TCM East - December 2020

Page 1


TOP CROP MANAGER

POWERED BY DIVERSITY

The benefits of greater diversity in soybean rotations

PG. 26

SEEDS FOR COLD SOILS

Expanding soybean growing regions in Saskatchewan

PG. 6

IF YOUR CORN PLANTS COULD TALK

Developing a better in-season fertilizer application tool

PG. 16

TOP CROP

MANAGER

PLANT BREEDING

6 | Developing seeds for cold Prairie soils

Reducing risk and expanding profitable growing regions of soybeans in Saskatchewan. by Donna Fleury

FROM THE EDITOR

4 Looking ahead to a bright future by Stefanie Croley

AGRONOMY UPDATE

34 Crop rotation and clubroot resistance still management tools by Bruce Barker

PESTS AND DISEASES

12 Insect invasion: non-native pest threats by Mark Halsall

ON THE WEB

FERTILITY AND NUTRIENTS

16 | If your corn plants could talk . . .

Developing a better tool for determining in-season fertilizer applications for corn. by Carolyn King

FERTILITY AND NUTRIENTS

24 Toward nitrogen-fixing cereals by Carolyn King

WEED MANAGEMENT

30 Mitigating and managing GR weeds in soybeans by Donna Fleury

SOYBEANS

32 Long days, cold nights, short seasons by Carolyn King

PMRA DISCONTINUES LINURON HERBICIDE FOR FIELD CROPS

CROP MANAGEMENT

26 | Powered by diversity

Greater diversity in soybean rotations dramatically boosts yield and soil health. by Carolyn King

CROP MANAGEMENT

36 Using weather modelling projects to help make decisions by Julienne Isaacs

PESTS AND DISEASES

38 Soybean gall midge: heading towards Canada? by Carolyn King

Health Canada has cancelled registration of linuron for field corn, wheat, barley, oats and soybeans, in addition to several horticultural crops, as the health risks were deemed unacceptable. TopCropManager.com

Readers will find numerous references to pesticide and fertility applications, methods, timing and rates in the pages of

Crop Manager. We encourage growers to check product registration

and consult with

recommendations and

labels for complete instructions.

LOOKING AHEAD TO A BRIGHT FUTURE

At the risk of sounding cliché, it’s hard to believe the end of 2020 – which, somehow, has been equally the longest and shortest of years in recent memory – is near. Despite many attempts to change the subject, COVID-19 has found a way to insert itself into every aspect of our lives in 2020 – it is a global pandemic, after all. When news first broke of the novel coronavirus in late February, there was so much uncertainty surrounding it: unfounded claims, a lack of scientific research or evidence and “fake news” coming from so-called experts on the Internet.

As weeks progressed, the uncertainty spread to fear, evidenced by empty grocery store shelves across Canada, which shifted the way many people thought about food. Suddenly, things like eggs, flour and meat were hard to find. Food supply was the hot-button topic of the spring and summer, with more focus on local, sustainable food sources, as Canadians suddenly had a renewed interest in where their food comes from.

I recently attended a virtual event during which Sylvain Charlebois, director of the AgriFood Analytics Lab at Dalhousie University, noted the same observation. “What we’ve experienced as a community [over the last eight months] has profoundly changed our relationship with food,” he said, referencing a study that noted one in five Canadians started gardening in 2020. “Essentially, one in five Canadians became a farmer this year,” he said, noting the study excluded fine herbs and cannabis. “All of the sudden you’re seeing a marketplace that is more in tune with food systems . . . essentially people want to take ownership of their own food supply chain.”

While the empty shelves of the early days of the pandemic were concerning, the Canadian Centre for Food Integrity (CCFI)’s 2020 Public Trust Research report says 87 per cent of those polled have faith that the country’s food supply chain will keep fresh food available for all Canadians. However, the report also states while Canada’s food system has weathered the storm brought by COVID-19, the cost of food is a top-of-mind concern for respondents of the survey – perhaps reflected by the increase of backyard gardens this year, as Charlebois alluded to. But by far, the standout stat in the CCFI’s November report is that consumers place the most overall trust in farmers when it comes to information about food and food safety.

As we welcome 2021, I encourage you to consider this New Year’s resolution: make a concerted effort to help educate those around you about the important role that Canadian farmers play in Canada’s food supply chain. We may still be living in uncertain times, but the pandemic has confirmed more than ever that Canadian farmers are essential.

Wishing you the best for the New Year.

Mental health isn’t something we talk about. to ignore

It’s time to start changing the way we talk about farmers and farming. To recognize that just like anyone else, sometimes we might need a little help dealing with issues like stress, anxiety, and depression. That’s why the Do More Agriculture Foundation is here, ready to provide access to mental health resources like counselling, training and education, tailored specifically to the needs of Canadian farmers and their families.

DEVELOPING SEEDS FOR COLD PRAIRIE SOILS

Reducing risk and expanding profitable growing regions of soybeans in Saskatchewan.

Adding soybeans to a crop rotation can be beneficial, but there are still maturity and yield risks in the shorter-growing season areas in Saskatchewan. Soybean acres in Saskatchewan reached around 840,000 acres in 2017, but with early frost risk and poor yields, the soybean acreage dropped by half the following year. Now, researchers are working on strategies to extend the growing season for soybean and canola in Saskatchewan.

“In talking to farmers, they are looking for ways to reduce the risk of growing soybean in Saskatchewan and to expand the profitable growing region,” says Joanne Ernest, research associate with the Global Institute of Food Security (GIFS) at the University of Saskatchewan. “Anecdotally, extending the growing season by one week should be sufficient to turn soybean into a profitable crop in Saskatchewan and Alberta. To do that, we need to either shorten

the maturity of soybean or somehow expand the effective growing season. There are several people in the world working on reducing maturity, but there can be a yield penalty to a shorter maturity time. Therefore, we wanted to approach it from a slightly different angle by trying to extend the growing time by getting the seeds in the ground earlier.”

In a new three-year GIFS project launched in 2020, a collaboration between Ernest, whose research focus is on seeds and germination, and Leon Kochian, associate director of GIFS and Canada Excellence Research Chair in Food Security with research priorities in root growth and seedling establishment, are developing seeds for cold Prairie soils. Funded jointly by ADF and GIFS, the

ABOVE: Joanne Ernest and Leon Kochian in their Global Institute of Food Security lab at the University of Saskatchewan developing early-sown crops adapted to cold Prairie soils.

project brings together their two independent projects to screen extensive panels of soybean for genotypes which can germinate and grow in cold soils. Traditional breeding is not equipped to investigate belowground traits such as fast or cold-tolerant germination and seedling root growth. This project will identify genes, proteins and genetic markers that are associated with coldenabled germination and root growth.

“Seeding earlier in the season means addressing the risks of seeding into cold soils that . . . ultimately increase the time to maturity and reduce yield.”

“By developing soybeans that will germinate and thrive earlier in the season, we can extend the growing time before potential fall frosts,” Ernest explains. “Seeding earlier in the season means addressing the risks of seeding into cold soils that can have impacts on germination, emergence and especially root establishment that ultimately increase the time to maturity and reduce yield. Cold soils can also expose the seed to increased soil pest and pathogen attack, impacting rate and uniformity of seedling emergence. We also wanted to look at mitigating the risk of early sowing of canola. We thought that looking at these two crops side by side allows us to focus on an established crop like canola alongside soybean, a relative newcomer to Saskatchewan. Early sowing of both canola and soybean could result in a number of benefits to producers, including optimal flowering and seedfilling stages during the moist summer period, and reduced risk of frost damage in the fall. Harvesting can also be moved forward, often meaning better harvesting conditions and improved yields.”

In the first stage of the project, researchers are screening about

Progress. Profits.

200 soybean lines for cold tolerance at both the germination and root growth stages. The team is working with François Belzile at Université Laval in Quebec, who has provided a specially designed soybean genetic mapping population that captures most of the diversity available for short-season soybeans. “Dr. Belzile recently led a large Genome Canada project called SoyaGen, which focused on molecular and quantitative genetics and has genotyped millions of differences in DNA sequencing for maturity genes or genetic markers,” Kochian says. “We are finding a lot of genetic variation from phenotyping this soybean population and suspect that some of the cold-tolerant seeds that have cold-tolerant roots may be due to the same genes. However, in other cases we are certain there will be a separate set of genes, because germination, and root emergence and growth are very complex integrated processes.”

The researchers are also conducting similar screening work with canola, using a large, complex and diverse genetic population with lots of genetic markers developed by Sally Vail, oilseed breeder

at Agriculture and Agri-Food Canada (AAFC) in Saskatoon. They are screening the population for both variation in germination under low temperatures and for seedling development and root and shoot growth at low temperatures. Kochian adds doing this genetic analysis on trait variations using very sophisticated genetic analysis computer programs allows them to scan the whole DNA genome of both soybean and canola. This helps to narrow down the genome to very discrete regions where these genes reside that confer this variation in traits and increase in tolerance. This can lead to the identification of gene-specific markers that can help speed the breeding for cold-tolerance through marker-assisted breeding.

Along with the genomics approaches, Ernest is also adding a proteomics approach to look closer at the proteins involved in germination. “The genome encompasses all of the genes in a sample of the tissue, while the proteome of the seed includes several proteins that affect germination, many of which are laid down while the seed is maturing. Sometimes looking at the genes that are switched on at that time is less useful than looking at the proteins that are present. This work is being done in collaboration with AAFC in Morden, Man. We are also collaborating with AAFC in Saskatoon and the Crop Development Centre on field trials. One of our goals is to not only have germination and root growth capability at lower temperatures, but also faster germination and root growth that can help protect seedlings from pathogen attack by speeding up emergence and establishment.”

Kochian, who has researched the role of roots and root biology to crop adaptation to soil-based abiotic stresses for many years, is using a hydroponic system for screening root phenotypes. This allows for screening thousands of plants a day, measuring root growth from digital imaging. “We have combined hydroponics with a thermostated chiller in the lab that lets us screen seedling growth at low tempera-

tures between 10 C and 12 C,” he adds. “We are seeing significant variation in tolerance from lines with short to very long roots in the first week or two at low germination and seedling growth temperatures. Roots are very sensitive to soil temperatures and tend to slow down their growth in the cool soils. In the first week after seeding, the plant is almost all root and hardly any shoot. The roots need to get established to take up nutrients and water to really get the seedlings growing. We are trying to improve the tolerance of seeds, roots and seedlings to a range of abiotic stresses including cold stress. By selecting the most vigorous, healthy seedlings, they may also have a better chance of fighting off biotic stresses, such as diseases.”

Once the screening and testing is completed for cold tolerance of soybean and canola at both the germination and root growth stages, the results will be evaluated in field trials under cold soils by plant breeding collaborators including Sally Vail at AAFC and Tom Warkentin at the Crop Development Centre in Saskatoon. The varieties that successfully establish in cold soil field trials, along with relevant genetic markers, can then be used to transfer the cold tolerance trait into elite varieties, generating high performing, early sowing crops for Saskatchewan producers.

“We don’t know yet what the limitations will be, but as we keep screening and searching for the genes and if the genetic variation is there, then we can see how far we can push out into suitable growing regions further north into Saskatchewan and Alberta,” Ernest adds. “If we can reduce the risk of seeding in cold temperatures and mitigate the potential losses due to early frost to grow soybeans successfully, then they are a wonderful crop to add to a rotation. These same benefits will also help established crops such as canola achieve better growth and yields. We are working towards developing early sown crops adapted to cold Prairie soils that will reduce risk for producers and extend the growing season for crops.”

Once lab tests are complete, soybean and canola will be evaluated in cold-soil field trials in Saskatoon.

THREE CROP-FRIENDLY NUTRIENTS BALANCED IN EVERY GRANULE

Sometimes the best solutions aren’t engineered, they’re discovered. From a unique mineral found at only a few locations in the world, K-Mag® features crop-friendly potassium, magnesium and sulphur with low chloride levels and neutral pH. The result is a safe and powerful crop fertilizer that allows every plant to get the nutrition it needs to achieve its full potential.

Talk to your retailer or visit CropNutrition.com/K-mag to learn

InVigor® has done it again.

The 2020 trial results demonstrate what many growers have known for decades. InVigor hybrid canola has a long history of consistency and performance. But don’t just take our word for it. We have the most extensive, replicated localized trial data that says it all.

For more information, contact AgSolutions® Customer Care at 1-877-371-BASF (2273) or visit agsolutions.ca/InVigor.

Always read and follow label directions.

PESTS AND DISEASES

INSECT INVASION: NON-NATIVE PEST THREATS

AAFC scientists are assessing risks by modelling where invasive insects could turn up next.

When marauding pest species arrive from other parts of the world, they can be a nightmare for Canadian farmers, capable of destroying crops and causing millions of dollars in lost yield.

One way that Agriculture and Agri-Food Canada (AAFC) scientists are responding to this danger is through a research project aimed at learning more about potential insect invaders and where they could inflict the greatest damage.

“I think that just in general, invasive species are becoming more and more of a threat,” says Meghan Vankosky, a field crop entomologist at AAFC’s Saskatoon Research and Development Centre in Saskatchewan. “It’s really important to be forward-thinking about what could be a risk.”

Vankosky is working with fellow scientists Paul Fields of AAFC Winnipeg and Peter Mason of AAFC Ottawa to develop models capable of predicting where alien insect species might establish if they become invasive to Canada.

“Knowing is very important, and once we know what the risk is, then we can invest resources to have strategies in place before the species arrives,” Vankosky says.

One such strategy would be to focus monitoring efforts on those areas where non-native insects are mostly likely to establish.

“The project is meant to be proactive and ensure that we look in the right places for invasive insects,” Vankosky says. “Early detection is key, because even if a small population becomes established, it can be very difficult to eradicate.”

The project, which started in 2018, is wrapping up this year.

TOP: Research scientist Meghan Vankosky is leading the Agriculture and Agri-Food Canada study on invasive insects.

INSET: The diamondback moth, an invasive insect that feeds on canola and other Brassica species, migrates into Canada from the U.S. fairly often. Agriculture and Agri-Food Canada researchers are studying two parasitic wasps that could possibly be used as biocontrol agents against the pest.

Vankosky says to help decide which pests to focus on for the study, the researchers consulted the Canadian Food Inspection Agency, other AAFC scientists examining invasive species, and international colleagues.

Vankosky notes that for a non-native insect species to establish itself in Canada, it has to have a plentiful food source and environmental conditions also have to be just right.

“If it’s too cold or too hot, or too dry or too wet, an invasive species might not survive in Canada,” she says.

Vankosky says the researchers have developed bioclimate models for a few potential insect threats, and for some other others, they’ve identified research and knowledge gaps that need to be filled before modelling can occur.

One of the species examined in the study was the cabbage stem flea beetle, Psylliodes chrysocephalus, an insect found in Europe which is a potential canola pest.

Vankosky says the modelling for this species indicated the insect could possibly overwinter in Canada and is most likely to establish in southern Ontario and Manitoba, where it tends to be more humid.

Vankosky says drier parts of the canola growing range are at less risk of invasion but she cautions that this is only a preliminary model.

Another species the researchers looked at was the pea aphid, a potential pest in field peas, other pulse crops and alfalfa. According to Vankosky, the pea aphid is a migratory pest originating in the U.S. that comes up into southern Manitoba, Saskatchewan and Alberta every couple of years.

“We’ve done some modelling with that to see if it could overwinter here or not,” Vankosky says. She stresses the results are preliminary, but they show that the pea aphid is not likely to withstand Canadian winters.

A potential soybean pest, the Kudzu bug, was also studied to assess whether it could survive in Canada if it migrated north from the United States. Vankosky says the research hasn’t reached the modelling stage due to a lack of solid information about the insect.

“That one is definitely still a work in progress,” she says.

Vankosky says canola and other Brassica oilseed crops may be a little more at risk for invasive insects because they’re part of a very diverse family of plants.

When your entire season is on the line, you know the right call is going with a pro. For over 24 years, Liberty® 150 herbicide has been the choice of InVigor® hybrid canola growers. In addition to a trusted formulation and consistent, industry-leading performance, it’s backed by exceptional agronomic support and service. Because like you, Liberty has earned its reputation in more ways than one. Visit agsolutions.ca/Liberty to learn more.

$1/acre* on Liberty by

“Most of the really serious insect pests that eat canola and its relatives are well adapted to feeding on that particular plant family,” she says. “But really, any crop could be damaged by a number of different species that are potentially invasive.”

Vankosky notes that once an invasive insect gets a toehold in Canada, it can become a pest very quickly due to a lack of natural predators which could act as a population check.

“If they can survive the local conditions here, then they probably don’t have anything that eats them, or the predators that are here might not recognize this new insect as something they can eat,” she says.

To make matters worse, producers may be stuck with few control options that could slow the invading insect’s spread and reduce the impact on their farm.

“They’re new, so farmers in Canada have never had to deal with them before. It could be that there are no registered insecticides available to use against them here, just because they’ve just never had to be managed in Canada,” Vankosky says.

She adds that looking at how invasive insects are controlled in the place they come from can help, but it isn’t always the answer.

“In some cases, the insects that are invasive in Canada are not pests or are minor pests where they came from, because they are managed by their natural enemies,” Vankosky says. “There isn’t any information on how to control these species using insecticides because insecticides are not needed where the insects originated from.”

As part of the project, the AAFC researchers are also studying the natural enemies of some invasive insect pests to see if they could be used as biocontrol agents.

“In other parts of the world there are potential predators of some of these emerging pests that are also present in Canada,” Vankosky

says. She notes that one of these invasive species is the diamondback moth, which feeds on canola and other Brassica species.

“It’s not something that necessarily overwinters in Canada, but it does migrate in from the U.S. quite often. It has become more of a pest in Canada because of the prevalence of canola, so we’re looking at two parasitoids of the diamondback moth,” Vankosky says.

The parasitoids – Diadromus subtilicornis and Diadromus collaris –are parasitic wasps that lay their eggs in diamondback moth larvae and then eat the caterpillars when they hatch.

According to Vankosky, Diadromus subtilicornis is already present in Canada and Diadromus collaris, which is found in Europe, is not.

Vankosky says Diadromus collaris is being studied to learn more about its biology and its temperature restrictions to see how they match up with climate conditions in Canada in order to determine if they could survive here or not.

Once this project wraps up, Vankosky is hoping to continue working on gaining a fuller understanding of the biology of potential pest threats. She says that’s important because it can help inform management decisions for any invasive insects that do manage to establish in Canada.

“Some insects might be easier to manage as eggs or larvae, but some might be easier to manage when they’re adults. And there could be certain strategies that we can use to monitor them, or to interfere with their reproduction with chemical pheromones, which would be very effective for some species, but not for others,” Vankosky says.

“Understanding the biology and population ecology of invasive insects is very important in terms of developing models, managing the insects, and estimating their potential impact. It’s the biological information that really underpins pest management.”

The pea leaf weevil is an invasive pest of field pea and fababean plants on the Canadian Prairies. Adults chew U-shaped notches into the leaf margins and larvae destroy nitrogen-fixing root nodules.

SAVE MONEY, MAKE MONEY WITH

AGI NECO

DRYERS

AGI NECO has the most fuel efficient grain dryer on the market. You’ll save time and money on all your crops.

SCREENLESS

1-2 lbs on average heavier test weight per bushel than screen dryers

FUEL EFFICIENT

30% average fuel savings

COMMANDER CONTROL

Remote management and monitoring eliminates the time and expense of “dryer watching”

STAINLESS FUEL TRAINS

No corrosion, no rusting and better performance

IF YOUR CORN PLANTS COULD TALK . . .

Developing a better tool for determining in-season fertilizer applications for corn.

Applying some nitrogen (N) fertilizer at planting and some in-season can be a good option for corn production, helping to meet the crop’s late-season N needs and reducing the risk of N losses to the environment. However, as growers know, accurately assessing just how much N to apply in-season – to meet but not exceed the crop’s requirements – can be tricky.

Now, Gaétan Parent is leading an Agriculture and Agri-Food Canada (AAFC) project on an alternative method for determining in-season N needs. The project team is evaluating this method under Quebec and Manitoba conditions and adapting it to provide an easy, rapid, effective tool for growers.

“With nitrogen applications, there is no one-size-fits-all. When we do studies on the 4Rs of fertilizer management – right source, right rate, right time and right place – we always have a limited number of sites over a limited number of years. So we’re not going to experience every possible situation out there. And we find that certain sites will respond in certain ways in certain years, but that could change dramatically from site to site or from year to year,” notes Curtis Cavers, an AAFC agronomist in Portage la Prairie, Man., who is co-leading the project.

“That’s why we’re focusing on developing a tool for growers to help inform their decisions about how much nitrogen, if any, to add in-season to either meet their crop’s yield potential in good growing conditions or minimize their costs in less than ideal growing conditions.”

A plant-based approach

The project, which started in 2018, initially focused on a plantbased method called the Nitrogen Nutrient Index (NNI) to determine in-season N rates.

“In Quebec, growers usually base their in-season N applications on a soil nitrate test called PSNT (pre-sidedress nitrate test). But in the scientific literature, the results with the PSNT approach are not necessarily always conclusive,” says Parent, who is a senior soil resource specialist with AAFC in Quebec City.

“NNI was originally developed in France. Based on the work carried out by colleagues here in Quebec and other researchers in France, we think this plant-based approach is probably better

A project to develop a better way to determine in-season nitrogen needs for corn is comparing various fertilizer options, including different rates and sources at planting.

than PSNT for determining the soil’s capacity to provide nutrients, such as nitrogen in our case. In my view, a plant-based approach is probably a better way of really well integrating all the processes that are taking place in the soil.”

One of the project’s objectives is to compare NNI with PSNT to see if NNI would be a more accurate predictor of in-season

PHOTOS

IT STARTS WITH GOOD DECISIONS

The growing season comes with unexpected challenges, and if you knew the outcome, making decisions would be easy. We understand you need to optimize productivity and are committed to ensuring your success with best-in-class products and services. The best option for your farm operations begins with Richardson Pioneer.

WITH YOU EVERY STEP OF THE WAY

richardson.ca

N needs for corn. Another objective is to make this plant-based method easier for growers to use. To determine NNI, scientists have to collect all the above-ground biomass in one to two metres of a corn row and then conduct time-consuming lab analyses to measure the plant’s N content and the amount of biomass.

Parent says, “We know that nobody would do this in a real-life farm situation. So we are working on a way to rapidly determine NNI directly in the field using Crop Circle, an optical sensor that measures certain light wavelengths reflected by the crop canopy.”

He explains that the sensor data makes it possible to calculate more than 50 different indicators related to plant health. The researchers can try out those indicators to see which one correlates best with the NNI results obtained by the rigorous scientific method.

Another practical concern with NNI is that it is more accurate if the corn is sampled at the V12 growth stage. But is V12 the best time for in-season N applications in Canadian corn crops?

“We want to find out, if we apply the in-season N application in corn that much later than farmers usually do in Quebec and Manitoba, are there any advantages or are there maybe some issues with N efficiency and corn yield?” Parent notes.

“Also, instead of making the prediction at V12, we want to see if we can make as accurate a prediction at V8. A V8 timing would be better for farmers who don’t have high-clearance equipment for applying fertilizer at V12.”

As well, the researchers are determining the tallest corn height at which conventional height tractors and fertilizer spreaders could be used to apply N on corn without reducing corn yields.

Assessing tool performance

“We are trying to include as many different conditions as possible in our field experiments to be sure that our tool will be fully efficient under those varied conditions,” Parent explains.

So the project’s Quebec sites are selected to encompass a range of climate and soil conditions, as well as different management practices, like no-till versus conventional tillage, manure versus no manure application, and continuous corn versus a crop rotation. He says, “We usually try to have a site near Montreal, a site in Sherbrooke, a couple of sites between Montreal and Quebec City, and some sites around Quebec City.” The number of Quebec sites varies somewhat from year to year.

The project also has two Manitoba sites: a Portage La Prairie site with clay soil and relatively cooler growing conditions, and a Morden site with sandy soil and relatively warmer conditions.

The field experiments involve replicated plot trials with various fertilizer management options for an N application at planting and an in-season N application.

For the N applications at planting, the treatments include: no N fertilizer, as a check treatment; 50 kilograms (kg) of N per hectare (ha) applied as calcium ammonium nitrate (27-0-0); 50 kg/ha of N applied as UAN (urea ammonium nitrate, 32-0-0) with Agrotain, a urease inhibitor; and 75 kg/ha of N as UAN with Agrotain. The 75-kg/ha treatment is included just to be sure that the corn is not suffering from an N deficiency if the crop has to wait until V12 to receive the in-season application.

The in-season N application is applied at one of V4, V8 or V12. The N is applied as UAN with Agrotain at rates from 0 to 220 kg/ ha.

The project team adapted some existing equipment to provide higher clearance for applying fertilizer later in the season on their plots.

The project team is collecting data on many factors such as: corn grain yield; biomass yield; kernel density (or bushel weight in Manitoba); crop N uptake; NNI at V4, V8 and V12; soil nitrate content at V4, V8 and V12; and post-harvest soil nitrate content. They started using the Crop Circle device in 2019. In that year, they collected sensor data at seven of the project’s nine Quebec sites at V4, V8 and V12.

As an alternative to buying high-clearance equipment, Parent’s team has adapted some existing equipment. He explains, “We modified a fertilizer spreader equipped with folding ramps (for legal road transport) on which we installed a pneumatic seed drill equipped with GPS speed control. We then mounted this equipment on a hydraulic elevator mounted on the rear three-point linkage of the tractor. This elevator allows us to spread fertilizer as if we were using high-clearance equipment. Finally, we installed a liquid fertilizer pump, which is controlled directly from the tractor cab.”

The experiments to evaluate the use of conventional equipment

for applying in-season N are taking place at a site near Quebec City. In 2019, they drove a conventional tractor with only 22.5-inch clearance at the front axle through different corn heights (60 centimetres to 1.6 metres) and at different speeds (5 and 10 kilometres per hour).

The team is also assessing the economics of the plant-based approach. For each site, they determine the optimal N rate, which they calculate in the fall after corn harvest. Knowing the optimal N rate, they can calibrate their plant-based approach and then calculate the economic benefit that a grower would receive by using the NNI-based optimal N rate.

Originally 2020 was to be the project’s last field season, but COVID-19 restrictions really reduced the amount of work that could be done this year. The researchers are hoping to extend the project for one more year. “We have some interesting results so far, but to be sure of our findings, we would need more experimental sites,” Parent says.

In addition, he hopes to work with some Quebec corn growers

THE BEAUTY OF PROVEN RESULTS

We think of seed design as both a science and an art. Proven ® Seed offers a full range of leading-edge LibertyLink ® , TruFlex™ Roundup Ready and Clearfield canola hybrids that are all designed for disease management, high yields and consistent performance. No matter what you’re looking for, there’s a Proven Seed canola hybrid for your farm. Only available at Nutrien Ag Solutions™ retail. Visit ProvenSeed.ca/canola to learn more.

on this topic next year, as part of AAFC’s Living Laboratories initiative, which brings together farmers and researchers to develop, test and adopt innovations in sustainable agriculture.

Some preliminary findings

Parent and Cavers will be analyzing the limited 2020 data in the coming months.

So far, based on the Quebec data from 2018 and 2019, NNI at V12 seems to be a fairly reliable way to predict the optimal N rate. Using the Crop Circle data from 2019, the team has identified an indicator that looks promising as an alternative to the rigorous NNI measurement. More data collected under a wider range of growing conditions would help to fine-tune the relationships between optimal N, NNI and the indicator.

Regarding the use of conventional height equipment to apply in-season N, Parent says, “In our experiments, we found that yield started to be reduced when the corn was 1.2 metres high. For corn heights from 0.9 to 1.2 metres, the plants were slightly tilted after

the tractor’s passage, but they returned to normal after a couple of days. We did not find any differences between the two speeds.”

He notes, “A corn height of 1.2 metres is close to the optimum corn growth stage – about V10 to V12, depending on the hybrid and growing conditions – at which it may be possible to assess corn N status using a plant-based method. So this is a positive result, with lower investment required by farmers for in-season N application in corn.”

In addition to helping to develop a better way to determine inseason N needs, the field experiments with the different N treatments are also adding to the overall understanding of 4R management for corn production in Quebec and Manitoba.

“In Quebec, based on the 2018 and 2019 data, we didn’t observe any yield difference between applying the in-season nitrogen at V4, V8 or V12,” Parent notes.

“We also didn’t see any yield advantage or impact of applying different amounts of nitrogen at seeding. Based on our results, it is the total amount of nitrogen applied that is the most important factor. For instance, the yield would be the same whether you applied 50 kg/ha at seeding and 100 at V8, or you applied 25 at seeding and 125 at V8.”

He adds, “Other teams in Quebec are also studying the impact of time of nitrogen application on corn. And to the best of my knowledge, they are getting basically the same results that we are getting.”

The timing results are somewhat different for the Manitoba sites. “In Manitoba, we are finding that if you leave things too late, like a V12 timing, the nitrogen application doesn’t contribute to corn yield. The N is just left in the soil, and so we have a high residual soil nitrate test going into the fall. And of course, higher nitrates in the soil are prone to losses before the next crop can use them up,” Cavers says.

“We are finding that it is often better to put more N on earlier in Manitoba. So you apply some nitrogen at seeding and then some supplemental N at V4 or maybe up to V8. However, there is a fair bit of year-to-year and site-to-site variability in our results.”

Another interesting finding for both Quebec and Manitoba is that the optimal N rates tend to be lower than expected.

“When people first got into growing corn here in Western Canada, they figured that you needed lots of N to get high yields. But from this trial and many others conducted over the last number of years, corn doesn’t need as much nitrogen as originally thought. We’re finding that, generally speaking, you need around one pound of nitrogen per bushel of yield, and in some cases you can even get below that if you are really efficient with your nitrogen. But that can really vary,” Cavers says.

Parent has seen similar patterns in the Quebec data. “The optimal amount of nitrogen fertilizer is often lower than we might expect. For example, at some Quebec sites, the optimal N rate at V4, V8 or V12 was about 100 or 120 kilograms of N per hectare, with no benefit from going higher than that. But again, it depends. On some sites the optimal rate may be 150. On other sites, we may not even need to apply any fertilizer at V4. There is a huge variation.”

Cavers emphasizes, “Nitrogen management is not as simple as a recipe. And that brings us back to why we’re doing what we’re doing as our primary objective: developing a methodology that producers will be able to use to make their own decisions on whether it is worth putting on additional nitrogen or whether it is worth holding off, based on the yield potential and growing conditions in-field.”

The researchers are working on a way to rapidly determine inseason nitrogen needs using a hand-held Crop Circle optical sensor.

A DIFFERENT KIND OF FERTILIZER THAT YIELDS MORE GREEN

Steve Larocque, Beyond Agronomy

Crop rotations: What works and what you should try

Dr. Don Flaten, University of Manitoba

45 years of soil fertility lessons

Megan Bourns, Manitoba Pulse & Soybean Growers

Your fields, your farm: Getting the most from on-farm trials

Dr. Hugh Beckie, University of Western Australia

Herbicide resistance research in Australia

Dr. François Tardif, University of Guelph

Herbicide resistant weeds in Ontario

Robyne Bowness Davidson, Alberta Agriculture and Forestry

Pulse crop outlook for 2021

Curtis Rempel, Canola Council of Canada

Keeping canola sustainable from a production and global standpoint

Visit topcropsummit.com

TOWARDS NITROGEN-FIXING CEREALS

An ambitious goal in the effort to improve how we feed crop plants.

To make big strides, science has to be ambitious. We have to aim for something that is really a game-changer,” says Krzysztof Szczyglowski, a research scientist with Agriculture and Agri-Food Canada in London, Ont.

Szczyglowski’s research targets the game-changing goal of nitrogen fixation in cereals. He and other researchers around the globe are working towards this complex challenge.

“In my mind, ‘nitrogen-fixing cereals’ is an umbrella term that covers a broad range of research activities. As a consortium of scientists, what we really want is to improve how we feed our crop plants,” he says, highlighting a few of the diverse research activities under this umbrella, including research on nitrogen nutrition in legumes and nitrogen-fixing microbes that live in the soil outside of plant roots. His own research revolves around the symbiotic process of nitrogen fixation between legume plants and nitrogen-fixing rhizobial bacteria. In this process, the host legume plant and the rhizobia communicate using a chemical language. The plant initiates the process by releasing certain chemical compounds from its roots into the soil. If a compatible rhizobial species is present in the soil around the roots, it will signal back to the plant. That starts a back-and-forth dialogue between the plant and the rhizobia, which unlocks the door to the root’s interior so the rhizobia can enter, and stimulates the plant to modify its root growth to build root nodules.

“Think about a root nodule as a housing compartment, entirely built by the plant, to house those nitrogen-fixing bacteria inside the plant cells. The plant creates a restricted space where the bacteria are confined inside the plant cells and can efficiently exchange nutrients.”

Rhizobia have an enzyme called nitrogenase that is able to convert atmospheric nitrogen into ammonia, a form of nitrogen that plants can use. The rhizobia provide ammonia to the plant to support the plant’s growth and development. In return, the plant provides carbon to the rhizobia for their growth.

The root nodule is crucial to this process because the nodule protects the nitrogenase from oxygen, which can damage the enzyme.

For about three decades, Szczyglowski and his research group have been investigating symbiotic nitrogen fixation. In particular, they have been looking into the key elements involved in this process, mainly from the plant side of the symbiotic relationship.

Over the years, his group has directly discovered or contributed to the discovery of a number of the individual elements in the nitrogenfixation process. “We uncovered several key plant receptor molecules that respond to the signalling from the bacteria and that mediate this process. They initiate this process and then allow the plant to proceed

in building the root nodules,” Szczyglowski says.

Even more important, his group has contributed to the major discovery that most of the genetic machinery needed for nitrogen fixation is already present in non-legume plants, including crop plants like wheat and corn. He explains non-legume plants use this machinery for symbiotic interactions with another group of beneficial microbes called arbuscular mycorrhizal fungi. “The primary purpose of this symbiosis between plants and these soil fungi is to scavenge for phosphate, another growth-mediating nutrient.”

Before this discovery, one possibility had been that nitrogen fixation in legumes relied on genetic machinery unique to legumes. If so, moving nitrogen fixation into non-legumes could have required building such machinery from scratch in non-legumes.

One of the recent research questions that Szczyglowski’s group has been helping to answer is: Why can legumes build root nodules but other plants can’t?

“In 2007, we published a paper in Science describing a cytokinin receptor that is the key to the nodulation process. Legume plants use this receptor and recognition of cytokinin, which is a common plant hormone, to build root nodules. That discovery was important because it emphasized what was being learned from all of the other angles of the research: that legume plants use common signalling molecules, present also in non-legumes, to build nodules.”

Since most plants have cytokinin receptors, Szczyglowski’s research group hypothesized that legumes have a different sensitivity to

A nitrogen-fixing nodule on a legume.

this signalling molecule than non-legumes. Several research groups looked into this possibility, and an Australian group recently showed that the hypothesis is correct.

Szczyglowski thinks that, within only a few years, researchers may be able to create the first prototype of a non-legume plant that is able to make a nodule-like root compartment. His research also suggests that if such a compartment is present, then nitrogen-fixing bacteria may be able to colonize the non-legume plant roots more easily.

He finds the possibility of such an advance really exciting. “It will not solve all of our challenges, but it is certainly going to move us closer to the goal [of developing nitrogen-fixing cereal varieties].”

Another question his research group is currently pursuing is: How is the root-localized process of nitrogen-fixing symbiosis integrated on a whole-plant level? This whole-plant integration is essential so the plant can use the ammonia from nitrogen fixation to increase its productivity. “Several years ago, we discovered one of those integrators. It is another receptor, which we called Hypernodulated Aberrant Root Formation. This rather esoteric name reflects what the integrator does: it regulates the number of nodules that form and the root architecture,” he notes. “Root architecture is a very important crop trait in terms of scavenging for nutrients because plants regulate root plasticity [which enables the roots to respond to changing conditions in their environment].”

Szczyglowski explains that this integrator is able to receive information about the soil nutrients, the soil microbial community and the plant’s root growth, and integrates all that information for the best possible outcome for the plant. “We are now trying to understand how this integrator works. To do that, we are looking at natural varia-

tions [in this integrator] and also creating new, synthetic variants to see how the differences affect plant growth and how they correlate with plant nutrition and yield.

“Nitrogen is an existential problem,” Szczyglowski says. “With the increasing human population, we need to produce more food. To produce more food, current technology calls for more nutrient inputs. [But applying more nutrients increases the risk of nutrient losses to the surrounding environment], damaging the environment that we depend on to continue to produce food.”

Research on nitrogen-fixing cereals is just one of many ways this nitrogen problem is being tackled. Other strategies include improved management of crop nutrient inputs, improved fertilizer formulations, next generation microbial amendments, and development of crop varieties with better nitrogen uptake and use. “All of these activities contribute to the goal of increasing crop productivity while sustaining our environment. Some advances are either being implemented right now or will be deployed in the relatively short term. This is important because we need improvement right away.”

However, he emphasizes even with these improvements, the nitrogen problem is not solved. Ongoing, longer-term research is needed, including breeding to develop crop varieties that can perform well with much lower inputs.

“The ultimate goal of having crop plants that fix their own nitrogen is not a short-term goal. If it is feasible – and I believe it is – it will be a long-term effort. We are living in an age of acceleration in terms of technological advances and innovation. To me as a scientist, that means that all these goals could happen sooner rather than later, with continuing support for fundamental research.”

POWERED BY DIVERSITY

Greater diversity in soybean rotations dramatically boosts yields and soil health.

Along-term crop rotation experiment in southwestern Ontario is proving to be a gold mine of information about the effects of different rotations on crop productivity and the environment. Now a study led by Craig Drury has extracted some valuable nuggets on the effects of the experiment’s soybean rotations on soil health and crop yields.

The rotational experiment started two decades ago. “In the late 1990s, I was observing two of our tillage studies. I noticed that the corn yields appeared to be more stable at the site where the corn was grown in a winter wheat-corn-soybean rotation compared to the other study that had a corn-soybean rotation. Even though the two sites had the same soil type, the sites were a couple of kilometres apart. So I wasn’t sure if the corn yield differences between these sites were due to variations in soil properties or the choice of crop rotation,” explains Drury, a researcher with Agriculture and Agri-Food Canada (AAFC) in Harrow who specializes in soil management and soil biochemistry.

“So I decided to investigate the long-term impacts of growing crops in diversified rotations compared to either monoculture cropping or two-year rotations.”

Drury initiated the field experiment in 2001. The plots include continuous corn, continuous soybean and continuous winter wheat, and two-year, three-year and four-year rotations involving these crops, with and without red clover in the wheat phases of the rotations. This huge experiment, which is located on a Brookston clay loam soil near

Woodslee, has 144 plots.

“Initially my focus was on the effects on crop yields,” he notes. “Then somewhat later we looked at some of the environmental quality aspects associated with the rotations. More recently, we have focused on the new soil health indicators [that have been developed by various research groups in recent years].”

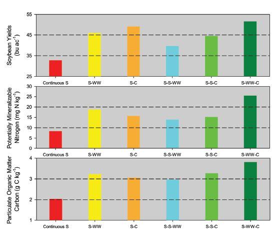
The soybean study, which was recently submitted for publication, looked at nine cropping sequences: continuous soybean (S); corn-soybean (C-S); corn-soybean-soybean (C-S-S); soybean-winter wheat (S-WW); soybean-winter wheat plus red clover (S-WW+RC); winter wheat-soybean-soybean (WW-S-S); winter wheat plus red clover-soybean-soybean (WW+RC-S-S); corn-soybean-winter wheat (C-S-WW); and corn-soybean-winter wheat plus red clover (C-SWW+RC).

Drury worked mainly on the agronomic aspects of the study, while Ikechukwu Agomoh, a post-doctoral researcher working with Drury at the time, examined the soil health indicators.

They collected soil samples in 2018 in the soybean phase of the rotations, and analyzed the samples for nine soil biochemical indicators relating to soil carbon and nitrogen. The carbon indicators included: potentially mineralizable organic carbon; particulate organic matter

ABOVE: The 144 plots in this major field experiment are providing information on the long-term effects of different crop rotations on crop yields and soil health.

PHOTO COURTESY OF CRAIG DRURY, AAFC.

TAKE THE NEXT LEAP FORWARD

t

c

p

co m p l e t e l y i n t e g r a t e d w i t h o u r l a t e s t p r e c i s i o n a g

t e c h n o l o g y t o h e l p i n c r e

i

n

r

y o u r J o h n D e e r e d e a l e r t o d a y 210 to 350 engine hp

- S E R I E S T R A C T O R S 7

carbon; soil respiration (these carbon dioxide emissions indicate the level of activity of the soil microbial community); water extractable organic carbon; and total organic carbon. The nitrogen indicators included: potentially mineralizable nitrogen; water extractable organic nitrogen; particulate organic matter nitrogen; and total nitrogen.

The researchers considered these indicators in relation to the fiveyear (2014 to 2018) average soybean yields for the different rotations. Drury explains, “These soils have changed over time, but they are now reaching a steady state. So we wanted to know if any of these soil health tests were predictors of the observed yield differences.”

Figure 1 highlights some of the results. Note that in 2017, the continuous soybean plots had poor emergence so the plots were rototilled and replanted almost one month later. As a result, yields were very poor that year and lowered the five-year average yield by 4 to 7 bushels per acre.

Nuggets of new knowledge

Overall, the results from this study show that including corn and wheat in a rotation with soybean increased soybean yields and soil health remarkably.

“As an example, soybean yields were 40 to 50 per cent greater for the two-year crop rotations compared to continuous soybean. [Even more impressive], the three-year rotations with corn and wheat with and without red clover had 57 to 58 per cent greater soybean yields than continuous soybean,” Drury says. As Figure 1 also shows, when soybeans were grown two out of three years (SS-WW and S-S-C), their yields were only 21 to 36 per cent greater than continuous soybeans.

“So there was a really dramatic yield benefit, especially with the three-year rotations.”

Adding wheat and corn to a soybean rotation also had strikingly positive effects on some soil health indicators. These include fairly stable indicators like total organic carbon that change very slowly as well as much more dynamic indicators like respiration, particulate organic matter carbon and potentially mineralizable nitrogen (see Figure 1).

For example, C-S-WW and C-S-WW+RC, which had the highest soybean yields, also had highest values for multiple soil health parameters such as soil respiration, particulate organic matter carbon, total carbon, total nitrogen, and potentially mineralizable nitrogen. “For instance, these two rotations had 73 to 87 per cent greater particulate organic matter carbon, over twice as high soil respiration rate, over

Figure 1. Soybean yields and selected soil health indicators from a long-term study involving soybean (S), corn (C), and winter wheat (WW) near Woodslee, Ontario. The treatments include continuous S, 2-year rotations (S-WW, S-C), and 3-year rotations (S-S-WW, S-S-C, S-WW-C). Yields for S-S-WW and S-SC are averaged over both soybean years.

three times greater potentially mineralizable nitrogen, and 16 per cent greater total organic carbon, compared to continuous soybean.”

So, good soybean yields were closely linked to good soil health and diverse rotations.

Take-home message

Drury’s key message to soybean growers from this study is: “to try to keep growing soybean in as diversified a rotation as is possible to match their soil and climatic conditions. Some of the ways to achieve this would be to grow soybean in rotations with cereal crops such as winter wheat and in rotations with corn, and wherever possible to try to use cover crops in the rotation as well.”

He explains that including soybean as part of a good crop rotation can be a wise choice, especially since soybean fixes its own nitrogen and helps diversify the soil microbial community. More diverse microbial communities tend to be more active, breaking down more crop residues and contributing to healthier soils and crops.

However, problems can emerge when there are too many years of soybean in a rotation.

One of the reasons for these problems is that soybean, like other spring-seeded annual crops, leaves the soil without a growing crop for a relatively long period compared to winter cereals, cover crops and perennial crops.

“In southwestern Ontario, crops like soybean are generally planted in May and harvested in October, after a few weeks of drying down. So the crop is actively growing from May until the end of September. During the growing season the plants are using photosynthesis to capture carbon dioxide from the air and convert it to carbon compounds in the soybean plant, some of which ultimately go back into the soil and others are harvested as grain. However, there is no crop growth from late fall until spring planting with annual crops,” Drury says.

In contrast, fall-seeded crops like winter wheat or a cover crop like red clover or cereal rye will grow in the fall until freeze-up and then start growing again in the early spring as soon as the weather warms up. That extends the growing period, enabling greater capture of atmospheric carbon dioxide, which ends up in the grain and the soil carbon. Plus the overwinter plant cover reduces the risk of soil degradation due to soil erosion and nutrient leaching.

Another reason that too many years of soybean can have a detrimental effect is the plant’s low carbon to nitrogen (C:N) ratio. The C:N ratio for soybean residues is about 20:1, compared to about 80:1 for wheat and corn residues. “That means soybean residues tend to break down very rapidly compared to corn or wheat residues. So soybean returns less carbon to the soil, and what it does return decomposes very quickly,” explains Drury.

“The end result is that if you have too many years of soybean in a row there is a lower carbon return to the soil.”

A piece in the sustainability puzzle

This soybean study is one of several soil health studies that Drury and the other members of a multidisciplinary team of soil scientists at AAFC-Harrow are conducting with the

20-year-old rotational experiment.

For instance, Drury and Agomoh are the principal investigators in their 2019 paper looking at winter wheat yields and soil biochemical indicators in the wheat phase of the rotations. This research showed that, although continuous wheat had a positive effect on soil health indicators, it did significantly reduce wheat yields. For example, wheat yields in some of the two-year and three-year rotations were 32 to 39 per cent higher than yields for continuous wheat.

Other studies by the team are currently looking into various soil health indicators related to the soil biological, biochemical and physical properties of the experiment’s rotations.

Dr. Lori Phillips is leading a study on the soil microbial ecology in the rotations, to identify the beneficial microbes and determine how they help improve soil health and soil quality. Dr. Dan Reynolds is studying soil physical properties like soil hydraulic conductivity and soil compaction. In addition, Dr. Xueming Yang is conducting research on changes in the more active carbon fractions in soils and studying these as potential indicators of soil health.

A follow-up study at this site by the Harrow soils team involves

carbon storage (or sequestration) in the soil profile, which is good for the soil and good for the environment. Drury says, “We took hundreds of soil cores down to a metre (3.3 feet) from these plots. We have started to do a carbon balance on these soils to see how the different crop rotations have affected soil carbon sequestration.” Although this study was delayed because of the COVID-19 lab shutdown, the researchers plan to finish the analyses and examine some of the effects of the rotations from a climate change perspective.

“Some of the soil health indicators can be good indicators of sustainable management practices that will help to maintain food safety and food security. But diverse crop rotations can also have environmental benefits. As an example, we measured emissions of nitrous oxide, which is a greenhouse gas, on some of these plots a few years ago. We found that some of the more diverse rotations had lower nitrous oxide emissions than the simpler rotations,” Drury notes.

“Soil health indicators are one piece of the puzzle, which is a very important piece for long-term crop productivity. But we also see multiple co-benefits in terms of being more environmentally friendly with some of these more diverse crop rotations.”

MITIGATING AND MANAGING GR WEEDS IN SOYBEANS

Integrating non-chemical tools and herbicides can reduce selection pressure and amplify efficacy.

Across the Prairies, soybean acreage has grown over the last decade. Almost all of the soybeans grown on the Prairies are glyphosate-resistant varieties, adding another glyphosate-resistant crop into Prairie rotations.

“In general, there have been large increases in the use and reliance on glyphosate as a herbicide,” explains Charles Geddes, research scientist with Agriculture and Agri-Food Canada (AAFC) in Lethbridge, Alta. “We already grow glyphosate-resistant canola and adding glyphosate-resistant soybean will add greater weed selection pressure, so we need to find ways to reduce the selection pressure in order to maintain the efficacy of glyphosate. We are trying to take a proactive approach with the launch of a new integrated weed management (IWM) project as we add soybean, another glyphosate-resistant crop, into our crop rotations across the Prairies.”

Geddes and research collaborators across Western Canada initiated a five-year project in 2019 to develop a strategy for IWM in soybean that could be broadly applied across the Prairies, including various tools for weed control. Chemical control, including the use of various varieties that offer herbicide-resistance traits, are widely used. Adding in other non-chemical tools that will help the crop be more competitive with weeds, improve yields and be economical for growers is the goal. Geddes is leading the project in collaboration with Rob Gulden and Kristen MacMillan, University of Manitoba; Chris

Willenborg, University of Saskatchewan; and Chris Holzapfel, Indian Head Agricultural Research Foundation.

“Many growers rely heavily on glyphosate as a pre-plant burndown, as well as for post-emergent, pre-harvest and post-harvest weed control. With glyphosate-resistant crops like canola and soybean, the heavy use of glyphosate is in the post-emergent window in the crop rotation,” Geddes says. “We are trying to find ways to reduce the selection pressure for glyphosate-resistant weeds in soybean production on the Prairies.”

The first experiment was launched at three sites in 2019 to look at differences in phenotypes of soybean varieties under three different planting dates in both weedy and weed-free treatments. The experiment includes seven different cultivars across the range of growth habit and structure, and days to maturity. The cultivars vary from more bushy and branched growth habit to slender cultivars, as well as round leaf-type structure compared to a more lanceolate leaf structure. Researchers want to know if the different phenotypes affect soybean canopy closure, helping cultivars compete with weeds.

Preliminary results are showing there is little difference in the rate of canopy closure among the cultivars earlier in the season, but

ABOVE: Trial plots at Lethbridge comparing the same soybean variety with a narrow row spacing and recommended seeding rate with vs. without the fall rye cover crop on July 3, 2020.

some variability in the rate of canopy closure occurred later on in the growing season. This suggests that the rate of canopy closure probably affects the emergence and competition with late-season weeds, but not as much with early season weeds. There was also variability across the sites, with a very rapid canopy closure among all cultivars in Manitoba. However, in Saskatoon and Lethbridge, there was a more prolonged canopy closure in the growing season, with some cultivars not ever reaching full canopy closure.

“We also saw differences in days to maturity: in Manitoba the typical number of days to maturity was between the mid-90s and 120 days, while in Saskatchewan and Alberta the average days to maturity of the same cultivars was about one month later,” Geddes adds. “As expected, the yields were higher in the weedfree treatments, but we also found that higher yielding cultivars tended to yield higher under weed pressure as well. This is good news as it appears the traits breeders are selecting for in higher yielding cultivars are also making those varieties more tolerant to weed competition. We also saw some variability in weed management among some of the cultivars, but we need to have more data and results to fully understand the differences.”

The second experiment focused on the impact of preceding crops in rotation under different tillage systems. Four crops with different levels of residue were seeded in 2019, including wheat, canola, corn and soybean under either conventional till or zero-till systems. Soybean was selected as a low residue crop, although seeding soybean back-to-back is not a good idea from a weed selection point of view and disease pressure concerns. The four preceding crops with different herbicide programs will alter the weed community going into the soybean phase. In 2020, soybeans were seeded across all treatments at two different planting dates, either early or a more typical mid- to late May timing. Researchers wanted to know if the variability in crop residue of the preceding crop could impact the rate of soybean establishment, and if delayed establishment could impact the ability of the crop to compete with weeds. Research results are not yet available, but some visual observations indicate that, for crops seeded into higher residue under zero-till, there appeared to be less canopy closure compared to crops with the same treatments under conventional tillage or seeded into lower-residue fields.

The third experiment compared four different treatments including with or without a fall rye cover crop. Other tools for improving

the competitiveness of soybean included a comparison of a bushy to a slender-type cultivar, narrow and wide row spacing and the recommended seeding rate with a 1.5 seeding rate. Cover crop treatments were seeded in the fall of 2019, followed by soybean in 2020. In the spring, the cover crop was terminated with a pre-seed burndown application, followed by direct seeding.

“In Lethbridge when we seeded the soybeans, the fall rye cover crop was close to hip height and still green; even though the crop is terminated it takes a while for senescence,” Geddes says. “Fall rye is a pretty competitive cover crop, and as that crop senesces it lays down and becomes a weed-suppressive mat that will help compete with weeds. We also compared the treatments in weedy and weed-free conditions. It is one thing to show that these tools can help soybean compete with weeds and reduce selection pressure, but it is not practical for growers to implement unless it is profitable as well. We don’t want to replace chemicals, but to develop an agronomic package along with herbicides to help prolong the efficacy of those herbicides in these systems. By integrating multiple non-chemical tools together, we can some-

times see synergies in weed management, even though individually they may not be as effective as applying a herbicide. Integrating multiple non-chemical tools together with herbicides, it can amplify the efficacy.”

The final experiment includes some of these same treatments, but also more levels of three different row spacings combined with four different seeding rates in comparing bushy and slender cultivars. The optimal row spacing and seeding rate may differ depending on the type of cultivar being grown. These experiments are underway, and results will be available within a couple of years.

“It is important to include other nonchemical tools in crop rotations and weed management programs to help prolong the efficacy of herbicides,” Geddes says. “With less investments into herbicide discovery, there likely won’t be a new mode of action available in the near future, and we don’t want to lose the tools we have. We expect to have some solid recommendations for growers towards the end of the project, and something that will help reduce the selection pressure for glyphosate resistance in weeds and help prolong the efficacy of that herbicide in our cropping systems.”

Trait Stewardship Responsibilities Notice to Farmers

Bayer CropScience, LP is a member of Excellence Through Stewardship® (ETS). Bayer products are commercialized in accordance with ETS Product Launch Stewardship Guidance, and in compliance with Bayer's Policy for Commercialization of Biotechnology-Derived Plant Products in Commodity Crops. Trecepta® RIB Complete® Corn has been approved for import into Australia/New Zealand, Colombia, China, Japan, South Korea, Mexico, Taiwan, United States and all individual biotech traits approved for import into the European Union. Please check biotradestatus.com for trait approvals in other geographies. Any other Bayer commercial biotech products mentioned here have been approved for import into key export markets with functioning regulatory systems. Any crop or material produced from these products can only be exported to, or used, processed or sold in countries where all necessary regulatory approvals have been granted. It is a violation of national and international law to move material containing biotech traits across boundaries into nations where import is not permitted. Growers should talk to their grain handler or product purchaser to confirm their buying position for these products. Excellence Through Stewardship® is a registered trademark of Excellence Through Stewardship.

ALWAYS READ AND FOLLOW PESTICIDE LABEL DIRECTIONS. Roundup Ready® Technology contains genes that confer tolerance to glyphosate. Roundup Ready® 2 Technology contains genes that confer tolerance to glyphosate. Roundup Ready 2 Xtend® soybeans contains genes that confer tolerance to glyphosate and dicamba. LibertyLink® Technology contains genes that confer tolerance to glufosinate. Glyphosate will kill crops that are not tolerant to glyphosate. Dicamba will kill crops that are not tolerant to dicamba. Glufosinate will kill crops that are not tolerant to glufosinate. Contact your local crop protection dealer or call the technical support line at 1-888-283-6847 for recommended Roundup Ready® Xtend Crop System weed control programs. Insect control technology provided by Vip3A is utilized under license from Syngenta Crop Protection AG.

FOR CORN, EACH ACCELERON® SEED APPLIED SOLUTIONS OFFERING is a combination of separate individually registered products containing the active ingredients: BASIC is a combination of fluoxastrobin, prothioconazole and metalaxyl. STANDARD is a combination of fluoxastrobin, prothioconazole, metalaxyl and clothianidin. STANDARD plus DuPont™ Lumivia® is a combination of fluoxastrobin, prothioconazole, metalaxyl and chlorantraniliprole. COMPLETE plus DuPont™ Lumivia® is a combination of metalaxyl, chlorantraniliprole, and prothioconazole and fluoxastrobin at rates that suppress additional diseases. BioRise™ Corn Offering is the on-seed application of either BioRise™ 360 ST or the separately registered seed applied products Acceleron® B-300 SAT and BioRise™ 360 ST. BioRise™ Corn Offering is included seamlessly across offerings on all class of 2019, 2020 and 2021 STANDARD, STANDARD plus DuPont™ Lumivia®, and COMPLETE plus DuPont™ Lumivia® corn hybrids. FOR SOYBEANS, EACH ACCELERON® SEED APPLIED SOLUTIONS OFFERING is a combination of registered products containing the active ingredients: BASIC is a combination of prothioconazole, penflufen and metalaxyl. STANDARD is a combination of prothioconazole, penflufen, metalaxyl and imidacloprid. STANDARD plus Fortenza® is a combination of prothioconazole, penflufen, metalaxyl and cyantraniliprole. Optimize® ST inoculant is included seamlessly with both BASIC and STANDARD offerings.

Acceleron®, Bayer, Bayer Cross, BioRise™, BUTEO™, RIB Complete®, Roundup Ready 2 Technology and Design™, Roundup Ready 2 Xtend® Roundup Ready 2 Yield®, Roundup Ready®, Roundup Transorb®, Roundup WeatherMAX®, Roundup Xtend®, SmartStax®, Transorb®, Trecepta®, TruFlex™, VaporGrip®, VT Double PRO® and XtendiMax® are trademarks of Bayer Group. Used under license. Lumivia® is a registered trademark of E.I. du Pont de Nemours and Company. JumpStart® and Optimize® are registered trademarks of Novozymes. Used under license. DuPont and Lumivia® are trademarks of E.I. du Pont de Nemours and Company or its Affiliates and are used under license by Bayer Group. LibertyLink® is a registered trademark of BASF. Agrisure Viptera®, Fortenza® and Helix Xtra® are registered trademarks of a Syngenta group company. LibertyLink® and the Water Droplet Design are trademarks of BASF. Used under license. Herculex® is a registered trademark of Dow AgroSciences LLC. Used under license. Respect the Refuge and Design is a registered trademark of the Canadian Seed Trade Association. Used under license. Poncho® and VOTiVO® are registered trademarks of BASF. Used under license. ©2020 Bayer Group. All rights reserved.

LONG DAYS, COLD NIGHTS, SHORT SEASONS

Identifying soybean varieties suited to tough Prairie growing conditions

As soybean production spreads west and north across the Prairies, the growing conditions become more and more challenging for this plant, which originated in the subtropics. Canadian researchers are working to advance soybean production under these tough conditions. A key element in this research effort is a project to evaluate registered soybean varieties and find ones that can perform well in these veryfar-from-subtropical conditions.

“First of all, soybeans are not usually adapted to cold conditions. Secondly, soybeans evolved as short-day plants, maturing much faster under short-day conditions. When we move them to more northerly latitudes with longer hours of daylight in the summer, their maturity date is delayed. For instance, a variety that is suited to Kentucky would mature 30 or 40 days later in Ontario,” explains Leonid Savitch, a research scientist with Agriculture and Agri-Food Canada (AAFC) in Ottawa who is leading this project.

“Our breeders are producing early-maturing varieties that are capable of withstanding long days and still maturing in time. Those varieties work perfectly well in Ontario or Quebec conditions. But when we try to grow them in Western Canada, some of them perform decently, and some of them are not acceptable at all, even though all of them are designed for a longer daylength. As soon as cold temperatures are applied, some varieties will have a delay in maturity by 50 or 60 days.”

Cold temperatures during the day and night can reduce photosynthesis, delay reproductive development and lower productivity in soybeans.

Temperatures that are only cold at night are also a problem. “For example, in Saskatchewan, you might have 30 C during the day and then 5 C at night,” he says. “Those cold night temperatures tend to cause soybean plants to drop flowers, produce much smaller yields and have undesirable changes in seed composition.”

In this project, Savitch and his team are characterizing and assessing early maturing, non-genetically modified (non-GM) soybean varieties developed by Elroy Cober, the soybean breeder at AAFC-Ottawa.

Savitch explains that Cober’s breeding program is set up to not directly compete with commercial soybean breeding programs that target GM varieties. He also points out that there is a nice niche market for non-GM soybeans because a number of countries do not accept GM soybeans.

Interesting progress so

far

Savitch’s current five-year project started in 2018, but it builds on his previous research on this topic. Savitch and his team have developed a set of temperature and daylength regimes that they use in controlled environment chambers.

These regimes can differentiate the soybean germplasm into three groups based on the phenotypic responses of the plants. “Some of the plants will behave really well under the so-called stress conditions, predicting that they will be okay in Saskatchewan. Some of them will produce the same yield, but the seed quality will be extremely poor. And some of them might delay flowering and maturity by about two months,” he explains. “The varieties in first group are probably the best candidates for Saskatchewan.”

Over the past two and a half years, Savitch’s team has evaluated over 40 of Cober’s varieties.

Although this controlled environment evaluation method is effective in identifying which varieties are promising and which ones aren’t, it is very time-consuming. The plants have to been grown

ABOVE: These two early-maturing soybean varieties belong to the same Maturity Group, but when exposed to six weeks of cold night stress, one developed much more slowly than the other. These images were taken eight weeks after planting.

MEET LINE-UP

Choose from our deepest-ever lineup of top-performing soybeans and push the potential of every acre.

Check out the full roster at Syngenta.ca/lineup

For more information, visit Syngenta.ca/nk-west, contact our Customer Interaction Centre at 1-87-SYNGENTA (1-877-964-3682), or follow @NKSeedsCanada on Twitter.

Monsanto Company is a member of Excellence Through Stewardship® (ETS). Monsanto products are commercialized in accordance with ETS Product Launch Stewardship Guidance, and in compliance with Monsanto’s Policy for Commercialization of Biotechnology-Derived Plant Products in Commodity Crops. These products have been approved for import into key export markets with functioning regulatory systems. Any crop or material produced from these products can only be exported to, or used, processed or sold in countries where all necessary regulatory approvals have been granted. It is a violation of national and international law to move material containing biotech traits across boundaries into nations where import is not permitted. Growers should talk to their grain handler or product purchaser to confirm their buying position for these products. Excellence Through Stewardship® is a registered trademark of Excellence Through Stewardship.

NK® soybean varieties are protected under granted or pending Canadian variety patents and other intellectual property rights, regardless of the trait(s) within the seed.

Always read and follow label directions. Roundup Ready® 2 Technology contains genes that confer tolerance to glyphosate. Roundup Ready 2 Xtend® soybeans contain genes that confer tolerance to glyphosate and dicamba. Glyphosate will kill crops that are not tolerant to glyphosate. Dicamba will kill crops that are not tolerant to dicamba. Roundup Ready 2 Xtend®, Roundup Ready 2 Yield® and Roundup Ready® are registered trademarks of Bayer Group, Monsanto Canada ULC licensee. © 2020 Bayer Group. All rights reserved. NK®, NK® and Design, the Alliance Frame, the Purpose Icon and the Syngenta logo are trademarks of a Syngenta Group Company. © 2020 Syngenta.

to full maturity, and some of the varieties can take as long as five months to mature under certain regimes.

Therefore, Savitch and his team are also trying to develop screening tools that could be used to differentiate the three phenotypes at an earlier plant growth stage. They are conducting multiple biochemical experiments and measuring photosynthesis, chlorophyll accumulation or degradation, water-use efficiency and other mechanisms related to growth, flowering and yield formation that can be affected by cold temperatures. Then they will determine which of these factors have the strongest correlations with the results from the full-length controlled environment tests.

In another component of the project, Savitch is collaborating with Tom Warkentin and Rosalind Bueckert, who are both professors at the University of Saskatchewan. Warkentin and Bueckert are field testing the varieties assessed by Savitch’s team.

Savitch explains that it is critical to see how the varieties perform in the field because, in a controlled environment, it is difficult to exactly reproduce the natural pattern of increasing and then decreasing daylengths over the growing season.

temperatures alone, but the project’s initial findings seem to indicate that long daylengths and low temperatures may have a combinatorial impact on soybeans. “We have to look into this a little more, but it gives us some extra ideas about where to go next in our research,” Savitch says.

The four Saskatchewan sites include irrigated and non-irrigated sites, as well as different soil types and weather conditions.

The field tests involve all the varieties evaluated by Savitch’s team, whether or not the varieties were identified as promising in the controlled environment experiments. This allows the researchers to determine how well the field results align with the controlled environment results.

So far, the field results are showing that Savitch and his team are on the right track with their controlled environment evaluation methods.

The field tests assessed 24 varieties in 2019 and 48 varieties in 2020 at the four locations, with replicated plots at each location. Some of the 2020 trials will likely be repeated in 2021 because an early September frost killed quite a few of the plants.

He adds, “We know from other research and our own controlled environment experiments that soybean varieties bred for early maturity under long day conditions will have delayed flowering and maturity if low temperatures are also applied. But if we put those same plants on a short day, there is no effect of cold temperatures on the plants.”

This delayed flowering and maturity may be the effect of low

One of the interesting observations from the irrigated versus non-irrigated sites is that drought stress may make the impacts of cold stress even worse.

“Under irrigation, the effect of low temperature is less severe,” Savitch says. “So in the future, we will probably want to look at a combination of both low temperature and drought because both factors will delay flowering and maturity.”

Looking ahead

For crop growers, an immediate benefit from the project will be identification of non-GM soybean varieties that produce better yields and better seed quality under western Canadian conditions, which would help Prairie growers to successfully compete in nonGM markets.

The project’s results could also help in the development of new soybean varieties for the Prairies. For instance, the top-performing varieties in the project could be of interest to breeders as possible parents for their crosses.

The screening tools developed for the project could also be helpful to breeders developing soybeans for the Prairies, whether their programs focus on GM or non-GM lines.

DIFFERENT BY DESIGN

Proven® Seed has always had a different perspective on corn. Every one of our hybrids is selected for Western Canada to work with your field’s unique conditions. Whether you need early maturity, fast dry down, silage quality or defensive trait protection, there’s a specific high yielding hybrid that’s perfect for your farm. Proven Seed corn is only available at your local Nutrien Ag Solutions™ retail. Learn more at ProvenSeed.ca/corn

In addition, the findings from the project’s experiments and measurements to develop these screening tools could increase scientific understanding of the mechanisms and regulation of soybean cold stress tolerance and cold-induced effects on photosynthesis, flowering, maturity, yield and quality.

That increased understanding could help towards development of DNA markers related to these characteristics. And those markers would be an even easier way to screen breeding lines for adaptation to Prairie conditions.

Savitch concludes, “This industry-driven project is linking our controlled environment studies to the actual conditions where Saskatchewan growers are proposing to grow this crop.” By drawing on expertise at AAFC in Ottawa and the University of Saskatchewan, the researchers are striving to advance Prairie soybean production.

This project is funded under the Soybean Cluster, which is supported by the Canadian Field Crop Research Alliance (a collaboration of provincial crop grower groups and industry partners) and AAFC’s Canadian Agricultural Partnership.

IT’S OPEN SEASON ON WIREWORMS.

INTRODUCING THE ONLY CEREAL SEED TREATMENT THAT ELIMINATES WIREWORMS.

Often overlooked by cereal growers, wireworms can cause significant losses in yield –up to 50%*. And even when they’re identified, growers have had to settle for secondrate solutions. Until now. New Teraxxa® F4 is the only cereal seed treatment that eliminates wireworms by breaking the life cycle. It also provides broad-spectrum control of seed- and soil-borne diseases. So why use an ordinary seed treatment? Arm yourself with the only all-in-one solution for cereals. Learn more at agsolutions.ca/TeraxxaF4.

*Source: Agri-Facts, Alberta Government, 2014

USING WEATHER MODELLING

PROJECTS TO HELP MAKE DECISIONS

Farmers can’t yet predict the weather – but with help from the research community, more effective decision-making tools are in reach.

Two new western Canadian research projects aim to offer producers improved risk modelling and rules of thumb for decision-making in extreme weather conditions.

The first, led by University of Manitoba researcher Paul Bullock in collaboration with Manitoba Agriculture, Saskatchewan Agriculture, Alberta Agriculture and Forestry and Agriculture and Agri-Food Canada, aims to develop a Fusarium Head Blight (FHB) risk assessment tool.

The second project, co-led by Manitoba Agriculture systems modeller Timi Ojo and AAFC research scientist Ramona Mohr in collaboration with University of Manitoba researchers and Manitoba Agriculture, will offer producers a nitrogen (N) management decision tool for extreme moisture conditions based on local historical weather trends.

Both projects aim to offer producers valuable tools for decisionmaking based on the best available science.

Fusarium risk

Fusarium is a major concern to western Canadian producers. Infection represents multiple risks to producers, including reduced yield, reduced quality via Fusarium damaged kernels (FDK) and mycotoxin (DON) contamination. Ojo says fields with high percentages of FDK – 2.2 per cent or higher – can cause losses of about $89 per acre when grade 1 is downgraded to feed.

To mitigate economic risk, some producers spray as a precautionary measure regardless of actual risk levels. The goal of the project, therefore, is to develop a tool that can predict the likelihood of disease incidence based on weather conditions prior to anthesis, so farmers can be assured of the economic value of refraining from spraying during low-risk periods – and be prepared to spray at times when conditions are favourable for disease incidence.

Risk factors for FHB are well-known, but the new project promises several gains on past research efforts. The project will focus on barley and durum as well as spring and winter wheat, Ojo says. “FHB may affect the other cereals differently than the way it affects spring wheat.”

The model used to predict FHB risk hasn’t been validated in more than 15 years in Manitoba, he adds. “We know that the

pathogen doesn’t stay the same – it adapts over time. So we want to check whether the thresholds for temperature and humidity are still correct or whether we need new thresholds.”

In the past, researchers have used models to predict risk at the provincial level, which can create dilemmas for producers farming in border regions if, say, Saskatchewan models are predicting high

PHOTO COURTESY OF RAMONA MOHR, AAFC.
To mitigate economic risk, some producers spray as a precautionary measure regardless of actual risk levels.

FHB and DON risk and Manitoba models are predicting low risk.

“Because of the issue around the border, we decided to engage our colleagues in Saskatchewan and Alberta to see if we can develop a Prairie-wide model,” Ojo says.

The project utilizes plot data from 15 locations in all three Prairie provinces each year between 2019 and 2021 as well as field data collected from more than 200 farmers’ fields. The end goal is to release an interactive web tool that predicts FHB and DON risk by 2023. Individual producers should be able to customize the tool based on seeding date, location and resistance level, Ojo says.

N management

The second project aims to create some rules of thumb to help producers assess and manage potential risks associated with N fertilizer application under extreme moisture conditions, Ojo says.

“Manitoba can have extremely variable moisture conditions, ranging from drought to flooding, sometimes in the same crop year. These moisture extremes can affect how efficiently fertilizer N is used by the crop,” Mohr explains.

For example, she says, wet conditions can result in significant N losses through denitrification and leaching – which also represents an economic loss to the producer. Selecting appropriate N management practices using the 4Rs (right source, right rate, right time, right place) can reduce risk.

“The challenge is that the ‘right’ best management practices under a certain set of moisture conditions may not be the best approach under a different set of moisture conditions,” Mohr says. “Unfortunately, accurately forecasting soil moisture conditions in

the longer-term isn’t possible with today’s technologies.”

The project’s goal is to create a tool that takes into account soil moisture conditions based on soil type, specifically the risk of extreme moisture during critical periods of the growing season, based on historical weather trends, to help create a set of guidelines for N management.

Ojo says his team has 72 years worth of data on rainfall during the growing season dating back to the 1950s. Based on the data, he can look at a particular week and assess the probability that a given region will receive rainfall during that week. The tool also takes current soil moisture levels – gleaned from weather stations – into account, as well as soil types of different regions.

“We aim to provide Manitoba producers with a quantitative measure of the relative risk of moisture extremes in their region during critical parts of the growing season, which may help to inform a range of management decisions. This type of information is not currently available for Manitoba producers,” Mohr says.

“With respect to N management, we also aim to provide producers with information to help assess and manage the relative risks versus benefits of different N management decisions by taking into account both the current moisture conditions on their farm, and also the probability of extreme moisture conditions going forward based on historical weather data.”

This project is part of a larger extreme moisture initiative supported by the Manitoba Canola Growers Association, Manitoba Wheat and Barley Growers Association and Manitoba Pulse Growers Association, with support from the Canadian Agricultural Partnership.

PESTS AND DISEASES

SOYBEAN GALL MIDGE: HEADING TOWARDS CANADA?

A newly discovered pest is attacking soybean crops in parts of the U.S. Midwest.

Over the past few years, soybean growers in a portion of the Midwestern United States have been suffering yield losses from a new pest: the soybean gall midge. Could this pest eventually come to the Canadian Prairies?

“The soybean gall midge is literally a species that is new to science. That doesn’t happen very often for U.S. or Canadian crop production; we tend to think of new insect species being identified down in the Tropics and places like that,” says Robert Koch, associate professor and extension entomologist at the University of Minnesota.

DNA and morphological analyses published in 2019 showed this insect is definitely a new species, now named Resseliella maxima. Although people noticed it in soybean crops a few years before that, it was thought to be a minor pest. However, an outbreak in 2018 resulted in crop injury and yield loss in many Midwest counties and showed the soybean gall midge could have economic impacts on soybean.

Koch says, “Based on reports from farmers seeing symptoms and so on, this pest was probably present in Minnesota for at least a couple of years before 2018, and maybe all the way back to 2011 in Nebraska.”

Research is underway in the Midwest to learn more about this

very new pest and develop ways to control it.

That research includes surveys to determine the soybean gall midge’s distribution. So far, it has been found in eastern Nebraska, northwestern Missouri, western Iowa, eastern South Dakota and southwestern Minnesota. Bruce Potter, an integrated pest management specialist at the University of Minnesota, is leading Minnesota’s survey for this insect. “In 2020, this survey included over 300 locations spread throughout Minnesota,” Koch notes. “And the Minnesota effort ties into the larger regional effort in the Midwestern U.S. across those other states.”

As of September 2020, the pest had been detected in 16 counties in southwestern Minnesota, and a total of 114 counties in the five affected states.

Researchers have determined some of the basics about the soybean gall midge and its life cycle. The adults are small (two to three millime-

TOP: Larvae of the soybean gall midge feed under the soybean stem’s outer layer.

INSET: Feeding by soybean gall midge larvae causes blackened areas at the base of soybean stems.

tres long), slender flies that look a little like mosquitoes. The adults do not feed on soybean plants; only the larvae cause crop damage.

The larvae overwinter in the soil of a soybean field and emerge as adults in the spring. Koch explains that the adults typically begin egg-laying at the edges of soybean fields, usually those nearest to the previous year’s soybean field. The infested area tends to spread farther into the field as the season progresses.

He notes, “The adults lay their eggs at the base of soybean stems. We suspect that they are laying their eggs into cracks in the stem. Then the larvae get into the stem and feed under the stem’s epidermis, its outer layer.”

Provincial entomologist John Gavloski with Manitoba Agriculture and Resource Development is keeping up to date with the U.S. findings on this pest. He explains that soybean gall midge larvae damage the tissues that transport water and nutrients in the plant. “In the stem, the larvae feed mainly on the phloem but may eventually move to the xylem and pith. Larval feeding causes blackened areas at the base of the stem, with heavily infested areas of the stems deformed and necrotic [brown or black dead tissue]. Stems can lodge or break easily at these areas. Injury can result in stunting, wilting and death of soybean plants.” The necrotic area on the stem might be confused with symptoms of Phytophthora or Rhizoctonia infections, so growers can check the blackened area to see if soybean gall midge larvae are present. Gavloski says, “If you peel back the epidermis in that necrotic area, you’ll find small, legless, reddish-orange larvae, unless the larvae are really young, then they might still be white.”

Under U.S. Midwest conditions, the pest has several generations per year, and those generations may overlap. Koch says, “The general feeling is that we get three flights of adult activity throughout the region. The first flight is when the adults emerge in early spring. And then there are two more flights in the summer. I think that third flight, or the third generation, has been more pronounced a little farther south into Nebraska and Iowa.”

Although the pest’s most important host is soybean, University of Nebraska-Lincoln research has identified sweet clover and alfalfa as alternative hosts.

To figure out how to manage this pest, researchers in the Midwest have initiated a wide range of studies, including both chemical and non-chemical control options. “All that research is still in the early phases, but it seems like this will be a tough pest to manage,” Koch notes. For example, he points out that the larvae would likely be hard to control with foliar insecticides because they are protected within the soybean stems. And managing the adults with foliar sprays would likely require several applications because of the insect’s multiple generations and the adult’s long emergence window.

Insecticide trials are evaluating foliar and seed treatment products. Koch summarizes the preliminary results, which suggest some foliar insecticides provide some level of control of the pest, although not complete control. So far, seed treatments don’t seem very promising, but a little preliminary research shows higher concentrations of some seed-applied insecticides might provide some control.

Cultural control studies are exploring various possibilities. Koch says the results so far from soybean planting date studies suggest that later planting enables the crop to avoid some of the pest’s earlier infestations. Studies are underway to see if tillage disrupts the insect’s overwintering stage. Some research is looking at the effects of mowing the natural vegetation along field borders, which might help if the adults are using those areas as habitat. And researchers are searching for soybean varieties with some tolerance or resistance to the pest.

Looking at the year-to-year increase in areas where surveys have detected soybean gall midge, you might think the pest is spreading a little farther each year. However, Koch says, “I’m not sure if what we’re seeing is spread or if it is just the effect of us searching wider and harder, and finding the insect where it has been for a while. Or maybe it is some combination of those. It’s hard to tease those two apart because we can’t really know how it’s spreading or how fast it’s spreading until we know where it’s been for a while.”

“Soybean gall midge would have a considerable distance to move north before we would have it in Manitoba. I don’t expect it soon, unless it was human-assisted movement. We’re probably talking several years at the earliest for it to naturally spread to Manitoba from South Dakota and southwest Minnesota,” Gavloski notes. “Whether or not it could even make it to Manitoba and survive here is still an unknown. We don’t really know anything about its overwintering biology.”

Growers on either side of the Canada-U.S. border who are on the lookout for the soybean gall midge need to be aware that there’s another gall midge species with orange larvae that could be in their soybean crops. It is the white-mold gall midge (Karshomyia caulicola).

“We’ve seen the white-mold gall midge in Manitoba numerous times, not just in soybeans but in canola and other crops too – basically any plants that have fungal pathogens such as Sclerotinia white mould growing on them. That’s because the white-mold gall midge is not interested in feeding on the plant; it is interested in the fungus growing on the plants,” Gavloski explains.

“So the white-mold gall midge is not a crop-specific insect, and it is also not an insect that we need to be worried about economically.”

“The soybean gall midge larvae will be found under the soybean stem’s epidermis in an area that is discoloured and sometimes somewhat distorted near the base of the stem.” Koch says. “The whitemold gall midge will be found in association with the white mould on the plant. If you’ve got favourable conditions for that fungus, and you can easily see that white fuzzy stuff on the exterior of the stems or even inside the stems, that is where the white-mold gall midge would be found. If the conditions turn a little drier, sometimes it is not as easy to see the fungus on the plant, and it might not be so obvious that those larvae are in association with the fungus. But even so, the white-mold gall midge larvae are not likely to be at the base of the stem within a necrotic area.”

It will hopefully take years for soybean gall midge to spread to Canadian fields – or it never does. However, if Manitoba growers suspect they might have the pest, they should contact Gavloski. Growers in other provinces should contact their provincial entomologist.

Although the white-mold gall midge also has orange larvae, those larvae are found in association with Sclerotinia white mould fungus.

JOIN US ONLINE

THURSDAY, JANUARY 14, 2021

1:00 PM MT / 3:00 PM ET

SULFUR APPLICATION RECOMMENDATIONS WEBINAR

Dr. Cristie Preston, Ph.D. will share insights about Sulfur application, identifying deficiency symptoms, Smart Nutrition MAP + MST and fall vs. spring application timing.

Register today for this live webinar

CCA-CEU credits pending approval

CROP ROTATION AND CLUBROOT RESISTANCE STILL MANAGEMENT TOOLS

It’s been 17 years since clubroot, caused by Plasmodiophora brassicae, was first discovered in Sturgeon County, Alta. Since then, clubroot has been found in more than 3,000 fields across Alberta (2019), with incidence levels ranging from below 30 per cent (low) to above 70 per cent (high). It has also been identified in Saskatchewan and Manitoba, although not at the same frequency or intensity as in Alberta.

Research dating back to 2003 set the foundation for today’s clubroot management practices. The focus has been on not only preventing the introduction of contaminated soil, but also the potential of biofungicides/fungicides, and how variety resistance and crop rotation could help manage the disease.

About a decade ago, a lot of research focused on fungicides and seed treatments. The fungicides Allegro and Omega (fluazinam) and Ranman (cyazofamid) were not effective when applied in-furrow at 500 litres of water per hectare in research conducted by Gary Peng with AAFC Saskatoon. Ranman was most effective on canola when incorporated into the soil prior to seeding, but was only effective at low to moderate inoculum pressures. Similarly, Allegro/Omega were effective only under low inoculum pressure.

Terraclor 75% WP (Pentachloronitrobenzene; PCNB), when incorporated into soil before seeding, reduced clubroot severity more consistently than other fungicides in heavily infested fields. However Allegro, Omega and Ranman are too expensive for commercial use at the rates tested, and use of PCNB is restricted due to health concerns.

Sheau-Fang Hwang at the University of Alberta also examined fungicide seed treatments. Dynasty 100 FS (azoxystrobin), Nebijin SSC (flusulfamide), Vitavax RS (carbathiin + thiram), Prosper FX (carbathiin + trifloxystrobin + metalaxyl), and Helix Xtra (difencazole + metalaxyl + fludioxonil) reduced infection under controlled greenhouse conditions, but none of the treatments were effective in field trials.

Research also found biofungicides to be ineffective. The biofungicides Serenade (B. subtilis) and Prestop (Gliocladium catenulatum) suppressed the disease on canola under greenhouse conditions. However, granular and seed-treatment formulations were not effective when applied in the seed furrow to high P. brassicae resting spore populations in the soil.

Biofungicides were also assessed as a seed dressing. Two seed treatment formulations of B. subtilis were evaluated in greenhouse studies. Serenade was applied encapsulated on the seed, and Kodiak (B. subtilis) was applied to canola seed with a commercial seed-

treatment formulation, both to a susceptible canola variety. The seed treatments were moderately effective at the lower inoculum rate (10,000 spores per cubic centimetre of soil, or spores/cc), but ineffective at the higher rate (100,000 spores/cc).

In another greenhouse study, the biofungicide Serenade was applied to susceptible (S), moderately resistant (MS) and resistant (R) canola varieties exposed to an extremely high dose of P. brassicae inoculum (approximately 100 million resting spores/cc). The biofungicide substantially reduced clubroot severity on S and MR varieties relative to non-treated controls. On the R variety, the symptom on non-treated plants was negligible under controlled conditions and application of the biofungicide did not reduce the disease level any further.

To validate these greenhouse results, field trials were carried out at three locations in 2010. The canola varieties “45H26” (S) and “45H29” (R) were seeded in heavily infested fields near Leduc and Edmonton, Alta., and Normandin, Que. A granular formulation of Serenade was applied in-furrow with the susceptible and resistant varieties. Synthetic fungicides fluazinam and cyazofamid were also compared as seed treatments. None of the biofungicide or synthetic fungicide formulations reduced the Disease Severity Index (DSI) on S or R varieties in the field trials.

These results of biological and chemical control disappointed the researchers, as they looked reasonably effective in greenhouse trials but rarely showed sufficient efficacy under field conditions.

The most effective management strategy was found to be growing a resistant variety in a rotation with at least a two-year break from canola and other Brassicae crops. The basis for this recommendation is a study carried out at the Normandin site to assess the impact of length of cropping rotation (zero-, one-, two-, three- or four-year break from canola) on S, MS and R canola varieties (Peng et al., 2015).

With the susceptible canola variety, a two-year break did not reduce clubroot levels enough to obtain commercially acceptable yields. However, several resistant varieties grown with a two-year break showed slightly reduced clubroot severity but substantially higher yield relative to shorter rotations. The two-year break reduced P. brassicae resting spore concentrations by 90 per cent relative to growing continuous canola or a one-year break in heavily infested field plots.

Growers are also encouraged to scout for the disease, control host weeds and use patch management strategies to keep the spores from spreading throughout a field. For growers who don’t have clubroot on the farm: prevent introduction of contaminated soil onto your fields, if at all possible.

Bruce Barker divides his time between CanadianAgronomist.ca and as Western Field Editor for Top Crop Manager. CanadianAgronomist.ca translates research into agronomic knowledge that agronomists and farmers can use to grow better crops. Read the full Research Insight at CanadianAgronomist.ca.

Better Beans. Better System.

A profitable soybean crop starts with better genetics that deliver better results. That’s why we created Enlist E3™ soybeans, a more advanced seed with high yield potential and a robust herbicide tolerance. Spray them with Enlist Duo™, or new Enlist™ 1 herbicides, for a low drift, near-zero volatility solution that’s a better choice for your farm and community.

Enlist E3 soybeans are available for 2021 planting. Talk to your local seed supplier.

Better Soybeans. Learn more at enlistcanada.ca

YOU’RE REALLY GROWING

Turn static files into dynamic content formats.

Create a flipbook
Issuu converts static files into: digital portfolios, online yearbooks, online catalogs, digital photo albums and more. Sign up and create your flipbook.
TCM East - December 2020 by annexbusinessmedia - Issuu