Sea fan aspergillosis: demography, impact and stress
Alberto M. Sabat (PI) and Paul Bayman (Co-PI) Department of Biology, University of Puerto Rico-Rio Piedras Campus Final Report
Executive Summary
Project title: Sea fan aspergillosis: demography, impact and stress
Date: January 10, 2014
Project Number: NA10OAR4170062
Investigators and affiliation: Alberto M. Sabat (PI) and Paul Bayman (Co-PI), Department of Biology, University of Puerto Rico, San Juan, Puerto Rico 00931
Dates Covered: September 2010 to July 2013
Summary of Impacts and Contributions including:
1. Objectives
(1) Find genes related to stress tolerance and defense expressed in sea fans exposed to pathogens and high water temperatures. Due to technical difficulties this objective was abandoned. Instead, we developed a mathematical model that simulates and analyzes the immune response of sea fans, and performed a series of field experiments that tested two techniques for curing diseased sea fans (2) Develop, parameterize and validate a demographic model that can be used to analyze the impact of aspergillosis on the local dynamics of sea fan populations. Field data to parameterize the model was successfully collected. Analysis of this objective is not yet complete.
2. Advancement of the Field
Our study supports the conclusions of other studies that sea fan disease in the Caribbean is currently endemic with low to moderate levels of prevalence. However, our data clearly indicates that the main cause of sea fan mortality is not disease, but rather detachment. The high mortality due to detachment at the Isla Verde site suggests that sea fan populations at highly impacted and bio-eroded reefs are at risk because the weak substrate at these sites causes the sea fan holdfast to fail and detach during periods of high energy. This study also supports the hypothesis that the etiology of sea fan disease is more complex than originally believed. The mathematical modeling of the immune system of sea fans indicates the importance of the strength of immune response of colonies. Colonies under environmental stress are more likely to succumb to disease than those in a benign environment. This has practical implications because it suggests that colonies under heat or poor water quality stress will be more impacted by disease. A recommendation to mitigate the effect of disease during stressful periods or sites is to eradicate the lesions in colonies either by scrapping or cutting them as demonstrated in the field experiments done as part of this study.
3. Problems encountered (if any)
Due to the student strike that affected the whole UPR system during 2010 and to administrative delays in getting the subcontract between the Mayaguez and Rio Piedras Campuses approved the project started in September of 2010 instead of February. Due to technical difficulties the molecular genetics objective was abandoned. Instead, we
developed a mathematical model that simulates and analyzes the immune response of sea fans, and performed a series of field experiments that tested two techniques for curing diseased sea fans.
4. Research Impacts:
We understand that this study will help in shifting our understanding of sea fan disease towards a more correct perspective. For example, it changes the focus from the alleged pathogen (Aspergillus sydowii) and its virulence to the immune response of the colony. This is an important paradigm shift in the coral disease literature. We understand that this shift puts us in the correct tract of understanding this complex phenomenon. Finally, although we will have to wait until the demographic modeling is done to properly asses the role of disease in the population dynamics of sea fans; the fact that disease is not the main cause of colony mortality was a big surprise. In fact, the factors regulating sea fan abundance may vary spatially. We will be able asses this when we construct and analyze the demographic model for each site.
5. Other import impacts or products
The project supported the publication of six peer-reviewed articles. One of the published articles (Ruiz-Diaz et al. 2013) was highlighted in the local press. The project also supported four PhD students with stipend either during the summer or regular academic semesters. It also supported the dissertations of these students with materials and logistical support of the field work. These graduate students gave seven presentations (oral or poster) at national and international meetings. Eleven undergraduate students participated in the project as part of an undergraduate research course doing data collection and analysis.
6. Indicate sources of matching funds: Sabat and Bayman dedicated 25% of their regular time and effort as faculty members to this project. In addition, the Rio Piedras campus did not charged for the use of the boat that was utilized for the field work.
7. New extramural funds in addition to match: None
8. Additional Benefits: None
Narrative
Problem Rationale and Objectives
Diseases are a serious threat to coral reef ecosystems. Twenty-nine have been reported in the last twenty years, of which two-thirds are in the Caribbean (Weil 2004). One of the most extensivelystudied coral diseases is aspergillosis of sea fans, attributed to the soil fungus Aspergillus sydowii (Geiser et al. 1998). However, recent work shows that A. sydowii is not necessarily involved in the disease (Toledo-Hernández et al. 2013, 2007a, 2008), and that it is part of the microflora of healthy as well as diseased sea fans. These studies from our group suggest that sea fan disease is not caused by a singel pathogen (i.e. A. sydowii), but has a more complex etiology that probably
involves interactions between the host, opportunistic pathogens, and the environment (Reshef et al. 2006).
The effect of aspergillosis to sea fan populations is currently being debated. The initial consensus was that aspergillosis posed a serious threat to sea fan populations (e.g. Nagelkarken et al. 1997, Kim & Harvell, 2004). More recent demographic modeling, however, conclude otherwise (Bruno et al. 2011). Previous studies from our group indicate a complex interaction between colony size and health state influencing sea fan growth and survivorship (Toledo et al. 2009).
The general goal of this project is to predict growth and survival of sea fans under different abiotic and biotic conditions, including disease and environmental stress, and to predict how disease and management decisions will impact populations. Our central hypothesis is that incidence and severity of aspergillosis are not solely consequences of infection by Aspergillus sydowii or any other pathogen, but rather results of interactions among sea fans, various opportunistic pathogens and environmental parameters. Field and lab data will be incorporated into a demographic model to predict effects of disease on population structure and viability. Specifically we will: (1) Find genes related to stress tolerance and defense expressed in sea fans exposed to pathogens and high water temperatures. (2) Develop, parameterize and validate a demographic model that can be used to analyze the impact of aspergillosis on the local dynamics of sea fan populations.
Objective 1
Gene expression and metagenomics
The objective of looking at the expression of genes related to stress was dropped because by the time the project started the probiotic theory of coral disease was being actively discussed in the literature (e.g. Rosenberg et al. 2007). We decided that instead of pursuing the gene expression route, it would be more feasible and interesting to compare the microbial community of healthy and diseased sea fan tissue using a metagenomic approach. A preliminary metagenome was generated by the J. Craig Venter Institute (JCVI). Five samples each of diseased tissue, healthy tissue, and healthy tissue from diseased colonies were collected. Total DNA was extracted and amplified with fungus- and bacteria-specific PCR primers for pyrosequencing. Unfortunately, about half the samples produced few reads and many of the sequences amplified with bacteriaspecific primers were from chloroplasts of the zooxanthellae. The fungal community was not necessarily more similar in composition within than between tissue types: in two cases the sample most similar to a diseased tissue was from healthy tissue (Fig. 1).
For both fungal and bacterial data sets, many sequences could not be classified (Fig 2). Surprisingly, Aspergillus was not among the ten most common fungal genera detected, which suggests its predominance in culture-based studies is an artifact and casts further doubt on its proposed role as primary pathogen of sea fan aspergillosis. The most common group was related to Microbotryum, a plant parasite. Of the identified bacterial sequences, the most common groups were Hahellaceae, Flavobacteriaceae, and Rhodospirillaceae (Fig 2)
Due to technical difficulties the metagenome initiative was abandoned. Instead, we developed a mathematical model that simulates and analyzes the immune response of sea fans, performed a
field experiment that tested two techniques for curing diseased sea fans, and performed a field experiment to measure the effect of environmental variables on sea fan tissue regeneration.

1. Similarity among communities of fungi from sea fan tissue samples. HD: healthy tissue from diseased colonies; H: healthy tissue from healthy colonies: D: diseased tissue.

2. The most common groups of bacteria amplified from sea fan tissue (all samples pooled).
Modeling the Immune Response of Sea Fans
The model analyzes the capacity of Gorgonia ventalina to eradicate a micro-pathogen under three immune states: healthy, chronically diseased, and terminally diseased (Ruiz-Diaz et al. 2013) It assumes that: (1) polyps are the main unit of the coral; (2) the population of polyps is homogeneously distributed; and (3) the immune system is activated by a signal. When an endosymbiont exceeds a density threshold, it becomes pathogenic, increasing polyp mortality. As a consequence, the colony emits a signal to its stem cells to differentiate into phagocytic and humoral cells, both of which combat the pathogen (Fig 3).

Given a strong immune response, the pathogen is rapidly eradicated by the immune cells, and the coral polyp population returns to an equilibrium state (Fig 4). With a moderate immune response, polyps and pathogen coexist, but the maximum capacity of polyp density is never reached. An immunologically compromised colony offering a weak immune response is unable to stop pathogen growth, and the colony dies. The analysis of the model suggests an alternative explanation for the spatial and temporal variability in disease incidence and mortality, which is based on the strength of the immune system of hosts rather than the virulence of the pathogen.

Fig. 4. Dynamics of polyps, pathogen, stem cells, humoral cells and chemical signal for different health states (RuizDiaz et al. 2013).
Recovery Techniques of Diseased Colonies of Sea Fans
The aim of study was to compare the rehabilitation capacity of G. ventalina after diseasedinduced lesions were scraped or extirpated. Scraping consisted of removing from the disease area –any organisms overgrowing the axial skeleton plus the purpled tissue bordering the diseased area using metal bristle brushes. Extirpation consisted on cutting the diseased areas, including the surrounding purpled tissue, using scissors. Both techniques proved to be very successful in eliminating lesions from sea fans. In the case of the scraping technique, over 92% colonies either fully recovered or showed a significant recovery after scraped. In the case of the
lesion extirpation experiment, all colonies showed 100% of recovery when lesions were cut. In the scraping experiment, healing was achieved mainly by the regeneration of soft tissue growing from healthy tissue surrounding the lesions. Interestingly, the number of colonies that fully or partially recovered was similar at both sites. These results were surprising as a priori we were expecting higher rates of tissue recovery on colonies from Culebra compared to Isla Verde as water quality (i.e. low suspended particle matter, sedimentation rates, and turbidity among others) is superior at Culebra than at Isla Verde year around. We conclude that lesion scraping is useful for eliminating relatively small lesions, as these are likely to readily recover in shorts period of time whereas for relatively large lesions it is more appropriate to cut the lesion. This study demonstrates that sea fans have the capacity of recuperation with human help. Hence, we demonstrate that human intervention could help improve their health state and thus is a desirable strategy for the management and control of sea fan diseases.
Effect of environmental factors on lesion recovery of sea fans
There is lack of basic understanding on how environmental factors and the health state of corals affect lesion recovery capacity. This restricts our ability to comprehensively understand the impact of the disease at the colony, population, and community levels. In this study we compared the lesion recovery capacity of diseased and healthy ramets and genets G. ventalina colonies at two different depths (5m and 12m) with significant differences in light intensity, temperature, and hydrodynamics, while correcting for genetic differences.
A total of eight blocks were established at two depths (5m and 12m) with four blocks at each depth. Each block consisted of four genets of approximately 165.5 cm2 collected from different nearby G. ventalina colonies. Two of these genets were healthy and the other two were diseased. Each genet was attached to an extended nylon line tied to two metal rods 2m apart so that the genet were suspended approximately 1m above the substrate. Each block contained a replicate of the following treatments: one non-scraped healthy and diseased genet (i.e., control - HF and DF respectively), and one scraped (see below) healthy and diseased genet (HF-S and DF-S respectively) Fig. 5.

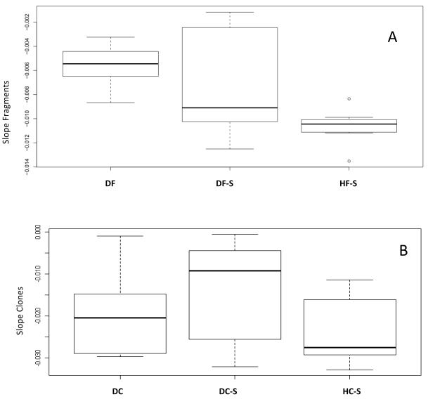
Figure 5. Diagram representing the different Gorgonia ventalina tissue recovery treatments per block. HF: healthy fragment, HC: healthy clone, HF-S: scrapped healthy fragment, DF-S: scrapped diseased fragment, DF: diseased fragment, HC-S: scrapped healthy clone, DC-S: scrapped diseased clone, and DC: diseased clone. Light green represents healthy tissue, black oval represents exposed skeleton, and violet oval represents lesion.
We found that the initial health state of colonies (i.e., diseased or healthy) had a significant effect on tissue regeneration (healing). However, no effect of either depth or genetic variability was found. All healthy genets and ramets, regardless of depth treatment, exhibited full recovery,
whereas diseased genets and ramets clones did not (Fig. 6). The results suggest that sea fans are very plastic to environmental variability and that the rate of tissue regeneration is more related to intrinsic factors, such as health state.

Figure 6. Boxplot showing mean (bold line) ± one standard error (box) and two standard errors (whiskers) of tissue recovery treatments of fragments (A) and clones (B). (A), DF: diseased fragment, DF-S: scrapped diseased fragment, HF-S: scrapped healthy fragment. (B) DC: diseased clone, DC-S: scrapped diseased clone, HC-S: scrapped healthy clone.
Objective 2
Temporal and spatial variability of lesion prevalence, incidence and severity
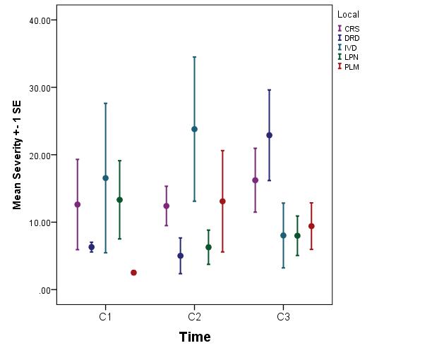
Six study sites were established for the demographic study (Fig. 1), two in the north coast (Dorado and Isla Verde), two in La Cordillera (Palominos and Cayo Ratones) and two in Culebra (Luis Peña and Carlos Rosario). The sites vary with respect to water quality and anthropogenic impact. The Dorado and Isla Verde sites are eutrophic reefs with poor water quality and the substrate dominated by macro algae. The two sites at La Cordillera are moderately impacted, and the two at Culebra are the sites with the best water quality and highest coral cover. One hundred colonies of different health status were tagged at each site, 50 small (< 500cm2), 30 medium ( 500cm2 – 1000cm2) and 20 large (> 1000cm2). However, one of the Cordillera sites (Cayo Ratones) was subsequently eliminated from the study due to strong tidal currents and dangerous sea conditions that we experimented at this site.

Fig 7. Map showing the six study sites originally selected. Two in the north coast [Dorado (DRD) and Isla Verde (IVD)], two in La Cordillera [Cayo Ratones and Palomino (PLM)], and two at Culebra [Luis Peña (LPN) and Carlos Rosario (CRS)]. The Cayo Ratones sites was eliminated due to safety issues.
During the past two years four censuses were conducted at each of the five study sites (approximately every six months). The last census was finished December 2013. Demographic data for the first three census periods have been analyzed.
Table 1. Study sites with number of Gorgonia ventalina colonies marked and followed through time. Dates that censuses were conducted at each site. Total number of days colonies were followed per site.



Fig 8. Image of Colony #5 at Palominos for the first three census periods. This colony was initially healthy, exhibited several lesions at census period 2, and recuperated back its health (except one purple spot) for the third census.
In addition to health state, colony size, and number and sizes of lesions were measured for each census period using image analysis software (Fig. 9).


9. Images showing sea fan colony (top) with area calculated (bottom) using the free license software CPCe® version 4.1 (Kohler & Gill 2006).
Lesion prevalence (% colonies with lesions) exhibited a lot of temporal and spatial variability, from almost no colonies with lesions at some localities and time periods to slightly more than than 30%. However, no temporal or spatial pattern is apparent (Fig 10).

periods.
Percent surface area of a colony impacted by lesion (i.e. severity) also showed a lot of spatial and temporal variability, but no apparent spatio/temporal pattern (Fig 11).

Fig 11. Mean lesion severity (+ 1 SE) of Gorgonia ventalina for the five study sites and first 3 census periods.
Colony survival was high at all sites except at Isla Verde (Fig 12). The main cause of mortality was not disease related, but due to detachment. The significantly higher mortality observed at the Isla Verde site was the result of the degraded and bioeroded condition at this site which resulted in failures of the colony holdfast and reef substrate. Neither being healthy or diseased nor the severity of disease had a significant effect on survivorship (Table 2).

12. Mean survival (+ 95% CI) between first and third census of
ventalina for the five study sites.
Table 2. Number of dead and alive Gorgonia ventalina in three
health categories: healthy, diseased with severity <10%, and diseased with severity > 10%. Chi-square=4.76, df =2, p=0.093.

However, diseased colonies exhibited lower growth than healthy ones (Fig 13).

Figure 13. Change in surface area of healthy and diseased colonies between first and third census period.
Objectives Accomplished or not and why
Objective 1 as initially proposed was not accomplished. Due to many methodological problems, we decided not to continue with a molecular approach in trying to address our general hypothesis that sea fan aspergillosis is not solely caused by Aspergillus sydowii or any other single pathogen, but rather the result of interactions among sea fans, various opportunistic pathogens and environmental parameters. Instead, we decided to strongly support the doctoral dissertation of Claudia Patricia Ruiz given that its objectives overlapped with objective 1, but using mathematical modeling and field experiments instead of molecular biology. She developed a mathematical model that simulates the immunological response of sea fans to opportunistic pathogens (Ruiz-Diaz et al. 2013). In addition, Claudia did a field experiments that tests two different lesion removal techniques (Ruiz-Diaz et al. in review) and another field experiment that
tests the effect of environmental stress on the capacity of sea fans to recover from aspergillosis (Ruiz-Diaz et al. in review)
Objective 2 was accomplished although it is still a work in progress. We collected demographic data for two years at five localities (Table 1) The last census of two sites were done during December 2013. The data including the final census is still being processed and analyze. In the meantime, the demographic model that we developed for this study was parameterized with old data, and used in a manuscript that is currently under review. Once the analysis of the new data is completed, the model will be used again to analyze temporal and spatial variability in sea fan population growth rates. The highlight of this study will be a sea fan population viability analysis similar to what we did for Montastraea annularis (Hernández-Pacheco et al. 2011), but using disease incidence instead of bleaching probability as the variable of interest
Discussion of project impacts and products
This project supported the publication of nine peer-reviewed articles. We expect that this number will increase in the near future as there are three other manuscripts in review. We also expect to submit for review at least four other articles. One of the published articles (Ruiz-Diaz et al. 2013) was highlighted in the local press (¿Cómo combaten los corales sus infecciones?). The project supported four PhD students with stipend either during the summer or regular academic semesters. It also supported the dissertations of these students with materials and logistical support of the field work. These graduate students gave seven presentations (oral or poster) at national and international meetings of research supported by this project. Eleven undergraduate students participated in the project as part of an undergraduate research course doing data collection and analysis.
Graduate Students
Ruber Rodriguez – PhD student, ruber.rodriguez@hotmail.com. Was supported between August 2011 to July 2013
Claudia P. Ruíz - PhD student, claudiapatriciaruiz@gmail.com. Was supported during June and July of 2011, 2012 and 2013.
Alex Mercado – PhD student, amolinapr@gmail.com. Was supported June and July of 2011 and 2012.
Luis Alberto Ramirez Camejo – PhD student, ramirezcamejo@gmail.com Was supported June and July of 2011and 2013
Undergraduate Students
Krystel Sigman: krystelsigman@hotmail.com. Undergraduate research (Biol 4990).
Marina López: marina.lopez@upr.edu. Undergraduate research (Biol 4990).
Leslie Rivera: leslie.rivera6@upr.edu. Undergraduate research (Biol 4990).
Ligia Pentzke: ligiaalu25@gmail.com Undergraduate research (Biol 4990).
Gabriel López: g.lopez.22@hotmail.com. Undergraduate research (Biol 4990).
Julián López: julianlopezmorell@live.com Undergraduate research (Biol 4990).
Peter Suazo: peter.suazo@hotmail.com. Undergraduate research (Biol 4990).
Tania Caraballo: tania-uhs040@hotmail.com. Undergraduate research (Biol 4990).
Janet Chan: j_chan41@hotmail.com Undergraduate research (Biol 4990)
Amy Silvestrini: chanett1214@hotmail.com. Undergraduate research (Biol 4990).
Verónica Hernández:vequiemhk@gmail.com. Undergraduate research (Biol 4990).
Thesis and dissertations
Claudia P. Ruíz successfully defended her dissertation May 2014. Alex Mercado, Ruber Rodriguez and Luis Ramirez are scheduled to defend their dissertations May 2015.
Presentations
Rodríguez-Barreras, Ruber., Cuevas, E. & Cabanillas-Terán, N. Food resources of three littoral echinoids in Puerto Rico: a stable isotope approach. Oral presentation. 36th Scientific Meeting of the Association of Marine Laboratories of the Caribbean, Jamaica, 2013.
A.E. Mercado-Molina, C.P. Ruiz-Diaz, A.M. Sabat. A COMPARISON OF SURVIVORSHIP, GROWTH, AND BRANCH PRODUCTION BETWEEN STABILIZED AND UNSTABILIZED FRAGMENTS OF THE BRANCHING CORAL ACROPORA CERVICORNIS (ORAL). 36th Scientific Meeting of the Association of Marine Laboratories of the Caribbean, Jamaica, July 2013.
A.E. MERCADO-MOLINA, J. FONSECA, C.P. RUIZ-DIAZ, A.M. SABAT. BRANCHING DYNAMICS OF THE STAGHORN CORAL ACROPORA CERVICORNIS (POSTER). 36th Scientific Meeting of the Association of Marine Laboratories of the Caribbean, Jamaica, July 2013.
Ramírez-Camejo Luis A., Agosto Jose L., and Bayman Paul. Effect of aspergillosis on wildtype and arrhythmic Drosophila melanogaster. Meeting of the American Society of Mycology. Denver, Colorado-USA, May 18-21.
Ramírez-Camejo Luis A., Torres-Ocampo Pamela, and Bayman P. Virulence of the opportunistic pathogen Aspergillus flavus in the fruit fly Drosophila melanogaster Simposio de Micología. UPR de Aguadilla-Puerto Rico 4 Mayo (Primer lugar Poster Graduado).
Claudia P. Ruiz-Diaz, Carlos Toledo-Hernández, Alberto M. Sabat, Mariano Marcano. Modeling the Immune response to Pathogen in Sea Fan Colonies. 1er Congreso Estudiantil Subgraduado y Graduado de Investigación de la UPR-RP, Mayo 2012.
Publications
Ruber Rodríguez-Barreras, María E. Pérez, Alex E. Mercado-Molina, Stacey M. Williams, and Alberto M. Sabat. Higher densities of the sea urchin Diadema antillarum linked to wave sheltered areas in north Puerto Rico. Journal of the Marine Biological Association of the United Kingdom (In Press)
Luis A. Ramírez-Camejo, Ana P. Torres-Ocampo, José L. Agosto-Rivera and Paul Bayman. An opportunistic human pathogen on the fly: strains of Aspergillus flavus vary in virulence in Drosophila melanogaster. Medical Mycology (In Press)
Alex E. Mercado-Molina, Claudia Patricia Ruiz-Diaz, Alberto M. Sabat. 2014. Survival, growth, and branch production of unattached fragments of the threatened hermatypic coral Acropora cervicornis. Journal of Experimental Marine Biology and Ecology 457: 215–219
Claudia P. Ruiz-Díaz, Carlos Toledo-Hernández, Alberto M. Sabat, Mariano Marcano. 2013. Immune response to a Pathogen in Corals. Journal of Theoretical Biology 332:141–148
Carlos TOLEDO-HERNANDEZ, Vladislav GULIS, Claudia Patricia RUIZ-DIAZ, Alberto M. SABAT, Paul BAYMAN. 2013. When aspergillosis hits the fan: disease transmission and fungal biomass in diseased versus healthy sea fans (Gorgonia ventalina). Fungal Ecology 6: 161–167
Ruber Rodríguez-Barreras, Alberto M. Sabat and Jaime R. Calzada-Marrero. 2013. The new list of shallow water echinoids (Echinodermata: Echinoidea) for Puerto Rico. Marine Biodiversity Records, Volume 6: e49
Ruber Rodríguez-Barreras, Jaime R. Calzada-Marrero and Alberto M. Sabat. 2012. A new record of the echinoid Echinoneus cyclostomus and additional information on Cassidulus caribaearum for Puerto Rico. Marine Biodiversity Records, Volume 5: e112
Ruber Rodríguez-Barreras, Alberto M. Sabat, Milena Benavides-Serrato and Damien R. Bontemps. 2012. A new record for Puerto Rico of the irregular echinoid Cassidulus caribaearum (Echinodermata: Echinoidea). Marine Biodiversity Records, Volume 5: e85
Anabella Zuluaga-Montero & Alberto M. Sabat. 2012. Spatial variability of disease incidence and mortality in the sea fan Gorgonia ventalina in Puerto Rico (Alcyonacea: Goorgoniidae). Rev. Biol. Trop. (Int. J. Trop. Biol. ISSN-0034-7744) Vol. 60 (2): 517-526.
In review
Alberto M. Sabat and Carlos Toledo-Hernández. Viability of Sea Fan Populations impacted by disease: recruitment vs. incidence. Journal of Marine Biology
A.E. Mercado-Molina, C.P. Ruiz-Diaz, A.M. Sabat. Survivorship and growth of transplanted versus naturally occurring fragments of the threatened coral Acropora cervicornis Coral Reef
Claudia Patricia Ruiz-Diaz, Carlos Toledo-Hernández, Alex Mercado, Alberto M. Sabat. Induced Recovery of Diseased Sea fans Gorgonia ventalina: scrapping or cutting?
Journal of Experimental Marine Biology
Recommendations
The disease prevalence data indicates that lesion prevalence for Gorgonia ventallina in Puerto Rico remains at a low to moderate level (between 5 and 25%). This supports the conclusions of other studies that sea fan disease in the Caribbean is currently endemic with low to moderate levels of prevalence. Disease, however, is not the main cause of sea fan mortality but rather detachment. The high mortality documented for the Isla Verde site is of concern. Although we need to complete the demographic analysis to determine the fate of this population. Most likely,
the analysis will indicate that this population is in decline. The high mortality due to detachment at Isla Verde suggests that sea fan populations at highly impacted and bioeroded reefs are at risk because the weak substrate at these sites causes the sea fan holdfast to fail and detach during periods of high energy. However, the high survivorship at the other localities suggests stable or growing populations of sea fans in general.
This study also supports the hypothesis that the etiology of sea fan disease is more complex than originally understood. The mathematical modeling of the immune system of sea fans indicates the importance of the strength of immune response of colonies. Colonies under environmental stress are more likely to succumb to disease than those in a benign environment. This has practical implications because it suggests that colonies under heat or poor water quality stress will be more impacted by disease. A recommendation to mitigate the effect of disease during stressful periods or sites is to eradicate the lesions in colonies either by scrapping or cutting them as demonstrated in the field experiment by Ruiz-Diaz et al. (in review).
Bibliography
Bruno JF, Ellner SP, Vu I, Kim K, Harvell CD (2011) Impacts of aspergillosis on sea fan coral demography: modeling a moving target. Ecol. Monogr. 1: 123-139
Caswell H (2001) Matrix population models: construction, analysis and interpretation. 2nd Ed. Sinauer, Sunderland, MA
Geiser DM, Taylor JW, Ritchie KB, Smith GW (1998). Cause of sea fan death in the West Indies. Nature 394:137-138
Hernández-Pacheco, R., E. A. Hernández-Delgado, and A. M. Sabat. 2011. Demographics of bleaching in a major Caribbean reef-building coral: Montastraea annularis. Ecosphere 2(1):art9.
Kim K, Harvell CD (2004). The rise and fall of six-year coral fungal epizootic. Am Nat 164:5263
Nagelkerken IK, Smith GW, Bonair K, Bush P, Garzón-Ferriera J, Botero L, Gayle P, Harvell CD, Heberer C, Kim K, Petrovic C, Pors L, Yoshioka P (1997). Widespread disease in Caribbean sea fans: II. Patterns of infection and tissue loss. Mar Ecol Prog Ser 160:255-263
Reshef L, Koren O, Loya Y, Zilber-Rosenberg I Rosenberg E (2006). The coral probiotic hypothesis. Environ microbiol 8:2068-2073
Eugene Rosenberg , Omry Koren , Leah Reshef , Rotem Efrony & Ilana Zilber-Rosenberg (2007). The role of microorganisms in coral health, disease and evolution. Nature Reviews Microbiology 5: 355–362
Claudia P. Ruiz-Díaz, Carlos Toledo-Hernández, Alberto M. Sabat, Mariano Marcano. 2013. Immune response to a Pathogen in Corals. Journal of Theoretical Biology 332:141–148
Carlos TOLEDO-HERNANDEZ, Vladislav GULIS, Claudia Patricia RUIZ-DIAZ, Alberto M. SABAT, Paul BAYMAN. 2013. When aspergillosis hits the fan: disease transmission and fungal biomass in diseased versus healthy sea fans (Gorgonia ventalina). Fungal Ecology 6: 161–167
Toledo-Hernández,C.,Yoshioka,P.,Bayman,P.,Sabat,A.,2009.Impact of disease and detachment on growth and survivorship of sea fans Gorgonia ventalina. Mar.Ecol.Prog.Ser.393,47–54
Toledo-Hernández C, Zuluago-Montero A, Bones-Gonzáles A, Rodríguez JA, Sabat AM, Bayman P (2008). Fungi in healthy and diseased sea fans (Gorgonia ventalina): Is Aspergillus sydowii always the pathogen? Coral Reef. 27:707-714
Toledo-Hernández C, Bones-Gonzáles A, Ortiz-Vázquez OE, Sabat AM, Bayman P (2007). Fungi in the sea fan Gorgonia ventalina: diversity and sampling strategies. Coral Reefs. 26:725730
Weil E (2004) Coral reef diseases in the Wider Caribbean. In Coral health and disease. Rosenberg E, Loya Y (eds). Springer, Berlin New York pp 358-64