Movement patterns of bonefish (Albula spp.) inhabiting reef flats in Culebra, Puerto Rico: from ecological connectivity to sustainable use of a recreational fishery
25 April 2015
UPR Sea Grant R-21-1-12
Andy J. Danylchuk and Jack Finn
Start Date: 01 February 2012
End Date: 31 January 2015
Department of Environmental Conservation, University of Massachusetts Amherst, 160 Holdsworth Way, Amherst, Massachusetts, 01003
A: EXECUTIVE SUMMARY
Objectives
The objectives of our study were to: 1) quantify the spatial ecology of bonefish inhabiting coastal waters of Culebra, PR; and 2) examine the impacts of catch-and-release on the physiological stress and post-release mortality of bonefish. Over the past three years we have successfully accomplished both objectives. Prior to our study, no formal scientific research had been done on the movement patterns and catch-and-release of bonefish in the Caribbean Basin.
Advancement of the Field
Our research has greatly advanced the understanding the movement patterns of bonefish inhabiting small isolated reef flats typical to islands in the Caribbean Fixed-station acoustic telemetry, including the first-ever fine-scale positioning system used for bonefish, resulted in over 4.2 million reliable detections used to model movement patterns. Although the analyses of the movement data will continue for the 12-18 months, current syntheses of the data demonstrate that bonefish have incredibly high fidelity to their site of capture. In many cases, individual bonefish tracked for over two years rarely moved to neighboring reef flats. At a fine scale, we are also able to quantify foraging patterns and related drivers that provide direct indicators of essential habitat for bonefish. This work advances the field of spatial ecology for bonefish and highlights the need for the protection of both key habitats and movement corridors. For this work we also developed network modeling techniques that are advancing the broader field of acoustic telemetry for marine fishes and other organisms.
Our research has also advanced the understanding of the response of bonefish to catch-andrelease recreational angling. Adopting a rapid assessment approach we have used on other species, we determined that the larger bonefish typical of the reef flats of Culebra as equally susceptible to angling stress when compared to smaller bonefish in The Bahamas. Air exposure had a strong effect on physiological stress and post-release behavior and mortality. Larger fish also typically have longer fight times, and fight duration and intensity may be an important predictor of physiological stress and survival relative to other sport fish. This aspect of our work represents the first catch-and-release assessment of bonefish outside The Bahamas, and adds great depth to the development of best practices for the sustainability of angling-based tourism focused on bonefish.
Problems Encountered
Minor problems were encountered during our research that included: 1) theft of three acoustic receivers; 2) needing to charter a larger dive boat for accessing receivers in deeper water and greater distances from shore; 3) sorting out housing logistics for research trips to Culebra; and 4) relatively low catch rates of bonefish, meaning much more time and effort needed for collecting fish for tagging and the catch-and-release study.
Research Impacts
Bonefish are ecologically and economically important to small island states, yet relatively little is known about this species throughout much of its geographic range Broadening our understanding of their spatial ecology and essential habitats used by bonefish increases capacity for effective conservation and management. Our work on Culebra highlights how potentially sensitive bonefish inhabiting small isolated reef flats are to threats such as netting. With relatively high site fidelity and little movement among flats, it may take a very long time for bonefish to recolonize following depletion. It also means that disturbance to key habitats could have considerable cascading effects on such as foraging behavior, fish growth, and ultimately fitness. This knowledge is very powerful since it highlights the fact that marine fishes can be quite sensitive to disturbance. As such, ensuring that this knowledge gets into the hands of resource management agencies and stakeholders, including recreational angler and fishing guides, can thus far reaching impacts on the wise use of bonefish and their essential habitats. Information regarding best practices for catch-and-release of bonefish can be applied immediately, and should be the focus of targeted education and outreach campaigns throughout Puerto Rico and the greater Caribbean.
Other Important Impacts and Products:
The acoustic telemetry array deployed around Culebra presented a great opportunity to learn about the movement patters of bonefish, but also the spatial ecology of other coastal marine species. Once established, we took advantage of the infrastructure and leveraged it with additional partnerships study the movement patterns of juvenile green sea turtles (Chelonia mydas), great barracuda (Sphyraena barracuda), and permit (Trachinotus falcatus). The tables below included those graduate students working directly on these efforts. Although none were funded directly through the Sea Grant award, none of this would have been possible without the infrastructure of the acoustic telemetry array.
Student/Rank
Focus # weeks
Jake Brownscombe (PhD) Bonefish 4 mo
Chris Haak (PhD) Bonefish 2 mo
Lucas Griffin (MS) Green turtles 4 mo
Sarah Becker (MS) Great barracuda 1 mo
Roxann Cormier Permit 0.5 mo
Student funding source
National Science Engineering Research Council, Canada
Bonefish & Tarpon Trust
UMass Intercampus Marine Science Program
UMass Intercampus Marine Science Program
UMass Dept. of Environ. Conservation
Sources of Matching Funds
Matching funds for this project came via salary support for Danylchuk (3.0 months; $24.264 salary, $8,8774.36 fringe)) and Finn (2.0 months; $23,130.06 salary, $8332.42 fringe) from UMass Amherst.
New Extramural Funds In Addition to Match
Additional funding was secured from UMass Intercampus Graduate Program (stipends for Griffin and Becker), Canada National Science Engineering Research Council (stipend for Brownscombe), Bonefish & Tarpon Trust (stipend for Haak), Patagonia Inc. ($5,000 for tags and logisitics for permit research), and Allen Family Foundation ($10,000 for tags and logistics for juvenile green sea turtle research).
Effort of PIs
Matching funds for this project came via salary support for Danylchuk (3.0 months; $24.264 salary, $8,8774.36 fringe)) and Finn (2.0 months; $23,130.06 salary, $8332.42 fringe) from UMass Amherst.
Benefits
The value added benefits of this project have included economic, environmental, and outreach gains. With the 1-year no-cost extension, our project ran for a total of three year, providing considerable income for the community on Culebra via rental of accommodations, vehicle rentals, and the purchase of goods and services. Given that nature of the community, our longerterm presence helped build additional interest and trust in the potential benefits of our research. Being able to build friendships with local community members and stakeholders created outreach opportunities that are not achievable with shorter-term projects. Greater environmental and outreach gains were also achieved because of leveraging the presence of the fixed receiver array to study the spatial ecology of other important marine species inhabiting the coastal waters of Culebra.
The massive amount of telemetry data accumulated during the three years, as well as the coupling of a broad scale and fine scale array, required the development of novel analytical tools. Data from the first 6 months of the project was used to develop network modeling methods that will be used for the complete data set, plus also provide other researchers with a new tool for analyzing and visualizing the movement patterns of coastal marine organisms tracked using acoustic telemetry (Finn et al. 2014. Applying network methods to acoustic telemetry data: modeling the movements of tropical marine fishes. Ecological Modelling 214:139-149). We are also in the process of developing other novel analytical techniques to model movement patterns within the fine-scale array.
Through novel experimental designs, cutting edge analytical techniques, and strong stakeholder engagement, our research is already resulting in greater awareness related to the essential habitats and connectivity of bonefish in the waters of Culebra, as well as the potential sensitivity of bonefish to disturbance (because of their high site fidelity). We have also been networking with local and regional conservation groups (e.g., Pesca, Playa y Ambiente) and other conservation partners (e.g., Department of Natural and Environmental Resources, Bonefish & Tarpon Trust) to convey the evolution of best practices for the catch-and-release of bonefish.
B. FINAL REPORT NARRATIVE
Background and Rationale
The habitat mosaic comprising tropical nearshore flats systems are inherently interconnected not only through physicochemical processes associated with tidal cycles, but also through the fish and other organisms which undertake migrations between them (Semeniuk 2005; Mumby 2006). In fact, tidal migrations of fish to and from flats habitats represent a major conduit for nutrient exchange between nearshore and other coastal habitats, such as coral reefs (Mann 1982). In addition to their ecological importance, many fish species that migrate between flats and adjacent coastal habitats form the basis of economically valuable recreational fisheries. From fishing tackle and guiding fees to travel and lodgings, the amount of direct and indirect revenues from recreational fishing on coastal flats can be high (Humston 2001). In developing nations, the relative economic benefit of recreational fisheries for bonefish (Albula spp) and other flats species could be significant since angling-based tourism may represent one of the only sources of revenue for small coastal communities (Danylchuk et al. 2008).
Many of the properties that contribute to growing demands and economic benefits of recreational angling on tropical flats can also have potential negative impacts on flats habitats as well as on the fish themselves. Tourism-related development such as resorts and marinas frequently occur in close proximity to the coastline, and these activities can result in the loss or modification of essential fish habitat (Mann 1982). Recreational angling itself can also potentially impose negative impacts on targeted fish stocks, however only recently has this activity been recognized as potentially contributing to the decline of fish stocks (Coleman et al. 2004; Cooke and Cowx 2004). Even when treated as a non-extractive resource, angled fish are exposed to injury and stress associated with capture and handled prior to release, potentially causing mortality and diminishing fish stocks (Cooke and Suski 2005).
Recreational angling is a popular activity in Puerto Rico. In 2003, approximately 200,000 residents of Puerto Rico made over 1.1 million recreational angling trips in marine waters, with between 56-64% of this angling being from shore. In addition, approximately 40,000 non-resident marine recreational anglers visit Puerto Rico each year. Although there is currently no accurate estimate of the economic value of the recreational fishery in Puerto Rico, estimates from other countries in the region indicate that this popular leisure activity can provide considerable revenue for coastal communities. For instance, in The Bahamas, the bonefish fishery was recently estimated to be worth 141 million USD annually to the local economy (Fedler 2010). Given the close proximity to the United States, lack of visa restrictions for travelers from the United States, and increasing costs to travel to many other foreign destinations, there is a strong likelihood that the recreational angling industry in Puerto Rico will continue to grow. Included in the growth of the recreational angling tourism sector will be a focus on flats species such as bonefish, especially as bonefish stocks elsewhere (e.g., the Florida Keys) continue to decline. However, in spite of their potentially high economic value, very few studies have examined the ecology, life history, and potential impacts of catch-and-release on bonefish – all valuable information that could lead to their successful management and sustainable use.
Over the past five years, the spatial ecology (Murchie et al. 2011a), reproductive activity (Danylchuk et al. 2011), and bioenergetics (Murchie et al. 2011a, 2011b) of bonefish have been quantified in The Bahamas, as well as the impacts of catch-and-release on physiological stress and post-release mortality (Danylchuk et al. 2007a, 2007b, Suski et al. 2007, Cooke et al. 2008).
One very important finding from this work in The Bahamas was that bonefish are not just residents of the shallow flats but use a broad range of coastal habitats (Murchie et al. 2011a), including making seasonal migrations to deep water to spawn (Danylchuk et al. 2011).
Specifically, between October and May, bonefish migrate from the shallow coastal flats to transitional habitat to form pre-spawning aggregations prior to moving on mass to deep water to spawn during the full and new moon (Danylchuk et al. 2011). Thus, although individual bonefish may only use transitional and deep-water habitats for less than a week out of each year, this study highlights that these non-flats habitats are essential for the reproductive ecology and likely the persistence of bonefish populations.
Given broad distribution of bonefish in the Western Atlantic and association with coastlines of vastly different bathymetries, the results from studies conducted in The Bahamas may not be completely transferable to other regions. Many questions emerge when considering the spatial ecology of bonefish inhabiting broad, shallow flats connected to the shoreline (such as in The Bahamas) versus the movement patterns of bonefish that frequent reef flats of Caribbean islands that are spatially disconnected from other shallow, coastal habitats. For instance, do bonefish spend as much time on reef flats as they do in tidal creeks and broad flats connected to the coastline? Are daily movements of bonefish as tidally driven on reef flats as they are in broad coastal flats in The Bahamas? Do pre-spawning aggregations occur when the distance between shallow flats and spawning sites is short? Do bonefish make similar seasonal spawning migrations if reef flats are in close proximity to deep water spawning sites? Given the short distance between reef flats and deep water, are bonefish in the Caribbean more susceptible to post-release predation following catch-and-release angling? Do bonefish remain on shallow reef flats following catch-and-release angling as a way to avoid contact with potential predators? Answering such questions 1) are critical to the protection of essential fish habitat for bonefish, especially since small reef flats characteristic of islands in the Caribbean Basin are likely more susceptible to extensive anthropogenic disturbance, and 2) can lead to the development of best practices that can be used by stakeholders, local and regional governments, and non-government organizations for the management and sustainable use of bonefish stocks.
Project Description and Objectives
The overarching goal of our project was to quantify the spatial ecology of bonefish inhabiting coastal waters typical to the Caribbean Basin. To do so, we used acoustic telemetry to examine seasonal movement patterns of bonefish among coastal habitats of Culebra, Puerto Rico. Acoustic telemetry is very effective for studying the movement patterns of bonefish (Humpston et al. 2005, Murchie et al. 2011a, Danylchuk et al. 2011, Murchie et al. 2013), however to date no study has examined the spatial ecology of bonefish within the Caribbean Basin Culebra is at an ideal physical scale for a comprehensive telemetry array without requiring a vast number of remote receivers (Murchie et al. 2013). Moreover, the coastal bathymetry of Culebra is typical of small islands throughout the Caribbean Basin, possessing shallow reef flats, narrow lagoon zones, and small coastal embayments, further contributing to the efficient, cost-effective use of acoustic telemetry to quantify bonefish movements.
A second objective was to examine the impacts of catch-and-release on physiological stress and post-release mortality in coastal habitats that are quite different from the coastal habitats where the impacts of catch-and-release have previously been quantified (i.e., The Bahamas). Reef flats in the Caribbean Basin, including those off Culebra, are considerably smaller and more isolated from the shoreline than coastal flats in The Bahamas, thus potentially
making bonefish more vulnerable to predation following release. As such, quantifying physiological stress and post-release mortality can shed light on the potential impacts recreational angling may have on individual bonefish, as well as on the impacts recreational angling may have on the connectivity among coastal habitats.
Collectively, both aspects of this study provide important information related to Healthy Coastal Ecosystems and Sustainable Coastal Development. This study addressed the potential ecological and economic services bonefish provide. Determining how coastal bathymetry influences the spatial ecology and movement patterns of bonefish can help identify essential fish habitat and, in turn, assist coastal resource managers with adopting precautionary measures to protect bonefish stocks Determining the physiological stress response and post-release behavior and mortality of bonefish on reef flats can allow for the development of more sustainable angling-based tourism throughout the Caribbean Basin.
Methods
Our project is focusing on the embayments and coastal waters of Culebra, Puerto Rico. Given that Culebra is growing in popularity as a destination for recreational anglers, a better understanding of the local bonefish stocks will aid in effective fisheries and coastal zone management. In addition, the coastline of Culebra is typical of the coastlines of many islands in the Caribbean, which will increase the ability to transfer the results to other islands in the region.
Fixed Receiver Array
Acoustic telemetry is being used to measure movement patterns and habitat use of bonefish In June 2012, a total of 48 fixed remote acoustic receivers (Vemco VR2Ws) were deployed. To monitor broad-scale movement patterns around the island, 23 of the receivers were deployed as nodes along the shoreline, in bays, and potential choke points where the likelihood of detecting a bonefish would be high as it moved past. To quantify fine-scale movement patterns, 25 of the receivers were deployed as a grid spanning a 325 m x 200 m track of reef flat and adjacent habitat frequented by bonefish. Also deployed with the grid of receivers are 15 sync tags that act as fixed reference points that assist in the accurate positioning of bonefish when they are within the array. Several iterations of the fine-scale array were deployed and redeployed until we were satisfied with the accuracy of positioning; the final position of the fine-scale array was established in late July. Temperature data loggers were also deployed through the broad-scale and fine-scale segments of the array. Acoustic receivers and temperature data loggers will be downloaded regularly throughout the study. Based on data collected during Year 1 of the study, we added nine (9) additional receivers in March 2013 to the broad scale array to potentially fill in gaps in detections and also attempt to determine if bonefish were using a deeper water channel as a movement corridor for spawning. In total, we have 59 fixed receiver stations in the acoustic telemetry array surrounding Culebra.
Tag Deployment
Beginning in March 2012, we have surgically implanted acoustic transmitters in 50 bonefish from three difference reef flats on the east side of Culebra (28 were tagged in July 2012, and 22 in May 2013). A total of 40 bonefish were surgically implanted with V13-1L coded acoustic transmitter tags (13 mm diameter, 36 mm long, 6.0 g in air, min and max delay times 45 to 135 s, 700 day battery life, Vemco Inc., Halifax, NS) and an additional 10 implanted with V13-AP acoustic accelerometer and depth transmitter tags (13 mm diameter, 44 mm long, 6.0 g in air,
min and max delay times 45 to 135 s, 323 day battery life, Vemco Inc., Halifax, NS). All bonefish were caught using rod and reel from three focal reef flats – Dakity, Jurasic Park (JP), and Las Pelas (Figure 1). Bonefish were anesthetized with MS-222 (approx. 100 ppm) in a cooler (45 L), and then placed on a portable surgery table in a small skiff. While on the surgery table, the fish’s gills were supplied with a maintenance dose of MS 222 (approx. 50 ppm) in fresh seawater using a recirculating pump. Transmitters and surgical tools were cleaned with Betadine and the surgeon wore surgical gloves. To implant transmitters, a small incision (2 – 3 cm) was made to the right side of the ventral midline, posterior to the pectoral fin girdle. Prior to inserting the transmitter, sex was visually confirmed by inspecting the gonads through the incision. Care was taken to insert the transmitter through the incision, and slide it gently towards the pectoral fins. The incision will be closed with 3 to 4 interrupted sutures (Ethicon 3-0 PDS II, monofilament absorbable suture material, Johnson and Johnson, New Jersey), and the total length of the fish (to nearest mm) measured. The entire surgical procedure took less than five minutes and was always conducted by the same trained surgeon. Fish were then held for up to 30 min in flow-through holding pens in situ prior to release to allow for recovery from anesthesia.




Las Pelas
Catch-and-Release Assessment
In the summer of 2014 we conducted the bonefish catch-and-release physiological work to quantify whether the larger bonefish typical to the waters off Culebra are susceptible to the stresses imposed by recreational angling. For this study, 23 bonefish were caught and released via commonly used angling techniques. All aspects of the angling event were quantified. Upon capture, bonefish were either handled entirely in the water to eliminate air exposure (n=12) or exposed to air for 2 min to simulate an aerial hook removal and admiration period (n=11). Bonefish were then assessed for five reflex action mortality predictors (RAMP; Davis 2010),
Figure 1: Culebra, Puerto Rico, with the focal reef flats highlighted.
including tail grab, equilibrium, body flex, head complex, and vestibular-ocular response (VOR). Tail grab involved grabbing the fish’s tail while in water; the fish trying to escape the handler indicated a positive response. Equilibrium was assessed by flipping the fish upside down; a positive response was indicated by the fish righting itself within 3 sec. body flex was assessed by lifting the fish into air by the center of the body; body flexing as an attempt to escape indicated a positive response. Head complex was tested by observing the fish’s operculum; consistent, rhythmic opercular beats indicated a positive response. Lastly, VOR was assessed by rolling the fish side to side in water; a positive response was indicated by the fish’s eyes moving up and down to track level. Each test was scored as 1–impaired, 0–unimpaired; greater RAMP scores indicate greater impairment (as per Davis 2010) Reflex tests took less than 20 sec to complete. These tests were used because they have been established as effective measures of vitality in a range of teleost fish, including bonefish (Raby et al. 2012; Brownscombe et al. 2013,2014a; Cooke et al. 2014).
After the RAMP assessment, bonefish were held in a floating mesh net pen (1.2Lx1.2Wx1.2H meters) for 1 hr prior to blood sampling because physiological stress typically peaks ~1 hr post stressor in bonefish (Suski et al. 2007). While this does cause some additional confinement stress, this is the best known approach to retaining fish to observe delayed stress responses or mortality, with a large mesh pen providing sufficient space for movement and constant water flow (Portz et al. 2006; Gutowsky et al. In Press). After the 1 hr holding period, ~1 mL of blood was drawn via caudal venipuncture using an 21 g syringe and 3 mL Vacutainer® (lithium heparin). Blood was analyzed immediately using point-of-care devices calibrated for bonefish (see Cooke et al. 2008) for blood-plasma lactate (mmol/L, Lactate Pro LT-1710, Akray Inc., Kyoto, Japan), glucose (mmol/L, Accu-Chek Compact Plus, Roche Diagnostics, Basel, Switzerland) and pH (HI-99161, Hanna Instruments, Woonsocket, Rhode Island, USA)
Results and Findings
Broad-Scale Movement Patterns
As of early January 2015, we have accumulated over of 4.1 million reliable detections from the 50 transmitter-implanted bonefish tagged in for this study. A total of four fish were only detected within the first two weeks following deployment. Two additional fish were no longer detected after mid Nov 2012, and five tagged bonefish disappeared from the array in late January/Feb 2013. In the last month before the July 2014 download we were still detecting 12 of the 50 tagged bonefish (24%), resulting in over 33,000 reliable detections. As of the last download in January 2015, we were still tracking 3 of the tagged bonefish. Excluding those fish that were still being tracked at the last download, the overall duration of tracking individual bonefish ranged from two weeks to over 2 years.
Given the nature of acoustic telemetry data, the detailed analyses to finalize the quantification of movement patterns has only just begun following the final download. One other caveat with acoustic telemetry is that the technology has developed faster than the analytical techniques need to efficiently model movement patterns over varying spatial and temporal scales. Because of this, we worked with an early subset of the data to develop novel modeling techniques that not only improve the analyses of movement patterns of bonefish for this study, but also offer the acoustic telemetry community new tools for examining the spatial ecology of other marine life (Finn et al. 2014).
By comparing the tagging location for each individual bonefish to the location of the receivers each fish was detected on, it was very obvious there was a high degree of site fidelity. Specifically, < 1% of detections for bonefish on receivers located on receivers there were not on or near the reef flat where individuals were tagged (Figure 2). Bonefish tagged at Las Pelas were only rarely detected on receivers along the northeast shoreline of Culebra. Bonefish were not detected on receivers on the west and south sides of Culebra, or at receivers around Culebrita.
Figure 2: Proportion of detections for individual bonefish (n=50) on receivers at the location of tagging (‘home’ flats; blue) compared to receivers at other reef flats (‘away’ flats’ red).
Network methods have allowed for better visualization of the movement patterns of bonefish among receivers, especially given such a large dataset (Finn et al. 2014). For these methods weighted average of detections are used to create movement paths between receivers or ‘nodes’, and the proportional frequency of movement is indicated by the thickness of the edges (arrows) and lines. As an example, the bonefish (#30425) in Figure 3 was only detected on receivers in Dakity, with the majority of movements occurring between receivers D6, D5, and D7.
Figure 3: Spatial graph of movement for bonefish #30425.
made considerable movements between Las Pelas and Las Dakity, with these forays only occurred over a 24 48 hr period, after which the fish returned to their ‘home flat’. Such movement paths are visible in for bonefish #30435 (Figure 4) and bonefish #30433 (Figure 5). Preliminary temporal analyzes suggest that these movements coincided with peaks in lunar cycles (new and full moon) and could potentially be do to spawning related activities.
Fine-Scale Movement Patterns
Data from successive downloads of VPS receivers were sent to VEMCO for post-processing to provide detailed positioning of bonefish. Position accuracy at the 75% CI level was < 5.0 m. Preliminary review of the position data reveals considerable segregation among bonefish that are detected within in the VPS during the same time period (Figure 6) Such spatial separation could be related to social interactions and completion among individuals for prey resources. This is the first time fine-scale movement patterns have ever been quantified for bonefish.
Figure 6: Position of bonefish #30414 (red) and bonefish #30437 (purple) in the VPS on December 12, 2012 between 01:00 and 01:30. Note that the positions of the two bonefish do not overlap.
Mapping of the habitat within the VPS has allowed us to quantify habitat-specific temporal use of bonefish. Although we waiting for VEMCO to return the position data from the final download in January 2015, visual modeling of the current data is revealing considerable variation in spatial habitat use on a daily basis. For example, bonefish #30414 had a much more constrained spatial range during the day versus dusk, night, and dawn (Figure 7). This broader spatial range covered several different habitat types, including the sandy lagoon zone. Other patterns that are unfolding are related to tidal cycle, with bonefish not moving up on the reef crest even when water depths are greater during high tides. The high resolution of this data will permit the clear identification of essential habitats for bonefish on a fine spatial and temporal scale.




Figure 7: Position contours for bonefish #30414 (yellow) in the VPS during dawn, day, dusk and night. Habitat types indicated are: coral reefs (pink), reef crest (tan), seagrass (green), algal plain (light blue), lagoon (navy blue). Red contours are for a great barracuda during the same time period.
Response to Catch-and-Release
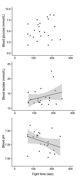
All bonefish were hooked in the anterior portion of the mouth, primarily at the side of the upper lip, and no deep hooking occurred. Angling duration (between hooking and landing) ranged from 70 to 245 sec (145±50sec), and was positively correlated with fish size (Table 1). Mean blood glucose concentration 1 hr after angling events was 5.2±2.1mmol/L, mean lactate concentration was 13.8±2.9mmol/L, and mean pH was 7.3±0.2. Blood lactate concentrations were positively correlated with both temperature and angling duration (Figure 8). Blood pH was negatively correlated with temperature, fight duration, and fish length, while blood glucose was not correlated with any angling metrics (Figure 8). Air exposure, fight time, water temperature, and the interaction between fight time and air exposure were not significant predictors of bonefish
blood glucose 1 hr post-landing. However, temperature was a significant predictor of blood lactate concentrations. Surprisingly, lactate concentrations were lower at higher temperatures; however, fight durations were also shorter (and fish sizes smaller) at higher temperatures. There was a significant interaction between air exposure and temperature when predicting blood pH, which was negatively correlated with temperature in the no air exposure treatment, but not in the 2 min air exposure treatment.
Upon landing, bonefish that were not air exposed had significantly lower reflex impairment scores (0.1±0.2; mean ± SD; proportion impaired) compared to bonefish that were landed and air exposed for 2 min (0.6±0.1)(t=-9.1, df=20.3, p<0.001). Equilibrium and tail grab were most commonly impaired (100% of air exposed fish), while body flex and head complex were only impaired in air exposed fish, and VOR was never impaired (Figure 9). Blood glucose and lactate concentrations were generally higher, and blood pH lower in fish with high reflex impairment (RAMP score of 3 or 4) than those with low (RAMP score of 1 or 2) or no (RAMP score 0) reflex impairment; however, there were no significant differences between RAMP score categories in any stress physiology metrics (one-way ANOVA; F2,20<2.6, p>0.05).
Figure 8: Relationship between fight duration (sec) and bonefish physiological stress responses 1 hr after angling events
Figure 9: Proportion of reflexes impaired (reflex action mortality predictors; RAMP) in bonefish immediately after angling events and air exposed for 2 min (grey triangles) or no air exposure (black circles). E=equilibrium, TG=tail grab, BF=body flex, HC=head complex, VOR=vestibular-ocular response
Discussion
Over the past three years we have successfully accomplished both objectives. Prior to our study, no formal scientific research had been done on bonefish in the Caribbean Basin. Minor problems were encountered during our research that included: 1) theft of three acoustic receivers; 2) needing to charter a larger dive boat for accessing receivers in deeper water and greater distances from shore; 3) sorting out housing logistics for research trips to Culebra; and 4) relatively low catch rates of bonefish, meaning much more time and effort needed for collecting fish for tagging and the catch-and-release study. Not necessarily a problem, but the technology that supports acoustic telemetry research is much more advanced than our ability to actually effectively analyze such large and complex data sets.
Higher Order Impacts
Our research on the ‘iconic’ bonefish has received a great deal of attention from government and non-government organizations and individuals. Documenting the movement patterns of bonefish and potentially high site fidelity has considerable implications for their vulnerability to disturbance. From a conservation and management standpoint, the following individuals have expressed great interest in the work we conducted:
Dr. Craig Lilyestrom, Director, Marine Resources Division, Department of Natural and Environmental Resources, Commonwealth of Puerto Rico
Ricardo Colon Wildlife Biologist Culebra National Wildlife Refuge, U.S. Fish and Wildlife Service, Caribbean Island National Wildlife Refuge System
Mary Ann Lucking, Director, CORALations. Local NGO on Culebra.
Chris Goldmark, Culebra Fly Fishing and Light Tackle, Local fishing guide on Culebra
Dr. Aaron Adams, Director of Operations, Bonefish and Tarpon Trust
Puerto Rico Fly Fishing Community, Pesca Playa y Ambiente
Graduate Student Training
The acoustic telemetry array deployed around Culebra presented a great opportunity to learn about the movement patters of bonefish, but also the spatial ecology of other coastal marine species. Once established, we took advantage of the infrastructure and leveraged it with additional partnerships study the movement patterns of juvenile green sea turtles (Chelonia mydas), great barracuda (Sphyraena barracuda), and permit (Trachinotus falcatus). The tables below included those graduate students working directly on these efforts. Although none were funded directly through the Sea Grant award, none of this would have been possible without the infrastructure of the acoustic telemetry array.
Graduate students focusing on bonefish
Student/Rank # weeks Student funding source Projected Defense
Jake Brownscombe (PhD) 4 mo National Science Engineering Research Council, Canada Aug 2016
Chris Haak (PhD) 2 mo Bonefish & Tarpon Trust Dec 2016
Graduate students focusing on other marine life being tracked by the acoustic telemetry array
Student/Rank/Species # weeks Student funding source Projected Defense
Lucas Griffin/MS/ Green turtles 4 mo
Sarah Becker/MS/ Great barracuda 1 mo
Roxann Cormier/MS/ Permit 0.5 mo
Publications To Date
UMass Intercampus Marine Science Program Dec 2015
UMass Intercampus Marine Science Program Dec 2015
UMass Dept of Environ Conservation May 2016
Finn, J.T., J.W. Brownscombe, C.R. Haak, S.J. Cooke, R. Cormier, T. Gagne, and A.J. Danylchuk. 2014. Applying network methods to acoustic telemetry data: modeling the movements of tropical marine fishes. Ecological Modelling 293: 139-149.
Manuscripts Submitted or In Progress
Brownscombe, J.W., L. Griffin, T. Gagne, C.R. Haak, S.J. Cooke, and A J. Danylchuk. Physiological stress and reflex impairment of recreationally angled bonefish in Puerto Rico
Submitted for a special issue of Environmental Biology of Fishes
Danylchuk, A.J., J.T. Finn, J.W. Brownscombe, L. Griffinb, T. Gagneb, C.R. Haak, S. Becker, R. Cormier, and S.J. Cooke, Movement patterns and site fidelity of bonefish in habiting reef flats in Culebra, Puerto Rico. In preparation to be submitted to Marine Biology
Brownscombe, J.W., L. Griffin, T. Gagne, C.R. Haak, J.T. Finn, S.J. Cooke, A.J. Danylchuk. Environmental drivers of habitat selection and behaviour in bonefish. To be submitted to Oecologia
Brownscombe, J.W., L. Griffin, T. Gagne, C.R. Haak, J.T. Finn, S.J. Cooke, A.J. Danylchuk. Energy aquascapes - spatial energetics of a marine fish across spatial scales. To be submitted to Oikos.
Brownscombe, J.W., L. Griffin, T. Gagne, C.R. Haak, J.T. Finn, S.J. Cooke, A.J. Danylchuk. Social networks influence fine scale space use of bonefish. To be submitted to Animal Behaviour.
Conference Presentations
Danylchuk, A.J., C.R. Haak, J.W. Brownscombe, J T. Finn, and S.J. Cooke. 2015. Site fidelity of bonefish (Albula vulpes) inhabiting small reef flats in Culebra, Puerto Rico: implications for management and conservation. 7th World Recreational Fishing Conference, Campinas, Brazil
Brownscombe, J.W., C.R. Haak, J.T. Finn, S.J. Cooke, A.J. Danylchuk. 2015. Bonefish behaviour and habitat use on a reef flat in Culebra, Puerto Rico. 4th International Bonefish and Tarpon Symposium, Dania Beach, FL.
Danylchuk, A.J., C.R. Haak, J.W. Brownscombe, J.T. Finn, and S.J. Cooke. 2015. There is no place like home: movement patterns of bonefish (Albula vulpes) inhabiting small reef flats in Culebra, Puerto Rico. 4th International Bonefish and Tarpon Symposium, Dania Beach, FL.
Scheduled Conference Presentations
Brownscombe, J.W., S.J. Cooke, and A.J. Danylchuk Space use at multiple scales - behavioural ecology of bonefish inhabiting reef flats in Culebra, Puerto Rico. 3rd International Fish Telemetry Conference, Halifax, Nova Scotia
Popular Articles and Presentations
Danylchuk, A.J., J.W. Brownscombe, C.R. Haak, J.T. Finn, R. Cormier, and S.J. Cooke. 2014 Movement patterns of bonefish around Culebra, Puerto Rico. Bonefish & Tarpon Trust Journal 2014: 54-55.
Danylchuk, A.J. 2013. Movement patterns of bonefish in Culebra, Puerto Rico. Presentation given at Mega Limpieza II sponsored by Pesca, Playa y Ambiente, 26 October.
Danylchuk, A.J., and J.W. Brownscombe 2012. Best practices for the catch-and-release of bonefish. Presentation given at Puerto Rico Department of Natural and Environmental Resources. July 2012.
Recommendations
Collectively, both aspects of this study provided important information related to Healthy Coastal Ecosystems and Sustainable Coastal Development By quantifying movement patterns at broad and fine spatial scales, we were able to demonstrate that bonefish in the coastal waters have high site fidelity to isolated reef flats and can move between reef flats, however these trips are very discrete, short term (< 48 hr) events. Based on data from the VPS, we also demonstrated that there are considerable habitat-specific movement patterns, yet there are individual-level patterns suggesting the potential for a social hierarchy within a school of bonefish. Based on these results, we recommend that 1) management efforts be increased to ensure that reef flats are protected from activities that could significantly disturb essential habitats for bonefish. Moreover, given that there is limited mixing of bonefish among flats, we strongly suggest that 2) greater regulations against netting or other activities that result in the rapid depletion of bonefish from reef flats be developed and enforced. With limited mixing, the recovery of bonefish could be very slow, resulting in considerable loss of the ecological and economic services bonefish provide
The development of scientifically based best practices for the catch-and-release of bonefish can help ensure the long-term sustainability of recreational fishing for this species. By quantifying the physiological stress response and post-release behavior of bonefish we were able to demonstrate that air exposure can result in significant impairment. As such, we recommend that anglers and guides are strongly encouraged to minimize or even eliminate air exposure following a capture event. By incorporating such guidelines, the development of more sustainable angling-based tourism could result in Puerto Rico and throughout the Caribbean Basin.
Bibliography
Brownscombe JW, et al. (2013) Recovery bags reduce post-release impairments in locomotory activity and behavior of bonefish (Albula spp.) following exposure to angling-related stressors. J Exp Mar Biol Ecol 440:207-215
Brownscombe JW, Nowell L, Samson E, Danylchuk AJ, Cooke SJ (2014a) Fishing-Related Stressors Inhibit Refuge-Seeking Behavior in Released Subadult Great Barracuda. Trans Am Fish Soc 143:613-617.
Chapman D.D., E.K., Pikitch, E. Babcock, and M.S. Shivji. 2005. Marine reserve design and evaluation using automated acoustic telemetry: a case-study involving coral reef-associated sharks in the Mesoamerican Caribbean. Mar Technol Soc. J. 39:42-55
Coleman, F. C., W. F. Figueira, J. S. Ueland, and L. B. Crowder. 2004. The impact of United States recreational fisheries on marine fish populations. Science 305:1958-1960.
Cooke, S. J., and I. G. Cowx. 2004. The role of recreational fishing in the global fish crisis. BioScience 54:857-859.
Cooke, S. J., and C. D. Suski. 2005. Do we need species specific recreational angling catchand-release guidelines to effectively conserve diverse fisheries resources? Biodivers. Conser. 14:1195-1209.
Cooke, S.J., C.D. Suski, S.E., Danylchuk, A.J., Danylchuk, M.R., Donaldson, C., Pullen, G.Bulté, A., O’Toole K.J., Murchie, J.B., Koppelman and T.L. Goldberg. 2008. Effects of capture techniques on the physiological condition of bonefish (Albula vulpes) evaluated using field physiology diagnostic tools. J. Fish Biol. 73:1351-1375.
Danylchuk, A.J., S.J. Cooke, T.L. Goldberg, C.D. Suski, K.M Murchie, S.E. Danylchuk, A. Shultz, C. Haak, E. Brooks, J. Koppelman and D.P. Philipp. 2011. Aggregations and offshore movements as indicators of spawning activity of bonefish (Albula vulpes) in The Bahamas. Marine Biology DOI: 10.1007/s00227-011-1707-6
Danylchuk, A.J., S.J Cooke, C.D. Suski, T.L. Goldberg, J.D. Petersen, and S.E. Danylchuk. In Press b. Involving recreational anglers in developing best handling practices for catch-andrelease fishing of bonefish (Albula spp): a new model of citizen science in an aquatic setting. American Fisheries Society Proceedings of the 5th World Recreational Fisheries Conference.
Danylchuk, A.J., S.E. Danylchuk, S.J. Cooke, T.L. Goldberg, J. Koppelman, and D.P. Philipp. 2008. Ecology and management of bonefish (Albula spp ) in the Bahamian Archipelago. Pages 79-92 in J.S. Ault, ed. Biology and management of the world tarpon and bonefish fisheries. CRC Press, Boca Raton, Florida, USA.
Danylchuk, S.E., A.J. Danylchuk, S.J. Cooke, T.L. Goldberg, J.B. Koppelman, and D.P. Philipp. 2007a. Effects of recreational angling on the post-release behavior and predation of bonefish (Albula vulpes) on tidal flats in Eleuthera, The Bahamas: the role of equilibrium status at time of release. J. Exp. Mar. Biol. Ecol. 346:127-133.
Danylchuk, A.J., S.E. Danylchuk, S.J. Cooke, T.L. Goldberg, J.B. Koppelman, and D.P. Philipp. 2007b. Post-release mortality of bonefish, Albula vulpes, exposed to different handling practices during catch-and-release angling in Eleuthera, The Bahamas. Fisheries Manag Ecol. 14:149-154.
Davis MW (2010) Fish stress and mortality can be predicted using reflex impairment. Fish Fish 11:1-11
Fauchald, P., and T. Tveraa. 2003. Using first-pass time in the analysis of area-restricted search and habitat selection. Ecology 84:282-288.
Fedler, F. 2010. The economic importance of flats fishing in The Bahamas. Special report for the Bahamas Flats Fishing Alliance.
Gutowsky LFG, Aslam W, Banisaeed R, Bove KL, Burrows GJJ, Chu E, Bell LR, Magel JMT, Rous AM, Brownscombe JW, Cooke SJ (In Press) Considerations for the design and interpretation of fishing release mortality estimates. Fish Res 00:000-000.
Humston, R. 2001. Development of movement models to assess the spatial dynamics of fish populations. Dissertation, Rosentiel School of Marine and Atmospheric Science, University of Miami, Florida, USA.
Humston, R., J.S. Ault, M.F. Larkin and J. Luo. 2005. Movements and site fidelity of the bonefish Albula vulpes in the northern Florida Keys determined by acoustic telemetry. Mar. Ecol Prog Ser 291:237-248.
Mann, K.H. 1982. Ecology of coastal waters – A systems approach, Blackwell Scientific Publications, Oxford, UK.
Moberg, F. and C. Folke. 1999. Ecological goods and services of coral reef ecosystems. Ecol. Econ. 29:215-233.
Mumby, P.J. 2006. Connectivity of reef fish between mangroves and coral reefs: algorithms for the design of marine reserves at seascape scales. Biol. Conser. 128:215-222.
Murchie, K.J., A.J. Danylchuk, S.J. Cooke, A.C. O’Toole, A. Shultz, C. Haak, E. Brooks, and C.D. Suski. 2013. Considerations for tagging and tracking fish in tropical coastal habitats: lessons from bonefish, barracuda, and sharks tagged with acoustic transmitters. American Fisheries Society Special Publication – Handbook of Fish Telemetry. Bethesda, MD.
Murchie, K.J., S.J. Cooke, A.J. Danylchuk, S.E. Danylchuk, T.L. Goldberg, C.D. Suski, and D.P. Philipp. 2011a. Thermal biology of bonefish (Albula vulpes) in Bahamian coastal waters and tidal creeks: an integrated laboratory and field study. J. Ther. Biol 36:38-48.
Murchie, K.J., S.J Cooke, A.J. Danylchuk, and C.D. Suski. 2011b. Estimates of field activity and metabolic rates of bonefish (Albula vulpes) in coastal marine environments using acoustic tri-axial accelerometer transmitters and intermittent-flow respirometry. J. Exp. Mar. Biol. Ecol. 396:147-155.
Nams, O. 2005. Using animal movement paths to measure response to spatial scale. Oecologia 143:179-188.
Portz DE, Woodley CM, Cech Jr, JJ (2006) Stress-associated impacts of short-term holding on fishes. Rev Fish Biol Fish 16:125-170
Raby GD, et al. (2012) Validation of reflex indicators for measuring vitality and predicting the delayed mortality of wild coho salmon bycatch released from fishing gears. J Appl Ecol 49:90-98.
Semeniuk, V. 2005. Tidal flats. Pages 965-975 in Encyclopedia of coastal science. M.L. Schwartz, ed. Springer, London, UK.
Suski, C.D., S.J. Cooke, A.J. Danylchuk, C. O’Connor, M. Grave, T. Redpath, K.C. Hanson, A. Gingerich, K. Murchie, S.E. Danylchuk, and T.L. Goldberg. 2007. Physiological disturbance and recovery dynamics of bonefish (Albula vulpes), a tropical marine fish, in response to variable exercise and exposure to air. Comp. Biochem. Phys. A 148: 664-673.