre et al (2014)5 realizaron una modelización numérica de estructuras del sistema de transmisión de energía eléctrica considerando las diferencias de comportamiento de sus elementos componentes: fundación, postes, crucetas y ménsulas, cadenas de aisladores, y cables conductores y de guardia

En nuestro país se han reportado eventos de colapsos en cascada de líneas eléctricas, como en chubut, donde cayeron 55 torres metálicas de líneas en alta tensión durante un temporal de viento y nieve ocurrido en el mes de julio del año 2020 Otro evento se produjo en 2018 en Neuquén con el colapso de 8 torres de hormigón de una línea de 132 kV durante un evento de tormenta de nieve y viento El objetivo de este trabajo, radica en estudiar las causas que produjeron la caída de los soportes de la línea del citado evento acaecido en Neuquén y la consecuente salida de servicio de la distribución de energía eléctrica Para la evaluación se realizaron trabajos de campo, ensayos en laboratorio y modelación numérica

pLANTeo deL probLemA

descripción de la línea de 132 kv

Se trata de una línea de transmisión de 132 kV entre cutral co-Zapala que en julio de 2018 salió de servicio por daños severos y colapso del tramo superior de las estructuras de 8 torres correspondientes a los piquetes 23 a 28 y 30 a 31

El recorrido de la línea es de 71 Km atravesando casi exclusivamente zonas rurales, salvo un tramo de aproximadamente 600 m en la llegada a S E cutral co, que se puede considerar como zona urbana La disposición de conductores es de simple terna en triángulo para zonas rurales y vertica-

les para zona urbana En ambos casos, se cuenta con protección contra descargas por medio de cable de guardia La altura libre mínima respecto al suelo es de 7 m en zona rural y de 8 m en zona urbana

Los cables conductores son de aluminio-acero, de sección nominal 150/25 mm2 (IRAM 2187/70) El cable de guardia es de acero galvanizado de 50 mm2 de sección (IRAM 722) con formación de 19 hilos.

El soporte de línea es materializado por torres de suspensión de hormigón armado, formados por postes de igual resistencia en todos los planos diametrales, con ménsulas del mismo material y torres de retención cada 10 unidades de suspensión El distanciamiento promedio entre estructuras es de 260 m para la zona rural y 155 m para la zona urbana Se utilizaron aisladores de porcelana de unión a rótula, según IRAM 2095 clase 451 y la morsetería para cadenas responde a la norma VDE 0210/5-69 Las fundaciones para estructuras se constituyen de hormigón simple En la Figura 1 se muestra el esquema general de las columnas de suspensión colapsadas y una de las columnas con falla.

Estructuras de suspensión de la línea colapsada:

(a) Esquema de las columnas

|9|
Fig ura 1

deScripciÓN deL coLApSo

El tramo de la línea colapsado afecta únicamente a las torres de suspensión y se encuentra comprendido entre las columnas de hormigón armado denominadas piquetes N° 23, 24, 25, 26, 27, 28, 30 y 31 de la línea de Alta Tensión de 132 KV, en un tramo de aproximada-

mente 2 5 km de longitud La Figura 2 muestra la traza de la línea y la ubicación de los piquetes.

La línea fue construida en el año 1975, y desde esa fecha, permaneció en servicio hasta el día jueves 19 de Julio de 2018, donde cerca del mediodía se produjo la rotura de las estructuras mencionadas Los daños observados se produjeron luego de haberse registrado en la zona temperaturas muy bajas y precipitación de nieve húmeda que dio lugar a la formación de manguitos de hielo sobre los conductores

El Ente estatal operador de la línea no contaba con registros de daños similares en dicha línea durante las cuatro décadas que llevaba en servicio El reporte indica que esa mañana (9:41 horas) se registró una falla bifásica a 49 km de cutral co, en el sector se encontraron importantes manguitos de hielo sobre los conductores y el personal de mantenimiento intervino para desprenderlos A las 14:25 horas se solicita la reposición del servicio y a unos 6 9 km de allí encuentran el sector de columnas con fallas No pudieron observar directamente las dimensiones del hielo acumulado, pero sí el rastro que dejaron los conductores al caer sobre la superficie nevada con una impronta de varios centímetros de ancho

Los piquetes 23, 24, 25, 26, 27, 28 y 31 sufrieron daños de distinto grado en la parte superior de la columna, pero aún se encontraban en pie al momento de la inspección visual (Figura 3).

iNSpecciÓN de LAS coLumNAS coN dAño

Las columnas con daño fueron llevadas a un depósito al aire libre donde al inicio de los trabajos asociados al análisis de la falla se observó que, de las 7 columnas

|10| Fig ura 1 Estructuras de suspensión de la línea colapsada: (b) Torre colapsada Fig ura 2 Traz a del sector de la línea de 132 kV colapsada

dispuestas en el sitio, 4 rompieron entre la segunda y tercera ménsula (c1, c2, c5 y c6), inmediatamente por debajo de la segunda cruceta, 2 entre la tercer y cuarta ménsula (c3 y c4), inmediatamente por debajo de la tercera cruceta, mientras que la restante se encuentra completa (c7) En la Figura 4 se presenta la nomenclatura usada para identificar las ménsulas y esquemas de la posición de rotura observada en los restos examinados

|11|
Fig ura 3 Vista general de la línea con las torres colapsadas Fig ura 4 Esquema de las torres colapsadas

Se realizó un relevamiento en detalle de cada columna y la toma de muestras con destino al laboratorio para su ensayo, documentando las dimensiones de las torres, diámetros internos y externos y longitudes de los restos de columnas disponibles Además, se inspeccionó y relevó la armadura existente en los ejemplares colapsados obteniendo información sobre disposición y tipo de barras longitudinales, cordones de pretensado y estribos. Pudo observarse que, en la sección inferior, las columnas poseen una armadura longitudinal conformada por 20 barras lisas de 20 mm de diámetro y 20 cordones de pretensado en trenzas de 3 cables de acero de 3 mm de diámetro cada uno A medida que se consideran secciones transversales a mayor altura

rras lisas y cordones de pretensado en secciones transversales a diferentes posiciones desde el extremo superior de la columna

Las columnas mantienen los 20 cordones de pretensado en toda su longitud En cuanto a la armadura longitudinal ésta va incrementando desde la cresta a la base de acuerdo a la distribución mostrada en la Figura 6. De dicho relevamiento surgió que las torres presentaban una armadura longitudinal pero no armadura de corte y torsión; sólo se observaban estribos lisos dispuestos con el fin de mantener la armadura en posición al momento del colado del hormigón, pero sin función estructural

(a) 0,00 m a 2,50 m (b) 2.50m a 6.70 m

(c) 6 70m a 12 70m (d) 12 70m a 18 60m

Fig ura 6

Disposición y cantidad de armadura longitudinal y cordones de pretensado a diferente distancia del extremo superior de las torres colapsadas

desde el nivel inferior, esa disposición va cambiando en cantidad de barras lisas y cordones de pretensado En la Figura 5 se pueden observar las armaduras longitudinales de una de las columnas inspeccionadas, y en la Figura 6 se indica la disposición y cantidad de ba-

(e) 18.50m a 23.50m

A los efectos de obtener una mayor información de los materiales, se tomaron muestras de las barras, cordones de pretensado y testigos de hormigón con el objeto de ser ensayados posteriormente en laboratorio Para la extracción de los testigos se utilizó como marco de

|12|
Fig ura 5 Armadura longitudinal de las torres colapsadas

referencia la Norma IRAM 1551: “Extracción, preparación y ensayo de testigos de hormigón endurecido” y como herramienta una máquina saca-testigos con una broca de 70 mm de diámetro Se extrajeron tres muestras de hormigón de altura variable de 98 mm, 85 mm y 70 mm (c1, c2 y c7) de las columnas N° 1, 2 y 7, respectivamente Para la extracción de las barras y cables de pretensado que componen la armadura de las torres se utilizaron martillos percutores eléctricos a los fines de eliminar el recubrimiento, y amoladoras de mano para los cortes

eNSAyoS de LAborATorio

Los ensayos fueron realizados en el Departamento de Mecánica Aplicada de la Universidad Nacional del comahue En particular, se efectuó un ensayo de deslizamiento de grapas que tuvo como objetivo determinar la carga para la cual se produce el deslizamiento relativo entre el conductor y las grapas de suspensión Fueron ensayadas tres muestras, para las cuales se determinaron valores de carga de inicio de deslizamiento iguales a 12 kN, 14 kN y 14 6 kN

También se realizaron ensayos de tracción sobre las muestras de las barras de acero liso y cordones de pretensado obtenidas de las torres colapsadas, así como ensayos de compresión sobre los testigos de hormigón. El objeto de dichos ensayos fue el de obtener las cargas máximas de rotura/fluencia de cada material constitutivo de las columnas Los ensayos de tracción sobre probetas extraídas de las barras de acero de construcción liso se realizaron en base a la norma ASTM E8M-2013 Por otra parte, los ensayos sobre los cordones de pretensado se llevaron a cabo en base a la norma IRAM IAS U500-07-2005 sobre 5 probetas extraídas de la zona, sin daño de las estructuras colapsadas En las barras lisas se obtuvo, en promedio, una tensión de fluencia de 460 MPa, una tensión de rotura de 1193 MPa y un alargamiento de 1,5% El cordón de pretensado alcanzó, en promedio, una resistencia a la tracción de 1800,33 MPa

de hormigón fue, en promedio, de 33,26 MPa, estimándose una resistencia característica del hormigón de 22,85 MPa a 28 días y una resistencia a la edad del colapso de 29,02 MPa

A los efectos de valorar la posibilidad que el colapso se haya iniciado como consecuencia de una falla por sobrecarga del conductor, se acordaron ensayos de tracción del cable conductor. cada conductor, tipificado como 150/25, está compuesto por dos capas de alambres de aluminio con un total de 26 hilos de 2,65 mm de diámetro y un alma de acero de 7 hilos de 2,05 mm de diámetro cada uno Los resultados obtenidos en los ensayos permiten concluir que la carga mínima de rotura del conductor resulta entre 53 y 56 kN Las especificaciones de fabricantes de este tipo de cable indican una resistencia mínima a tracción de 53 6 Kn, por lo tanto, la resistencia obtenida no presenta apartamientos significativos respecto de la resistencia nominal especificada

eSTudioS cLimAToLÓGicoS

El análisis fue realizado en el Laboratorio de Dinámica de Fluidos Ambientales del Departamento de Mecánica Aplicada de la Universidad Nacional del comahue Se evaluaron las características del fenómeno meteorológico ocurrido los días 18 y 19 de julio de 2018 en la zona de emplazamiento de la línea LAT132, donde se produjo el colapso de las torres y, a partir de allí, se estimó el tamaño posible del manguito de hielo aplicando modelos de simulación

En cuanto a las probetas de hormigón conformadas a partir de los testigos obtenidos en las torres colapsadas, se realizaron ensayos a compresión de hormigón La resistencia a la compresión obtenida en los testigos

Se efectuó un análisis de las condiciones meteorológicas ocurridas desde las 15 horas del día 18 hasta las 15 horas del día 19 de julio de 2018, haciendo énfasis en el tipo de nubosidad, la precipitación de nieve y los vientos que condujeron a la acreción de nieve sobre las líneas del tendido eléctrico y las estructuras Para la simulación del crecimiento del manguito se dispusieron dos modelos de simulación distintos, el modelo Makkonen, basado en la reducción de visibilidad que produce la precipitación de nieve, y el modelo Admirat, el cual asume que no todos los copos de nieve se adhieren al conductor eléctrico y tiene en cuenta la tasa de deposición de nieve según la velocidad horizontal y vertical del viento

|13|

La nieve, la rotación del conductor y las bajas temperaturas (-2.0°c<T<+2°c) generan una capa de nieve húmeda sobre las líneas aéreas Por otro lado, la lluvia y las altas temperaturas rompen dicha capa de nieve Se presentan dos fenómenos asociados, por un lado, la formación de hielo, debido al sobre enfriamiento del agua contenida en nubes bajas o muy bajas que son frías, y además la precipitación, debido a la lluvia helada o la deposición de nieve húmeda.

Admirat y Sakamoto6 (1988), Bonelli y Lacavalla7 (2010) encontraron que son más importantes los procesos de deposición de nieve húmeda debido a la precipitación que la de formación de hielo dentro de nubes bajas La acumulación de nieve húmeda se considera riesgosa para las líneas de transmisión eléctrica cuando la nevada ocurre con vientos

Kuroiwa8 (1965) investigó la formación de hielo y la acumulación de nieve en las líneas y concluyó que casi toda la acumulación de nieve húmeda en Japón ocurrió cuando el viento era inferior a 3 m/s (11 km/h) y la temperatura del aire permanecía entre -1°c y +1 °c.

El relevamiento mostró que la precipitación de nieve húmeda en el área de las torres colapsadas no fue excesiva, se acumularon 13 cm en superficie del suelo Por otra parte, tampoco la velocidad máxima del viento fue extrema, llegó a 32 km/h con ráfagas de 53 km/h

Las condiciones meteorológicas, con nubes de gran espesor y temperaturas por debajo del punto de congelación, produjeron las nevadas observadas, que sumado a una temperatura de bulbo húmedo mayor a 0 3 °c provocó la existencia de nieve húmeda Hubo una persistencia anómala de estas condiciones, ya que los sistemas de presión de gran escala produjeron un patrón de bloqueo a la circulación de vientos del Oeste que ocurren típicamente en la Patagonia, principalmente, desde la tarde del 18 a la mañana del 19 de julio La velocidad de los vientos fue incrementando durante la noche del día 18 con un máximo en la mañana del día 19, cuando las estructuras y los cables estaban cubiertos de nieve húmeda depositada por el proceso de acreción

hielo de entre 7 a 8 cm, con una masa específica de 1,034 kg/m. Por otra parte, el modelo de Admirat arrojó para el manguito posible un diámetro del orden de 20 cm con una masa de 3,212 kg/m

reSiSTeNciA eSTrucTurAL de LoS poSTeS

El objeto de los trabajos desarrollados en este ítem fue obtener una aproximación a la resistencia estructural de las columnas de suspensión de las torres de la línea para las distintas solicitaciones que pudieron presentarse en el momento del colapso Se realizó el análisis en las secciones donde se produjo la rotura, eso es, sección A: entre la segunda y tercera ménsula (a 3,48 m del tope) y sección B: entre la tercera y cuarta ménsula (a 4,98 m del tope) Se utilizaron los procedimientos admitidos por el Reglamento cIRSOc 2019 y Reglamento AcI 31810, evaluándose la resistencia a torsión pura, corte puro, corte y torsión simultáneos, y flexo compresión, teniendo en cuenta el aporte de resistencia otorgado por el efecto del pretensado Para estos cálculos se utilizaron los valores característicos obtenidos en los ensayos:

HORMIGÓN: Resistencia a la compresión simple: f ’ c = 29 02 MPa Módulo de Elasticidad, calculado según normativa: Ec= 25319 MPa

BARRAS DE AcERO LISO: Diámetro ∅ = 19 mm, Área A = 2 84 cm2 Tensión de fluencia fy = 459 13 MPa

TRENZAS DE PRETENSADO DE 3 ALAMBRES: Diámetro del alambre ∅ = 3 mm, Área de la trenza: A = 0 212 cm2- Tensión de rotura fpu = 1800 33 MPa carga de rotura de la trenza Prot = 38.19 kN

TorSiÓN

con esta información de input el modelo de Makkonen arrojó un diámetro posible para el manguito de

En las columnas inspeccionadas, se pudo observar la inexistencia de armaduras transversales estructurales, por lo cual, no es posible desarrollar el mecanismo resistente a torsión basado en las armaduras una vez que el hormigón se ha fisurado Por lo tanto, la totalidad de la resistencia a torsión de las columnas es la que proporciona la resistencia a tracción diagonal del hormigón

|14|

pretensado, y dicha resistencia se anula una vez producidas las fisuras, ya que no existen armaduras adecuadas capaces de proporcionar resistencia adicional

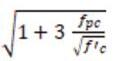
La bibliografía, en el marco de las normativas aplicadas en este estudio, proporciona la siguiente expresión para la estimación del momento torsor de fisuración, o momento torsor crítico, Tcr: (1)

Para el cálculo de la tensión de compresión en el hormigón debida al pretensado fpc se consideró que la tensión inicial de las trenzas en el momento que fueron pretensadas fue fi = 0,74 fpu Por otro lado, mediante un cálculo aproximado de las pérdidas totales de pretensado se obtuvo que el valor efectivo de pretensado resultaría de alrededor del 76% del valor inicial

donde Acp es el área encerrada por el perímetro exterior de la sección transversal de hormigón, Pcp es el perímetro exterior de la sección transversal de hormigón y fpc es la tensión de compresión en el hormigón, después de ocurridas todas las pérdidas de pretensado, en el centroide de la sección transversal

En la expresión anterior se señala que:

cabe acotar que el reemplazo de Acp por Ag, sección bruta de hormigón, prescripto por la normativa no aplica en este caso al no tratarse de una sección rectangular Por otro lado, es necesario tener en cuenta que parte de la resistencia a tracción diagonal del hormigón va a ser consumida por las tensiones tangenciales que genere el corte

Es decir que el valor de Tcr obtenido con la expresión anterior es un límite superior, y por lo tanto, el valor real se obtiene cuando se estima la acción simultánea del corte y la torsión

es la tensión principal de tracción a la que ocurre la fisuración Este valor es levemente sobreestimado para cuando actúan conjuntamente con el momento torsor esfuerzos de flexión y corte

es el módulo de torsión de la sección. Los modelos de cálculo empleados son los elásticos dado que el hormigón no fisurado en el rango de bajas tensiones se comporta como un material cuasi-elástico es el factor que amplifica al momento torsor necesario para producir la tensión principal de tracción a la que ocurre la fisuración, debido a las tensiones de compresión producidas por el pretensado

Además, la normativa indica que cuando se considere la acción simultánea de tensiones tangenciales debidas a corte y torsión el momento torsor de fisuración, Tcr debe ser disminuido al multiplicarlo por el factor Ag / Acp para que la adición lineal de las tensiones sea válida La Tabla 1 muestra los valores obtenidos para la Sección A y B, identificadas anteriormente

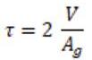
corTe

De la misma manera que en la torsión, la inexistencia de armaduras transversales hace que no sea posible que se desarrolle el mecanismo resistente a corte basado en las armaduras una vez que el hormigón se ha fisurado. Por ende, la totalidad de la resistencia al corte de las columnas es la que proporciona la resistencia a tracción diagonal del hormigón y esta resistencia se anula una vez producidas las fisuras, ya que no existen

|15|
Tabla 1 Momento Torsor de Fisuración Tcr [kNm]

armaduras adecuadas que proporcionen resistencia adicional. El cálculo de las tensiones tangenciales por corte se consideró mediante la expresión:

(2)

donde V es el esfuerzo de corte actuante y Ag es el área bruta de la sección de hormigón como se indicó anteriormente, esas tensiones tangenciales disminuyen la resistencia a la tracción diagonal disponible del hormigón, y por lo tanto, el momento torsor crítico de fisuración Tcr es menor que en el caso ideal de torsión pura En la Tabla 2 se muestra la tensión tangencial máxima τmax considerando distintos valores de corte V La solicitación de corte V proviene de cargas asimétricas sobre el cable en vanos adyacentes y se considera que pueden transmitirse a la columna dado que las fuerzas de deslizamiento entre el cable y la morseta obtenidos en los ensayos muestran un valor promedio de 13 3 KN

FLexo compreSiÓN

La resistencia a la flexo-compresión se evalúa considerando las dimensiones de la sección y la existencia de armaduras convencionales y de pretensado Dado que en el estado límite se consideran los dos tipos de armaduras, cada una con su estado tensional, se verificó la resistencia considerando una armadura equivalente para la determinación del diagrama de interacción correspondiente

Para evaluar el momento flector solicitante se tuvo en cuenta las cargas permanentes para condiciones de servicio dadas por el peso de la ménsula, peso del paquete de aisladores, peso del cable para un vano de 260 m y el peso de la columna por encima de la sección de rotura resultando para la Sección A un peso total de 13 2 kN, resultando un momento flector en la sección, para las cargas permanentes antes mencionadas, M = 10 1 kNm

corTe y TorSiÓN AcTuANdo SimuLTáNeAmeNTe

Al actuar simultáneamente ambos esfuerzos, el momento torsor de fisuración Tcr será calculado ahora con la expresión:

con los datos de la sección y armaduras disponibles se elaboró el diagrama de interacción mostrado en la Figura 7. Los datos relativos a la condición de seguridad resumidos en la Tabla 3 fueron calculados asumiendo que para los valores límites de diseño se mantiene la misma excentricidad que tienen las solicitaciones de servicio para cargas permanentes

resultando un valor de Tcr=20 70 kNm para la Sección

A (τmax =0.224MPa) y Tcr=23.21 kNm para la Sección

B (τmax =0 288MPa) Si se considera que la distancia entre la posición del tensor y el eje de la columna es de z = 2 75 m, la fuerza horizontal H (H=Tcr/z) que llevaría a la situación donde se produce la fisuración es de 7 52 kN en la Sección A y de 8 44 kN en la Sección B

Para cargas permanentes el factor de seguridad global respecto a la resistencia de diseño es 13.14. considerando para las cargas permanentes un factor de minoración de resistencia de ∅=0 9, resulta un coeficiente de seguridad global de las cargas permanentes respecto de la resistencia nominal de la sección de 13 14/0 9 = 14 6

(3)
|16| Tabla 2 Tensión de corte máxima Tmax [MPa] Tabla 3 Resumen de condición de seg uridad

Se llevó a cabo una estimación de la carga equivalente accidental que llevaría a la sección al límite de su resistencia nominal por flexión Para ello se aplica el diagrama de interacción de diseño para comparar la solicitación límite con la resistencia nominal de la sección Este valor límite se obtuvo considerando la aplicación de una carga uniformemente distribuida únicamente sobre una de las fases de 260 m de longitud, de valor q equiv =0 115 KN, valor aproximadamente igual a 20 veces el peso propio del cable

SíNTeSiS de evALuAciÓN de reSiSTeNciA de SoporTeS de LA LíNeA eLécTricA

De los estudios desarrollados, pudo concluirse que los valores últimos de resistencia a torsión serían superados al producirse una fuerza de tiro no equilibrada sobre la morseta mayor o igual a 7,52 KN, valor inferior a aquel de tiro necesario para producir el deslizamiento relativo entre el cable y la morseta (13,3 KN)

Los valores últimos de resistencia a flexo-compresión serían superados al producirse un incremento del peso por manguito de hielo del orden de 20 veces el peso propio del cable, aplicado de forma continua sobre los conductores

ANáLiSiS eSTrucTurAL

El objeto de la modelación es establecer el nivel de demanda generado sobre las estructuras de soporte ante una sobrecarga por formación de manguito de hielo y

viento. El interés se centra en evidenciar bajo qué condiciones de acumulación de hielo sobre los conductores se alcanzaría en las grapas el esfuerzo de deslizamiento Se entiende que, para esfuerzos de tiro inferiores a los mencionados, una buena parte del mismo es transmitido a la estructura de suspensión

Se creó un modelo estructural no-lineal mediante elementos finitos para la simulación del comportamiento del conjunto conductor-aislador La estructura es asumida como rígida entendiendo que las principales variables a determinar (los esfuerzos y deformaciones generados en el conductor por efecto de la sobrecarga) no resultan afectadas por la posible deformación de la propia torre. El modelo es del tipo estático no lineal geométrico, incluyendo una formulación de grandes deformaciones al efecto de contemplar los cambios geométricos del conjunto conductor-aislador al ser sometido a un incremento de carga

Se consideró la longitud del vano igual a L = 260 m, una altura de la cruceta igual a 14 m y una flecha igual a 5,60 m coherente con los datos de diseño Dado que el efecto de sobrecarga localizada en un vano se propaga a los restantes (generando reducción de flechas y rotación de los aisladores) el modelo incluyó un total de 17 vanos En la Figura 8 se representó una geometría del modelo del vano típico en la condición de montaje (con flecha según las especificaciones técnicas de diseño) El aislador se consideró axialmente rígido pero bi-articulado, con posibilidades de experimentar grandes rotaciones alrededor del soporte que lo vincula a la cruceta de la torre

|17|
Fig ura 7 Diag rama de Interacción Condición de Seg uridad para las Solicitaciones para Sección A

Fig ura 8

Modelo numérico de los cables, (a) Vano Típico, (b) Conjunto Cable-Aislador

eSceNArioS de veriFicAciÓN

Sobre el conductor se consideraron las siguientes acciones:

• Peso Propio del conductor: calculado en forma automática por el software en función del área del conductor y la densidad asignada al material del mismo

• Carga de hielo: considerando un manguito de hielo de 1, 2, 3, 4, y 5 cm de espesor. El peso específico estimado para el hielo es 9 17 kN/m3, evaluando el peso del área del anillo de hielo que se forma alrededor del cable por diferencia respecto al área del conductor En la Tabla 4 se detalla el peso de hielo resultante para los diferentes espesores de manguito

una categoría de exposición c correspondiente a terrenos abiertos con obstrucciones dispersas menores de 10 m y no se tuvo en cuenta la influencia cambios bruscos en la topografía resultando un factor topográfico Kzt = 1. Para el factor de direccionalidad de viento (Kd) se asumió Kd = 0 95 para elementos redondeados El coeficiente de exposición Kz se tomó para una altura media sobre el nivel del terreno z = 10 m resultando Kz = 1 (Exposición c)

(4)

La carga de viento se evaluó por la siguiente expresión:

(5)

donde el factor de ráfaga (G) resultó de valor G = 1 233, el factor de corrección por esbeltez (Ke) resultó

• Carga de Viento: Las cargas de viento sobre los conductores fueron evaluadas en base al Anexo II del reglamento cIRSOc 10211 (2005) teniendo en cuenta la presión dinámica (qz) del viento evaluada en el baricentro del área (Af) proyectada normal al viento, dada por la Ec. 4.

Para la presión dinámica se apreció un factor de importancia (I) de valor 1 15 correspondiente a una categoría IV para instalaciones esenciales Se asumió

Ke = 1 para una relación de esbeltez mayor a 40 El coeficiente de forma (cf) se adoptó de valor 1 1 para cables Para el modelo se calculó la fuerza de viento por unidad de longitud [N/m], para ello el área proyectada normal al viento por unidad de longitud resultó del valor de un diámetro del cable (Af /l= o | c). El valor resultante de la fuerza por unidad de longitud es:

(6)

|18|
(a) (b)
Acción
Tabla 4
del Hielo sobre el conductor

En base a las acciones descriptas se formularon los siguientes escenarios de verificación:

E 01: Peso Propio del conductor Su objetivo es establecer el estado tensional del conductor previo a la ocurrencia del evento climático

E 02: Peso Propio + manguito de hielo uniforme en todos los vanos. Este escenario busca maximizar el esfuerzo de tiro sobre el propio conductor a fin de verificar su posible falla por efecto de la sobrecarga

E 03: Peso Propio + manguito de hielo en 1 vano considera el efecto concentrado en un vano con sobrecarga de manguito de hielo y el resto de los vanos descargados.

E 04: Peso Propio + manguito de hielo en 3 vanos Estima el efecto concentrado en tres vanos con sobrecarga de manguito de hielo y el resto de los vanos descargados

E 05: Peso Propio + manguito de hielo en 1 vano + Viento Evalúa el efecto del viento sobre la línea considerando sobre la misma la acción simultánea con la formación de manguito de hielo

Escenario E 01: El esfuerzo en el conductor (FT) suponiendo únicamente la acción del peso propio del mismo es 8,5 kN y las reacciones de la cruceta sobre el conductor (Fv) es de 1 54 kN en dirección vertical y 0 02 kN en horizontal, estas últimas se compensan con los valores opuestos a cada lado de la cruceta

FT=16,85 kN

Escenario E 02: En la Figura 9 se representaron los esfuerzos en el conductor para un manguito de hielo uniforme en todo el conductor de 1 cm de espesor Además, en la Tabla 5 se detallan los esfuerzos sobre el conductor y sobre las crucetas para espesores del manguito de hielo de 1 a 5 cm De los resultados obtenidos resulta que, para manguitos de hielo iguales o superiores a 4 cm de espesor el esfuerzo generado en el conductor supera la carga última nominal de rotura igual a Pu = 53,6 kN

Tabla 5 Esfuerzos sobre el conductor y la cruceta Mang uito de hielo Uniforme (E 02)

Escenario E 03: En este escenario se determinan los esfuerzos sobre cruceta y conductor para el caso que sólo uno de los vanos tuviera una sobrecarga de manguito de hielo respecto del resto de la línea En la Figura 10 se representaron los esfuerzos en el conductor para el tramo con sobrecarga y los aledaños para un manguito de hielo de 1 cm de espesor y las reacciones en el extremo de la cruceta En la Tabla 6 se completa el cuadro de resultados detallando los esfuerzos de tiro en el tramo más solicitado del conductor y los máximos esfuerzos horizontales y verticales en el extremo de la cruceta para el conjunto de espesores de manguito de hielo analizados

Fig ura 9

Escenario 02: Esfuerzos sobre el conductor, e = 1 cm

Fig ura 10

Escenario 03: Esfuerzos sobre conductor/reacciones en cruceta, e = 1 cm

|19|

Fig ura 11

Escenario 03: (a)

Esfuerzos de Tiro FT en Conductor, (b)

Esfuerzos

Horizontales FH sobre la Cruceta

Tabla 6

Esfuerzos sobre el conductor y cruceta, mang uito de hielo en un vano

Fig ura 12

Escenario 04:

Esfuerzos sobre conductor y reacciones en cruceta, e = 1 cm.

En la Figura 11 se representaron los esfuerzos de Tiro en el conductor en el tramo más solicitado (Tramo con sobrecarga de manguito de hielo) y la fuerza Horizontal en el extremo de la cruceta de dirección paralela a la línea, respectivamente Esta fuerza Horizontal resulta idéntica a la fuerza que produciría tendencia al deslizamiento entre cable y grapa en caso que tal deslizamiento entre ambos elementos se encontrara impedido De los resultados detallados en las figuras y tabla anteriores, resultan particularmente relevantes los siguientes elementos:

• El esfuerzo de tiro en el conductor alcanzaría valores similares a los de la capacidad última del cable (entre 53 y 56 kN) para un manguito de hielo de 6 cm

• como consecuencia de la rotación del aislador, en caso de que el deslizamiento entre grapa y conductor se encontrara impedido, se generan esfuerzos horizontales paralelos a la línea entre

2 y 25 kN para espesores de manguito entre 1 y 5 cm

• En caso que el deslizamiento se encontrará parcialmente impedido, esta fuerza se encontraría acotada por el valor de la Fuerza necesaria para producir deslizamiento, la cual resultó entre 11,77 kN a 14,36 kN

• De lo anterior, resulta que para espesores de manguito de hielo del orden de 3,5 cm se produciría el deslizamiento del conductor respecto de la grapa Por debajo de los 3,5 cm de espesor, las fuerzas indicadas como FH en la Tabla 7 se transmitirían íntegramente al extremo de la cruceta

Escenario E 04: Se determinan los esfuerzos sobre cruceta y conductor para el caso que 3 vanos centrales recibieran una sobrecarga de manguito de hielo respecto del resto de la línea En la Figura 12 se represen-

|20|
(a) (b)

taron los esfuerzos en el conductor para los tramos con sobrecarga y los aledaños para un manguito de hielo de 1 cm de espesor y las reacciones en el extremo de la cruceta En la Tabla 7 se completan los resultados para el conjunto de espesores de manguito de hielo analizados Los resultados obtenidos son similares al escenario 03 con valores algo superiores

Escenario E 05: En este escenario se determinan los esfuerzos sobre cruceta y conductor para el caso donde, además de una sobrecarga con manguito de hielo, el conductor soporte la acción del viento de la magnitud del estimado durante el evento climático

El viento se supondrá aplicado siempre en toda la extensión de la línea, contemplando el incremento de área opuesto al mismo producto de la formación del manguito de hielo En la Tabla 8 se detallan los esfuerzos de tiro en el tramo más solicitado del conductor y los máximos esfuerzos horizontales y verticales en el extremo de la cruceta para el conjunto de espesores de

Tabla 7: Esfuerzos sobre el conductor y cruceta, hielo en tres vanos

manguito de hielo analizados La Figura 13 muestra la variación de estos esfuerzos al aumentar el espesor del manguito de hielo comparándolos para hielo solamente (N) y hielo con viento (N+V), indicando los límites dados por la capacidad última del cable (Pu) y los límites por deslizamiento de la grapa y resistencia por torsión en la columna

SíNTeSiS deL ANáLiSiS eSTrucTurAL

Se procedió a la evaluación del comportamiento estructural del sistema conductor-aislador mediante un análisis no lineal del sistema sujeto a las acciones de Peso Propio, Hielo continuo, Hielo concentrado en un tramo y Viento. De los mismos, resultan los siguientes elementos significativos:

•La formación de un manguito de hielo de, aproximadamente, 4 cm de espesor y continuo para toda la línea generaría esfuerzos de tiro en el conductor que supe-

Tabla 7: Esfuerzos sobre el conductor y cruceta, hielo en tres vanos

Fig ura 13

Escenario 05: (a) Esfuerzos de Tiro FT en Conductor, (b) Esfuerzos Horizontales FH sobre la Cruceta

|21| (a) (b)

rarían la carga última nominal de rotura igual a Pu = 53,6 kN.

• Para una distribución de nieve no continua, un manguito de hielo de espesor entre 2 y 3 cm produciría un esfuerzo de tiro igual al necesario para iniciar el deslizamiento entre cable y grapa

• Para este último escenario, un manguito del orden de 2 cm de espesor generaría esfuerzos horizontales sobre la cruceta que daría lugar a esfuerzos de torsión iguales a la resistencia última del poste en ese sector

SíNTeSiS y coNcLuSioNeS

Desde el inicio de estos trabajos se asumió como desencadenante de la falla ocurrida en las torres correspondientes a los piquetes 23 a 28 y 30 a 31 al depósito de manguitos de hielo sobre los conductores en el tramo afectado Los estudios climatológicos desarrollados para el análisis, aun considerando la escasa información disponible, permitieron establecer que se produjo un depósito de nieve húmeda sobre los conductores, a partir del cual se habrían desarrollado manguitos de hielo cuyo espesor fue estimado en varios centímetros, dependiendo del modelo de simulación utilizado

La sobrecarga de los conductores por manguito de hielo produce dos efectos mecánicos sobre los conductores:

• El incremento de esfuerzos de tracción sobre el propio conductor, cuya magnitud dependerá de la longitud del tramo sobrecargado y del grado de restricción generado por la morseta que suspende el conductor en cada aislador sobre el libre deslizamiento del mismo

De tramos de conductores del sector colapsado pudo determinarse que el deslizamiento del conductor se encontraba parcialmente impedido por el ajuste de la morseta, efecto que pudo cuantificarse en ensayos de laboratorio donde se midieron los valores de fuerza requeridos para iniciar el deslizamiento, resultando de entre 12 y 15 kN, aproximadamente De lo anterior se obtiene que, en caso de generarse una sobrecarga sobre el conductor por manguito de hielo, esfuerzos del orden de los indicados serían transferidos íntegramente a la cruceta de la torre, generando una demanda de flexión y torsión sobre la misma

En base a los planos disponibles de los postes de las torres y, particularmente, del relevamiento de dimensiones y armaduras experimentado sobre los mismos durante los trabajos de campo, pudo determinarse que la máxima resistencia a la torsión del mástil se vería superada si se desarrollara un esfuerzo de tiro no equilibrado en el extremo de la cruceta igual a 7,52 kN, valor éste que resultaría aún inferior en caso de producirse una profundización del agrietamiento progresivo del poste debido a la acción del clima, del tipo del observado en varios de los postes no colapsados

De lo anterior, se concluyó que, de producirse el depósito de manguitos de hielo en un tramo de la línea, el esfuerzo de tiro requerido para el deslizamiento del conductor en la morseta supera ampliamente a aquel necesario para generar el colapso por torsión del mástil

como resultado del análisis estructural se determinó que valores de tiro no equilibrado en la morseta producto de un depósito de manguito de hielo de 2 a 3 cm de espesor, de distribución no uniforme en toda la línea, resultarían iguales o ligeramente superiores a los requeridos para producir la falla por torsión del mástil

• La transferencia de los esfuerzos de tiro horizontal sobre el extremo de la cruceta, cuya magnitud dependerá también del grado de restricción generado por la morseta respecto del libre deslizamiento del conductor

De lo anterior, puede concluirse que, considerando las observaciones de personal de campo y las estimaciones verificadas en los estudios climatológicos desarrollados para este informe, existe una alta probabilidad que tales espesores se hayan desarrollado y, por tanto, generado un mecanismo que condujo a

|22|

la falla de, al menos, una de las torres Es claro que, una vez producida la falla de una torre de suspensión, se genera un efecto en cadena no mensurable el cual se extiende, al menos, a todo el tramo entre estructuras de retención

Se considera importante señalar que la resistencia última del conductor por tracción podría haberse superado si el manguito de hielo hubiera alcanzado espesores algo superiores a los 4 cm, valor este que no puede descartarse en base a la información disponible

En síntesis, se entiende que los estudios detallados ponen en evidencia una debilidad estructural del poste para soportar esfuerzos de torsión relativamente bajos y una resistencia de diseño del conductor cercana a valores posibles que pudieran generarse durante un evento como el mencionado

Ag radecimientos: Los autores ag radecen la colaboración del Mg. Edgardo Santarelli, la Dra Mónica Salaz ar, el Mg Germán Keil y el Ing Damián Campos en la realiz ación de ensayos, y al Dr. Jorge Lassig y la Mg. Claudia Palese por los estudios climatológicos. También, reconocen la participación de los estudiantes Nicolás Mig uel, Lucas Aramburu y Ag ustina Hernández, junto a la Ing. Noemí Subelz a.

Referencias:

[1] CIGRÉ (1996) Brochure 109 – Review of IEC 826: Loading and Strength of Overhead Lines Conseil International des Grands Réseaux Electriques, Paris, France, Technical Report.

[2] CIGRÉ (2012) Brochure 515 – Mechanical Securit y of Overhead Lines: Containing Cascading Failures and Mitigating Their Effects Conseil International des Grands Réseaux Electriques, Paris, France, Technical Report.

[3] Alminhana F, Albermani F and Mason M (2018), Cascading collapse of transmission lines, Proceeding s of the Institution of Civil Engineers – Engineering and Computational Mechanics, https://doi.org/10.1680/jencm.18.00010.

[4] Detke, F.R., Duarte, J., Piz zutti, H.D., Gruber, A S , Morales, V R , Vivanco, C B , Golemba, J L , Möller, O (2013) Optimiz ación

de postes de hormigón pretensado para líneas de transmisión eléctrica. Mecánica Computacional Vol XXXII, pág 2097-2114, AMCA ISSN 1666-6070

[5] Ag uirre, M.A., Detke, F.R., Mercanti, J.A., Möller, O. (2014), Interacción dinámica entre conductores y postes en líneas de transmisión eléctrica Mecánica Computacional Vol XXXIII, pág. 3543-3557, AMCA, ISSN 1666-6070.

[6] Admirat, P and Sakamoto, Y (1988), Wet snow on overhead lines: a state of the art, in: Proc. of the 4th International Workshop on Atmospheric Icing of Structures, Paris, 7–13.

[7] Bonelli, P and Lacavalla, M (2010), Trend in snow deposition on overhead electric lines: using synoptic data to investigate the relationship black- out risk/climate change.

Management of Weather and Climate Risk in the Energ y Industr y, NATO Science for Peace and Securit y Series – C. Environmental Securit y, edited by: Troccoli, A

[8] Kuroiwa, D (1965), Icing and snow accretion on electric wires. Cold Regions Res. And Eng. Lab., Res. Rept. 133.

[9] CIRSO C 201 Reglamento Argentino de Estructuras de Hormigón

[10] ACI 318 Requisitos de Reglamento para Concreto Estructural (ACI 318S-05)

[11] CIRSO C 102 (2005) Acción del viento sobre las construcciones, Buenos Aires

|23|

Felipe Lopez

Rivarolaa,b, Nicolás Alschera,b, Jorge Laiuna,b y Pedro Fernandez a,b a Universidad de Buenos Aires, Facultad de Ingeniería, INTECIN (UBA- CONICET), flopez@fi.uba.ar b SRK Consulting (Argentina), Chile 300, CABA, latam.srk.com

Análisis de fisuración en hormigón por calor de hidratación

Durante el fraguado del hormigón se desarrollan tensiones de tracción debido a la evolución no homogénea de la temperatura, la contracción por secado no uniforme y las restricciones por el proceso constructivo Si estas tracciones superan la resistencia a la tracción del hormigón, este se fisurará Asimismo, las propiedades del hormigón varían con el tiempo Por lo tanto, para trabajar estos procesos es necesario utilizar un modelo numérico que acople la temperatura con la deformación, y utilizar un modelo material que cuente con deformación diferida, así como la capacidad de modelar fisuras. En el presente trabajo, se describe un estudio de fisuración por origen térmico y reológico del hormigón del conducto bypass de una planta de pretratamiento de líquidos cloacales Para resolver el problema termo-mecánico se elaboró un modelo 3D en el software de elementos finitos LUSAS Civil Structural Plus Los resultados fueron contrastados con un modelo físico-térmico a escala reducida y con mediciones luego de la construcción.

iNTroducciÓN

Durante el proceso de hidratación del cemento, se producen reacciones químicas exotérmicas que generan un aumento de la temperatura en la masa de hormigón Estos cambios de temperatura provocan deformaciones volumétricas que, si son impedidas, generan tensiones que pueden fisurar el material Existen dos tipos de restricciones: las internas y las externas Por un lado, las superficies expuestas del elemento hormigonado experimentan un enfriamiento prematuro y su contracción se ve impedida por el núcleo del elemento, que aún se encuentra caliente Esta situación se conoce como restricción interna a la contracción

Por otro lado, el contacto del elemento hormigonado con el terreno, u otro elemento endurecido, constituye una restricción externa a la deformación. cuando la temperatura en la masa del hormigón disminuye y esta quiere contraerse, la fricción en el contacto lo impide provocando tensiones de tracción

|26|

La evolución de la temperatura, rigidez y resistencia a la tracción del hormigón a lo largo del tiempo, junto con las restricciones a las que se encuentra sometida la pieza, definen el estado tensional y las posibles fisuras que puedan ocasionarse en la misma En este trabajo se describe un estudio de fisuración por origen térmico y reológico del hormigón asociado a un conducto rectangular Los resultados fueron comparados con un modelo físico efectuado a escala reducida y con mediciones luego de la construcción

modeLo de eLemeNToS FiNiToS

características del modelo

Para resolver el problema termo-mecánico se elaboró un modelo tridimensional en el software de elementos finitos LUSAS civil & Structural Plus El conducto de hormigón tiene, entre juntas, una longitud de 12 0 m, un ancho total de 5 0 m, una altura de 4 2 m y 0 5 m de espesor (ver Figura 1) La malla de elementos finitos presenta un total de 33 044 elementos volumétricos lineales hexaédricos.

• Hidratación del tabique y losa de techo Duración: 3 días (10 a 13). Paso temporal: 0 01 a 0 05 días;

• Endurecimiento del tabique y losa de techo Duración: 5 días (13 a 17) Paso temporal: 0 05 a 0 2 días;

• Activación del peso del suelo sobre la losa de techo y análisis a largo plazo Duración: 1883 días (17 a 1900). Paso temporal: 0.5 a 100 días.

modelo térmico

Para cuantificar el calor de hidratación generado por la hidratación del hormigón se utiliza el modelo de Schindler and Folliard [2005] Los parámetros adoptados son:

• conductividad térmica: 2.0 J/(m s ºC),

• capacidad calorífica: 1000 J/(kg °C),

• Densidad: 2400 kg/m3 ,

• Masa de cemento por unidad de volumen: 380 kg/m3 ,

• Relación agua cemento: 0 44,

• Tipo de cemento

eTApAS de coNSTrucciÓN

Las etapas modeladas son:

• Activación de la solera;

• Hidratación de la solera. Duración: 3 días (0 a 3).

Paso temporal: 0 05 días;

• Endurecimiento de solera Duración: 7 días (3 a 10) Paso temporal: 0 2 días;

• Activación del tabique y losa de techo;

coNdicioNeS de borde TérmicAS

Las condiciones de borde térmicas son:

• Temperatura ambiente: Los primeros 30 días, 30 ºc Posteriormente, una variación lineal hasta 10 ºc en el día 180, momento desde el cual se mantiene constante.

• Sobre el plano de simetría se impone una condición de flujo nulo

• Sobre las caras restantes, una condición de trasmisión por convección según la Tabla 1

|27|
Fig ura 1 Malla de elementos finitos

Tabla 1

Condiciones de contorno para el modelo térmico

Tabla

Fracción (por peso) de los compuestos químicos de los tipos de cemento

modeLo mATeriAL de cALor de hidrATAciÓN

Se evaluaron tres variantes, cemento Tipo I (cPN: cemento Portland Normal), cemento Tipo V (ARS: Alta Resistencia a los Sulfatos), y un cemento denominado Tipo A que tiene en cuenta la composición empleada en la obra. En este último, se utilizaron los valores promedio de la composición potencial del clínker aplicado en la fabricación del cemento Pórtland cPARS40 (Olavarría) provista por la planta hormigonera

(Tipo A calor) a partir de los resultados recibidos acerca del calor de hidratación del cemento determinados mediante el método de Langavant (IRAM 1852) Se observa que los valores adoptados en el modelo para el Tipo A presentan una buena aproximación del calor generado, especialmente, en los primeros 5 días

modeLo mATeriAL Termo-mecáNico

El modelo constitutivo adoptado para la modelación y análisis del comportamiento del hormigón es el

Curvas de calor de hidratación vs tiempo para diferentes tipos de cemento

La Figura 2 presenta la evolución del calor generado en función del tiempo para una temperatura de referencia constante. Se observa que el valor máximo de temperatura se alcanza en los primeros días luego de hormigonado, es por esta razón que la discretización temporal ha sido mayor en los primeros días

Para el caso del cemento Tipo A se trazaron dos curvas, una verde (Tipo A composición) siguiendo la generación usada en el modelo numérico, y una roja

Smoothed Multi-crack concrete Model (model 109) implementado en LUSAS Este modelo, desarrollado por Jefferson [Jefferson (2003) y Jefferson (2014)], intenta capturar las distintas complejidades del comportamiento del hormigón

consiste en un modelo de daño con contacto integrado con plasticidad en un marco termodinámicamente consistente El modelo acopla daño direccional con plasticidad para simular apertura y cierre de fisuras.

pArA hormiGÓN
|28|
2 Fig ura 2

El daño a compresión (crushing) depende, fundamentalmente, de la resistencia a la compresión y se simula con plasticidad no asociativa El modelo tiene en cuenta el aumento de la resistencia por el confinamiento y ablandamiento/endurecimiento friccional La función que dicta la evolución del daño a tracción (cracking) se encuentra basado en planos de degradación Este comportamiento es controlado por la resistencia pico a tracción, la energía de fractura, y el tamaño del elemento La apertura de fisura estimada es función de las deformaciones del material y la longitud característica del elemento

La ley de creep utilizada se corresponde con la establecida en el EUROcODE 2: EN1992, mediante una hipótesis de comportamiento lineal y predictiva del comportamiento promedio El modelo estima la contracción del hormigón a lo largo del tiempo y la evolución de la resistencia y la rigidez por la edad La evolución de la resistencia a la tracción en el tiempo se presenta en la Figura 3 El modelo alcanza el valor indicado como valor de entrada a los 28 días

La Tabla 3 resume los parámetros que permiten caracterizar al material modelado

• Sobre el eje de simetría: condición de desplazamiento nulo en dirección perpendicular al eje del conducto

reSuLTAdoS obTeNidoS

Temperatura

La Figura 4 muestra, en un punto representativo, la evolución de la temperatura para los tres tipos de cementos estudiados

Luego del primer año, se mantiene la temperatura de toda la estructura en 10 °c hasta el día 1 900

coNdicioNeS de borde mecáNicAS

• Apoyos en la cara inferior de la solera:

- Interfaz de contacto: Rígida verticalmente pero no puede tomar cargas de tracción;

- Interfaz cohesiva: Las reacciones horizontales son como máximo la carga normal por el coeficiente de fricción (se toma, conservadoramente, 0 50);

La Figura 5 presenta, para los primeros 15 días, la evolución de la temperatura en distintos puntos de la sección transversal utilizando el cemento Tipo A

Tomando como valor de referencia el punto B, se obtiene una variación de temperatura máxima a los 10 75 días de 23 17 °c

|29|
Tabla 3 Modelo hormigón, parámetros materiales Fig ura 3 Evolución de la resistencia a la tracción del hormigón en el tiempo

eSFuerzoS iNTerNoS

Las temperaturas obtenidas se acoplan mediante una expansión mecánica, generando esfuerzos en el hormigón como la solera restringe la contracción del muro, en esa zona se generan los mayores esfuerzos de tracción (ver Figura 6) Las tracciones son máximas en los primeros días, y luego, por el efecto del creep, disminuyen Para el caso del cemento Tipo A, los esfuerzos de tracción no superan la resistencia del hormigón y no se generan fisuras en ningún momento

Únicamente para describir el comportamiento termomecánico de la estructura frente a tensiones que superen la resistencia a tracción del hormigón, se presentan los resultados obtenidos para el cemento

Tipo I (cPN), donde el daño se localiza generando fisuras principales en el muro (Figura 7) Prácticamente la totalidad de la fisuración se verifica en los primeros días, y se debe a que la contracción del muro al enfriarse se encuentra limitada por la solera Sin embargo, se observa también un aumento en el tamaño de las fisuras por la contracción por secado Al provocarse esas fisuras, el material presenta un ablandamiento que disminuye las tracciones producidas, tal como se observa en la Figura 8 Asimismo, se puede notar la tracción concentrada en la punta de la fisura hasta que se supera la resistencia y se propaga la fisura Para mayor detalle el lector puede ver “Análisis de Fisuración por Origen Térmico y Shrinkage”, julio 2021, publicado dentro del Insight de SRK consulting

|30|
ura 4 Perfil de temperatura representativo de la solera y el muro Edad temprana (izquierda) y largo plazo (derecha) Fig ura 5 Perfil de temperatura en distintos puntos de muro y losa techo Edad temprana Fig ura 6 Muro Tensiones en Y Edad temprana Caso cemento tipo A
Fig

vALidAciÓN deL modeLo

descripción del modelo físico con el objetivo de validar los resultados del modelo efectuado, se creó un modelo físico a escala reducida para medir la evolución térmica de un panel de hormigón de 1.50 m x 2.0 m x 0.50 m. Este fue contrastado contra un modelo numérico que se puede ver en la Figura 9

Fig ura 7

Mapa de fisuras: Tiempo infinito (1.900 días)

Cemento Tipo I

El cemento empleado fue Loma Negra cPN 50 (con agregado de escorias de alto horno) Durante el ensayo, las caras del bloque estuvieron encofradas con paneles fenólicos (F) de 25 mm de espesor y placas de poliestireno expandido (P) de 0 05 m de espesor En el centro del panel se colocaron 4 termocuplas para el registro regular de temperaturas a 30 mm, 230 mm, 250 mm, 470 mm

Fig ura 8

Mapa tensiones: Tiempo infinito (1900 días)

Cemento Tipo I

Fig ura 9

Condiciones de borde (izquierda) y mallado de elementos finitos (derecha)

||31| 31|

La Figura 10 muestra el modelo físico en escala reducida. Se aprecia un esquema con la posición de las 4 termocuplas ubicadas en el centro del panel (T1 a T4) y la termocupla para medición de temperatura ambiental de referencia (T5)

|32|
Fig ura 10 Modelo físico a escala reducida en obrador de la contratista Fig ura 11 Ubicación de las termocuplas en el modelo físico a escala reducida

reSuLTAdoS deL modeLo FíSico

• La temperatura ambiente osciló entre los 20 °c a 27 °c, con un valor medio en ~23 °c

• La temperatura del hormigón al momento del colado fue aproximadamente 30 °c

• La temperatura máxima de 61 °c fue registrada con la termocupla T2 a las 24 horas+/-2 horas de finalizado el fragüe del hormigón, siendo el incremento de temperatura máximo en el orden de los 31 °c

vALidAciÓN deL modeLo

Para el modelo numérico se emplearon las características del cemento Tipo A Las condiciones de borde térmicas de cada material se presentan en la Tabla 4

Se consideró una temperatura media ambiente constante de 23 ºc

La Figura 12 muestra la evolución de temperatura obtenida en el modelo efectuado en los tres puntos de medición (centro del tabique y caras laterales) Se comparan los resultados con los medidos en esos mismos puntos en el ensayo a escala efectuado Las curvas superior e inferior se relacionan con los coeficientes de convección utilizados

coNcLuSioNeS

Se elaboró un modelo tridimensional de elemento finitos de un tramo de canal considerando la secuencia constructiva, la temperatura generada por la hidratación del cemento, el comportamiento reológico, y el ablandamiento del hormigón simple para distintos tipos de cementos (Tipo I, V y A) El modelo logra captar la fisuración debido al calor generado por la hidratación del cemento, y a la contracción autógena y por secado del hormigón Se observó que la evolución del calor de hidratación es la variable que más influye en la fisuración

Tabla 4

Modelo hormigón: Parámetros materiales

Fig ura 12

Perfil de temperaturas en bordes y centro del bloque: Cemento tipo A

|33|

Tanto el calor de hidratación total, como la velocidad de hidratación, permanece principalmente controlado por la composición de la pasta de cemento, por ende, la elección del cemento es crítica para el análisis de fisuración

con el objetivo de validar el modelo efectuado, se realizó un modelo físico a escala en el cual se midió, para el cemento aplicado, la evolución de temperatura a lo largo del tiempo

La predicción del modelo numérico correlaciona con suficiente exactitud la evolución de temperatura del bloque del modelo físico, de manera que se validaron los modelos creados para el proceso constructivo real del conducto.

Referencias:

ACI 224R-01: Control de la Fisuración en Estructuras de Hormigón

ACI 224 2R-92: Fisuración de Miembros de Hormigón en Tracción Directa. Schindler, A K , and Folliard, K J , Heat of Hydration Models for Cementitious Materials, ACI Materials Journal, V. 102, No. 1, pp. 24-33, Jan.-Feb. 2005.

Jefferson, A D , Cra, A Plastic-DamageContact Model For Concrete, I Model Theor y and Themodynamics, International Journal of Solids and Structures, Vol. 40, No. 22, p. 59735999, 2003

Jefferson AD, Mihai IC and Lyons P (2014) An approach to modelling smoothed crack closure and ag g regate interlock in the finite element analysis of concrete structures

Proceeding s of EURO C, St Anton, 2014

H Yrigoyen 1144 1º

Tel/Fax: (54 11) 4381-3452 / 5252-8838

E-mail: info09@aiearg org ar Web: www aiearg org ar Días y h o r ar io d e at e n c ió n : lu n e s a vie r n e s d e 1 3 a 1 8

Asociación de Ingenieros Estructurales ARGENTINA

|34|
Of 2, (C1086AAT) Ciudad Autónoma de Buenos Aires Argentina
Un proyecto seguro Una estructura durable Una institución solida
|35|
Tendrá éxito c onstruyendo c on PERI Sistemas de encofrados y apuntalamientos más rentables Pa r a más i nformación c ontáctenos a: i nfo@pe r i.com. a r E n cof r a dos Andamios I ng enier ía w ww.pe r i.com. a r

(2)

Factores de seguridad por material en el Aci 318

La utilización de factores de seguridad parciales para el hormigón y el acero, en vez de un único factor de reducción para la sección fueron introducidos en el ACI 318 por primera vez en las especificaciones para anclajes del reglamento Este trabajo propone la extensión de los factores de seguridad por material a todas las secciones y elementos de reglamento con el objetivo de solucionar varios inconvenientes que presenta el formato actual de un coeficiente de seguridad único para la sección. En efecto, la utilización de factores de reducción por material evita la forma discontinua del diagrama de interacción en flexo-compresión logrando una confiabilidad uniforme en el diseño de columnas, mejora el cálculo de la resistencia al corte, elimina la necesidad de determinar la deformación neta de las barras de acero traccionadas en el llamado diseño unificado, permite una continuidad en el diseño a flexión de secciones controladas por tracción o por compresión y permite cuantías máximas de hasta 0.72 de la cuantía balanceada para vigas, logrando en todos los casos, mantener o mejorar la confiabilidad de las ecuaciones de diseño del reglamento actual.

iNTroducciÓN

El concepto de “coeficientes de seguridad parciales” ha sido propuesto al AcI 318 desde hace varias décadas (Israel et al , 19871, Gamble, 19982, 20153) y es utilizado por los reglamentos canadienses, británicos y de la Unión Europea Los detalles de esas aplicaciones no son motivo de este trabajo, sino los conceptos relacionados con el uso de factores de seguridad por material, es decir, uno para el hormigón y otro para el acero de refuerzo Si bien no lo expresa en forma explícita, ya el AcI 318-194 en su capítulo de Anclajes utiliza actualmente factores de seguridad por material, Israel et al (1987) argumentan que la aplicación de factores de seguridad por material permite un mejor diseño de las estructuras de hormigón armado Por otro lado, el uso de factores de seguridad por material permite resolver varios problemas del actual reglamento AcI 318 tales como las anomalías en el dia-

|38|
Por Charles Dolan (1) y Raúl Bertero (2) (1) School of Engineering , Universit y of Wyoming Facultad de Ingeniería, Universidad de Buenos Aires r.bertero@g mail.com

grama de interacción para el diseño de columnas, las objeciones al cambio en el factor de reducción del reglamento para la resistencia al corte de diseño y la necesidad de calcular la deformación de la fibra de armadura más traccionada para determinar el factor de seguridad

De acuerdo con la filosofía general del reglamento AcI 318, las resistencias nominales se calculan en base a los principios teóricos de la Mecánica Estructural incorporando los resultados de una extensa base de datos experimentales La resistencia de diseño se obtiene modificando la resistencia nominal mediante la aplicación de factores de reducción de resistencia

El actual reglamento AcI 318, con algunas excepciones, utiliza un único factor de reducción de resistencia aplicado a toda la sección Por el contrario, los factores de reducción de resistencia por material aplican factores de reducción al hormigón y al acero en forma independiente En este trabajo, se utiliza un factor de reducción o / e = 0 65 para el hormigón (lo cual es consistente con el coeficiente de seguridad del AcI 318 para compresión pura de columnas no zunchadas), y o / s = 0 90 para la armadura (lo cual es consistente con el coeficiente de seguridad del AcI 318 para elementos con tracción pura) La determinación final de los factores de seguridad por material debería ser el resultado de un análisis de confiabilidad refinado y de la calibración de los resultados con relación a los diseños actuales

FAcToreS de reducciÓN por mATeriAL AcTuALmeNTe uTiLizAdoS eN eL Aci 318

En el AcI 318 actual, el capítulo 18 de Anclajes utiliza en la práctica factores de reducción por material.

Los cálculos de la resistencia de los anclajes se realizan por separado según el comportamiento del material y los factores de reducción se aplican de acuerdo con esa diferenciación El ingeniero debe verificar la resistencia a tracción del anclaje y la resistencia a rotura del hormigón aplicando factores de seguridad diferentes al hormigón y al acero en cada caso De la misma manera, la Tabla 13 4 3 1 para fundaciones profundas del AcI 318, tiene implícita la utilización de factores de seguridad por material

En otros casos, la variación del coeficiente de seguridad del AcI 318 con el comportamiento del elemento, implica la existencia implícita de una diferenciación entre los coeficientes de reducción para el acero y el hormigón Por ejemplo, la llamada metodología de diseño unificada, basada en la deformación neta de tracción, aplica factores de seguridad que cambian según la sección se encuentre en la zona controlada por tracción, en la zona de transición o en la zona controlada por compresión En elementos de hormigón pretensado, el coeficiente de seguridad del AcI 318 varía a través de la zona de transferencia del pretensado Es decir, el concepto de factores de reducción por material ya es ampliamente utilizado implícitamente en el reglamento actual a los efectos de alcanzar una seguridad adecuada y no debería ser considerado una idea nueva

A continuación, este trabajo presenta una discusión sobre la expansión y explicitación del uso de factores de seguridad por material para el diseño de columnas y vigas, tanto a la flexión como al corte, en el AcI 318

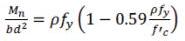
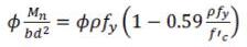
coLumNAS

Gamble (2015) puntualizó que el uso de factores únicos de reducción de resistencia conduce a resultados inconsistentes en la zona de transición entre la sección controlada por tracción y la controlada por compresión Específicamente, la aplicación de un factor de reducción variable según la deformación del acero en el plano de falla, que se introduce con la metodología de diseño unificada (Mast 1992)5, origina discontinuidades en la región cercana a la falla balanceada de la sección Lequesne and Pincheira (2014)6 analizan este problema para columnas de forma rectangular y de T Una de las anomalías que ellos presentan es que en algunos casos se obtienen, en el diagrama de interacción, tres valores diferentes del momento flexor resistente para una misma carga axial Resulta claro que las ecuaciones del reglamento deberían conducir a una solución única

En la Figura 1 se puede ver la comparación del diagrama de interacción de diseño utilizando el AcI 318 con un único coeficiente de reducción y el obtenido utilizando factores de seguridad por material con o / e=

|39|

0 65 para el hormigón y o / s = 0 90 para el acero y para una sección con una cuantía del 1.56 %. No se incluye en la figura la resistencia de diseño límite del reglamento de 0 80 o / Pn

La comparación de la resistencia nominal de la columna con las resistencias de diseño muestra los beneficios de la utilización de factores de reducción por material. En primer lugar, desaparece la “nariz” cerca de la falla balanceada del reglamento AcI 318-19 ya que esta discontinuidad es una consecuencia de la metodología de diseño (Mast 1992) y no un resultado de la mecánica de materiales Segundo, las contribuciones del hormigón y del acero a la resistencia son reconocidas en su justa medida y de acuerdo con su incertidumbre asociada. En este ejemplo, la capacidad de carga axial es, aproximadamente, un 7% más grande con los coeficientes de reducción por material respecto del reglamento actual En tercer lugar, no es necesario definir una zona de transición, ya que los factores de reducción por material la resuelven en forma automática Por otro lado, los factores de reducción parciales resuelven las inconsistencias identificadas por Lequesne y Pincheira (2014), sin afectar otros requerimientos del reglamento

conceptualmente, el problema es que el uso de un único factor de reducción produce una gran variación de la confiabilidad de una misma columna cerca de la zona de falla balanceada, así como en columnas con diferentes cuantías de armadura Esto no sucede cuando se utilizan factores de minoración por material La Figura 2 muestra los diagramas de interacción y el índice de confiabilidad β aplicado en el AcI 318, por un lado, y los factores de reducción por material (Material Phi en la figura), por el otro, para columnas con cuantías del 1 y del 3%, y factores de reducción por material ϕc = 0 60 para el hormigón y ϕs = 0 90 para el acero de refuerzo La resistencia nominal de los materiales utilizados para la figura corresponde a f ’c = 27 MPa, fy = 420 MPa

El valor de ϕc= 0 60 fue seleccionado en la Figura 2, de tal manera que las resistencias de diseño obtenidas con los factores de reducción por material se encuentren cercanas a las obtenidas con el actual reglamento AcI 318, ilustrando también como se pueden calibrar la resistencia de la sección y la confiabilidad Para el análisis de confiabilidad se dispusieron los valores estadísticos de cargas y resistencias dados en la Tabla 1 de Israel et al (1987)

Dos observaciones importantes se deducen de la Figura 2 Primero, el factor de reducción único actualmente utilizado por el AcI 318 produce una gran variación de la confiabilidad en la zona de transición del diagrama de interacción produciendo una menor confiabilidad, es decir un diseño menos seguro, cerca de la falla balanceada Segundo, la confiabilidad debería permanecer aproximadamente constante con diferentes cuantías de acero y con diferentes excentricidades Sin embargo, el uso de un factor de reducción único conduce a una gran variación de la confiabilidad con el cambio de esas variables mientras que el uso de factores de reducción parciales muestra una confiabilidad mucho más uniforme para todos los valores de cuantías y de excentricidades de la carga

corTe y TorSiÓN

Resistencia

�� = 1 56%, ��` e = 41 ������, ��y= 552 ������

Los factores de reducción por material también resuelven problemas de las ecuaciones de diseño de corte y de torsión del AcI 318 La resistencia al corte en el AcI 318 está calculada a partir de sus dos componen-

|40|
Fig ura 1 normaliz ada para una columna con

tes, una contribución del hormigón y una contribución del acero Los factores de reducción por material reemplazan el coeficiente de reducción único con un factor aplicado a cada componente Por lo tanto, la ecuación de la resistencia de diseño pasa de ����n = ��(��e + ��s) �� ����n = (��e��e + ��s��s)

cuando hace algún tiempo el factor �� para el diseño al corte del AcI 318 fue reducido de 0 85 a 0 75 se planteó la preocupación de que esta reducción no haya sido demasiado grande, particularmente para secciones con armadura de corte Los factores de reducción por material resuelven esta preocupación ya que permiten que la resistencia al corte total se incremente a medida que aumenta el volumen de estribos sin comprometer la resistencia de secciones sin armadura de corte

La Figura 3 muestra, a la izquierda, la diferencia en la

Fig ura 2

Diag ramas de interacción e índice de confiabilidad �� usando el ACI 318 y los factores de reducción por material (Material Phi) para columnas con cuantías del 1 y 3 % Para los factores de reducción por material se utiliz aron ��e = 0.60 para el hormigón y ��s = 0.90 para el acero de refuerzo. Los materiales tienen f ’ c = 27 MPa, f y = 413 MPa

resistencia de diseño de una viga de 40 cm de ancho y 60 cm de alto con un hormigón f ’c = 27 MPa, acero fy = 420 MPa y estribos de 12 mm de diámetro separados por la distancia máxima reglamentaria, d/2 La resistencia al corte del hormigón surge de mayor valor entre 0 17√f ’c bwd y Vc calculado considerando la cuantía de armadura longitudinal de acuerdo con lo especificado por el AcI 318-19 Los factores de reducción son �� = 0.75 para el AcI 318 y ��c = 0.65 y ��s = 0 90 para los factores de reducción por material Utilizando estos últimos se obtiene un 4% de incremento en la resistencia de diseño en relación con el AcI 318 para los datos del ejemplo analizado La

||41| 41|

a) Izquierda: f ’ c = 27 MPa, f y = 420 MPa;

b) Derecha: : f ’ c = 55 MPa, f y = 420 MPa

misma armadura de corte con un hormigón de 55 MPa no resulta tampoco en cambios apreciables de la resistencia de diseño entre ambos métodos, como se puede apreciar en la Figura 3, a la derecha

El máximo incremento en la resistencia al corte de diseño usando factores de reducción por material ocurre cuando se utiliza acero de alta resistencia para los estribos en combinación con hormigones de baja resistencia En la resistencia de diseño de secciones sin armadura de corte no hay diferencias entre ambos métodos

La utilización de factores de reducción por material produce otros beneficios en el diseño por corte Un factor de reducción para el hormigón ��c = 0.65 refleja la mayor variabilidad del aporte del hormigón a la resistencia al corte y promueve la utilización de armadura de corte Por otro lado, un factor de reducción más elevado, por ejemplo ��c = 0 75, podría especificarse para elementos fabricados en planta donde las condiciones de control de calidad justifiquen factores de reducción más altos.

Los factores de reducción por material, en las ecuaciones de diseño al corte, podrían calibrarse utilizando las bases de datos existentes

El único recaudo que debería tomarse es que los especímenes de ensayo de la base de datos satisfagan los requerimientos del AcI 318 Esta limitación es necesaria ya que los ensayos al corte son diseñados para ser realizados sobre vigas sobre-reforzadas o fuera de reglamento, justamente, para inducir una falla por corte

FLexiÓN

La resistencia nominal a la flexión en una sección controlada por tracción es:

(1)

Multiplicando esta resistencia nominal por el factor de reducción �� que especifica el AcI 318, se obtiene la resistencia de diseño:

(2)

Esta ecuación proporciona el momento de diseño hasta la cuantía de falla balanceada En el diseño por flexión, la cuantía de la falla balanceada es importante ya que es la cuantía que produce el mismo momento flector usando la ecuación correspondiente a una sección contralada por tracción y la ecuación para una sección controlada por compresión

El término fy/f`c de la ecuación (1) aparece también cuando se determina la cuantía de falla balanceada Si agregamos en la ecuación correspondiente a la cuantía de falla balanceada los factores de reducción por material, se obtiene la siguiente cuantía de falla balanceada modificada:

(3)

Debido a que ��s es más grande que ��e el valor de ��balcp es menor que el valor nominal de la cuantía balanceada ��bal Permutando la ecuación correspondiente a una sección controlada por tracción a una controlada por compresión a partir de ��balcp, la utiliza-

|42|
Fig ura 3 Resistencia al corte de diseño utiliz ando ACI 318-19 y coeficientes de reducción por material

ción de factores de reducción por material proporciona una transición suave de la resistencia de diseño para todo el rango de cuantías Por otra parte, limita la máxima cuantía para ser una sección controlada por tracción (y de allí asegurando una ductilidad mínima) a un valor aproximadamente igual a 0 75 ��bal

Debido a que fy/f c aparece en la ecuación (1) para secciones controladas por tracción, los factores de reducción por material deben aplicarse tanto en el numerador como en el denominador, obteniéndose la siguiente ecuación para la resistencia de diseño: (4)

Una situación similar se logra utilizando factores de reducción por material en secciones controladas por compresión Aplicando las ecuaciones de libros de texto (Darwin and Dolan 2021)7 para el bloque de tensiones de compresión equivalente en las secciones controladas por compresión se obtienen los siguientes parámetros para definir la profundidad del eje neutro adimensional c relativa a la altura útil de la sección d: (5) y (6)

Para la cuantía de falla balanceada y para cuantías mayores, el momento de diseño se determina en base a la contribución del hormigón por medio de la siguiente ecuación: (7)

donde c es la profundidad del eje neutro dividida por la altura útil d para una sección controlada por compresión y ��1 es un factor que convierte la profundidad del eje neutro, c, a la profundidad del bloque de compresión rectangular equivalente Si bien secciones sobre reforzadas no son un diseño permitido por el reglamento, este tipo de secciones son necesarias ocasionalmente en la práctica cuando restricciones

arquitectónicas o físicas no permiten el uso de mayores dimensiones para las vigas o bien no es posible el uso de materiales más convenientes

La Figura 4 muestra la resistencia nominal a la flexión y las resistencias de diseño de acuerdo con el AcI 318 y con los factores de reducción por material propuesta en este trabajo (material phi factor)

La utilización de factores de reducción por material en vigas proporciona además una metodología de diseño consistente con la de columnas y al corte explicadas precedentemente La ecuación del momento flector de diseño resulta ligeramente más conservadora en una sección controlada por tracción a medida que la cuantía de armadura se incrementa. Siendo, por otra parte, ligeramente menos conservadora en una sección controlada por compresión La cuantía de falla balanceada modificada por los factores de reducción parciales limita la sección controlada por tracción a una cuantía máxima entre 0 75 y 0 76 de la cuantía de falla balanceada nominal Esto ubica dicho límite para el diseño de secciones controladas por tracción en un alineamiento directo con versiones anteriores del reglamento

Los factores de reducción por material eliminan la necesidad de definir una zona de transición artificial entre las regiones controladas por tracción y compresión. De esta forma, la metodología con factores parciales elimina también la zona no utilizada en los alrededores del 0 003 de deformación que origina la metodología unificada para aceros de refuerzo con resistencia de fluencia nominal mayor a 420 MPa

Fig ura 4

Resistencia a la flexión en función de la cuantía de una sección rectang ular de hormigón con f ’ c = 40 MPa and f y = 550 MPa

|43|

El sistema de factores de reducción por material es también adecuado para secciones T y para secciones pretensadas En una sección T, el bloque de compresión suele encontrarse totalmente contenido dentro del ala Por lo tanto, un pequeño incremento en la profundidad del eje neutro tiene un impacto mínimo sobre la resistencia de diseño Los resultados serían idénticos a la práctica habitual de ignorar el hecho de que, si bien el eje neutro puede ubicarse en el alma, el bloque de tensiones equivalentes todavía se encuentra en el ala de la viga

Las secciones de hormigón pretensado se pueden continuar calculando mediante compatibilidad de deformaciones, o bien, utilizando la ecuación aproximada para la tensión en el tendón dada en el reglamento. Los factores de reducción por material se podrían luego aplicar a las correspondientes contribuciones a la resistencia de cada material y a los cálculos de la profun-

didad del eje neutro y del bloque de compresión Las cuantías de falla balanceada y de falla balanceada modificada por los coeficientes parciales podrían ser calculadas en base a una deformación de fluencia equivalente del 0 002 tal como fuera sugerido por Mast (1992)4

oTroS eLemeNToS

La Tabla 1 resume los factores de reducción de resistencia actuales y los sugeridos Sujetos a un análisis de confiabilidad más refinado, estos valores conducen, aproximadamente, a los mismos valores de resistencia de diseño utilizando una u otra metodología

Una excepción está constituida por la ecuación de diseño para el corte por fricción La fuerza normal en los cálculos del corte por fricción está basada en la resistencia del acero, pero la falla por corte se explica por

|44|
Tabla 1 Resumen de valores de factores de reducción por material en ACI 318

la resistencia del hormigón Sin embargo, la resistencia del hormigón no está incluida explícitamente en la ecuación del corte por fricción, sino que aparece un coeficiente de fricción Por lo tanto, ��e debería ser aplicada a la ecuación de la resistencia de diseño al corte por fricción y ��s a la contribución del acero

coNcLuSioNeS

El AcI 318 ya utiliza actualmente factores de reducción por material Expandir su uso para todas las secciones y elementos proporciona una metodología uniforme para el cálculo de las resistencias de diseño, resuelve varios inconvenientes en las especificaciones actuales del reglamento, incluyendo la injustificable “nariz” en los diagramas de interacción, elimina la necesidad de determinar la deformación de la fibra más traccionada en el diseño y elimina la zona “muerta” creada por la metodología de diseño unificado en la zona de transición para aceros de mayor resistencia

Por otra parte, el empleo de factores de reducción por material implica una cuantía máxima igual a 0.72 veces la cuantía de falla balanceada para vigas Los factores de reducción por material deberían ser adoptados por el AcI 318 La calibración de estos factores

puede mejorar aún más la confiabilidad de la resistencia de diseño del reglamento. Esta calibración se recomienda también como parte del proceso de adopción de la metodología de factores parciales Sin embargo, y aún sin una calibración más detallada, el uso de los factores de reducción �� de la Tabla 1 conducen a resistencias de diseño, aproximadamente, equivalentes a las del reglamento actual

Referencias:

1 Israel, M , Ellingwood, B , and Corotis, R , 1987, “Reliabilit y -Based Code Formulations for Reinforced Concrete Building s, ” J Struct Eng , v 113, n 10, Oct , pp 2235-2252

2 Gamble, W L , 1998, “N-Factors and Other Anomalies,” Concrete International, Dec pp 56-58

3 Gamble, W L , 2015, “Phi Factors Revisited,” Concrete International, Dec pp 35- 38

4 ACI 318-19, 2019, Building Code Requirements for Structural Concrete, ACI, Farmington Hills, MI, 623 pg

5 Mast, R F 1992, “Unified Desig n Provisions for Reinforced and Prestressed Concrete Flexural and Compression Members,” ACI Structural Journal, v 89, n 2, March April, pp 185-199

6. Lequesne, R. D., and Pincheira, J. A., 2014, “Proposed Revisions to Strength Reduction Factor for Axially Loaded Members,” Concrete International, September, pp. 43-49.

7 Darwin, D and Dolan, C W , 2021, Desig n of Concrete Structures, 16th, ed., McGraw Hill, NY, NY, 864 pg.

Te invitamos a leer las ediciones de revista ie, publicación de la Asociación de ingenieros estructurales para la divulgación e información sobre temáticas científicas y técnicas, en el siguiente link https://issuu com/asociaciondeingenierosestructurales

|45|
|46| H Yrigoyen 1144 1º Of 2 (C1086AAT) Ciudad Autónoma de Buenos A res Argentina Te /Fax: (54 11) 4381-3452 / 5252-8838 E-mail: info09@aiearg org ar Web: www aiearg org ar Días y horario de atención: lunes a viernes de 13 a 18 Asociación de Ingenieros Estructurales ARGENTINA Un proyecto seguro Una estructura durable Una institución solida

Almuerzo del día de la ingeniería en el cAi

El 6 de junio se celebra en el país el “Día de la Ingeniería”, al conmemorarse la fecha de graduación del primer ingeniero formado en una Universidad Argentina, Luis A Huergo, el 6 de junio de 1870 Para celebrar esa fecha tan particular para nuestra ingeniería, el Centro Argentino de Ingenieros (CAI) llevó a cabo su tradicional encuentro. La cita fue en el salón Ing. Alberto Costantini de la sede del CAI, ubicada en Cerrito 1250 de la ciudad de Buenos Aires Del evento participaron representantes de la AIE

El pasado jueves 8 de junio de 2023, se desarrolló, como todos los años, el tradicional almuerzo de camaradería para celebrar el Día de la Ingeniería Argentina, en la sede del centro Argentino de Ingenieros Del encuentro, participaron autoridades de importantes universidades nacionales, reconocidos empresarios, representantes de instituciones profesionales, funcionarios nacionales y, por supuesto, los socios del cAI

Para ofrecer la bienvenida, hizo uso de la palabra el presidente del centro Argentino de Ingenieros, Ing Pablo Bereciartúa, quien señaló: “Les doy una calurosa bienvenida a este encuentro como pudimos apreciar durante las distintas ponencias desarrolladas durante la Semana de la Ingeniería 2023, la evolución

energética, la posibilidad de descubrir los desafíos y oportunidades que presenta el desarrollo sostenible de nuestros recursos, constituye una imperdible oportunidad para nuestro país Pero esa recuperación será con todos, empresas, instituciones profesionales y la sociedad en su conjunto Por eso, agradezco la presencia de tantos colegas con quienes compartimos una visión esperanzadora, para que nuestros jóvenes no deban emigrar en búsqueda de oportunidades Hagamos que sea posible”, concluyó el presidente del cAI Seguidamente, fue invitado al estrado el Ing Miguel Galuccio, fundador y cEO de la compañía Vista, quien, además, presidió la Semana de la Ingeniería El Ing Galuccio afirmó: “El mundo necesita alimentos y energía con ambos recursos fue bendecido nuestro

Aie > iNFormA |48|

suelo Las y los ingenieros se enfrentan entonces al prometedor desafío de lograr crear nuevas formas de explotación energética y descarbonizar los procesos, para consolidar de esa forma, una adecuada transición energética Las economías mundiales van a duplicarse hacia el año 2050, al igual que las cifras de habitantes en el planeta No existe una forma válida de saciar las demandas, ni cumplir con ninguna agenda, sin la presencia vital de la ingeniería, de los ingenieros e ingenieras Al graduarme en Ingeniería en Petróleo en el ITBA, no lo hice para desempeñarme en una fábrica, sino para trabajar en pleno contacto con la naturaleza Las oportunidades se encuentran en Argentina, a pesar de los problemas coyunturales, de los cuales, saldremos juntos como sociedad Se lo debemos a quienes continuarán nuestro camino, nuestros hijos, nuestros nietos Debemos ser conscientes del importantísimo rol que ostentamos los ingenieros a los fines de generar un impacto real en nuestras economías, al tiempo de garantizar un equilibrio sostenible de procesos ten-

diente al bien del planeta”, finalizó su alocución el ex cEO de la compañía energética estatal YPF

Del evento también formó parte la Senadora Nacional por la provincia de Buenos Aires Galdys González, presidenta de la comisión de Ambiente y Desarrollo Sustentable de la Honorable cámara de Senadores de la Nación

El almuerzo transcurrió en el habitual ambiente de camaradería y cordialidad que caracteriza al anfitrión y sus invitados

|49|
La AIE en la semana de la Ingeniería

Nuevo mapa de peligrosidad Sísmica

El nuevo mapa de Peligrosidad Sísmica de Argentina, es el resultado de incorporar todos los datos sismológicos registrados en las últimas décadas, procesados a través de metodologías complejas y actuales para la estimación de la amenaza

El estudio incluye información sobre la magnitud máxima, la tasa de sismicidad, el tipo de falla geológica, y la profundidad e influencia de las diferentes zonas sísmicamente activas, respecto de cada punto del país Esto significa que dos localidades distintas, e inclusive, dos domicilios diferentes en una misma localidad, pueden presentar diversos valores de Peligrosidad Sísmica

“Después de 40 años logramos realizar un nuevo mapa de peligrosidad sísmica de Argentina Aclaramos que este mapa muestra las amenazas y peligrosidad por sismos y no de riesgo, ya que ello supone también cuestiones vinculadas a la construcción de viviendas o distintas estructuras Falta todavía realizar mucho más análisis y adaptación para trasladar estos datos a nuevos manuales de zonas sísmicas para construcción”, explicó a la prensa Gerardo Sánchez Doctor en Geofísica y jefe del

Departamento de Investigaciones Sismológicas del Instituto Nacional de Prevención Sísmica (INPRES)

Desde su primera versión en 1964, el mapa de Amenaza Sísmica ha sido actualizado en 1972, 1977, 1983 y 2022 Este último, contiene toda la información sismológica de Argentina y países limítrofes, desde el año 1471 hasta el 31 de diciembre de 2019 La actual versión implicó un proceso extenso y complejo La metodología para calcular la peligrosidad sísmica se dificulta significativamente para Argentina, al conformar el octavo país con mayor extensión areal del mundo, y donde coexisten diferentes ambientes y circunstancias sismotectónicas a lo largo y ancho de toda la región Por primera vez, se pudieron obtener resultados de amenaza sísmica para las Islas Malvinas El proceso en su totalidad, incluyó las etapas de confección de un catálogo sísmico completo, incorporación de información

Aie > iNFormA |50|
Sismo en Catamarca

geológica, división en zonas y su caracterización sismológica, aplicación de un modelo de atenuación de aceleraciones de suelo y adecuación de las incertidumbres epistémicas en un sistema de Árbol Lógico. Luego de completadas todas las etapas, los resultados obtenidos fueron evaluados según varios controles de calidad que incluyen, entre otros, comparaciones con registros sísmicos actuales. El circuito de procesamiento y control de calidad se repitió cuatro veces hasta arribarse a los resultados finales.

El Nuevo Mapa de Peligrosidad Sísmica de Argentina contiene una estimación estadística de las aceleraciones o intensidades máximas del movimiento del suelo que pueden ocurrir en cada punto de Argentina, medido en un intervalo de tiempo en años y asignándole una Probabilidad de Excedencia. Este mapa muestra una distribución gradual de colores y no existen Zonas Sísmicas, lo cual es una de las grandes diferencias respecto del Mapa de Zonificación Sísmica vigente de Argentina, el cual contempla cinco Zonas Sísmicas, desde la Zona 0 (Peligrosidad muy reducida) hasta la Zona 4 (Peligrosidad muy elevada).

Las aplicaciones del nuevo mapa permanecen enfocadas en la identificación de las regiones de Argentina con mayor Amenaza Sísmica de la conocida, para así aunar esfuerzos nacionales y provinciales en incrementar el monitoreo sísmico, de manera que los sistemas de respuesta a la emergencia puedan funcionar correctamente. En este sentido, es de gran importancia incrementar el monitoreo sísmico, principalmente, en las provincias de Santiago del Estero, Salta, Jujuy, córdoba, Tierra del Fuego, Santa cruz y Buenos Aires. Otra de las aplicaciones inmediatas del nuevo mapa es en los

estudios de Amenazas Sísmicas aplicados en puntos estratégicos de Argentina como represas hidroeléctricas, centrales nucleares, diques de cola y zonas potenciales de deslizamientos de laderas, entre otros.

Este mapa, finalizado en noviembre del 2022, no se encuentra aún en vigencia en lo relativo a su inclusión en el Reglamento Argentino para construcciones Sismorresistentes.

El mapa actualmente vigente de Zonificación Sísmica, publicado en el Reglamento INPRES-cIRSOc 103 Parte I, debe ser aplicado hasta que el nuevo mapa sea adaptado e incorporado a una nueva versión actualizada del citado Reglamento.

Uno de los objetivos del INPRES radica en profundizar el análisis y las herramientas de adecuación que deben emplearse, para que el nuevo mapa de amenaza pase a ser utilizado en los futuros reglamentos de construcción sismorresistente de Argentina, a través de las diferentes etapas de control, debate y discusión pública. Las proyecciones a futuro sobre este documento, incluyen la obtención de resultados de amenaza sísmica para la Antártida Argentina e Islas del Atlántico Sur, la incorporación de nueva información sismológica y geológica, su actualización en períodos regulares de aproximadamente 10 años, y su implementación adaptada a los códigos de construcción Sísmica de Argentina.

“El nuevo mapa de Peligrosidad Sísmica de Argentina no muestra una nueva realidad sísmica para el país, sino que hoy hemos sido capaces de caracterizar, de mejor manera, la amenaza que siempre existió”, señalan desde el INPRES.

|51|
Aie > iNFormA
Terremoto de Caucete

Trascendencia de este nuevo documento

Desde la disciplina de la ingeniería estructural, contar con herramientas como el mapa de peligrosidad sísmica es fundamental para adoptar medidas preventivas y planificar la respuesta ante un evento sísmico. Las siguientes, conforman algunas de las formas de aplicación del nuevo mapa de peligrosidad sísmica del INPRES:

•Edificación: El conocimiento de las zonas de mayor peligrosidad sísmica permite establecer regulaciones y normativas de construcción más estrictas en dichas áreas. Esto implica el uso de técnicas y materiales adecuados para garantizar la resistencia de las estructuras ante los terremotos.

•Evacuación: El mapa de peligrosidad sísmica resulta sumamente valioso para identificar las áreas de mayor riesgo y establecer rutas de evacuación seguras en caso de un terremoto. Ello colabora a la planificación urbana y la implementación de medidas de seguridad, como la señalización adecuada de las vías de escape.

•Planes de emergencia: contar con información sobre las zonas de peligrosidad sísmica permite a las autoridades, y a la población en general, adoptar eficientes planes de emergencia. Se incluye la capacitación en primeros auxilios, la organización de refugios temporales, y la

distribución de suministros básicos en las áreas más vulnerables.

En definitiva, aunque no se pueda predecir cuándo ocurrirá un sismo, la disponibilidad de mapas de peligrosidad ayuda a tomar medidas proactivas para reducir los riesgos e incrementar la preparación frente a dichos siniestros.

Fuente: INPRES http://contenidos.inpres.gob.ar/actualizacion_mapa

Aie > iNFormA |52|
San Juan y Mendoza tienen más chances que ocurra un sismo. Terremoto en Caucete

Aportes de la ingeniería civil a la reducción de la huella de carbono

“Aportes de la ingeniería civil a la reducción de la huella de carbono”, fue el título del seminario que organizaron la AIE y el cPIc. La industria de la construcción es considerada como una de las más contaminantes, según la Organización de las Naciones Unidas (ONU) La construcción y el funcionamiento de edificios, provocan un significativo impacto en el ambiente, y contribuyen a la contaminación en varias formas En este contexto, los organizadores del evento entienden que acotar la huella de carbono en el sector de la construcción resulta crucial a los fines de abordar el cambio climático y minimizar el impacto ambiental

El Ing Pablo Diéguez, presidente de la Asociación de Ingenieros Estructurales (AIE), brindó la bienvenida a los asistentes y expresó: “Es un placer en mi carácter de presidente de la AIE brindarles la bienvenida a esta primera edición del seminario Aportes de la Ingeniería civil a la reducción de la Huella de carbono Una de las prioridades que nuestra institución, conjuntamente con el cPIc, nos hemos planteado, radica en encontrar soluciones tecnológicas e innovadoras tendientes a re-

Este seminario híbrido fue organizado por la Asociación de Ingenieros Estructurales (AIE), conjuntamente con el Consejo Profesional de Ingeniería Civil (CPIC), y se llevó a cabo el pasado miércoles 12 de julio de 2023, entre las 9 y las 13 horas.

ducir la huella de carbono creemos que la Ingeniería civil debe liderar, planificar e instrumentar acciones, al tiempo de permanecer particularmente presente en dichos temas fundamentales Vamos a analizar, a lo largo de este encuentro, una determinada conjunción de variables que implican el impacto ambiental y el control de la emisión de gases a la atmósfera, la generación de energías limpias, el uso racional y eficiente de la energía y la ingeniería urbana sostenible Los edificios son responsables del 33% del gasto energético del país, por ende, deberán cumplir, inexorablemente, con lo estipulado

Por ello, el objetivo de esta jornada es aportar soluciones a los mencionados temas, con la convicción de que el presente Seminario nos concientice e impulse para generar avances sobre la temática. Deseo agradecer especialmente a los oradores y participantes, sumando un reconocimiento especial a quienes han trabajado en la organización, junto con las empresas e instituciones que apoyaron y auspiciaron la iniciativa”, expresó el Ing Pablo Diéguez, presidente de la AIE

Aie > iNFormA |53|

Seguidamente, fue el turno del Ing civil Enrique Sgrelli, quien desarrolló el tema “Algunos aspectos a cubrir por el Ingeniero civil en espera de las acciones de la gobernanza” Luego de presentar interesantes estadísticas y datos producidos por organizaciones internacionales que estudian la problemática, el presidente honorario del cPIc, concluyó: “Los costos ambientales son aquellos en los cuales incurren las empresas, directamente o a través de terceros, para prevenir, reducir o reparar los daños al medio ambiente derivados de sus actividades operativas Ahora bien, ¿cuáles son los costos ambientales que debe considerar un Ingeniero civil en el ejercicio de su profesión? Les dejo esa inquietud”, cerró su presentación el Ing civil Enrique Sgrelli

Por su parte, el Ing civil Juan Yacopino, representante del centro Argentino de Ingenieros (cAI), ofreció un interesante panorama respecto de nuevos materiales y tecnologías que buscan reducir la huella de carbono en nuestra industria Su presentación “El desafío de la reduccción de emisiones en el sector de la construcción”, concluyó: “El futuro de nuestra construcción debe atender a cierto temas excluyentes, como el desarrollo de viviendas accesibles y la adecuación del parque edilicio en función de su obsolescencia En todos esos aspectos y muchos otros, la reducción de la huella de carbono se torna en un aspecto crucial para nuestro planeta”, concluyó el Ing civil Yacopino

El Ing civil Antonio Liporace, brindó detalles de su tema “contribuciones de la ingeniería estructural a la reducción de la huella de carbono”, y afirmó: “Para alcanzar los objetivos en cuanto a sostenibilidad de

nuestra industria, debemos formar recursos humanos comprometidos y técnicamente capaces de generar la reducción de la huella de carbono, al tiempo de redefinir la eficiencia en términos humanos y no en términos estrictamente económicos”, aseguró

“contribución del Steel Framing a la reducción de emisiones de GEI”, fue el tema elegido para el Seminario por parte del Ing. civil Francisco Pedrazzi, representante del INcOSE, Instituto de la construcción en Seco Pedrazzi enunció: “Si bien los perfiles de acero del steel framing son grandes emisores de GEI (Gases de Efecto Invernadero) por unidad de masa, el peso reducido de la estructura comparada con la construcción húmeda lo transforma en un emisor menor Por otra parte, la reciclabilidad del acero lo vuelve más competitivo en términos ambientales Debe realizarse un análisis comparativo del ciclo de vida de la construcción, desde la cuna a la tumba, para determinar la mejor opción ambiental Las emisiones, durante la operación del edificio, deben ser consideradas, especialmente, en función de la matriz energética argentina. Finalmente, también resulta crucial el cumplimiento de las regulaciones sobre comportamiento térmico de las envolventes”, reflexionó el referente del INcOSE

La Ing Alejandra Fogel, aportó en relación a la temática de la construcción con alma de acero y la emisión de GEI: “Resulta sumamente importante tener en cuenta todos los factores que hacen a un proyecto sustentable Debemos contribuir a la difusión, capacitación y perfeccionamiento de los profesionales e instituciones intervinientes en la planificación de in-

|54|
Ing Gastón Fornasier, representante de las firmas Lomax y Loma Neg ra Ing Civil Francisco Pedraz zi, representante del INCOSE Ing Civil Octavio Hammerschmidt, presidente de la empresa Atex

fraestructura La Ingeniería civil ostenta un rol fundamental en la construcción de un futuro sostenible y amigable con el ambiente, pero tenemos que actuar hoy, con nuevas herramientas tecnológicas, capaces de mitigar los efectos del cambio climático”, opinó la vicepresidenta del cPIc

“La mirada racional del hormigón y el cemento sobre la huella de carbono”, quedó a cargo del Ing. civil Gastón Fornasier, representante de las firmas Lomax y Loma Negra Luego de estudiar los pormenores de la industria del cemento y el hormigón elaborado, el referente sumó algunas reflexiones finales: “La industria del Hormigón Elaborado en Argentina quiere evolucionar y tiene potencial de favorecer a la economía circular, y sumarse al camino de carbono neutralidad 2050

Ello implica, entre muchos otros aspectos, estudiar con espíritu innovador las oportunidades de incorporar subproductos de otras industrias; trabajar en minimizar el contenido de pasta optimizando el factor de empaque; y pensar estrategias de secuestro y almacenamiento de carbono”, consideró el representante de Loma Negra y Lomax

La empresa Atex estuvo presente a partir de la oportuna intervención del Ing. civil Octavio Hammerschmidt y su planteo sobre “Diseño estructural y metodología constructiva con casetones: ahorros de hormigón, acero y madera” El presidente de Atex se preguntó: “¿De qué manera podemos, a partir de un diseño adecuado, una correcta elección de los materiales y la utilización de sistemas constructivos sostenibles, o refuncionalizando, rehabilitando o reforzando estructuras existentes, contribuir a la reducción de la huella de carbono? Una metodologia constructiva, como por ejemplo, la que brindan nuestras losas casetonadas con moldes recuperables y autoportantes, asociada a un diseño estructural reconocido y disponible en la mayoría de los programas de cálculo actuales, colaborará en esta problemática. concretamente, nuestros sistemas suman siete aportes para reducir la huella de carbono, como la utilización de productos sustentables; la generación de ahorros de hormigón y acero gracias a un óptimo diseño estructural y una adecuada metodología constructiva; la eliminación de la madera, dada las características autoportantes de los moldes Atex; la reutilización de los citados moldes; la variedad de sus formatos, para asegurar ahorros ante escenarios de carga y luces libres; la convivencia con

Izquierda: Ing Civil Juan Yacopino, representante del Centro Argentino de Ingenieros (CAI)

Derecha: Ing Civil Antonio Liporace, especialista en puentes

Ing Diego Boccomino y Lic Fernando Mc Carthy de la empresa Freyssinet

Ing. Civil Enrique Sg relli, presidente honorario del CPIC

|55| Aie > iNFormA

diversos sistemas que economizan materiales; y los aportes para refuncionalizar proyectos existentes”, afirmó el Ing civil Hammerschmidt

El Seminario concluyó con la presentación conjunta del Ing. Diego Boccomino, el Ing. Sergio corrales y el Lic Fernando Mc carthy, responsables de la empresa auspiciante Freyssinet, quienes sostuvieron: “La tecnología sustentable de nuestra marca aporta de manera concreta en la reducción de la huella de carbono en la construcción, dadas distintas acciones desempeñadas tanto puertas adentro como afuera de nuestra compañía.

El grupo Vinci forma parte de esta idea y así compartimos distintas metodologías sostenibles en la diversas áreas de intervención de nuestros sistemas Freyssinet

es un contratista especializado que ofrece soluciones a medida para reparar, reforzar y proteger estructuras En todos los citados ámbitos, la reducción de los GEI permanece especialmente presente”, concluyeron los protagonistas de la firma auspiciante

La despedida de los asistentes presenciales y virtuales estuvo a cargo de la Ing Alejandra Fogel, en representación del cPIc “Quiero agradecer a todas y todos los presentes por su participación en este encuentro

Aprovechamos para invitarlos a futuras ediciones de las jornadas que ambas instituciones organizarán sobre esta temática Muy buenos días y muchas gracias nuevamente”, fueron las palabras que pusieron punto final a este interesante encuentro, que promete una futura segunda edición

|56|
Ing Civil Pablo Diég uez, presidente de la Asociación de Ingenieros Ing. Alejandra Fogel, vicepresidenta del CPIC

Actualización del libro edificio Seguro

La Asociación de Ingenieros Estructurales (AIE) informa sobre el avance en la actualización del libro Edificio Seguro, cuya primera edición fuera redactada por el Consejo Profesional de Ingeniería Civil (CPIC) junto a una serie de instituciones del sector En este caso, explicitamos los avances acordados en la reunión llevada a cabo el pasado miércoles 28 de junio de 2023, a las 13:30 horas.

La Asociación de Ingenieros Estructurales (AIE) participó del segundo encuentro de instituciones las cuales encaran la tarea de actualizar el texto “Edificio Seguro”, editado oportunamente por el cPIc.

La Asociación de Ingenieros Estructurales (AIE) se hizo presente en el evento, junto con la Asociación Electrotécnica Argentina (AEA), la cámara Argentina de la construcción (cAMARcO); la cámara Argentina de Acústica Electroacústica y Áreas Vinculadas (cADAE); el centro Argentino de Ingenieros (cAI); el consejo Profesional de Arquitectura y Urbanismo (cPAU); el colegio Profesional de Ingeniería Industrial (cPII); la empresa cHI, Soluciones Ambientales; el consejo Profesional de Ingeniería Mecánica y Electricista (cOPIME); el centro de Investigación de Reglamentos Nacionales de Seguridad para Obras civiles (cIRSOc); las empresas EDENOR y EDESUR; la Facultad de Ingeniería de la Universidad de Buenos Aires (FIUBA); la Facultad Regional Buenos Aires de la Universidad Tecnológica Nacional (FRBA/UTN); la Fundación UOcRA; la Dirección

General de Registro de Obras y catastro de la Secretaría de Desarrollo Urbano del GcBA; el Instituto Nacional de Tecnología Industrial (INTI); la empresa METROGAS; la Superintendencia Federal de Bomberos de la Policía Federal Argentina; la Sociedad central de Arquitectos (ScA); la Superintendencia de Riesgos del Trabajo (SRT); la empresa TEcHINT; la Maestría en Planificación y Gestión de la Ingeniería Urbana (UBA/UTN/cPIc), y la Facultad de Ingeniería de la Universidad católica Argentina (UcA)

En este segundo encuentro, a partir de algunas inquietudes planteadas por referentes de las citadas instituciones respecto de la redacción de los nuevos protocolos de la edición, se acordaron ciertos aspectos de los mismos a los fines de unificar criterios técnicos en las posteriores evaluaciones de seguridad Durante la jornada, los participantes brindaron un informe de avance en cada una de las áreas de incumbencia de la seguridad edilicia continuaremos brindando las principales novedades acerca de este importante documento, prioritario al crear un instrumento de referencia para los profesionales del sector

Aie > iNFormA |57|

El patrimonio que conforma la obra pública española, y sus infraestructuras de ingeniería civil, cuentan con una identidad propia y un valor que es necesario definir, reconocer y divulgar. Los ingenieros de caminos, canales y puertos y civiles son determinantes en la preservación, conservación y rehabilitación de este legado patrimonial, el cual convive en el paisaje y representa una oportunidad de desarrollo económico, turístico y de impulso de la España despoblada

En este contexto, el colegio de Ingenieros de caminos, canales y Puertos, y su demarcación en castillaLa Mancha, llevarán a cabo el I congreso Internacional de Patrimonio, Obra Pública y la Ingeniería civil, con el objetivo de enaltecer el patrimonio de la obra pública dentro de su entorno paisajístico

El evento se encuentra dirigido a ingenieros de caminos, canales y puertos; ingenieros civiles y profesionales de distintos sectores; investigadores, profesores, académicos; empresas de ingeniería, construcción, conservación y rehabilitación; asociaciones sectoriales; técnicos y gestores de administraciones y ayuntamientos del ámbito de la ingeniería, urbanismo, turismo y patrimonio cultural; estudiantes universitarios de Escuelas de caminos y de otras especialidades

En este encuentro internacional, participarán reconocidos especialistas del ámbito académico, técnico, empresarial e institucional, quienes presentarán expe-

El Colegio de Ingenieros de Caminos, Canales y Puertos, y su demarcación en Castilla-La Mancha, organizan el I Congreso Internacional de Patrimonio, Obra Pública y la Ingeniería Civil, con el objeto de identificar, destacar y rentabilizar el patrimonio de la obra pública en su entorno paisajístico

riencias de éxito sobre el patrimonio de la obra pública en España y el mundo

Las distintas áreas temáticas del congreso destacarán la caracterización del paisaje y patrimonio de la obra pública; la difusión, turismo, educación y reto demográfico; las distintas estrategias de intervención y rehabilitación; el patrimonio iberoamericano, con un carácter más transversal con respecto al resto; y finalmente, la innovación y nuevas tecnologías

Tanto las ponencias programadas como las comunicaciones presentadas en el congreso, podrán exponer tanto aportes conceptuales, como propuestas y experiencias relativas con el más amplio conjunto de las obras públicas y sus autores En este sentido, el apartado de “Obras Hidráulicas” comprenderá los aspectos relacionados con los aprovechamientos hidráulicos y presas históricas; canales de riego y de navegación; acueductos y abastecimientos de agua históricos; depósitos e instalaciones de abastecimiento modernas; muros y defensas de los ríos; presas de riego y de aprovechamiento hidroeléctrico; y centrales eléctricas y poblados

La sección “caminos, carreteras y Ferrocarriles” , destacará: caminos y puentes históricos; carreteras modernas y paisajísticas; vías verdes; estaciones y puentes de ferrocarril; y túneles y metros Las temáticas de los “Puertos e intervenciones en el litoral”,

|58| Aie > iNFormA
i congreso internacional de patrimonio, obra pública y la ingeniería civil

ampliarán el análisis de puertos históricos; muelles y diques; embarcaderos; faros y edificios anexos; regeneración de playas y defensa del litoral; y obras de fortificación Finalmente, el espacio sobre “Edificación, ciudad y urbanización”, estudiará edificios residenciales y de oficinas; naves y edificios industriales; pabellones deportivos y estadios; edificios portuarios; hangares y aeropuertos; proyectos de urbanización; edificaciones auxiliares y murallas

La jornada previa del I congreso Internacional de Patrimonio, Obra Pública y la Ingeniería civil, se desarrollará el 26 de septiembre de 2023 en el centro

cultural Aguirre de cuenca, ciudad española Patrimonio Mundial de la Humanidad El congreso se llevará a cabo los días 27 y 28 de septiembre de 2023 en el campus Tecnológico de la Fábrica de Armas de la Universidad de castilla-La Mancha en Toledo, ciudad española también reconocida como Patrimonio Mundial de la Humanidad; y el 29 septiembre de 2023, la cita será en el edificio Retiro de la Escuela de Ingenieros de caminos de Madrid, España

Más información en el site: www congresopatrimoniodeobrapublica es/

|59| Aie > iNFormA

encuentro interinstitucional

En la sede del Consejo Profesional de Ingeniería Civil (CPIC), se concretó el pasado martes 11 de julio de 2023, un encuentro cuyo propósito radicó en presentar un proyecto de interacción entre la Academia Nacional de Ingeniería (ANI) y la Academia de Arquitectura y Urbanismo (AAU). Del evento participó nuestra Asociación de Ingenieros Estructurales (AIE)

El objetivo de este encuentro interinstitucional se concentró en relacionar a las autoridades de la Academia Nacional de Ingeniería (ANI), representada en el evento por su presidente, el Ing Manuel A Solanet, y la Academia de Arquitectura y Urbanismo (AAU), representada por la Arq María Teresa Egozcue Paralelamente, formaron parte del encuentro, especialmente invitados, referentes del centro Argentino de Ingenieros, el consejo Profesional de Arquitectura y Urbanismo, la cámara Argentina de consultoras de Ingeniería, la coordinadora de Entidades Profesionales Universitarias, y la Sociedad central de Arquitectos Nuestra Asociación de Ingenieros Estructurales formó parte de la reunión, representada por su presidente, el Ing civil Pablo Diéguez

“Estamos muy agradecidos por la presencia de todos y todas en este evento”, afimó el Ing civil Luis Perri, presidente del cPIc, y comentó: “La idea era que nos encontráramos y pudiéramos establecer contacto a fin de coordinar acciones conjuntas entre las instituciones académicas que reúnen a referentes de las disciplinas de la arquitectura y la ingeniería civil. Nuestro consejo ofrece su auditorio, sus publicaciones editadas, y distintas gestiones de relacionamiento internacional, a los fines de impulsar una productiva sinergia Por ello, reitero mi profundo agradecimiento por su visita y comprometida participación”

Por su parte, la Arq. María Teresa Egozcue, opinó: “La Academia de Arquitectura y Urbanismo fue fundada con el propósito de promover el valor social y cultural de la Arquitectura y el Urbanismo en la Argentina Su visión se proyecta sobre la ciudad y el territorio, ani-

mada por una perspectiva de futuro que integra la historia y el patrimonio construido a los desafíos de cambio que plantea la propia evolución de la disciplina y su relación con la cultura, la tecnología, los recursos naturales y el ambiente Estamos abiertos a recibir a representantes de todas las provincias argentinas, y a trabajar juntos en planes y políticas imprescindibles en el nuevo siglo Agradezco la inciativa del cPIc por propiciar este encuentro entre todas las instituciones afines”, concluyó la Arq María Teresa Egozcue en nombre de la AAU

El presidente de la ANI, Ing. Manuel Solanet, afirmó: “Quiero en nombre de la Academia Nacional de Ingeniería, agradecer al cPIc por oficiar de anfitrión en este venturoso encuentro Estamos convencidos que las Academias deben interactuar, máxime con dos diciplinas tan concomitantes como la arquitectura y la ingeniería civil, profesiones interdependientes y complementarias. La ANI y sus representantes están agradecidos por la participación y, sin dudas, vamos a desarrollar estrategias conjuntas para elevar la calidad de ambas disciplinas, tan necesarias en nuestro contexto”, expresó el Ing Solanet

Aie > iNFormA |60|

Jornadas Aie 2024

Ingenieros

son las Jornadas

de Ingeniería Estructural La edición 2024 de las 28ª JAIE se llevará a cabo en la sede de la UCA de Puerto Madero.

Las 28° Jornadas Argentinas de Ingeniería Estructural (JAIE) se presentarán el miércoles 18, jueves 19, viernes 20 y sábado 21 de setiembre de 2024 en la ciudad de Buenos Aires, más precisamente, en la sede del edificio de la Universidad católica Argentina (UcA) ubicada en Puerto Madero

En estos momentos sus responsables se encuentran diseñando un programa de alto nivel de disertaciones, con temáticas actuales, capaces de generar posteriores debates y reflexiones Las JAIE constituyen un evento de carácter bianual el cual se desarrolla durante tres días y se presenta desde el año 1981

Para el Ing Martín Polimeni, presidente de las 28°Jornadas Argentinas de Ingeniería Estructural, el evento reunirá a especialistas en la temática, tanto de nuestro país como de la región “Las JAIc 2024 conformarán un evento muy importante tanto a nivel Nacional como Internacional, haciendo honor y confirmando la

tradición en cuanto a calidad del encuentro cabe señalar que se realizaron hasta el presente 27 ediciones de las JAIE, además del congreso de Ingeniería del año 2000, este último evento promovido conjuntamente con las Asociaciones hermanas AATH y AAHPI Repetiremos, como es habitual, las presentaciones de Trabajos de Investigación, los clásicos Premios y concursos; la exquisita cena de camaradería y la siempre interesante Visita a una obra de renombre”, afirma el Ing Polimeni

Dada la trascendencia del evento el mismo presenta su propio sitio web, donde se desarrolla toda la información acerca de las ponencias, novedades, fechas importantes e inscripción Invitamos a los interesados a conocer toda la información de las JAIE 2024 en su sitio Web ingresando a www jornadasaie org ar

Para mayor información dirigirse a jornadas@jornadasaie org ar

Aie > iNFormA |61|
Una de las principales actividades que desempeña la Asociación de
Estructurales (AIE),
Argentinas

Seminario Aie: postesados

La Asociación de Ingenieros Estructurales (AIE), organizó el seminario presencial y virtual que ofreció la firma Freyssinet el pasado jueves 10 de agosto de 10:00 a 12:00 horas Se analizaron diversas alternativas de los sistemas de postesados

El 10 de agosto de 2023, el Ing en construcciones Sergio Raúl corrales, gerente técnico de Freyssinet Tierra Armada SA Argentina, brindó una charla presencial y virtual sobre “sistemas de postesados”.

Durante la misma, se analizaron los principales aspectos prácticos del postesado, su objeto, tipos de postesados, postesados adherentes, postesados no adherentes, postesados exteriores adicionales, aplicaciones, losas postesadas, y protección de los tendones frente a las agresiones ambientales (FIB BOLETíN 33).

El Ing en construcciones Sergio Raúl corrales aportó detalles respecto del seminario ofrecido al expresar:

“A lo largo del encuentro, estudiamos detalles técnicos de instalación del sistema y métodos de ejecución de postesado, con foco en el mercado argentino En particular, respecto de los tipos de postesados, detallamos los adherentes, haciendo foco en los anclajes activos y pasivos, la prefabricación de tendones versus el enfilado de tendones a máquina, la función de la inyección con lechada de cemento, la preparación de la inyección y casos verificados en obra Respecto de los postesados no adherentes, trabajamos especificaciones de los cordones engrasados envainados distribuidos en la estructura sin vaina global, analizando su

materialización en casos de obra Acerca del postesado exterior adicional, observamos diferentes configuraciones del tendón, formas de fijar los anclajes a la estructura, cordones engrasados y envainados dentro de una vaina global inyectada con cemento, función de la inyección, tesado cordón a cordón, tesado del tendón en conjunto con gato multi cordón, y los pertinentes casos de obra Las aplicaciones en losas postesadas conformaron otro tema de observación, a partir de los mono-cordón adherente, multi-cordón adherente y sistemas no adherentes, tanto mono como multi cordón

Especificamos la protección de los tendones frente a las agresiones ambientales (FIB BOLETíN 33) y sus grados de exposición Finalmente, obtuvimos conclusiones acerca de los niveles de protección PL1, PL2, PL3 y el empleo de capós de inyección en los anclajes versus el hormigonado de los cajetines”, concluyó el gerente técnico de Freyssinet Tierra Armada SA Argentina

El seminario presencial y virtual, fue organizado por la Asociación de Ingenieros Estructurales (AIE), tuvo entrada libre y se llevó a cabo en el auditorio “Ing civil Jorge Sciammarella”, del consejo Profesional de Ingeniería civil (cPIc), sito en Adolfo Alsina 430, cABA

Aie > iNFormA |62|

Asociate a la Aie

Fundada en 1975, la AIE es una asociación argentina de profesionales dedicados a la ingeniería estructural. Sus principales objetivos son contribuir al desarrollo de la citada disciplina, a la dignificación profesional, y al mantenimiento de un elevado sentido ético entre los asociados y en el desarrollo de la actividad

Entre las premisas de la Asociación de Ingenieros Estructurales (AIE) se encuentran promover y formalizar estudios e investigaciones de carácter científico, técnico y económico, en lo concerniente a la especialidad, con el propósito de incrementar el nivel de la labor que cumplen los asociados; fomentar el intercambio de informaciones y experiencias técnicas entre sus miembros; difundir conocimientos y colaborar en la actualización de Normas y Reglamentos; establecer vínculos, efectuar intercambios y estimular el conocimiento y la cooperación entre personas e instituciones nacionales o extranjeras con finalidades análogas; participar en congresos y reuniones nacionales e internacionales en relación con temas afines con la especialidad; bregar por el cumplimiento de las Leyes de Ejercicio Profesional, procurando que las actividades de la especialidad sean ejecutadas por quienes se encuentran legalmente habilitados para ello y éticamente en condiciones de desarrollarlas; velar por el cumplimiento de las leyes arancelarias y propender a su actualización y perfeccionamiento de modo de asegurar la prestación de servicios de alta calidad técnica y adecuada retribución; entre muchos otros aspectos

¿Qué ofrece la Aie a la comunidad?

Organización de concursos con fines promocionales: Reconocimiento de “Estructuras Notables”, a través del Premio “Ing José Luis Delpini”, otorgado cada dos años Exaltación del trabajo presentado por los estudiantes universitarios argentinos a través del Premio “Ing Luis M Machado” para el mejor desarrollo de investigación y del Premio “concurso de Puentes”, copatrocinado por el consejo Profesional de Ingeniería civil (cPIc), para el modelo realizado con el mayor nivel de eficiencia

Participación en diversas convocatorias: Organización y desarrollo de las campañas de Relevamiento Visual de Fachadas, de acuerdo al convenio celebrado con la Secretaría de Justicia y Seguridad Urbana (actualmente, Secretaría de Seguridad) del GcBA. Estas tareas se realizaron a los efectos de detectar el nivel de riesgo para la seguridad pública de los elementos de las fachadas, muros expuestos y sus partes componentes, de las edificaciones de más de 50 años de antigüedad, contados a partir de 19 de agosto de 2002, que no hubieran presentado la documentación exigida por la ex Ley 257 (actual Ley cABA 6116). En base a este convenio, la AIE organizó el seguimiento, supervisión y asesoramiento de las acciones derivadas del plan de inspecciones visuales De esta forma, la AIE y sus integrantes garantizan un adecuado asesoramiento y orientación a la comunidad en las específicas materias de su especialidad

Por todo ello, te esperamos, para que formes parte de la Asociación de Ingenieros Estructurales (AIE), ingresando en el siguiente link: https://aiearg org ar/asociate/

Aie > iNFormA |63|

News ingeniería estructural

Desde el lunes 10 de julio de 2023, los asociados a la AIE reciben en sus correos electrónicos un nuevo y exclusivo News de Noticias De esta manera, el News Ingeniería Estructural, llega puntualmente cada lunes a partir de las 10 horas con una cantidad de informaciones sumamente útiles para los profesionales de la ingeniería estructural y las disciplinas afines.

Producido por un equipo editorial de amplia experiencia en medios relacionados con la industria de la construcción, el nuevo envío de noticias News Ingeniería Estructural, se ofrece de manera exclusiva a todos los asociados de la AIE.

Así, la Asociación de Ingenieros Estructurales crea, a partir de su comisión de comunicaciones, un nuevo canal de difusión respecto de las actividades de la institución, conjuntamente con una actualizada plataforma de informaciones de especial interés para los profesionales del sector.

El Ing civil José Rueda, integrante de la mencionada comisión de la AIE, opinó sobre el particular: “creíamos que era importante ofrecer un nuevo formato de interacción con nuestros asociados Tomamos la iniciativa, junto con todos los responsables de la conducción de nuestra Asociación para cumplimentar el objetivo de sumar una herramienta de conocimiento la cual, puntualmente, todos los lunes, llegue a los correos electrónicos de los socios AIE y de esta forma, pueden navegar las principales noticias del mundo de la ingeniería estructural

cada entrega, brinda alcances respecto de cursos y seminarios, propios, vale decir, organizados por la AIE tanto como por otras instituciones y empresas, entrevistas, análisis de obras destacadas dentro del ámbito de la

ingeniería estructural argentina y del mundo, investigaciones y temas de interés, entre muchos otros aspectos

Durante el mes de julio hemos obtenido muy buenos comentarios y métricas en nuestras redes sociales, donde muchas de estas noticias se canalizan, las cuales demuestran un importantísimo incremento en cuanto a interacciones y likes, tanto en Instagram, LinkedIn, Facebook, como en nuestro sitio Web Por supuesto, continuaremos trabajando e incrementando esta acción en favor de los asociados de la AIE”, afirmó el Ing civil José Rueda.

Aie > iNFormA |64|

H.Yrigoyen 1144 1º Of. 2, (C1086AAT)

Ciudad Autónoma de Buenos Aires Argentina

Tel/Fax: (54 11) 4381-3452 / 5252-8838

E-mail: info09@aiearg.org.ar

Web: www.aiearg.org.ar

Días y horario de atención: lunes a viernes de 13 a 18

Asociación de Ingenieros Estructurales

Una estructura durable Una institución sólida
Un proyecto seguro
ARGENTINA

Turn static files into dynamic content formats.

Create a flipbook
Issuu converts static files into: digital portfolios, online yearbooks, online catalogs, digital photo albums and more. Sign up and create your flipbook.
Revista IE 75 by Asociación de Ingenieros Estructurales - Issuu