Revista ie 73

Page 1

VIADuCTo fERRoVIARIo LíNEA MITRE, CABA

27° JoRNADAs ARGENTINAs DE INGENIERíA EsTRuCTuRAL

AsoCIACIÓN DE INGENIERos EsTRuCTuRALEs
REhABILITACIÓN DE TABIquEs DE hoRMIGÓN ARMADo CoN DEfICIENCIAs DE ARMADuRA Año 26 / DICIEMBRE 2022 / EDICIÓN 73 / EDICIÓN DIGITAL
|4| Nota de Tapa Viaducto ferroviario Línea Mitre, CABA 10 27° Jornadas Argentinas de Ingeniería Estructural 38 Rehabilitación de tabiques de hormigón Armado con deficiencias de armadura transversal 23 suMARIo 59 AIE Informa Microcharlas AIE 61 AIE Informa Nuevas autoridades del CPAu Movilidad y nuevos acuerdos para la ingeniería argentina 52 54 horizontes posibles para la ingeniería civil argentina 57 AIE Informa Estudiantes de la fIuBA reconocidas en las Jornadas AIE 58 AIE Informa foro para incentivar la construcción

Momento de balances

Este agitado mes de diciembre, altera su tradicional desempeño con la irrupción del Mundial de Fútbol, una verdadera fiesta de sentidos responsable de enfervorizar a propios y ajenos. Este mes marca el fin de la agenda Es hora de renovar, no solo 365 nuevos días, sino al mismo tiempo, formalizar una serie de análisis sobre lo acontecido, aprehendido y experimentado Es hora de balances, definido como un “examen periódico de las cuentas de una empresa, comparando sus ingresos y gastos para establecer el nivel de beneficios o pérdidas” En el sentido más amplio del concepto: ¿cuánto hemos perdido y cuánto capitalizado en este 2022 listo para bajar su telón? No me refiero, exclusivamente, a intereses económicos, esos siempre, aun cuantiosos, resultan mezquinos Dispongo mi mirada a evaluar los debes y haberes de nuestra disciplina e institución

En lo relativo a la Asociación de Ingenieros Estructurales (AIE), el 2022 marcó el fin del distanciamiento para nuestras Jornadas, sin dudas, el hito más significativo del año. Pudimos volver a vernos personalmente, tras la triste distancia impuesta, con insuperable fuerza, por la pandemia del COVID-19 Pudimos volver a sonreírnos, a estudiar juntos y a aprender de todos, en medio de una ciudad de Rosario la cual mostró, durante esos días, una oportunidad para el futuro Cientos de profesionales y estudiantes siguieron en vivo, y muchos más lo hicieron virtualmente, cada una de las charlas y experiencias que durante esas Jornadas se presentaron, marcando el nivel de las distintas propuestas para bien de la capacitación y el desarrollo de la ingeniería estructural Los jóvenes, partícipes relevantes de este evento, trabajaron codo a codo en su organización, y en paralelo, desafiaron su intelecto ensayando diversas estructuras, junto a un grupo de profesionales encargados de su evaluación, conformando equipos donde los noveles desempeños y la experiencia se nutren mutuamente. Unos de datos y saberes, los otros, de energía y esperanza

En el ámbito de las distintas capacitaciones, durante 2022, la AIE brindó una serie de charlas y encuentros técnicos, donde notables profesionales ofrecieron, generosamente, sus habilidades y productos para resolver los desafíos de la profesión Nuevamente, la sinergia, entre instituciones, empresas y técnicos, alcanzó su punto máximo en dichos eventos

Agradecemos especialmente a los Asociados y Empresas, quienes se suman y acompañan en cada una de las ideas desarrolladas, como

las citadas Jornadas y eventos, junto a nuestra Revista AIE, la cual llega en su versión digital, mediante un cuidado diseño y edición, al interés de los Asociados de la especialidad y los técnicos afines.

Durante 2022 hemos renovado nuestra página WEB La misma muestra ahora un diseño más ágil a efectos de plasmar las novedades y noticias más destacadas de la Asociación de Ingenieros Estructurales y de las instituciones amigas, en favor de todos Alcanzamos una interesante difusión de noticias en nuestras redes sociales, las cuales nos mantienen permanentemente informados sobre lo acontecido a nivel profesional

Finalmente, la Asociación de Ingenieros Estructurales ha renovado en 2022 sus autoridades Me toca conducir sus destinos Acepto ese desafío con orgullo y compromiso

Argentina atraviesa uno de sus momentos sociales y económicos más extremos de sus últimos tiempos Los importantes problemas a resolver solo encontrarán una solución pertinente a partir del diálogo y el consenso Sin agresiones ni pendencias de ningún tipo, sino con inteligencia y palabras La violencia, de todo tipo, se aplica cuando las palabras faltan Cuando no podemos expresar las ideas sobreviene la violencia, ante la carencia de caminos tendientes a la mutua comprensión. Tenemos muchas palabras positivas para brindar desde las instituciones de la ingeniería, especialmente, las estructurales, capaces de dar forma, física y verbal, a los puentes necesarios para evitar los precipicios y las curvas peligrosas, las cuales conducen, exclusivamente, al destierro sin mañana

Abogaremos desde aquí, durante el 2023, por crear los senderos de diálogo y creación necesarios, sabiendo que los conocimientos de todos resultarán imprescindibles para motorizar efectivas respuestas a los retos venideros

Por todo eso y mucho más; ¡salud!

Ing Pablo L Diéguez Presidente de la Asociación de Ingenieros Estructurales presidente@aiearg com ar

|5|
EDIToRIAL

Prohibida la reproducción total o parcial de textos, fotos, planos o dibujos sin la autorización expresa del Editor. Los artículos firmados son de exclusiva responsabilidad de sus autores o de las firmas que facilitan la información y no reflejan necesariamente la opinión de la AIE.

Publicación de la Asociación de Ingenieros Estructurales para la información y divulgación de temas científicos y técnicos

Edición digital 73

ISSN 16671511 / AÑO 26 / Diciembre de 2022

COMISIÓN DIRECTIVA DE LA AIE

PRESIDENTE: Ing. Pablo L. Diéguez

SECRETARIO: Ing. Martin Polimeni

TESORERO: Ing. Mario Chiesa

VOCALES TITULARES: Ing. Rafael García Tornadú Ing. Juan Cura Ing. Hugo Chevez Ing. Mario De Bortoli

VOCALES SUPLENTES: Ing. José Antonio Rueda Ing. Juan José Andrada

REVISORESDE CUENTAS: Ing. Oscar Bruno Ing. Javier Fazio

SECRETARíA Vilma Fernández Pozzi Lic. María Laura Rivas Díaz Sandra Orrego REVISTAIE COMITÉ EDITORIAL

Director:RogelioD.PercivatiFranco Mg. Inga.LauraCacciante Ing.MarcosDeVirgiliis Mg. Ing.CarlosGustavoGauna

PRODUCCIÓN EDITORIAL CONTÉCNICOS ContenidosTécnicos Arq.GustavoDiCosta

EDITOR RESPONSABLE ASOCIACIÓNDEINGENIEROS ESTRUCTURALES

HipólitoYrigoyen11441º,C1086AAT CiudadAutónomadeBuenosAires Tel/Fax:+54(911)4381-3452/5252-8838 Info09@aiearg.org.ar www.aiearg.org.ar

CORRESPONSALES

ARGENTINA

Bahía Blanca: Ing. Mario Roberto Minervino Córdoba: Dr Ing. Carlos Prato

El Calafate: Ing. Otto Manzolillo

Mendoza: Mg. Ing. Carlos Llopiz

Neuquén: Ing. Emanuel Gevara

Rosario: Mg. Inga. Yolanda Galassi

Santa Fe: Dr. Ing. Gustavo Balbastro Trelew: Ing. Hugo Juan Donini

EXTERIOR

Bolivia: Ing. Mario R. Terán Cortez (La Paz)

Brasil: Dr. Ing. Paulo Helene (San Pablo), Ing. Silvio de Souza Lima (Río de Janeiro), Prof. Darío Lauro Klein (Porto Alegre)

Colombia: Ing. Luis Enrique García (Bogotá), Prof. Harold Muñoz (Santa Fe de Bogotá)

Chile: Ing. Rodolfo Saragoni Huerta (Santiago) China: Ing. Carlos F. Mora (Hong Kong)

República Dominicana: Ing. Antonio José Guerra Sánchez

Estados Unidos: Inga. María Grazia Bruschi (Nueva York)

España: Ing. Jorge Alberto Cerezo, Prof. José Calavera Ruiz (Madrid), Dr. Antonio Aguado de Cea (Barcelona)

Israel: Ing. Mario Jaichenco (Naharia)

México: Dr. Ing. Pedro Castro Borges (Mérida, Yucatán), Ing. Daniel Dámazo Juárez (México DF)

Paraguay: Ing. Angélica Inés Ayala Piola (Asunción)

Portugal: Prof. Antonio Adao da Fonseca (Porto)

Perú: Ing. Carlos Casabonne (Lima)

Puerto Rico: Ing. José M. Izquierdo (San Juan)

Uruguay: Ing. Gerardo Rodríguez (Montevideo)

Venezuela: Inga. Gladis Troconis de Rincón (Zulia)

|6|
Tendrá éxito c onstruyendo c on PERI Sistemas de encofrados y apuntalamientos más rentables Pa r a más i nformación c ontáctenos a: i nfo@pe r i.com. a r E n cof r a dos Andamios I ng enier ía w ww.pe r i.com. a r

L a re fe re n c i a e n i n ge n i e r í a c i v i l

Su socio especialista en la reparación y construcción de estructuras

Presentes desde 1968 en Argentina

Capital humano experto y especializado que actualiza periódicamente sus conocimientos

Servicios

Reparar

• Evaluación de la situación

• Preparación de la superficie

• Hidro-demolición

• Inyección de fisuras

• Restitución de hormigón y armaduras

• Reemplazo de uniones metálicas

• Reemplazo de juntas y apoyos de puentes

Retail e industrias

Aguas y saneamientos

Tecnología de avanzada que permite optimizar la calidad, rapidez y costos de las soluciones.

Red internacional que permite emplear las mismas técnicas en cualquier parte del mundo

PROV DE ENTRE RÍOS

Reparación de turbinas de Salto Grande.

Reforzar

• Postesado exterior

• Tejido y barras de fibra de carbono (TFC y BFC)

• Hormigón proyectado por vía seca

• Hormigón de ultra alta performance (UHPC)

• Refuerzos pasivos en acero

• Micropilotes y estabilización de suelos

Proteger

• Encapsulado de pilotes

• Revestimientos anticarbonatación

• Protección catódica

• Arenado y pintado en acero

• Impermeabilización de tableros de puentes

• Impermeabilización de recintos estancos

• Levantamientos hidráulicos

Infraestructura vial y ferroviaria

Edificación

PROV DE BUENOS AIRES

Refuerzo de cubierta de un centro comercial: estructura de hormigón

Puertos y vias navegables

Presas

Visite nuestra web www freyssinet com ar

Levantamiento Puente Río Bermejo.

PROV DE SAN JUAN
info@freyssinet com ar fta-arg Freyssinet Tierra Armada +54 11 707 808 64
de
Nuestros
Áreas de intervención Casos
éxito

Por el Ing. Civil Martín

Miembro de la Comisión Permanente de Estructuras de Acero del CIRSO C. Docente en la FIUBA de los Cursos Posgrado y Maestría de “Fractomecánica en la Ingeniería Civil” Docente en la FIUBA del Curso de Posgrado y Maestría de “Puentes Metálicos y Mixtos” Presidente de EEPP, Consultora de Ingeniería.

Contacto: eeppsaingenieria@gmail com ar

Viaducto ferroviario Línea Mitre, CABA

El presente trabajo complementa al artículo publicado en el número 63 de la revista IE. Seguidamente, se mostrarán los aspectos técnicos más relevantes e imágenes de la ejecución de la obra

INTRoDuCCIÓN

El viaducto ferroviario Mitre se desarrolla entre las avenidas Dorrego y Congreso de la CABA, Argentina Pertenece al ramal Tigre del Ferrocarril La obra, básicamente, consistió en elevar la traza ferroviaria en dicho sector de tal forma de eliminar varios cruces ferroviarios a nivel existentes (por ejemplo, los cruces de Monroe, Blanco Encalada, Mendoza, Juramento, Sucre, entre otros), a la vez, de la apertura de nuevos pasos a nivel, como el de la calle Roosevelt Para la ejecución de la obra, se tomó la decisión de desplazar las vías actuales, provisoriamente, de tal forma de generar el espacio necesario para alojar la nueva traza elevada por fuera del trazado actual, lo que genera la posibilidad de trabajar a tiempo completo sin necesidad de interferir con el servicio ferroviario

|10|
NoTA DE TAPA

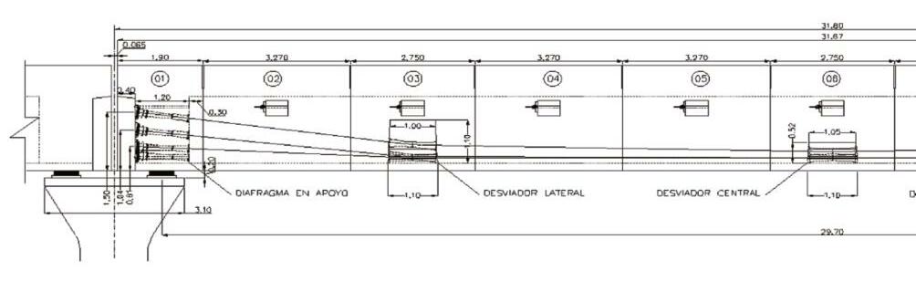
De esta manera el viaducto, en forma general, se conforma por tramos de vigas cajón simplemente apoyadas de 31,80 m de luz máxima, las cuales descansan sobre pilas, conformadas por monocolumna y capitel, fundada sobre cabezal con cuatro pilotes de gran diámetro Los extremos del viaducto se completan con rampas de tierra armada

El sistema de construcción y montaje elegido, fundamentalmente por las complicaciones existentes para el transporte y montaje de estructuras de mayor peso y longitud, es el de dovelas y vigas de lanzamiento, vano a vano El sistema de postesado es externo, excepto en el tramo de la Av del Libertador y en los cruces de la avenida Monroe y el futuro de la calle Roosevelt, los cuales se resolvieron mediante vigas tipo U por necesidad de gálibo vehicular bajo puente, construidas in situ

Complementando a la obra, se ejecutaron dos nuevas estaciones elevadas (Belgrano C y Lisandro de la Torre) La obra se inauguró en abril de 2019 Hasta el momento, es la primera y única obra ejecutada con postesados externo y mixto y método de montaje “vano a vano”, con vigas de auto-lanzamiento El costo de la obra fue de, aproximadamente, 130 millones de dólares americanos

uBICACIÓN DE LA oBRA

CARACTERísTICAs TéCNICAs PRINCIPALEs DEL DIsEño EsTRuCTuRAL

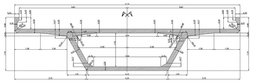
o Distancias entre ejes de pilas: 31 8 m / 28 6 m / 25 4 m o Luces entre ejes de apoyos: 29.7 m / 26.5 m / 23.3 m o Sección de la dovela: 4 89 m3 o Peso máx de las dovelas: ~40 t o Forma de tesado: postesado externo o Altura total de la viga (sin labios laterales): 2 10 m o Ancho superior: 11 75 m o Ancho inferior: 4 24 m o Relación máx. Luz / Altura de viga: 14.14 o Espesor de ala superior: 20 cm o Espesor de ala inferior: 20 cm o Espesor de almas: 25 cm o Inclinación de las almas: 60° o Radios de acuerdo en la unión ala sup – almas: 20 cm o Radio de acuerdo en la unión voladizo – almas: 40 cm o Relación luz voladizo / distancia entre ejes almas: 0.43 o Cantidad de desviadores: 3 o Cantidad de cables (según luz): 12 / 10 / 8 o Cantidad de cordones por cable: 19 x 0 62”

Materiales

o Hormigón estructural dovelas: Calidad H-50 o Hormigón estructural columnas y capiteles: Calidad H-38 o Hormigón estructural cabezales y pilotes: Calidad H-30 o Acero para armadura pasiva: Calidad ADN-420 o Acero para armadura activa: Acero BR Gr 270

Fig ura 1

Plano de ubicación de la obra

|11|

La sección se encuentra diseñada siguiendo las recomendaciones para puentes segmentados con dovelas tipo cajón, según distinta bibliografía específica sobre el tema

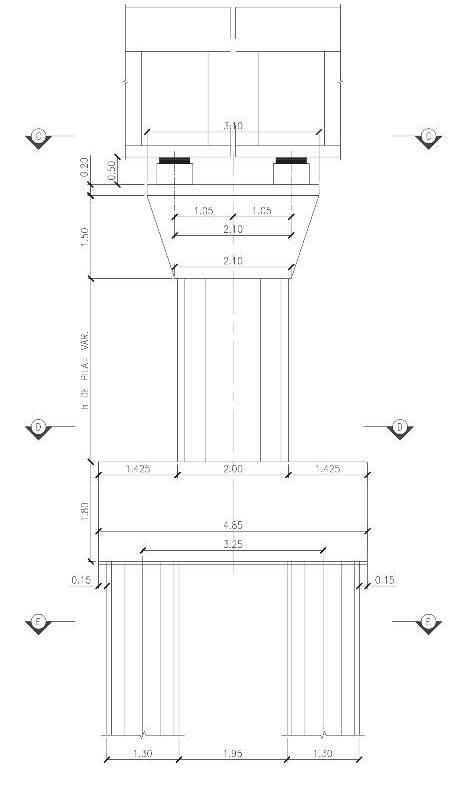
En la Figura 2, se puede ver la sección típica de las dovelas (3,27 m de espesor); de 11,74 m de ancho; 2,10 m de altura y 40 t de peso propio En la Figura 3 se aprecia la solución de pilas típicas, correspondientes a mono-columnas de 2,0 m de diámetro y capitel, fundadas sobre cabezal de 4 pilotes de 1,30 / 1,40 m de diámetro, fundados en el pampeano medio

Fig ura 2

Esquemas de dovelas típicas y vista longitudinal de un tramo de viaducto

|12|

IMáGENEs DE LA oBRA

Fig ura 4 Pilas típicas

Fig ura 3 Esquemas de las pilas típicas de apoyo del viaducto

|13|

Fig ura 5 Moldes para la fabricación de dovelas

Fig ura 6 Moldes para la fabricación de dovelas

|14|

Fig ura 7 Acopio de dovelas en playa de premoldeados

Fig ura 8 Armadura pasiva de las dovelas

|15|

Fig ura 9 Desviadores y cableado de postesado externo

Fig ura 10 Iz aje de una de las dovelas de pila

|16|

Fig ura 11

Diag rama de una dovela de pila

|17|

Fig ura 12

Viga de lanz amiento de dovela, sistema vano a vano

Fig ura 13 Montaje de dovelas

|18|

Fig ura 14

Traslado de las vías existentes para posibilitar el trabajo a tiempo completo

Fig ura 15

Vigas tipo doble U ubicadas en la Av Monroe y calle Roosevelt

|19|

Fig ura 16

Obra terminada Ag radecimientos

Al COMITENTE: AU TOPISTAS URBANAS AUSA (GCBA) y al MINISTERIO DE TR ANSP ORTE DE LA NACIÓN, por hacer posible tan importante proyecto de infraestructura que mejora notablemente, entre otras cuestiones, la agiliz ación del tránsito de la zona y la seg uridad vial y peatonal

A la CONTR ATISTA: RO GGIO –CHEDIACK U TE, quienes nos confiaron este importante proyecto de ingeniería estructural.

A la empresa proveedora del EQUIP O DE MONTAJE Y ASESOR AMIENTO TÉCNICO: DEAL por sus importantes aportes y recomendaciones técnicas

A la INSPECCIÓN DE OBR A: PEYCO por su colaboración y estricto control de la obra

A nuestros colaboradores: Ing s. José Cabaleiro y Andrés Cucci, por sus compromisos y dedicaciones al trabajo

|20|
|22|

Rehabilitación de tabiques de hormigón Armado con deficiencias de armadura transversal

Por Carlos R Llopiz (1) y

(1) MSc Ing

Construcciones

(2) MSc. Ing. Civil; IMERIS, Facultad de Ingeniería UNCuyo

Contacto: ciescrllopiz@itcsa net; edusvega@hotmail.com

El diseño de tabiques de hormigón armado a partir de reglamentos y/o códigos ya obsoletos subestimaba el rol de la armadura transversal dando mucha, a veces en demasía, importancia a la armadura longitudinal En general, las barras verticales aportan la resistencia a flexo-axial, mientras que las barras transversales deben proveer confinamiento, resistencia al corte y evitar el pandeo prematuro de la armadura vertical. Hoy se reconoce que ambos refuerzos, verticales y horizontales, son igualmente importantes en diseño sismorresistente. Muchas veces, como es el caso de los tabiques que forman parte de la construcción estudiada en este trabajo, eran ignorados en el diseño y análisis, insinuando de que se los dejaba como reser va, o bien, todos los esfuerzos provenientes de la agitación sísmica, serían resistidos por pórticos de hormigón armado, y los tabiques "sabrían acompañar las deformaciones" Muy alejado de la realidad

Se presentan, seguidamente, diferentes propuestas de refuerzos en dos modelos físicos de tabiques de hormigón armado que forman parte de un edificio de diez pisos construido en Mendoza, en el año 1970, presentando deficiencias de armadura transversal Se muestran resultados de los ensayos ejecutados en el IMERIS

1. INTRoDuCCIÓN

Para logar un diseño sismorresistente confiable, a la luz de las incertidumbres del terremoto que ocurrirá, se necesitan estructuras que muestren un comportamiento plástico adecuado La palabra "adecuado" debe ser cuantificable de alguna manera, o de lo contrario, permanecerá en la penumbra y sin sentido práctico

La problemática de refuerzo de los edificios frente a acciones sísmicas es particularmente importante en regiones de alta peligrosidad sísmica, como aplica a la ciudad de Mendoza, Ref [1]

|23|

Numerosos edificios fueron construidos antes de 1970 con prácticas de construcción diferentes, que no contaban con el nivel actual del conocimiento sobre el diseño sismorresistente Estas construcciones son actualmente las más vulnerables ante la ocurrencia de terremotos destructivos Entre ellas, existen muchas obras patrimoniales, como edificios escolares o edificios administrativos El elevado factor de ocupación de estas construcciones asociado a la importancia de sus valores patrimoniales y al gran impacto social frente al daño sísmico, se traduce en un importante riesgo sísmico

En la provincia de Mendoza sucedieron, al menos, once eventos con intensidades sísmicas iguales o superiores a VI en la escala de Mercalli Modificada, IMM, en los últimos 200 años. El evento más importante se produjo en el mes de marzo de 1861, magnitud estimada en 7 2, IMM= IX (máximo XII), con 5000 víctimas fatales, y el último fue el del 26 de enero de 1985, M=5 7 e intensidad IMM=VIII, Ref [1]

En la actualidad, a partir de las observaciones de comportamientos ante terremotos pasados y de un importante número de investigaciones en todo el mundo, Ref [2], los tabiques de hormigón armado son reconocidos como sistemas estructurales muy eficientes Proveen los tres aspectos fundamentales: Rigidez, resistencia y ductilidad Sin embargo, para que sean eficientes, el diseño, detalle y construcción debe responder a los últimos avances, plasmados en los códigos modernos de diseño sismorresistente, por ejemplo, en nuestro país Ref [3]

Hasta mediados de la década 1970-1980, los tabiques de hormigón armado eran utilizados sin conocimientos de su verdadero rol, muchas veces ignorados, y por ende sin diseño, y otras veces, dejados como "reserva", prefiriendo los sistemas de pórticos, a los cuales se les asignaba "todas las virtudes", mientras que a los tabiques se los "castigaba" al momento de asignarles capacidad plástica El resultado es que, por ejem-

plo, en Mendoza, se posee un gran stock de construcciones con tabiques estructurales que adolecen de grandes deficiencias en su diseño. De ocurrir un terremoto severo, se deben esperar grandes daños

En el año 1975 aparece un texto de hormigón armado, Ref [4], que marca el inicio de una comprensión y profusa divulgación en universidades y centros de investigación, del comportamiento de sistemas estructurales ante acciones sísmicas, en particular, del rol e importancia de los sistemas de resistencia compuesto por tabiques de hormigón armado La Ref [2] amplía enormemente el conocimiento al respecto

En este trabajo, se investigan formas de reforzar tabiques de hormigón armado que, como en la mayoría de diseños antiguos, adolece de falta de resistencia a corte Esto justificaba la antigua designación de "shear walls", paredes de corte: Estaban condenados a fallas por corte, fallas frágiles, las cuales, justamente, deben evitarse en diseños sismorresistentes donde la disipación de energía es postulada como requisito de diseño

2 oBJETIVos

El objetivo fundamental es evaluar la respuesta de tabiques de hormigón armado, utilizando materiales convencionales, y con la menor posibilidad de invasión y modificación en lo funcional de la estructura a reforzar Se trata además de evitar demoliciones, y que, aislada durante los trabajos de la parte a reforzar, el edificio pueda seguir funcionando Además, evaluar los posibles costos de reparación, y poner énfasis en una solución efectiva y económicamente viable

3 DEsCRIPCIÓN DE ENsAyos y APLICACIÓN DE CARGAs

En el IMERIS, Ref [5], se diseñó una estructura de hormigón compuesto de dos tabiques y dos losas, si-

|24|

mulando una construcción de cuatro niveles El modelo físico es en escala 1:2 En el segundo nivel (+2 80 m) y en el cuarto nivel (+5.60 m) se construyeron losas de hormigón armado a los efectos de no introducir las cargas en forma puntual, como lo insinúa la Figura 1, sino que, simulando en forma más real lo que sucede ante acciones sísmicas, la carga se transmite como flujo continuo a los tabiques a través de las losas, las cuales reciben las cargas en su plano, sección media Si se supone altura de piso de construcción real de 2.80 m, cada losa separa dos pisos, por ello, el modelo representa una construcción de cuatro pisos Las losas, además, proveen estabilidad al modelo durante la aplicación de cargas, y permite inspecciones de daños con mayor facilidad

Si bien el esquema de la Figura 1 indica que se aplicarían cargas en dos niveles, con distribución simulando triangular invertida, finalmente, por razones de simplicidad, se optó por aplicar una única carga en el último nivel

Fig ura 1 (a)

Fig ura 1 (b) Fig ura 1 (c)

|25|

Fig ura 1 (d)

Fig ura 1

(a) Esquema de ensayo; (b) Imagen de Modelo; (c) Imagen de losas con sus armaduras, actuador entre tabiques para carga en el plano de la losa, y cables de transmisión de cargas Vista de Losa de anclaje y Muro reactivo del IMERIS; (d) Vista de esquema de armaduras de tabiques y frontal del modelo, con losas de cargas

4 TIPoLoGíA DE Los TABIquEs

Clasificación

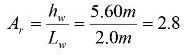
Las Ref [3] y Ref [6], definen la relación de esbeltez de los tabiques Ar, y con ella diferencian tabiques esbeltos de tabiques bajos, siendo el umbral Ar= 2 0 En este caso, con altura total hw = 5 60 m, y longitud Lw = 2.0 m esta relación resulta:

(1)

Si bien está cerca del límite, puede considerarse como esbelto Ambos tabiques son aislados, es decir, no tienen medios para acoplarse en sus planos Son dos tabiques en paralelo (no en serie). El factor de aspecto de los tabiques, definido en los citados reglamentos por z, resulta:

A los efectos del diseño, para el factor de comportamiento R corresponde aplicar: (3)

Pese a que el valor no es muy elevado, aún puede considerarse que, diseñado adecuadamente, puede ingresar en la categoría de estructuras dúctiles, y no de ductilidad limitada (R≤3 5) En tabiques aislados, el valor máximo para R es 5.0.

5. sECCIÓN TRANsVERsAL DE Los TABIquEs

Cuantías

La Figura 2 muestra la sección transversal de los tabiques, bw = 0 125 m (modelo 1:1 sería con espesor de 0 25 m), y largo total de 2 0 m (escala 1:1 corresponde 4 0 m) La cuantía de armadura longitudinal en el alma es de 0 64%, obtenida como:

(2)

|26|

La cuantía de armadura longitudinal en los bordes es prácticamente 1 0%, que resulta de:

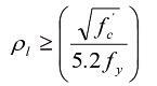
Ref.[3] indica que para un hormigón H25, la cuantía mínima para la armadura longitudinal en alma, fuera de los extremos o bordes, debe ser: (4)

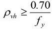
Mientras que en los bordes debe ser el doble de la parte central, es decir 0 46%, por ende, también, la condición es satisfecha (factor casi 2) La cuantía de armadura transversal de corte en el alma es de 0 055%:

Esta no cumple con la cuantía mínima horizontal de corte del reglamento, dada por:

(5)

Es decir:

La motivación en este trabajo es poner en evidencia la falta de una adecuada armadura horizontal de corte para justificar la necesidad de refuerzo. Se deberían haber dispuesto, por lo menos, dos capas de barras de 6 mm cada 10 cm, o dos capas de diámetro de 4 2 mm cada 5 cm A partir de un diseño por capacidad se determinará la armadura de corte necesaria

Fig ura 2

Dimensiones y armaduras longitudinal y transversal de los tabiques

En los bordes, se han dispuesto detalles especiales de confinamiento para evitar o demorar el pandeo de las barras longitudinales La separación máxima de estribos en bordes debe ser

6 db = 6 x 0 8 cm = 4 8 cm

Se ha adoptado una separación de 5.0 cm.

6. REsIsTENCIA A fLExo-CoMPREsIÓN

Nominal y sobrerresistencia

El esfuerzo axial presente en los ensayos es debido al peso propio, y en la sección inferior de los tabiques es de 11 40 ton, es decir 5 70 ton para cada tabique La resistencia a flexo-axial se puede determinar, en forma bastante rápida y precisa, a partir de las siguientes expresiones:

(i) altura de bloque de compresión equivalente: (6)

|27|

Fig ura 3

Análisis seccional a flexión usando características reales del acero

siendo , la cuantía mecánica

Cuantía de armadura referida a sección total de hormigón, Ag = 12 5 x 200 = 2500 cm2:

!! "# ! #$ !! %& = = ρ ! "# $% &$ ' " # = =

Relación de tensiones de fluencia y característica: Resulta una cuantía mecánica , La relación de esfuerzo axial (muy bajo por tener solo peso propio), es: y altura de bloque de tensiones resulta:

La profundidad del eje neutro es c = 24 cm / 0 85 = 28 23 cm (14% de la longitud total) El momento nominal se puede obtener, con muy buena aproximación, mediante la siguiente expresión:

(7)

El momento de sobrerresistencia, en base al factor de sobrerresistencia del acero , resulta: Los resultados de un análisis más preciso, incluyendo compatibilidad de deformaciones, y utilizando las verdaderas características del acero empleado (ensayadas en el IMERIS), con fy = 430 MPa y fu = 650 MPa, y con c = 0 004, se muestran en la Figura 3

7 DIsEño PoR CAPACIDAD AL CoRTE

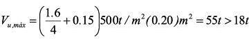
Aplicando la carga horizontal en el extremo superior, como se hizo en los ensayos, la demanda de corte a partir de la capacidad a flexión, para cada tabique, resulta:

El límite de la fuerza de corte para zona plástica es, según reglamento: (8) El área efectiva de corte para tabiques rectangulares, es: (9)

! ! " # !# $
!" "#
#%
= = !" ! $ % )&'( * + ,. /         + = !" # φ ! ! "# $ % & ' ! " = ! ! !" " " ! # " $!% " ! ! # # $ %& = = |28|
%
!$
& !% % ≅

Para este caso, como referencia, se utilizará R = 4 0 (sobre un máximo de 4 54), y un factor de sobrerresistencia = 1 60, resulta:

La contribución del hormigón al corte, en este caso, es muy baja, pues el nivel de axial es pequeño Utilizando sólo el mecanismo de reticulado, la armadura necesaria horizontal de corte debería ser: (10)

Para una separación de sh = 10 cm, la armadura horizontal resulta:

(b) Contribución del mecanismo de reticulado (14)

Lo que se resolvería colocando dos barras de diámetro de 4 2 mm cada 10 cm, que significa 4 veces más de la colocada en los tabiques en estudio Deliberadamente, se ha colocado una armadura de corte muy deficiente para justificar los refuerzos proyectados, colocados y ensayados.

8 REsIsTENCIA AL CoRTE sIN ARMADuRA ADECuADA

Según Ref [3]

Resistencia nominal: (11) (a) Contribución del Hormigón (12) (13)

La resistencia nominal a corte combinando ambos mecanismos es:

Este valor de resistencia nominal es bastante menor (3 08 veces) a la demanda de Vu = 18 t Claramente, es necesario reforzar esa armadura horizontal si se pretende desarrollar la capacidad a flexión de los tabiques

9 REhABILITACIÓN sísMICA

El epígrafe "rehabilitación sísmica" se utiliza en los casos de construcciones existentes que no cumplen con los criterios de seguridad Esta denominación reúne todas las obras realizadas en forma preventiva.

En los casos donde la estructura ha sido dañada por un sismo, y su seguridad se ve comprometida, se aplica normalmente el término "reparación" para designar el proceso destinado a recuperar un cierto nivel de seguridad Los dos procesos comparten muchos aspectos en común, pero cada uno presenta particularidades y diferencias las cuales serán consideradas en cada caso

El párrafo siguiente trata, más específicamente, el proceso de rehabilitación sísmica

! " # $ %#
!"
! ! ! !" # "$! %&# !## &# # ! ' %# %& !" !" $ % %!" !" & & !" $ % !" %& '() = = = ! " # $ $ $ + = !" ! ! # " $ = ! " $ $ % & ' ) ! "#$ " + =
& ( $ ) *
" =
! " # " $ # % ! " & ' !" ! #$ $ % & # # = = ! " # $% & & ' ( ) * + !" " = ! #$ #$ % #$ & ! % #$ ' ( !" # #$ "%$ & # &' $ & & = = ! ! ! # $ !" " #$ % $% $ = + = |29| ! " # $# " $ !$ $$ %! # & #" $$$ # $' " $ ! " # $ %&' $ !! !!( ( ) %&' ( $ * + = = + =

El principal objetivo de una rehabilitación sísmica de construcciones existente es reducir la vulnerabilidad, mejorando el comportamiento estructural ante la acción de terremotos

La idea es de modificar, favorablemente, propiedades del sistema tales como resistencia, ductilidad, rigidez, redundancia, regularidad estructural, etc Para alcanzar este objetivo, se formulará una evaluación del estado del edificio que permita detectar las deficiencias estructurales Con las diferentes informaciones recopiladas, se fijarán objetivos a cumplir, medidas o estrategias de rehabilitación El refuerzo de la estructura se compone de planchuelas para unos de los dos tabiques y de barras roscadas para el otro Las planchuelas son de acero AL240 y de dimensión 3 2 x 31 3 x 2000

mm. Las barras roscadas son de diámetro externo 12 mm y largo de 2 m Ambos refuerzos son colocados de manera similar, es decir, los tres primeros refuerzos son espaciados de 12 cm y los siguientes cada 20 cm

Fig ura 4 Imagen de los refuerzos en ambos tabiques, con densidad doble en la parte inferior

|30|

10. MATERIALEs EsTRuCTuRALEs

10 1 Propiedades del hormigón

El hormigón utilizado en el modelo físico ensayado responde a un hormigón calidad H-25, cuya relación tensión deformación se representa en la Figura 5

10 2 Propiedades del Acero ADN-420 hormigón Armado

La armadura utilizada como acero de refuerzo en ambos tabiques, tanto vertical como horizontal fue ADN-420, Acero de Dureza Natural cuya tensión de fluencia es de 420MPa La relación entre tensión y deformación resulta:

Fig ura 5 Hormigón H-25, curva tensión deformación

Fig ura 6 Acero ADN-420, curva tensión deformación

Fig ura 7 (a)

10 3 Planchuelas: Propiedades del Acero utilizado en refuerzos exteriores al corte

Se realizaron dos ensayos de tracción sobre muestras de las planchuelas empleadas en el refuerzo al corte Durante el primer ensayo, no fue posible registrar las deformaciones, por el contrario, en el segundo ensayo se verificaron las deformaciones y pudo trazarse la relación tensión deformación La Figura 7, resume los principales parámetros hallados y presenta la gráfica obtenida:

´ ´ ´ ´ ´
|31|
´ ´ ´ ´ ´ ´ ´ ´

Fig ura 7

Características mecánicas Acero Planchuelas (SAE-1015)

Las principales características del material, pueden resumirse en:

• El material presenta un claro escalón de fluencia,

• la resistencia de fluencia, 400 MPa, es mayor a la de 240 MPa según especificación,

• el módulo de elasticidad 216 220 es muy cercano al esperado 210 000,

• el aumento de tensión por endurecimiento es importante, 550/400, siendo la resistencia máxima casi 1 375 veces la tensión real de fluencia,

• la ductilidad es elevada, con un factor de ductilidad

10 3 Barras Roscadas: Propiedades del Acero utilizado en refuerzos exteriores al corte

Las barras roscadas son utilizadas como alternativa de refuerzo de tabique con deficiencias de estribos Siguiendo igual metodología que la planteada antes, se ensayaron y analizaron dos muestras de diámetros de 12 mm. En nuestro caso, las barras roscadas son de acero SAE 1015

Fig ura 8

Características mecánicas del Acero de Barras Roscadas (SAE-1015)

|32|

El acero SAE 1015 ofrece tensiones especificadas de 250 MPa para la fluencia y 390 MPa para la rotura, con alargamiento del 35% y estricción del 55% De los ensayos se observa que, para el diámetro de 12 mm, la fluencia comienza cerca de los 500 MPa y la resistencia máxima alcanza 650 MPa Esta variación se debe al trabajo en frío llevado a cabo al roscar la barra de acero.

En el caso de las barras roscadas, también el valor de deformación máxima promedio 2,83, no resulta un valor real de deformación total En efecto, durante el ensayo, la sonda de medida fue retirada antes de la rotura, para evitar se dañe el instrumento

En nuestro caso, la deformación máxima medida en las muestras después el ensayo fue de 9% En tabla de Figura 8, puede observarse que el módulo de elasticidad encontrado es bajo

Esto resulta así, por haber determinado los parámetros en función del diámetro nominal de la barra roscada, 12 mm Utilizando el diámetro de la sección neta, 9 mm, el módulo de elasticidad del acero asociado resulta en 210 000 MPa

11 ENsAyo

Instrumentación:

Para el registro de la información durante el ensayo, se colocaron 31 sensores, 30 de ellos para el registro de desplazamientos y 1 para el registro de la carga

La configuración de los sensores puede observarse en la Figura 9, agrupándose de la siguiente manera:

Pot 26 y 23: Desplazamientos horizontales a nivel de losa superior

Pot 27 y 05: Desplazamientos horizontales a nivel de losa inferior.

Pot 28 y 29: Desplazamiento relativo entre base de tabique y base

Pot 11 y 30: Desplazamiento/Corrimiento de la base respecto a la losa de anclaje

Pot 19, 21, 7 y 8: Registro de alargamientos y acortamientos en extremos

Pot 18, 20, 14 y 6: Registro de alargamientos y acortamientos en extremos

Pot 22, 1, 15 y 3: Registro de alargamientos y acortamientos en extremos

|33|

Pot 13, 12, 4 y 2: Registro de alargamientos y acortamientos en extremos

Pot 9, 10, 00 y 31: Registro de distorsiones por corte

Fig ura 9

Esquema de Sensores sobre Modelos

Resultados obtenidos:

A continuación, se presenta la principal gráfica obtenida al ejecutar el ensayo Se trata de la relación entre la carga aplicada sobre la losa superior (suma de la fuerza con la que reaccionan ambos tabiques) y el desplazamiento horizontal registrado en dicha losa (el desplazamiento de cada tabique)

En la Figura 10, puede observarse que el comportamiento global de ambos tabiques es prácticamente idéntico, la carga máxima alcanzada es de +34 ton y36 ton para un desplazamiento máximo de +/-100 mm Pese a que el ensayo podría haber continuado, comenzaron a percibirse fallas en los extremos comprimidos, debido al pandeo de la armadura longitudinal, y se decidió frenar las pruebas en ese momento

De este modo, y sin dañar considerablemente el modelo, pueden tomarse decisiones de cómo proceder en el futuro: continuar el ensayo o reparar el modelo con el fin de realizar otras pruebas En la Figura 10 junto con el resultado global del ensayo, se han representado

diferentes límites y valores de referencia Entre ellos: Resistencia a Flexión = 36 ton: Es la máxima fuerza que puede desarrollarse por el mecanismo de flexión por ambos tabiques Se determinó en Apartado 7

Límite Vn = 11 7 ton: Se corresponde con el valor máximo teórico de corte que es posible desarrollar por ambos tabiques trabajando en conjunto, sin considerar el refuerzo colocado, ver apartado 8

Simplificación del comportamiento basado en modelo bi-lineal simétrico. En esta representación simplificada, se ha intentado ponderar el comportamiento obtenido al imponer desplazamientos positivos y negativos Se identifican dos puntos de interés, fluencia o entrada en rango no-lineal (subíndice “ y”) y valor máximo o último (subíndice “ u”)

11 CoNCLusIoNEs

El resultado de los experimentos, al comparar con las predicciones analíticas, muestran coherencia La pro-

|34|

puesta de refuerzo estructural es bastante simple de implementar y ha demostrado, en estos experimentos, ser bastante efectiva. De todas maneras, se recomienda que los estudios se amplíen para brindar un mayor sustento a lo encontrado en este trabajo Es muy importante evaluar las propiedades mecánicas de los materiales, tanto de los originales de la estructura que se pretende reforzar, como de los que formarán parte de dicho refuerzo Es recomendable que cualquier propuesta para refuerzo sea, en lo posible, sometida a ensayos, teniendo en cuenta que en nuestro medio existen laboratorios para llevar a cabo dichos estudios Los análisis, en todos los casos, deberían ser una combinación de estudios y experimentos En este trabajo, además, se ha aplicado la Ref [3], con su ampliación a la versión recientemente sometida a discusión pública, 2020. Se recomienda a todos los profesionales el estudio de dicho Reglamento, analizando sus fundamentos, muchos de los cuales, se explicitan en los comentarios incorporados en el mismo

12. REfERENCIAs

[1] Riesgo Sísmico. Diseño y Construcción Sismorresistente en Mendoz a Carlos R LLopiz FI-UNCuyo Curso Facultad de Arquitectura, Mz a.1990. 34 páginas. [2] Seismic Desig n of Reinforced Concrete and Masonr y Building s T Paulay and M J N Priestley John Wiley and Sons 1992 [3] Reglamento INPRES- CIRSO C 103, parte II, Construcciones de Hormigón Armado, versión 2005, y su actualiz ación versión 2020 [4] Reinforced Concrete Structures Robert Park and Tomas Paulay. John Wiley & Sons. 1975. [5] IMERIS Instituto de Mecánica Estructural y Riesgo Sísmico Facultad de Ingeniería UNCuyo http://ingenieria.uncuyo.edu.ar/instituto - demecanica- estructural-y -riesgo -sísmico -imeris26 [6] Reglamento INPRES- CIRSO C 103, parte I, Construcciones en General, versión 2013.

Fig ura 10

Respuesta Global del Ensayo Carga Total vs Desplaz amiento Horizontal Losa Superior

|35|
|36|
|37|

27° JoRNADAs ARGENTINAs DE INGENIERíA EsTRuCTuRAL

28 al 30 de setiembre y 1° de octubre de 2022

Modalidad MIxTA (virtual y presencial)

Del 28 al 30 de setiembre y 1° de octubre de 2022 se realizaron las 27ª Jornadas Argentinas de Ingeniería Estructural, en modalidad presencial y virtual, esta última solo para conferencias especiales y charlas técnico comerciales

El evento resultó un gran éxito, con más de 300 participantes de todo el país y del exterior, entre inscriptos, expositores y asistentes Más de 70 disertantes brindaron conferencias, charlas y exposiciones de trabajos Asimismo, nos acompañaron más de 25 empresas y socios como patrocinantes, y otras tantas instituciones profesionales y académicas, como auspiciantes

AIE > INfoRMA |38|
Ceremonia de inaug uración de las 27º Jornadas AIE
|39|
Las empresas compartieron sus novedades con los asistentes a las Jornadas AIE Expo Comercial: Stand Freyssinet: Ing. Eduardo Dános

LA oRGANIzACIÓN

El evento se venía organizando desde el año 2019, ya que las Jornadas se desarrollarían en setiembre de 2020 Ya estaba definida Rosario como sede y la Facultad de Ciencias Exactas, Ingeniería y Agrimensura de la Universidad Nacional de Rosario como coorganizadora

Como todos sabemos, pandemia por medio, se pospusieron las Jornadas Presenciales, y en 2021 se realizaron las 26° Jornadas de forma virtual

A fines de 2019 ya se habían reservado los salones del Hotel Ariston, estaba conformado el equipo de trabajo, y se había comenzado a desarrollar en la difusión, imagen visual y página web

|40|
Ing Pablo Carreira y M M O Martín Selvag gio representantes técnicos de CYPE LATAM

PREVIA

Luego de haberse desarrollado exitosamente las 26° Jornadas de forma virtual, se comenzó a diagramar el nuevo Congreso

Pensando en la ventaja que brinda la tecnología, se planteó en la posibilidad de que los asistentes que no pudieran viajar a Rosario se conecten y asistan al evento Otra de las posibilidades que brinda la tecnología es la transmisión en vivo de las Conferencias especiales impartidas desde el Exterior o de otra ciudad, al salón de conferencias plenarias, con el público presente y otros siguiendo la transmisión online Por ello se consideró esta opción para aquellos conferencistas especiales que no pudieran asistir personalmente

Para motivar a los/as asistentes a participar presencialmente, se establecieron diferentes medidas a tal efecto y se limitaron los contenidos a difundir vía streaming Además, se determinó que se entregarían los certificados de asistencia indicando en cada caso la partici-

pación presencial o remota La idea fundamental de estas 27° Jornadas fue el Reencuentro presencial, luego de dos años de no poder vernos personalmente

LAs ACTIVIDADEs DEL EVENTo

Durante las tres jornadas del evento, se realizaron las siguientes actividades:

6 Conferencias Especiales

• Dr Ing Roberto López Anido (Universidad de Maine, USA)

“Oportunidades y desafíos en ingeniería estructural por la irrupción de impresión 3D en la construcción.”

• Ing Santiago Daniele (Hotchieff, Londres)

“London Power Tunnels 2: renovación integral de la red de alta tensión en Londres ”

De Izq a Der Mg. Ing. Yolanda Galassi, Presidenta 27° JAIE, Lic Franco Bartolacci, Rector UNR, Dra. Ing. Graciela Utges, Decana FCEIA-UNR, Ing José Luis Conde, Secretario de Obras Públicas, Rosario e Ing Pablo L Diég uez, Presidente AIE

||41| 41|

• Ing Pablo Benedetto (AECOM, Madrid)

“Viaductos de Ferrocarril (mercancías, alta velocidad, metro) Particularidades del diseño ”

• Dr Ing Francisoc Crisafulli (Mendoza) y Dr Ing José A Inaudi (Córdoba)

“Diseño de sistemas de aislamiento para estructuras sismorresistentes ”

• Dr Ing Guillermo Etse (Tucumán)

“Modelación y análisis de interacción dinámica sísmica en sistemas suelo-fundación-molino ”

• Ing Martín E Polimeni (Buenos Aires)

“Ingeniería estructural forense ”

“Oportunidades y desafíos en ingeniería estructural por la irrupción de impresión 3D en la construcción.”

AIE > INfoRMA |42|
Dr Ing Roberto López Anido (Universidad de Maine, USA)

Presentación CEND (Comité de Ensayos No Destructivos)

• Ing Sebastián Laprida e Ing César Belinco “Aportes del OIEA para la capacitación en Ensayos No Destructivos en Ingeniería Civil con certificación de competencias personales de acuerdo a ISO 9712 ”

9 Charlas Técnico-Comerciales

• Ing Andrés Barnett Tapia - SIKA ARGENTINA

“Refuerzo de estructuras con CFRP postensado – Sika Carbostress ”

• Ing Dana del Valle Martella - TENSAR

“Industrialización de la construcción: potenciales aplicaciones de los prefabricados de hormigón ”

• Ing Edgardo Becker - LOMA NEGRA “Soluxa®, hormigones para obras de alto requerimiento ”

• Ing Jean-Roch Lucas - FREYSSINET

“Estructuras portuarias: inspección, reparación, refuerzo y prolongación de la vida útil ”

• Ing Rafael Blanca - ATEX “Diseño de entrepisos casetonados ”

• MSc Ing Emilio Minoru Takagi - PENETRON “Tecnología de cristalización para protección de las estructuras en el Puente de la Integración Brasil Paraguay ”

• Ing Stefano Bianchi, Ing Nicolás Slater, Ing Federico Rossi, Arq. Sebastián Bellomini, Tec. Matías Carrizo, M M O Gabriel CamposACINDAR

“Soluciones técnicas aplicadas en obras civiles y de infraestructura ”

• Ing Julio Cesar Tomas - ITAC LABORATORIO “Diagnóstico y caracterización de estructuras de hormigón ”

• Ing Pablo Rafael Torres - DLUBAL “Parametrización estructural ”

Ing. Andrés Barnett Tapia - SIKA ARGENTINA

“Refuerzo de estructuras con CFRP postensado – Sika Carbostress ”

AIE > INfoRMA |43|

Ing Rafael Blanca - ATEX

“Diseño de entrepisos casetonados.”

MSc Ing Emilio Minoru Takagi - PENETRON “Tecnología de cristaliz ación para protección de las estructuras en el Puente de la Integ ración Brasil Parag uay ”

|44| AIE > INfoRMA

54 ExPosICIoNEs DE TRABAJos

Más de 60 trabajos, que abarcaron una gran cantidad de temáticas de interés para nuestra profesión, fueron aprobados y publicados en las memorias del evento De ellos, 54 fueron presentados por sus autores durante el evento

Hubo una gran participación de colegas de todo el país, además de Brasil, Uruguay, Colombia, Bolivia, México y USA.

Se conformó un amplio Comité Científico evaluador, procurando la mayor participación posible de representantes de todo el país y del exterior

PREMIos y CoNCuRsos

• 18° Concurso Nacional de Modelos Estructurales Premio CPIC 2022 “Ing. Civil Norberto Walter Pazos”

Se desarrolló el Concurso en el salón principal del Hotel Ariston, con la organización del Instituto de Mecánica Aplicada y Estructuras (IMAE) de la Facultad de Ciencias Exactas, Ingeniería y Agrimensura (FCEIA), Universidad Nacional del Rosario (UNR).

El moderador fue el Ing Aníbal Tolosa, miembro de la Comisión de Premios y Concursos de la AIE Los jurados fueron Inga Stella Maris Koller (por parte del CAI), Ing Roberto Higa (AIE) e Ing Horacio Pieroni (CPIC)

Resultaron ganadores del 1° premio los estudiantes Hugo Quiñones, Tania Quenaya y Ariel Meneses de la UTN Facultad Regional Mendoza

AIE > INfoRMA |45|
Sesión Técnica moderada por la Mg Ing Yolanda Galassi

De Izq. a Der. Mg. Ing. Yolanda Galassi presidenta 27° JAIE, Tania Quenaya y Hugo Quiñones, ganadores del 1º puesto en el concurso, Mg Ing Aníbal Tolosa, Coordinador de la Comisión de Premios y Concursos y el Ing. Mariano Travaglia Vicepresidente de las 27°JAIE

De Izq. a Der. Mg. Ing Aníbal Tolosa, Coordinador de la Comisión de Premios y Concursos de la AIE, Mg Ing Yolanda Galassi presidenta 27° JAIE, Santiago Rolando, Valentino Benedetich, Ag ustín Rafaelli ganadores del 2º puesto en el concurso, y el Ing Mariano Travaglia Vicepresidente de las 27°JAIE

AIE > INfoRMA |46|
El 2° puesto fue para Valentino Benedetich, Agustín Rafaelli y Santiago Rolando de la FCEIA-UNR, y el 3° puesto correspondió al equipo de la FIUBA

• Premio “Ing José Luis Delpini” a la Estructura Notable Bienio 2021-2022

Se realizó una presentación de las dos obras ganadoras y se entregaron los diplomas correspondientes.

Ing Martín E Polimeni

“Viaducto ferroviario Mitre (excepto estaciones), ramal Tig re, entre Avs. Dorrego y Cong reso, Ciudad Autónoma de Buenos Aires, Argentina.”

Ing Carlos A Amura “Puente peatonal Centenario sobre el río San Antonio, Villa Carlos Paz, Córdoba, Argentina.”

|47|

CENA DE CAMARADERíA

El día jueves 29 de setiembre por la noche, se lleva a cabo la Cena de Camaradería en el Club Atlético de Rosario, club tradicional de la Ciudad, con impronta de club de Rugby y Hockey, al cual asistieron alrededor de 100 personas

Se desarrolló un show de baile y malambo y se realizó un sorteo de algunos premios otorgados por empresas patrocinantes

VIsITA DE oBRA DíA sáBADo 1° DE oCTuBRE

El día sábado por la mañana, se desarrolló la tradicional visita de obra. El traslado se realizó en colectivo partiendo desde el Hotel Ariston

Primeramente, se visitó la Nueva Planta Potabilizadora de Granadero Baigorria, en la que el personal de Aguas Santafesinas, representado por el Ing Tomás Goenaga, nos acompañó a recorrer la planta potabilizadora en funcionamiento y la obra actual, que es una planta simétrica a la que está funcionando, por lo que se vieron las etapas constructivas y el funcionamiento de dicha planta

Una vez terminado el recorrido, se realizó la segunda visita, a la Nueva Terminal Flexible del Aeropuerto Internacional Islas Malvinas de la ciudad de Rosario. Allí nos recibieron personal del aeropuerto, representado por el Ing Nicolás Poncino, y se realizó la visita a dicha obra, una estructura metálica de varios niveles con entrepiso de Steel deck, explicada por el Mg Ing Marcelo Del Río, proyectista de dicho edificio

Finalmente se regresó al Hotel Ariston en horario del mediodía

Fueron visitas a obras muy diferentes, con características interesantes cada una, tanto por su funcionalidad como por su metodología constructiva, de diseño, cálculo y logística de ejecución

CoNCLusIoNEs

Consideramos que el objetivo del reencuentro fue ampliamente cumplido, ya que se logró interactuar directamente con asistentes, colegas, empresas, estudiantes y académicos de todo el país y el exterior

Se pudo establecer un diálogo directo con representantes de empresas y conferencistas, tanto especiales, como comerciales y presenciar las ponencias de trabajos y lograr un mano a mano con los/as autores/as

La variedad de contenidos de calidad durante tres intensas jornadas, con una alta y activa participación de los más de 300 asistentes de todo el país y del exterior, nos deja realmente contentos.

En ese sentido, debemos destacar y agradecer la excelente predisposición de todos los disertantes, para cumplir con todos los requerimientos organizativos, horarios, formatos, y pruebas técnicas que debieron realizar con total generosidad

Fueron días de intenso trabajo, de coordinación, en la que el grupo de consocios, junto con el equipo técnico, diseñadores y proveedores de streaming, con el personal de la AIE: la Lic María Laura Rivas Díaz y Sandra Orrego (presentes en el evento) y Vilma Fernández Pozzi, y la colaboración de estudiantes de Ing Civil de la UNR, todos, formaron un gran equipo que trabajó con muchas ganas y en armonía

|48|

Agradecemos profundamente a todos ellos, a todos los disertantes, a los más de 300 participantes, y a todos los patrocinantes y auspiciantes No hay ninguna duda de que, sin la colaboración de cada uno de ellos, nada de esto se podría haber llevado a cabo

En lo personal, deseo destacar el trabajo realizado por el Ing Mariano Travaglia, Vicepresidente de la Comisión Organizadora y de María Laura Rivas, quienes han trabajado incansablemente en los meses previos a la realización de las Jornadas

Debo agradecer también a mis compañeros de equipo de la Facultad de Ingeniería, Dr Oscar Moller, Mg Ing Juan Pablo Ascheri, Ing Rubén López, Ing Edgardo Rinaudo, Ing. Roberto Higa y al Ing. Julián Orengo; quienes trabajaron en la corrección de trabajos, y se encargaron de la logística para el ensayo de modelos

También agradecer especialmente a las Comisiones Directivas de AIE que se sucedieron desde que comenzamos a trabajar en este sueño, desde 2019, Presidida por el Ing Gustavo Darín, el Ing, Andrés Malvar Perrín y el Ing Pablo Dieguez A todos ellos, agradecer el apoyo y el ánimo para seguir adelante

Creemos que este carácter federal que se ha dado en los últimos tiempos a las Jornadas Argentinas de Ingeniería Estructural ha sido muy enriquecedor y ha dado mayor participación a Socios del interior del país, como asistentes y organizadores

Hemos logrado el reencuentro y el entusiasmo por la ingeniería estructural y seguramente en las próximas Jornadas se continuará en esa línea

Muchos éxitos a los próximos organizadores, y estaremos a disposición para lo que necesiten.

Mg Ing Yolanda Galassi Presidenta Comisión Organizadora 27° Jornadas Argentinas de Ingeniería Estructural

CoMIsIÓN oRGANIzADoRA 27° JoRNADAs ARGENTINAs DE INGENIERíA EsTRuCTuRAL

Presidenta: Mg. Inga. Yolanda Galassi

Vicepresidente: Ing. Mariano Travaglia

Secretario: Ing. Rubén López Dr. Ing. Oscar Möller Mg. Ing. Juan Pablo Ascheri Ing Roberto Higa Ing. Horacio Pieroni Ing. Rafael García Tornadú Ing. Edgardo Rinaudo Ing. Julian Orengo

Organización: Lic. María Laura Rivas Díaz Comunicación e Imagen: Nera Design, Dg. Luciano Cotto

Plataforma online: Aulas Neo

AIE Administración: Sra. Sandra G. Orrego

|49|
H Y r i g o y e n 1 1 4 4 1 º O f 2 , ( C 1 0 8 6 A A T ) C i u d a d A u t ó n o m a d e B u e n o s A i r e s A r g e n t i n a Tel/Fax: (54 11) 4381-3452 / 5252-8838 E-mail: info09@aiearg org ar Web: www aiearg org ar D í a s y h o r a r i o d e a t e n c i ó n : l u n e s a v i e r n e s d e 1 3 a 1 8 As o c i a c i ó n d e I n g e n i e ros E s t r u c t u ra l e s A R G E N T I N A

Te invitamos a leer las ediciones de Revista IE, publicación de la Asociación de Ingenieros Estructurales para la divulgación e información sobre temáticas científicas y técnicas, en el siguiente link https://issuu.com/asociaciondeingenierosestructurales

|51|

Movilidad y nuevos acuerdos para la ingeniería argentina

En la mañana del 5 de octubre del presente año, transcurrió la segunda sesión de la 77ª Semana Oficial de Ingeniería y Agronomía, en Goiânia, Brasil. En el evento, organizado por el Consejo Federal de Ingeniería y Agronomía (CONFEA) se llevó a cabo el panel “Movilidad Profesional: Certificación Profesional y Acreditación de Cursos: Panorama Mundial”, donde representantes de entidades brasileñas e internacionales mostraron la situación general de las Ingenierías en sus países, las posibilidades y necesidades de los profesionales y cómo se lleva a cabo la acreditación de carreras para la apertura de la movilidad profesional En el cierre del encuentro, el presidente de CONFEA, Ing Civil Joel Krüger, firmó un convenio con Angola y Cabo Verde para posibilitar la movilidad profesional entre Brasil y los citados países, y un término de intención con Argentina, para trabajar en la futura firma de un convenio. El Ing. Civil Enrique Sgrelli, presidente honorario del Consejo Profesional de Ingeniería Civil (CPIC), representó a nuestro país en este importante evento.

Panel “Movilidad Profesional: Certificación Profesional y Acreditación de Cursos: Panorama Mundial”

La trascendencia del tema motivó el encuentro del presidente de CONFEA, Ing Civil Joel Krüger; el coordinador general de Cooperación Humanitaria de la Agencia Brasileña de Cooperación (ABC), Ministro José Solia, en representación del Ministro de Relaciones Exteriores, Carlos Alberto Franco França; el presidente de la Federación Mundial de Organizaciones de Ingeniería (FMOI), Ing. José Vieira; el presidente de la Unión Panamericana de Asociaciones de Ingenieros (UPADI), Ing Salvador Landeros; el ex director ejecutivo del Colegio Federado de Inge-

nieros de Costa Rica, Ing. Olman Vargas Zeledón; el empresario, Ing Civil João Casagrande; el presidente de la Orden de Ingenieros de Portugal, Ing Fernando Santos; el vicepresidente de la Orden de Ingenieros de Angola, Ing Augusto Baltazar; la directora de la Orden de Ingenieros de Cabo Verde, Ing Carla Tavares Martins; el presidente honorario del Consejo Profesional de Ingeniería Civil (CPIC), Ing. Enrique Sgrelli; y el coordinador de la Comisión de Articulación Institucional del Sistema (CASI), consejero federal Ing Evanio Ramos Nicoleit

AIE > INfoRMA |52|

Nuestro representante, el Ing. Civil Enrique Sgrelli, presidente honorario del Consejo Profesional de Ingeniería Civil (CPIC), brindó detalles acerca de la historia de la movilidad profesional en los países del MERCOSUR, donde “hace 20 años se estableció la primera norma de movilidad, pero aún quedan puntos por abordar”

En paralelo, comentó: “La movilidad conforma el tránsito de profesionales entre países, pero, en realidad, se sucede una integración de esos profesionales, una oportunidad de crear un firme vínculo a los efectos de fortalecer los servicios profesionales y el intercambio de conocimientos, fortaleciendo así a los países involucrados”.

El Ing Civil Enrique Sgrelli sostuvo: “Es posible crear acuerdos entre los países integrantes del MERCOSUR y de las naciones de habla portuguesa, un factor verdaderamente trascendental a los fines de garantizar una mayor presencia de la ingeniería civil, y sus profesiones afines, en la toma de decisiones clave para las distintas naciones y el crecimiento social y económico de las regiones involucradas”

Presentación del Ing. Civil Enrique Sg relli, presidente honorario del Consejo Profesional de Ingeniería Civil (CPIC)

fIRMA DE ACuERDos CoN ANGoLA, CABo VERDE y ARGENTINA

Luego de las diversas intervenciones sobre movilidad profesional, el presidente de la CONFEA, Ing. Civil Joel Krüger, firmó tres documentos con los representantes internacionales de Angola, Cabo Verde y Argentina

El Protocolo de Intenciones entre CONFEA y el Consejo Profesional de Ingeniería Civil, de Jurisdicción Nacional de la República Argentina, fue suscripto por el Ing Luis Perri, quien agradeció y afirmó: “La CONFEA ha impulsado el tema de la movilidad dentro del MERCOSUR, un aspecto sumamente relevante, debatido gracias a este trabajo claro y con una dirección definida para superar las dificultades”

Consultado sobre el particular, el presidente de la CONFEA señaló: “Este es un momento histórico para nuestros profesionales brasileños y de Cabo Verde, Angola y Argentina, a partir de la posibilidad de trabajar en estos países con una garantía de movilidad

Es un tiempo de agradecimiento a todos quienes contribuyeron, con su trabajo, para la firma de este protocolo Ciertamente, estamos trabajando en nuevas alianzas profesionales”

Agradecemos la colaboración de Débora Pereira (Crea-PR), Beatriz Craveiro y Lidiane Barbosa (CONFEA), y al 77° Equipo de comunicaciones de SoEA, por el aporte de contenidos y entrevistas para producir el presente artículo Créditos fotográficos: Marck Castro (CONFEA) y Juliana Nogueira

|53|

horizontes posibles para la ingeniería civil argentina

Por el Ing Civil Luis Perri Presidente del Consejo Profesional de Ingeniería Civil (CPIC)

Recientemente, nuestro Consejo Profesional de Ingeniería Civil (CPIC) ha llevado a cabo la renovación de sus autoridades, a partir del designio de sus matriculados, quienes presencial o virtualmente, brindaron su inestimable opinión A todos ellos, muchas gracias por participar Fruto de esos comicios, transparentados por el accionar de autoridades y veedores, surge una nueva conformación de voluntades deseosas de aportar su trabajo desinteresado, para el bien de la ingeniería civil argentina y sus profesiones afines

en nuestro Consejo, quien, como muchas otras, acercan sus propuestas y son escuchadas, más allá de cualquier característica ligada a parcialización alguna.

Simplemente, sus ideas son atendidas porque vienen de la mano de la propuesta franca y honesta; de la contribución a partir del compromiso La realidad nos demanda, con premura, tomar efectivas decisiones capaces de quitar del atraso y sufrimiento a muchos compatriotas deseosos de agua en cantidad y calidad suficiente; mejores viviendas, con un adecuado consumo energético; redes de transporte de calidad; efectivas comunicaciones, las cuales alcancen cada rincón de nuestro suelo Las exigencias son muchas, pero también, son cuantiosas las honestas voluntades dispuestas a dar pelea ante cada escollo, superándolo con pasión y optimismo, sin detenernos en el género, sino en el gesto profesional

Argentina atraviesa horas decisivas, y la ingeniería civil no debe permitirse el lugar de la contemplación, sino el del trabajo activo y concreto, abandonando las palabras huecas, las peleas sin sentido, y las grietas que solo conducen al atraso y la anacronía.

Por primera vez en toda su historia, el sillón de la vicepresidencia del CPIC será ocupado por una mujer, la ingeniera en construcciones Alejandra Raquel Fogel, quien reside en el interior de nuestro país. Pero ese sitial no merece calificarse por cuestiones de género o residencia, como quizás, en otros tiempos, pudiera concebirse Ese espacio será ocupado por una profesional de notables virtudes y activa participación

En cuanto a las propuestas palpables, la Junta Central de Consejos Profesionales de Arquitectura, Agrimensura e Ingenierías, brindó su apoyo al proyecto de ley para la regulación de la profesión de agrimensoras/es, ingenieras/os y arquitectas/os en la ciudad Autónoma de Buenos Aires (CABA). De la pluma del Legislador e Ingeniero en Construcciones Facundo Del Gaiso, surgió este proyecto que busca regularizar la administración de las citadas matrículas en su ámbito de pertenencia

AIE > INfoRMA |54|
ARGENTINA ATRAVIESA HORAS DECISIVAS, Y LA INGENIERÍA CIVIL NO DEBE PERMITIRSE EL LUGAR DE LA CONTEMPLACIÓN, SINO EL DEL TRABAJO ACTIVO Y CONCRETO, ABANDONANDO LAS PALABRAS HUECAS, LAS PELEAS SIN SENTIDO, Y LAS GRIETAS QUE SOLO CONDUCEN AL ATRASO Y LA ANACRONÍA.

Paralelamente, la implementación del régimen de alivio fiscal para la construcción federal Argentina y de acceso a la vivienda, conforma otro esperanzador logro, fruto de la comprometida participación de una serie de referentes de instituciones de primer nivel, las cuales buscan con sus planes, concientizar al Estado nacional acerca del decisivo rol de nuestra “madre de industrias”

En la mañana del 5 de octubre del presente año, transcurrió la segunda sesión de la 77ª Semana Oficial de Ingeniería y Agronomía, en Goiânia, Brasil En el evento, organizado por el Consejo Federal de Ingeniería y Agronomía (CONFEA), se llevó a cabo el panel “Movilidad Profesional: Certificación Profesional y Acreditación de Cursos: Panorama Mundial”, donde representantes de entidades brasileñas e internacionales mostraron la situación general de las Ingenierías en sus países, las posibilidades y necesidades de los profesionales y el estado de situación acerca de la acreditación de las carreras para la apertura de la movilidad profesional

En ese foro, nuestro representante, el Ing. Civil Enrique Sgrelli, presidente honorario del Consejo Profesional de Ingeniería Civil; brindó detalles acerca de la historia de la movilidad profesional en los países del MERCOSUR, donde “hace 20 años se estableció la primera norma de movilidad, pero aún quedan puntos por abordar La movilidad conforma el tránsito de profesionales entre países, pero, en realidad, se sucede una integración de esos profesionales, una oportunidad de crear un firme vínculo a los efectos de fortalecer los servicios profesionales y el intercambio de conocimientos, fortaleciendo así a los países involucrados

Es posible crear acuerdos entre los países integrantes del MERCOSUR y de las naciones de habla portuguesa, un factor verdaderamente trascendental a los fines de garantizar una mayor presencia de la ingeniería civil, y sus profesiones afines, en la toma de deci-

siones clave para las distintas naciones y el crecimiento social y económico de las regiones involucradas”. Luego de las diversas intervenciones sobre movilidad profesional, el presidente de la CONFEA, Ing Civil Joel Krüger, firmó tres documentos con los representantes internacionales de Angola, Cabo Verde y Argentina

Continuaremos divisando nuevos horizontes inclusivos y de participación para la ingeniería civil argentina Desde el CPIC, trabajamos ofreciendo cursos, organizando eventos de interés, editando libros con material útil para la labor profesional cotidiana, acrecentando el Acervo profesional, la firma digital, y participando de cuanto foro nos permite hacer oir nuestra voz para el bien de la profesión y el crecimiento de nuestra industria de la construcción.

|56|
AIE > INfoRMA

Estudiantes de la fIuBA reconocidas en las Jornadas AIE

El Departamento de Construcciones y Estructuras de la FIUBA, distinguió a las estudiantes María Constanza Ruffinelli, Carolina Barrera y Manuela Medina, por su destacada participación en las 27° Jornadas Argentinas de Ingeniería Estructural, llevadas a cabo entre el 28, 29, 30 de septiembre y 1º de octubre, en Rosario, Santa Fe

Las mencionadas concursaron y obtuvieron el 3º puesto en el “18° CONCURSO NACIONAL DE MODELOS ESTRUCTURALES, Ing Civil Norberto Walter Pazos, PREMIO CPIC 2022”, desarrollado en el marco de las Jornadas de la Asociación de Ingenieros Estructurales Participaron del Reconocomiento el Secretario del Departamento de Construcciones y Estructuras, Ing Horacio Mac Donnell, y el Presidente de la AIE, Ing Pablo Dieguez

AIE > INfoRMA |57|

foro para incentivar la construcción

Se llevó a cabo recietemente el primer encuentro del Foro de Reflexión para “Mejorar e incrementar la actividad en la Industria de la Construcción”

El evento tuvo cita en la sede del Centro Argentino de Ingenieros, donde se encontraron los principales referentes de una serie de instituciones decisivas para el sector

De esta manera, dijeron presente la Arq Rosa Aboy, flamante presidenta del Consejo Profesional de Arquitectura y Urbanismo (CPAU), junto a la Arq María Hojman, vicepresidenta 2° de la mencionada entidad; el MMO Ivan Swzwech, expresidente de la Cámara Argentina de la Construcción (CAMARCO); el Ing Juan Yacopino, integrante del Centro Argentino de Ingenieros (CAI); el Arq Damian Tabakman, referente de la Cámara Empresaria de Desarrolladores Urbanos (CEDU); el Ing Pablo Diéguez, presidente de la Asociación de Ingenieros Estructurales (AIE); Carlos Spina, presidente de la Asociación de Empresarios de la Vivienda (AEV), el Arq Darío López, expresidente de la Sociedad Central de Arquitectos (SCA) y el Ing Civil Luis Perri, presidente del Consejo Profesional de Ingeniería Civil (CPIC)

Este Foro, convocado por el Centro Argentino de Ingenieros, propició al diálogo y el acuerdo entre los mencionados protagonistas, coincidiendo en el estímulo a una serie de políticas tendientes a incentivar y promover el aumento de la actividad en la industria de la construcción de nuestro país

Consultado sobre el particular, el Ing. Civil Luis Perri, presidente del CPIC, afirmó: “Desde siempre se ha reconocido a la industria de la construcción como madre de todas las industrias, dado el fundamental peso que su cadena de valor representa para la economía de un país, el crecimiento de su infraestructura, y en definitiva, la calidad de vida de su gente

Esta serie de encuentros que fomentamos busca acordar planes y estrategias a fin de motorizar proyectos capaces de vehiculizar positivas acciones

Ciertas políticas adoptadas por el ejecutivo nacional, como la reanudación de la ley de blanqueo de capitales, apuntan a obtener plausibles resultados.

Sin duda, este encuentro será el primero de muchos ante los cuales, los presentes nos hemos comprometido a continuar”, señaló el presidente del CPIC

|58|
AIE > INfoRMA

Microcharlas AIE

La Asociación de Ingenieros Estructurales (AIE) informa a sus asociados que continúa, con singular éxito, brindando las denominadas “Microcharlas AIE”, un original formato de capacitación el cual destaca una serie de temáticas de interés para los profesionales del sector. Brindamos detalles de los últimos encuentros llevados a cabo.

MICRoChARLA EsTRuCTuRAs EsTANCAs soMETIDAs A CARGA DE ACuífERos LosA DE suBPREsIÓN CoN ADITIVos CRIsTALIzANTE

La Asociación de Ingenieros Estructurales (AIE) y la firma Penetron Argentina, realizaron la Microcharla “Estructuras Estancas Sometidas a Carga de Acuíferos: Losa de subpresión con aditivos cristalizante”, el pasado 18 de agosto a las 18 00 horas La misma fue dictada por el Ing Emilio Takagy En el evento, el citado especialista destacó la determina-

ción del nivel del acuífero, supuestos de carga para cimentaciones directas y profundas, y losas de subpresión: Estado Límite Último (ELU) y Estado Límite de Servicio (ELS); al tiempo de brindar detalles constructivos y particularidades del hormigón impermeable, sumando casos reales aplicados en obras ejecutadas

|59|
AIE > INfoRMA

MICRoChARLA NuEVAs TECNoLoGíAs EN LosAs CAsEToNADAs INNoVACIÓN, AhoRRo y oPTIMIzACIÓN DE PRoCEsos

En este caso, la Asociación de Ingenieros Estruct les (AIE) junto a la empresa Atex Argentina, ofre ron la Microcharla “Nuevas Tecnologías en L Casetonadas: Innovación, ahorro y optimizació procesos”, presentada el pasado 31 de agosto a 19 00 horas, siendo su disertante el Ing Octavio H merschmidt Entre los temas analizados por el pr sional se listan: ¿Por qué las losas casetonadas vue a ser tendencia en nuevos proyectos?; Nuevas tec logías aplicadas a la fabricación de moldes recup bles: Variedad de tamaños, gran resistencia, perf terminación; Ventajas frente a metodologías tradi nales; Industrialización y mejoras de rendimiento obra; y Ahorros versus otros sistemas de losas ali nadas (postesado, esferas, poliestireno) y losas tr cionales (losas + viga, entrepisos sin viga)

MICRoChARLA VIADuCTo fERRoVIARIo MITRE, CABA

El Ing Martín Polimeni, ganador del Premio a la Estructura Notable Ing. José Luis Delpini- Bienio 2021-2022, protagonizó la Microcharla “Viaducto ferroviario Mitre, CABA”, el pasado 11 de noviembre a las 18 horas En la primera parte de la charla, se abordaron los aspectos y criterios técnicos concernientes a la ejecución de viaductos ferroviarios y viales, desde la elección de la luz óptima, el diseño de la sección transversal, tipos de pilas de apoyo, etc. Seguidamente, se describieron el diseño estructural y la ejecución de la obra del Viaducto Ferroviario Mitre, su posteado externo y mixto, la ejecución de dovelas y pilas de fundación Entre los objetivos perseguidos por el encuentro se destacan: Introducir conceptos sobre diseño, construcción, transporte y sistemas de montaje de viaductos ferroviarios y viales de hormi-

Más información: www aie org ar

AIE > INfoRMA |60|

Nuevas autoridades del CPAu

Tal como indica el reglamento del Consejo Profesional de Arquitectura y Urbanismo (CPAU), se definieron los cargos de la Mesa Directiva para el periodo 2022/2023.

Además, integran el CPAU el Arq Néstor Magariños (vicepresidente 1°), la Arq María Hojman (vicepresidenta 2°), la Arq Cayetana Mercé (Secretaria), el Arq Eduardo Albanese (pro-secretario), la Arq. Graciela Novoa (tesorera) quienes conforman el actual Consejo con la Arq Griselda Balián, el Arq Roberto Frangella, la Arq María Dujovne, el Arq Enrique García Espil, el Arq Carlos Salaberry, el Arq Marcelo Vila, el Arq Andrés Borthagaray, la Arq Paloma Carignani, la Arq Carolina Day (pro-tesorera) y el Arq Matías Gigli. Las Arqs. Carolina Jaroslavsly, Gabriela Muzio y Marta García Falcó, se desempeñan como consejeras suplentes

Arq Rosa Aboy, presidenta del CPAU.

Rosa Aboy, quien lleva dos años como consejera del CPAU, y fue la persona más votada en la elección de 2020, es la actual presidenta de la citada organización Aboy es arquitecta por la Universidad de Buenos Aires, Magister en Investigación Histórica y Doctora en Historia Moderna En el ámbito institucional, también es presidenta de la Comisión de Formación y Asuntos Universitarios del CPAU y vicepresidenta del Instituto Ciudad-Políticas Públicas para Buenos Aires.

De izquierda a derecha: Enrique García Espil, Carlos Salaberr y, Andrés Borthagaray, Griselda Balián, Marta García Falcó, María Dujovne, Roberto Frangella, Gabriela Muzio, Eduardo Albanese, Rosa Aboy, Cayetana Mercé, Marcelo Vila, Graciela Novoa, Néstor Magariños, Carolina Jaroslavsly y María Hojman. No están en la foto: Arq. Paloma Carig nani, Arq Carolina Day y Arq Matías Gigli

AIE > INfoRMA |61|

Turn static files into dynamic content formats.

Create a flipbook
Issuu converts static files into: digital portfolios, online yearbooks, online catalogs, digital photo albums and more. Sign up and create your flipbook.