Revista IE 77

Page 1


Corrosión de barras de aCero al Carbono en mortero Carbonatado expuesto a diferentes CondiCiones ambientales

análisis del monitoreo de un puente de hormigón Con un Comportamiento flexible y de las mejoras para extender su vida útil

revisión de aspeCtos estruCturales de las uniones Cubierta - mampostería

estudio del Comportamiento de vigas de hormigón reforzadas Con varillas de Compuesto de fibra de vidrio Con polímero

sumario

foto de tapa proceso constructivo del puente Complejo unión nacional (zárate - brazo largo).

REVISTA IE

COMITÉ EDITORIAL

Director: Ing. Marcos De Virgiliis

Mg. Inga. Laura Cacciante

Mg. Ing. Gustavo Gauna

Inga. Gloria Gutiérrez

PRODUCCIÓN EDITORIAL

Arq. Gustavo Di Costa

EDITOR RESPONSABLE

ASOCIACIÓN DE INGENIEROS

ESTRUCTURALES

Hipólito Yrigoyen 1144 1º, C1086AAT

Ciudad Autónoma de Buenos Aires

Tel/Fax: +54 (911) 4381-3452/5252-8838 revista@aiearg.org.ar www.aiearg.org.ar

Prohibida la reproducción total o parcial de textos, fotos, planos o dibujos sin la autorización expresa del Editor. Los artículos firmados son de exclusiva responsabilidad de sus autores o de las firmas que facilitan la información y no reflejan necesariamente la opinión de la AIE.

08 Corrosión de barras de acero al carbono en mortero carbonatado expuesto a diferentes condiciones ambientales

24 análisis del monitoreo de un puente de hormigón con un comportamiento flexible y de las mejoras para extender su vida útil

38 revisión de aspectos estructurales de las uniones cubierta - mampostería

52 estudio del comportamiento de vigas de hormigón reforzadas con varillas de compuesto de fibra de vidrio con polímero

explorando nuevos horizontes en la ingeniería estructural

En la actualidad, la sociedad se encuentra fuertemente influenciada por el avance tecnológico. La evolución y mejoras en este ámbito han expandido los límites de la globalización, brindando medios de comunicación que hace unos años eran impensables y, a su vez, presentando nuevos desafíos y oportunidades. Conceptos como nanotecnología, biotecnología e informática de alto rendimiento han alcanzado logros que desafían nuestra capacidad de asombro. Estos avances no solo han extendido nuestras expectativas de vida y generado un mayor crecimiento económico, sino que también han resaltado la importancia de la innovación y la funcionalidad para incrementar la productividad. Es fundamental recordar que un crecimiento genuino implica satisfacer necesidades básicas como vivienda, alimentación, salud y educación.

En el ámbito de la ingeniería estructural contemporánea, la sustentabilidad y la sostenibilidad son conceptos esenciales. Estos enfoques buscan mejorar la calidad de vida a nivel global, con el bienestar humano como objetivo principal. Los procesos de desarrollo en ingeniería estructural deben abordar estos principios, integrando nuevas ideas para responder de manera efectiva a las demandas de la sociedad. Dentro del marco del Desarrollo Sostenible, es imperativo centrarse en la planificación que tenga en cuenta la sostenibilidad ambiental, el empleo de tecnologías para energías alternativas y la conservación de recursos naturales como el agua y el suelo, con la reducción de emisiones contaminantes.

La nanoingeniería se erige como un campo fascinante y prometedor en la actualidad. Permite la creación y materialización de estructuras a nivel molecular, lo cual seguirá siendo de interés para las próximas generaciones de ingenieros. La aplicación de la nanociencia se observa en diversos campos, desde la bioingeniería hasta la ciencia de los materiales y la electrónica. Este interés ha motivado importantes inversiones en investigación

por parte de instituciones gubernamentales y organizaciones internacionales.

En el ámbito tradicional de la ingeniería estructural, como la construcción de puentes y diseño de estructuras, se observa una creciente necesidad de comprender y utilizar materiales compuestos y tecnologías a escala molecular y atómica. La ingeniería estructural del futuro deberá considerar materiales y estructuras inteligentes capaces de responder a desafíos como terremotos y explosiones.

Es responsabilidad de los ingenieros estructurales divulgar los avances y preocupaciones de la profesión, destacando su contribución al desarrollo sostenible y la mejora de la calidad de vida. Por ello, a partir de este número de Revista IE, las investigaciones y análisis de los ingenieros estructuralistas serán profundizados en las páginas de este medio, derivando nuestras noticias institucionales y de actualidad al News Ingeniería Estructural, de puntual aparición los días lunes y sobre el que agradecemos las métricas de aperturas y lecturas que continúan creciendo mes a mes por parte de nuestros asociados e interesados en la especialidad.

A medida que nos aproximamos al año 2025, surge la pregunta sobre el futuro de la ingeniería estructural. ¿Reflejará simplemente los patrones de crecimiento del pasado o experimentará cambios radicales? ¿Podrá nuestra profesión liderar su propio futuro y adaptarse a las nuevas tecnologías sin comprometer el bienestar social? Ante estos desafíos, se necesita el talento y la creatividad de ingenieros comprometidos con la resolución de problemas complejos

Ing. Civil Horacio Pieroni Presidente de la Asociación de Ingenieros Estructurales presidente@aiearg.com.ar

Publicación de la Asociación de Ingenieros Estructurales para la información y divulgación de temas científicos y técnicos

Edición digital 77

ISSN 16671511 / AÑO 28 / Agosto de 2024

COMISIÓN DIRECTIVA DE LA AIE

PRESIDENTE:

Ing. Horacio G. Pieroni

SECRETARIO:

Ing. Ricardo Taba

TESORERO:

Ing. Carlos Gustavo Gauna

VOCALES TITULARES:

Ing. Patricia Lucía Aab

Arq. Roberto Alfie

Ing. Alberto Fainstein

Ing. Carlos Marcelo Salomone

VOCALES SUPLENTES:

Ing. Gloria Gutiérrez

Ing. Carlos Larsson

REVISORES DE CUENTAS:

Ing. Raúl Curutchet

Ing. Aldo Loguercio

SECRETARÍA:

Lic. María Laura Rivas Díaz

Sandra Orrego

La Revista IE es una publicación técnica que realiza la ASOCIACIÓN DE INGENIEROS ESTRUCTURALES (AIE). El contenido incluye artículos técnicos con temáticas actuales y de interés. Seleccionando el número que le interesa, es posible acceder a la EDICIÓN DIGITAL de la revista, y a los resúmenes de los artículos publicados en esa edición.

CORRESPONSALES

ARGENTINA

Bahía Blanca: Ing. Mario Roberto Minervino

Córdoba: Ing. Carlos Prato

El Calafate: Ing. Otto Manzolillo

Mendoza: Mg. Ing. Carlos Llopiz

Necochea: Ing. Eloy Juez

Neuquén: Ing. Emanuel Guevara

Rosario: Mg. Inga. Yolanda Galassi

Salta: Inga. Susana B. Gea

San Juan: Ing. Alejandro Giuliano

San Miguel de Tucumán: Ing. Roberto Cudmani

Santa Fe: Dr. Ing. Gustavo Balbastro

Trelew: Ing. Hugo Donini

EXTERIOR

Bolivia: Ing. Mario R. Terán Cortez (La Paz)

Brasil: Dr. Ing. Paulo Helene (San Pablo), Ing. Silvio de Souza Lima (Río de Janeiro),

Prof. Darío Lauro Klein (Porto Alegre)

Colombia: Ing. Luis Enrique García (Bogotá)

Chile: Ing. Rodolfo Saragoni Huerta (Santiago)

China: Ing. Carlos F. Mora (Hong Kong)

República Dominicana: Ing. Antonio José Guerra

Sánchez

Estados Unidos: Inga. María Grazia Bruschi (Nueva York)

España: Ing. Jorge Alberto Cerezo, Dr. Antonio Aguado de Cea (Barcelona)

Israel: Ing. Mario Jaichenco (Naharia)

México: Dr. Ing. Pedro Castro Borges (Mérida, Yucatán), Ing. Daniel Dámazo Juárez (México DF)

Paraguay: Ing. Angélica Inés Ayala Piola (Asunción)

Portugal: Prof. Antonio Adao da Fonseca (Porto)

Perú: Ing. Carlos Casabonne (Lima)

Puerto Rico: Ing. José M. Izquierdo (San Juan)

Venezuela: Inga. Oladis Tronconis de Rincón (Zulia)

Edición digital, agosto 2024

Por Carricondo, Juan1; Gómez, Enzo 1; Farina, Silvia2; Duffó, Gustavo2

1Mg. Comisión

Nacional de Energía Atómica

2Dr. Comisión

Nacional de Energía Atómica, Universidad Nacional de San Martín y Consejo

Nacional de Investigaciones Científicas y Técnicas juancarricondo@cnea.gov.ar

Corrosión de barras de aCero al Carbono en mortero Carbonatado expuesto a diferentes CondiCiones ambientales

Se estudió el comportamiento de barras de acero al carbono en mortero carbonatado mediante curvas de polarización, comparando con barras en estado pasivo. Además, se expusieron las probetas carbonatadas a diferentes ambientes y se midieron, de manera periódica, parámetros electroquímicos como potencial y velocidad de corrosión, resistividad de la matriz de mortero y disponibilidad de O2. Los resultados muestran que las dos condiciones más agresivas, desde el punto de vista de la corrosión son: ciclos de inmersión-secado y exposición a un ambiente con humedad relativa del 98%.

introduCCión

El hormigón armado es un material compuesto de amplio uso ingenieril que resulta de la unión eficiente de dos materiales: el hormigón y el acero de refuerzo. Se trata del material estructural más utilizado en la construcción de obras como puentes, carreteras, muelles, etc. Si bien existen muchos ejemplos de comportamiento satisfactorio del hormigón armado por largos períodos, se encuentra que este material también se deteriora a través del tiempo, tanto debido a procesos de degradación del propio hormigón como a la corrosión de las barras de refuerzo1

La vida en servicio de estructuras de hormigón armado, que se degradan por corrosión, puede dividirse en dos fases: la iniciación y la propagación de la corrosión. En la fase de iniciación, el acero de refuerzo no se degrada debido a la presencia de una capa pasiva superficial que se forma debido al pH del hormigón (≈13). La etapa de iniciación es el periodo de tiempo en el cual los agentes agresivos alcanzan las armaduras y

destruyen esta capa pasiva (local o generalmente). Una vez destruida la capa pasiva, la degradación del acero por corrosión comienza. La etapa de propagación es el periodo de tiempo en el cual el acero se degrada. Esta etapa de propagación termina cuando el nivel de deterioro es tal que la estructura queda fuera de servicio2.

Durante la fase de iniciación, el ingreso de agentes agresivos como CO2 y cloruros pueden depasivar la barra de refuerzo. En el caso de la carbonatación, la alcalinidad del hormigón puede ser neutralizada por el CO2 que ingresa desde la atmósfera, reacciona con el hidróxido de calcio y disminuye el pH de la solución de poros a un valor cercano a 9, donde la capa pasiva del refuerzo ya no es estable. En el caso de los iones cloruros, ingresan al hormigón desde el ambiente y al alcanzar un nivel crítico de concentración sobre la barra de refuerzo pueden eliminar la capa pasiva de manera localizada. La duración de la fase de iniciación depende del espesor y la calidad del recubrimiento de hormigón, la concentración de agentes agresivos en el ambiente,

las condiciones atmosféricas (humedad y temperatura) y la concentración de iones cloruros (umbral) o valor de pH necesario para que la capa pasiva se destruya.

En la literatura se encuentran trabajos que estudian el comportamiento a la corrosión de las barras de refuerzo mediante estructuras reales3, probetas de laboratorio4 y soluciones de poros simuladas (SPS)5

En particular, el proceso de corrosión de barras de acero inducida por la carbonatación de estructuras de hormigón ha sido estudiado hace por lo menos 40 años. Diversos enfoques sobre los mecanismos involucrados buscaron explicar la cinética del proceso6. A partir de la medición de parámetros electroquímicos se abordó la influencia de la resistividad de la matriz de poros (electrolito) y la disponibilidad de O2 en el proceso de corrosión. En particular, se ha considerado que el mecanismo que controla el proceso podría ser la resistividad, conocido como control óhmico. De esta manera se enfocaron en las variaciones de la resistividad de la matriz de poros como factor controlante de la conducción iónica necesaria para el proceso de corrosión, mecanismo que se probó incorrecto7. Luego, Glass et. al propusieron el mecanismo de control anódico-resistivo, donde la reacción anódica (disolución del Fe) estaría controlada por la resistividad mientras que el proceso de corrosión estaría bajo control anó-

dico; de esta forma la resistividad del mortero afectaría más a la reacción anódica que a la reacción catódica (reducción del O2 disponible)8

Luego, se propuso la disponibilidad de electrolito en la superficie de la barra como un factor controlante del proceso de corrosión, siendo determinante en este sentido el grado de porosidad del mortero y de saturación de dichos poros, involucrando la humedad relativa (HR) del ambiente9

En el presente trabajo se pretende contribuir a la discusión sobre el mecanismo de corrosión inducida por carbonatación estudiando el proceso a partir de barras en estado activo. De esta manera se parte de barras que están sufriendo corrosión generalizada, para luego ingresar las probetas a los diferentes ambientes de exposición.

materiales y mÉtodos

Se realizó una serie de experimentos para estudiar el proceso de corrosión inducida por carbonatación en mortero carbonatado. Para ello se realizaron probetas prismáticas de mortero de relación a/c/a=1/1/5, obteniéndose una pasta porosa que facilitó la carbonatación. Las probetas de mortero se fabricaron empleando moldes metálicos de 7x7x6 cm utilizando cemento portland normal (CPN 40 ARS, Loma NegraTM), cuya composición química se detalla en la Tabla 1.

Compuesto

Pérdida por calcinación

Tabla 1.

Composición química del Cemento Portland normal utilizado.

En total se fabricaron 14 probetas prismáticas con 4 barras de refuerzo cada una (C1 a C14) con un espesor de recubrimiento de 10 mm, algunas de las cuales poseían un electrodo de óxido mixto (MOM por sus siglas en inglés) en el centro para realizar mediciones electroquímicas. Como barra de refuerzo se utilizó un acero al carbono (AC) SAE 1040 de 6 mm de diámetro, cuya composición química se presenta en la Tabla 2.

En todos los casos, antes de ser colada la pasta de mortero se delimitó el área de las barras con cinta aisladora para tener una superficie expuesta de 6,6 cm2, y evitar la corrosión por rendija en la interfaz mortero-aire. Además, se fabricaron 10 probetas cilíndricas sin barra de refuerzo (T1 a T10) para medir el avance del frente de carbonatación (algunas de las cuales se muestran en la Figura 1).

Todas las probetas se dejaron carbonatar naturalmente en el ambiente de laboratorio presentado en la Figura 1.

De las 14 probetas prismáticas, dos se utilizaron para realizar curvas de polarización de las barras de acero al momento de ser desmoldadas, y otras dos se emplearon para realizar curvas de polariza-

ción al momento en que el frente de carbonatación sobrepasó las barras. Las curvas de polarización lineal (CPL) son gráficos que representan la densidad de corriente en función del sobrepotencial aplicado, respecto del potencial de corrosión. Estas curvas permiten caracterizar el comportamiento de las reacciones anódicas (disolución del Fe) y catódicas (reducción del O2)1

El resto de las probetas se utilizaron para monitorear los parámetros electroquímicos antes mencionados en 4 medios de exposición distintos: humedad del 98% (H98), sumergido en agua (SH2O), laboratorio (LAB) y alternado (AH2O, 15 días sumergido en agua y 15 días seco en laboratorio).

La Tabla 3 presenta los ambientes utilizados en el presente trabajo y su clasificación según la norma europea EN 206-110. En cuanto a las mediciones electroquímicas periódicas, se midieron 6 barras de AC por ambiente buscando tener resultados por sextuplicado ya que las mediciones en hormigón presentan una gran variabilidad (excepto para el ambiente LAB que se midieron por cuadruplicado).

Las probetas cilíndricas (T1 a T10) fueron utilizadas para medir el avance del frente de carbonatación a medida que transcurrían los días.

2. Composición química del acero SAE 1040 utilizado

Tabla

1. Probetas prismáticas de mortero y testigos de carbonatación.

ambientes H98 SH2O LAB

AH2O

desCripCión

Humedad del 98%

Sumergido en agua destilada

Laboratorio, interior

Alternado de 15 días sumergido en agua destilada y 15 días seco en el laboratorio

De esta manera se buscó asegurar que las barras de las probetas prismáticas estuvieran rodeadas de mortero carbonatado al momento de ingresar a los diferentes ambientes. Esto resulta relevante ya que se buscaba trabajar con barras de AC en estado activo, logrado a partir de la disminución en el pH de la solución de poros por efecto de la carbonatación con la consecuente ruptura de la capa pasiva. La Figura 2 presenta el grado de avance del frente de carbonatación.

en 206-1 XC3

XC1 XC1 XC4

Tabla 3.

Ambientes y clasificación según EN 206-1

en total se fabricaron 14 probetas prismáticas con 4 barras de refuerzo cada una (C1 a C14) con un espesor de recubrimiento de 10 mm.

Figura

Densidad de corriente [Acm 2 ]

Profundidad (mm)

Avance del frente de carbonatación

Tiempo (días)

Figura 2. Avance del frente de carbonatación en probetas de mortero

Potencial [VECS]

Figura 3. Curvas de polarización de barras de acero al carbono embebidas en probetas de mortero y mortero carbonatado

Para corroborar que las barras de AC se encontraban activas se midió el potencial de corrosión (Ecorr) de algunas probetas obteniéndose valores inferiores a los -500 mV vs electrodo de calomel saturado (ECS), valor al cual existe una probabilidad mayor al 90% de que la barra se encuentre activa11. Luego, se realizaron CPL para las barras de AC de la probeta prismática C14. La Figura 3 presenta una comparación de CPL para AC una vez desmoldada la probeta, y luego del proceso de carbonatación. Puede observarse el corrimiento del Ecorr hacia potenciales menores y una densidad de corriente de corrosión (icorr) elevada al realizar el barrido de la zona anódica a la catódica (de derecha a izquierda en el gráfico); este comportamiento indica que las barras de AC están sufriendo corrosión generalizada. Por el contrario, las barras de AC luego de ser desmoldada la probeta vuelven a un estado pasivo al realizar el barrido potenciostático de la zona anódica a la catódica.

Una vez confirmado que las barras de AC de las probetas prismáticas se encontraban en estado activo producto de la carbonatación natural del mortero que las rodeaba, se ingresaron las probetas a los diferentes ambientes (Figura 4).

4.

Ambientes: (a) laboratorio (LAB), (b) humedad 98% (H98), (c) sumergido en agua (SH2O), y (a y c) alternado H2O-laboratorio (AH2O).

Figura
Figura 4a.
Figura 4b.
Figura 4c.

(V ECS )

Figura 5.

Valor promedio y dispersión del potencial de corrosión de las barras de acero al carbono en los diferentes ambientes en función del tiempo de exposición

resultados y disCusión

Se midieron cada 15 días diversos parámetros electroquímicos: potencial de corrosión (Ecorr), densidad de corriente de corrosión (icorr), velocidad de corrosión (Velcorr), resistividad de la matriz de mortero (ρ) y disponibilidad de oxígeno (iO2). Para el procesamiento de los datos se desarrolló un programa mediante el software Matlab. A continuación se presentan los resultados luego de 255 días de medición.

En la Figura 5 se puede observar que al momento de ingresar las probetas prismáticas a los diferentes ambientes, el Ecorr medido en las

barras de refuerzo se encontraba en el rango de probabilidad de corrosión mayor al 90% según la norma ASTM C87611. Luego, para los casos de los ambientes H98 y SH2O se observa una disminución continua del Ecorr (hacia potenciales más negativos). En cuanto al ambiente AH2O se observa un comportamiento alternado entre más del 90% y el 50% de probabilidad de corrosión, regido por los ciclos de inmersión y secado respectivamente. Para el ambiente LAB también se observa una variabilidad en el Ecorr medido a lo largo del tiempo pero con una tendencia hacia potenciales menos negativos, ubicándose en el rango del 50% de probabilidad de corrosión.

Tiempo (Días)

Bajo

Velocidad de corrosión (µm/año)

Despreciable

6.

Nivel de corrosión Alto Alto Moderado Moderado

Valor promedio y dispersión de (a) densidad de corriente de corrosión y (b) velocidad de corrosión para las barras de acero al carbono en los diferentes ambientes en función del tiempo de exposición. Los límites fueron obtenidos de McCarter et. al12

Nivel de corrosión

Bajo

Despreciable

Figura
Figura 6b.
Figura 6a.
Tiempo (Días)
Tiempo (Días)

En la Figura 6 se presenta la evolución de la densidad de corriente de corrosión (icorr) y de la velocidad de corrosión (Velcorr) a lo largo del tiempo, distinguiendo diferentes niveles de corrosión en base a lo sugerido por McCarter et. al12 Se observa que para el ambiente H98 las barras de refuerzo presentan un nivel de corrosión alto, alcanzando una pérdida de material estimada de 40 μm/año. Para los ambientes SH2O y LAB se observa un comportamiento similar, alcanzando un nivel moderado de corrosión en torno a los 10 μm/año. Finalmente, en el ambiente AH2O nuevamente se observa un comportamiento alternado pero con un nivel de corrosión promedio en aumento, ubicándose en los 4 μm/año en los

ciclos de secado y superando los 40 μm/año en los ciclos de inmersión.

En la Figura 7 se presenta el comportamiento de la resistividad de la matriz de mortero (ρ) en función del tiempo, parámetro electroquímico de relevancia ya que indica el estado del electrolito para propiciar o no la conductividad iónica durante el proceso de corrosión de la barra de refuerzo. Luego de la fase de carbonatación natural, común a todas las probetas, el valor de ρ medido se encuentra alrededor de 35 kΩ.cm (correspondiente a t=0 en la Figura 7); valor elevado en comparación a un mortero no carbonatado donde se tiene que la resistividad es del orden de 2,2 kΩ.cm.

Tiempo (Días)

Figura 7.

Valor promedio y dispersión de la resistividad del mortero en los diferentes ambientes en función del tiempo de exposición. Los límites fueron obtenidos de McCarter et. al12

Resistividad

Para el ambiente H98, la resistividad de las probetas comienza a disminuir una vez ingresadas al ambiente debido a la hidratación del mortero, requiriendo aproximadamente 60 días hasta alcanzar un valor estable entorno a los 5,5 kΩ.cm. Lo mismo ocurre en el caso de las probetas en el ambiente SH2O, cuya resistividad se estabiliza en torno a los 15 kΩ.cm también a los 60 días.

para el ambiente h98 las barras de refuerzo presentan un nivel de corrosión alto, alcanzando una pérdida de material estimada de 40 μm/año.

En cuanto al ambiente AH2O se observa una elevada variabilidad de los valores de resistividad en función de los ciclos de inmersión y secado, alternando entre 8 kΩ.cm y 700 kΩ.cm, respectivamente. Para el caso del ambiente LAB también se observa un comportamiento con alta variabilidad, asociándolo a la elevada porosidad del mortero que lo hace muy susceptible a variaciones en las condiciones de temperatura y humedad del ambiente.

En la Figura 8 se presenta la disponibilidad de O2 en el interior de las probetas de mortero en función del tiempo. Para los ambientes H98 y SH2O se observa una sostenida disminución de la disponibilidad de O2 a lo largo del tiempo. El proceso de corrosión requiere la reducción del O2 disponible en el mortero para generar la reacción de oxidación del Fe, por lo que en estos ambientes la corrosión se vería limitada por la difusión de O2 a través de la matriz de poros saturada de H2O.

Valor promedio y dispersión de disponibilidad de oxígeno para las probetas de mortero en los diferentes ambientes en función del tiempo de exposición Tiempo (Días)

Figura 8.

Figura 9a.
EC(VECS)
Icorr

Icorr (μA/cm 2 )

Probabilidad de corrosión

Resistividad (Ω cm)

9.

Relación entre (a) densidad de corriente de corrosión (icorr) vs potencial de corrosión (Ecorr), y (b) icorr vs resistividad del mortero (ρ) para los diferentes ambientes y con datos de Glass et. al8. Rangos para Ecorr según ASTM C876, y para icorr y ρ siguiendo a McCarter et. al12 .

Para el ambiente LAB el nivel de O2 medido presenta fluctuaciones a lo largo del tiempo, con una tendencia general a disminuir. Finalmente, en el caso del ambiente AH2O la disponibilidad de O2 responde a los ciclos de inmersión y secado, observándose una menor disponibilidad en el caso de la inmersión y viceversa; no se observa una tendencia general en este caso.

A partir de los gráficos presentados, se observa que los valores de velocidad de corrosión se mantienen elevados para los ambientes SH2O, AH2O y H98, más allá de una reducción en la disponibilidad de O2 a lo largo del tiempo. De esta manera se concluye que la disponibilidad de O2 no es un factor limitante para el proceso de corrosión en mortero carbonatado, coincidiendo con lo propuesto por González et. al13

Figura
Figura 9b.

La búsqueda de relaciones entre parámetros electroquímicos como Ecorr y ρ con icorr resulta de interés al momento de realizar mediciones en estructuras reales. La posibilidad de ejecutar mediciones de Ecorr y ρ sin requerir acceso a la barra de refuerzo simplifica las inspecciones. Sin embargo, a partir de las mediciones realizadas no se comprueba la relación lineal entre icorr y ρ propuesta por Feliu et. al7. Tampoco se observa una relación entre icorr y el Ecorr, como la propuesta por Glass et. al para probetas de mortero similares a las de este trabajo pero con 0,4% de Cl8. En la Figura 9a se presenta un gráfico de icorr vs Ecorr, utilizando los valores de icorr correspondientes sólo al estado activo12; no se observa la relación lineal propuesta por Glass et. al para ninguno de los ambientes. En la Figura 9b se presenta un gráfico icorr vs ρ y tampoco se puede establecer una relación entre ambos parámetros.

ConClusiones

Los resultados muestran que las dos condiciones más agresivas desde el punto de vista de la corrosión son: ciclos de inmersión-secado y exposición a un ambiente con humedad relativa del 98%. A su vez, los valores de resistividad de la matriz de mortero carbonatado son mayores a los de un mortero sin carbonatar. Por otro lado, la disponibilidad de oxígeno, medida a partir de iO2, no pareciera ser un factor limitante para el proceso de corrosión.

No se encontraron relaciones entre Ecorr y ρ con icorr, por lo que la medición directa de la densidad de corriente de corrosión sigue siendo el parámetro que mejor representa el estado de la barra de refuerzo desde el punto de vista de la corrosión.

los resultados muestran que las dos condiciones más agresivas desde el punto de vista de la corrosión son: ciclos de inmersión-secado y exposición a un ambiente con humedad relativa del 98%.

agradeCimientos

Se agradece el apoyo de la Agencia Nacional de Promoción Científica y Tecnológica a través del proyecto PICT 2016-0082.

referenCias

1G. S. Duffó y S. B. Farina, “La corrosión de estructuras de hormigón armado. Principios básicos, monitoreo y prevención”, Editorial académica española.

2L. Bertolini, B. Elsener, P. Pedeferri y R. Polder, “Corrosion of steel in concrete. Prevention, diagnosis, repair”, Wiley-VCH.

3Duffó, G. S., Morris, W., Raspini, I., & Saragovi, C. (2004). A study of steel rebars embedded in concrete during 65 years. Corrosion Science, 46(9), 2143–2157.

4Duffó, G. S., Gómez, E. D., Vázquez, D. R. (2018). Revisiting the Effect of the Corrosion Potential, the Matrix Resistivity and the Oxygen Availability on the Corrosion Rate of Steel Bars Embedded in Mortar, Journal of Scientific and Engineering Research, 2018, 5(9):221-232.

5Moreno, M., Morris, W., Alvarez, M. G., & Duffó, G. S. (2004). Corrosion of reinforcing steel in simulated concrete pore solutions. Corrosion Science, 46(11), 2681–2699.

6Stefanoni, M., Angst, U., & Elsener, B. (2018). Corrosion rate of carbon steel in carbonated concrete – A critical review. Cement and Concrete Research, 103 (June), 35–48. https://doi.org/10.1016/j.cemconres.2017.10.007

7S. Feliu, J. A. Gonzalez, S. Feliu, C. Andrade, Relationship between conductivity of concrete and corrosion of reinforcing bars, Br. Corros. J. 24 (3) (1989) 195–198.

8G.K. Glass, C. L. Page, N. R. Short, Factors affecting the corrosion rate of steel in carbonated mortars, Corros. Sci. 32 (1991) 1283–1294.

9Andrade, C., & Buják, R. (2013). Effects of some mineral additions to Portland cement on reinforcement corrosion. Cement and Concrete Research, 53, 59-67.

10BS EN 206:2013+A1:2016. Concrete. Specification, performance, production and conformity. European Standard.

11ASTM C876-91(1999). Standard Test Method For Half-Cell Potentials Of Uncoated Reinforcing Steel In Concrete.

12McCarter, W.J., Vennesland, Ø. (2004). Sensor systems for use in reinforced concrete structures. Constr. Build. Mater., 18: 351-358.

13J. A. Gonzalez, S. Algaba y C. Andrade (1980). “Corrosion of reinforcing bars in carbonated concrete”. Dr. Corros. J., 1980, Vol. 15, No.3._

Por Tridone, Valeria; Peralta, María Haydée; Bachiarello, Raúl; Pico, Leonel

Ingenieros Civiles Facultad de Ingeniería UNICEN vtridone@fio.unicen.edu.ar

análisis del monitoreo de un puente de hormigón Con un Comportamiento flexible y de las mejoras para extender su vida útil

La inspección y el mantenimiento de estructuras en servicio adquieren cada vez mayor relevancia. En particular se destacan los casos de puentes que han cumplido su vida útil de diseño de 50 años y cuyas condiciones del tránsito han variado sustancialmente. Las modificaciones en el comportamiento estructural pueden ser evidentes, a tal punto que afectan la seguridad estructural y el confort en su uso. En general, cuando se evidencia el deterioro, intervienen profesionales mediante un monitoreo y evaluación global de su comportamiento. En este trabajo se presenta un puente de hormigón de la ciudad de Olavarría, donde se muestra que la intervención temprana contribuye a mejorar la vida útil. Se exponen una serie de resultados obtenidos por monitoreos con técnicas experimentales y modelos computacionales, en un puente cuyo diagnóstico inicial en el año 2007 detectó un comportamiento flexible de la superestructura para las condiciones actuales de cargas y velocidades del tránsito. Se presenta cómo a partir de las recomendaciones para adecuar el comportamiento a criterios establecidos en códigos internacionales, que fueron concretadas y evaluadas en años posteriores, se ha mejorado notablemente su comportamiento respecto a la seguridad estructural y al confort humano.

introduCCión

La ciudad de Olavarría fue fundada un 25 de noviembre de 1867, a orillas del arroyo Tapalqué. El paisaje urbano se transformó con el correr de las décadas desde una aldea emplazada en la margen derecha del arroyo a un poblado extendido en ambas márgenes. Es así como el desarrollo urbanístico fue dando respuestas a lo que paulatinamente se transformó en un importante centro comercial, agropecuario e industrial de la provincia de Buenos Aires. Desde sus orígenes existió la necesidad de construir puentes para vincular ambas márgenes. Inicialmente se emplazaron estructuras de madera o de hierro, notables para la época. Los avances tecnológicos, especialmente en cuanto al conocimiento de los materiales y de las técnicas constructivas, posibilitaron la construcción de puentes más resistentes, así como el ensanchamiento del cauce del arroyo mejorando su capacidad y la evacuación del agua durante las crecidas.

Al día de hoy, la ciudad de Olavarría cuenta con más de 100 mil habitantes. La planta urbana se ha extendido ampliamente a cada lado del arroyo, y la comunicación entre ambos lados se desarrolla con total fluidez gracias a la presencia de diez puentes de hormigón y siete puentes colgantes peatonales, cuyas edades de vida en servicio oscilan entre los 30 y los 60 años. Ellos permiten la continuación a un lado y al otro de las calles que les dan el nombre. Se puede afirmar sin lugar a dudas que conforme se fue dando el crecimiento demográfico de la ciudad han ido cambiando las condiciones de diseño para las cuales los puentes habían sido calculados, en especial de aquellos que se encuentran cumpliendo el límite de su vida útil según proyecto. Fundamentalmente estos cambios en las condiciones de servicio están dadas por los vehículos que transitan los puentes y de las velocidades en que lo hacen.

Figura 1.
Planta Urbana de la ciudad de Olavarría

Por su alta transitabilidad resulta necesario efectuar un constante seguimiento del estado de conservación de los puentes. La inspección y el mantenimiento de estructuras en servicio adquieren cada vez mayor relevancia, en especial en aquellos que han cumplido su vida útil de diseño de 50 años.[1]

Sin embargo y por lo general, hasta que no se evidencia algún signo de deterioro, no se solicita la intervención de profesionales para efectuar una evaluación global de su comportamiento. Este el caso del monitoreo de los puentes de la ciudad, que a partir de la creciente sensación de disconfort percibida por quienes circulaban por algunos de los puentes, el municipio convoca a profesionales en el tema para evaluar el estado de conservación de los mismos.

En respuesta a todo lo mencionado anteriormente, es que la Secretaría de Obras Públicas de la Municipalidad de Olavarría firma un convenio con el Área de Estructuras de la Facultad de Ingeniería de la UNCPBA. Por medio del mismo se solicitó en los años 2007, 2010, 2016 y 2021, la Evaluación,

Diagnóstico y Propuesta de Mantenimiento y/o Reparaciones de los puentes de hormigón existentes sobre el Arroyo Tapalqué.

El equipo de especialistas de la universidad efectuó un plan de trabajo, a realizar en cada uno de los monitoreos, que se puede resumir en las siguientes etapas: inspección, relevamiento de información, análisis, diagnóstico y propuesta de reparación. A tal fin, y durante el transcurso de los años antes mencionados, se efectuaron inspecciones “in situ”, análisis numéricos y experimentales, y como resultado se entregó, en cada instancia, un Informe Final con los resultados obtenidos.

Este trabajo se centra en uno de los puentes de hormigón armado que está siendo monitoreado desde el año 2007, emplazado sobre la Avenida Sarmiento, cuyo proyecto y construcción se llevó adelante en 1960. A partir de la década de 1990 se tiene registro de una percepción de vibraciones de significativa intensidad por parte de quienes transitaban por el puente, además de fisuras y signos de deterioro que podrían comprometer la seguridad estructural del puente en el tiempo.

Figura 2. Vista del puente

desCripCión de la tipología estruCtural

El puente de hormigón armado emplazado sobre la Avenida Sarmiento posee una tipología estructural muy usada en la época. Consta de un tablero formado por losa llena sobre un sistema de emparrillado de vigas longitudinales de sección variable y vigas transversales, completamente hormigonadas “in situ”.

con una sección de 0.70 m x 0.80 m y llegando la misma en la parte superior a 0.50 m x 0.70 m cada una. La altura promedio de las columnas es de 7.30 m. Las descargas extremas se producen sobre estribos constituidos por tabiques y contrafuertes de aproximadamente 6.50 m de altura y de espesor 0.20 m.

Desde la Dirección de Hidráulica de la Municipalidad se facilitaron los planos de la estructura de hormigón armado que incluyeron:

Figura 3. Tipología estructural

planta, vista, cortes, encofrados y armaduras de la superestructura e infraestructura. Esta información facilitó los datos necesarios sobre la geometría de los elementos constitutivos del puente que posteriormente fueron utilizados en los modelos de análisis.

Figura 4.
Plano de armado original del puente

Cronología de las evaluaCiones efeCtuadas

primer monitoreo durante el año 2007:

A fin de tomar conocimiento del problema es que se realiza la primera inspección in- situ, corroborando la tipología estructural y la vibración percibida por las personas durante el paso de vehículos. Se detectaron deficiencias tanto en las juntas de

dilatación como en los mecanismos de apoyo, lo cual facilitaba que las vibraciones de la superestructura sean transmitidas a la infraestructura. Se observó además la presencia de una fisura horizontal longitudinal a una distancia aproximada de 1.20 m desde el tablero y otras fisuras inclinadas a 45º en las zonas de apoyo de las vigas longitudinales, localizadas en el estribo N-O que soporta el tablero del puente.

Figura 5. Vistas del estribo N-O
Figura 6. Fisuras sobre el tablero

El diagnóstico informado al municipio como resultado de esta primera inspección derivó en acciones concretas en los meses siguientes en cuanto a reparación de calzada, sellado de grietas y reconstrucción de juntas de dilatación, y se realizó la medición de parámetros dinámicos en infraestructura y superestructura para diferentes condiciones de tránsito (velocidades, cargas).

Dadas las características del problema a estudiar, se requerían indicadores que permitan cuantificar la respuesta estructural frente a las acciones reales. Mediante la determinación de las características dinámicas de una estructura (que involucran la masa, la rigidez, el amortiguamiento), se puede conocer la respuesta estructural en términos de amplitud de aceleraciones y velocidades, lo cual posibilita la evaluación del comportamiento

mediante la comparación de la respuesta medida con normas y criterios tomados como referencia. [2]

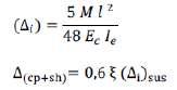
Para establecer un criterio de evaluación por posibles daños estructurales existen una serie de Normas y criterios que expresan valores admisibles y límites vibratorios máximos que podrían dañar una estructura. Para este caso de análisis se adoptaron como referencia los criterios establecidos en Normas internacionales (ISO, DIN). Uno de los parámetros fundamentales que se adoptaron para evaluar la flexibilidad del sistema estructural son las frecuencias propias. Estudios efectuados en puentes de hormigón demuestran que, para frecuencias fundamentales entre 1,5 y 4,5 Hz aproximadamente, se produce un fuerte incremento del factor de amplificación dinámica, tal como se indica en la Figura 7. [2]

Frecuencia fundamental (Hz)

Figura 7. Factor de ampliación dinámica

Además, la medición de las frecuencias fundamentales puede relacionarse directamente con la tipología estructural y con su geometría. De este modo se puede evaluar si la flexibilidad de la estructura es tal que garantice una respuesta estructural adecuada para la circulación vehicular, o se deben adoptar medidas. [3]

Previo a la evaluación experimental, se modeló la estructura del puente para determinar la frecuencia natural del sistema, a los fines de seleccionar adecuadamente los sensores a utilizar en las mediciones de vibraciones in situ. La frecuencia fundamental del sistema fue de 2.9 Hz. [4]

La evaluación experimental consistió en la colocación de acelerómetros y un transductor del tipo sísmico en las zonas críticas del puente, y se efectuaron mediciones de frecuencias y amortiguamiento estructural, obteniéndose las amplitudes y las frecuencias predominantes (FFT,

Transformada Rápida de Fourier) en la dirección considerada como Z (vertical).

A efecto de evaluar el comportamiento con el tránsito, se procedió a permitir la normal circulación de vehículos en las dos direcciones, pero a su vez se tomaron mediciones en correspondencia con el transitar de un camión de la Municipalidad de Olavarría, con una carga de aproximadamente 10 t de arena, haciéndolo circular a velocidades de 20 y 60 km/hora.

El análisis de los datos aportados por los estudios numéricos y experimentales permitió indicar que el puente se encontraba en una zona de trabajo estructural crítica. Es por ello que el puente está sometido a aceleraciones y ciclos de cargas y descargas que había que atenuar y controlar. Las mediciones vibratorias varían con la velocidad de circulación y el peso de los vehículos que transitan.

Figura 8. Modelo de Análisis

Figura 9. Tránsito vehicular normal sobre el puente, año 2010

Las amplitudes vibratorias obtenidas sobre y debajo de la fisura del estribo norte, como así también del estribo sur en momentos de circulación del camión y tránsito normal, resultaron normales.

Lo señalado precedentemente permitió indicar que el puente analizado presenta, por un lado, un comportamiento flexible de la superestructura para las condiciones actuales de cargas y velocidades del tránsito. Por otro lado, existe una transmisión de las vibraciones, por efecto del tránsito, a la infraestructura que se amplifica para condiciones de tránsito con altas velocidades y cargas, por lo cual se indicaron, en el segundo informe entregado al Municipio.

segundo monitoreo durante el año 2010:

En 2010, la inspección visual exhaustiva se complementó con la medición de frecuencias y amortiguamiento estructural. Al tener el antecedente del estudio anterior y el diagnóstico del comporta-

miento del puente con la circulación vehicular, las mediciones efectuadas se centraron en los puntos considerados estratégicos, cuyas mediciones habían resultado más desfavorables.

En esta oportunidad se observó un incremento de tránsito vehicular en condiciones normales, así como también en el porte de los vehículos que transitaban. Únicamente se registraron mediciones acordes a los niveles permitidos de amplitudes vibratorias cuando circulaban vehículos livianos que no superaban una velocidad de circulación de 40 km/h. Por ello es que, en el informe que fue entregado al Municipio, se recomendó evitar la circulación de tránsito pesado y controlar velocidades.

Respecto a la medición del amortiguamiento y de las frecuencias vibratorias, se confirmó que el comportamiento estructural de puente continuaba dentro de la zona crítica, alertándose a las autoridades acerca de la importancia de efectuar un proyecto de rigidización de la estructura y de concretar su ejecución.

tercer monitoreo durante el año 2016:

Se convocó al equipo de especialistas de la UNICEN a efectuar el siguiente monitoreo recién en el año 2016. Durante el lapso de tiempo entre ambos estudios, desde el Municipio se trabajó en poder mejorar el comportamiento estructural y reducir las amplitudes vibratorias. Fueron varias las soluciones propuestas y ejecutadas. Se implementaron medidas como la instalación de semáforos, limitadores de altura, control en el lugar por parte de la policía de tránsito y sistemas de multas, y se evaluó su efectividad tomando como parámetro la respuesta de la población frente a estas acciones. Además, con el propósito de reducir el ancho de los carriles de circulación sobre el puente, se ejecutó sobre su eje central un separador de carriles, como se observa en la Figura 10, materializado sus límites con cordones de hormigón armado y relleno de tierra negra en su interior. Su proyecto estuvo fundamentado en estudios internacionales, los que demostraron una correlación entre aumento de la velocidad de circulación de los vehículos cuanto mayor es el ancho de la calzada.

La incorporación de este separador permitió aumentar ligeramente la rigidez estructural del puente, lo que conduce a un ligero incremento de la frecuencia fundamental de vibración, que ha pasado de 3 Hz en 2010 a 3,2 Hz en 2016. El amortiguamiento, que es la disminución de la amplitud de la vibración en el tiempo, aumentó en un orden de magnitud, desde 0,6% (2010) al 6,9% (2016). Por todo esto es que se afirma que esta sencilla intervención fue de significativa importancia, traduciéndose en el aumento significativo del amortigua-

miento del puente y, por ende, en la disminución en la percepción de vibraciones por parte de quienes lo transitan, en particular, los peatones. En lo que respecta a la inspección visual efectuada, se observó el buen estado del estribo que presentaba una fisura que fue reparada, y la aparición de una nueva fisura en el otro estribo, recomendándose en este informe la forma de reparación de la misma.

Cuarto monitoreo durante el año 2021:

Nuevamente se midieron las amplitudes vibratorias de la estructura bajo diferentes condiciones de circulación vehicular para su posterior análisis y comparación con normas y criterios utilizados a nivel internacional. Los resultados obtenidos permiten afirmar que el amortiguamiento del puente y la frecuencia fundamental de vibración se han mantenido respecto al año 2016. Lo observado permite indicar que su comportamiento, según los registros obtenidos, sigue siendo crítico para tránsito pesado y velocidades elevadas. Las mediciones efectuadas para tránsito de vehículos livianos circulando a velocidades permitidas arrojaron valores dentro de los límites de seguridad.

Figura 10. Delimitador de carriles

ComparaCión de los resultados obtenidos

A continuación, se presenta una tabla con los datos más relevantes de las distintas mediciones realizadas, los resultados obtenidos, y las recomendacio-

Frecuencia fundamental experimental

Frecuencia fundamental obtenida en análisis numérico

Amortiguamiento (ξ)

Velocidad vibratoria máx. global con camión cargado con 10 tn, a velocidad de 60 Km/h (mm/s RMS)

Velocidad vibratoria máx. para condiciones de tránsito normal (mm/s RMS)

Velocidad vibratoria máx. para tránsito liviano (mm/s RMS)

Límite de velocidad RMS

nes efectuadas. Además, se comparan con los criterios límites antes mencionados (ISO, DIN). El nivel de aceleraciones para no generar daño deberá ser inferior a 0,1 m/s2 y el nivel de velocidades vibratorias no debería superar 10 mm/s, rms.

Tabla 1. Comparación de resultados 10 mm/s 2,9 Hz

Las mediciones de frecuencias indican que el puente posee una marcada flexibilidad y como consecuencia de ello, se producen notorias vibraciones de la superestructura, que son transmitidas a los estribos y pilas del puente. Este comportamiento se asocia al estado de fisuración observado en los monitoreos: un avance en la fisuración se refleja en las mediciones de frecuencia con una disminución de la rigidez original, dando por resultado una mayor flexibilidad de la estructura y, consecuentemente, una mayor vulnerabilidad a las acciones dinámicas.

De la contrastación de los resultados se visualiza una dependencia de las velocidades vibratorias con las condiciones del tránsito en lo relativo a velocidad y carga de la circulación vehicular.

De los registros correspondientes a las mediciones de frecuencia sobre el tablero, la estructura del puente presenta registros de vibraciones en zona no

admisibles según los criterios empleados, para tránsito de camiones, o sea vehículos de porte pesado. Esta circunstancia reafirma la necesidad de restringir el tipo de tránsito de acuerdo a la recomendación oportunamente efectuada.

Cabe destacar que, en todos los ensayos efectuados, en los que se respetó la metodología empleada inicialmente respecto al tipo de camión, su carga y su velocidad de circulación, la variación en la circulación vehicular considerada normal muestra la mejora del comportamiento estructural al evitar que transiten vehículos pesados y mantener una velocidad del transito por debajo de 40 km/h.

La otra posibilidad que se está analizando actualmente, son posibles soluciones para dotar al puente de la rigidez suficiente con el objetivo de obtener un comportamiento estructural adecuado, restituyendo la capacidad portante del puente y posibilitando su uso sin limitaciones de cargas y velocidad de tránsito.

ConClusiones

En nuestro país, y en particular en nuestra región, se desarrollan escasas tareas de inspección y de mantenimiento durante el período de utilización de las estructuras de los puentes. En el estado actual y dadas las problemáticas detectadas en varias estructuras de puentes son necesarias y justificadas las tareas de monitoreo con periodicidad para los puentes existentes en servicio.

El caso que se presenta, es un claro ejemplo de cómo la intervención a tiempo, a partir de la evaluación integral de la estructura efectuada por especialistas, identificando tanto el problema como la técnica adecuada a emplear para evaluar y monitorear el comportamiento global, es fundamental para preservar y alargar la vida útil, con un bajo costo de mantenimiento.

Las técnicas dinámicas no destructivas, en particular la medición de vibraciones, es una vía complementaria para evaluar el comportamiento estructural, actualmente sugerida en los códigos internacionales. Estas mismas fuentes plantean criterios para establecer el orden de afectación del comportamiento adecuado de la estructura, a partir de las mediciones experimentales “in situ”. [5] En el caso particular presentado en este trabajo, del monitoreo efectuado a posteriori de las primeras reparaciones indicadas, surgen mejoras en el comportamiento en la zona de los estribos.

La regulación del monitoreo y evaluación periódica de estructuras, en particular las correspondientes a puentes, está siendo considerada como una necesidad en Argentina, dada la importante cantidad de estructuras que están llegando al final de su vida útil de diseño, y permanecen aún en estado de servicio.

La ausencia de normativa que regule el monitoreo y diagnóstico de estructuras se sustituye con la utilización de protocolos que ya están siendo empleados a nivel internacional, los que han permitido establecer diagnósticos y efectuar recomendaciones, entre ellas la necesidad de monitoreos

continuos en ciertos casos, a partir de las cuales los organismos tomen decisiones. Sin embargo, actualmente la decisión de invertir en la salud de las estructuras depende de la voluntad política del gobierno de turno.

Es importante la difusión de este tipo de actividades en el marco de convenios entre dos instituciones públicas, que permite poner en práctica posteriormente tareas de mantenimiento de las estructuras. Estas tareas redundan en beneficio de las prestaciones de los puentes, de la vida útil de los mismos y fundamentalmente de las personas usuarias de los mismos.

referenCias

1. Peralta, M.; Ercoli, N.; Pico, L.; La Malfa, S. Utilización de Técnicas Experimentales Dinámicas en la Evaluación de Estructuras. 8º EIPAC, Encuentro de Investigadores y Profesionales Argentinos de la Construcción, Mendoza, Argentina. 2009.

2. Richart F. E., Hall, J. R. y Woods, R. D. (1970). Vibrations of soils and foundations. Prentice Hall.

3. Peralta, M. and Ercoli, N. Measuring the Dynamic Properties to Detect Structural Damage. IV International ACI/CANMET. Conference of Quality of Concrete Structures and Recent Advances in Concrete Materials and Testing. Olinda, Pernambuco State. Brazil. Sesion VII Non Destructive Test. pp. 463- 475. 2005.

4. Pico, L. O., Peralta, M. H., Luján Ercoli, N., & La Malfa, S. (2011). Análisis numérico y experimental de puentes de hormigón de diferentes tipologías. Revista Cubana De Ingeniería, 2(1).

5. Peralta, M.; Ercoli, N.; Pico, L.; Bacchiarello, R.; La Malfa, S.; Correa, L. Análisis Numérico y Experimental de Vibraciones para la Evaluación del Comportamiento de un Puente. Mecánica Computacional, Vol. XXVII, pp. 2033- 2052. 2008. _

Por Bisogno Eyler, Sabrina1 y Montanaro, María Inés2

1Ingeniera civil, 2Magíster en ingeniería estructural.

1, 2 Facultad de Ingeniería, Universidad Nacional del Centro de la provincia de Buenos Aires. mariainesmontanaro@ gmail.com

revisión de aspeCtos estruCturales de las uniones Cubierta – mampostería

En el centro de la provincia de Buenos Aires, en los últimos años se han producido voladuras de techos completos de viviendas durante temporales. Un denominador común es la falla en la unión de la correa a la mampostería. No es tan frecuente la falla de los elementos de fijación de chapas o la flexión de las correas. En esos eventos las velocidades de viento eran altas, pero menores a las reglamentarias. La falla de la unión correa – mampostería en situaciones de tormentas o vientos fuertes causa daños económicos importantes a las viviendas. Si bien estas conexiones se materializan de distintas formas en viviendas y otros edificios, no siempre se realizan cálculos de la resistencia de la unión para las cargas de succión en las etapas de construcción y uso. La presente publicación recopila artículos sobre el tema, que abarcan estudios sobre velocidades de viento, tipos de uniones, especificaciones reglamentarias, modificaciones de Códigos internacionales, así como requisitos técnicos en licitaciones y aspectos de diseño y constructivos en Argentina, con el fin de definir cuáles son los métodos actuales más seguros y proponer alternativas de mejora.

introduCCión

Las conexiones adecuadas entre techo y pared juegan un papel fundamental para mitigar el daño estructural durante vientos fuertes al proporcionar una ruta de transferencia de carga continua desde el techo hasta los cimientos (Alhawamdeh & Shao, 2020). Cualquier discontinuidad en esta trayectoria de carga afecta el desempeño estructural y posteriormente reduce la resistencia frente a cargas de viento. Además, pueden provocar la propagación del daño a otros componentes estructurales y aumentar la probabilidad de falla total del sistema estructural (Shanmugam et al., 2009). Esto implica un gran riesgo, sumado a daños económicos importantes, generados no sólo por la necesidad de reconstruir la cubierta, sino pérdidas de muebles, electrodomésticos, etc. por la acción del viento y de la lluvia, además del desalojo transitorio. En el centro de la provincia de Buenos Aires, en los últimos años se han producido voladuras de techos completos de viviendas durante temporales. Un denominador común es la falla en la unión de la correa a la mampostería. No es tan frecuente la falla de los elementos de fijación de chapas o la flexión de las correas. En esos eventos las velocidades de viento fueron altas, pero menores a las establecidas en el reglamento CIRSOC 102/2005. Dentro de los siniestros de cubiertas relevados, uno en particular corresponde a una obra en construcción en la que se había colocado el techo, pero no las aberturas. En los últimos años es habitual colocar puertas y ventanas luego de realizar los revoques, casi al finalizar la obra. Es decir, edificios que son proyectados como cerrados, durante la etapa de construcción son parcialmente cerrados, por lo que las cargas de viento reales son distintas. Si la vivienda hubiera estado finalizada, segura-

las conexiones adecuadas entre techo y pared juegan un papel fundamental para mitigar el daño estructural durante vientos fuertes al proporcionar una ruta de transferencia de carga continua desde el techo hasta los cimientos.

mente durante el temporal las ventanas hubieran estado cerradas y el edificio no hubiera sufrido esa carga de succión.

Las estructuras de las cubiertas de viviendas y otros edificios que sufrieron daños son en algunos casos de madera y en otros, de perfiles conformados en frío. Si bien las conexiones de éstas a las paredes se materializan de distintas formas, no siempre se realizan cálculos de la resistencia de la unión para las cargas de succión en las etapas de construcción y uso.

El objetivo de la presente publicación es poner en discusión la necesidad de investigar el tema para definir cuáles son los métodos actuales más seguros y proponer alternativas de mejora para reforzar las construcciones existentes y asegurar la resistencia de las uniones cubierta – mampostería en construcciones futuras. Para ello, se recopilan artículos que abarcan estudios sobre velocidades de viento, tipos de uniones, especificaciones reglamentarias, modificaciones de Códigos internacionales, así como requisitos técnicos en licitaciones y aspectos de diseño y constructivos en Argentina.

eventos en el Centro de la provinCia de buenos aires

Los eventos que produjeron voladuras de techos completos en Olavarría entre los años 2017 a 2020 fueron relevados en la publicación “Análisis de daños en cubiertas por acción del viento en Olavarría¨ (Montanaro & Bisogno Eyler, 2021), anteriormente presentada. En ese periodo se produjeron cuatro eventos climáticos en la ciudad, durante los que ocurrieron en total veinticinco voladuras de techos. Es importante destacar que los daños en las cubiertas incluyeron las chapas y las correas en casi la totalidad de los siniestros, tanto en los

loCalidades

Azul y Tapalqué1

Bolívar2

Lamadrid y Laprida3

Tandil4

Saladillo, 25 de mayo y 9 de Julio5

REFERENCIAS

feCha

08/09/2021 21/12/2021

04/02/2020

09/09/2021

08/08/2021

casos en que las correas eran de madera como cuando eran perfiles de chapa doblada. Es decir, no sólo se debe poner atención en el clavado de las chapas, si no en la falla de la unión entre la correa y la mampostería.

En la Tabla 1 se resume el relevamiento de las voladuras de techos ocurridas en otros partidos del centro de la provincia de Buenos Aires durante los últimos años. En la Figura 1 se pueden ver daños en una cubierta de la ciudad de Azul en septiembre de 2021, donde se observa claramente que la falla se produjo en la unión de la correa a los muros. En la Figura 2 se observan los restos de una cubierta en Saladillo tras el temporal de agosto de 2021.

prinCipales daÑos

Azul. voladura del techo de tribunas y oficinas del hipódromo.

Tapalqué: dos voladuras de techos (un domicilio local y una obra en construcción).

20 voladuras de techos

Voladuras de techos

35 voladuras de techos

60 voladuras de techos

1 https://infocielo.com/temporal/temporal-provoco-danos-azul-y-tapalque-n719967

1. Eventos en localidades de la región

2 https://www.todoprovincial.com/videos-bolivar-peor-tormenta-sufrio-20-voladuras-techos/

3 https://www.elpopular.com.ar/nota/-472590/2020/02/la-madrid--fotos-y-videos-del-fuerte-temporal

4 https://www.0223.com.ar/nota/2021-9-9-13-4-0-en-tandil-el-temporal-dano-decenas-de-viviendas-ydos-familias-debieron-ser-evacuadas

5 https://www.verte.tv/noticias/21953-UN-FUERTE-TEMPORAL-DE-VIENTO-Y-GRANIZO-AZOTO-A-SALADILLO

Tabla
Figura 1.
Daños en una cubierta en la ciudad de Azul
Figura 2.
Daños en una cubierta en la ciudad de Saladillo

espeCifiCaCiones ConstruCtivas

Se relevaron diferentes pliegos de licitaciones y publicaciones con el objeto de recopilar especificaciones técnicas y recomendaciones para la materialización de los apoyos de vigas o tirantes sobre mampostería. En varios casos nacionales sólo se requiere la verificación estructural de la correa de acuerdo al CIRSOC vigente.

Los lineamientos para la verificación de las correas de techos se encuentran en el CIRSOC 601 “Reglamento argentino de estructuras de madera” para las correas de madera y en el reglamento CIRSOC 303 “Reglamento argentino de elementos estructurales de acero de sección abierta conformados en frío” para correas de perfiles C de chapa doblada. (Montanaro & Bisogno Eyler, 2021).

En el CIRSOC 303, el punto E.6 abarca los lineamientos para los apoyos. Sólo menciona que se deben tomar los recaudos necesarios para transferir las reacciones, pero no proporciona bases para el cálculo.

El Reglamento CIRSOC 601, en el punto 3.6. “Tensiones transmitidas en los apoyos” hace referencia principalmente a las tensiones generadas en la madera y no a la unión con otros materiales. Se citan a continuación algunos fragmentos de especificaciones técnicas particulares o recomendaciones:

• Las correas irán empotradas en la mampostería, mínimo 10 cm, y se recubrirán con papel kraft. Las

Dado, 2 Fe de 6 mm de diámetro superiores, 3 Fe de 10 mm de diámetro inferiores. Estribos: 1 Fe de 6 mm de diámetro cada 20 cm. Largo de 30 cm. Recubrimiento de armadura de 2,5 cm.

3.

de dado colocado en el apoyo de

mismas irán sujetas al cordón superior de las vigas reticuladas por medio de un cordón de soldadura.6

• Detalle de dado para colocar en la base de apoyo de la correa (Ver Figura 3).

• La estructura del techo se completa con vigas con la distribución y pendiente que se detalla en proyecto, construida con 2 perfiles de chapa de 200 x 3,2 soldados. […] Esta estructura será fijada a muro soldando el vínculo dejado previamente hormigonado en encadenado superior.7

• La estructura indicada es de perfil C de chapa de 2 mm de espesor, con tratamiento galvanizado en su superficie y una altura de 100 mm. Con la disposición que figura en el proyecto, los mismos se fijarán a viga transversal mediante 2 bulones de ½” y a muro mediante doble rienda de alambre galvanizado Nº9, el otro extremo de la rienda, se fijará a gancho tomado al momento de realizar el encadenado perimetral para este fin.8

6 DIRECCIÓN DE INFRAESTRUCTURA, MINISTERIO DE EDUCACIÓN DE LA PROVINCIA DE CORRIENTES - Escuela Secundaria – Barrio La Estación - Ubicación: Saladas –Provincia de Corrientes

7 PLIEGO DE ESPECIFICACIONES TÉCNICAS PARTICULARES (PETP) ESCUELA NORMAL SUPERIOR N° 35 “J.M. GUTIERREZ” DIRECCIÓN: Av. Córdoba 2084 LOCALIDAD: Rosario

DEPARTAMENTO: Rosario

8 PLIEGO DE ESPECIFICACIONES TÉCNICAS PARTICULARES (PETP) ESCUELA DE EDUCACIÓN PRIMARIA N° 435 “JUAN BAUTISTA ALBERDI” DIRECCIÓN: Nicasio Oroño

2237 LOCALIDAD: San Javier – Santa Fe.

Figura
Detalle
cada correa

•Como estructura resistente se colocarán cabios o tirantes de 2”x6” cada 0.60 m. preferentemente (repartir diferencia según distancia), los que serán amurados a las paredes laterales, de manera de generar la pendiente del 5% de la cubierta.9

•Los perfiles que conforman las vigas cajón deberán soldarse en la totalidad de la longitud de contacto entre perfiles. […] El apoyo sobre dados, encadenados, vigas o columnas deberá materializarse mediante el soldado de la Viga a una armadura en espera (pelos) compuesta por 4 hierros diámetro mínimo 10 mm o bien por medio de placas de anclaje colocadas con antelación al montaje de estas vigas.10

referencias internacionales:

•La empresa e-STRUC recomienda en su página web para el apoyo de una viga de acero en un muro, que un poco de mortero en el dado de apoyo no garantiza que la tensión admisible sea mayor que la de la carga del perfil. Se debe colocar una chapa de acero, porque al soldar la viga a esa chapa se reparte en todo el ancho del muro la carga concentrada en el ala. Para la fijación de la chapa en el dado sugiere colocar hierros redondos soldados para asegurar que no haya deslizamiento de la chapa sobre el hormigón.11

•La empresa La Urbana, en el sitio web Arquitectura y Rehabilitación12, propone dejar un hueco holgado en el muro, que además facilita la

sustitución de las vigas. En el caso de vigas o tirantes de madera, los extremos deben estar ventilados para que no tengan humedad, para lo que recomienda dejar una cámara de unos 15 mm. Además, plantea que las vigas de madera normalmente están diseñadas para trabajar con apoyos isostáticos, y al amurarlas con mortero se le otorga cierto grado de hiperestaticidad que puede producir alguna patología. Por otra parte, para prevenir la humedad por capilaridad del muro sugiere disponer algún elemento de transición entre la viga y el muro.

También, para el caso en que es necesario reemplazar los tirantes y la nueva posición no coincide con el hueco existente, sugieren que es conveniente disponer algún elemento metálico donde apoye la viga, por ejemplo, un perfil laminado en L del ancho de la viga anclado al muro, o un perfil a lo largo del muro donde apoyen todas las vigas. Aclaran que se requiere un cálculo detallado y una evaluación del estado del muro.

Es importante aclarar que las especificaciones y recomendaciones anteriores se plantean en el marco de licitaciones o trabajos de cierta envergadura. Sin embargo, no constituyen una práctica frecuente en la construcción de viviendas y edificios menores. En éstas, muchas veces no interviene un profesional que proyecta y dirige la obra, y además, la mano de obra puede no estar debidamente capacitada, ya sea el caso de albañiles contratados, o de autoconstrucción de viviendas.

9 Refacción y ampliación en Estación Policía Comunal Villarino Segunda. Establecimiento/ Ubicación: Calle 3, entre calle 22 y calle 24. Localidad: Pedro Luro. Distrito: Villarino

10 Pliego de especificaciones técnicas generales, Ministerio de Educación de Santa Fe - 2018

11 https://e-struc.com/2016/09/13/apoyo-una-viga-acero-muro/

12 https://arquitecturayrehabilitacion.wordpress.com/2012/03/14/apoyo-de-vigas-de-madera-en-muros-de-carga/

estudio del problema en otros paises

Se analizan en esta sección antecedentes internacionales, por un lado, relacionados a la actualización de las normativas debidas a las consecuencias que distintos sucesos climáticos provocaron en el comportamiento de las estructuras y, por otro, a investigaciones experimentales sobre la unión cubierta – pared.

respuesta de las estructuras

Estados Unidos y Canadá son países donde los tornados han causado daños residenciales importantes, con grandes impactos económicos y sobre la seguridad de los habitantes. Esto ha impulsado una revisión de los códigos de construcción. y numerosos artículos sobre el tema.

Según informes recientes pertenecientes a la observación de daños resultantes de huracanes en Estados Unidos, las fallas inducidas por el levantamiento del techo contribuyeron significativamente a las fallas totales que afectaron principalmente a barrios residenciales con edificios de baja altura.

(Feng et al., 2020)

En Canadá, el Institute for Catastrophic Loss Reduction, Western University y Institute for Catastrophic Loss Reduction redactaron un documento para el aumento de la seguridad en viviendas bajo cargas de vientos (Sandik et al., 2019). Éste proporciona la base de requisitos y nuevas propuestas de modificación de las viviendas para la reducción del riesgo bajo cargas de viento y está destinado a:

• Propietarios, particularmente aquellos que están en proceso de comprar o construir una nueva casa, o que están realizando cambios/renovaciones estructurales significativos en viviendas existentes,

• Instituciones públicas, fabricantes y proveedores de componentes, agencias de desarrollo de códigos, asociaciones de constructores y profesionales afines.

• Instituciones públicas asociadas con vientos fuertes y condiciones climáticas extremas en general. Particularmente sobre la unión techo-pared, remarca que la mayoría de las fallas comienzan allí y recomienda calcular esa unión con una fuerza de succión de 3 kN.

En Puerto Rico, hay estudios (Lochhead et al., 2022) que analizan la respuesta de cuatro modelos de viviendas informales encontradas en el país.

Figura 4. Manual de Detalles Estructurales – Tricalc 13.0

Llaman viviendas informales a aquellas en cuyo proyecto y construcción no interviene un profesional, sino que son levantadas por constructores. En la evaluación a vientos estáticos se llegó a la conclusión de que la mayor vulnerabilidad es provocada por el ineficiente clavado de la cubierta y por la pérdida del techo en la unión correa – vigas o en la unión vigas - mampostería. (Song et al., 2020) analizan las construcciones en Filipinas. Esta región suele estar azotada por tifones y a su vez posee viviendas informales, en las que los autores afirman que la parte más vulnerable es el techo. Proponen una metodología para evaluar el riesgo para diferentes velocidades del viento y la aplican a estudios de campo, utilizando un enfoque probabilístico y conceptos de confiabilidad estructural. Estos estudios sirven como base para planificar medidas de reparación o refuerzos.

estudios experimentales

En la Instalación Experimental (EF) Wall of Wind (WOW) de NSF-Infraestructura de Investigación de Ingeniería de Riesgos Naturales (NHERI) de Estados Unidos se realizó un extenso estudio de prueba aerodinámica a gran escala para investigar las acciones del viento resultantes de un huracán simulado sobre las conexiones de techo a pared en edificios de poca altura de madera (Feng et al., 2020).

Para este estudio se adoptó un edificio con techo a dos aguas de madera de una escala de gran longitud 1:4. Se usaron siete cerchas para construir el techo y se conectaron a la placa superior de las paredes laterales. Las celdas de carga se montaron en el nivel de conexión de techo a pared (RTWC) para medir las fuerzas netas efectivas inducidas por el viento.

El modelo fue probado bajo diferentes direcciones de viento que variaban de 0 a 360° con un incremento de 5° bajo diferentes velocidades de viento. Además, se consideraron tres configuraciones diferentes, una cerrada y dos parcialmente cerradas, para evaluar distintos escenarios de presión interna que afectan la carga neta en las conexiones de techo a pared y el sistema de techo en general. Se obtuvo la distribución de los coeficientes de

fuerza a lo largo de toda la cubierta. Los resultados se compararon con los coeficientes de fuerza recomendados por la versión ASCE 7-16 para los casos Sistema principal resistente a la fuerza del viento y Componente y revestimiento. Los resultados experimentales estuvieron entre los valores basados en las disposiciones de ASCE en general. Sin embargo, para el caso parcialmente cerrado, algunos valores los excedieron ligeramente. Además, se encontró que la elevación general en el techo dependía de la ubicación de la abertura (es decir, la abertura en el lado largo frente al lado corto del edificio).

En el reglamento CIRSOC 102/2005 la clasificación de los edificios en abierto, cerrado o parcialmente cerrado no tiene en cuenta la posición de la abertura en el lado más largo o más corto del edificio, sino la relación entre el área de aberturas en una pared que recibe presión externa positiva respecto a la suma de las áreas de aberturas en la envolvente del edificio y respecto al área total de la pared a la que está asociada.

(Alhawamdeh & Shao, 2020) propusieron una conexión de techo a pared no intrusiva para la construcción de marcos livianos de madera utilizando adhesivos elastoméricos: poliuretano y poliéster. Los adhesivos no dañaron los sustratos y no concentraron la tensión en puntos localizados, lo que aumentó la resistencia al levantamiento al distribuir la carga en un área de contacto más grande. Los resultados de las pruebas mostraron que las conexiones con adhesivos aumentaron la resistencia a cargas de succión. La ductilidad de las conexiones se mejoró mediante la aplicación de poliéster en lugar de poliuretano. Algunos materiales adhesivos también previenen la humedad y las fugas de aire. Es importante tener en cuenta la resistencia de cada tipo de adhesivo y que la aplicación sea correcta.

Concluyeron además que es necesaria mayor investigación para evaluar la resistencia a la fatiga, el comportamiento de durabilidad y las condiciones de aplicabilidad en el método de construcción de conexión de techo propuesto usando adhesivos. (Sivapathasundaram & Mahendran, 2018) estudiaron las fallas de las conexiones de perfiles de acero de paredes delgadas a las vigas durante eventos

recientes de vientos extremos y observaron tracción localizada en las alas inferiores. Llevaron a cabo un extenso estudio de investigación para analizar esta falla de conexión local, y desarrollaron métodos de prueba y diseño adecuados para determinar con precisión las capacidades de diseño de los perfiles del techo. El estudio mostró que es poco probable que la optimización de la geometría del perfil aumente la capacidad de tracción de las conexiones a las vigas porque dependen esencialmente del diámetro de la cabeza del tornillo, del espesor del perfil y de la resistencia máxima a la tracción del acero. Propusieron un método de refuerzo que consiste en usar tramos de perfiles de techo de 150 mm de largo como soportes en las conexiones del perfil de techo a la viga o armadura. Este método mejoraría el desempeño bajo cargas elevadas de viento. (Myuran et al., 2018) investigaron el efecto de la tasa de carga sobre las fallas estáticas y por fatiga de las conexiones entre correas y vigas de techo de acero conformado en frío. Usaron 112 pruebas estáticas de baja y alta velocidad, de amplitud constante y de extracción cíclica multinivel (bajo – alto – bajo). Además, también realizaron 40 pruebas de probetas de tracción dinámica y cuasiestática a una tasa de carga de 1 a 300 mm/min para investigar la influencia de la tasa de carga en la resistencia última a la tracción de los aceros conformados en frío. Todas las pruebas se realizaron para aceros de dos grados y de dos espesores. Concluyeron que la variación de la velocidad de carga influye en la capacidad a tracción estática y a fatiga de las conexiones entre las correas y la viga del techo. El nivel de influencia parece depender del tipo de modo de falla. Proponen una frecuencia de carga de 1 Hz para las pruebas cíclicas, considerando el caso crítico. Y utilizan un modelo de material de Johnson-Cook con parámetros de velocidad de deformación adecuados para aceros conformados en frío, para determinar

los factores de aumento dinámico de resistencias máximas a la tracción.

práCtiCas ConstruCtivas unión teCho - pared en olavarría

En la ciudad de Olavarría, algunos constructores solo amuran las correas de techo a la pared con mortero. Si se quiere calcular la carga máxima que puede soportar la unión, se debe calcular la tensión de corte entre el perfil y el hormigón o mortero. Se presenta un análisis de la unión correa – mampostería de un edificio de planta baja y primer piso en Olavarría. La correa apoya en tres sectores, en la Figura 5 se observa la unión de la correa a la pared del frente del edificio, en la Figura 6 se detalla el apoyo intermedio y en la Figura 7, el encuentro del perfil con la pared medianera. Como se puede apreciar, la materialización de estos tres apoyos es diferente, en consecuencia, la resistencia a la succión en los tres casos va a variar.

Figura 5.
Unión correa – pared sobre línea municipal

La unión entre placas lisas de acero y hormigón principalmente depende de la adhesión química y la fricción, pues el enclavamiento mecánico debido a la rugosidad superficial de la placa es pequeño. Los autores proponen una expresión de la tensión de corte en función de la resistencia a compresión del hormigón.

La carga máxima transferible para el hormigón es:

Si aplicamos esta expresión a un perfil C embebido en un mortero equiparable a un hormigón de baja calidad con una tensión de fluencia de 7,5 MPa, la tensión de corte en ese caso tiene un valor de 0.32 MPa. Para el caso de un C100, si se considera que el área de contacto son los dos laterales del alma del perfil y un largo de apoyo de 10 cm, la carga máxima transferible al hormigón es de 650 kgf. Esta carga sería la que se puede llegar a transmitir como máximo en el caso del apoyo de la Figura 6, que muestra la unión correa – pared central. Como se puede observar, no siempre la aplicación del mortero cubre toda la altura del alma, por lo que la transmisión puede ser bastante menor. Para el caso del apoyo sobre la pared del frente (Figura 5), el área de contacto se reduce notablemente. Se considera sólo el tercio inferior de la altura del alma del perfil. Entonces, en este caso resulta una carga transferible de 195 kgf como máximo. En el apoyo de la correa en la pared medianera, (Figura 7) la resistencia a la succión será mayor que en los dos casos anteriores, ya que las filas de mampostería superiores producen una carga en el sentido opuesto, por lo que, para que las correas se desprendieran, deberían quebrarse o doblarse de modo tal que se deslizaran.

Figura 6.

Apoyo intermedio de correa

Figura 7.

Apoyo de correa en medianera

Si se considera la correa como una viga continua, solicitada a una carga de viento de succión para una velocidad básica de 51 m/s y la carga de peso propio, ambas sin mayorar (no se contempla Lr), las reacciones en los apoyos extremos resultan de 261 kgf, mientras que la reacción en el apoyo central es de 871 kgf.

Entonces, la resistencia aportada por la adherencia del mortero no es suficiente y no debería ser el único medio de unión entre la correa y la pared.

es necesario continuar investigando para definir cuáles son los métodos actuales más seguros y proponer alternativas de mejora que puedan aplicarse en las obras, tanto para reforzar estructuras existentes como para implementar en los nuevos edificios.

ConClusiones

Esta publicación intenta poner en discusión la importancia de la correcta unión entre las correas de cubierta y la mampostería. En el centro de la provincia de Buenos Aires, en los últimos años se han producido voladuras de techos completos de viviendas durante temporales en los que, si bien las velocidades de viento fueron altas, eran menores a las reglamentarias.

Se recopilaron artículos sobre el tema, que abarcan estudios sobre velocidades de viento, tipos de uniones, especificaciones reglamentarias, modificaciones de Códigos internacionales, así como requisitos técnicos en licitaciones y aspectos de diseño y constructivos en Argentina y otros países.

En algunos pliegos de licitaciones o en proyectos de cierta envergadura, suele quedar especificado cómo debe materializarse la unión correa – mampostería para lograr una adecuada transmisión de carga, aunque no se exige un cálculo ni está especificado en los reglamentos cómo debe efectuarse. Sin embargo, en viviendas y otros edificios no es frecuente que esté especificado en el proyecto cómo hacer la unión. Además, muchas veces en la construcción no interviene un profesional. Es necesario continuar investigando con el fin de definir cuáles son los métodos actuales más seguros y proponer alternativas de mejora que puedan aplicarse en las obras, tanto para reforzar estructuras existentes como para implementar en los nuevos edificios. Este problema está siendo estudiado en muchas regiones del mundo y promueve la actualización constante de códigos de edificación. Sería importante incluir en los reglamentos CIRSOC bases para el cálculo y diseño de uniones entre cubiertas y mampostería para unificar los criterios y definir un nivel de confiabilidad.

Se necesitan realizar ensayos para obtener un valor de adherencia entre las correas de madera de las especies aprobadas por el CIRSOC 601 y el mortero de cemento con materiales de la zona, por un lado, y entre perfiles y morteros, por otro. En base a esto, se buscaría luego definir una expresión para calcular la transferencia de carga.

Los profesionales deben entender y comunicar la importancia de la correcta fijación de las correas para la seguridad estructural, y los constructores y albañiles deben ser capacitados en estos aspectos. En principio y hasta que se cuente con los resultados de las investigaciones planteadas, se pueden implementar las técnicas especificadas en licitaciones o recomendaciones (soldar, atar), con el fin de evitar que la transmisión de carga dependa únicamente de la adherencia del mortero y, en consecuencia, que durante temporales sigan ocurriendo voladuras de techos completos.

referenCias

Alhawamdeh, B., & Shao, X. (2020). Uplift Capacity of Light-Frame Rafter to Top Plates Connections Applied with Elastomeric Construction Adhesives. Journal of Materials in Civil Engineering, 32(5). https://doi.org/10.1061/ (ASCE)MT.1943- 5533.0003152

Bisogno Eyler, S., Montanaro, M.I. (2021). Análisis de daños en cubiertas por acción del viento en Olavarría. CADI/CLADI/CAEDI.

CIRSOC 102 (2015). Reglamento Argentino de acción del viento sobre las construcciones. INTICIRSOC.

CIRSOC 303 (2009) “Reglamento Argentino De Elementos Estructurales De Acero De Sección Abierta Conformados En Frío”.

CIRSOC 601(2016). “Reglamento Argentino de estructuras de madera”.

Feng, C., Gan Chowdhury, A., Elawady, A., Chen, D., Azzi, Z., & Vutukuru, K. S. (2020). Experimental Assessment of Wind Loads on Roofto-Wall Connections for Residential Buildings. Frontiers in Built Environment, 6. https://doi. org/10.3389/fbuil.2020.00010

Lochhead, M., Goldwyn, B., Venable, C., Liel, A. B., & Javernick-Will, A. (2022). Assessment of hurricane wind performance and potential design modifications for informally constructed housing in Puerto Rico. Natural Hazards, 112(2), 1165–1189. https://doi.org/10.1007/s11069-022-05222-0 Majdi, Y., Hsu, C. T. T., & Punurai, S. (2014). Local bond-slip behavior between cold- formed metal and concrete. Engineering Structures, 69, 271–284. https://doi.org/10.1016/j.engstruct.2014.03.025

Myuran, K., Mahendran, M., & Sivapathasundaram, M. (2018). Pull-through capacities of cold-formed steel roof battens considering loading rate sensitivity. Engineering Structures, 177, 459–472. https:// doi.org/10.1016/J.ENGSTRUCT.2018.09.008

Sandink, D., Kopp G., Stevenson, S., Dale, N. (2019) Increasing High Wind Safety for Canadian Homes: A Foundational Document for Low-Rise Residential and Small Buildings, ICLR research paper series – number 62.

Shanmugam, B., Nielson, B. G., & Prevatt, D. O. (2009). Statistical and analytical models for roof components in existing light-framed wood structures. Engineering Structures, 31(11), 2607–2616. https://doi.org/10.1016/j.engstruct.2009.06.009

Sivapathasundaram, M., & Mahendran, M. (2018). Development of Suitable Strengthening Methods for Thin Steel Roof Battens Subject to PullThrough Failures. Journal of Architectural Engineering, 24(2). https://doi.org/10.1061/ (ASCE)AE.1943- 5568.0000302

Song, B., Galasso, C., & Garciano, L. (2020). Wind-uplift fragility analysis of roof sheathing for cultural heritage assets in the Philippines. International Journal of Disaster Risk Reduction, 51, 101753. https://doi.org/10.1016/J. IJDRR.2020.101753

Stevenson, S. A., Kopp, G. A., & El Ansary, A. M. (2020). Prescriptive Design Standards for Resilience of Canadian Housing in High Winds. Frontiers in Built Environment, 6. https://doi. org/10.3389/fbuil.2020.00099._

Por Gracey, Marcos Arias1; Gerbaudo, Carlos Fabián2

1Ingeniero Civil;

2M. Sc. Ingeniero Civil F.C.E.F.yN. Univ. Nac. Córdoba marcos.arias02@gmail.com cgerbaudo@unc.edu.ar

estudio del Comportamiento de vigas de hormigón reforzadas

Con varillas de Compuesto de fibra de vidrio Con polímero

El trabajo técnico presenta los resultados de una investigación sobre el uso de varillas de compuesto de fibra de vidrio reforzada con polímero (GFRP) utilizadas para el refuerzo de vigas y estructuras de hormigón. En particular, el estudio comprende el comportamiento de vigas reforzadas longitudinalmente a tracción con varillas de GFRP.

En primer término, se presenta una revisión de las características físicas y mecánicas de las barras GRFP utilizadas para el refuerzo de estructuras de hormigón, resaltando sus propiedades, aptitudes y ventajas comparativas.

En segundo término, se realiza un resumen del diseño seccional a flexión y corte en estado límite último y la verificación de los estados límites de servicio. Adicionalmente, se desarrolla un ejemplo de aplicación del diseño de una viga reforzada con barras de GFRP sometida a flexión y corte.

Finalmente, se presentan los resultados de los ensayos experimentales de dos vigas de hormigón reforzadas a flexión con varillas de GFRP realizados en el Laboratorio de Estructuras de la F.C.E.F.yN. de la Universidad Nacional de Córdoba, y a la luz de los resultados obtenidos, se formulan una serie de conclusiones y recomendaciones respecto al diseño y comportamiento de vigas de hormigón reforzadas con GFRP.

introduCCión

En este trabajo se presentan los resultados de una investigación sobre el uso de varillas de compuesto de fibra de vidrio reforzada con polímero (GFRP) utilizadas para el refuerzo de vigas y estructuras de hormigón. En particular, el estudio comprende el comportamiento de vigas reforzadas longitudinalmente a tracción con varillas de GFRP.

En primer término, se presenta una revisión del estado actual del conocimiento sobre la utilización de materiales compuestos para el refuerzo de estructuras de hormigón, resaltando sus propiedades, aptitudes y ventajas comparativas.

En segundo término, se realiza un resumen del diseño seccional a flexión y corte en estado límite último y la verificación de los estados límites de servicio. Adicionalmente, se desarrolla un ejemplo de aplicación del diseño de una viga reforzada con barras GFRP sometida a flexión y corte. Finalmente, se presentan los resultados de los ensayos experimentales de dos vigas de hormigón reforzadas a flexión con varillas GFRP realizados en el Laboratorio de Estructuras de la F.C.E.F.yN. de la Universidad Nacional de Córdoba, y a la luz de los resultados obtenidos, se formulan una serie de conclusiones y recomendaciones respecto al diseño y comportamiento de vigas de hormigón reforzadas con GFRP.

uso, CaraCterístiCas y propiedades de las barras gfrp

La utilización de barras GFRP como refuerzo del hormigón comenzó a estudiarse en Estados Unidos en la década del 50 en respuesta principalmente a la alta tasa de corrosión y altos costos de mantenimiento que se generaba en puentes de autopistas debido al uso de sales de deshielo en el hormigón. Sin embargo, no fue hasta el final de la década del 70 que las barras GFRP estuvieron disponibles comercialmente para su uso en estructuras de hormigón. Luego, a partir de la década de los 80 su uso fue extendido paulatinamente hasta la actualidad, donde el uso de barras GFRP se presenta

la utilización de barras gfrp como refuerzo del hormigón comenzó a estudiarse en estados unidos en la década del 50 en respuesta a la alta tasa de corrosión y elevados costos de mantenimiento verificados en puentes debido las sales de deshielo en el hormigón.

principalmente en salas de resonancias magnéticas en hospitales y clínicas, debido a su propiedad de neutralidad electromagnética, y en estructuras marinas, tableros de puentes y otras superestructuras expuestas a sales de deshielo, debido a su alta resistencia a la corrosión.

Entre las características de las barras de compuesto de fibra de vidrio reforzadas con polímero, de destaca en primer lugar su anisotropía, que influye determinantemente en las propiedades de las barras. En efecto, las propiedades longitudinales de las barras dependen de las fibras de vidrio longitudinales, mientras que sus propiedades transversales dependerán principalmente de la resina polimérica que las recubre.

En cuanto a las propiedades físicas de las barras de compuesto de fibra de vidrio reforzadas con polímero, se destaca en primer lugar su bajo peso, aproximadamente 4 veces menor al acero, ya que su densidad se encuentra alrededor de 1,92 g/cm³, mientras que la densidad de las barras de acero es de 7,9 g/cm³. Luego, sus coeficientes de expansión térmica varían dependiendo del tipo de fibra, tipo de resina y la relación entre el volumen de las fibras y el volumen total de la barra. En la Tabla 1 se presentan los valores de los coeficientes de expansión térmica de las barras GFRP, el acero y el hormigón.

x10^-6/ºC

direCCión

Longitudinal, αL

Transversal, αT acero 11,7 11,7 gfrp 6 a 10 21 a 23 hormigón 7,2 a 10,8 7,2 a 10,8

Luego, otra de las propiedades mecánicas importantes de las barras GFRP es su comportamiento a tracción, ya que las barras GFRP cuentan con una resistencia a la tracción considerablemente superior a la del acero. Sin embargo, la resistencia a tracción varía según la proporción volumétrica de fibras y el diámetro de la barra. En la Figura 1 se muestra un ensayo de tracción y la forma de rotura contralada fundamentalmente por las fibras de vidrio.

En cuanto a sus desventajas, se debe destacar que su rotura es frágil y su módulo de elasticidad es relativamente bajo en relación al acero. Además, las barras rectas no se pueden doblar para el armado. Sin embargo, es posible su fabricación con curvas, lo que provoca una disminución del 40 a 50% de la resistencia a tracción respecto de una barra recta.

En la Tabla 2, se presenta una comparación entre las propiedades mecánicas de barras GFRP y de acero.

Tensión de fluencia (Mpa)

Resistencia a la tracción (Mpa)

Módulo elástico (Gpa)

Deformación de fluencia (%)

Tabla 1. Coeficientes de expansión térmica

Ensayo y falla a tracción de una

Deformación de rotura (%) aCero

a 517

a 690

a 0,25

Propiedades mecánicas de barras GFRP y de acero

Figura 1.
barra de GFRP
Tabla 2.

Con respecto al comportamiento a compresión de las barras GFRP, la resistencia a compresión se encuentra alrededor del 55% de la resistencia a la tracción. Esto se debe a que las barras pueden fallar a compresión por micro pandeo de las fibras, tracción transversal o por corte. También su módulo elástico en compresión es del orden del 80% del correspondiente a tracción.

Se destaca que la resistencia al corte de las barras GFRP es baja, debido a que la resistencia al corte está dada principalmente por la matriz de polímeros. Esto se puede corregir tejiendo o trenzando fibras de vidrio en la dirección transversal a las fibras principales.

En relación a la adherencia entre barras y hormigón, las fuerzas se transmitirán a través de la resina (adherencia química), por fricción y por trabazón

mecánica. Su eficiencia dependerá del diseño, proceso de fabricación, las propiedades mecánicas de la barra y las condiciones del entorno natural.

También es importante considerar las propiedades dependientes del tiempo. Con respecto a la fluencia o creep, las barras GFRP sujetas a una carga de tracción sostenida pueden fallar frente a una tensión igual al 29% de la resistencia inicial de la barra, por lo que el American Concrete Institute (ACI) recomienda que las cargas de servicio sostenidas en el tiempo no produzcan tensiones mayores al 20% de la resistencia de diseño. En cuanto a la fatiga, es posible considerar aproximadamente una pérdida del 10% de la capacidad inicial de la barra cada 10 años.

Por último, en cuanto a las ventajas de las barras GFRP, la más importante de ellas es, posiblemente,

su alta resistencia a la corrosión, que permite una durabilidad extendida en el tiempo en entornos altamente corrosivos, en comparación de estructuras de hormigón reforzado con acero. Por este motivo es que, como ya se mencionó, se las utiliza frecuentemente en muros rompeolas y otras estructuras marinas, tableros de puentes y otras superestructuras expuestas a sales de deshielo. Cabe destacar también que esta durabilidad extendida trae aparejada beneficios tanto económicos como ambientales. Además, se deben mencionar otras ventajas como su neutralidad electromagnética y sus propiedades de aislante térmico y eléctrico. Con respecto a sus desventajas es posible destacar su fragilidad, su baja resistencia al fuego y altas temperaturas, su vulnerabilidad a soluciones alcalinas, humedad y rayos ultravioleta, su baja resistencia transversal y módulo elástico y la disminución de la resistencia de barras dobladas. diseÑo seCCional de hormigón reforzado Con barras gfrp

En el presente apartado se presentan los criterios de diseño, hipótesis de cálculo y formulaciones utilizadas para el diseño a flexión y corte en Estado Límite Último de secciones de hormigón reforzadas con

GFRP, siguiendo las recomendaciones del código americano ACI-440, 2015, “Guide for the Design and Construction of Structural Concrete Reinforced with Fiber-Reinforced Polymer (FRP) Bars”.

diseño seccional a flexión y corte en estado límite último

El diseño flexional y de corte de estructuras de hormigón armadas con barras GFRP es análogo al correspondiente a hormigón reforzado con acero. Sin embargo, cuenta con cambios o ajustes en la formulación que se deben principalmente a la fragilidad y anisotropía de las barras GFRP. En primer lugar, para el diseño seccional a flexión se debe considerar que, debido a la fragilidad de las barras GFRP, y del propio hormigón, es aceptable diseñar para que la sección falle por tracción (refuerzo) o por compresión (hormigón), resultando levemente preferible el diseño a flexión controlado por compresión. Además, debido a la baja rigidez de las barras GFRP, el diseño puede ser controlado por límites de serviciabilidad o de creep y fatiga. En la Figura 1 se presenta un diagrama que permite comparar los comportamientos de vigas subarmadas con barras GFRP, superarmadas con barras GFRP y subarmadas con barras de acero.

Tabla 2a. Comparación entre comportamientos de vigas armadas con acero y con barras GFRP a través de diagrama Momento – Curvatura, (ACI-440, 2015)

Como se observa en el gráfico, el miembro armado con acero (curva 1), muestra una gran ductilidad, desarrollando una gran deformación plástica entre su fluencia y rotura, mientras que el miembro armado con barras GFRP y controlado por la rotura del hormigón (curva 2), muestra una leve deformación inelástica antes de la falla, mientras que el miembro armado con barras GFRP y con falla controlada por tracción (curva 3) muestra un comportamiento prácticamente elástico hasta su falla. De la experiencia empírica, surge la conveniencia de realizar el diseño de manera que la falla esté controlada por la rotura del hormigón a compresión, ya que presenta un pequeño nivel de ductilidad que no posee la falla controlado por tracción de las barras GFRP.

Luego, en cuanto al diseño seccional flexional propiamente dicho, se diseña con un criterio de Estado Límite Último (ELU), de manera que la resistencia flexional de diseño sea mayor al momento último, tomando como factor de reducción 0,55 para secciones subarmadas, 0,65 para secciones con una cuantía mayor a 1,4 veces la cuantía balanceada y valores intermedios para cuantías comprendidas entre 1.0 y 1.4 la cuantía balanceada. La ecuación de ELU a flexión es:

El momento nominal se obtiene a partir de compatibilidad de deformaciones, equilibrio de fuerzas internas y el estado límite último que controla la (1)

falla (falla en el hormigón o rotura de las barras GFRP). Esto se definirá a partir de la cuantía de la sección según la ecuación (2) y la cuantía balanceada de acuerdo a la ecuación (3).

Para el caso en que el hormigón controla la falla (ρf > ρfb), se calcula la resistencia nominal a partir de la siguiente expresión:

Donde d es la altura útil de la sección y la distribución de esfuerzos puede aproximarse mediante el bloque rectangular de tensiones equivalentes, resultando la altura del bloque a según la siguiente ecuación:

Debe notarse que la tensión que se desarrolla en la armadura, ff, no será igual a la tensión última ffu, por lo cual se debe calcular la tensión de falla por tracción mediante la siguiente fórmula:

Por otro lado, cuando las barras GFRP controlan la falla (ρf < ρfb), se calcula la resistencia nominal flexional a partir de la siguiente expresión:

En este caso, se conoce la tensión última que desarrollarán las barras, pero no se conocen la profundidad del eje neutro c y la deformación del hormigón en el momento de la falla por tracción εc. Debido a esto, conservadoramente se toma εc = εcu = 0,003 y se obtiene la profundidad del eje neutro máxima como:

Por último, con respecto al diseño a flexión, cabe mencionar que en los casos en que la falla es controlada por tracción, es necesario disponer un área de armadura mínima del refuerzo, con el objetivo de asegurar que el refuerzo no falle por tracción en la primera fisura, que se calcula a partir de la siguiente expresión:

En relación al diseño al corte, se realiza por resistencia al igual que el diseño a flexión:

Al igual que en el caso de secciones armadas con acero, la resistencia al corte de la sección será la suma entre la resistencia al corte del hormigón y la resistencia de las barras de refuerzo. Comparando la resistencia del hormigón al corte en una sección con barras GFRP con una sección con barras acero, a igualdad de área de armadura longitudinal, la resistencia en la sección reforzada con barras GFRP será menor. Esto se explica debido a que, al fisurarse, la profundidad del eje neutro en la sección reforzada con barras GFRP es menor (debido a su bajo módulo de elasticidad), lo que genera que la porción comprimida de la sección sea menor, por lo que las fisuras serán mayores y la resistencia que proporcionan el hormigón y la trabazón entre

agregados se vea disminuida. A continuación, se presentan las ecuaciones utilizadas para el cálculo de la resistencia al corte del hormigón (11), del refuerzo (12) y el área necesaria de refuerzo (13):

Donde k depende de la cuantía de la sección y de la relación entre los módulos de elasticidad de refuerzo y hormigón, ffv es la tensión en los estribos, la cual se limita para evitar la falla en la curva de los mismos y controlar fisuras por corte.

La armadura de corte mínima propuesta por el ACI-440 (2015) se calcula como:

verificación de estados límites de servicio

La verificación de los estados límites de servicio estará definida por dos criterios: fisuración y deflexión.

En cuanto al control de fisuración, la guía ACI-440 (2015) determina una separación máxima de armadura necesaria para asegurar un ancho de fisura con el cual se asegura la serviciabilidad requerida, normalmente un ancho de fisura del orden de 0,4 mm. La separación máxima dependerá principal-

Luego, para el control de deflexiones el ACI-440 (2015) propone el cálculo de deflexiones a corto plazo considerando el momento de inercia efectivo de la sección, para luego comparar estas deflexiones con límites admisibles de servicio. Además, se deben calcular las deflexiones a largo plazo teniendo en cuenta la fluencia del hormigón. A continuación, se presentan las expresiones para el cálculo de deflexiones a corto plazo (16) y a largo plazo (17): (11) (15)

(16) (17) (12)

mente de las propiedades de las barras, el refuerzo al que están sometidas y su recubrimiento. Se calcula como:

ejemplo de aplicación del diseño de una viga reforzada con barras gfrp sometida a flexión y corte

A continuación, se presentará el cálculo de las armaduras de flexión y corte mediante los Estados Límites Últimos de flexión y corte según ACI-440, 2015, para una viga simplemente apoyada con las siguientes características y datos indicados en la Tabla 3.

A partir de los datos se obtienen las solicitaciones últimas resumidas en la Tabla 4.

En primer lugar, para el cálculo de la armadura de flexión, se obtiene la resistencia a tracción de diseño de las barras GFRP a partir de la minoración de la resistencia a la tracción garantizada indicada por el fabricante. Se minora por 0,8 debido a que se considera que la viga estará expuesta al entorno natural.

Resistencia del Hormigón, f’c =

Resistencia de las barras GFRP, ffu*=

Carga distribuidora peso muerto, qd =

Carga distribuida sobrecarga, qs =

Carga última, qult = qd x 1,2 + qs x 1,6 =

Ancho de viga, b =

Altura útil viga, d =

Recubrimiento, r =

Luz de cálculo, L =

Módulo elástico de las barras GFRP a la tracción, Ef =

Resistencia a la tracción garantizada de las barras GFRP, f*fu =

Momento último diseño, Mu = Reacción última, Ru = Corte último diseño a d, Vu1 = Corte último diseño a 1,20m, Vu2 =

4. Resumen de solicitaciones últimas

Tabla 3. Datos de la viga del ejemplo de cálculo
Tabla

A continuación, se calcula la armadura balanceada de la sección (18) y se proponen 5 barras de GFRP de diámetro 12 mm, con lo cual se supera la cuantía balanceada en más de un 50%.

A continuación, se calcula la tensión que desarrollarán las barras, el momento resistente nominal y el momento de diseño, el cual es mayor al momento último, por lo cual el diseño verifica.

Luego, para el cálculo de la armadura de corte en primer lugar se calcula la resistencia al corte del hormigón: Una vez obtenida la contribución del hormigón, se calcula la tensión máxima que pueden desarrollar los estribos de GFRP (26) y la armadura necesaria (27).

(18) (19) (20) (21) (22) (23) (24) (25) (26) (27)

Se propone colocar estribos de dos ramas de φ 8 mm cada 15 cm, que representan una armadura dispuesta de 6,66 cm²/m.

A continuación, se adjunta un esquema con la disposición de armaduras adoptada. Cabe destacar que se disponen dos barras de diámetro 12 mm en la zona de compresión de la viga y 3 barras diámetro 10 mm en cada cara. En la Figura 2 se muestra un esquema de la sección transversal de la viga con la armadura de cálculo.

Figura 2.

Sección transversal y armadura de la viga del ejemplo de cálculo

análisis de resultados experimentales

En el Laboratorio del Departamento de Estructuras de la Facultad de Ciencias Exactas, Físicas y Naturales se realizaron dos ensayos experimentales de vigas de hormigón reforzadas longitudinalmente a tracción con varillas de GFRP, denominadas V1 y V2, con el objetivo de verificar el comportamiento a flexión de la viga dominado principalmente por las barras inferiores de GFRP a tracción.

Es importante destacar que, al momento de realización de los ensayos, no se contaba con la disponibilidad de estribos cerrados de GFRP que deben

ser conformados en el mismo proceso de fabricación de las varillas, y por otro lado, se disponía de un número limitado de varillas rectas de GFRP, por lo que se decidió realizar un primer par de ensayos con vigas reforzadas longitudinalmente a tracción con varillas inferiores de GFRP, conformando el resto de la armadura longitudinal superior y estribos de la viga con barras de acero de construcción ADN-420.

Las dos vigas ensayadas tienen una geometría idéntica con una longitud total de 3.0 m, una luz entre apoyos de 2.80 m, un ancho de 0.15 m y una altura total de 0.20 m, con un hormigón de 24 MPa

de resistencia característica en función de los resultados de compresión de las probetas. Ambas vigas tienen una armadura inferior compuesta por 2 barras #3 (10 mm) de GFRP, es decir una cuantía de armadura ρf = 0.66 %, 2.4 veces superior a la cuantía balanceada ρfb = 0.27 %, garantizando la falla de las vigas por rotura del hormigón. La diferencia entre las dos vigas fue la cuantía de armadura comprimida, adoptándose 2 φ 8 y 2 φ 16 para la viga V1 y V2 respectivamente.

En la Figura 3 y la Figura 4 se muestra un esquema de la viga ensayada y en la Figura 5 una fotografía de la viga V1 durante la prueba de carga estática.

3 y 4. Esquema de encofrado y armadura de la viga V1

Los resultados de los ensayos muestran que el momento de fisuración resultó de 1.87 KNm y 2.57 kNm para la viga V1 y V2 respectivamente, siendo el momento de fisuración según cálculo de 3.0 kNm, y el momento rotura resultó de 13.80 kNm y 13.45 kNm para la viga V1 y V2 respectivamente, mientras que el momento resistente nominal de la sección según cálculo es de 12.26 kNm, observándose que existe una buena correspondencia entre los ensayos realizados y las previsiones según la formulación del ACI-440, 2015.

Figuras
Figura 5.
Fotografía del ensayo experimental en laboratorio

6. Gráfico momento versus desplazamiento para V1 y V2

Te invitamos a leer las ediciones de Revista IE, publicación de la Asociación de Ingenieros Estructurales para la divulgación e información sobre temáticas científicas y técnicas, en el siguiente link https://issuu.com/asociaciondeingenierosestructurales

Figura

El momento de diseño según cálculo sería de 7.97 kNm (0.65 x 12.26 kNm), y para este momento de diseño el desplazamiento vertical y el ancho de fisura medido en la viga V1 fue de 30 mm y 0.8 mm respectivamente, y en la viga V2, se registró un desplazamiento vertical de 28 mm y un ancho de fisura de 0.5 mm.

Si se considera una carga de servicio del 50 % del momento último de diseño, es decir, un valor de 3.98 kNm, el desplazamiento vertical y el ancho de fisura medido en la viga V1 resultó de 15 mm y 0.4 mm respectivamente, y en la viga V2, y se registró un desplazamiento vertical de 15 mm y un ancho de fisura de 0.2 mm.

En la Figura 6 se presentan los gráficos momento versus desplazamiento vertical al centro del tramo para las dos vigas ensayadas.

El análisis general de los ensayos muestra que las vigas estudiadas presentan un comportamiento según las previsiones de cálculo, y se puede mencionar una prematura fisuración en ambas vigas y luego, para cargas elevadas se presentan fisuras de un ancho significativo, que podría evidenciar una adherencia defectuosa entre las barras de GFRP y el hormigón, hecho que también pudo ser constatado al finalizar el ensayo donde se observó que la forma de la falla al finalizar la carga de los especímenes ensayados presenta una grieta principal central de gran abertura en coincidencia con la rotura por aplastamiento del hormigón, y se pudo constatar que en este sector las barras de GFRP estaban libres de hormigón, y con su superficie completamente limpia, pudiéndose relacionar este comportamiento con la pérdida de adherencia de las barras con el hormigón.

En relación al efecto de la cuantía de armadura comprimida, los ensayos mostraron que el momento y el desplazamiento de rotura fueron similares en ambas vigas, contrario al análisis conceptual que indicaría que para una falla controlada por el hormigón a compresión la cuantía de armadura comprimida podría aumentar el valor de la carga de rotura.

Por lo tanto, se considera importante realizar estudios y ensayos de adherencia, destacándose la importancia de contar con una rugosidad o tratamiento especial de la superficie de las barras de GFRP para lograr una adecuada adherencia con el hormigón.

el análisis general de los ensayos muestra que las vigas estudiadas presentan un comportamiento según las previsiones de cálculo.

ConClusiones

En el presente trabajo se han resumido los aspectos más destacables del comportamiento estructural de estructuras de hormigón reforzadas con varilla de GFRP.

A continuación, se destacan algunos aspectos importantes a tener en cuenta en el diseño de estructuras de hormigón reforzadas con barras o varillas de Compuestos de Fibra de Vidrio con Polímero (GFRP). En primer lugar, se recomienda su utilización principalmente en ambientes corrosivos, ya sea en infraestructura, edificaciones o estructuras hidráulicas y geotécnicas. Debido a su durabilidad y bajo mantenimiento, la utilización de las varillas GFRP presenta ventajas comparativas respecto al uso de barras de refuerzo de acero. Además, cuando se trabaja en ambientes marítimos, es posible utilizar hormigón reforzado con varillas GFRP, ya que el agua salada no produce una disminución de la resistencia del material por corrosión.

Luego, en cuanto al proceso constructivo, la utilización de barras GFRP provoca una disminución en los esfuerzos a realizar para su manipulación y puesta en obra, debido a su bajo peso unitario. Esto, a su vez, genera un menor riesgo de lesiones o accidentes y un proceso de construcción rápido.

Por otra parte, la utilización de barras GFRP también trae aparejados beneficios ambientales por la menor emisión de carbono en su fabricación respecto al acero. En cuanto a su comportamiento estructural, se debe destacar su falta de ductilidad, por lo que es recomendable que la rotura del hormigón controle la falla del miembro, situación inversa a la recomendable en miembros de hormigón con refuerzo de acero. Además, siempre debe considerarse su anisotropía, alta resistencia a la tracción, baja resistencia a la compresión y baja rigidez. En cuanto a su resistencia al corte, las varillas de GFRP presentan una buena resistencia, sin embargo, debido a su baja rigidez la resistencia al corte del hormigón se ve disminuida, lo cual ocasiona que sea necesaria, generalmente, una

mayor armadura al corte con refuerzos GFRP que con refuerzos de acero.

Finalmente, se informa que los ensayos experimentales realizados tuvieron por objetivo evaluar el comportamiento a flexión de la viga y la respuesta a tracción de las varillas longitudinales inferiores de GFRP. Como futura línea de investigación, se prevé realizar nuevos ensayos de vigas de hormigón reforzadas íntegramente con varillas longitudinales y estribos de GFRP, con el objeto de verificar el comportamiento estructural de la viga tanto a flexión como a corte, y la posible interacción del corte con la flexión en las zonas intermedias y próximas a los apoyos.

bibliografía

[1] American Concrete Institute, (2015). Guide for the Design and Construction of Structural Concrete Reinforced with Fiber-Reinforced Polymer (FRP) Bars (ACI 440-15).

[2] El-Hassan, H y El Maaddawy, T., (2019). Microstructure Characteristics of GFRP Reinforcing Bars in Harsh Enviroment.

[3] INTI, (2021). Informe de ensayo de tracción en barras GFRP Gatorbar #3.

[4] Fei, Y, Zhibin, L y Mijia, Y., (2016). Bond mechanism and bond strength of GFRP bars to concrete: A review.

[5] Parvizi, M, Noël, M, Vásquez, J, Ríos, A, González, M., (2020). Assessing the bond strength of Glass Fiber Reinforced Polymer (GFRP) bars in Portland Cement Concrete fabricated with seawater through pullout tests.

[6] Nanni, A., (2020). ¿Qué son los polímeros reforzados con fibra de vidrio y qué aportan a la industria del concreto?

[7] El-Sayed, A.K., El-Salakawy, E.F., Benmokrane, B., (2005). Shear Strength of Concrete Beams Reinforced with FRP Bars: Design Method.

[8] American Concrete Institute, (2011). Building Core Requirements for Structural Concrete (ACI 318-11)._

Cerrito 1250 CABA - Ciudad de Buenos Aires, Argentina. Tel (+54 9) 11 2880-9243 cadeci@cadeci@org.ar / www.cadeci.org.ar

340 MIL

BARRILES DE CRUDO SE PROCESARÁN DIARIAMENTE, PRODUCIENDO ASÍ 170 MIL BARRILES DE GASOLINA

Refinería Olmeca Dos Bocas, Paraíso, Tabasco Construimos cinco plantas de proceso y servicios auxiliares, contribuyendo en el presente y futuro energético de México.

Turn static files into dynamic content formats.

Create a flipbook
Issuu converts static files into: digital portfolios, online yearbooks, online catalogs, digital photo albums and more. Sign up and create your flipbook.