


A no 20 - E diçã o 213 / Agosto-Setembro de 2025





![]()



A no 20 - E diçã o 213 / Agosto-Setembro de 2025





COM MAIS DE 2.700 PARTICIPANTES, EVENTO REUNIU ESPECIALISTAS, PROFISSIONAIS E OS MAIORES PLAYERS DO SETOR ELÉTRICO, ENTRE OS DIAS 6 E 7 DE AGOSTO, NA CAPITAL MINEIRA



REPORTAGEM:
REVISÃO DA NBR 5410 AVANÇA COM AJUSTES TÉCNICOS E DEVERÁ PASSAR POR SEGUNDA CONSULTA PÚBLICA
A revisão preserva a estrutura da norma, consolida tabelas de in uências externas, atualiza componentes e harmoniza requisitos com a NBR 5419
ARTIGO TÉCNICO: O BRASIL NA TRANSIÇÃO ENERGÉTICA: PARADOXOS E CONTRADIÇÕES - POR ELBIA GANNOUM




















atitude@atitudeeditorial.com.br
Diretores
Diretores
Adolfo Vaiser - adolfo@atitudeeditorial.com.br
Adolfo Vaiser
Simone Vaiser - simone@atitudeeditorial.com.br
Simone Vaiser
Editor-chefe - MTB - 0014038/DF
Edmilson Freitas - edmilson@atitudeeditorial.com.br
4 Editorial
Do desperdício à eficiência: o papel estratégico do armazenamento no setor elétrico
CINASE BH atrai público recorde e projeta Minas no mapa da indústria elétrica nacional
20 Artigo Técnico
Assistente de circulação, pesquisa e eventos Henrique Vaiser – henrique@atitudeeditorial.com.br Victor Meyagusko – victor@atitudeeditorial.com.br
Coordenação de conteúdo e pauta Flávia Lima - flavia@atitudeeditorial.com.br
Administração
Reportagem
O Brasil na Transição Energética: Paradoxos e Contradições - Por Elbia Gannoum
22 Desempenho de Linhas de Transmissão Frente a Descargas Atmosféricas
Roberta Nayumi administrativo@atitudeeditorial.com.br
Matheus de Paula - matheus@atitudeeditorial.com.br
Assistente de circulação, pesquisa e eventos administrativo@atitudeeditorial.com.br
Marketing e mídias digitais
Editor
Henrique Vaiser - henrique@atitudeeditorial.com.br
32 Nova Norma de Arco Elétrico - comentada pela comissão
36 Transmissão: Caminhos da energia
Letícia Benício - leticia@atitudeeditorial.com.br
Edmilson Freitas edmilson@atitudeeditorial.com.br
Pesquisa e circulação
Maria Elisa Vaiser - mariaelisa@atitudeeditorial.com.br
Reportagem
Fernanda Pacheco - fernanda@atitudeeditorial.com.br
Administração
Paulo Martins - paulo@atitudeeditorial.com.br
Publicidade
Publicidade
Roberta Mayumi - administrativo@atitudeeditorial.com.br
Diretor comercial
Diretor comercial
Adolfo Vaiser
Comercial
42 Inovação na distribuição e novas tecnologias de suporte: inteligência artificial, realidade virtual e blockchain
46 Por Dentro das Normas
Aguinaldo Bizzo – NR 10 / Paulo Barreto - NBR 5410 / Marcos Rogério - NBR 14039
50 Espaço Aterramento
Campanhas Geofísicas para o Projeto de Aterramentos: fazer no tempo seco ou no tempo úmido?
Contato publicitário
Adolfo Vaiser - adolfo@atitudeeditorial.com.br (11) 98188 – 7301
Willyan Santiago - willyan@atitudeeditorial.com.br
Willyan Santiago - willyan@atitudeeditorial.com.br (11) 98490 – 3718
Direção de arte e produção
Oswaldo Christo - oswaldo@atitudeeditorial.com.br (31) 9 9975-7031 / (31) 3412-7031
52 Espaço Cigre-Brasil
A nova era da digitalização: qual o futuro do setor elétrico brasileiro?
Leonardo Piva - atitude@leonardopiva.com.br
Leonardo Piva - atitude@leonardopiva.com.br
Diagramação
Colaboradores desta edição
Leonardo Piva - leopiva@gmail.com
Colaboradores da publicação:
54 Espaço Abradee
Distribuidoras de energia compartilham melhores práticas internacionalmente e modernizam serviços
Huais, Luiz Carlos Catelani Junior, Daniel Bento, Danilo de Souza, Mello, Monica Saraiva Panik, Lílian Ferreira Queiroz, Lindemberg Nunes
Elbia Gannoum, Rafael Alípio, Claudio Mardegan, Filipe Resende, Márcio Bottaro, Rogério Pereira de Camargo, Débora Rangel Celeti, Sérgio Barbosa, Ana Gabriela Benitez, Daniel Perez Duarte, Marcelo Pelegrini, Anton Schwyter, Aguinaldo Bizzo, Paulo Barreto, Marcos Rogério, Paulo Edmundo Freire da Fonseca, Mayara Helena, Aline Cristiane Pan, Luciano Rosito, Frederico Boschin, José Starosta, Nunziante Graziano, José Barbosa, Daniel Bento, Danilo de Souza, Roberval Bulgarelli e Caio Huais.
Aguinaldo Bizzo de Almeida, Paulo Roberto Borel Júnior, Renato Jardim Teixeira, Thiago Francisco Gomes, Henrique Fernandes Borges, Caio Huais, Luiz Carlos Catelani Junior, Daniel Bento, Danilo de Souza, Emmanuela de Almeida Jordão, Frederico Carbonera Boschin, Paulo Edmundo Freire, Jose Maurilio da Silva, Rinaldo Botelho, João Carlos Mello, Monica Saraiva Panik, Lílian Ferreira Queiroz, Lindemberg Nunes Reis, Luciano Rosito, Claudio Mardegan, Nunziante Graziano, Jose Starosta, Fabrício Augusto Matheus Moura, Ana Carolina Ferreira da Silva, Arnaldo José Pereira Rosentino Junior e Marcus Vinícius Borges Mendonça.
Revisão da NBR 5410 avança com ajustes técnicos e deverá passar por segunda consulta pública
Silva, Arnaldo José Pereira Rosentino Junior e Marcus Vinícius Borges
Fale conosco contato@atitudeeditorial.com.br Tel.: (11) 98433-2788
62 Pesquisa Setorial
A Revista O Setor Elétrico é uma publicação mensal da Atitude
Distribuída entre as empresas de engenharia, projetos e instalação, e especificadores destes segmentos.
A Revista O Setor Elétrico é uma publicação mensal da Atitude Editorial Ltda., voltada aos mercados de Instalações Elétricas, Energia e Iluminação, com tiragem de 13.000 exemplares. Distribuída entre as empresas de engenharia, projetos e instalação, manutenção, indústrias de diversos segmentos, concessionárias, prefeituras e revendas de material elétrico, é enviada aos executivos e especificadores destes segmentos.
Distribuidores e revendedores de materiais elétricos
66 Aline Cristiane Pan - Inovação e Equidade no Setor Elétrico
67 Luciano Rosito – Iluminação Pública
68 Frederico Boschin - Conexão Regulatória
reprodução total ou parcial das matérias sem expressa autorização
Os artigos assinados são de responsabilidade de seus autores e não necessariamente refletem as opiniões da revista. Não é permitida a reprodução total ou parcial das matérias sem expressa autorização da Editora.
Capa: istockphoto.com | Chirapriya Thanakonwirakit
A Revista O Setor Elétrico é uma publicação mensal da Atitude Editorial Ltda., voltada aos mercados de Instalações Elétricas, Energia e Iluminação, com tiragem de 13.000 exemplares. Distribuída entre as empresas de engenharia, projetos e instalação, manutenção, indústrias de diversos segmentos, concessionárias, prefeituras e revendas de material elétrico, é enviada aos executivos e especificadores destes segmentos. Os artigos assinados são de responsabilidade de seus autores e não necessariamente refletem as opiniões da revista. Não é permitida a reprodução total ou parcial das matérias sem expressa autorização da Editora.
Impressão - Referência Editora e Gráfica
Capa:
Distribuição - Correios
Impressão - Gráfica Grafilar
Distribuição - Correios
70 Cláudio Mardegan – Análise de Sistemas Elétricos
72 José Starosta – Energia com Qualidade
74 Aguinaldo Bizzo – Segurança do Trabalho
75 Nunziante Graziano – Quadros e painéis
76 José Barbosa – Proteção contra raios
77 Daniel Bento – Redes Subterrâneas em Foco
Atitude Editorial Publicações Técnicas Ltda.
Atitude Editorial Publicações Técnicas Ltda. Rua Piracuama, 280, Sala 41
Fone - (11) 98433-2788 www.osetoreletrico.com.br
Atitude Editorial Publicações Técnicas Ltda. www.osetoreletrico.com.br atitude@atitudeeditorial.com.br Filiada à
Cep: 05017-040 – Perdizes – São Paulo (SP) Fone - (11) 98433-2788 www.osetoreletrico.com.br atitude@atitudeeditorial.com.br Filiada à

78 Danilo de Souza – Energia, Ambiente & Sociedade
80 Roberval Bulgarelli – Instalações EX


81 Caio Cezar Neiva Huais – Manutenção estratégica
Do desperdício à eficiência: o papel estratégico do armazenamento no setor elétrico
OBrasil consolidou-se como uma das maiores potências globais em energia renovável. A matriz elétrica brasileira é majoritariamente limpa, com forte participação da hidrelétrica, além do avanço exponencial da solar e da eólica. Entretanto, esse sucesso traz um paradoxo: a abundância de geração intermitente, em muitos momentos, não encontra espaço na rede. O resultado é o chamado curtailment — o desperdício de energia limpa e barata que poderia estar abastecendo consumidores, indústrias e cidades inteiras.
O tema, que já era discutido em círculos técnicos, ganhou contornos de urgência. Só em determinados períodos do ano, milhares de megawatts de energia solar e eólica são simplesmente “desligados” por limitações de transmissão ou por falta de flexibilidade do sistema. Esse cenário não apenas representa perda econômica, mas também mina a credibilidade da transição energética, uma vez que o país deixa de aproveitar integralmente seu potencial renovável.
É nesse contexto que o armazenamento de energia se apresenta como solução estratégica e inadiável. Baterias de grande porte, sistemas híbridos em plantas de geração e até alternativas como o hidrogênio verde surgem como ferramentas para equilibrar oferta e demanda, reduzir a intermitência e aumentar a confiabilidade do sistema elétrico. Em outras palavras, o armazenamento é o elo que pode transformar o excesso de hoje no suprimento seguro de amanhã.
A discussão, porém, não é apenas tecnológica. Ela é regulatória, econômica e estratégica. O setor precisa de regras claras para remunerar o armazenamento, reconhecer o valor dos serviços ancilares e permitir novos modelos de negócio que tornem viável o investimento. Países como os Estados Unidos, a China e vários membros da União Europeia já avançam nesse caminho, compreendendo que sem armazenamento não há transição energética eficiente.
O tema não só ganhou grande projeção no mercado - foi um dos principais destaques da Intersolar South America 2025 - como também entrou definitivamente na pauta do Governo, das Agências Regulatórias e do ONS. Diante de um contexto onde o país não conta com novos grandes reservatórios de hidrelétricas em construção, a flexibilidade do armazenamento, segundo o diretor de Operação do Operador Nacional do Sistema Elétrico (ONS), Christiano Vieira, deve vir de forma complementar. “Eu conto com bateria BESS? Sim. Hidrelétrica reversível? Também. Não é uma ou outra, é uma e outra, com diferentes períodos de implementação, diferentes atributos. As duas tecnologias de armazenamento são necessárias para essa realidade que a gente está vivendo na operação”, destacou Christiano Vieira, em entrevista à MegaWhat. O Brasil, com sua matriz diversificada e sua posição privilegiada no mapa energético global, não pode perder tempo. A urgência em resolver o curtailment passa necessariamente por uma agenda robusta de incentivo ao armazenamento. A energia que hoje se perde poderia ser a base de um futuro ainda mais sustentável, competitivo e seguro para o país. Mais do que uma tendência, o armazenamento é uma necessidade imediata. E é chegada a hora de encarar esse desafio com a seriedade e a prioridade que o setor elétrico — e o Brasil — merecem. Boa leitura!
Edmilson Freitas edmilson@atitudeeditorial.com.br
Acompanhe nossas novidades pelas redes sociais:

















Com mais de 2.700 participantes, evento reuniu especialistas, profissionais e os maiores players do setor elétrico, entre os dias 6 e 7 de agosto, na capital mineira





A edição do Circuito Nacional do Setor Elétrico de Belo Horizonte bateu recorde de público e entrou para a história do evento com um público de mais de 2.700 participantes. Completando 15 anos de estrada, o CINASE, que é um evento itinerante, percorre, todos os anos, ao menos quatro capitais brasileiras, de diferentes regiões do país, levando grandes especialistas nacionais de diferentes áreas do setor elétrico para debater, juntamente com as lideranças locais, os gargalos e as tendências da indústria elétrica brasileira, que vem crescendo e se modernizando cada vez mais, contribuindo para o desenvolvimento econômico e social do país.
Com o apoio de grandes instituições do estado de Minas Gerais e dos maiores players do segmento elétrico nacional, a edição histórica de Belo Horizonte, que ocorreu entre os dias 6 e 7 de agosto, no Expominas, de acordo com o fundador do evento, Adolfo Vaiser, foi um grande marco na trajetória virtuosa do CINASE.
“Ver um projeto como o CINASE prosperando e batendo recordes de público Brasil afora, é motivo de muito orgulho e, ao mesmo tempo, de gratidão. Este é um evento feito de forma colaborativas com entidades representativas das diversas áreas da engenharia, dos sindicatos, das entidades do Sistema S, das concessionárias de energia, dos distribuidores de materiais elétricos, das universidades e Institutos Federais, das grandes empresas e estatais do setor elétrico, mineração, indústria e
comércio. Enfim, é um evento que congrega o mercado, desde a formação e qualificação de profissionais, até as empresas que fabricam e comercializam equipamentos elétricos no país”, explica o CEO do Grupo O Setor Elétrico.
Responsável pela infraestrutura do evento, Simone Vaiser, Diretora Executiva do Grupo, explica os desafios de se fazer um evento deste porte, com várias edições ao ano, sempre em lugares diferentes. “Quem trabalha no ramo de grandes eventos, sabe o quão desafiador é montar e fazer rodar um grande evento. Para receber bem os nossos visitantes e, ao mesmo tempo, oferecer aos patrocinadores uma estrutura à altura das suas necessidades e expectativas, é necessário muito trabalho e dedicação. Então, o nosso maior diferencial é o trabalho em equipe, sempre zelando pelo bem-estar dos nossos congressistas, apoiadores, palestrantes e dos nossos parceiros comerciais, que são imprescindíveis para a realização de um evento como o CINASE”, destaca a executiva.
Assim como em outras edições do evento, a 51º edição do CINASE contou com um expressivo número de especialistas, de diferentes áreas, que debateram temas como transição energética, segurança das instalações, sustentabilidade, transformação digital, Geração Distribuída, mobilidade elétrica, mercado de renováveis, normas técnicas, redes subterrâneas, dentre outros. Um dos grandes destaques do evento foram os dois painéis









que trataram sobre aterramento e proteção contra descargas atmosféricas. O debate reuniu, pela primeira vez, em um só lugar, os maiores especialistas sobre o tema do país: José Barbosa; Normando Alves; Paulo Edmundo; Rafael Alípio; Ronaldo Kascher; Sérgio Santos; Silvério Visacro; Wagner Barbosa; e Wagner Costa.
“Foi um encontro ímpar, envolvendo grandes nomes do cenário de proteção contra descargas atmosféricas de diferentes segmentos: produção; acadêmico; projeto; e instalação. Juntos, discutimos os principais impactos no cenário das instalações elétricas brasileiras que poderão ocorrer em função das revisões da série ABNT NBR 5419 - Proteção contra Descargas Atmosféricas e da série ABNT NBR IEC 61643 - Produção e instalação de DPS”, destaca José Barbosa.
Também foram abordados temas como os fundamentos técnicos de dimensionamento de sistemas de aterramento e equipotencialização, soluções avançadas de proteção contra surtos elétricos em instalações industriais, comerciais e residenciais, normas nacionais e internacionais que regulamentam o tema, além dos impactos das mudanças climáticas no aumento da frequência e intensidade das descargas, estiveram no centro dos debates. Os especialistas discutiram ainda questões como a integração desses sistemas com novas tecnologias, como energias renováveis e redes inteligentes, que exigem soluções ainda mais seguras e eficientes para garantir a continuidade do fornecimento de energia e a proteção de pessoas, equipamentos e infraestruturas críticas.















Quarto maior estado brasileiro em território, Minas Gerais representa um desafio monumental para o segmento de distribuição. Com mais de 500 mil quilômetros de redes de média tensão, sendo cerca de 400 mil deles em áreas rurais do estado, a manutenção, expansão e modernização dessas redes e demais ativos de distribuição de energia em Minas Gerais exigem investimentos, igualmente, monumentais.
Ao participar da abertura do CINASE, Marney Antunes, VicePresidente da CEMIG Distribuição, apresentou dados da ANEEL que mostram que a concessionária lidera o ranking nacional de investimentos no Plano de Desenvolvimento da Distribuição (PDD). “Entre 2019 e 2021, a CEMIG investiu cerca de 5% do total entre todas as distribuidoras do país no PDV. Agora, estamos investindo 11% de todos os recursos previstos para distribuição no país. Isso significa que a CEMIG hoje possui o maior investimento no setor, superando, inclusive, grandes distribuidoras como Copel, Enel SP, CPFL Paulista, Light e Neoenergia Coelba”, explica Marney. Em números absolutos, a CEMIG saltou de um volume total de investimentos de R$ 7,2 Bilhões, no ciclo entre 2018 a 2022, para um total de R$ 21,9 Bilhões, no plano de investimentos da companhia para 2023 a 2027, ou seja, três vezes maior que o ciclo anterior. Em 2025, estão previstos investimentos totais de R$4,6 Bilhões no PDD. Os recursos estão sendo aplicados em programas de ampliação de redes trifásicas, construção de subestações, implantação de medidores inteligentes, automação de rede e no programa Energia Social, voltado às famílias em vulnerabilidade, conforme a Tabela 1.
A feira de negócios do CINASE Belo Horizonte também fez história. Com 38 patrocinadores, os visitantes puderam conhecer e interagir com as grandes novidades e tendências do setor elétrico brasileiro. A área de exposição do CINASE Belo Horizonte contou com mais de quatro mil metros quadrados, abrigando o showroom de grandes marcas como:ABB; Ação Engenharia; ATI; Baur do Brasil; Blutrafos; Bamaro; Brval; Chint; Clamper; Cobrecom; Comkap; Coppercabos; Embrastec; Exponencial; Frontec; Gimi; Grupo Setta; Itaipu Transformadores; ITB Transformadores; Kraus & Naimer; KRJ; Kron; Magvatech; Megatron; Minuzzi; Metrum; Pextron; Romagnole; RST; Schneider Electric; Siemens; Sil; Tamura; Termotécnica; Trael Transformadores; Tramontina; Weg; e Wohner.
Apresentando ao mercado mineiro a sua nova linha de Protetor Contra Raios e Contra Surtos elétricos (DPS), para aplicação em quadros de distribuição de energia, a Clamper foi uma das fabricantes que os visitantes tiveram a oportunidade de interagir na feira do CINASE. Fundada em Minas Gerais, em 1991, a empresa é uma das líderes no seu segmento. “É algo muito gratificante participar e receber um evento técnico como o CINASE, que envolve tantas autoridades do setor, com um público tão qualificado e seleto. Para a empresa, foi muito vantajoso, pelos contatos que estamos fazendo, pelo networking e também pela oportunidade de trazer para os nossos clientes e para a comunidade mineira o conhecimento da proteção contra surto. ”, destaca a Diretora Comercial na Clamper, Eliane Cândido.






Estreando no CINASE, o Sindicato da Indústria de Aparelhos Elétricos Eletrônicos e Similares do Estado de Minas GeraisSinaees, participou do evento com um estande compartilhado pelas empresas associadas ATI, Bamaro, Metrum e RST. “O Cinase se mostrou um evento extremamente relevante, promovendo debates qualificados e oportunidades de relacionamento para o setor eletroeletrônico. Nesse contexto, a participação do Sinaees reforçou a visibilidade dos associados, fortaleceu a presença institucional e de marketing do sindicato e consolidou relações de confiança com parceiros e fornecedores”, destaca o Presidente do Sinaees e CEO da ATI, Tasso Foresti Galhano.

Também estreante entre os patrocinadores do CINASE, O Grupo Setta levou ao evento todo o seu portfólio, além de uma grande equipe de consultores e executivos. “Posso afirmar que patrocinar o Cinase BH foi uma decisão extremamente produtiva. “O evento reuniu profissionais altamente qualificados e apaixonados pelo setor elétrico, discutindo temas essenciais como inovação em geração e transmissão e o desenvolvimento de fontes renováveis. A qualidade das palestras e a troca de ideias foram impressionantes, destacando desafios e oportunidades. Estamos orgulhosos de apoiar um evento que promove o avanço e a excelência no nosso setor”, ressalta Vinicius Dias, CEO do Grupo Setta.


Na ocasião, também foram homenageadas lideranças e personalidades que são referências regionais e nacionais do segmento elétrico, são elas:
CARLOS ALEXANDRE
Engenheiro Civil e Eletricista, formado pela UFMG e FUMEC, com mais de 30 anos de experiência em projetos de engenharia elétrica e predial. Sócio fundador e responsável técnico da LUMENS Engenharia, atuou em obras de grande porte por todo o Brasil. Participou de projetos como os estádios do Mineirão e Maracanã, Museu do Amanhã, Cidade Administrativa de MG, metrôs, hospitais e arenas olímpicas. Foi presidente da ABRASIP-MG entre 2020 e 2023. Destaca-se pela liderança técnica e contribuição para o desenvolvimento do setor elétrico.
MARCOS MADUREIRA
Engenheiro eletricista pela Universidade Federal de Minas Gerais (UFMG), com MBA em Gestão de Negócios pelo IBMEC e especialização em Engenharia Econômica pela Fundação Dom Cabral, onde também se formou como Conselheiro. Com mais de 50 anos de atuação no setor elétrico, foi reconhecido, em 2022 e 2024, como um dos 100 mais influentes do setor. Atualmente, ocupa o cargo de Presidente Executivo da Abradee e já atuou nas principais empresas de distribuição de energia elétrica do país.
NILO SERGIO GOMES






Graduado em Engenharia Elétrica pela PUC Minas (1975-1980), com especialização em Sistemas Elétricos de Potência pela UFMG (1980-1984) e mestrado em Engenharia Elétrica pela PUC Minas (2002-2003). Também cursou módulos do Programa de Pós-Graduação em Computação da UFMG (1984-1985). Atuou como engenheiro na CEMIG, com experiência nas áreas de proteção e controle, automação de subestações e planejamento da operação na Cemig Geração e Transmissão. É professor titular da PUC Minas desde 1980 e foi conselheiro do CREA-MG pela universidade na CEEE (2012-2013).
SILVERIO VISACRO FILHO
Professor titular da UFMG e referência mundial em descargas atmosféricas e aterramentos elétricos. IEEE Fellow e vencedor dos prêmios IEEE Kanda Award (2016) e Karl Berger Award (2016). Figura entre os 2% de cientistas mais influentes do mundo, segundo a Universidade de Stanford (2019). Fundador e coordenador do LRC – um dos principais centros internacionais de pesquisa sobre raios. Autor de dois livros, mais de 400 publicações e editor associado do Journal of Lightning Research. Atua como palestrante e consultor internacional, e é membro ativo do IEEE, AGU e CIGRE, onde lidera grupos de trabalho sobre desempenho de sistemas elétricos frente a descargas atmosféricas.





Marcado por um mix de emoção, gratidão e reconhecimento, o Prêmio O Setor Elétrico, solenidade que antecede a abertura de todas as edições do CINASE, contou com a participação de autoridades, empresários, especialistas e acadêmicos de todo o estado de Minas Gerais. Com diversos projetos inscritos nas cinco categorias, o prêmio tem como objetivo reconhecer e dar visibilidade a projetos e iniciativas que apresentam soluções inovadoras para o setor elétrico brasileiro. Confira a seguir os vencedores da premiação, que foi realizada na noite do dia 5 de agosto, também no Expominas, em Belo Horizonte:

INOVAÇÃO TECNOLÓGICA
Redes Sinérgicas. Proponentes: Carlos Alexandre do Nascimento; João Rosolem; e Eduardo Costa. Empresa/instituição responsável: CEMIG e CPqD
INSTALAÇÕES ELÉTRICAS INDUSTRIAIS E COMERCIAIS
Localiza Labs. Proponentes: Breno de Assis Oliveira e Ricardo Meirelles. Empresa/instituição responsável: Viabile Arquitetura + Engenharia
PROJETO LUMINOTÉCNICO
À luz do recomeço: Iluminação arquitetural do Palácio da Liberdade. Proponentes: Ana Faria; Lorena Mattos; Marcelo Damasceno; Lívia Carvalho; Mário Júnior; Matheus Lacerda; Luam Barros; Célio Junior; Wagner Souza; Myrella Lage; e Ricardo Paulino. Empresa/instituição responsável: Loja Elétrica e Templuz
PESQUISA & DESENVOLVIMENTO
Monitoramento de Incêndios por Meio de Redes e Linhas Aéreas de Energia Elétrica. Responsáveis pelo projeto: Hani Yehia; Adriano Lisboa; Arlindo Neto; Hermes Magalhães; Carlos Nascimento; e Adriano Vilela. Empresa/instituição responsável: Cemig, UFVJM, Gaia e UFMG
ENERGIAS RENOVÁVEIS
Memorial Brumadinho. Responsáveis pelo projeto: Carlos Alexandre e Igor Hovadich Antunes. Empresa/instituição responsável: LUMENS Engenharia



Por Elbia Gannoum*

INTRODUÇÃO
O Brasil tem se posicionado como um ator crucial na economia global da transição energética, destacando-se como importante provedor de recursos renováveis e potencial centro para ativos da nova economia de baixo carbono. Apesar desse vasto potencial e da oportunidade de liderar a descarbonização global, o país enfrenta paradoxos e contradições internas que ameaçam o crescimento sustentável de sua indústria de energia renovável. Este artigo analisa as crises atuais no setor de energia eólica, as barreiras à demanda de energia e a necessidade de uma visão estratégica de longo prazo para superar desafios e consolidar a posição do Brasil como líder na transição energética.
A CRISE DA INDÚSTRIA EÓLICA:
Nos últimos 12 anos, o setor de energia eólica foi o principal motor de investimento em energias renováveis no Brasil, construindo uma cadeia produtiva com 80% de nacionalização. No entanto, a partir de 2023, essa indústria começou a enfrentar uma crise sem precedentes, marcada pela queda na demanda e pela desaceleração na assinatura de contratos. Essa crise, que pode ser caracterizada como uma macrocrise, tem origem na estagnação econômica do país. Desde 2013, o Produto Interno Bruto (PIB) brasileiro cresce de forma insatisfatória, o que impacta diretamente a demanda por energia. Com uma elasticidade-renda da demanda de aproximadamente 1,5%, a falta de crescimento econômico se traduz em menor necessidade de energia, tornando o mercado regulado (leilões) praticamente irrelevante. Hoje, o mercado livre de energia é o principal motor de consumo, mas também sofre com a falta de demanda.
A ausência de novos investimentos em parques eólicos é sintoma claro dessa macrocrise. Em 2023, o Brasil registrou um recorde de 4,8 GW de potência eólica instalada. Contudo, em 2024, o número caiu para 3,2 GW, marcando
a primeira vez na história da energia eólica brasileira em que a curva de instalação apresentou inflexão negativa. Essa queda é o ponto central da crise de demanda, que afeta não apenas a energia eólica, mas também a solar — fontes que mais cresceram e que são essenciais para o futuro energético do país.
Como consequência, a cadeia de produção nacional está sob intensa pressão, com demissões e empresas deixando o mercado brasileiro por falta de projetos.
A MICROCRISE DO CURTAILMENT: UM PROBLEMA DE INFRAESTRUTURA E GESTÃO
Paralelamente à crise de demanda, o setor de energia eólica e solar enfrenta uma microcrise de alta relevância: o curtailment, ou cortes de geração. Embora esperados em sistemas elétricos dentro de limites aceitáveis, esses cortes têm crescido de forma alarmante no Brasil, especialmente no Nordeste, desde 2023.
Enquanto a média histórica de cortes de geração era de cerca de 5%, hoje ultrapassa 20% e, em alguns parques, chega a mais de 60%. Essa situação gera sérias consequências financeiras e de investimento para as empresas, aumentando o risco de falência. A crise do curtailment é causada por três fatores principais:
Fator elétrico – indisponibilidade e restrição das redes de transmissão em certas regiões, impedindo que a energia gerada seja enviada ao sistema elétrico.
Fator de confiabilidade – decisões operacionais do Operador Nacional do Sistema Elétrico (ONS) que, por questões de segurança, ajustam as fontes de geração, priorizando outras usinas.
Fator energético – o mais grave e preocupante, ligado ao excesso de geração distribuída (GD) no país, que já soma mais de 40 GW. Concentrada durante o dia (das 7h às 16h), a GD força o ONS a desligar a geração eólica e solar de grande porte (geração centralizada) nesse período, pois ele não possui controle sobre a GD. Ao final do dia, com a ausência do sol e a diminuição dos ventos em certas regiões, o ONS precisa acionar usinas termelétricas, mais caras e poluentes, para atender à demanda de pico.
Esse cenário cria um paradoxo alarmante: energia limpa, renovável e competitiva é desperdiçada durante o dia, causando prejuízos aos geradores, enquanto, no final do dia, energia suja e cara é ativada para suprir o consumo.
Diante dessas crises imediatas, pode ser difícil manter uma visão otimista para o setor. No entanto, o Brasil está, ao mesmo tempo, construindo as bases para uma nova indústria, com potencial de recuperação robusta no médio e longo prazo.
Apesar dos desafios atuais, o país segue empenhado em
desenvolver novas tecnologias e rotas de mercado. A atração de indústrias no conceito de power-shoring (relocalização de empresas para locais com energia competitiva) é vista como grande oportunidade. A necessidade de descarbonização da economia global, impulsionada por leis de mercado de carbono e regulamentações internacionais, abre portas para o Brasil. Indústrias de commodities e o agronegócio, por exemplo, terão de se adaptar — e o país pode se beneficiar ao prover soluções de energia limpa. Nesse contexto, novas rotas de mercado e tecnologias estão sendo exploradas:
Hidrogênio verde – o país tem potencial para se tornar grande produtor. A tecnologia está em desenvolvimento, e espera-se que a produção em larga escala comece a partir de 2027, com investimentos mais significativos após 2030.
Data centers – a abundância de recursos renováveis e competitivos torna o Brasil ideal para atrair data centers, que consomem grandes quantidades de energia.
Eólicas offshore – a recente regulamentação das eólicas em alto-mar abre novo cenário para investimentos e crescimento.
Sistemas de armazenamento de energia (BESS) – o desenvolvimento de baterias e o planejamento do primeiro leilão de BESS são passos cruciais para resolver os problemas de intermitência e curtailment, garantindo estabilidade ao sistema.
O Brasil está em um ponto de inflexão em sua transição energética. De um lado, enfrenta crise imediata de demanda e problemas de infraestrutura que geram desperdício de energia limpa e ameaçam a viabilidade de empresas. De outro, constrói a base para uma nova indústria, com enorme potencial para atender à descarbonização da economia global, desenvolver o hidrogênio verde, atrair indústrias de alto consumo de energia e explorar novas tecnologias, como eólicas offshore e baterias.
A superação das crises atuais, especialmente a do curtailment, exigirá coordenação eficaz entre governo, setor privado e ONS. Resolver esses problemas é fundamental para que o Brasil consiga administrar o presente enquanto constrói um futuro energético promissor, transformando seu vasto potencial renovável em realidade econômica e ambientalmente sustentável. Embora desafiador no curto prazo, o cenário para a nova indústria brasileira de energia renovável tende a ser extremamente promissor a partir de 2027.
Por Elbia Gannoum, é Presidente Executiva da ABEEólica – Associação Brasileira de Energia Eólica e Novas Tecnologias, Vice-chair do GWEC (Global Wind Energy Council) Conselheira do Conselho de Desenvolvimento Econômico e Social Sustentável e Enviada Especial do Brasil na COP 30 para o tema Energia





A resiliência das Linhas de Transmissão (LTs) também é testada pelo seu desempenho frente às descargas atmosféricas. A partir desta edição, trataremos deste assunto sob a coordenação do Eng. Eletricista Rafael Alipio, que é doutor em Engenharia Elétrica pela UFMG e professor do CEFET-MG, onde coordena o Laboratório de Transitórios Eletromagnéticos (LabTEM). Possui ampla experiência em desempenho de linhas de transmissão e desenvolve pesquisas e consultorias técnicas na área.

A incidência direta de descargas atmosféricas na torre de uma linha de transmissão (LT) ou em seus cabos de blindagem provoca sobretensões que, dependendo principalmente do nível de isolamento da LT e da resistência/impedância de pé de torre, podem causar a ruptura do isolamento nas cadeias de isoladores. Esse fenômeno, chamado de backflashover, é o principal mecanismo de desligamento por descargas atmosféricas para LTs de até 500 kV. A taxa de desligamento por backflashover (BFR – backflashover rate) é calculada por:
BFR=0,6 ∙ Ng ∙ ALT ∙ P (IP > IC) (1)
Em que Ng é a densidade de descargas para o solo (descargas/ km2/ano), ALT é a área de atração ou de exposição da LT a descargas atmosféricas (m2) e P ( IP > IC ) é a probabilidade de o valor de pico (IP) das descargas que incidem na LT ao longo do ano superar a corrente crítica (IC), que corresponde ao valor de pico da corrente capaz de provocar a ruptura da cadeia de isoladores considerando o fenômeno de backflashover. O fator 0,6 na equação — que será melhor discutido no próximo fascículo desta série — tem a função de desconsiderar as descargas que incidem ao longo do vão, focando nas sobretensões originadas apenas por aquelas que incidem diretamente na torre; assume-se, portanto, que 60% das descargas diretas incidem na torre e 40% nos cabos de blindagem [1], [2].
De acordo com a equação (1), fica claro que a taxa de

desligamento da LT por backflashover é diretamente proporcional a Ng, ALT e P ( IP > IC ). Portanto, a caracterização desses três fatores é de fundamental importância no cálculo de desempenho da LT. O objetivo deste fascículo é descrever e caracterizar esses fatores determinantes, com ênfase em aplicações práticas no contexto de desempenho de LTs frente a descargas atmosféricas.
2 – ASPECTOS FUNDAMENTAIS E TERMINOLOGIA DAS DESCARGAS ATMOSFÉRICAS
A descarga atmosférica, ou raio, consiste em uma intensa descarga elétrica que ocorre na atmosfera. Do ponto de vista da engenharia, esse fenômeno é representado por uma corrente impulsiva, com valor de pico da ordem de dezenas de quiloamperes (kA), tempo entre zero e o valor máximo (associado ao chamado tempo de frente) de alguns microssegundos (μs) e duração total de algumas dezenas a poucas centenas de milissegundos (ms).
A maioria das descargas atmosféricas não atinge o solo nem estruturas em sua superfície, ocorrendo entre regiões ou centros de carga dentro da mesma nuvem (intra-nuvem), entre nuvens (entrenuvens) ou entre nuvem e estratosfera [2]. Apenas cerca de 25% das descargas se propagam até o solo ou atingem alguma estrutura em sua superfície, sendo classificadas como descargas nuvem-solo (cloud-to-ground, CG). São essas as descargas de interesse para estruturas como linhas de transmissão, foco desta série de fascículos.
As descargas CG são subdivididas conforme a direção de propagação do líder inicial (ou canal precursor da descarga) —



isto é, se o líder se origina na nuvem e evolui em direção ao solo (descendente), ou se origina do solo ou de uma estrutura e evolui em direção à nuvem (ascendente) — e conforme a polaridade da carga transferida da nuvem para o solo (positiva ou negativa). Dessa forma, distinguem-se quatro tipos principais: (a) descendente negativa, (b) ascendente negativa, (c) descendente positiva e (d) ascendente positiva.
Entre essas, as descargas descendentes de polaridade negativa são as mais frequentes, representando aproximadamente 90% das descargas CG em escala global. Já as de polaridade positiva representam cerca de 10%. Por esse motivo, é comum considerar apenas descargas CG descendentes negativas nas estimativas de desempenho de linhas de transmissão frente a descargas atmosféricas.
Uma descarga CG descendente negativa é composta por um ou mais pulsos de corrente, denominados descargas de retorno (return strokes, ou simplesmente strokes). A primeira descarga de retorno, correspondente ao primeiro pulso de corrente impulsiva após a conexão entre o canal descendente — que parte da nuvem em direção ao solo ou à estrutura — e o canal ascendente — que parte do solo ou da estrutura em direção ao canal descendente à medida que este se aproxima do solo —, possui características significativamente distintas das descargas de retorno subsequentes, as quais, em muitos casos (mas nem sempre), seguem o mesmo caminho ionizado constituído pela primeira descarga de retorno.
O conjunto, ou número, de strokes que compõe uma descarga após a conexão entre os canais descendente e ascendente é denominado multiplicidade, e o fenômeno completo é chamado de flash. Tipicamente, uma descarga CG descendente negativa é composta por 3 a 5 strokes [3]. Em apenas cerca de 20% dos casos, a descarga negativa tem uma única corrente de retorno.
Estatisticamente, o valor de pico da corrente das primeiras descargas tende a ser maior — da ordem de 2 a 3 vezes — em comparação com as subsequentes e, por esse motivo, as primeiras descargas de retorno são consideradas as principais responsáveis por desligamentos em linhas de transmissão [2]. Assim, a menos que se indique explicitamente o contrário, neste fascículo a expressão “corrente de descarga” refere-se à primeira descarga de retorno associada a descargas nuvem-solo descendentes negativas. Adicionalmente, quando se menciona a densidade de descargas para o solo (descargas/km2/ano), está-se referindo a flashes/km2/ano.
3 – CARACTERIZAÇÃO ESTATÍSTICA DO VALOR DE PICO DA CORRENTE
Os parâmetros físicos da corrente das descargas nuvemsolo de interesse em aplicações de engenharia incluem o valor de pico da corrente, a derivada máxima da corrente, a taxa

média de crescimento, o tempo de frente, a duração da corrente, a carga transferida e a energia específica. Os parâmetros das descargas, mesmo entre descargas de um mesmo tipo, podem variar consideravelmente de uma ocorrência para outra, sendo, portanto, caracterizados como variáveis aleatórias ou estatísticas.
As distribuições estatísticas que representam esses parâmetros são obtidas a partir de medições da corrente de descarga, considerando uma quantidade estatisticamente representativa de eventos. Detalhes adicionais sobre a forma de onda de descargas reais e os parâmetros que caracterizam a severidade do fenômeno podem ser encontrados nas Brochuras Técnicas do CIGRE 892 e 549 [2], [3].
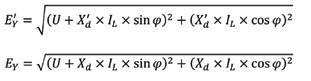
Na perspectiva da avaliação do desempenho de LTs frente à incidência direta de descargas atmosféricas — em particular, à ocorrência de backflashover —, os parâmetros de maior interesse são o valor de pico da corrente e o tempo de frente. Dentre esses dois, o mais relevante é o valor de pico, pois está diretamente associado aos valores máximos de sobretensão impostos às cadeias de isoladores. O valor de pico da corrente capaz de provocar a ruptura da cadeia de isoladores é denominado corrente crítica, sendo fundamental determinar a probabilidade de esse valor ser excedido para o cálculo da taxa de desligamento da LT, conforme a equação (1). Dado o foco desta série de fascículos na análise do desempenho de LTs frente a descargas atmosféricas, esta seção dá ênfase à caracterização estatística do valor de pico das primeiras descargas de retorno associadas a descargas nuvem-solo descendentes negativas.
Os parâmetros da corrente de descarga atmosférica são, preferencialmente, obtidos por meio de medições diretas realizadas em estruturas aterradas que se assemelham a torres de linhas de transmissão — como mastros instrumentados e as próprias LTs [2]1 Para que os dados sejam representativos de descargas descendentes, que são as mais relevantes para a análise de desempenho de linhas de transmissão, recomenda-se que essas estruturas tenham altura inferior a aproximadamente 70 m e não superior a 90 m, de modo a evitar a inclusão de descargas ascendentes nas estatísticas. Com base nesses critérios, atualmente existem apenas três conjuntos de dados de medições diretas considerados aplicáveis aos estudos de desempenho de LTs frente a descargas atmosféricas [3]2:
• Estação de Mount San Salvatore (MSS), Suíça: Dados obtidos por Berger e colaboradores em torres instrumentadas na região de Lugano, Suíça. Trata-se da base de dados mais consolidada para regiões de clima temperado. Muito possivelmente por ter sido o primeiro conjunto de medições diretas de correntes de descargas disponível — e também pela reconhecida meticulosidade do trabalho de Berger — essa base fundamenta grande parte das normas e guias de proteção contra descargas atmosféricas em todo o mundo. No Brasil, por exemplo, é adotada como referência na ABNT NBR 5419:2015 (ver Anexo A da Parte 1).
1 Nessas torres ou estruturas instrumentadas instala-se um transdutor de corrente específico para esse tipo de aplicação, tipicamente um shunt ou bobinas de Rogowski ou de Pearson. Esse transdutor alimenta um sistema de aquisição de dados que registra e armazena a forma de onda da corrente da descarga.
2 Nas Brochuras Técnicas do CIGRE 549 e 892 podem ser encontradas mais informações sobre esses conjuntos de dados e respectivas estações de medição, bem como referências específicas sobre cada uma delas.




• Torres de transmissão no Japão (TLJ): Conjunto de medições compilado por Takami e Okabe a partir de cerca de 60 torres de linhas de transmissão instrumentadas.
• Estação do Morro do Cachimbo (MCS), Brasil: Dados obtidos em torre instrumentada localizada no estado de Minas Gerais. Até o momento, trata-se da única base com significância estatística para correntes de descargas em regiões tropicais.
As distribuições estatísticas do valor de pico da corrente de descarga atmosférica são comumente ajustadas por meio da função log-normal. A função de probabilidade log-normal é completamente caracterizada por dois parâmetros : o valor mediano, μ_(I_P ), que representa o ponto em que 50% das descargas têm corrente inferior e 50% têm corrente superior, e o desvio padrão logarítmico, σ_(lnI_P ), que expressa a dispersão dos dados com base no logaritmo neperiano dos valores da variável aleatória.
Além das distribuições derivadas das bases de dados citadas, duas distribuições de uso difundido em estudos de desempenho de linhas de transmissão são a do IEEE [1] e a do CIGRÉ [4]. Frequentemente chamadas de distribuições “globais”, são baseadas nas medições de Berger, complementadas — com o objetivo de ampliar a amostra — por dados de menor exatidão obtidos, em diversos países, por meio de elos magnéticos. Além da menor acurácia dessas medições, há ainda o questionamento quanto à homogeneidade dos dados, já que diferentes fontes são agrupadas em um único conjunto.
A Tabela 1 apresenta um resumo dos parâmetros estatísticos das distribuições do valor de pico da corrente de descarga atmosférica, considerando o ajuste por meio de uma função log-normal. No caso da distribuição do IEEE, a log-normal é aproximada por uma distribuição log-logística, cuja formulação visa simplificar o cálculo das probabilidades associadas aos parâmetros das descargas. Nessa mesma tabela, são apresentados, para cada distribuição, os valores de pico de corrente com 95%, 90%, 50%, 10% e 5% de probabilidade de serem ultrapassados.

A Figura 1 compara as diferentes distribuições acumuladas do valor de pico da corrente. Para cada curva, um ponto representa a probabilidade (eixo y) de o valor de corrente indicado no eixo x (em kA) ser superado. Entre 20 kA e aproximadamente 100 kA, observa-se boa concordância entre as distribuições, exceto pela MCS, que indica maior probabilidade de superação nesse intervalo, possivelmente por ser representativa de regiões tropicais. Acima de 100 kA, são observadas discrepâncias entre as distribuições. Ressalta-se que, de modo geral, há maior incerteza na faixa superior de corrente devido à quantidade limitada de medições disponíveis para eventos de elevada intensidade (> 100 kA). Por exemplo, a base MSS não apresenta medições superiores a 90 kA, a TLJ contém três medições acima de 100 kA e a MCS apresenta apenas duas. Assim, o uso de funções log-normal para correntes superiores a 100 kA, ajustadas com base nesses dados, pode ser considerado, em certa medida, uma extrapolação. Essa faixa, entretanto, é particularmente crítica para a ocorrência de backflashover em linhas do Sistema Interligado Nacional (SIN) — notadamente aquelas de 230 kV ou nível de tensão superior — e pode impactar a estimativa da taxa de desligamento da LT. Uma discussão aprofundada sobre o impacto da escolha da distribuição estatística do valor de pico da corrente no cálculo do desempenho de LTs, bem como recomendações práticas, pode ser encontrada em [5].

Figura 1 – Distribuições acumuladas do valor de pico da corrente de descargas atmosféricas, para diferentes bases de dados: (a) faixa entre 5 kA e 200 kA; (b) ampliação entre 100 kA e 200 kA
Tabela 1 – Parâmetros estatísticos e probabilidades de excedência do valor de pico da corrente de descargas atmosféricas para diferentes bases de dados

3 A distribuição log-normal é aquela em que o logaritmo neperiano da variável aleatória — neste caso, o valor de pico da corrente — segue uma distribuição normal. Isso significa que os valores da corrente não são simetricamente distribuídos em torno da média, mas sim concentrados abaixo dela, com uma cauda longa para valores altos. O valor mediano é aquele que divide a amostra ao meio: há 50% de probabilidade de a corrente ser menor ou maior que esse valor. Já o desvio padrão logarítmico é o desvio padrão dos logaritmos neperianos dos valores de corrente e representa o grau de dispersão da distribuição: quanto maior esse valor, mais espalhados estarão os valores de corrente ao redor da mediana.

























































































Uma etapa essencial dos estudos de proteção contra descargas atmosféricas é a estimativa da quantidade de raios que incidem sobre determinada área ao longo do tempo — parâmetro geralmente conhecido como densidade de descargas para o solo (Ground Flash Density – GFD), simbolizado por Ng e expresso em descargas/km²/ano. O valor do Ng local é fundamental para a determinação da taxa esperada de desligamentos de uma LT, orientando a definição das práticas de proteção necessárias para atender aos níveis estabelecidos por órgãos reguladores.
Diversas técnicas têm sido empregadas para caracterizar a atividade regional de descargas do tipo nuvem-solo. Entre as principais fontes de dados para estimativa de Ng no setor elétrico, destacam-se: i) os níveis ceráunicos; ii) os contadores de descarga; iii) os sensores ópticos embarcados em satélites; e iv) os sistemas de localização de descargas atmosféricas (Lightning Location Systems – LLS). Essas fontes diferem quanto à exatidão, cobertura e aplicabilidade [2], sendo o foco deste fascículo as abordagens mais adotadas no Brasil, com ênfase em aplicações para linhas do SIN — tanto na fase de projeto quanto em estudos de melhorias na fase operativa.
Uma das fontes mais utilizadas atualmente para a determinação do Ng consiste nos sistemas de localização de descargas atmosféricas. O princípio de funcionamento dos LLS baseia-se na detecção dos campos eletromagnéticos irradiados pela corrente associada à descarga atmosférica. Tais campos “iluminam” os sensores do sistema, posicionados estrategicamente para delimitar uma área de cobertura adequada ao monitoramento da incidência de descargas dentro de uma região de interesse. A localização do ponto provável de incidência da descarga é determinada por técnicas como a detecção da direção do campo magnético (Magnetic Direction Finding – MDF), a diferença de tempo de chegada (Time-of-Arrival – TOA), ou por combinações dessas técnicas.
No Brasil, operam redes LLS de caráter institucional e comercial. Independentemente da origem, a confiabilidade das estimativas depende da densidade de sensores, da calibração dos algoritmos de processamento e do período de observação considerado.
Além da estimativa da densidade de descargas, os LLS também fornecem informações adicionais de interesse para aplicações em engenharia. A intensidade dos sinais recebidos, juntamente com a estimativa da distância ao ponto de impacto, pode ser utilizada para inferir o valor de pico da corrente de descarga. Adicionalmente, algoritmos de processamento aplicados aos campos eletromagnéticos detectados permitem inferir a polaridade, tipo (classificação) e a multiplicidade da descarga. Contudo, tais estimativas estão sujeitas a incertezas, devendo-se ter cautela quanto ao seu uso em estudos de desempenho de linhas de transmissão.
Outra abordagem relevante é a detecção óptica por satélite, que permite o monitoramento de grandes áreas com alta resolução temporal, por meio da captação dos pulsos luminosos gerados durante o processo de descarga atmosférica. O uso de satélites também é útil em regiões com difícil acesso, onde a instalação e manutenção de sensores terrestres
do LLS são dificultadas ou se tornam onerosas. Os primeiros sensores desse tipo foram o OTD (Optical Transient Detector) e o LIS (Lightning Imaging Sensor), embarcados em satélites da NASA. Mais recentemente, destaca-se o sensor GLM (Geostationary Lightning Mapper), embarcado nos satélites geoestacionários da série GOES, em especial no GOES-16. Importante notar que esses sensores registram a atividade total de raios — incluindo descargas intra-nuvem, entre nuvens e, principalmente, da nuvem para a estratosfera —, e não apenas as descargas nuvem-solo. Por isso, aplicam-se fatores de conversão empíricos, geralmente entre 2:1 e 5:1 na proporção entre o número total de descargas e as descargas nuvem-solo, para estimar o Ng com base nesses dados [2]. No Brasil, um exemplo relevante do uso de dados obtidos por satélites na estimativa da densidade de descargas é o mapa publicado pelo Operador Nacional do Sistema Elétrico (ONS). Esse mapa foi gerado a partir dos pulsos luminosos capturados pelo sensor LIS, a bordo do satélite TRMM (Tropical Rainfall Measuring Mission), da NASA, no período de 1998 a 2013. Para obter o valor médio de Ng, foram utilizados dados complementares da rede terrestre BrasilDAT, disponíveis no mesmo período. O mapa gerado possui células de densidade com resolução espacial de 25 km × 25 km, em que cada célula representa um valor médio anual de Ng. Esse mapa tem sido amplamente utilizado por agentes do setor elétrico, transmissoras e concessionárias de energia para estimar desligamentos, dimensionar sistemas de proteção e comparar o desempenho entre regiões do SIN
Por fim, dois aspectos merecem destaque: o caráter médio do Ng e o tempo de observação necessário para sua determinação confiável. O valor de Ng representa uma média anual por célula que compõe o mapa de densidades, embora possa haver grande variabilidade espacial dentro da própria célula, especialmente em regiões com topografia ou microclima peculiares. Isso motiva, sempre que possível, a adoção de mapas com células menores — desde que haja infraestrutura e base de dados com resolução adequada. Além disso, como a atividade de descargas apresenta forte variabilidade interanual — associada a padrões climáticos sazonais, eventos extremos e ciclos meteorológicos como o El Niño e La Niña —, recomenda-se a utilização de séries históricas de pelo menos dez anos para garantir representatividade estatística e maior confiabilidade nas análises de desempenho de LTs.
5 – OBSERVAÇÕES DE CARÁTER PRÁTICO SOBRE O USO DE DADOS PROVIDOS POR REDES DE DETECÇÃO LLS E A
ESTIMATIVA DA DENSIDADE DE DESCARGAS AO LONGO DO TRAÇADO DE LTS
5.1 – Cautela no uso de estimativas de valor de pico providas por redes de detecção LLS
No Brasil, é crescente o uso de dados de sistemas de localização de descargas atmosféricas (LLS) por empresas transmissoras, tanto para o monitoramento de ativos quanto para estudos de desempenho de linhas. Esses dados são fornecidos por redes comerciais ou institucionais compostas por sensores distribuídos em diferentes regiões do território nacional.
Embora os LLS sejam a fonte mais confiável para localização e



estimativa da densidade de descargas (Ng), as estimativas de pico de corrente devem ser interpretadas com cautela. Elas são derivadas de campos eletromagnéticos captados remotamente e dependem de variáveis como resistividade do solo, topografia do terreno e, sobretudo, da velocidade de propagação da corrente ao longo do canal da descarga. Além disso, os modelos utilizados para essa estimativa são simplificados e ainda pouco validados para descargas com valores elevados de corrente— justamente as mais relevantes para a ocorrência de backflashover. Conforme destacado na Brochura Técnica 839 do CIGRÉ, essas estimativas não apresentam exatidão suficiente para aplicação em estudos de desempenho de linhas de transmissão, sendo preferível o uso de dados obtidos diretamente em torres instrumentadas, como destacado na terceira seção deste fascículo.
Ainda assim, os dados de incidência de descargas podem ser úteis em aplicações operacionais, especialmente quando combinados com informações de relés localizadores de faltas. A correlação entre o ponto de incidência da descarga e a estrutura apontada pelo relé com a função de localização pode auxiliar na identificação do trecho mais provável de ter sofrido desligamento por raios. Por outro lado, os valores de corrente estimados individualmente não devem ser tomados como referência absoluta.
5.2 – Uso de níveis ceráunicos para estimativa de Ng
O número anual de dias de trovoada — também conhecido como nível ceráunico — corresponde ao total de dias em que se ouve ao menos um trovão em determinada localidade, independentemente da distância do observador ou da ocorrência de descargas para o solo. Historicamente, esse parâmetro foi utilizado como base para estimativas da densidade de descargas atmosféricas para o solo (Ng), por meio de fórmulas empíricas simples que relacionavam Ng ao número médio de dias de trovoada por ano (Td).
Devido à subjetividade na aquisição dos dados, à alta variabilidade local e à consequente possibilidade de grandes imprecisões, o uso de níveis ceráunicos não é mais recomendado para estimativas de densidade de descargas atmosféricas para o solo. Esse tipo de abordagem, ainda encontrado em alguns estudos no Brasil, não deve ser utilizado em análises de desempenho ou projetos de linhas de transmissão, sob risco de comprometer a representatividade dos resultados. Métodos mais confiáveis para essa finalidade são os baseados em sensores de campo eletromagnético ou na detecção óptica via satélite.
5.3 – Variação espacial do Ng ao longo do trajeto da LT
Uma abordagem prática para estimar a densidade de descargas ao solo (Ng) em estudos de desempenho de linhas de transmissão consiste em sobrepor o traçado da LT ao mapa de densidade de descargas atmosféricas publicado pelo ONS, utilizando, por exemplo, arquivos no formato .kmz4. Essa sobreposição permite extrair valores representativos de N g ao longo do trajeto da linha.
No entanto, especialmente no caso de linhas de transmissão extensas — como as que integram o SIN —, é comum que a LT atravesse regiões com diferentes níveis de atividade atmosférica. Em alguns casos,

as variações de Ng ao longo do percurso podem ser significativas. A Figura 2 apresenta um extrato do mapa de densidade de descargas do ONS, abrangendo parte da região Nordeste. Observa-se que LTs localizadas em estados mais a leste da região, como Alagoas, Pernambuco, Paraíba, Rio Grande do Norte e Ceará, geralmente percorrem áreas com densidades entre 1 e 3 descargas/km²/ano. Por outro lado, linhas que se estendem, por exemplo, do Ceará ao Piauí ou do Piauí ao Maranhão cruzam áreas em que o Ng pode variar entre 1 e 3 ou entre 5 e 9 descargas/km²/ano, chegando a valores superiores a 10 em certos trechos. Ainda dentro do próprio estado do Piauí, observa-se uma variação significativa do Ng Nessas situações, o uso de um único valor médio de Ng para toda a LT pode não capturar adequadamente o comportamento local da incidência de raios. A divisão da linha em segmentos com diferentes faixas de N g permite estimativas mais realistas de desligamentos por trecho, além de auxiliar na identificação de áreas críticas que possam demandar reforço das medidas de proteção.
Por fim, além da variação espacial, é importante observar que o período de maior incidência de descargas atmosféricas ao longo do ano geralmente coincide com a estação chuvosa de cada região, o que deve ser considerado no planejamento de inspeções e manutenções preventivas. Adicionalmente, estudos recentes apontam que as mudanças climáticas e o aquecimento global podem alterar padrões regionais de precipitação e tempestades, impactando a frequência e a intensidade da atividade elétrica atmosférica [6]. Embora o Ng seja utilizado como média anual, conhecer essas tendências é essencial para a operação e o planejamento de longo prazo das linhas de transmissão.

Figura 2 – Extrato do mapa de densidade de descargas atmosféricas publicado pelo ONS, referente ao período de 1998 a 2013. A escala de cores representa a densidade anual média de descargas ao solo (Ng), em descargas/km²/ano. O mapa completo pode ser obtido em https://www.ons.org.br/paginas/sobre-o-sin/ mapas
Conforme discutido nas seções anteriores, o valor de Ng caracteriza a frequência de descargas em determinada região. No entanto, para estimar o número de descargas que efetivamente atingem uma linha de transmissão, é necessário considerar também sua área de exposição.
A estimativa do desempenho de uma linha de transmissão frente a descargas atmosféricas passa, necessariamente, pela determinação de quantas descargas incidem, em média, na LT anualmente e como essas descargas se distribuirão entre os cabos de blindagem e os condutores de fase. Essa estimativa depende da modelagem do processo de evolução do canal descendente por passos sucessivos, da iniciação e propagação do canal ascendente e, por fim, da conexão entre ambos.
Os modelos que tratam desse fenômeno são conhecidos como modelos de incidência e têm como objetivo, de forma mais elaborada ou simplificada, estimar a região ao redor da linha onde há maior probabilidade de que um canal descendente em aproximação se conecte com um canal ascendente originado em um condutor ou estrutura da LT, resultando na incidência direta da descarga. A partir disso, determina-se a área de exposição (ou de atração) da linha de transmissão. O produto entre essa área e a densidade local de descargas (em descargas/km²/ano) fornece a estimativa do número médio de descargas que atingirão a linha anualmente.
Uma revisão abrangente sobre o fenômeno de conexão das descargas atmosféricas às linhas de transmissão, bem como sobre os métodos utilizados para avaliá-lo, pode ser encontrada na Brochura Técnica 704 do CIGRÉ [7]. De modo geral, duas abordagens principais são empregadas para estimar a atratividade das linhas de transmissão:
• Modelo Eletrogeométrico (MEG) – método simples e de fácil aplicação, que utiliza o conceito de raio de atração (striking distance) associado ao valor de pico da corrente da descarga para estimar a região de atração da linha e a probabilidade de incidência nos cabos de blindagem ou condutores fase.
• Modelo de Progressão do Líder (LPM – Leader Progression Method) –método mais detalhado e computacionalmente mais custoso, que simula a evolução do canal descendente por passos sucessivos e o processo de conexão com condutores ou estruturas aterradas. Utiliza o conceito de distância de atração (attractive distance) para estimar a atratividade de linhas de transmissão.
O raio de atração e a distância de atração lateral (ou horizontal) são mostrados na Figura 3 e definidos a seguir:
• Raio de atração (striking distance): distância entre a ponta do canal descendente e a estrutura (ou condutor), para um dado valor de corrente, a partir da qual há grande probabilidade de fechamento do percurso por meio da conexão com o canal ascendente originado na estrutura.
• Distância de atração (attractive distance): distância horizontal entre o eixo do canal descendente e a estrutura (ou condutor), para um dado
valor de corrente, a partir da qual há grande probabilidade de conexão com o canal ascendente iniciado na estrutura. Em termos práticos, um canal descendente que se aproxima da estrutura a uma distância lateral igual ou inferior à distância de atração apresenta elevada probabilidade de se conectar a um canal ascendente que se origina dela.

Figura 3 – Representação esquemática do raio de atração (Ra) e da distância de atração (Da) de uma estrutura frente à aproximação de um canal descendente, ilustrando o salto final e a conexão com o canal ascendente. Adaptado de [2]
O modelo eletrogeométrico (MEG) é, possivelmente, a abordagem mais utilizada para estimar a área de exposição de linhas de transmissão a descargas atmosféricas. O MEG fundamenta-se no conceito de raio de atração Ra, o qual está relacionado ao valor de pico da corrente de descarga Ip (em kA) por meio de uma equação da forma Ra = A ∙ IPB As constantes A e B são determinadas empiricamente por meio de ensaios laboratoriais, registros fotográficos ou filmagens de descargas atmosféricas em torres instrumentadas e, também, por calibração baseada no desempenho real de linhas. Diversos valores para os parâmetros A e B já foram propostos, conforme resumido na Tabela 3.2.1 da Brochura CIGRÉ 704 [7]. Recomendações mais recentes para os valores das constantes A e B podem ser encontradas em [1], [2].
Embora a aplicação rigorosa do MEG exija uma análise tridimensional — especialmente em regiões com relevo acidentado ou com obstáculos como árvores, antenas ou outras estruturas —, na prática, costuma-se empregar uma versão bidimensional, que se mostra suficiente para a maioria dos casos. Nessa abordagem, considera-se um plano perpendicular ao eixo da linha e adotam-se alturas médias para os condutores fase e para os cabos de blindagem.
Para facilitar a compreensão da aplicação do MEG, a Figura 4 mostra um corte no plano transversal de uma linha de transmissão com três condutores de fase (1, 2 e 3) e dois cabos de blindagem (4 e 5). Para fins didáticos, assume-se que os raios de atração Ra para os condutores de fase, cabos de blindagem e solo sejam iguais. Traçam-se arcos de atração centrados nos condutores (de fase e de blindagem), utilizando o valor de Ra correspondente à corrente adotada. Na mesma figura, uma
Fábrica própria de TCs e TPs até 36kV



Soluções em eletrificação, automação e digitalização
Portfólio completo de Painéis de Baixa e Média Tensão e Proteção e Controle
em todo o Brasil






linha horizontal indica o nível acima do solo correspondente ao raio de atração. Para esse valor de Ra, caso um canal de descarga se aproxime da linha, podem-se prever as seguintes regiões com maior probabilidade de incidência — ou seja, os pontos de onde tenderia a partir o canal ascendente: 1) segmentos AB e FG: solo; 2) BC e EF: fases externas; e 3) CD e DE: cabos de blindagem. Observe-se que, neste exemplo, a fase central encontra-se totalmente blindada pelos cabos de blindagem5

Figura 4 – Exemplo de aplicação do Modelo Eletrogeométrico (MEG) no plano transversal de uma linha de transmissão com três condutores de fase (1, 2 e 3) e dois cabos de blindagem (4 e 5), indicando os arcos de atração, o ângulo de proteção (δ) e as regiões de maior probabilidade de incidência
O MEG apresenta algumas simplificações em sua formulação, entre as quais se destacam [2]: I) a desconsideração do efeito da tensão dos condutores na formação do canal ascendente; e II) a ausência, nas expressões do raio de atração, de termos que representem a influência da altura da estrutura, bem como de uma modelagem mais completa da iniciação e propagação do canal ascendente. Em função dessas limitações, recomenda-se, em [2], a aplicação do MEG a linhas com tensão nominal de até 500 kV e a estruturas cuja altura não exceda de forma significativa 50 m.
O modelo de progressão do líder (LPM) foi desenvolvido para superar algumas limitações do MEG, proporcionando uma simulação mais realista do processo de incidência de descargas atmosféricas em estruturas aterradas. Esse método fundamenta-se em uma representação física mais detalhada da evolução do canal descendente por passos consecutivos, desde a sua aproximação até a iniciação e o desenvolvimento do canal ascendente.
Um resultado importante da aplicação do LPM ao problema da incidência de descargas em estruturas aterradas é a definição, de grande relevância prática para a engenharia, do conceito de distância de atração (Da), utilizada para determinar a incidência direta de descargas nas estruturas e nos cabos de blindagem. Essa distância é normalmente expressa por uma equação da forma: Da (h,IP )=ξ∙hE∙IPF , em que h é a altura da estrutura, e ξ, E e F são constantes que dependem das premissas adotadas na aplicação do LPM e dos dados experimentais utilizados para calibração do modelo.
Com o intuito de simplificar a aplicação do conceito de distância de atração para aplicações envolvendo linhas de transmissão, Eriksson propôs o conceito de distância de atração média, definido a partir de um valor médio de corrente obtido com base nas medições disponíveis à época [8]. Nessas condições, a distância de atração média é dada, em metros, por D a=14h0,6. A partir dessa equação, a área de atração da linha ALT, padronizada para um trecho de 100 km, é dada por:

ALT = 100 ∙ ( b+2Da ) ∙ 10-3 = 0,1∙ ( b+28h0,6 ) (2)
em que b é a distância entre os cabos de blindagem (em metros, sendo b=0 para LTs com apenas um cabo de blindagem), o termo 2Da considera a distância de atração para cada lado da estrutura e o fator 0,1 resulta da conversão de ( b + 2Da ) de metros para quilômetros. Finalmente, o número anual de descargas incidentes nos cabos de blindagem ou na torre, para 100 km de linha, é obtido multiplicando-se a área ALT pelo valor local de N g
A equação para a distância de atração média proposta por Eriksson, bem como a correspondente expressão (2) para ALT, continua sendo amplamente aceita como uma excelente estimativa para aplicações de engenharia [2]. Vale salientar, entretanto, que a equação (2) considera um valor médio para a corrente de descarga. Uma metodologia para incorporar a característica estatística do valor de pico da corrente, bem como uma comparação entre os resultados obtidos pelo MEG e pelo conceito de distância de atração, pode ser encontrada em [9].
Este fascículo buscou apresentar conceitos fundamentais e aspectos práticos para a obtenção e interpretação de dados de densidade de descargas atmosféricas e valores de pico de corrente, de forma a subsidiar análises realistas do desempenho de linhas de transmissão. A intenção é que o leitor desenvolva não apenas o domínio das definições e métodos, mas também senso crítico para avaliar a plausibilidade de valores obtidos a partir de diferentes fontes, como redes LLS.
No próximo fascículo, esses conceitos servirão de base para o estudo de ferramentas computacionais empregadas na determinação da corrente crítica e na avaliação quantitativa do desempenho frente a descargas atmosféricas.
REFERÊNCIAS
IEEE Std 1243-1997, “IEEE Guide for Improving the Lightning Performance of Transmission Lines,” New York, 1997.
Working Group C4.23, “CIGRE TB 839: Procedures for Estimating the Lightning Performance of Transmission Lines – New Aspects,” Paris, 2021.
Working Group C4.407, “CIGRE TB 549: Lightning parameters for engineering applications,”, Paris, 2013. Working Group 01 (Lightning) - Study Committee 33 (Overvoltages and Insulation Coordination), “CIGRE TB 63: Guide to Procedures for Estimating the Lightning Performance of Transmission Lines,” Paris, 1991.
\D. Conceição, R. Alipio, I. J. S. Lopes, and W. Chisholm, “A Comprehensive Analysis on the Influence of the Adopted Cumulative Peak Current Distribution in the Assessment of Overhead Lines Lightning Performance,” Energies, vol. 16, no. 15, p. 5836, Aug. 2023.
\R. Alipio, A. C. Marques, P. Regoto, L. Ritter, T. Ferreira, W. Mejia, E. Almeida, F. Rojas, O. Gonzalez, e F. Diniz, “Climate characterization and historical changes in density and intensity of lightning around the 500 kV Bacabeira–Parnaíba transmission line,” EletroEvolução – Sistemas de Potência, no. 118, pp. 50–60, Mar. 2025. (Apresentado na 2024 Paris Session – Bienal do CIGRÉ).
\Working Group C4.23, “CIGRE TB 704: Evaluation of Lightning Shielding Analysis Methods for EHV and UHV DC and AC Transmission Line,” Paris, 2017.
\A. J. Eriksson, “The Incidence of Lightning Strikes to Power Lines,” IEEE Transactions on Power Delivery, vol. 2, no. 3, pp. 859–870, 1987.
\H. Hess, R. Alipio, and M. Guimaraes, “On the Influence of Peak Current Distribution on the Lightning Incidence to Transmission Lines,” in 2021 35th International Conference on Lightning Protection (ICLP) and XVI International Symposium on Lightning Protection (SIPDA), IEEE, Sep. 2021, pp. 1–6.
#O autor agradece as valiosas contribuições técnicas do Eng. Fernando Diniz (Engenheiro de Linhas de Transmissão da área de Expansão da Argo Energia) e à revisão técnica do texto realizada pela Dra. Naiara Duarte (Professora Visitante do CEFET-MG).
5 Para o exemplo da Figura 4, há incidência de descargas nas fases externas, caracterizando uma falha de blindagem. De acordo com o MEG, a probabilidade de ocorrência dessa falha aumenta à medida que o valor de pico da corrente de descarga diminui. Na prática, o ângulo de blindagem da linha é projetado de forma a permitir falha apenas para correntes inferiores a um valor mínimo, as quais não geram sobretensões capazes de provocar a ruptura das cadeias de isoladores.



a linha completa de produtos em nosso site.

Segurança em instalações elétricas começa com quem realmente entende do assunto. A SIL está preparada para acompanhar as mais recentes atualizações do setor, garantindo altos padrões de qualidade e proteção em sistemas de baixa tensão. Qualidade, confiabilidade e compromisso com o futuro da eletricidade.










Um dos pioneiros no estudo do arco elétrico no Brasil, o engenheiro eletricista com mais de 44 anos de experiência em proteção e análise de sistemas, Claudio Mardegan, acompanhado de outros dois grandes especialistas no tema: Márcio Bottaro e Filipe Resende, coordenarão, ao longo de 2025, este fascículo, que tem como objetivo tratar da nova Norma de Arco Elétrico, que está em fase final de elaboração na ABNT.



Sinalização dos níveis de energia incidente e técnicas para a redução da energia incidente
Em primeiro lugar deve ser dito que as sinalizações, quando for usado um método de cálculo, deve constar apenas energia. Não se pode falar em categoria de vestimenta.
A norma brasileira cita que todos os equipamentos para os quais exista a possibilidade de ocorrência de arco elétrico devem ser sinalizados de acordo com a lista e os requisitos mínimos descritos a seguir:
• Barramentos, linhas de transmissão e painéis acima de 15 kV c.a.;
• Painéis, barramentos, transformadores, reatores, inversores, geradores, capacitores, compensadores síncronos, motores e retifcadores com tensão entre 0,208 kV e 15 kV c.a.;
• Painéis, barramentos e banco de baterias em corrente contínua 1,5 kV c.c.;
• Circuitos de distribuição em média e baixa tensão.
REQUISITOS MÍNIMOS DA ETIQUETA/PLACA
A norma NBR 17277 segue a NFPA-70E. O conteúdo deve ter no mínimo o seguinte:
a) Indicação de “PERIGO” e “RISCO DE ARCO ELÉTRICO”;
b) Energia incidente calculada para o ponto em questão em cal/cm²;
c) Distância de trabalho considerada no estudo;
d) Limite de aproximação segura (LAS);
e) TAG do equipamento;
f) Nível de tensão;
g) EPI indicados para proteção.
Todas as informações apresentadas nas etiquetas/placas devem corresponder ao relatório/memorial de cálculo do estudo de energia incidente a ser arquivado no prontuário da NR-10, da instalação, conforme a ABNT NBR 16384. As identificações devem corresponder ao último estudo realizado (mais recente).
Todas as informações e descrições da etiqueta/placa devem estar em língua portuguesa. Os dados apresentados nas etiquetas/placas de identificação devem ser referentes e correspondentes ao estudo da energia incidente no pior caso de operação do equipamento ou no pior caso para cada uma das tarefas consideradas no estudo.
Se no Relatório de Energia Incidente forem adotadas medidas de redução de energia incidente, as etiquetas/placas só poderão ser afixadas nos respectivos equipamentos/ locais após estas medidas de redução terem sido implementadas e verificadas.
Se o equipamento possibilitar o acesso pelas partes lateral e/ou traseira ou tiver grande extensão, deve-se instalar várias etiquetas assegurando a compreensão e a visualização do risco do arco

elétrico, independente do acesso que se tome.



As etiquetas/placas de sinalização bem como seu texto/ informações devem ser de dimensões que permitam uma boa visualização a uma distância maior que o maior valor entre o limite de aproximação seguro e o limiar da zona livre. Em geral, uma etiqueta de 200 mm de largura e 120 mm de altura são suficientes. As fontes utilizadas em geral variam entre 12 e 60. Nos pontos importantes a se destacar os textos são colocados em negrito.
Todos os trabalhadores da planta devem receber uma instrução formal de como interpretar as informações contidas nas sinalizações das placas/etiquetas descritas nesta seção. Isto deve ser documentado com uma lista de presença, contendo data, assinatura, conteúdo do treinamento e o instrutor (engenheiro).
Os acessos aos pátios das subestações devem possuir sinalização de advertência indelével contendo no mínimo as seguintes informações:
a) maior nível de energia incidente presente no pátio;
b) nível de tensão;
c) identificação do pátio/setor;
d) EPI obrigatório.
Os acessos às salas elétricas/galeria de painéis devem possuir sinalização de advertência indelével contendo no mínimo as seguintes informações:
a) maior nível de energia incidente presente na sala/galeria; b) maior nível de tensão; c) identificação da sala/galeria; d) EPI obrigatório.
Nota Importante: Não se faz placas por cubículos, pois pode-se correr o risco de o profissional não mudar de vestimenta. Assim, a energia contida na placa de advertência deve corresponder sempre ao pior caso.
A melhor maneira de se proteger um profissional é através de um EPC. A utilização de EPIs é a última barreira.
É importante que o empregador defina um padrão de energia incidente mínimo a ser utilizado por seus profissionais, 8 ou 12 calorias/cm2 são valores normalmente utilizados. A esses valores correspondem valores de ATPV/Elim que correspondem à energia que o tecido da vestimenta foi fabricado e testado, que em geral são maiores que a energia incidente. Por exemplo, o valor de ATPV da vestimenta, em geral, garante que a probabilidade de se ter queimaduras do segundo grau é de 50%.
As instalações de energia elétrica devem ser projetadas, instaladas e mantidas de modo que as pessoas que a elas tenham
acesso sejam protegidas de possíveis faltas por arco elétrico durante comissionamentos, a operação, visitas, ou durante manutenções.
TÉCNICAS PARA NOVOS PROJETOS: EM NOVOS PROJETOS, AS TÉCNICAS DESCRITAS A SEGUIR PODEM SER ADOTADAS.
Otimização dos ajustes da unidade instantânea
Este método consiste em implementar, durante o estudo de curto-circuito e seletividade, um ajuste de um segundo elemento de sobrecorrente a tempo definido, ajustado abaixo da corrente provável de arco, com o objetivo de reduzir o tempo de interrupção da corrente de falta no instante do arco e, consequentemente, a energia incidente no ramal ou conjuntos de manobra por ele protegido. Com isto garante-se a mesma temporização tanto no arco como na falta franca.
Sempre é bom aplicar esta técnica, principalmente quando a Energia Incidente fica maior do que a Energia padronizada adotada pelo Site/Empresa.
Utilização de relés monitores de arco por luz e/ou pressão
O método consiste na implementação de relés monitores de arco por luz, luz e corrente ou por pressão (para evitar um disparo indevido), com o objetivo de antecipar a atuação dos disjuntores, reduzindo o tempo para interrupção da corrente do arco e, consequentemente, a energia incidente.
É importante destacar que painéis com concepção de gavetas extraíveis não devem utilizar o intertravamento Luz+Corrente.
Utilização de dispositivos ultrarrápidos
Existem locais onde a energia incidente é tão alta que a utilização de relés de arco não diminui a energia incidente a ponto de ficar dentro de limites desejáveis (por exemplo, dentro do padrão de energia do site). Nestes casos, a utilização dos AQDs (Arcing Quenching Devices) mitiga a situação. Isto se deve ao fato do tempo do disjuntor não fazer mais parte da composição do tempo total de eliminação de falta.
Esta técnica consiste da aplicação de dispositivos com tempo de atuação extremamente rápido, conhecidos como “arc quenching devices”, limitando assim a duração da corrente de arco e, consequentemente, a energia incidente nos painéis elétricos. Esses chaveamentos para terra “jumpeiam” a resistência do arco e transformam uma falta por arco em uma falta trifásica franca.
Mais de 90% das faltas que ocorrem se iniciam por arco faseterra. Segundo um paper de Dunki-Jacobs de 1986, essas faltas evoluem rapidamente (tempo de até 2 ciclos) para arcos bifásicos e trifásicos. A utilização de resistores de aterramento por alto valor




limita a corrente de falta por arco a um valor tão baixo que não é capaz de ionizar o ar ao redor do ponto sob falta e consequente eliminada a possibilidade da falta por arco fase-terra evoluir para uma falta por arco bifásica e trifásica. Essa deve ser a função do engenheiro de proteção, tentar evitar o escalamento da falta de faseterra para bifásica/trifásica.
Uma maneira de limitar os efeitos térmicos incidentes sobre o trabalhador e minimizar o tempo de restabelecimento da operação do sistema após a ocorrência de um arco elétrico é a aplicação de painéis resistentes ao arco interno, construídos e ensaiados conforme as ABNT NBR IEC 62271-200, IEC 62271-203 e ABNT IEC/TR 61641.
Esse tipo de painel contém o arco dentro do painel durante um período para o qual ele foi projetado, testado e certificado. Ultrapassado tal tempo, ele não necessita mais conter o arco dentro dele.
É importante que tais painéis tenham relé de arco monitorado por luz para minimizar os danos internos aos painéis.
Painéis isolados a gás
A aplicação de painéis isolados a gás reduz a probabilidade de formação do arco elétrico.
INSTALAÇÃO DE DISJUNTOR E RELÉ NO PRIMÁRIO DO TRANSFORMADOR DE POTÊNCIA
Considerando que a utilização de fusíveis no lado primário de transformadores de potência não é eficaz como proteção de retaguarda para faltas a arco passantes ocorrendo no secundário, uma alternativa seria a utilização de transformadores de corrente e relés de sobrecorrente (elemento de sobrecorrente temporizado a tempo inverso e outro elemento a tempo definido, instalados no primário para atuação do disjuntor de proteção instalado no primário ou ainda a instalação de religadores com proteção incorporada para sistemas de distribuição.
Implementação de seletividade lógica
Para evitar que os relés de retaguarda assumam tempos de atuação muito longos em função da seletividade cronológica necessária entre eles, pode-se optar pela utilização da seletividade lógica, em que um relé a jusante envia um comando de bloqueio ao relé a montante no caso de falha na operação. Essa técnica diminui consideravelmente o tempo de atuação da proteção de retaguarda, reduzindo assim, o tempo para interrupção da corrente do arco e, consequentemente, a energia incidente.
Nota importante: Para a implementação da seletividade lógica é necessário que os IEDs consigam discretizar a corrente da temporização. Existem relés no mercado que não conseguem essa discretização.
Outras medidas que podem ser adotadas
Outras medidas podem ser adotadas tanto para a redução da energia incidente como para a redução de acidentes por queimadura nos trabalhadores. São elas:
• Inserção e extração remota de dispositivo de manobra (via relés, supervisório, Bluetooth, botoeira a distância etc.);
• Intertravamento entre dispositivo de manobra e chave de aterramento;
• Intertravamento dos compartimentos de cabos, disjuntores e barramentos de painéis;
• Encapsulamento isolante de barramentos com o objetivo de reduzir a possibilidade de ocorrência do arco por contato;
• Aplicação de painéis com compartimentação 4B certificados conforme a ABNT NBR IEC 61439-1;
• Analisar a possibilidade de reduzir a corrente de curto-circuito (por exemplo, aumento da impedância dos transformadores de potência);
• Utilizar dispositivos de proteção com coordenação tipo 2 nos ramais de alimentação e controle de motores, possibilitando um desligamento seguro da corrente de curto-circuito e rápida recolocação em serviço após a atuação da proteção;
• Cubículos “Loss of Service Continuity” – ABNT NBR IEC 62271-200 (LSC 2B).
Medidas aplicáveis a projetos existentes
Em instalações existentes ou em projetos em que ampliações de potência sejam necessárias, as seguintes medidas podem mitigar o efeito das faltas a arco e a consequente energia incidente. São elas:
• Substituição de fusíveis: avaliação de substituição de fusíveis com objetivo de atuação rápida;
• Grupos de ajustes da proteção específicos para manutenção/ parada e operação;
• Alteração e/ou substituição de disjuntores com menor tempo de interrupção;
• Limitação da corrente de curto-circuito;
• Separação de barras evitando transformadores em paralelo e intertravamentos para evitar condições de paralelismo;
• Atualização tecnológica dos dispositivos de proteção para equipamentos de operação mais rápida por meio da atualização dos painéis;
• Instalação de religadores, como seccionadores automáticos a montante na entrada de subestações ou no primário de transformadores;
• Procedimentos operacionais para trabalho desenergizado;
• Realizar ações de manutenção sistemáticas a fim de assegurar as condições de confiabilidade e segurança, destacando-se as ações que asseguram a rigidez dielétrica e integridade dos painéis;
• Modificação de procedimentos de trabalho com consequente modificação das distâncias de trabalho consideradas, bem como a definição dos níveis de energia incidente para cada uma destas atividades.
Monitoramento Termográfico Contínuo (Online) + Proteção Contra Arco Elétrico por Ultravioleta



ZYGGOT® TEMPERATURA
Monitoramento Termográfico Contínuo para baixa, média e alta tensão)
ZYGGOT® RADDIA TS
Monitoramento Termográfico Contínuo por Rádio para baixa, média e alta tensão


ZYGGOT® RADDIA TF
Monitoramento Termográfico Contínuo por Rádio para Transformadores
ZYGGOT® SG

Monitoramento Termográfico Contínuo para baixa tensão

ZYGGOT® SG TF
Monitoramento Termográfico Contínuo para Transformadores de baixa tensão

ZYGGOT® ARCO
Sistema de Proteção contra Arco Elétrico por detecção Ultravioleta
Exclusivo para os leitores da Revista O Setor Elétrico
Escaneie o QR Code e tenha acesso antecipado.
ZYGGOT® TOH
Monitoramento Contínuo de Temperatura + Ozônio + Umidade

ZYGGOT® SPL
Sistema Proteção contra Arco por UV para alta seletividade



O segmento de transmissão é estratégico e condicionante para o desenvolvimento nacional. Neste fascículo, teremos como mentor o Eng. Eletricista Rogério Pereira de Camargo, que é atualmente uma referência nacional no tema. Com MBA em Gestão de Negócios pelo IBMEC, Pós-Graduação em Eng. de Manutenção pela UFRJ, Admin. pela FAAP, cursando Pós-graduação Master em ESG e Gestão Estratégica da Sustentabilidade pela FIA Business School, Rogério Camargo atua desde 1994 como Gestor e Diretor Técnico na implantação e operação e manutenção de projetos de transmissão para investidores nacionais e internacionais.


A necessidade da capacitação e formação de mão de obra no SEB
Por Rogério Pereira de Camargo e *Débora Rangel Celeti
No capítulo IV e V, descrevemos os aspectos, dificuldades e desafios para estruturação da operação e manutenção em regiões remotas do Brasil e o processo de planejamento da expansão do segmento de transmissão, neste capítulo VI, vamos descrever algo onde observamos uma certa dificuldade do setor elétrico em desenvolver de forma estruturada a capacitação e a formação de mão de obra especializada para o setor, em especial, para o segmento de transmissão.
Para isso, vamos dividir este capítulo em duas etapas: na primeira parte faremos um breve contexto histórico, registrando o desenvolvimento do setor elétrico brasileiro que, obviamente está vinculado à formação e capacitação de seus especialistas nas mais diversas áreas e a conceituação da gestão por competências, e na segunda parte uma visão prática do cenário atual da estratégia da área de recursos humanos no setor elétrico, onde a Especialista em RH, Débora Rangel Celeti apresentará alguns dados de sua recente pesquisa sobre turnover e absenteísmo no setor de energia e algumas considerações com sua visão global de especialista e consultora atuando com recursos humanos no setor elétrico.
Atuo como Engenheiro no Setor Elétrico desde 1994, entretanto, tive o meu primeiro contato com o setor elétrico em 1986 quando fiz estágio como estudante de ensino técnico de nível médio na maior distribuidora de energia elétrica da América Latina.
Observei as mudanças do setor de uma posição privilegiada, pois sempre fui muito curioso e não tive medo de enfrentar desafios, vivenciei a privatização nos anos 90 e a abertura do mercado nos anos
2000, tendo iniciado a minha carreira através de concurso público na CESP e durante minha trajetória atuei em diversos investidores nacionais e internacionais.
O setor elétrico brasileiro teve sua origem entre o final do século XIX e o início do século XX, tendo como marco relevante a criação da Light São Paulo, empresa de capital canadense autorizada a operar no país por meio de decreto presidencial de Campos Sales, em 1895. Esse período inicial foi caracterizado por iniciativas predominantemente privadas, reflexo de um contexto em que a engenharia nacional ainda estava em fase embrionária, sem uma estrutura técnica e institucional consolidada. O desenvolvimento do setor, portanto, deu-se sob forte influência estrangeira e impulsionado pela demanda crescente por iluminação pública e fornecimento de energia nas áreas urbanas.
Os estudos técnicos pioneiros no setor elétrico foram realizados por especialistas europeus e americanos. (ver: A energia no Brasil –Antonio Dias Leite, 3 ed).
Essa breve contextualização histórica nos permite destacar como, ao longo das décadas, o setor elétrico, assim como os segmentos de mineração e exploração de petróleo, trilhou uma trajetória consistente de desenvolvimento técnico e institucional. Trata-se de uma jornada marcada pela crescente capacitação e formação de mão de obra especializada, abrangendo múltiplas disciplinas da engenharia e contribuindo significativamente para o avanço da infraestrutura e da soberania energética nacional.
A formação e capacitação dessa mão de obra especializada




contou não apenas com as escolas de engenharia, algumas já existentes, mas também com a criação de escolas técnicas, muitas das quais surgiram no início do século XX como parte do esforço para sustentar o processo de industrialização emergente. No entanto, esse movimento só ganharia maior impulso a partir da década de 1930, em um Brasil ainda predominantemente rural, com cerca de 17 milhões de habitantes e uma base educacional e tecnológica em fase inicial de consolidação.
Vamos fazer então um exercício simples: em 1900 o Brasil tinha aproximadamente 17 milhões de habitantes, em 1986, logo 86 anos depois, o Brasil possuía 140 milhões de habitantes, um crescimento populacional de 08 vezes em 86 anos, com mudanças em todos os sentidos – a população rural para urbana, a formação das primeiras grandes metrópoles como São Paulo, Rio de Janeiro e Belo Horizonte.
Nestes 86 anos, a estruturação de setores estratégicos da economia teve um êxito admirável.
Fizemos este recorte de 1986, pois foi o ano em que eu (Rogério) ingressei no setor elétrico ainda muito jovem com 18 anos, conforme comentei anteriormente realizando um estágio na Eletropaulo (ex Light São Paulo).
Assim, onde eu gostaria de chegar com essas primeiras considerações? Chegar ao ponto central, constatando que o setor elétrico, somente conseguiu se estruturar para atender essa demanda e mudanças nas condições econômicas, sociais e políticas do Brasil, por conta de uma forte capacidade de planejamento conduzido de forma integrada, coordenada e estrategicamente estruturada.
Este planejamento incluía a capacitação e formação de mão de obra especializada.
Essa mão de obra como disse anteriormente, não foi formada e capacitada somente nas escolas de engenharia e escolas técnicas, mas também nas próprias empresas que mesmo privadas como a Light (Capital Canadense) e as estatais estaduais e federais que foram criadas nos meados do Século XX, tinham uma preocupação muito grande com a capacitação técnica de seus profissionais, nos mais diversos níveis de eletricistas, técnicos, engenheiros, administradores, economistas entre outros.
Para ilustrar esse compromisso com a formação técnica, vale destacar que não eram incomuns os intercâmbios internacionais, nos quais engenheiros brasileiros eram enviados ao exterior para capacitação em centros de excelência. No ambiente corporativo, era prática recorrente submeter os recém-contratados a programas formais de treinamento com duração superior a 12 meses, voltados ao domínio dos sistemas, tecnologias e padrões adotados pela empresa. Além disso, muitas organizações mantinham centros de treinamento próprios, onde não apenas formavam suas equipes,
mas também capacitavam profissionais de outros países da América Latina, consolidando o Brasil como referência regional em engenharia e operação de sistemas elétricos.
Essa mão de obra qualificada serviu de base para a formação do setor elétrico que vemos hoje. No entanto, vivemos atualmente um novo ciclo de transformações. Não saberia afirmar se enfrentamos desafios tão complexos quanto àqueles dos anos pioneiros do início do século XX, mas certamente atravessamos uma mudança profunda de paradigmas — marcada pela incorporação de novas fontes de geração, tecnologias emergentes, novos perfis de carga e pela crescente demanda por equilíbrio entre desenvolvimento econômico e sustentabilidade ambiental.
Nesse contexto, torna-se evidente a necessidade de retomarmos uma abordagem de planejamento mais centralizado, estruturado e estratégico, capaz de promover a formação de uma nova geração de profissionais com o mesmo nível de excelência técnica e compromisso que marcaram os engenheiros que construíram os alicerces do setor elétrico brasileiro.
As empresas do setor elétrico, em minha opinião, precisam de forma coordenada, como fez a indústria no início dos anos 90 com a digitalização e a introdução da robótica/automação e novas tecnologias (a chamada indústria 4.0), formarem uma mão de obra que consiga fazer frente a este novo cenário, observando as lacunas de competência, formando e capacitando essa mão de obra para suportar esse futuro que já se apresenta.

ALGUNS CONCEITOS SOBRE GESTÃO POR COMPETÊNCIA
Extrai esse trecho de um Capítulo do Livro: As Pessoas na Organização.
O pesquisador francês Philippe Zarifian enfoca três mutações do mundo do trabalho que justificam a emergência do modelo de competências em lugar dos modelos de cargos e salários na gestão das organizações:
• A noção do evento: aquilo que ocorre de forma imprevista, não programada, vindo a perturbar o desenrolar “normal” do sistema de produção e ultrapassando a sua capacidade rotineira de




assegurar a autorregulação. Isso significa que a competência não pode estar contida nas precondições da tarefa; a pessoa precisa sempre mobilizar recursos para resolver as novas situações de trabalho.
• Comunicação: implica compreender o outro e a si mesmo, significa entrar em acordo com objetivos organizacionais, partilhar normas sobre sua gestão. A estrutura hierárquica baseada em caixinhas, com linhas de comunicação verticais, precisa ser substituída por organizações com fronteiras mais flexíveis, em que pessoas, áreas e empresas se comuniquem facilmente.
• A noção de serviço: cada vez mais essa noção precisa estar presente em todas as áreas e situações, não apenas direcionadas ao cliente externo, mas também ao cliente interno. Ninguém produz alguma coisa voltando-se para si mesmo, mas sim, destinando-a aos outros.
É nesse contexto que o modelo tradicional de organizar o trabalho e gerenciar pessoas, em minha opinião, não está mais de acordo com a realidade das organizações. Dessa maneira, entendo que é necessário substituir, como unidade básica de gestão, o cargo pelo indivíduo. O conceito de competência e o modelo de gestão de pessoas por competência ganham impulso tanto no mundo acadêmico como no empresarial.
“Competência” é uma palavra do senso comum, utilizada para designar uma pessoa qualificada para realizar alguma coisa.
Tendo em vista estes conceitos, registra-se a importância da capacitação técnica e a necessidade de um treinamento de forma coordenada pelo setor de tal forma que se reduzam as lacunas de competência. A indústria através do SENAI é um exemplo claro de modelo existente, realizando sempre estudos e diagnósticos dos cenários das novas tecnologias, capacitando e formando profissionais com conhecimento aplicado para os diversos segmentos da indústria, com as mudanças tecnológicas em andamento o setor de energia elétrica poderia fazer algo semelhante, obviamente customizando e adequando as suas necessidades e nível de complexidade.
Diante desse cenário, fica evidente que o fortalecimento do setor elétrico depende de uma abordagem mais moderna e estratégica na formação de seus profissionais. Superar o modelo baseado apenas em cargos e atribuições fixas, e investir em competências adaptativas, comunicação transversal e orientação ao serviço, são movimentos essenciais para lidar com a crescente complexidade tecnológica e regulatória do setor. Assim como a indústria atua de forma proativa, o setor elétrico pode, e deve, construir um modelo próprio, estruturado e contínuo de formação técnica, alinhado às demandas atuais e futuras da transição energética.
Nesta segunda parte, iremos registrar as experiências vivenciadas e reflexões da Consultora Débora Rangel Celeti, somada aos resultados de sua pesquisa recente sobre diversos temas envolvendo RH dentro do setor elétrico.
\REFLEXÕES SOBRE TREINAMENTO, TURNOVER E ABSENTEÍSMO NO SETOR
Ao longo da minha trajetória em RH, especialmente nos últimos cinco anos atuando em consultorias especializadas no setor elétrico, tenho observado padrões que merecem destaque e reflexão.
O setor de energia, especialmente o segmento de transmissão, enfrenta um desafio relevante: a dependência excessiva da contratação de profissionais já prontos no mercado. A formação interna, em ciclos mais curtos e alinhados às necessidades específicas do setor, poderia suprir a demanda crescente por técnicos, engenheiros e operadores preparados para lidar com as novas tecnologias digitais, operação remota, exigências ambientais e sociais cada vez mais complexas, e a pressão por produtividade e segurança.
Um levantamento recente realizado pela FESA Executive Search (2025) revelou dados importantes:
• O setor de energia elétrica apresenta turnover médio anual de 16,65%, sendo mais elevado em áreas técnicas e de projetos;
• O absenteísmo, especialmente em áreas operacionais, registra médias entre 3% e 4%, influenciado por deslocamentos frequentes, condições de trabalho em locais remotos e estresse físico e mental.
As causas principais do turnover apontadas incluem:
• Falta de perspectiva clara de carreira e desenvolvimento estruturado;
• Questões relacionadas à saúde mental;
• Salários defasados frente à inflação e à concorrência intersetorial;
• Ausência de treinamento técnico consistente, que gera insegurança e sobrecarga sobre os profissionais mais experientes.
Esses dados reforçam a urgência de um planejamento setorial e empresarial robusto para o desenvolvimento contínuo de competências — um movimento que deve se inspirar em experiências exitosas de décadas anteriores, como os programas do SENAI para a indústria.
Vale destacar que a pesquisa contemplou diferentes segmentos do setor elétrico, além de transmissão, incluindo comercialização, geração distribuída e centralizada, consultorias, distribuidoras, órgãos técnicos. Essa ampla abrangência permite compreender que o turnover é multifacetado e varia conforme o contexto, modelo de negócio e perfil da empresa.
Além disso, o ambiente tradicional do setor, marcado por estruturas hierárquicas rígidas e baixa inovação, tende a aumentar o desengajamento, especialmente entre profissionais das gerações mais jovens que buscam agilidade, propósito e desenvolvimento.
Outro ponto crítico é o envelhecimento da força de trabalho, que agrava a necessidade de sucessão e retenção de talentos, em um


PAINÉIS DE DISTRIBUIÇÃO DE BAIXA TENSÃO CLASSE 750/6.300A/1.000V ATÉ ICC DE 80kA
LINHA NOTTABILE ®














6.300A IP-55 -
Instalação de barramentos blindados; Estudos de energia incidente; Comissionamento e startup de painéis em obra; Sensor de monitoramento SMART GIMI;
Retrofit em painéis elétricos de baixa e média tensão; Parametrização e comissionamento de relés de proteção; Manutenção de cabines primárias, painéis de baixa tensão, barramentos blindados.





cenário em que aposentadorias precoces também têm ocorrido por busca de qualidade de vida ou incentivos específicos.
A competição por profissionais qualificados é intensa, especialmente com setores mais dinâmicos como tecnologia, onde a atração e retenção são mais facilitadas. Contudo, há uma tendência crescente de aproximação entre esses setores, com a incorporação de perfis tecnológicos ao setor de energia, impulsionada pela digitalização e pela transição energética.
O fator salarial, embora relevante, não é o único motivador. Profissionais buscam equilíbrio entre remuneração, desenvolvimento, qualidade de vida e propósito.
Os cargos mais impactados pelo turnover incluem engenheiros de operação, manutenção e projetos, especialistas em tecnologia e inovação, gestores técnicos, profissionais comerciais e de ESG — setores críticos para a transformação e sustentabilidade do negócio.
Para enfrentar esses desafios, as empresas de energia têm adotado boas práticas de RH, como programas customizados de desenvolvimento, gestão inclusiva, foco em saúde mental e bemestar, benefícios flexíveis e uso de tecnologia para gestão de pessoas.
Também cresce a percepção de que a gestão baseada em dados, com conhecimento profundo do perfil dos colaboradores, é fundamental para aumentar a efetividade das ações e reduzir o turnover.
Por fim, a flexibilização do trabalho, com modelos híbridos e pacotes modernos de benefícios, tem impacto positivo no engajamento, embora o foco principal deva ser o cuidado com a saúde mental e o desenvolvimento de uma cultura organizacional alinhada às demandas contemporâneas.
A história do setor elétrico brasileiro demonstra, com clareza, que, neste ecossistema, seu desenvolvimento sempre esteve diretamente associado à formação de profissionais qualificados e à capacidade de planejamento técnico de longo prazo. Hoje, em meio a um novo ciclo de transformações marcado pela digitalização, transição energética, novas tecnologias e demandas sociais complexas, esse fator volta a ocupar o centro do debate.
O tema da capacitação e formação de mão de obra é, por natureza, multifacetado e desafiador. Envolve interesses diversos, distintas esferas institucionais e exige um olhar verdadeiramente integrado de todo o ecossistema do setor de energia elétrica. Ainda que existam iniciativas importantes promovidas por universidades, centros de pesquisa, associações e entidades de classe como: ANEEL, ONS, CCEE Academy, Cepel, Instituto ABRATE e ABDIB entre outras, essas ações ainda ocorrem de forma fragmentada, refletindo as necessidades específicas de cada
agente, mas deixando lacunas importantes no desenvolvimento coordenado de competências.
Torna-se, portanto, urgente a construção de uma estratégia de formação que transcenda fronteiras institucionais, com base em um planejamento setorial estruturado, voltado para as reais demandas da operação, da manutenção, do projeto e da gestão no setor elétrico. Essa visão deve abranger disciplinas como modelagem computacional, engenharia de subestações e linhas de transmissão, sistemas de proteção e automação, digitalização, gestão de ativos, confiabilidade, ESG e inovação, entre outras especialidades essenciais para a sustentabilidade do setor.
Como bem observado na contribuição da especialista em RH, os desafios vão além da técnica: lidamos com altos índices de turnover, absenteísmo, desengajamento geracional e pressão por propósito e equilíbrio, além de um visível envelhecimento da força de trabalho. Formar não apenas mais profissionais, mas melhores profissionais, requer ambiente organizacional mais atrativo, aprendizado contínuo, desenvolvimento de lideranças técnicas e uma cultura de valorização da excelência.
O setor industrial já experimentou soluções coordenadas por meio de diversas iniciativas setoriais, com bons resultados. O setor elétrico, com sua complexidade regulatória, tecnológica e social, pode e deve inspirar-se nessa lógica para construir um modelo próprio de capacitação articulada, conectando concessionárias, empresas de engenharia, construtoras, fabricantes, entidades reguladoras e centros de conhecimento.
Essa abordagem integrada permitirá não apenas atender à demanda quantitativa por profissionais, mas sobretudo elevar a qualidade técnica e estratégica da força de trabalho. O resultado esperado será um setor de transmissão mais resiliente, eficiente e preparado para liderar os próximos passos da transição energética, entregando empreendimentos com mais qualidade e serviços de O&M com maior valor agregado à sociedade brasileira.
Acompanhem os próximos capítulos do nosso fascículo, Transmissão: Caminhos da Energia. Até lá!
*Débora Rangel Celeti é especialista e consultora em Recursos Humanos, Associate & Partner da FESA Group, graduada em Administração de Empresas, com pós-graduação em Gestão Estratégica de Pessoas pela Universidade Presbiteriana Mackenzie e MBA em Recursos Humanos pela USP. Possui mais de 15 anos de experiência em Talent Acquisition, DHO e implantação de políticas de RH, atuando em empresas nacionais e multinacionais nos setores de Energia, Construção Civil, Agronegócio, Seguros e Terceiro Setor. Atua no setor de energia e infraestrutura conduzindo projetos de recrutamento e seleção para posições estratégicas, em todos os subsetores.

Soluções completas em proteção, controle e monitoramento de subestações.






Ao longo do ano, este fascículo reunirá uma coletânea dos melhores artigos apresentados durante o Congresso de Inovação na Distribuição de Energia - CIDE, realizado pelo Grupo O Setor Elétrico, em Parceria com a Abradee, no Transamerica Expo Center, em São Paulo, entre os dais 5 e 6 de junho de 2024.
Análise de eventos climáticos severos sob a perspectiva da resiliência de redes de distribuição
Sérgio Barbosa, Sinapsis Inovação em Energia
Ana Gabriela Benitez, Sinapsis Inovação em Energia
Daniel Perez Duarte, Sinapsis Inovação em Energia
Marcelo Pelegrini, Sinapsis Inovação em Energia
Anton Schwyter, Sinapsis Inovação em Energia
No Brasil, a qualidade do serviço é avaliada por limites de indicadores de continuidade individuais e coletivos e é incentivada por mecanismos como o Ranking da Continuidade, compensações quando da violação dos limites individuais, limitação da distribuição de dividendos e a Componente Q do Fator X (ANEEL, 2019). É importante destacar que os limites estabelecidos devem ser balizados de maneira a proporcionar uma qualidade do serviço de eletricidade adequada, sem, por outro lado, exigir investimentos muito elevados que não possam ser suportados pela tarifa de fornecimento.
A classificação de ocorrência por Dia Crítico e a ISE buscam cobrir situações atípicas geralmente motivadas por eventos climáticos, e possuem métricas objetivas para seu enquadramento, conforme definições dos Módulos 1 e 8 do PRODIST
É de se destacar que embora haja expurgo destes eventos dos indicadores de continuidade coletivo tradicionais, o Dia Crítico é passível de pagamento de compensação, caso a interrupção dure mais do que um determinado limite, mensurado pela Duração da Interrupção Individual Ocorrida em Dia Crítico (DICRI). Os eventos classificados como ISE, por sua vez, são preponderantes ao Dia Crítico e são totalmente expurgados. Além disso, conforme
definições da REN 664/2015, as evidências do evento que tenha gerado ISE devem ser armazenadas por meio de relatório digital, que deve ser disponibilizado no site da distribuidora em local de livre e fácil acesso em até dois meses após o período de apuração das interrupções. Os relatórios de ISE se colocam, pois, como uma ótima ferramenta para avaliação e discussão dos impactos causados por interrupções mais extensas do sistema de distribuição.
Na temática de resposta a eventos climáticos severos, verifica-se, internacionalmente, grande mobilidade dos agentes do setor elétrico em tornar a rede mais resiliente (CABINET OFFICE, 2011; NERC, 2012; EPRI, 2013; EEI, 2014; CIRED, 2018). Estes eventos têm se tornado cada vez mais intensos e frequentes, o que é previsto por estudos sobre mudanças climáticas, que anteveem alterações relacionadas à frequência, à intensidade e à distribuição espacial e temporal dos regimes de ventos, da temperatura, da precipitação e da circulação de oceanos (BID, 2021; IPCC, 2022).
De uma maneira geral, evidencia-se o interesse dos agentes do setor em reforçar a infraestrutura para absorver o impacto, bem como adotar alternativas operacionais que diminuam o tempo de restabelecimento do fornecimento de energia (JUFRI et al., 2019), a partir do conceito de resiliência.




Este trabalho se propõe a avaliar o estado atual da resiliência das redes elétricas de distribuidoras brasileiras selecionadas em resposta a eventos caracterizados como ISE, bem como identificar alternativas regulatórias que poderiam ser aplicadas para incentivar este tipo de investimento.
Os eventos climáticos severos têm se tornado cada vez mais frequentes e intensos, em decorrência do cenário global de mudanças climáticas, que preveem alterações relacionadas à frequência, à intensidade e à distribuição espacial e temporal dos regimes de ventos, da temperatura, da precipitação e da circulação de oceanos (IPCC, 2022). Esse tipo de evento tem potencial para comprometer setores de infraestrutura essenciais de maneira prolongada, afetando, por exemplo, o fornecimento de eletricidade.
Num dos eventos recentes de maiores proporções em território nacional, o ciclone bomba de 2020, mais de 3,2 milhões de Unidades Consumidoras (UC) na região Sul (COPEL, 2020; CELESC, 2020; CEEE, 2020) foram afetadas.
4 - METODOLOGIA/MÉTODO PROPOSTO
O conceito de resiliência é bastante amplo e sua aplicabilidade não é restrita ao setor elétrico, sendo adaptável a quase qualquer campo de interesse. De maneira sucinta, resiliência é a capacidade de um sistema de absorver e de se recuperar rapidamente a uma perturbação (JUFRI et al., 2019). Uma rede elétrica resiliente pode ser
definida como aquela que possui quatro propriedades fundamentais: antecipação, absorção, recuperação e adaptabilidade após eventos extremos (CABINET OFFICE, 2011).
De maneira mais detalhada:
• Antecipação: é a aptidão de se evitar danos causados por eventos climáticos extremos;
• Absorção: é a capacidade de se minimizar os efeitos dos eventos severos;
• Recuperação: remete à habilidade de reconstrução das funcionalidades danificadas pelo evento climático;
• Adaptabilidade é o processo de incremento da capacidade do sistema a partir dos aprendizados decorrentes dos resultados de eventos passados.
Historicamente, as redes elétricas têm sido planejadas para suportar um número limitado de contingências, de elevada probabilidade, curta duração e cujo impacto é restrito espacialmente (ESPINOZA et al., 2016; MORENO et al., 2020). Com efeito, os indicadores de confiabilidade avaliam o estado estático da rede elétrica, contabilizando a frequência e a duração de interrupções causadas por falhas comuns (JUFRI et al., 2019). Para a avaliação da resiliência, por outro lado, captura-se também a transição entre os estados, ou seja, considera-se o tempo empregado para a reconstrução da infraestrutura (JUFRI et al., 2019). Em adaptação ao trabalho de Bruneau et al. (2003), é comum mensurar a avaliação temporal do impacto de um evento climático extremo por meio de um trapézio de resiliência (Figura 1), que apresenta a perda de funcionalidade de um sistema devido a danos e perturbações, bem como o padrão de restauração e recuperação ao longo do tempo.





Figura 1 - Trapézio de resiliência
Fonte: Panteli et al. (2017)
Medidas de melhoria de resiliência buscam, na visão desta métrica de avaliação, diminuir a área do trapézio de resiliência, tanto reduzindo o impacto causado pelo evento quanto o tempo de recuperação. Com base em literatura internacional, sugerem-se soluções tecnológicas para maximizar a resiliência de infraestrutura (absorção do impacto) e operacional (recuperação da rede), que podem ser aplicadas a cada caso analisado.
Neste trabalho, a avaliação das redes elétricas de distribuidoras selecionadas frente ao conceito de resiliência utiliza os dados históricos de relatórios de eventos ISE para construção qualitativa do trapézio de resiliência. Tendo como motivação inicial o esforço dispendido para reconstrução da rede quando da ocorrência do ciclone bomba de 2020, que assolou a região Sul do país.
As análises desenvolvidas foram concentradas na quantificação do impacto causado pelas interrupções (via quantidade de UCs atingidas) e nos tempos de restabelecimento da rede elétrica – utilizando os valores de tempo médio de preparação (TMP), de deslocamento (TMD) e de execução das equipes (TME). Para melhor visualização do impacto em cada distribuidora, a quantidade de UCs atingidas foram referidas por valores em pu, tendo como base o número de UCs faturadas e atendidas em BT ou MT do mês de outubro do ano anterior ao

período de apuração. Esses valores foram obtidos via SAMP (ANEEL, 2023) ou via relatórios digitais de ISE, sendo os valores efetivamente utilizados resumidos na Tabela 1.
Do ponto de vista regulatório, discutem-se três principais quesitos alvos para se aumentar a resiliência das redes: reforço de rede, desenvolvimento de maior flexibilidade do sistema e intensificação da eficácia de restauração.
O trapézio de resiliência apresentado na Figura 3 é baseado na definição de 3 Fases, conforme Panteli et al. (2017). A ordenada do gráfico foi mensurada pelo impacto em termos de UCs atingidas, em pu. No eixo das abscissas propôs-se a avaliação dos tempos de recomposição. Essa análise qualitativa foi baseada nos tempos médios (TMP, TMD, TME) em escala arbitrária que permita a comparação visual. Na Fase 1, considerou-se uma degradação linear em uma unidade de tempo arbitrária para todas as distribuidoras e para o evento do ciclone bomba de 2020. Na Fase 2, foram utilizados os tempos TMP e TMD somados; e na Fase 3 adotou-se uma recomposição linear em função de TME. Os valores utilizados são referentes à média de todos os anos avaliados (2018-2022) e os valores do ciclone bomba.
Do gráfico da Figura 3, pode ser observado que o ciclone bomba, por conta das suas proporções catastróficas, apresenta tempos de execução médios (em 10.452 interrupções) não tão elevados (aproximadamente 1 hora). Por outro lado, a magnitude do impacto (1,47 milhão de UCs atingidas) e a dificuldade logística para o despacho das equipes torna-se bastante evidente (elevado TMP).
Reforça-se novamente, que a análise do trapézio de resiliência é qualitativa e não se interessa em reproduzir de maneira fiel a evolução temporal da reconstrução, apenas pretende apresentar de maneira visual uma compilação dos eventos enquadrados como ISE, permitindo a comparação de desempenho entre as distribuidoras e possivelmente indicando
Tabela 1 - UCs faturadas e atendidas em BT ou MT (outubro do ano anterior ao período de apuração)





pontos a serem melhorados.
Do ponto de vista da discussão regulatória, as ações referentes à melhoria de resiliência da rede podem ser divididas em três grandes partes (BID, 2021):
• Reforço de rede: via abordagens tradicionais, como substituição de postes, enterramento de ativos e desenvolvimento de defesas contra inundações;
• Incentivos para desenvolver maior flexibilidade do sistema: por meio de investimentos em redundância, reconfiguração de rede, recursos de energia distribuída (RED), microrredes e participação dos clientes para limitar o impacto de eventos extremos (através de programas de resposta da demanda);
• Intensificação da eficácia de restauração: com o aumento de recursos para reduzir ao mínimo o tempo de interrupção
6 - CONCLUSÕES
Em suma, o presente trabalho buscou discutir a adequabilidade dos mecanismos regulatórios existentes para incentivar o investimento das distribuidoras em estratégias de resiliência, como resposta ao aumento da frequência e intensidade de eventos climáticos severos – a qual é projetada por estudos e verificada na prática em eventos como ciclones-bomba na região Sul do país.
Com base em relatórios de eventos que geraram ISE foram analisados o desempenho de distribuidoras selecionadas em termos de impacto e tempo de recomposição do sistema, mensurado pelo trapézio de resiliência. Utilizando-se de literatura internacional como suporte, sugerem-se soluções tecnológicas e recursos operacionais que poderiam ser implementados para melhoria da resiliência das redes elétricas.
Destaca-se ainda que, enquanto focado na garantia da qualidade do serviço, expressa por indicadores de confiabilidade, a regulação brasileira até permite investimentos em resiliência, mas não os incentiva. Pautado nos quesitos alvos de reforço de rede, desenvolvimento de maior flexibilidade do sistema e intensificação da eficácia de restauração.

ANEEL. Agência Nacional de Energia Elétrica. Relatório de Avaliação de Resultado Regulatório nº 001/2019-SRD/ANEEL. Avaliação da Regulação Relativa às Interrupções em Situação de Emergência (ISE). Brasília, p. 33, 2019.
ANEEL. Agência Nacional de Energia Elétrica. 2023. SAMP - Sistema de Acompanhamento de Informações de Mercado para Regulação Econômica. Disponível em: <https://dadosabertos.aneel.gov.br/dataset/samp>. Acesso em: 20 set. 2023.
BRUNEAU, M.; CHANG, S. E.; EGUCHI, R. T.; LEE, G. C.; O’ROURKE, T. D.; REINHORN, A. M.; SHINOZUKA, M.; TIERNEY, K.; WALLACE, W. A.; VON WINTERFELDT, D. A framework to quantitatively assess and enhance the seismic resilience of communities. Earthquake spectra, v. 19, n. 4, p. 733-752, 2003.
BID. Banco Interamericano de Desenvolvimento. Contrato BR-T1422-P002. Implementação de tecnologias inovadoras para melhoria de qualidade da distribuição considerando resiliência às mudanças climáticas. Relatório Final, p. 127, maio 2021.
CABINET OFFICE. Keeping the country running: Natural hazards and infrastructure. Improving the UK’s ability to absorb, respond to and recover from emergencies. Londres, Reino Unido: Cabinet Office, 2011. 98 p.
CEEE. Companhia Estadual de Energia Elétrica. 2023. Interrupção em Situação de Emergência – ISE. Disponível em: <https://ceee.equatorialenergia.com.br/ceee/ interrupcao-em-situacao-de-emergencia-ise>. Acesso em: 20 set. 2023.
CELESC. Centrais Elétricas de Santa Catarina. 2023. Relatórios de interrupção por situação de emergência. Disponível em: <https://www.celesc.com.br/rise>. Acesso em: 20 set. 2023.
CIRED. Congrès International des Réseaux Electriques de Distribution. Resilience of Distribution Grids – Working Group. CIRED, 2018. 107 p.
COPEL. Companhia Paranaense de Energia. 2023. Interrupção em Situação de Emergência. Disponível em: <https://www.copel.com/site/copel-distribuicao/ interrupcao-em-situacao-de-emergencia/>. Acesso em: 20 set. 2023.
EEI. Edison Electric Institute. Before and After Storm: A compilation of recent studies, programs, and policies related to storm hardening and resiliency. Washington D.C., EUA: EEI, mar. 2014. 530 p.
EPRI. Electrical Power Research Institute. Enhancing distribution resiliency: Opportunities for applying innovative technologies. Relatório técnico. Palo Alto, EUA: EPRI, jan. 2013. 20 p.
NERC. North American Electric Reliability Corporation. Severe Impact Resilience Task Force. Severe impact resilience: Considerations and recommendations. Relatório técnico. NERC, Atlanta, EUA, 2012.
ESPINOZA, S.; PANTELI, M.; MANCARELLA, P.; RUDNICK, H. Multi-phase assessment and adaptation of power systems resilience to natural hazards. Electric Power Systems Research, v. 136, p. 352-361, 2016
GHOLAMI, A.; SHEKARI, T.; AMIRIOUN, M. H.; AMINIFAR, F.; AMINI, M. H.; SARGOLZAEI, A. Toward a consensus on the definition and taxonomy of power system resilience. IEEE Access, v. 6, p. 32035-32053, 2018.
IPCC. Intergovernmental Panel on Climate Change. Climate Change 2022: Impacts, Adaptation and Vulnerability. Contribution of Working Group II to the Sixth Assessment Report of the Intergovernmental Panel on Climate Change. Cambridge University Press. Cambridge University Press, Cambridge, UK and New York, NY, USA, 3056 pp., doi:10.1017/9781009325844.
JUFRI, F. H.; WIDIPUTRA, V.; JUNG, J. State-of-the-art review on power grid resilience to extreme weather events: Definitions, frameworks, quantitative assessment methodologies, and enhancement strategies. Applied Energy, v. 239, p. 1049-1065, 2019.
MORENO, R.; PANTELI, M.; MANCARELLA, P.; RUDNICK, H.; LAGOS, T.; NAVARRO, A.; ORDONEZ, F.; ARANEDA, J. C. From Reliability to Resilience: Planning the Grid Against the Extremes. IEEE Power and Energy Magazine, v. 18, n. 4, p. 41-53, 2020.
NERC. North American Electric Reliability Corporation. Severe Impact Resilience Task Force. Severe impact resilience: Considerations and recommendations. Relatório técnico. NERC, Atlanta, EUA, 2012
PANTELI, M.; TRAKAS, D. N.; MANCARELLA, P.; HATZIARGYRIOU, N. D. Power systems resilience assessment: Hardening and smart operational enhancement strategies. Proceedings of the IEEE, v. 105, n. 7, p. 1202-1213, 2017.
SHORT, T. A. Electric power distribution handbook. CRC press, 2014.
Um tema que ainda gera muitas dúvidas e discussões entre os profissionais das diversas áreas afins à NR10 é quanto ao conceito de “Trabalhador Capacitado” para intervenções em instalações elétricas descritas na Norma. O item 10.8 da NR10 que trata sobre “habilitação, qualificação, capacitação e autorização dos trabalhadores” reitera conceitos existentes quanto à necessidade de que esses profissionais sejam preparados especificamente para realizar as suas atribuições de natureza elétrica em cursos regulares.

A redação dada, inicialmente na Norma, em 1978, que exigia a formação técnica para trabalhar na área elétrica, sofreu alterações, concedendo tempo de cinco anos para que os trabalhadores ocupados com atividades em eletricidade tivessem tempo suficiente para receber qualificação e treinamento em cursos especializados. Em 1983, foi adotada a redação que determina a exigência de qualificação, e, no texto vigente desde 2004, reitera-se os conceitos, estabelecendo condições específicas para autorização de trabalhadores no exercício de suas atividades em instalações elétricas.
Importante esclarecer que a “autorização” é um processo administrativo, onde através de “anuência formal”, a organização deve autorizar os trabalhadores a realizarem atividades com intervenções em instalações elétricas, estabelecendo o limite de abrangência de cada trabalhador (vide item 10.8.5).
A NR10 admite como autorizados, “trabalhador qualificado”, “profissional habilitado” e “trabalhador capacitado”. Trabalhador Qualificado (vide item 10.8.1) é aquele que comprovar conclusão de curso específico na área elétrica, reconhecido pelo sistema oficial de ensino. Já o profissional legalmente habilitado (vide item 10.8.2), é aquele trabalhador previamente qualificado e com registro no competente conselho de classe.
Além dos trabalhadores que possuem qualificação através de formação técnica para trabalhar em área elétrica, A NR10 define a possibilidade de trabalhadores sem a referida formação, ou seja, que embora não tenha frequentado cursos regulares ou reconhecidos pelo sistema oficial de ensino, possam estar aptos ao exercício de atividades específicas, mediante a aquisição de conhecimentos e desenvolvimento de habilidades, sendo caracterizados como “trabalhador capacitado”, uma vez atendidos requisitos específicos:

10.8.3: É considerado trabalhador capacitado aquele que atenda às seguintes condições, simultaneamente:
a) receba capacitação sob orientação e responsabilidade de profissional habilitado e autorizado; e b) trabalhar sob a responsabilidade de profissional habilitado e autorizado.
10.8.3.1 A capacitação só terá validade para a empresa que o capacitou e nas condições estabelecidas pelo profissional habilitado e autorizado responsável pela capacitação.
Em resumo, capacitado é o trabalhador que embora não tenha formação através de cursos regulares ou reconhecidos pelo sistema oficial de ensino, pode tornar-se apto a realizar atividades específicas de intervenções em instalações, elétricas através de conhecimentos e habilidades adquiridas ao longo do tempo e através de “capacitação (treinamentos teóricos e práticos) que deverão ocorrer sob responsabilidade de um profissional legalmente habilitado (Engenheiro Eletricista) autorizado pela própria organização.
Este profissional legalmente habilitado e autorizado deve estabelecer as limitações de atividades a serem realizadas pelo capacitado e só poderá exercer as atividades sob responsabilidade de um profissional legalmente habilitado e autorizado, que não necessariamente seja o mesmo profissional que o capacitou.
O trabalhador capacitado só poderá exercer suas atividades conforme capacitação recebida na empresa que o capacitou e sob a responsabilidade de um profissional legalmente habilitado por ela autorizado. O processo de capacitação pode ser validado por outro profissional legalmente habilitado e autorizado, ou seja, em outro momento, que de forma intrínseca se tornará o responsável pelo processo de autorização citado.
Também é oportuno destacar que o termo “trabalhador capacitado” na NR10, se refere a pessoa que poderá ser autorizada, e o termo “capacitação”, em gênero, se refere ao processo de treinamento, ou seja, se aplica não somente para esse “trabalhador capacitado”.
INSTALAÇÕES ELÉTRICAS DE BAIXA TENSÃO | Por Paulo
Barreto
PISCINA, FONTE E CHAFARIZ E SEUS REQUISITOS NA NBR 5410


Assim como no caso de locais contendo banheira ou chuveiro (banheiros), também em piscinas, fontes, chafariz e locais análogos, a NBR 5410 apresenta requisitos específicos, visto que o risco de choque elétrico aumenta, devido à redução da resistência do corpo humano e ao contato com o potencial da terra.
Para essas situações, o projeto de norma da revisão da NBR 5410 não introduziu modificações relevantes, além da inclusão de fonte e chafariz. Para o caso de piscinas, mantêm-se os volumes 0, 1 e 2, conforme fig. 1. Observando-se que os volumes se estendem às regiões de plataformas de salto, trampolins e lava-pés. E para cada um desses volumes, há requisitos específicos para a instalação e especificação de componentes elétricos.


Por exemplo, no interior e no entorno da piscina (volumes 0 e 1), desejando prover iluminação, os aparelhos devem ser alimentados por SELV – extrabaixa tensão de segurança, com tensão limitada a 12 V, em corrente alternada. O detalhe é que essa extrabaixa tensão não deve ser obtida por qualquer tipo de transformador, mas sim por transformador “especial” – com separação elétrica assegurada por meio de ensaio, conforme estabelecido na norma IEC 61558-2-6.
Embora os requisitos de segurança em piscinas estejam fixados desde a edição de 1980 da NBR 5410, ainda é enorme a quantidade de não conformidades encontradas nas inspeções. E por conseguinte, de risco de morte aos usuários. Tanto em residências, quanto em condomínios e clubes esportivos.
Outro fator também por vezes negligenciado nesses locais é o grau de proteção IP a que os componentes devem possuir, de modo a não permitir o ingresso em seu interior, de corpos sólidos (poeira) e de água. Para tanto, deve-se observar as influências externas AD e AE (seção 4.2.6 da edição atual da NBR 5410). No caso de fonte e chafariz, não há o volume 2 (fig. 2).
PONDERAÇÕES
Com o aumento das conexões entre geração distribuída e as concessionárias de energia elétrica, penso que um ponto importante da ABNT NBR 14039 que deve ser considerado e discutido na Comissão de Estudos CE 003.064.011 do COBEI/ABNT, criados para atualização da norma.
De acordo com a subseção 5.3.1.2 da ABNT NBR 14039:2021, todas as conexões em MT com capacidade instalada superior a 300kVA devem ser realizadas por meio de disjuntor de média tensão, protegido por relé secundário com as proteções de sobrecorrente e curto-circuito (ANSI 51 e ANSI 50, fase e neutro), o que também se aplicada às conexões de minigeração, desde que proteções adicionais sejam implementadas no relé de proteção. Este subitem é complementado por 5.5 e 5.6 que prescrevem a implementação de funções de proteção de subtensão (ANSI 27), sobretensão (ANSI 59) e falta de fase (ANSI 47) para controle das sobretensões em MT.
A versão atual dessa norma oferece – em um caso específico - uma alternativa (considerada mais simples e econômica) às exigências do parágrafo anterior para a conexão em MT executada por disjuntores. A subseção 5.3.1.1 prescreve que, no caso de uma subestação unitária em MT com potência instalada menor ou igual a 300 kVA – isto é, entre 75 kW e 276 kW – o projetista pode optar pelo uso de uma proteção primária composta por chave seccionadora trifásica e fusíveis, sendo neste caso, obrigatória a instalação de disjuntor tripolar na saída BT do transformador de potência.
Devemos lembrar que, nos dois casos (5.3.1.1 e 5.3.1.2), essa conexão em MT é realizada normalmente através de um transformador de potência com o primário em Δ (delta)e o secundário em Y aterrado, com o objetivo de confinar no lado de BT as correntes de sequência zero oriundas de uma falta fase-terra no secundário.
Obviamente, a proteção para subtensão (27), sobretensão (59) e falta de fase (47) não podem ser implementadas na instalação simplificada (subseção 5.3.1.1), porque não há dispositivo de desligamento rápido para ser acionado pela proteção daquelas

funções. Por isso, o projetista deve analisar com precaução o uso dessa alternativa com a instalação de chave seccionadora com fusíveis, uma vez que a instalação pode ser danificada por alterações na tensão do sistema.
Como pontuado no início deste texto, a utilização cada vez maior da geração distribuída com o grande aumento na implementação de minigeração fotovoltaica (FV) - o Brasil atingiu neste mês a marca de 40 GW! - faz com que a possibilidade de simplificação prescrita em 5.3.1.1 seja revista ou não aplicável. Em sua maioria, os sistemas FV são instalados através de um transformador de potência Δ/Y aterrado (transformador de acoplamento) em paralelo com a concessionária, seja para alimentação no período da noite (no caso de não existirem baterias no sistema FV), seja como suprimento de picos de consumo. Esse tipo de conexão requer o uso de mais funções de proteção do que as habituais 50/51 fase e neutro. Mesmo considerando que a função de inversão de potência (ANSI 32) possa ser executada pelo inversor (que está instalado no lado BT), existe a necessidade da aplicação de funções de proteção adicionais no lado de MT. Uma delas, é a proteção de deslocamento do ponto neutro no circuito primário do transformador de potência (ANSI 59N).
Assim, caso a minigeração alimente um curto-circuito faseterra na rede de média tensão, após a atuação do sistema de proteção da concessionária de energia, ocorrerá um ilhamento, sem uma referência de terra. Nessa condição, as fases sãs da rede de média tensão serão submetidas à tensão fase-fase do sistema, o que pode causar danos aos equipamentos da instalação.
O apresentado nos parágrafos acima é razão suficiente para a subseção 5.3.1.1 ser modificada (ou quem sabe extinta na revisão da norma), evidenciando que todas as conexões de minigeração com a rede de média tensão, independente da potência instalada, devem também ser realizadas através de disjuntor de média tensão, acionado por relé secundário, com proteções 50/51 fase e neutro, 27, 59, 47, 67 e 59N, evitando danos à instalação e ao próprio sistema da concessionária de energia elétrica.


*Paulo Edmundo Freire da Fonseca é engenheiro eletricista e Mestre em Sistemas de Potência (PUC-RJ). Doutor em Geociências (Unicamp), membro do Cigre e do Cobei e também atua como diretor na Paiol Engenharia.

A estação chuvosa na região de Porto Velho vai de novembro a abril, com chuvas acima de até 300 mm por mês; de abril a novembro vem a estação seca, com chuvas significativamente menores (Figura 1). No período das chuvas o solo permanece úmido, não somente devido à precipitação, mas também porque a evaporação na superfície do solo funciona como uma bomba, puxando para cima a umidade das camadas de subsuperfície. No período seco a redução das águas da chuva e da evaporação mantém a camada superficial do solo mais seca.
E qual é o efeito na resistividade do solo? O gráfico da Figura 2 mostra as curvas médias de resistividades aparentes do solo no período seco (azul) e no período úmido (verde e vermelha). A curva amarela mostra a curva média geométrica de resistividades aparentes entre os dois períodos. Verifica-se que do período úmido para o seco, a resistividade na superfície do solo aumenta da ordem de uma década; porém, praticamente igualando a uma profundidade da ordem de 16 m de profundidade (considerando a profundidade de penetração da ordem de 50% do espaçamento a, para o arranjo de Wenner). Pode-se supor que nesta área, o topo da camada de subsolo permanentemente saturada está a 16 m de profundidade, o que resulta que a partir desta profundidade não é de se esperar sazonalidade nos valores de resistividades médias. Acima desta profundidade o topo do freático varia ao longo do ano, justificando as diferenças entre as duas curvas.
É de se esperar que a curva relativa ao período seco esteja um pouco desviada para cima, devido ao efeito do solo superficial seco, que limita a injeção da corrente de medição no solo e amplifica os efeitos de distorção das medições, especialmente os desvios estáticos.
Verifica-se uma variação significativa da resistividade superficial entre os períodos seco e úmido, e é aqui que surge o dilema – Qual é a resistividade superficial a se considerar para o cálculo das tensões máximas toleráveis de passo e de toque?
Sendo disponíveis as duas curvas (tempo seco e úmido), é sempre possível fazer dois estudos e dimensionar um sistema de aterramento que seja seguro para as duas condições. Porém, na prática normal dos projetos, somente se tem uma curva, que é a obtida a partir das campanhas realizadas no momento que a área do empreendimento está disponível para a campanha geofísica, antes do início da construção. E este momento é determinado pelo cronograma da obra, e não em função de período seco ou úmido.
Um outro condicionante do projeto de aterramento é que muitos clientes solicitam uma semana sem chuvas antes de serem feitas as sondagens geoelétricas. Aí reside o que eu interpreto como um equívoco – a ilusão que se a resistividade obtida para o modelo geoelétrico for mais elevada, então o projeto do sistema de aterramento vai ser mais conservativo.
Será? Se a resistividade do solo for mais elevada, a resistência da malha vai ser igualmente mais elevada. Assim, no cálculo do split, a parcela da corrente que efetivamente a malha vai descarregar no solo vai ficar menor, em função do divisor de corrente entre o aterramento local (malha de aterramento) e o remoto (circuitos terra das LTs que alimentam a subestação). Outro parâmetro que muda – Se a camada superficial de solo tem resistividade mais alta, então os valores de tensões de passo e de toque máximos toleráveis também serão mais elevados.
Tem-se, portanto, que o critério de fazer as medições com a condição de solo mais seco não significa, necessariamente, que o projeto da malha de aterramento vai ser mais conservativo.
A questão de medir com o solo seco ou úmido tem muito a ver com o tipo de solo. Se for uma região de resistividades mais elevadas (como ocorre no Nordeste ou no centro-Oeste), é até preferível fazer a medição com o solo úmido. Aliás, se a resistividade do solo é elevada (ρ > 1000 Ωm), é recomendável molhar a linha de medição com o auxílio de um caminhão pipa (já fiz um artigo anterior desta coluna sobre esta prática). Em solos arenosos, que tem maior permeabilidade, no dia seguinte

da chuva o solo vai estar no máximo úmido, e normalmente dá para fazer as medições (é até bom, porque medir em solo arenoso seco é quase impossível, devido às elevadas resistividades). Em solos argilosos é mais complicado, pois os poros da argila fecham quando saturados, restringindo a drenagem do terreno, que vai secar apenas por evaporação. Neste caso, não é recomendável fazer as medições com o solo empoçado.
Constata-se que existem compensações – se as resistividades

Figura 2: curvas médias de resistividades aparentes válidas para os períodos úmido (verde e vermelha) e para o período seco (azul), assim como a curva média geométrica (amarela)
são mais elevadas a malha vai descarregar no solo uma parcela menor da corrente de falta, e as tensões toleráveis de passo e de toque vão ser mais elevadas. Se as resistividades são mais baixas ocorre o contrário.
Fica aqui a minha sugestão de critério para lidar com esta situação – faz a campanha geofísica no momento que o cronograma mandar. Não medir com chuva ou com o solo empoçado; se o solo estiver apenas úmido pode medir.

Mayara Helena é engenheira eletricista e mestra em Engenharia Elétrica e de Telecomunicações (PPGEET). Atua com projetos e comissionamento de sistemas de proteção e automação de subestações, com ênfase na Norma IEC 61850. Integra o CIGRE-Brasil, nos Comitês B5 e D2 e é coordenadora da comunidade NGN no Comitê de Estudo D2 – Sistemas de Informação, Cibersegurança e Telecomunicações.

Nos últimos anos, o setor elétrico brasileiro tem passado por transformações significativas. Não somente no modelo de geração e transmissão de energia, mas também na maneira como o empreendimento é construído, o projeto é gerado, as informações são tratadas e utilizadas ao longo de todo o ciclo.
Atualmente, projetos civis, elétricos ou eletromecânicos são concebidos em ambientes digitais, com modelagem tridimensional, simulações térmicas, elétricas e estruturais. A análise de ocorrências operacionais já começa a ser auxiliada por modelos de inteligência artificial, capazes de identificar padrões de falhas em bancos de dados históricos e sugerir medidas com maior agilidade. Todas essas ferramentas digitais permitem visualizar e planejar cada etapa de uma subestação e linha de transmissão antes mesmo de sua construção.
No contexto de sistemas de proteção e controle, o emprego de redes de comunicação mais robustas nas subestações com tráfego de informações por meio de protocolos padronizados e a implementação de infraestruturas mais sofisticadas, tem provocado uma grande revolução. Nesse panorama, são necessárias novas arquiteturas de projetos elétricos e de
redes, estudo de segurança cibernética e uma integração cada vez maior entre os dispositivos de campo até os sistemas de supervisão. O ciclo de vida dos empreendimentos está sendo redesenhado: do projeto à operação em campo, tudo se torna mais digital, conectado e automatizado.
Apesar deste avanço, o setor ainda, em grande parte, anda com um legado robusto e confiável apoiando-se em sistemas analógicos e ainda equipados com tradicionais relés eletromecânicos e infraestrutura de comunicação limitada ou inexistente, que fazem parte da operação do sistema. Esse modelo tradicional, mesmo com diversas vantagens, começa a mostrar sinais claros de esgotamento diante das novas exigências de informações mais detalhadas, interoperabilidade com outros sistemas e flexibilidade na operação e expansão.
Nesse cenário de mudança, a transição digital já começou a se refletir em ações regulatórias. Um exemplo concreto dessa mudança é a atuação do Operador Nacional do Sistema Elétrico (ONS), que revisou o Procedimento de Rede Submódulo 2.11, incorporando novos requisitos voltados para subestações que utilizam meios digitais de comunicação. Ademais, desde 2021,


está em vigor a Rotina Operacional RO-CB.BR.01, que define os controles mínimos de segurança cibernética a serem implementados tanto nos centros de operação dos agentes quanto nos equipamentos de infraestrutura.
De forma paralela, empresas, universidades e centros de pesquisa têm unido esforços em projetos de pesquisa aplicada voltados à transição digital do setor elétrico. Essas iniciativas envolvem desde testes em ambientes simulados de campo, simulações de falhas em redes de comunicação e ataques cibernéticos controlados, até ensaios de interoperabilidade entre equipamentos e avaliações de desempenho de diferentes topologias de rede. Esses estudos têm se mostrado necessários para antecipar falhas, refinar diretrizes técnicas, acelerar a curva de aprendizado e produzir documentação que sustente a validação dos projetos antes de sua implementação em campo.
Ainda assim, o processo de transformação está longe de ser concluído. Como todo processo disruptivo, ele exige profissionais preparados para questionar, testar, propor e construir. O momento é desafiador, mas também fértil.
A evolução tecnológica, por si só, não garante resultados. Ela exige mudança de cultura, capacitação contínua e validação em campo. O setor agora enfrenta um novo paradigma: formar e manter profissionais capazes de dominar essas novas ferramentas e adaptá-las ao contexto brasileiro. O sucesso da digitalização não depende apenas da tecnologia, mas da capacidade técnica de aplicá-la com segurança, visão e responsabilidade.
Prova disso são os dados apresentados recentemente em comitês de estudo e em pesquisas internas do ONS. Foram registrados 110 eventos de falhas em subestações relacionadas à digitalização, com um aumento superior a 200% no número de ocorrências entre janeiro de 2024 e fevereiro de 2025, em comparação ao período de 2014 a 2023. Esses números escancaram um gargalo: a lacuna na qualidade dos projetos de concepção, no treinamento das equipes de campo e na estruturação de grupos responsáveis por operação e manutenção. Em outras palavras, ainda há muito o que evoluir na camada 8 1.
Estudar a fundo temas ligados à transição energética, infraestruturas digitais e novos modelos operacionais, independentemente da área de atuação, deixou de ser apenas uma tendência —é, hoje, uma forma concreta de assumir protagonismo na construção do setor elétrico do presente e futuro. Ratifico, que essa transição não se limita a empreendimentos de subestações e usinas ou aplicação de Normas padronizadas como a IEC 61850. A transformação em curso vai além: novas tecnologias já estão sendo incorporadas em projetos civis, sistemas eletromecânicos, análises de viabilidade econômica, modelagens de investimento, integração com o mercado livre de energia, entre muitas outras frentes do setor elétrico. Trata-se de uma mudança sistêmica, interdisciplinar e cada profissional tem um papel essencial nesse processo desde o campo até o escritório.
A transformação digital exige um novo perfil profissional. Não basta entender engenharia elétrica; é preciso transitar entre redes, dados, protocolos de comunicação e análise de riscos. O novo perfil de engenheiro tem um papel essencial: traduzir complexidade técnica em soluções conectadas. São essas pessoas que vão projetar sistemas elétricos capazes de se autodiagnosticar, adaptar-se em tempo real e responder a eventos com precisão.
Se o futuro do setor elétrico brasileiro segue, de forma inevitável, rumo à digitalização, então estudar esse movimento é mais do que acompanhar uma tendência, é assumir um papel ativo nesse processo.
Notas da Autora:
1- A camada 8, no contexto das tecnologias de informação e comunicação, refere-se à camada dos usuários ou humanos que interagem com as máquinas e redes.
raios à vista
Sua rede está blindada?
Setembro marca o retorno das tempestades, conheça a Linha DPS Flex e proteja de forma simples seus equipamentos.
ETHERNET, CÂMERAS, CENTRAIS TELEFÔNICAS; COMUNICAÇÃO RS232, 235, 485; REDE CA ATÉ 1000W; REDE CC ATÉ 125V;
INSTALAÇÃO RÁPIDA, PROTEÇÃO POR ANOS.
SAIBA MAIS

Abradee lidera expedições internacionais para verificar práticas que possam ser adaptadas ao Brasil

Para conhecer experiências e compartilhar informações, a Associação Brasileira de Distribuidores de Energia Elétrica (Abradee) atua em parceria com organizações internacionais, adaptando práticas ao contexto do Brasil. O sistema elétrico do país tem características que desafiam a atuação de toda a cadeia produtiva. Tendo em vista a extensão do Sistema Interligado Nacional (SIN), a diversidade populacional e as variações no clima, as empresas atuam para manter o fornecimento de eletricidade seguro e confiável.
Em junho, uma comitiva de representantes da associação e das distribuidoras foi ao Japão para conhecer o sistema e estudar semelhanças e diferenças relativas ao Brasil. “Foi uma missão internacional conduzida pelo Instituto Abradee, junto às distribuidoras, em busca das melhores práticas internacionais em relação a eventos climáticos extremos”, conta o diretor executivo de Regulação da Abradee, Ricardo Brandão, que participou da viagem.
A expedição foi parte dos estudos para o projeto de Pesquisa, Desenvolvimento e Inovação (PD&I) Melhores Práticas para o Segmento de Distribuição de Energia Elétrica em Face aos Eventos Climáticos Extremos. O trabalho seguiu e, em julho, uma nova experiência levou representantes da associação e das distribuidoras a uma viagem aos Estados Unidos para entender o segmento de distribuição daquele país e verificar experiências práticas aplicáveis à realidade brasileira.
“O saldo das duas missões foi muito positivo. Tivemos a oportunidade de conhecer os planos de contingência para eventos climáticos extremos de distribuidoras do Japão e dos EUA e também aprender sobre o mecanismo de compartilhamento de equipes entre distribuidoras quando estes eventos ocorrem”, completa Ricardo Brandão.
Ainda no âmbito de PD&I, a Abradee levou o projeto Governança de Sandboxes Tarifários a Genebra, na Suíça, onde foi apresentado na 28ª edição da Cired, uma das mais importantes conferências do setor elétrico mundial. A apresentação dos experimentos tarifários foi feita pelo gerente de Planejamento e Inteligência de Mercado da Abradee, Lindemberg Reis, coordenador da iniciativa.
Além de demonstrar o que está sendo feito, observou-se que países como Finlândia e Suécia têm movimentos semelhantes aos conduzidos pelas distribuidoras de energia atuantes no Brasil.
Os Sandboxes Tarifários são também referência na América Latina: no primeiro encontro da Adelat, associação das distribuidoras de energia latinas, Lindemberg Reis falou dos nove projetos-pilotos em desenvolvimento, evidenciando o protagonismo do segmento na modernização tarifária. A fala foi prestigiada por representantes de empresas e órgãos de regulação da Argentina, do Peru, do Chile, da Colômbia, da Guatemala e de outros países.







A revisão preserva a estrutura da norma, consolida tabelas de influências externas, atualiza componentes e harmoniza requisitos com a NBR 5419

A ABNT NBR 5410, norma que estabelece os requisitos para instalações elétricas de baixa tensão, passa por um dos processos de revisão mais extensos, desde sua criação. Devido ao grande número de contribuições recebidas na primeira consulta nacional, aberta entre 28 de novembro de 2023 e 29 de fevereiro de 2024, a segunda consulta nacional é considerada inevitável pela Comissão de Estudos, que prevê a conclusão do processo e a publicação do texto final até o final de 2026, caso não ocorram atrasos.
De acordo com especialistas ouvidos pela reportagem da Revista OSE, uma das principais mudanças que essa revisão trará é a atualização da base normativa de componentes elétricos, como condutores, e a harmonização da NBR 5410 com outras normas já revisadas, especialmente a NBR 5419, que trata da proteção contra descargas atmosféricas. Além disso, também foram consideradas as novidades da norma internacional IEC 60364, referência para a norma brasileira, garantindo que todos os itens estejam alinhados às práticas e avanços internacionais, sem, porém, alterar a estrutura principal da NBR 5410.
A primeira consulta nacional, realizada em 2023, mobilizou a comunidade técnica e gerou mais de mil votos e sugestões de alteração no texto da norma. Com isso, exigiu da Comissão de Estudos (CE) uma estratégia diferenciada para analisar cada contribuição, sem comprometer a qualidade das decisões.
Em fevereiro de 2025, com o objetivo de acelerar o processo, foram criados nove Grupos de Trabalho (GTs), responsáveis por analisar as sugestões mais complexas. Até junho, os votos de análise mais rápida foram concluídos, enquanto os demais seguiram para os GTs. A partir de agosto, os textos elaborados pelos Grupos de Trabalho, incluindo pareceres da Comissão de Estudos, foram disponibilizados internamente, e a partir de setembro, serão aprovados sumariamente, caso não haja manifestações contrárias.
Para Paulo Barreto, membro da comissão que revisa NBR 5410, apesar de ser normal os atrasos na elaboração da norma, o andamento atual está acima do esperado e se explica por uma combinação de fatores, que vão desde a metodologia aplicada, até o atendimento de outras demandas que surgiram no setor elétrico nos últimos anos.
“As revisões da NBR 5410 não costumam ser breves, em função da sua complexidade, mas desta vez, se alongou mais do que o esperado. É difícil apontar um único motivo para a demora acima do usual, mas os principais podem ser a maior participação de pessoas no processo de revisão, o que demanda mais tempo nos debates, a metodologia empregada inicialmente, que não se mostrou adequada, e algumas interrupções para atender à demanda por outras normas, como instalações fotovoltaicas, canteiros de obras, afluência de público, veículos elétricos, instalações em mobiliários e marinas” explica o membro da comissão de trabalho da revisão da NBR 5410.










NOVAS PROPOSTAS EM DISCUSSÃO
Uma das sugestões mais discutidas durante a revisão da NBR 5410 foi a possibilidade de ampliação do uso de dispositivos diferenciais residuais (DR), que passariam a ser obrigatórios em todos os circuitos de residências, diferente do que a norma exige atualmente, em que é determinado somente em áreas molhadas. A medida é considerada positiva para a segurança, mas levanta preocupações quanto ao impacto no custo das instalações.
Outro ponto em discussão é sobre o reforço da proteção contra curtos-circuitos, com exigências mais rigorosas para o uso de disjuntores, incluindo a adoção da curva de integral de Joule, fornecida pelos fabricantes.
Também está em avaliação a introdução do AFDD (Arc Fault Detection Device, em português: Dispositivo de Detecção de Falha de Arco) para proteção contra arcos elétricos dentro das instalações, essa tecnologia seria capaz de prevenir aquecimentos perigosos e incêndios, especialmente útil em locais de risco como indústrias têxteis e edificações de madeira. Porém, o alto custo do dispositivo ainda limita sua aplicação.
Segundo Magno Ruivo, secretário da comissão de estudos responsável pela revisão da norma, “o trabalho não se limitou a ajustes pontuais”. Ele explica que a intenção foi realizar uma revisão criteriosa, considerando tanto as normativas internacionais, quanto às necessidades do setor brasileiro.
“O critério foi o de realizar uma revisão ampla, considerando todos os itens que sofreram alterações na IEC, somado às sugestões recebidas, às leituras e aos debates em reuniões. Foram contemplados tanto os itens reescritos para maior clareza, sem alteração de requisito, quanto os novos elementos, como a Seção 7 e o AFDD. Também entraram na revisão os pontos que necessitavam de atualização, como aqueles relacionados às descargas atmosféricas, ajustados para melhor alinhamento com a ABNT NBR 5419 revisada, além das referências a condutores elétricos que tiveram atualização normativa”, afirma o secretário da comissão.
OBJETIVIDADE DA NORMA
Durante as discussões, também surgiram apontamentos sobre as dificuldades enfrentadas por projetistas e eletricistas na aplicação da norma. De acordo com o engenheiro eletricista Gilberto Falcoski, que acompanha as discussões da NBR 5410 há mais de 3 décadas, uma das principais críticas para a norma é que ela se tornou “prolixa e extremamente longa”, o que gera maior esforço de aprendizagem e pode
dificultar a rotina desses profissionais. Ele destacou ainda que houve sugestões para “enxugar” o texto normativo, retirando partes repetidas que ampliam desnecessariamente o volume de páginas do documento. Apesar disso, Gilberto ressaltou que não foram relatadas outras dificuldades significativas durante o processo. Segundo ele, eventuais problemas de entendimento ou aplicação da norma devem ser protocolados nos canais oficiais, como os sites do COBEI ou da ABNT. “O processo de normalização é democrático e público, e todos estão convidados a participar”, reforçou.
Embora a nova versão da NBR 5410 ainda esteja em fase de consolidação dos comentários da primeira consulta nacional, algumas melhorias já se desenham no horizonte, especialmente para aplicações industriais. Com quase quatro décadas de experiência em projetos elétricos e de automação em setores como energia, mineração, óleo, gás, siderurgia e data centers, o engenheiro Edson Bittar, que também integra a comissão de estudos da norma, avalia que as mudanças trazem avanços pontuais, mas relevantes.
“Considero que, embora não existam mudanças muito significativas para a área industrial, alguns aspectos são importantes, como a remoção de requisitos que limitavam a ocupação de leitos e bandejas pelo volume máximo de cabos combustíveis, restrição que considero excessivamente rígida e sem paralelo em normas internacionais. Também estão sendo feitos ajustes nos critérios de instalação de motores”, afirma Bittar.
Segundo Bittar, as revisões trazem ainda maior clareza em temas críticos como aterramento, proteção contra choques e coordenação de dispositivos, embora ainda haja espaço para evoluções. “Acredito que a norma deve, futuramente, avançar em orientações sobre tempos máximos de seccionamento automático da alimentação e, principalmente, abraçar de forma mais direta a questão do arco elétrico (‘arc-flash’), aproveitando as normas recém-criadas sobre o tema”, complementa o engenheiro.
Há 15 anos à frente da Comissão de Estudos ABNT/CB-003/CE 003064-001, o engenheiro eletricista Jefferson Floripes Moraes, gerente de manutenção hospitalar e professor universitário, acompanha de perto o processo de revisão da NBR 5410. Ele participa das reuniões plenárias mensais e traz a visão prática de quem lida diariamente com a aplicação das normas no ambiente hospitalar.

Transformamos o setor energético com excelência e inovação, garantindo que a energia seja distribuída com qualidade, segurança e sustentabilidade para todos os mercados.
Macorin Energia, qualidade que impulsiona o futuro.
Rua José Pedro de Araújo, 981 - CINCO Contagem - Minas Gerais 31 2559-6145 contato@macorin.com.br
Segundo Moraes, os estabelecimentos assistenciais de saúde, como os hospitais, precisam atender, não apenas aos requisitos da NBR 5410, como também aos dispositivos previstos em normas específicas para este segmento, como a NBR 13534:2008 - que trata de instalações elétricas em ambientes de saúde, a NBR 13570:2021, voltada a locais de afluência de público, e, quando houver alimentação em média tensão, a NBR 14039:2021. “Essas exigências existem para garantir a segurança de pacientes, usuários e profissionais, e se corretamente aplicadas, resultam em instalações seguras e confiáveis”, ressalta.
Sobre a revisão em andamento, Moraes não espera mudanças drásticas para as chamadas “normas filhotes” - NBR 13534 e NBR 13570. “A versão atual já é madura, com requisitos sólidos e claros. A tendência é que tenhamos melhorias pontuais e atualizações, sem grandes alterações de escopo”, explica.
Na prática hospitalar, um dos pontos que ainda gera dificuldades é a correta aplicação dos requisitos de manutenção das instalações elétricas, previstos na seção 8 da NBR 5410. Outro desafio, segundo ele, está na qualidade dos projetos e na execução. “Muitas vezes, os memoriais descritivos mais parecem catálogos de materiais, sem apresentar parâmetros de projeto, como o cálculo da impedância do percurso da corrente de falta (Zs), ou sem detalhar corretamente o dimensionamento dos condutores e a seleção de componentes. Além disso, há falhas na execução, reflexo do desconhecimento das normas e da falta de mão de obra qualificada”, aponta.
Dado o caráter dinâmico das normas e as transformações no segmento, Moraes recomenda que engenheiros eletricistas e equipes de manutenção se preparem por meio de atualização constante, com leitura das normas e publicações técnicas e participação em cursos de capacitação e eventos setoriais. “A preparação é fundamental para garantir não apenas conformidade, mas sobretudo, a segurança e eficiência das instalações hospitalares”, conclui.
Em 1906, na Inglaterra, é criado a International Electrotechnical Commission (IEC), entidade destinada à elaboração de normas técnicas na área eletroeletrônica em âmbito internacional. Logo em seguida, em 1908, é fundado, no Brasil, o Comitê Eletrônico Brasileiro com a missão de ser o representante nacional na IEC. Posteriormente, com a fundação da Associação Brasileira de Normas Técnicas – ABNT, em 1940, esse Comitê Eletrotécnico Brasileiro se transformou no Comitê Brasileiro de Eletricidade – CB-03, com sede na cidade de São Paulo.
Ainda antes da criação da ABNT, em 1914, a Inspetoria Geral de Iluminação da Capital Federal publicou um documento regulamentando instalações elétricas na cidade do Rio de Janeiro, denominado “Regulamento das Instalações de Luz” ou “Código de Instalações Elétricas”, segundo diferentes registros históricos.
No âmbito da ABNT, a norma técnica evoluiu da seguinte forma, conforme a tabela 1.
Atualmente, a NBR 5410 passa por um dos processos de revisão mais extensos da sua história, dessa forma, depois que a análise dos votos da primeira consulta for concluída, a Comissão de Estudos precisará indicar à ABNT as alterações necessárias, já que o texto enviado à consulta não é fornecido em formato editável. Essas etapas administrativas devem consumir cerca de quatro meses.
Em seguida, a ABNT realizará a nova consulta nacional, prevista para durar cerca de três meses, podendo ser reduzida a um mês, caso a CE assim determine. Somando-se o período de análise dos novos votos e as etapas administrativas subsequentes, a expectativa é de que a nova edição da norma seja publicada até o final de 2026.
1
Evolução da norma
Publicada a primeira edição, designada NB-3, com o título “Execução de Instalações Elétricas”, baseada no Código de 1914.
Segunda edição amplia as prescrições, inclui tabelas práticas e se baseia no National Electrical Code (NEC) norte-americano, mantendo a designação NB-3.
Terceira edição é a revisão mais significativa, com aumento expressivo de informações técnicas. A norma passa a se chamar “Instalações Elétricas de Baixa Tensão” e adota como referência a IEC 364, com contribuições da norma francesa NF C 15-100. A partir desta edição, a norma passa a ser conhecida como NBR 5410.
Quarta e quinta edições atualizam e aprimoram o texto, mantendo a estrutura da edição anterior.
Sexta edição, também de atualização e melhoria textual, está em vigor até hoje.

EMPRESA
AC3 TECNOLOGIA
ADEEL MATERIAIS ELÉTRICOS
AMPLA ENGENHARIA
ASW BRASIL
BA ELETRICA
BRUMATEC
CMR CONDUTORES
DECORLUX MATERIAL ELÉTRICO
DIDZIEL
ÉH SOLAR
ELEFIO CONDUTORES ELÉTRICOS
ELEKTROBA
ELELSEG
ELÉTRICA COPELI
ELETROFERRO
ELETROTRAFO PRODUTOS ELÉTRICOS
ENGETRON
ENOQUE SILVA FRANCA
EXPAND ENERGIA
GHG MATERIAIS ELÉTRICOS
GRUPO ELETROPOLL
HAWSER
HEILIND ELECTRONICS
JABATEC
KIENZLE
LOJA ELÉTRICA
LUGO COMERCIAL ELÉTRICA
MAEX ENGENHARIA
MAQUIMP
MEME AUTOMAÇÃO
Telefone (71) 98106-0325 (62) 3092-1414 (27) 99271-7579 (19) 99608-5507 (92) 2125-8000 (19) 3461-7367 (35) 3559-2750 (41) 3029-1144 (11) 99905-3222(11) 2888-5003 (71) 99982-3050 (31) 3011-7172 (11) 3863-0757 (11) 2408-2221 (43) 3520-5000 (11) 5506-7296(34) 3662-3499 (42) 3222-6755 (47) 3375-6700 (11) 4056-7047 (11) 3017-8797 (32) 98411-3528
(31) 2318-8000 (11) 98481-1712 (19) 99302-0358 (11) 2802-9002 (64) 99660-9197
Site www.ac3.art.br www.adeel.com.br www.amplaengenharia.net www.aswbrasil.com.br www.baeletrica.com.br www.brumatec.com.br www.cmr.ind.br www.decorlux.com.br www.didziel.com.br www.ehsolarenergia.com.br www.elefio.com.br www.elektroba.com.br www.mmb2.com.br www.eletricacopeli.com.br www.eletroferro.com.br www.eletrotrafo.com.br www.engetron.com.brwww.expandenergia.com.br www.eletricaghg.com.br www.eletropoll.com.br www.hawser.com.br www.heilind.com www.jabatec.com.br www.kienzle.com.br www.lojaeletrica.com.br www.lugo.com.br www.maex.com.br www.maquimp.com.br www.memeautomacao.com.br Distribuidora (atacadista)
Goiânia
Serra
Mogi Guaçu Manaus
Campinas
Guaxupé
Curitiba
São Paulo
São Paulo
Belo Horizonte
Osasco
Guarulhos
Cascavel
São Paulo
Araxá
Ponta Grossa
Corupá
Diadema
São Paulo
Juiz de Fora
Belo Horizonte
São Paulo
Santa Bárbara d’ Oeste
São Paulo
São Simão
Possui loja(s) in-company
Administração de contratos
Vendedores
O mercado de distribuidores e revendedores de materiais elétricos brasileiro é um dos mais pulverizados no país, estando presente não só nas grandes capitais, como também nas pequenas cidades e comércios de bairro. Confira nesta edição a relação das principais empresas deste segmento, que é crucial para o atendimento ao consumidor final.
Principais produtos que comercializa
Material elétrico de Baixa Tensão
Quadros & Painéis
Iluminação –Lâmpadas, Luminárias, Reatores
de Média Tensão (1 a 36 kV)
Material elétrico de Alta Tensão (> 36 kV)
Automação residencial
Automação comercial
Automação industrial
Ferramentas
Equipamentos de proteção individual e coletiva
Importações diretas de produtos
Corpo técnico especializado para suporte ao cliente
Treinamento técnico para os clientes
Projetos de instalações elétricas, iluminação, sistemas de automação, etc
Serviços de instalação ou manutenção de instalações elétricas, iluminação, sistemas de automação, etc
Principais clientes
Concessionárias de energia elétrica
Indústria em geral
Construtoras X
Instaladoras
Empresas de engenharia X
Empresas de manutenção
Empresas públicas X
PSO ENGENHARIA
QUADTEC PAINÉIS ELÉTRICOS
QUAPRO COMPONENTES ELÉTRICOS
QUINTEL MATERIAIS
REPRESENTAÇÕES UOF
REYMASTER
SM&A
STECK SERVICIOS
SYNERGIA COMERCIAL
TERMOTÉCNICA
VEXTROM
VGS ENERGIA
WECO DO BRASIL
Telefone (49) 98855-3566 (54) 3217-0022 (31) 3476-7675 (44) 3233-8500 (11) 2412-7787 (85) 3487-3700 (42) 3423-2626 (47) 3036-9666 (31) 99970-8117 (51) 3781-6078 (11) 99811-7279 (31) 3309-5850 (62) 3212-4422 (47) 3207-7780
(51) 98177-1911 (11) 2365-1922 (11) 5197-4000 (11) 3672-0506 (19) 3876-6237 (41) 3278-9720
Site
www.mgmenergia.com.br www.milwaukeebrasil.com www.montal.com.br www.onixcd.com.br www.perfillider.com.br www.grupoproenergy.com.br www.thoms.com.br www.provolt.com.br www.psoengenharia.com.br www.quadtec.ind.br www.quapro.com.br www.quintel.com.br www.materiais-eletricos-h7zjy5k.gamma.site www.reymaster.com.br
www.steck-servicios.com/pt/ www.synergiacomercial.com.br www.tel.com.br www.vextrom.com.br www.vgsenergia.com.br www.wecoideal.com.br

Curitiba


Material elétrico de Baixa Tensão X
Quadros & Painéis
Iluminação –Lâmpadas, Luminárias, Reatores X
Principais produtos que comercializa
elétrico de Média Tensão (1 a 36 kV)
Material elétrico de Alta Tensão (> 36 kV)
Automação residencial
Automação comercial
Automação industrial
Equipamentos de proteção individual e coletiva
Importações diretas de produtos
Corpo técnico especializado para suporte ao cliente
Treinamento técnico para os clientes
Projetos de instalações elétricas, iluminação, sistemas de automação, etc
Serviços de instalação ou manutenção de instalações elétricas, iluminação, sistemas de automação, etc
Principais clientes
Concessionárias de energia elétrica
Indústria em geral
Construtoras
Instaladoras
Empresas de engenharia
Empresas de manutenção
Empresas públicas

Aline Cristiane Pan é Doutora em Energia Solar Fotovoltaica e Professora na UFRGS, onde coordena o Grupo de Pesquisa em Transição Energética. Co-fundadora da Rede Brasileira de Mulheres na Energia Solar, tem mais de 25 anos de experiência no setor.
No dia 7 de agosto, no Ministério de Minas e Energia (MME), foi lançada a versão em português do estudo “Integração do Componente de Gênero nas Políticas Energéticas dos Países do G20”. Elaborado no âmbito da Parceria Energética BrasilAlemanha, o estudo estabelece uma plataforma de diálogo político de alto nível entre o Ministério Federal da Economia e Energia (BMWE) da Alemanha e o Ministério de Minas e Energia (MME) do Brasil, sendo implementada pela GIZ.
O texto está disponível para consulta pública no site do MME: https://www.gov.br/mme/pt-br/assuntos/ee/parceria-energeticabrasil-alemanha/IntegraodoComponentedeGneroG20_PT.pdf
A publicação reúne experiências internacionais, diagnósticos, dados comparativos e recomendações para que governos, empresas e sociedade civil incorporem, de forma estruturada, a perspectiva de gênero no setor energético.
Ao analisar os gráficos comparativos do relatório, percebe-se uma ausência alarmante de dados brasileiros em temas centrais de gênero e energia. Em muitos indicadores, como desigualdade de gênero no mercado de trabalho e salarial: total vs. setor de energia, o país simplesmente não aparece — e isso compromete a formulação de políticas públicas.
Afinal, o que não se mede, não se gerencia. Sem dados consistentes, não é possível planejar ações efetivas, monitorar resultados ou avaliar impactos, o que nos coloca em desvantagem frente a outros países do G20. Essa lacuna é ainda mais preocupante quando consideramos a necessidade de abrir e desagregar os dados também por raça e etnia. Mulheres negras, indígenas e de outros grupos racializados enfrentam barreiras adicionais no acesso a oportunidades no setor energético, e a invisibilidade estatística dessas desigualdades aprofunda a exclusão. Incorporar recortes de gênero e raça não é apenas uma boa prática: é um requisito para políticas que reconheçam e enfrentem desigualdades interseccionais.
O estudo classifica os países do G20 em quatro fases:
1 - Fornecem informações sobre gênero, mas sem considerar normas, papéis e relações que afetam o acesso e o controle sobre recursos.
2 - Sensíveis à questão de gênero: reconhecem as normas e papéis, mas

não enfrentam de forma consistente as desigualdades criadas por eles (o Brasil está aqui).
3 - Abordam as questões de gênero: elaboram políticas intencionais para enfrentar desigualdades e beneficiar grupos específicos.
4 - Ações avançadas: combatem as causas estruturais da desigualdade de gênero, como normas socioculturais e legislações discriminatórias.
A Figura 1 ilustra a distribuição dos países em cada categoria.

Figura 1. Distribuição de Países por Nível de Integração de Gênero no Setor de Energia. Fonte (GIZ, 2025)
DO RECONHECIMENTO À AÇÃO
O documento aponta caminhos para que o Brasil avance:
• Definir metas claras de equidade de gênero no setor energético;
• Implementar sistemas de coleta e análise de dados;
• Garantir que os dados sejam abertos e desagregados por gênero e raça, permitindo a identificação de desigualdades interseccionais;
• Incorporar indicadores de gênero em programas e projetos;
• Garantir a representação equilibrada em espaços de decisão;
• Criar mecanismos de monitoramento e prestação de contas.
O lançamento desse relatório é mais do que um marco — é um chamado para que o Brasil deixe de ser apenas “sensível” e passe a liderar em ações estruturadas e transformadoras pela equidade no setor energético. Isso exige coragem política, investimento e compromisso intersetorial, mas também o reconhecimento de que sem dados abertos, desagregados por gênero e raça, não haverá políticas eficazes nem justas. O futuro da energia precisa ser também um futuro de equidade.

NLuciano Rosito é engenheiro eletricista, especialista em iluminação e iluminação pública. Professor de cursos de iluminação pública no Brasil e exterior.
o dia 23 de julho de 2025 foi oficialmente anunciada a nova chamada pública para apresentação de projetos para o PROCEL RELUZ 2025. O evento realizado em Brasília contou com diversos representantes do setor público e privado. Foram divulgados os critérios que serão adotados, a distribuição dos recursos por estados e o valor total de recursos destinados para este programa, que será de R$151 milhões, para a implementação das propostas que forem selecionadas. O programa é voltado para a substituição de luminárias de Iluminação pública com tecnologia convencional por luminárias com tecnologia LED, além de braços e demais equipamentos auxiliares.
São candidatos municípios que podem ser enquadrados individualmente ou de forma coletiva em consórcios intermunicipais. Para propostas individuais, o valor mínimo será de R$500 mil e máximo de R$2,5 milhões. Já para os consórcios, o valor mínimo será de R$ 2,5 milhões e o máximo de R$5 milhões. Os prazos também foram informados sendo a data limite para a entrega das propostas o dia 23 de outubro de 2025. (prazo que eventualmente poderá ser prorrogado, como aconteceu recentemente com a chamada pública CP Energia Zero do PROCEL).
Durante este período também está sendo feita uma revisão geral dos critérios para concessão do SELO PROCEL para luminárias públicas, sendo que para fins dos projetos do PROCEL RELUZ é obrigatório que as luminárias a serem adquiridas tenham o SELO PROCEL. Um dos pontos que será revisado será o aumento da eficácia luminosa, que atualmente é de 110lm/W, e a primeira proposta elaborada em minuta que já foi disponibilizada aos interessados é de 170 lm/W (sujeita a alteração em função de consulta pública realizada durante o mês de agosto de 2025)
Um grande avanço desta chamada pública foi a inclusão da telegestão para os projetos que ficarem melhor classificados, tendo a maior pontuação final em cada região, conforme critérios estabelecidos no Edital. A telegestão não deverá fazer parte da proposta inicial a ser submetida à aprovação. O projeto do sistema de telegestão, deverá ser apresentado pelas cidades contempladas após a assinatura do TCT (Termo de Cooperação Técnica).
A questão da adequação da Temperatura de Cor não está definida, diferente de certames anteriores, devendo o município estar ciente das recomendações das normas técnicas e boas práticas
internacionais. Cabe destacar, que já existem mais de quinze fabricantes/importadores com SELO PROCEL de luminárias de 2700K. Destes, três em 2700K já tem eficácia superior a 170lm/W nesta temperatura de cor. No entanto, não existem produtos certificados em 2200K, pois a portaria 62 está desatualizada de acordo com a tabela internacional de temperaturas de cor da ANSI, que já prevê 1800K e 2200K.
Desta forma, foi dado mais um passo no sentido da modernização da iluminação pública, atingindo em torno de 150 mil pontos de iluminação que serão contemplados, dos mais de 22 milhões de pontos estimados no Brasil

Frederico Boschin é Diretor Executivo da Noale Energia e Sócio da Ferrari Boschin Advogados. Conselheiro da ABGD; Conselheiro Fiscal do Sindienergia RS e Professor dos Cursos de MBA da PUC/RS e PUC/MG.
Omercado global de baterias está em fase de rápida expansão e transformação. Impulsionado principalmente pela crescente demanda por veículos elétricos (VEs) e soluções de armazenamento de energia para o setor de energia elétrica, o valor do mercado global de baterias foi de aproximadamente US$ 121,94 bilhões em 2023.
O estudo mais recente da Agência Internacional de Energia Renovável (IRENA) “Renewable Power Generation Costs in 2024” (Custos de Geração de Energia Renovável em 2024), publicado em julho de 2025 , indica um crescimento significativo para US$ 581,35 bilhões até 2032, com uma Taxa Composta de Crescimento Anual (CAGR) de 19,06%. Outras estimativas apontam para valores de US$ 329,84 bilhões até 2030 (CAGR de 16,4%) e US$ 672,5 bilhões até 2034 (CAGR de 17,0%).
Não por acaso, o setor de armazenamento de energia para o setor elétrico foi a tecnologia de energia comercialmente disponível que mais cresceu em 2023, com a implantação de projetos mais do que duplicando em relação ao ano anterior.
No caso brasileiro, a Agência Nacional de Energia Elétrica (ANEEL) deu um passo importante e avançou no processo de regulamentação do uso de Sistemas de Armazenamento de Energia Elétrica (SAE), incluindo baterias. O encerramento da segunda fase da Consulta Pública nº 39/2023, que discute o tema, foi apresentado na Nota Técnica Conjunta nº 13/2025-SGM-SCE-STD-STE-STR-SFT/ANEEL .
A regulamentação tem o objetivo de eliminar as barreiras e dificuldades para a inserção de novas soluções de armazenamento de energia no setor elétrico brasileiro. As discussões se basearam em um roteiro regulatório de três ciclos.
Os principais pontos abordados incluem:
1 - Outorga e Enquadramento. A minuta proposta altera as Resoluções Normativas n° 1.071/2023 e n° 1.029/2022 para adaptar a regulamentação de outorgas às novas soluções de armazenamento de energia. O agente Armazenador Autônomo (stand-alone) receberia outorga para exploração sob o regime de Produtor Independente de Energia (PIE)12. O Parecer nº 00089/2025/PFANEEL/PGF/AGU da Procuradoria Federal junto à ANEEL concluiu que o enquadramento do SAE como PIE é legalmente viável devido à equivalência funcional com os geradores. Para os geradores com
1 https://www.irena.org/Publications/2025/Jun/Renewable-Power-Generation-Costs-in-2024

SAE colocalizado, a proposta é permitir que o SAE componha a outorga da central geradora (uma única outorga) ou tenha outorgas independentes (associação).
2 - Conceitos e Classificações. A Nota Técnica definiu a “potência instalada do Sistema de Armazenamento de Energia” e a “potência máxima de carga e descarga”, além de criar um Código Único de Empreendimentos de Geração (CEG) específico para os SAEs, o que permitirá uma melhor organização e controle. O fator de capacidade (FC) proposto para o cálculo de penalidades e da TFSEE foi ajustado de 0,8 para 0,25 para todos os SAE autônomos.
3 - Acesso à Rede: A ANEEL decidiu flexibilizar a contratação do Montante de Uso dos Sistemas (MUST/MUSD) para centrais geradoras com SAE colocalizado. A redução do piso de contratação do MUST/D de injeção foi limitada a 20% do valor original da central geradora. A redução de contratos já existentes será permitida, com um limite anual não oneroso de 5% do piso do MUST/D original.
4 - Tarifação e Encargos: A ANEEL propôs que a cobrança de encargos setoriais (EER, ERCAP, ESS, PROINFA) não incida sobre o serviço de armazenamento, pois o consumo realizado por esses sistemas não é considerado consumo final. No entanto, os SAE autônomos estarão sujeitos à Taxa de Fiscalização dos Serviços de Energia Elétrica (TFSEE) e à obrigação de investimento em Pesquisa, Desenvolvimento e Inovação (PDI), assim como os demais agentes no regime de PIE.
A Nota Técnica reconhece que ainda existem questões complexas a serem aprofundadas nos próximos ciclos do roadmap, como: a regulamentação de usinas hidrelétricas reversíveis de ciclo aberto e semiaberto, o papel do SAE como ativo de distribuição e transmissão, a mitigação de “curtailment” e a participação dos SAE em programas de Resposta da Demanda.
No caso dos serviços ancilares e resposta à demanda, o documento sinaliza a possibilidade de os SAEs prestarem serviços ancilares, com previsão de empilhamento de receitas, mas aprofundamentos sobre o tema serão tratados em ciclos futuros do roadmap3. A participação dos SAE no Programa de Resposta da Demanda (RD) será permitida para sistemas colocalizados a unidades consumidoras, com a necessidade de revisão dos Procedimentos de Rede e de Comercialização.
2 https://antigo.aneel.gov.br/web/guest/consultas-publicas?p_p_id=participacaopublica_WAR_participacaopublicaportlet&p_p_lifecycle=2&p_p_state=normal&p_p_mode=view&p_p_ cacheability=cacheLevelPage&p_p_col_id=column-2&p_p_col_pos=1&p_p_col_count=2&_participacaopublica_WAR_participacaopublicaportlet_ideDocumento=55945&_participacaopublica_WAR_ participacaopublicaportlet_tipoFaseReuniao=fase&_participacaopublica_WAR_participacaopublicaportlet_jspPage=%2Fhtml%2Fpp%2Fvisualizar.jsp
Executivos, líderes e marcas que movem o setor já têm um encontro marcado: a FIEE.
Um evento que antecipa tendências, gera negócios e alem de conectar empresas que impulsionam a transformação industrial.

Participe da FIEE! CONECTA
com a indústria em um só lugar!

Faça seu credenciamento Escaneie o QR Code.
Apoio Oficial: Promoção e Organização: Credenciamento Gratuito em

Cláudio Mardegan é CEO da EngePower Engenharia, Membro Sênior do IEEE, Membro do Cigrè | claudio.mardegan@engepower.com
OBJETIVO DO ARTIGO DESTE TEMA
O Engenheiro de proteção encontra bons desafios ao elaborar um estudo onde existem geradores. A contribuição de corrente de curto-circuito de um gerador varia rapidamente com o tempo. Surge então algumas questões que não são endereçadas corretamente ou não são bem compreendidas, como por exemplo: os relés de sobrecorrente estarão sensíveis para estes valores de corrente?; qual o valor de corrente devo considerar para fazer a seletividade?; qual a melhor característica tempo x corrente devo usar para a proteção do gerador?; como fazer a proteção de um equipamento em que devo permitir circular a corrente nominal e alguma sobrecarga e quando ocorre um curto-circuito a corrente pode atingir valores menores que a corrente nominal?; se o curto-circuito ocorrer num nível de tensão diferente do gerador, o relé do gerador ainda ‘enxergará’ esta corrente?; o gerador possui ou não compoundagem?; quanto irá cair a corrente que o relé 51V enxerga?; ainda estará sensível? etc.
Como pode ser observado a maior parte dos engenheiros de proteção não conseguem responder essas questões básicas. Isto me motivou escrever sobre o tema.
A CORRENTE DE CURTO-CIRCUITO DO GERADOR
O valor instantâneo da corrente de curto-circuito, segundo Richard Roeper, em seu livro Correntes de Curto-Circuito em Redes Trifásicas, e segundo o Buff Book (IEEE Std 242), é dado por:
Curto-circuito trifásico
Curto-circuito bifásico
Curto-circuito fase-terra

Onde:
I”k, I’k, Ik – são as correntes de curto-circuito subtransitória, transitória e permanente, respectivamente.
T”d, T’d e Tg – são as constantes de tempo subtransitória de eixo direto, transitória de eixo direto e da componente de corrente contínua.
As correntes de curto-circuito são calculadas como segue:
X”d, X’d, Xd – São as reatâncias subtransitória, transitória e síncrona de eixo direto, respecitvamente.
X2, X0 – São as reatâncias de sequência negativa e zero respectivamente.
ZN, ZN0 – São as reatâncias entre o terminal do gerador e o ponto de falta de sequência positiva e zero, respectivamente.
E” Y, E’ Y e EY – São as forças eletromotrizes atrás da reatância da máquina.
Essas f.e.m. são calculadas como segue:

Fasorialmente, expressa pela Figura 1 seguinte.

As constantes de tempo da equação, sempre que possível devem ser extraídas do data sheet do gerador. Quando não disponíveis podem ser calculadas a partir das equações seguintes.

Onde:
RN, XN – São a componentes resistiva e indutiva da impedância ZN
Ra – Resistência da armadura (estator) do gerador.
T”do ~ 50 ms e é menor que T’d, visto que X’d > X”d
T’do ~ (3.1 a 12) s – Os valores menores ocorrem em máquinas de polos salientes. Os valores maiores ocorrem em turbo-geradores.
T”d ~ 3 a 4 semi-ciclos (para curtos nos terminais do gerador).
Tipicamente, X’d ~ 1.5 X”d.
Para curto-circuito nos terminais do gerador o valor de t’d se reduz a 1s para turbo-geradores e a 2s para máquinas de polos salientes.
A partir do diagrama fasorial da Figura 1 pode-se escrever:

Analogamente,

Onde:
U – Tensão nos terminais da máquina (em geral igual a 1pu).
IL – Corrente de carga do gerador (IL = 0 a vazio e IL = 1pu a plena carga).
φ – Ângulo do fator de potência nominal do gerador.
A componente ac da corrente de curto-circuito do gerador é dada por:

A componente dc da corrente de curto-circuito do gerador é dada por:

O valor eficaz da corrente de curto-circuito é dado por:

Ao aplicar os valores típicos nas equações apresentadas, o decremento da corrente de curto-circuito típico, apresentado em uma folha de seletividade pode ser visualizado na Figura 2.

Figura 2 – Aparência típica da curva de decremento de gerador a vazio e a plena carga.
Por: Eng José Starosta – Diretor da Ação Engenharia e Instalações Ltda jose.starosta@acaoengenharia.com.br
Medições das variáveis elétricas são úteis e aplicáveis, na maior parte das vezes, quando se deseja conhecer o comportamento das instalações ou sistemas elétricos. Elas possuem propósitos diversos, relacionados à verificação de conformidade do comportamento ao projeto ou na busca e solução de problemas verificados nessas instalações ou sistemas. Um ponto importante, considera a taxa de aquisição dos dados e período de integração no registro de valores eficazes. Os registros que se seguem, apresentam 256 amostras/ciclos e integração a cada ½ ciclo.
A Figura 2 indica os registros da potência ativa total em valores médios (curva amarela) com integração da ordem de 2 segundos. Os valores máximos e mínimos tem integração a cada ½ ciclo permitindo melhor entendimento. Diversas constatações podem ser obtidas dessa avaliação:
• A demanda média da carga são da ordem de até 50kW, contudo, são verificados valores de potência ativa máximos de até 350kW, registrados em integração a cada ½ ciclo;
• Os valores de potência negativa indicam a potência regenerada da carga para a fonte;
• Da mesma forma, a Figura 3, indica os registros das correntes RMS médias e máximas em que a corrente registrada supera a corrente nominal da proteção de 250 A.



Em registros de duração de cinco minutos, as figuras de 4 a 8, apresentam registros de potência ativa por fase, potência reativa por fase, fator de potência e ângulos de fase.




Acompanhando as “linhas de chamada”, inseridas entre os registros sincronizados, observam-se as variações dos fasores e do fator de potência em função dos perfis das potências ativas e reativas.
A figura 6 indica variações do fator de potência da carga entre o
quadrante IV - carga capacitiva com potência ativa consumida da rede até carga regenerada (potência ativa negativa com consumo de potência reativa indutiva da rede).

A Figura 8 apresenta o comportamento dos fasores de corrente, durante a transição da carga, entre os quadrantes. A figura 9, apresenta a forma de onda de corrente adiantada em relação a tensão. A análise detalhada indica a situação instantânea e a aplicação de qualquer
solução de correção. Se necessária, deve considerar esses perfis de carga transitórios, conforme a figura 9:

Os registros foram efetuados com instrumento Elspec- PUREclasse A – com taxa de amostragem de 256 amostras por ciclo e integração a cada ½ ciclo.
Agradecimentos ao Eng Robinson Patara pela colaboração nesse artigo.\

Aguinaldo Bizzo de Almeida é engenheiro eletricista e atua na área de Segurança do trabalho. É membro do GTT – NR10 e inspetor de conformidades e ensaios elétricos ABNT – NBR 5410 e NBR 14039, além de conselheiro do CREA-SP.
Em relação às atividades executadas em equipamentos ou instalações do Sistema Elétrico de Consumo - SEC, o direito ao adicional de periculosidade é mais restritivo. A Portaria
1.078/2014 confere, de uma forma geral, aos trabalhadores que executam atividades em Alta Tensão em equipamentos ou instalações energizados o direito ao adicional de periculosidade, conforme item 1, alínea a 1.
Têm direito ao adicional de periculosidade os trabalhadores:
a) Que executam atividades ou operações em instalações ou equipamentos elétricos energizados em alta tensão;
Assim, por força do disposto neste item, os trabalhadores do SEC, quando realizam atividades em Alta Tensão em equipamentos ou instalações energizadas, com tensões elétricas acima de 1kva e\ ou 1,5 kvcc, também têm direito à periculosidade.
No segmento industrial são realizadas, por profissionais autorizados, atividades rotineiras em alta tensão, como por exemplo manobras de disjuntores MT, operação de chaves fusíveis classe 15 kv, termografia em circuitos elétricos descompartimentados (portas abertas de painéis elétricos de MT), inclusive com o profissional posicionado dentro do limite de Zona Controlada na NR10, devido espaço restrito entre porta do painel elétrico e paredes.
Dessa forma, a possível caracterização da periculosidade no quesito “em alta tensão”, de certa maneira, é tratado de forma intrínseca na legislação, em atividades com intervenções diretas em instalações elétricas energizadas, como por exemplo, manobras em equipamentos de MT.
Oportuno destacar que a média tensão estabelecida pela NBR14039 – Instalações Elétricas de Média Tensão 1- 36,2kv, é considerada como alta tensão pela NR10.
Dúvidas surgem quando tratamos de Profissionais Autorizados que não realizam atividades de intervenções diretas em alta tensão, mas executam atividades que requerem acesso a instalações elétricas segregadas, cujo acesso somente é permitido a pessoas autorizadas, como por exemplo, CCM\SE. Nesses cenários, realizam atividades de inspeções visuais, supervisão, liberação de serviços etc. Para esses casos, é necessário avaliação

estratificada do processo de trabalho, quanto à possível caracterização de “risco acentuado” considerando a exposição ao risco de choque elétrico e ao arco elétrico.
Em gênero, considerando termos de direito do trabalho, “risco acentuado de periculosidade” refere-se à exposição permanente do trabalhador a condições perigosas, como aquelas envolvendo inflamáveis, explosivos, energia elétrica, roubos ou outras violências físicas.
Assim, a caracterização de risco acentuado em atividades em instalações elétricas para essas funções que possuem “caráter” administrativo e\ou gerencial, mas que realizam atividades em situações de “possível” exposição ao perigo da eletricidade, requer avaliação técnica estratificada das condições laborais existentes.
Tecnicamente, pode-se adotar como conceito de risco acentuado, além de manobras, atividades desenvolvidas dentro do limite estabelecido na NR10 como ZC- Zona Controlada da AT. Oportuno ressaltar que a exposição ao risco de arco elétrico, dentro do LAS- Limite de Aproximação Segura, uma vez constatado potencial de danos significativo em função das condições laborais, especialmente nível de energia incidente e medidas de controle adotadas, tem sido discutido quanto a possível caracterização do adicional de periculosidade, visto a severidade do dano, que pode sofrer o trabalhador.
Importante ressaltar que em indústrias, somente o acesso a CCM ou às salas elétricas, por si só, não configuram fator de caracterização aos critérios para enquadramento do adicional de periculosidade. Ou seja, é necessário a efetiva caracterização de risco acentuado. Entretanto, em CCM\salas elétricas integrantes de subestações de energia elétrica com alimentação em alta tensão, que sejam caracterizadas como SEP, a avaliação deve considerar outros fatores específicos do Anexo IV- NR16 para esses cenários elétricos.
Dito isto, é oportuno ressaltar que a elaboração do Perfil de Autorização dos Profissionais Autorizados por cada Organização é de extrema importância, evidenciando o limite de abrangência de atuação, conforme requisitos estabelecidos na NR10, mesmo não sendo com esse viés os requisitos estabelecidos na Norma.

AComo a compartimentação interna de um painel elétrico pode interferir na segurança operacional? - Parte 2/2
Nunziante Graziano é engenheiro eletricista, mestre em redes e equipamentos, Ph.D. Em Business Administration e CEO do Grupo Gimi |nunziante@gimi.com.br
segurança é uma das prioridades da compartimentação. Dependendo do regime de manutenção, redundância de circuitos e da compartimentação interna, pode ser necessário desenergizar completamente o painel para se realizar processos de manutenção. Assim sendo, é muito importante analisar o tempo máximo de desligamento de um painel para configura-lo corretamente, sob pena de, após construído, ainda que completamente de acordo com as exigências normativas de construção, ou seja, um painel completamente de acordo com a NBR-IEC-61439, não seja adequado a um processo produtivo ou a um procedimento de operação de um processo industrial. Algumas considerações incluem:
Isolamento - Componentes em diferentes compartimentos devem ser isolados para evitar falhas elétricas e curtos-circuitos. Isso pode ser feito através de barreiras físicas e materiais isolantes.
Acesso Seguro - As portas dos compartimentos devem ser projetadas para permitir acesso seguro a profissionais de operação e manutenção, garantindo que apenas pessoal qualificado possa acessar partes energizadas e devidamente equipados com os equipamentos de proteção individual adequados à tensão de operação do equipamento e à intensidade de energia incidente, em caso de arco interno. Sinalização - É importante que haja sinalizações claras para identificar cada compartimento e os riscos associados a eles, como advertências sobre altas tensões e intensidade de energia incidente. Ventilação - Este é um ponto crítico para o funcionamento seguro e eficiente do painel. Ela pode ser obtida e/ou projetada para ser natural ou forçada. Dependendo da carga térmica e do ambiente, pode ser necessário incorporar ventiladores ou sistemas de arrefecimento para dissipar o calor gerado pelos equipamentos. O design deve permitir um fluxo de ar adequado para que o ar quente não fique preso nos compartimentos, o que poderia levar ao superaquecimento.
Os materiais utilizados na construção dos compartimentos também são importantes. Devem ser utilizados materiais que suportem altas temperaturas e que sejam bons isolantes elétricos. Esses materiais também devem possuir resistência mecânica, pois as paredes e estruturas dos compartimentos devem ser robustas o suficiente para suportar impactos e garantir a integridade do painel.
A configuração interna deve permitir fácil acesso para manutenção e inspeção, respeitando as distâncias mínimas de segurança e as recomendações de ergonomia. A manutenção regular é essencial para garantir a segurança e a eficiência dos painéis elétricos.
Algumas práticas recomendadas incluem:
- Inspeções Visuais: verificações regulares para identificar sinais de desgaste, corrosão ou danos nos componentes. Isso deve incluir a inspeção das portas dos compartimentos, conexões e barramentos.
- Limpeza: a poeira e a sujeira podem causar superaquecimento e falhas. A limpeza regular dos compartimentos e componentes é recomendada, com o cuidado de não danificar dispositivos sensíveis.
- Testes Periódicos: além dos testes iniciais, é aconselhável realizar testes periódicos para garantir que os sistemas de proteção e manobra estejam funcionando corretamente.
Para que as manutenções descritas sejam possíveis, os conceitos de compartimento acima descritos são necessariamente utilizados para a determinação de qual é a forma adequada mínima para a operação e manutenção seguras para o sistema.
Entretanto, são medidas de engenharia muito interessantes, que possibilitam menores níveis de compartimentação e, consequentemente, redução de custos de construção. Algumas tendências de modernização evitam ou simplesmente extinguem a necessidade da presença dos técnicos diante dos painéis para procedimentos de operação ou manutenção, como:
- Digitalização e Monitoramento Remoto: o uso de tecnologias IoT (Internet das Coisas) permite o monitoramento em tempo real do desempenho dos painéis elétricos, facilitando a detecção de falhas e a otimização do funcionamento.
- Automação: a automação de sistemas de distribuição elétrica está se tornando mais comum, permitindo um gerenciamento mais eficaz e seguro da energia elétrica.
Finalmente, para que tudo isso seja possível, é necessário que os profissionais estejam adequadamente treinados e capacitados para reconhecerem suas atribuições, identificarem corretamente os procedimentos a executar e reconhecerem os riscos envolvidos.
- Treinamentos de Segurança: para garantir que todos os envolvidos estejam cientes dos riscos e das práticas seguras ao trabalhar com eletricidade.
- Atualizações sobre Normas: os profissionais devem estar atualizados sobre as normas e regulamentos, pois estas podem mudar com o tempo e influenciar a forma como os painéis são projetados e construídos.
Esses aspectos abrangem uma visão mais completa da compartimentação interna de painéis elétricos de baixa tensão, considerando não apenas a conformidade com normas, mas também a eficiência, a segurança e a sustentabilidade. Implementar essas estratégias pode ajudar a prolongar a vida útil dos equipamentos e garantir seu funcionamento eficiente para que as instalações operem em conformidade, mas sobretudo, prestigiando os processos produtivos e a segurança operacional.
José Barbosa é engenheiro eletricista, relator do GT-3 da Comissão de Estudos CE: 03:064.010 - Proteção contra descargas atmosféricas da ABNT / Cobei responsável pela NBR5419. | www.eletrica.app.br
Oprojeto da nova NBR 5419 apresenta valores atualizados para a densidade de descargas atmosféricas que atingem o solo (NG). Esse parâmetro, expresso em raios/ km²/ano, é o principal insumo do gerenciamento de risco da norma, pois influencia diretamente a probabilidade de perdas e a frequência de interrupções de serviço. Os novos mapas constam no Anexo F da Parte 2 do projeto.

A Tabela 1 evidencia aumentos relevantes de NG nas capitais listadas, variando de 75% a 700%. Como o risco e a frequência de dano são proporcionais ao NG, apenas essa atualização já tende a elevar, nessas capitais, os resultados obtidos com os métodos vigentes na mesma ordem de grandeza. Para ilustrar, Salvador passa de 0,5 para 4 (↑700%) e São Paulo de 11 para 20 (↑82%), enquanto Belo Horizonte e Vitória dobram seus valores. O efeito prático é um impacto significativo no dimensionamento e na demanda por soluções de proteção contra descargas atmosféricas.
Os novos valores foram elaborados pela Divisão de Satélites e Sensores Meteorológicos do INPE (DISSM/INPE), pelo Programa de Pós-Graduação em Física Ambiental da UFMT (PPGFA/UFMT) e pelo Núcleo Interdisciplinar de Estudos em Planejamento Energético da UFMT (NIEPE/UFMT). A base combina os registros do Lightning Imaging Sensor (LIS), a bordo do satélite TRMM/NASA, de 1998 a 2013, com dados da Rede Brasileira de Detecção de Raios (BrasilDAT) entre 2018 e 2022. Esse arranjo permite cobertura espacial ampla, série histórica longa e melhor representatividade das descargas


nuvem-solo, além de favorecer a consistência entre observações orbitais e medições em solo.
O LIS detecta todas as descargas: intra-nuvem, entre nuvens e nuvem-solo. Entretanto, o NG deve considerar apenas as ocorrências nuvem-solo. Por isso, utilizou-se o Brasil DAT, cuja capacidade de detecção de descargas nuvem-solo é superior, para estimar a fração do total que corresponde a esse tipo específico e calibrar os mapas. Adotou-se, ainda, o maior valor de NG observado em cada município como referência municipal e a utilização apenas de valores pares de NG. Esses critérios buscam homogeneizar as análises de risco de um mesmo município e incorporar a incerteza inerente ao processo de obtenção dos dados.
A atualização proposta alinha o NG à realidade de eventos mais severos, padroniza resultados dentro dos municípios, aproxima os cálculos da percepção de incidentes e eleva o nível de segurança de pessoas, patrimônio e instalações diante das descargas atmosféricas.

Tratamento paliativo ou diagnóstico preciso? A importância da análise de causa raiz de falhas em cabos isolados
Daniel Bento, PMP®️, é Eng. Eletricista e atua com redes isoladas de MT desde 1989. Coordenou o Comitê de Estudos B1 do CIGRE. Foi responsável técnico pela rede de distribuição subterrânea de SP. Três vezes na lista do 100 + Influentes da Energia. Atualmente, é CEO da BAUR do Brasil e da BAUR USA Corp.
Imagine um paciente que chega ao pronto-socorro com febre recorrente. Em vez de aplicar um antitérmico e mandá-lo para casa, um bom médico vai além: ele conversa, investiga, solicita exames e busca entender o que está por trás daquele sintoma. Uma parada cardiorrespiratória, por exemplo, não costuma acontecer do dia para a noite. Ao longo do tempo, o corpo humano costuma enviar sinais de que algo não está bem. Fadiga persistente, aperto no peito, um coração que dispara sem motivo aparente. E se esses sintomas forem ignorados, o colapso é só questão de tempo. Com as redes elétricas não é diferente.
Há algum tempo, tive a oportunidade de conduzir uma investigação em um complexo eólico no Nordeste brasileiro. Inicialmente tratadas como eventos pontuais, as falhas apresentavam sintomas recorrentes, como deformações na isolação e curtos a terra. Após descartar causas mecânicas, químicas e elétricas por meio de inspeções visuais, testes de Tangente Delta e Reflectometria, identificamos que os cabos operavam constantemente acima da temperatura máxima permitida.
A análise detalhada do projeto revelou que a resistividade térmica do solo havia sido subestimada, o espaçamento entre circuitos estava menor que o previsto e não havia diretrizes claras para a compactação do solo. O cruzamento entre medições em campo, ensaios laboratoriais e simulações térmicas foi decisivo para identificar que o principal fator da falha era de origem térmica, agravado por falhas de projeto no dimensionamento e instalação do sistema de backfill.
A este tipo de abordagem, damos o nome de análise de causa raiz de falhas. É sempre importante lembrar que falhas em cabos
subterrâneos podem ser causadas por diversos fatores: danos mecânicos durante a instalação, degradação química ou térmica, envelhecimento prematuro ou até falhas de projeto. Muitas vezes, esses fatores atuam de forma combinada, o que dificulta a identificação imediata da origem do problema. É por isso que metodologias reconhecidas, como a norma IEEE 1511.1, são tão importantes de serem seguidas, pois oferecem uma estrutura técnica clara para classificar e investigar falhas, permitindo que a equipe adote uma abordagem multidisciplinar e baseada em evidências.
Do ponto de vista financeiro e operacional, investigar a causa raiz de falhas é uma estratégia essencial quando o problema deixa de ser pontual e passa a ser recorrente, permitindo identificar e corrigir defeitos estruturais que comprometem a previsibilidade do projeto. Mas encontrar a origem do problema é apenas parte da solução. O passo seguinte é evoluir para uma gestão orientada à prevenção. Investir em manutenção preventiva e preditiva é o que, de fato, transforma a forma como gerimos ativos subterrâneos, reduzindo custos com paradas não programadas, evitando substituições emergenciais e aumentando a confiabilidade do sistema.

A comparação com a medicina vale aqui também: é melhor manter um acompanhamento constante da saúde do que esperar por uma internação de urgência. Em um setor que exige previsibilidade, segurança, eficiência e confiabilidade, não podemos nos dar ao luxo de ignorar os sinais. A boa notícia é que os meios para diagnosticar e prevenir falhas estão à disposição. O desafio é criar a cultura de olhar além do sintoma, tratar a causa e, principalmente, planejar para que o sistema esteja preparado para o futuro.
Danilo de Souza é professor na Universidade Federal de Mato Grosso, sendo membro do Núcleo Interdisciplinar de Estudos em Planejamento Energético – NIEPE, e é Coordenador Técnico do CINASE – Circuito Nacional do Setor Elétrico. Danilo também é Pesquisador no Instituto de Energia e Ambiente da USP | www.profdanilo.com

Depois de desenvolver o controle primitivo do fogo, e em meio à domesticação da fotossíntese pela construção da agricultura, os Sapiens deram mais um passo decisivo na longa caminhada civilizatória: aprenderam a converter a energia dos animais domesticados em trabalho útil. Essa capacidade aparentemente simples de utilizar bois, cavalos, burros, camelos e outros animais para puxar cargas, arar a terra ou movimentar moinhos representa uma profunda transformação na história energética da humanidade. Trata-se de uma das grandes revoluções energéticas externas, a domesticação da força animal, a conversão da energia biológica em tração e movimento.
Segundo o Prof. Vaclav Smil, essa foi a principal forma de aumentar o rendimento energético do trabalho antes da Revolução Industrial. A força de tração animal permitiu multiplicar a capacidade humana de produzir, transportar e transformar o mundo físico sem recorrer à força de trabalho escravizada ou à energia do próprio corpo. O boi arando o campo ou o cavalo puxando uma carroça é a expressão direta desse salto civilizatório.
Energeticamente, o processo é claro. Animais herbívoros ingerem vegetais, acumulam energia química em forma de biomassa e convertem parte dela em movimento. Ao serem domesticados, os Sapiens passaram a controlar essa conversão, colocando-a a serviço da agricultura, do transporte e da guerra. Diferentemente do fogo, que quebra as ligações químicas da madeira, liberando energia na forma de calor e de luz, ou da fotossíntese, que transforma luz solar em calorias alimentares, a tração animal representa uma das primeiras formas de converter energia biológica em energia mecânica, sendo externas ao corpo dos Sapiens.
Um homem adulto saudável é capaz de produzir entre 75 e 100 watts de potência contínua em atividades físicas moderadas. Já um boi ou um cavalo pode fornecer entre 500 e 800 watts de forma sustentada, o equivalente a seis a 10 homens.
Portanto, o boi, o cavalo, o dromedário e o búfalo, cada um
com diferentes potências e resistências, passaram a ser motores vivos integrados ao cotidiano das sociedades humanas. Mazoyer e Roudart (2009), em sua obra sobre a história da agricultura, destacam que a tração animal foi essencial para superar os limites biofísicos do corpo humano. O uso de animais aumentou drasticamente a produtividade agrícola por unidade de trabalho humano. Com um arado puxado por bois, um lavrador podia cultivar superfícies muito maiores do que com ferramentas manuais.
A domesticação do boi para tração ocorreu por volta de seis mil anos antes de Cristo, no Crescente Fértil, e depois se espalhou para a Índia, a África e a Europa. Já o cavalo, domesticado nas estepes da Eurásia por volta de três mil anos antes de Cristo, revolucionaria a agricultura, e consequentemente o transporte e a guerra. A biga puxada por cavalos alteraria o curso de batalhas. O camelo permitiu a travessia de desertos. O búfalo asiático foi essencial nos arrozais da China. A energia dos animais moldou geografias inteiras.
Uma das representações visuais mais antigas desse processo encontra-se na tumba de Sennedjem, artesão egípcio que viveu durante os reinados de Séti I e Ramsés II, por volta de 1200 a.C. Na pintura, vemos um camponês conduzindo um arado puxado por

bois, simbolizando uma técnica agrícola, que utilizava energia externa ao corpo humano para produzir movimento.
Fernand Braudel (1979), em Civilização Material, Economia e Capitalismo, observa que as sociedades pré-industriais dependiam enormemente da energia animal. Tudo que andava, arava, puxava ou girava era movido por músculos, humanos ou animais. Os próprios moinhos, símbolos da revolução dos fluxos, muitas vezes só se tornaram viáveis com a tração inicial dos animais. Antes da energia fóssil, havia a força dos cascos.
A força animal tornou possível o surgimento de excedentes agrícolas, a expansão de territórios, o transporte de mercadorias em longas distâncias e até mesmo a construção de grandes obras.
Jared Diamond (1997), em Armas, Germes e Aço, destaca que apenas algumas regiões do planeta dispunham de grandes mamíferos domesticáveis, o que teve impactos profundos na trajetória das civilizações. Das 14 espécies domesticadas em larga escala, 13 eram originárias da Eurásia (Europa e Ásia) como bois, cavalos, porcos e camelos. Na América do Sul, apenas a lhama foi domesticada, e mesmo ela tinha limitações importantes: não servia para arar, não produzia leite e não era montável. Esse acesso desigual a animais de tração e carga gerou uma profunda assimetria histórica. Em regiões com essas espécies, foi possível ampliar drasticamente a produção agrícola, a mobilidade e até a eficácia militar.
Apesar de seus ganhos, a tração animal também tem limites. A conversão de vegetais em trabalho via animal é ineficiente do ponto de vista puramente termodinâmico, pois mais de 90% da energia é perdida no metabolismo do animal antes de se transformar em força útil. Mas essa energia era “gratuita”, captada via pasto ou forragem, o que tornava sua ineficiência aceitável.
E se olharmos atentos, podemos observar uma ambivalência simbólica. Os animais de tração aparecem nas mitologias e ritos. O Centauro, meio homem meio cavalo, expressa a fusão entre intelecto e força. O Minotauro, meio homem meio touro, representa a dominação e o poder da força animal. Em ambas as figuras, há um reconhecimento da força bruta como parte constitutiva da humanidade civilizada, seja para trabalhar a terra ou guerrear.
A própria linguagem reflete essa herança. Dizemos força bruta, animal de carga, potência de tração. Até mesmo a unidade cavalo-vapor (CV ou Horsepower - HP), utilizada até hoje em muitos países para especificação de motores (elétricos ou de combustão), sobreviveu como medida simbólica da potência, uma lembrança da época em que o cavalo era, de fato, o motor mais eficiente disponível.
Importante destacar que essa revolução energética é externa ao corpo humano, mas não necessariamente libertadora. Em muitas sociedades, a força animal se somava, e não substituía a força de trabalho humano, seja ela servil, assalariado ou escravizado. A relação entre força animal e exploração humana é profunda e estrutural.
No entanto, do ponto de vista técnico e energético, o uso de tração animal marca uma passagem fundamental. Os Sapiens tornaram-se controladores de uma força externa, capaz de armazenar energia em biomassa, converter em movimento e aplicar com finalidade produtiva. Essa lógica, conversão, controle e uso de energia externa, esteve presente em todas as revoluções energéticas seguintes: das turbinas às usinas nucleares.
A domesticação da força animal constituiu uma revolução lenta, difusa e heterogênea. Não teve um marco preciso, uma data inaugural ou um nome consagrado, ligeiramente diferente das demais etapas abordadas, e seguindo a nossa trajetória de reflexão, em que a dimensão biofísica se sobressai ao recorte puramente social. Ainda assim, esta revolução energética moldou profundamente a organização do trabalho, o traçado das cidades, a estrutura das economias e a iconografia das civilizações.
Antes do vapor, dos combustíveis fósseis e da eletricidade, havia o boi, o burro, o cavalo, animais vivos, que respiravam, se alimentavam, e que funcionavam como motores orgânicos. Dessa forma, a energia animal acelerou o progresso técnico, ampliou a construção das estruturas sociais e políticas, o que explica, em parte, por que algumas sociedades que tiveram esta disponibilidade avançaram mais rapidamente do que outras.















Roberval Bulgarelli é engenheiro eletricista e consultor sobre equipamentos e instalações em atmosferas explosivas.
As áreas industriais que apresentem o risco da presença de atmosferas explosivas necessitam ser submetidas a processos de avaliações de risco de forma a determinar a probabilidade da presença destas atmosferas explosivas, as suas extensões e as características das misturas de gases inflamáveis ou de poeiras combustíveis que podem estar presentes nas instalações de processo. Estas áreas de risco, que apresentam a possibilidade de presença de atmosferas explosivas, são denominadas áreas classificadas.
Nestes tipos de instalações industriais são requeridas a instalação de equipamentos de instrumentação, automação, telecomunicações, elétricos ou mecânicos com características especiais de proteção (denominados tipos de proteção “Ex”) que os tornem incapazes de representar uma indevida fonte de ignição para uma atmosfera explosiva que possa estar presente no ambiente. Estas instalações requerem também a aplicação de procedimentos específicos de classificação de áreas, projeto, inventário, especificação de equipamentos, montagem, inspeção, manutenção, reparos, auditorias e de gestão de segurança, de forma a garantir a segurança ao longo do ciclo total de vida destas instalações “Ex”.
A documentação de classificação de áreas tem por finalidade mapear e determinar as extensões e abrangências das áreas classificadas que podem conter atmosferas explosivas de gases inflamáveis ou poeiras combustíveis, e permitir a posterior especificação de equipamentos e sistemas de instrumentação, de automação, de telecomunicações, elétricos ou mecânicos “Ex”, adequados para cada tipo de área classificada.
São citadas a seguir exemplos de normas nacionais, estrangeiras ou práticas recomendadas que apresentam detalhes dos procedimentos para a classificação de áreas:
• ABNT NBR IEC 60079-10-1 – Classificação de Áreas – Gases inflamáveis
• ABNT NBR ISO/IEC 80079-20-1 – Características das substâncias para classificação de gases e vapores - Dados e métodos de ensaios
• IGEM SR 25 - Hazardous area classification of natural gas installations (Institution of Gas Engineers and Managers / UK)
• EI 15 - Model code of safe practice - Part 15: Area classification code for petroleum installations (Energy Institute / UK)
• NFPA RP 497 - Recommended Practice for the Classification of Hazardous Locations Installations in Chemical Process Areas (National Fire Protection Association / USA)
• API RP 505 – Recommended practice for classification of locations for


electrical installations at petroleum facilities classified as Class I, Zone 0, Zone 1, and Zone 2 (American Petroleum Institute / USA)
• ABNT NBR IEC 60079-10-2 – Classificação de Áreas – Poeiras combustíveis
• ABNT NBR ISO/IEC 80079-20-2 – Características dos materiais - Métodos de ensaio de poeiras combustíveis
• NFPA RP 499 - Recommended Practice for the Classification of Combustible Dusts and of Hazardous (Classified) Locations for Electrical Installations in Chemical Process Areas (National Fire Protection Association / USA)
A documentação de classificação de áreas é formada por um conjunto de documentos que apresentam informações sobre as áreas que contenham ou possam conter atmosferas explosivas de uma planta de processamento químico, petroquímico, portuário ou de petróleo & gás (tanto onshore como offshore). Este grupo de documentos compreende desenhos de plantas e elevações com as extensões das áreas classificadas, lista de dados de processo sobre as substâncias inflamáveis ou combustíveis, lista dos dados das fontes de risco de liberação, e nos casos de espaços fechados, informações pertinentes ao projeto de ventilação e ar condicionado, os quais possam afetar a classificação ou a extensão das áreas classificadas.
De forma a haver um nível adequado de confiança de que os serviços de elaboração da documentação de classificação de áreas serão realizados de forma correta, é recomendado que os profissionais envolvidos possuam os conhecimentos, experiências, competências e certificação indicadas na Unidade de Competência Ex 002 - Elaboração de classificação de áreas.
Uma pergunta recorrente que “não quer calar”: Como podemos saber se uma determinada área é classificada ou não? Resposta: Consultando a correspondente documentação de classificação de áreas do local da instalação.
Caio Huais é engenheiro industrial, especialista em Engenharia Elétrica e Automação com MBA em engenharia de manutenção e gestão de negócios. Atualmente, ocupa posição de gerente corporativo de manutenção no Grupo Equatorial, respondendo pelo desempenho da Alta Tensão de 7 concessionárias do Brasil.
Atransição energética brasileira, marcada pela crescente participação de fontes renováveis, especialmente eólica e solar, tem colocado sob pressão a infraestrutura de transmissão do Sistema Interligado Nacional (SIN). O desafio não está apenas na geração de energia limpa — área na qual o Brasil avança com protagonismo global — mas, sobretudo, na capacidade do sistema de escoar essa energia de forma eficiente, segura e contínua.
O atual modelo de expansão da malha de transmissão não tem acompanhado o ritmo acelerado da entrada de novas usinas renováveis. Essa defasagem tem gerado um fenômeno crítico: o curtailment, ou seja, o corte compulsório da geração por falta de capacidade de escoamento. Apenas em 2024, estima-se que cerca de 22.000 GWh de energia renovável deixaram de ser injetados na rede, representando perdas superiores a R$ 1,7 bilhão para o setor elétrico. Em estados do Nordeste, os cortes chegaram a mais de 11% da geração renovável, prejudicando a rentabilidade dos projetos e a eficiência energética nacional.
A RESPOSTA TÉCNICA: RECAPACITAÇÃO DE LINHAS AÉREAS
Nesse cenário, a recapacitação de linhas de transmissão aéreas surge como uma solução técnica estratégica e de rápida implementação, frente aos longos prazos exigidos para novos empreendimentos “greenfield”. Segundo a Nota Técnica nº 342/2024-SCE/ANEEL, os prazos referenciais para recapacitação estão fixados em até 30 meses, o que torna essas intervenções viáveis dentro de janelas críticas de expansão da geração renovável.
A recapacitação compreende um conjunto de reforços e melhorias que visam aumentar a capacidade de transmissão de circuitos existentes, sem a necessidade de construir novos corredores. Isso pode incluir a substituição de cabos por condutores de maior capacidade, instalação de compensadores estáticos (SVCs, STATCOMs), atualização de estruturas de suporte e modernização de dispositivos de seccionamento e manobra.
Benefícios técnicos diretos
• Aumento da Potência Natural da Linha (SIL): Amplia o escoamento de potência ativa, reduzindo restrições operativas.
• Redução do Efeito Corona e das perdas elétricas: Com o uso de condutores mais modernos, o desempenho eletromagnético da linha é otimizado.
• Melhoria do desempenho dinâmico do sistema, com maior estabilidade
em regime permanente e transitório.

• Flexibilidade operacional e atendimento à sazonalidade da geração renovável.
Além dos aspectos técnicos, a recapacitação também reduz o tempo e o custo das intervenções, quando comparada à construção de novas linhas, além de minimizar impactos socioambientais e fundiários.
Dados da Wood Mackenzie indicam que, se nada for feito, o curtailment no Brasil pode triplicar até 2035, alcançando 8% da geração média nacional — número crítico para um país que busca ampliar sua descarbonização e manter a atratividade para investidores em energia limpa.
O Operador Nacional do Sistema Elétrico (ONS) já reconhece a importância de reforços na malha existente. A operação recente de novas linhas no Nordeste elevou a capacidade de escoamento de 500 MW para 2.500 MW, reduzindo significativamente os cortes. A aplicação da recapacitação nesse contexto se mostra como uma ponte entre o presente e o futuro do sistema elétrico, permitindo que a infraestrutura acompanhe a expansão da matriz renovável de forma mais dinâmica e resiliente.
Normativos e diretrizes aplicáveis
• ANEEL - NT nº 342/2024-SCE: Estabelece prazos e diretrizes para reforços e melhorias em instalações de transmissão.
• Procedimentos de Rede do ONS (Módulo 2 e 4): Define critérios técnicos para capacidade de linhas e requisitos de estabilidade elétrica.
• Resolução Normativa nº 1.000/2021 - ANEEL: Consolida regras sobre qualidade, continuidade e expansão dos serviços de transmissão.
A recapacitação de linhas de transmissão aéreas deve ser vista como uma estratégia central para garantir a segurança energética, evitar desperdícios e consolidar a transição energética nacional.
Trata-se de um investimento em Engenharia de alta performance, capaz de responder à urgência dos cortes, otimizar ativos existentes e fortalecer o equilíbrio técnico-econômico do sistema.
Com planejamento adequado, aplicação de soluções comprovadas e alinhamento regulatório, a recapacitação se posiciona como um vetor silencioso, porém decisivo, do futuro energético brasileiro.
Treinamentos técnicos e encontros de negócios com conteúdo da mais alta qualidade apresentado por verdadeiros mestres em suas áreas de atuação.









Indústria e Assistência Técnica
Cuiabá-MT • Brasil (65) 3611-6500
Assistência Técnica
Ananindeua-PA • Brasil (91) 3255-4004







