







![]()













GRANDES EMPRESAS DO SEGMENTO APONTAM FATORES COMO FORNECIMENTO DE ENERGIA RENOVÁVEL, BARATA E DE QUALIDADE, COMO DETERMINANTES PARA A IMPLANTAÇÃO DE NOVAS PLANTAS

EDITORIAL: O QUE ESPERAR DA IMINENTE REFORMA DO SETOR ELÉTRICO? ARTIGO TÉCNICO: O PAPEL DA CONVERSÃO NA MOBILIDADE ELÉTRICA NO BRASIL



PAINÉIS DE DISTRIBUIÇÃO DE BAIXA
TENSÃO CLASSE 750/6.300A/1.000V
ATÉ ICC DE 80kA
LINHA NOTTABILE ®










BARRAMENTO
6.300A IP-55
Sensor de monitoramento SMART GIMI; Instalação de barramentos blindados. Estudos de energia incidente; Comissionamento e startup de painéis em obra;
Retrofit; Parametrização e comissionamento de relés de proteção; Manutenção de cabines primárias, painéis de baixa tensão, barramentos blindados.
atitude@atitudeeditorial.com.br
Diretores
Diretores
Adolfo Vaiser - adolfo@atitudeeditorial.com.br
Adolfo Vaiser
Simone Vaiser - simone@atitudeeditorial.com.br
Simone Vaiser
Editor-chefe - MTB - 0014038/DF
4 Editorial
O que esperar da iminente reforma do setor elétrico?
6 Artigo Técnico
O papel da conversão na mobilidade elétrica no Brasil
Edmilson Freitas - edmilson@atitudeeditorial.com.br
Assistente de circulação, pesquisa e eventos Henrique Vaiser – henrique@atitudeeditorial.com.br Victor Meyagusko – victor@atitudeeditorial.com.br
Coordenação de conteúdo e pauta Flávia Lima - flavia@atitudeeditorial.com.br
Administração
Reportagem
10 Desempenho de Linhas de Transmissão Frente a Descargas Atmosféricas
16 Nova Norma de Arco Elétrico - comentada pela comissão
20 Transmissão: Caminhos da energia
Matheus de Paula - matheus@atitudeeditorial.com.br
Roberta Nayumi administrativo@atitudeeditorial.com.br
Assistente de circulação, pesquisa e eventos administrativo@atitudeeditorial.com.br
Marketing e mídias digitais
Editor
Henrique Vaiser - henrique@atitudeeditorial.com.br
26 Inovação na distribuição e novas tecnologias de suporte: inteligência artificial, realidade virtual e blockchain
Letícia Benício - leticia@atitudeeditorial.com.br
Edmilson Freitas edmilson@atitudeeditorial.com.br
Pesquisa e circulação
Reportagem
Maria Elisa Vaiser - mariaelisa@atitudeeditorial.com.br
Fernanda Pacheco - fernanda@atitudeeditorial.com.br
Administração
30 Por Dentro das Normas
Aguinaldo Bizzo – NR 10 / Paulo Barreto - NBR 5410 / Marcos Rogério - NBR 14039
34 Espaço Aterramento
Publicidade
Publicidade
Paulo Martins - paulo@atitudeeditorial.com.br
Cálculo de Resistências de Aterramento
Roberta Mayumi - administrativo@atitudeeditorial.com.br
Diretor comercial
Diretor comercial
Adolfo Vaiser
Comercial
Contato publicitário
Adolfo Vaiser - adolfo@atitudeeditorial.com.br (11) 98188 – 7301
Willyan Santiago - willyan@atitudeeditorial.com.br
Willyan Santiago - willyan@atitudeeditorial.com.br (11) 98490 – 3718
Direção de arte e produção
36 Espaço Abradee
Sandboxes Tarifários auxiliam Aneel na modernização do setor
Leonardo Piva - atitude@leonardopiva.com.br
Diagramação
Leonardo Piva - atitude@leonardopiva.com.br
Leonardo Piva - leopiva@gmail.com
Colaboradores desta edição
Colaboradores da publicação:
Infraestrutura elétrica desafia expansão do mercado de data centers
Adriano de Andrade Bresolin, Rafael Alípio, Claudio Mardegan, Filipe Resende, Márcio Bottaro, Rogério Pereira de Camargo, Bruno de Mello Laurindo, Paulo Barbosa, Weber Ramos Ribeiro Filho, Aguinaldo Bizzo, Paulo Barreto, Marcos Rogério, Paulo Edmundo Freire da Fonseca, Aline Cristiane Pan, Juliana Klas, Frederico Carbonera Boschin, Lilian Ferreira Queiroz, Luciano Rosito, Roberval Bulgarelli, Daniel Bento, José Barbosa, Nunziante Graziano, José Starosta, Danilo de Souza e Caio Neiva Cezar Huais.
44 Pesquisa Setorial
Huais, Luiz Carlos Catelani Junior, Daniel Bento, Danilo de Souza, Mello, Monica Saraiva Panik, Lílian Ferreira Queiroz, Lindemberg Nunes
Silva, Arnaldo José Pereira Rosentino Junior e Marcus Vinícius Borges
Aguinaldo Bizzo de Almeida, Paulo Roberto Borel Júnior, Renato Jardim Teixeira, Thiago Francisco Gomes, Henrique Fernandes Borges, Caio Huais, Luiz Carlos Catelani Junior, Daniel Bento, Danilo de Souza, Emmanuela de Almeida Jordão, Frederico Carbonera Boschin, Paulo Edmundo Freire, Jose Maurilio da Silva, Rinaldo Botelho, João Carlos Mello, Monica Saraiva Panik, Lílian Ferreira Queiroz, Lindemberg Nunes Reis, Luciano Rosito, Claudio Mardegan, Nunziante Graziano, Jose Starosta, Fabrício Augusto Matheus Moura, Ana Carolina Ferreira da Silva, Arnaldo José Pereira Rosentino Junior e Marcus Vinícius Borges Mendonça.
Materiais elétricos para instalações prediais e linhas elétricas de todo país
48 Engenharia e Serviços
Engenharia nacional a serviço do sistema elétrico brasileiro
Fale conosco contato@atitudeeditorial.com.br Tel.: (11) 98433-2788
A Revista O Setor Elétrico é uma publicação mensal da Atitude
A Revista O Setor Elétrico é uma publicação mensal da Atitude
Distribuída entre as empresas de engenharia, projetos e instalação, e especificadores destes segmentos.
A Revista O Setor Elétrico é uma publicação mensal da Atitude Editorial Ltda., voltada aos mercados de Instalações Elétricas, Energia e Iluminação, com tiragem de 13.000 exemplares. Distribuída entre as empresas de engenharia, projetos e instalação, manutenção, indústrias de diversos segmentos, concessionárias, prefeituras e revendas de material elétrico, é enviada aos executivos e especificadores destes segmentos.
50 Aline Cristiane Pan - Inovação e Equidade no Setor Elétrico
52 Frederico Boschin - Conexão Regulatória
53 Lílian Ferreira Queiroz - Gestão de Ativos
54 Cláudio Mardegan – Análise de Sistemas Elétricos
56 Luciano Rosito – Iluminação Pública
reprodução total ou parcial das matérias sem expressa autorização
Os artigos assinados são de responsabilidade de seus autores e não necessariamente refletem as opiniões da revista. Não é permitida a reprodução total ou parcial das matérias sem expressa autorização da Editora.
Editorial Ltda., voltada aos mercados de Instalações Elétricas, Energia e Iluminação, com tiragem de 13.000 exemplares. Distribuída entre as empresas de engenharia, projetos e instalação, manutenção, indústrias de diversos segmentos, concessionárias, prefeituras e revendas de material elétrico, é enviada aos executivos e especificadores destes segmentos. Os artigos assinados são de responsabilidade de seus autores e não necessariamente refletem as opiniões da revista. Não é permitida a reprodução total ou parcial das matérias sem expressa autorização da Editora.
Capa: istockphoto.com | Chirapriya Thanakonwirakit
Impressão - Referência Editora e Gráfica
Capa: istockphoto.com | sefa ozel
58 Roberval Bulgarelli – Instalações EX
60 Aguinaldo Bizzo – Segurança do Trabalho
61 Daniel Bento – Redes Subterrâneas em Foco
Impressão Gráfica Grafilar
Distribuição - Correios
Distribuição - Correios
62 José Barbosa – Proteção contra raios
64 Nunziante Graziano – Quadros e painéis
Atitude Editorial Publicações Técnicas Ltda.
Atitude Editorial Publicações Técnicas Ltda. Rua Piracuama, 280, Sala 41
Fone - (11) 98433-2788 www.osetoreletrico.com.br
Atitude Editorial Publicações Técnicas Ltda. www.osetoreletrico.com.br atitude@atitudeeditorial.com.br Filiada à
Cep: 05017-040 – Perdizes – São Paulo (SP) Fone - (11) 98433-2788 www.osetoreletrico.com.br atitude@atitudeeditorial.com.br Filiada à

66 José Starosta – Energia com Qualidade
68 Danilo de Souza – Energia, Ambiente & Sociedade


69 Caio Cezar Neiva Huais – Manutenção estratégica
Parada há meses na Casa Civil, a proposta de reforma do setor elétrico parece que finalmente vai sair do papel. Com o iminente envio da proposta ao Congresso Nacional, anunciado recentemente pelo Ministro Alexandre Silveira (Minas e Energia), o projeto de lei deverá atrair a atenção dos segmentos de geração, transmissão, distribuição e comercialização de energia elétrica, uma vez que a medida deverá impactar fortemente na atuação desses setores, em especial para as concessionárias de distribuição de energia elétrica.
Tendo como principal objetivo a diminuição da conta de luz dos brasileiros, o texto em elaboração no Governo Federal deverá propor a redução dos encargos embutidos na conta de luz, como os subsídios financiados pela Conta de Desenvolvimento Energético (CDE), que somente em 2025, deverá atingir a marca dos R$ 40,6 bilhões. A ideia é transferir parte desses custos para o Orçamento da União, evitando o impacto direto na tarifa dos consumidores, como ocorre atualmente.
Outra medida esperada na proposta é ampliação da abertura do mercado livre de energia. Atualmente, apenas grandes consumidores podem escolher seus fornecedores no chamado mercado livre. A proposta do governo visa ampliar esse acesso para pequenos e médios consumidores, incluindo unidades residenciais, permitindo maior concorrência e melhores condições de preço. A previsão é de que a abertura do mercado livre de energia para os consumidores de baixa tensão ocorra já em 2026.
A modernização do setor, também está entre os focos da reforma. A ideia é criar um ambiente regulatório mais transparente e previsível para investimentos em novas tecnologias, como energias renováveis e redes inteligentes, possibilitando então transformações mais profundas no segmento, que é considerado um dos mais conservadores do país.
Quanto à conveniência de uma proposta de reforma do setor elétrico, não paira nenhuma dúvida, mas já quanto a sua viabilidade, em um ambiente político complexo e altamente polarizado, aí sim, sobram interrogações. O setor elétrico brasileiro é altamente regulado e envolve múltiplos interesses, desde empresas geradoras e distribuidoras até consumidores industriais e residenciais. Reduzir subsídios pode encontrar resistência de setores que hoje se beneficiam desses incentivos.
A reforma do setor elétrico promete mudanças significativas, mas seu sucesso dependerá da capacidade do governo de equilibrar interesses e garantir benefícios concretos para a população. De todo modo, é importante frisar que não estamos falando de um segmento qualquer, mas sim de um dos pilares do desenvolvimento nacional. Resta agora esperar que aqueles que possuem voz, influência e voto, assegurem uma reforma realmente benéfica para o Brasil, para o setor produtivo e principalmente para os brasileiros.
Boa leitura!


Edmilson
Freitas edmilson@atitudeeditorial.com.br
Acompanhe nossas novidades pelas redes sociais:





A linha Simon 26 iO é a nossa mais nova linha conectiva. Conecte-se com seu bem-estar e aproveite todo o conforto que a tecnologia oferece. Controle a iluminação, persianas, crie experiências e configure rotinas através do App Simon iO.

Leia o QR Code e saiba mais:


Por Adriano de Andrade Bresolin é professor titular do Instituto Federal de Santa Catarina, possui doutorado em engenharia elétrica e coordena o laboratório de mobilidade elétrica - Emol

A busca pela descarbonização no segmento de mobilidade tem impulsionado grandes empresas e instituições em todo o mundo, que realizam pesquisas e projetos pilotos que viabilizem a transição energética sustentável neste segmento. Além da indústria de veículos híbridos e elétricos, uma alternativa que vem sendo buscada no Brasil e em outros países do mundo é a conversão de veículos à combustão em carros elétricos ou híbridos.
Com mais de 120 milhões de veículos em circulação, sendo apenas cerca de 7% deste total de veículos elétricos e híbridos, a conversão de automóveis movidos à combustão em veículos elétricos/híbridos surge como uma alternativa promissora para acelerar a descarbonização deste importante segmento nacional.
Em busca de contribuir para o desenvolvimento sustentável e a redução da dependência de combustíveis fósseis, visando uma transição energética segura e viável, a CELESC (Centrais Elétricas de Santa Catarina), por meio o programa de Pesquisa e Desenvolvimento e Inovação da ANEEL (Agência Nacional de Energia Elétrica), deu início, em 2020, ao projeto “Converte – Conversão de veículos para tração elétrica”.
Com o apoio operacional da FEESC (Fundação Stemmer para Pesquisa, Desenvolvimento e Inovação), o projeto Converte desenvolveu sistemas de conversão de veículos a combustão para tração elétrica, resultando na implementação bem-sucedida de quatro protótipos: A Fiat Fiorino Elétrica, Fiat Strada Elétrica, o Renault Kwid Híbrido e o Renault Kwid Elétrico com powertrain nacional.

Veículos convertidos pelo projeto Converte
UM MODELO EXPERIMENTAL - COM OS MESMOS BENEFÍCIOS DOS VEÍCULOS ELÉTRICOS COMERCIAIS
O motor não ronca, mas o coração acelera! A experiência sensorial é intensa: a resposta ao acelerar é imediata - torque instantâneo -, e a ausência de vibração mecânica redefine a conexão entre condutor e máquina. A Fiorino convertida - de gasolina para elétrica - se destaca pelo alto torque, maior potência, boa autonomia e principalmente, com zero emissões .
O furgão, antes era um utilitário de entregas, que foi doado

pela Receita Federal ao IFSC - Instituto Federal de Santa Catarina para ser utilizado no projeto de conversão. Obsoleto, poluente e com destino certo para o descarte, este veículo foi completamente transformado, ganhando um moderno sistema de tração elétrica e se tornando um modelo experimental que carrega consigo o lema do projeto “Uma nova vida sem emissões”.

Fiorino e Strada convertidas para tração Elétrica
A Fiorino Elétrica recebeu um powertrain importado de 60 kW, enquanto a Strada Elétrica foi equipada com um powertrain nacional WEG de 46 kW (CVW-500), ambos de ímã permanente. A banco de baterias de 40 kW - 350V equipa tanto a Fiorino quanto a Strada e foi totalmente construído no laboratório de mobilidade elétrica do IFSC - EMoL, com células N.M.C (Níquel, Manganês, Cobalto).
A INOVAÇÃO - O PRIMEIRO KWID HÍBRIDO DO
Já os veículos do tipo Kwid tinham outro propósito - a busca por um veículo elétrico de baixo custo. O veículo Kwid foi escolhido devido ao seu peso ser baixo em relação aos outros carros vendidos no Brasil - aproximadamente 800 kg.
O Kwid totalmente elétrico, com powertrain nacional, foi concebido com motor indução WEG de 29 kW e uma bateria de 150 V (LifePO4) que garante uma autonomia de aproximadamente 120 km, ou seja, um veículo urbano.
Outro grande desafio do projeto Converte foi o desenvolvimento do primeiro Kwid híbrido do mundo com a inserção de dois motores - tipo axial - nas rodas traseiras. Com pico de potência de 16 kW em cada motor, a nova tração traseira permite que o Kwid arranque no modo elétrico e ande até uma velocidade de 60 km/h. Após esta velocidade o sistema passa automaticamente para a tração a combustão.
Deste modo, o Kwid híbrido possui três motores - um à combustão na frente (Flex - etanol e gasolina) e dois elétricos nas rodas traseiras. A bateria de 10 kWh permite uma autonomia no modo elétrico de até 70 km e o veículo foi concebido no modo Plug-in, ou seja, com carregamento da bateria direto de eletropostos além da regeneração tradicional.


Foram parceiros do projeto à Assembleia Legislativa de Santa Catarina (ALESC) e o Tribunal de Justiça de Santa Catarina (TJSC), neste quesito o projeto atendeu o objetivo de democratizar e incentivar a utilização de veículos elétricos na frota pública. Vale salientar que na época de execução do projeto (2020-2023) ainda não havia o efeito BYD no mercado de veículos elétricos do Brasil.
Este fato demonstra o pioneirismo do projeto Converte.
Pelo seu impacto na economia verde e sustentável, o Projeto Converte foi destaque internacional, sendo convidado a participar da 28ª Conferência das Nações Unidas sobre as Mudanças Climáticas (COP28), realizada em novembro de 2023, em Dubai, nos Emirados Árabes Unidos, onde a CELESC apresentou o projeto na área de eficiência energética e contribuição a transição energética.
Diversas empresas contribuíram para a execução do projeto, dentre elas vale destacar a participação da WEG Drives & Controls –Automação e a Fueltech.
INFRAESTRUTURA E TREINAMENTO - BANCADAS DIDÁTICAS DE MOBILIDADE ELÉTRICA
Um marco importante no desenvolvimento do projeto foi a aquisição e instalação de bancadas didáticas de mobilidade elétrica. Esses
equipamentos representam um avanço significativo na capacitação de profissionais para o setor de mobilidade elétrica, permitindo treinamentos técnicos avançados em sistemas elétricos veiculares.
Baseadas na tecnologia da Beifang - maior empresa chinesa de treinamento em automobilística da China, as bancadas possibilitam a realização de estudos práticos sobre motores elétricos, inversores, gerenciamento de baterias e infraestrutura de recarga.
Além do impacto direto na formação acadêmica, essas bancadas fortaleceram as atividades de pesquisa e desenvolvimento do IFSC, apoiando novos projetos de Ensino, Pesquisa e Extensão.

Atualmente, o laboratório EMoL desenvolve o projeto Converte II, fruto da também da parceria entre CELESC/ANEEL, IFSC e FEESC. O projeto Converte II visa validar a conversão de veículos para aplicações comerciais leves tipo 2, assegurando desempenho, durabilidade e viabilidade econômica em condições reais de uso.
Com previsão para término em 2027, dois veículos operacionais usados na manutenção de redes de energia da CELESC serão convertidos para 100% elétricos, enquanto um terceiro veículo será convertido para um sistema híbrido.
O Converte II tem como objetivo fornecer dados concretos sobre a viabilidade técnica e econômica da eletrificação de frotas operacionais das concessionárias de energia elétrica, servindo como referência para outras empresas.
UMA CONTRIBUIÇÃO E OPÇÃO PARA TRANSIÇÃO ENERGÉTICA BRASILEIRA
Além da conversão veicular, o laboratório EMoL-IFSC tem como visão contribuir para o desenvolvimento da mobilidade elétrica no Brasil, integrando pesquisa acadêmica e inovação industrial. Com o apoio da CELESC/ANEEL e de diversos parceiros institucionais e comerciais, o projeto Converte demonstrou na prática que “sim”, é possível converter veículos à combustão para tração elétrica com custos economicamente viáveis se feitos em produção de larga escala. O exemplo a se seguir é o ramo de conversão de veículos para “gás natural” que atualmente atende a uma demanda de mais de 90 mil conversões ano. A certeza principal é que o futuro é elétrico, cabe a nós brasileiros encontrarmos a melhor maneira de fazer a transição energética dentro das características e peculiaridades deste país continental chamado Brasil.





A resiliência das Linhas de Transmissão (LTs) também é testada pelo seu desempenho frente às descargas atmosféricas. A partir desta edição, trataremos deste assunto sob a coordenação do Eng. Eletricista Rafael Alipio, que é doutor em Engenharia Elétrica pela UFMG e professor do CEFET-MG, onde coordena o Laboratório de Transitórios Eletromagnéticos (LabTEM). Possui ampla experiência em desempenho de linhas de transmissão e desenvolve pesquisas e consultorias técnicas na área.

Levantamento da resistividade do solo ao longo do traçado da linha de transmissão
INTRODUÇÃO
A resistência – ou impedância, no caso mais geral – oferecida à dispersão da corrente pelos eletrodos de aterramento para o solo depende diretamente das propriedades eletromagnéticas do solo, com destaque para sua resistividade elétrica. A resistividade elétrica é um parâmetro que expressa a oposição do material à passagem da corrente elétrica, sendo uma propriedade intrínseca do material e medida em ohm-metro (Ω•m). Quanto maior a resistividade, maior será a resistência ou a impedância associada aos eletrodos de aterramento.
A resistividade do solo varia não apenas com o tipo de solo, mas também com fatores como temperatura, umidade, concentração e composição química dos sais dissolvidos na água, compactação e granulometria [1]. Em baixas frequências, a condução elétrica no solo ocorre predominantemente por transporte iônico, de modo que a presença de água e íons dissolvidos tem influência direta na sua condutividade. Assim, solos úmidos e ricos em minerais condutivos apresentam, em geral, menor resistividade. No contexto brasileiro, o aumento da temperatura em determinados períodos do ano pode intensificar a evaporação, reduzindo a umidade do solo e, consequentemente, elevando sua resistividade. No entanto, é importante ressaltar que a umidade por si só não garante baixa resistividade, especialmente em solos pobres em sais minerais, como os arenosos.
A granulometria do solo também exerce um papel importante, pois grãos menores podem preencher os espaços vazios entre partículas maiores, favorecendo a continuidade elétrica e
aumentando a retenção de umidade. Em solos mais porosos, a água tende a escoar para camadas mais profundas ou evaporar mais facilmente, o que pode elevar a resistividade. Além disso, a compactação do solo afeta sua condutividade elétrica, sendo que solos mais compactos nas proximidades dos eletrodos de aterramento tendem a apresentar menor resistência à dispersão da corrente elétrica. A Figura 2 da NBR 7117-1:2020 apresenta curvas de variação típica da resistividade do solo em função da umidade, salinidade e temperatura, exemplificando numericamente o impacto desses fatores [2].
Como mencionado, a resistência de aterramento de pé de torre é diretamente influenciada pela resistividade do solo e constitui um dos parâmetros mais críticos na avaliação do desempenho de linhas de transmissão frente a descargas atmosféricas. Considerando a resistividade equivalente1 “ρeq” vista por um dado arranjo de eletrodos, a resistência de aterramento é dada por RT=Kgeo×ρeq, em que o fator “Kgeo” está relacionado à geometria do aterramento, sendo dependente, no caso de linhas de transmissão, basicamente do número, comprimento e área coberta pelos cabos contrapeso.
Como o projeto de aterramento de linhas de transmissão se baseia na definição de uma configuração de cabos contrapeso para atingir um valor limite de resistência de pé de torre, torna-se evidente a importância fundamental de uma caracterização adequada da resistividade do solo. Este fascículo aborda o tema a partir de três frentes principais: a prospecção da resistividade do solo por meio de sondagem geoelétrica, a instrumentação para medição e os desafios específicos no contexto de linhas de transmissão. A modelagem do solo estratificado em camadas será abordada em um fascículo futuro, 1 A resistividade equivalente é definida como a resistividade de um solo homogêneo que resultaria na mesma resistência de aterramento observada em um solo estratificado, para um dado eletrodo de aterramento. Ou seja, em termos de cálculo de resistência de aterramento, essa resistividade representa de forma equivalente o solo estratificado. Na literatura, essa grandeza é frequentemente denominada "resistividade aparente vista pelo eletrodo", porém, neste fascículo, optou-se pelo termo "equivalente" para evitar possíveis ambiguidades em relação à "resistividade aparente", que é utilizada no contexto de sondagens geoelétricas.




assim como a variação da resistividade do solo com a frequência, que constitui um tópico avançado.
Como mencionado na introdução deste fascículo, a resistividade do solo varia de acordo com sua composição e é influenciada por fatores como temperatura, umidade e presença de sais minerais. Devido à diversidade de materiais que compõem o solo e à multiplicidade de fatores que afetam suas características elétricas, sua resistividade pode apresentar uma ampla faixa de valores. A Tabela 1 da NBR 7117-1:2020 exemplifica essa variabilidade, indicando valores baixos (<150 Ω•m) para meios alagadiços, limo, húmus e lama; faixas entre 300-5000 Ω•m, 500-5000 Ω•m e 1000-8000 Ω•m para argila, calcário e areia, respectivamente; e valores superiores a 10.000 Ω•m para solos rochosos [2]. Dada a relevância da resistividade do solo para o correto dimensionamento do aterramento de pé de torre e, consequentemente, para o desempenho da LT frente a descargas atmosféricas, não é viável basear o projeto apenas em faixas genéricas de valores desse parâmetro. Assim, a prospecção da resistividade elétrica do solo assume um papel fundamental, fornecendo dados precisos para um projeto consistente e tecnicamente embasado.
As técnicas de sondagem de resistividade elétrica utilizadas em projetos de aterramento de pé de torre visam abranger grandes volumes de solo, fornecendo uma estimativa média da resistividade dentro desse volume. Idealmente, a região prospectada deve corresponder ao mesmo volume de solo influenciado pelos eletrodos de aterramento a serem dimensionados. Métodos baseados em amostragem pontual ou na medição da resistência de um eletrodo auxiliar não são adequados para essa aplicação, pois não representam de forma realista a resistividade média de volumes de solo compatíveis com as dimensões típicas de aterramento de pé de torre, que podem se estender por áreas de dezenas a milhares de metros quadrados [2].
De acordo com a NBR 7117-1:2020, a expressão “medição da resistividade do solo” não é tecnicamente precisa, pois esse parâmetro não é medido diretamente, mas inferido a partir de um procedimento em duas etapas [2]. A primeira consiste no trabalho de campo, no qual são realizadas as sondagens geoelétricas, com medição de correntes, tensões e determinação das resistências aparentes para um dado arranjo de medição. Na segunda etapa, os dados coletados são processados, gerando a curva média de resistividades aparentes, que então é submetida a um processo matemático de inversão para inferir o modelo geoelétrico correspondente. No entanto, devido ao uso amplamente difundido no setor elétrico, este fascículo adotará a nomenclatura mais comum, referindo-se ao procedimento em alguns trechos simplesmente como “medição de resistividade do solo”.
arranjo é
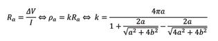
O método mais tradicionalmente empregado na engenharia elétrica para essa sondagem baseia-se na injeção de corrente elétrica no solo por meio de dois eletrodos de corrente, enquanto a diferença de potencial resultante é medida através de dois eletrodos de potencial. Esse método faz parte das chamadas sondagens elétricas verticais (SEV) e utiliza arranjos de quatro eletrodos simétricos e alinhados, cravados no solo a pequenas profundidades. A Figura 1 ilustra o arranjo de Wenner, possivelmente o mais utilizado para sondagens de resistividade elétrica no contexto de projetos de aterramento de torres de LTs2. O arranjo é composto por quatro hastes de comprimento “b”, espaçadas uniformemente por uma distância “a”. A corrente “I” é injetada no solo pelas duas hastes externas de corrente (C1 e C2), enquanto a diferença de potencial “ΔV” resultante é medida pelas duas hastes internas de potencial (P1 e P2). A relação entre a tensão medida “ΔV” e a corrente injetada “I” fornece um valor de resistência aparente do solo “Ra”. Esse valor é convertido em resistividade aparente “ρa” por meio de um fator de proporcionalidade “k”, que depende do arranjo utilizado. Para o arranjo de Wenner, esse fator é dado, para um dado espaçamento entre as hastes, por:

10 a
Quando b≤( ), isto é, quando o espaçamento “a” é muito maior do que a profundidade “b’ das hastes, a equação anterior pode ser aproximada por ρa=[2π×a]Ra. Recomenda-se o uso dessa última equação, pois a inclusão da profundidade das hastes no cálculo da resistividade aparente pode introduzir incertezas adicionais sem contribuir para a exatidão do resultado. Isso ocorre devido às dificuldades práticas em garantir a uniformidade da profundidade de cravação entre as hastes e ao impacto geralmente limitado desse fator na estimativa da resistividade.

Um conjunto de medições, cada uma realizada com diferentes espaçamentos entre os eletrodos, resulta em uma série de valores de resistência aparente. Quando multiplicados pelo fator de proporcionalidade k e representados graficamente, esses valores
os eletrodos de
empregado em levantamentos geoelétricos conduzidos por geofísicos. Outras informações podem ser encontradas na NBR 7117-1:2020.




formam a chamada curva de resistividades aparentes, que expressa a variação desse parâmetro em função do espaçamento. A Figura 2 apresenta dois exemplos de curvas de resistividade aparente, obtidas a partir de medições com o arranjo de Wenner. Quanto maior o afastamento “a” entre as hastes, mais profundos são os caminhos percorridos pela corrente injetada no solo. Assim, medições com pequenos espaçamentos fornecem informações predominantes sobre as camadas mais superficiais, enquanto medições com maiores espaçamentos captam a influência de camadas mais profundas.
Dessa forma, a curva resultante da aplicação do método de Wenner – como as ilustradas na Figura 2 – traz informações sobre a variação da resistividade do solo em função da profundidade. A partir dessas curvas, aplica-se um processo matemático denominado inversão, que permite obter um modelo de solo estratificado em camadas, representativo da estrutura geoelétrica média da área prospectada. Esse modelo de solo estratificado é essencial para o projeto do aterramento, sendo fundamental para a determinação de parâmetros como a resistência de aterramento de pé de torre e a distribuição de potenciais na superfície do solo – aspecto especialmente relevante em LTs que atravessam áreas urbanas.


Figura 2 – Exemplos de curvas de resistividade aparente do solo. A curva contínua representa o modelo matemático obtido por inversão, considerando a estratificação do solo em camadas
Os parágrafos anteriores abordaram os fundamentos físicos e teóricos da prospecção de resistividade do solo, com foco na aplicação do arranjo de Wenner. Nas próximas duas seções, são apresentados os instrumentos utilizados nesse processo e os desafios encontrados em campo. Antes de dar seguimento, seguem alguns comentários complementares:
• Devido à anisotropia e heterogeneidade do solo, recomenda-se realizar medições em diferentes direções. No caso de projetos de
aterramento de linhas de transmissão, as medições devem ser feitas em direções ortogonais nos pontos de locação das torres, preferencialmente uma no sentido longitudinal ao traçado da linha de transmissão e outra na direção perpendicular. Discrepâncias significativas entre os valores obtidos para diferentes direções de medição, para um mesmo afastamento entre as hastes, podem indicar heterogeneidade significativa do solo ou erros de medição, como interferências de materiais metálicos enterrados. Nessa situação, recomenda-se refazer a medição em uma terceira direção e, caso a heterogeneidade significativa do solo se confirme, aumentar o número de direções de medição para obter uma representação mais precisa das condições locais.
• No arranjo de Wenner, cada direção de medição deve abranger diferentes espaçamentos entre os eletrodos, os quais estão diretamente relacionados à profundidade de solo prospectada. A profundidade relevante para a definição do desempenho de um sistema de aterramento e, consequentemente, para a obtenção do modelo de solo mais adequado, depende das dimensões do sistema: quanto maior a área coberta pelo aterramento de pé de torre, maior será a influência de camadas de solo mais profundas. Assim, a definição dos espaçamentos de medição deve considerar essa relação. No contexto de projetos de aterramento de LTs, a medição com o arranjo de Wenner é realizada, tipicamente, iniciando-se com espaçamentos de 1 m entre eletrodos, prosseguindo-se em potências de 2 (1 m, 2 m, 4 m, 8 m, 16 m, 32 m, 64 m). Dependendo das características do solo e da dimensão do aterramento, podem ser necessários espaçamentos maiores, como 128 m. Além disso, quando necessário, podem ser adotados espaçamentos intermediários para obter uma maior sensibilidade da variação da resistividade em função da profundidade.
• Considerando a variação sazonal da resistividade do solo, recomenda-se que as medições sejam realizadas no período mais seco, uma vez que isso permite uma caracterização conservativa do solo, refletindo valores mais elevados de resistividade, principalmente nas camadas superficiais em contato mais próximo com os cabos contrapeso. Essa abordagem fornece uma condição crítica de referência para o projeto do aterramento. No entanto, como destacado na NBR 71171:2020, o cronograma da obra pode impor restrições que inviabilizem a realização das medições exclusivamente nesse período. Algumas instruções técnicas de concessionárias e transmissoras de energia ainda recomendam aguardar de 3 a 7 dias após chuvas antes da realização das medições. Embora a norma atual não estabeleça esse período mínimo, enfatiza-se que é desejável realizar as medições em períodos secos. Dessa forma, deve-se evitar que medições realizadas logo após períodos chuvosos resultem em estimativas excessivamente otimistas da resistividade (valores muito baixos), o que pode comprometer a previsão do desempenho do aterramento e gerar necessidade de correções após a instalação. Situações muito específicas podem exigir adaptações a essa recomendação. Por exemplo, em regiões de clima semiárido, onde os períodos de estiagem são longos e as chuvas concentradas em curtos intervalos, a baixa umidade e as altas temperaturas podem inviabilizar as sondagens geoelétricas sem um prévio umedecimento do solo.




Informações gerais sobre os equipamentos utilizados para sondagem geoelétrica podem ser encontradas no Anexo B (informativo) da NBR 71171:2020 [2]. Basicamente, dois equipamentos são amplamente utilizados para essa finalidade: o terrômetro, de uso consolidado entre engenheiros eletricistas, e o resistivímetro, amplamente empregado por geofísicos, mas ainda com adoção incipiente no setor elétrico. Ambos os equipamentos possuem uma fonte de tensão (contínua ou alternada), um amperímetro e um voltímetro (ou galvanômetro), sendo que o display pode ser calibrado para exibir diretamente a resistência aparente, posteriormente convertida em resistividade aparente por meio do fator geométrico correspondente ao arranjo de medição utilizado. A interligação ao solo é feita por quatro terminais conectados a hastes – duas de corrente e duas de potencial.
Os terrômetros operam em corrente alternada e, para garantir a segurança dos operadores em conformidade com os requisitos da IEC 61557-5:2019, possuem baixa potência e corrente de saída, tipicamente limitadas a 1 W e 15 mA (pico a pico), com tensão aplicada entre as hastes de corrente não superior a 50 V. Esse instrumento é amplamente difundido e consolidado no setor elétrico brasileiro, tendo sido empregado em inúmeros projetos ao longo de décadas, incluindo linhas de transmissão, usinas geradoras e subestações.
No entanto, discussões técnicas recentes no setor e a experiência de especialistas indicam que certas limitações técnicas do equipamento, impostas por requisitos de segurança, podem levar a alguma incerteza nas medições em determinadas condições, especialmente para grandes espaçamentos entre as hastes de corrente (acima de 100 m) e solos de alta resistividade (superior a 1000 Ωm) [3]. Esse efeito decorre, fundamentalmente, da baixa potência do equipamento, que limita a corrente injetada no solo nessas condições, reduzindo a relação sinal/ ruído das quedas de tensão medidas. Como resultado, pode haver um aumento do erro de medição ou, em alguns casos, a impossibilidade de obter leituras confiáveis.
Os resistivímetros operam com corrente contínua (CC) ou com muito baixa frequência (VLF - very low frequency), geralmente abaixo de 15 Hz, e possuem potência muito superior à dos terrômetros [2, 3]. As especificações variam conforme o fabricante e o modelo, mas, tipicamente, apresentam potência da ordem de dezenas a algumas centenas de watts e tensão de saída entre centenas de volts e 1 kV, não estando sujeitos às restrições de segurança da IEC 61557-5:2019. Essa maior potência viabiliza a injeção de correntes significativamente mais altas (entre centenas de mA e alguns A), o que resulta em quedas de tensão maiores no solo, proporcionando melhor relação sinal/ruído e, consequentemente, medições de maior exatidão. Esse efeito é particularmente relevante para grandes espaçamentos entre hastes de corrente e para solos de alta resistividade.
Além disso, os resistivímetros, dependendo do modelo, fornecem informações detalhadas sobre a corrente injetada e as tensões medidas durante a execução das medições – incluindo potenciais espontâneos presentes no solo –, permitindo verificar se a corrente injetada é suficiente
para garantir medições confiáveis. Esse tipo de recurso auxilia no controle da qualidade dos parâmetros medidos e possibilita ajustes em campo para otimizar o nível de corrente injetada, como a realocação dos eletrodos de corrente ou a aplicação de solução salina nos pontos de cravação. Essas medidas são essenciais para assegurar a exatidão das medições em solos de elevada resistividade (ver seção “Desafios no levantamento da resistividade do solo no contexto de linhas de transmissão”).
Por outro lado, o resistivímetro tende a ser um equipamento de maior porte, com mais peso e volume, o que pode dificultar seu transporte e manuseio em campo, especialmente em locais de difícil acesso ao longo do traçado da LT. Além disso, o tempo necessário para a configuração e realização das medições costuma ser maior em comparação aos terrômetros convencionais, exigindo operadores capacitados para a correta utilização do equipamento e interpretação dos resultados. Embora tanto terrômetros quanto resistivímetros exijam cuidados com segurança, o uso do resistivímetro demanda atenção especial devido às tensões significativamente mais elevadas. Dessa forma, a equipe deve ser qualificada em segurança elétrica e utilizar os EPIs adequados, como luvas e botas isolantes.
Independentemente do instrumento utilizado, a presença de profissionais qualificados e experientes nas campanhas de medição geoelétrica é essencial para minimizar erros e garantir medições confiáveis, evitando que imprecisões comprometam o posterior dimensionamento do aterramento. Nesse contexto, é recomendável que a equipe de campo, ou pelo menos os líderes da frente de serviço, receba treinamento específico antes do início da campanha de medições, assegurando o correto manuseio dos equipamentos e a interpretação adequada dos resultados.
DESAFIOS NO LEVANTAMENTO DA RESISTIVIDADE DO SOLO NO CONTEXTO DE LINHAS DE TRANSMISSÃO
A realização de medições em condições de campo apresenta, naturalmente, diversas complexidades. No caso das campanhas geoelétricas para o levantamento do perfil de resistividade do solo ao longo do traçado da linha de transmissão, tais desafios podem se intensificar devido a fatores específicos desse contexto. Além disso, considerando o elevado número de torres típicas desses projetos, a realização das medições exige um esforço logístico significativo, tornando a atividade ainda mais desafiadora.
Um dos principais desafios está relacionado à topografia e às condições de acesso. Diferentemente de outras instalações elétricas, como subestações, cujas áreas passam por terraplanagem, os locais de medição ao longo da rota da LT podem apresentar terreno acidentado e de difícil acesso. Além disso, pode ser necessário abrir picadas em regiões de vegetação densa, o que demanda tempo, mão de obra especializada e, em alguns casos, autorizações ambientais específicas. Ainda, em áreas alagadas – como brejos –, o acesso pode ser extremamente difícil ou inviável. Já em solos rochosos, a cravação das hastes pode ser dificultada ou até inviável.



Nesses casos, é fundamental que a equipe responsável registre detalhadamente todas as dificuldades encontradas, incluindo a inviabilidade da medição e a limitação dos espaçamentos disponíveis. Quando não for possível realizar medições, recomenda-se anotar as características do solo observadas visualmente, permitindo ao menos uma estimativa qualitativa da ordem de grandeza da resistividade. Esses registros são cruciais para classificar as torres quanto ao impacto no desempenho da LT. Particularmente, nas torres onde não foi possível obter dados confiáveis, a incerteza na resistência de aterramento pode demandar monitoramento inicial para avaliar seu desempenho e, se necessário, adotar posteriormente medidas corretivas.
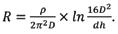
A sondagem geoelétrica em solos de alta resistividade pode apresentar desafios, especialmente devido à limitação da corrente injetada pelo instrumento de medição, principalmente quando utilizado terrômetros tradicionais. Considerando o arranjo de FrankWenner, ilustrado na Figura 1, a corrente fornecida pelo instrumento é injetada pela haste C1 e retorna pela haste C2. Cada uma dessas hastes possui uma resistência própria de aterramento, que pode ser estimada pela fórmula clássica de resistência de eletrodo vertical, isto é, RT=ρ/ (2πL)×[ln(4L/r) – 1], em que “ρ” é a resistividade do solo no entorno da haste, “L” é o comprimento da haste e “r” é o seu raio. Para exemplificar, considerando hastes de 3/8’’ e 30 cm de comprimento, a resistência de aterramento de cada haste de corrente pode ser aproximada por RT≈2,4ρ. Idealmente, um terrômetro convencional deveria possuir uma fonte de corrente interna que fornecesse um valor fixo, independentemente da resistência a medir, e com um limite máximo imposto por questões de segurança.
No entanto, como um exercício para avaliar o impacto da alta resistividade do solo na corrente fornecida pelo equipamento, suponha que um terrômetro convencional aplique uma tensão limitada a 50 V entre as hastes de corrente, conforme indicado no Anexo B da NBR 7117-1:2020 [2]. Nesse caso, a corrente fornecida pelo instrumento pode ser estimada por I=50/(2,4ρ+2,4ρ)≈10/ρ [A]. Dessa forma, em solos com resistividade da ordem de 10.000 Ω.m (valores não incomuns no Brasil), a corrente injetada pode ser inferior a 1 mA, o que compromete a confiabilidade da medição devido à baixa relação sinal/ruído das quedas de tensão medidas.
Os manuais dos terrômetros geralmente especificam os valores máximos toleráveis para a resistência das hastes de corrente, sendo fundamental que a equipe de medição conheça essas restrições. Além disso, terrômetros comerciais costumam emitir um sinal sonoro quando esse limite é ultrapassado, indicando que a corrente injetada é insuficiente para garantir que a medição esteja dentro das incertezas especificadas pelo fabricante. O coordenador da equipe de medições deve estar preparado para avaliar cada medição, verificar o cumprimento dos requisitos de qualidade e, se necessário, tomar providências para uma nova leitura em condições mais favoráveis.
Para reduzir a resistência das hastes de corrente e possibilitar uma corrente de medição de maior valor, algumas estratégias podem ser adotadas: cravação mais profunda das hastes, umedecimento do solo


com solução salina na região de cravação e, no caso de espaçamentos entre eletrodos de corrente superiores a 25 m, a utilização de múltiplas hastes conectadas em paralelo. O engenheiro responsável pela análise dos dados de sondagem geoelétrica e pelo projeto do aterramento de pé de torre também deve atentar para valores obtidos fora das condições de operação indicadas no manual do terrômetro.
Particularmente, em regiões onde o traçado da LT atravessa solos predominantemente de alta resistividade, recomenda-se a utilização de um resistivímetro em vez de um terrômetro convencional, uma vez que esses equipamentos permitem a injeção de correntes mais elevadas, aumentando a queda de tensão medida no solo e, consequentemente, melhorando a relação sinal/ruído das medições. Caso a utilização do resistivímetro não seja viável, a especificação técnica de medição do empreendimento deverá ser revisitada para incluir medidas mitigadoras, como as aqui propostas, entre elas o aumento do comprimento e/ou do número de hastes de corrente, o umedecimento do solo na região de cravação dos eletrodos, entre outras ações que favoreçam a confiabilidade das medições.
Outro desafio no levantamento da resistividade do solo no contexto de linhas de transmissão é a definição do espaçamento “a” entre as hastes no arranjo de medição, que determina a profundidade prospectada e deve estar alinhado às dimensões dos eletrodos de aterramento – no caso de LTs, ao comprimento dos cabos contrapeso. Cabos mais longos abrangem volumes maiores de solo e camadas mais profundas, exigindo espaçamentos maiores para uma modelagem geoelétrica representativa. No entanto, durante a campanha de medição, o comprimento exato dos cabos contrapeso geralmente ainda não foi definido para cada torre, tornando desafiadora a escolha do espaçamento ideal. Um espaçamento inadequado pode comprometer a representatividade do modelo de solo. Assim, recomenda-se, sempre que possível, adotar os maiores espaçamentos entre as hastes, especialmente quando forem observados valores elevados de resistividade – um indicativo de que serão necessários cabos contrapeso mais longos.
Nessas situações, ampliar o espaçamento melhora a representatividade do modelo de solo e minimiza incertezas no projeto do aterramento. Vale destacar que a NBR 17140:2023 estabelece que, no arranjo Wenner, o espaçamento máximo entre os eletrodos não deve ser inferior a 64 m [4], reforçando a necessidade de considerar grandes espaçamentos para obtenção de modelos geoelétricos confiáveis. Para evitar impactos no cronograma da obra, recomenda-se que, conforme a necessidade de maiores espaçamentos seja identificada durante as medições, haja um alinhamento ágil entre as partes envolvidas, garantindo que essas medições sejam direcionadas apenas às torres onde forem realmente necessárias.
Como discutido, a resistência de pé de torre é diretamente proporcional à resistividade do solo. Portanto, medições de boa qualidade





permitem um dimensionamento adequado do sistema de aterramento e podem indicar, ainda nas fases iniciais do projeto, a necessidade de intervenções complementares para melhoria do desempenho da LT. Isso proporciona tempo hábil para que os envolvidos escolham a melhor solução técnico-financeira, uma vez que, após a implantação da LT, futuras intervenções para melhoria de seu desempenho podem ser inviáveis. A título de ilustração, a instalação de para-raios de óxido de zinco ou dos chamados cabos underbuilt pode ser inviável em decorrência de limitações mecânicas das estruturas não projetadas para suportar cargas adicionais. Ainda, a extensão de cabos contrapeso, para faixas além daquelas previstas originalmente no projeto, pode ser de difícil implementação devido a restrições ambientais.
Medições de baixa qualidade podem comprometer significativamente o projeto. Em um extremo, deficiências no aterramento podem passar despercebidas e só serem identificadas nas fases finais da construção ou mesmo durante a operação. No outro, a falta de exatidão nas medições pode levar à superestimação da necessidade de investimentos, resultando na adoção de soluções mais onerosas do que o necessário. Em ambos os casos, a incerteza nos dados iniciais pode impactar diretamente a eficiência técnica e financeira do projeto.
Por fim, independentemente do equipamento utilizado na campanha de sondagens geoelétricas – seja terrômetro ou resistivímetro –, é fundamental que os responsáveis pela medição sejam qualificados e estejam familiarizados com as especificações e limitações do equipamento. Além disso, devem ter conhecimento de estratégias para mitigar eventuais dificuldades de medição em campo, garantindo que os dados obtidos sejam confiáveis e representativos das condições reais do solo.
1. G. F. Tagg, Earth Resistances. London, U.K.: Newnes, 1964.
2. Associação Brasileira de Normas Técnicas (ABNT), “NBR 7117-1: Parâmetros do solo para projetos de aterramentos elétricos Parte 1: Medição da resistividade e modelagem geoelétrica,” Rio de Janeiro, 2020.
3. P. E. F. Freire, Medições em solos de alta resistividade, O Setor Elétrico, dezembro de 2024. (disponível em: https://www.osetoreletrico.com.br/ medicoes-em-solos-de-alta-resistividade).
4. Associação Brasileira de Normas Técnicas (ABNT), “NBR 17140: Aterramento de estruturas e dimensionamento de cabos para-raios de linha de transmissão aérea de energia elétrica,” Rio de Janeiro, 2023.
AGRADECIMENTOS
#O autor agradece as valiosas contribuições técnicas do Eng. Fernando Diniz (Engenheiro de Linhas de Transmissão da área de Expansão da Argo Energia), aos comentários e sugestões técnicas do Eng. Paulo Edmundo Freire da Fonseca (Diretor da Paiol Engenharia) e à revisão técnica do texto realizada pela Dra. Naiara Duarte (Professora Visitante do CEFET-MG).




Um dos pioneiros no estudo do arco elétrico no Brasil, o engenheiro eletricista com mais de 44 anos de experiência em proteção e análise de sistemas, Claudio Mardegan, acompanhado de outros dois grandes especialistas no tema: Márcio Bottaro e Filipe Resende, coordenarão, ao longo de 2025, este fascículo, que tem como objetivo tratar da nova Norma de Arco Elétrico, que está em fase final de elaboração na ABNT.



O objetivo deste fascículo é deixar o leitor ao par da terminologia utilizada sobre o tema energia incidente. Serão abordados:
• Termos e Definições
• Ponderações Anteriores ao Estudo de Energia Incidente
TERMOS E
a) Definição de Perigo – Segundo Sanders e McCormick (1993, pg 675) [37] “Perigo é uma condição ou um conjunto de circunstâncias que têm o potencial de causar ou contribuir para uma lesão ou morte”.
Segundo Kolluru (1996, pg 1.13) [38] “Um perigo é um agente físico, químico ou biológico (incluindo-se a radiação eletromagnética) ou um conjunto de condições que apresentam uma fonte de risco mas não o risco em si”.
b) Definição de Risco – Segundo Sanders e McCormick (1993 pg 675) [37] “Risco é a probabilidade ou chance de lesão ou morte”.
Ainda, segundo Kolluru (1996, pg 1.10) [38] Risco “(…) é uma função da natureza do perigo, acessibilidade ou acesso de contato (potencial de exposição), características da população exposta(receptores), a probabilidade de ocorrência e a magnitude da exposição e das consequências(…)” .
O perigo é o agente que pode causar o risco de lesões ou danos. O risco é o que pode ocorrer em função do agente a que se expõe, como por exemplo: a eletricidade. O risco que se corre ao se expor a este agente pode ser choque elétrico, queimaduras ou óbito. Assim
como um agente químico, que pode causar queimaduras, óbito ou doença grave.
c) Hazard – O perigo de ser ferido ou molestado.
d) Hazard Risk – Risco de ser ferido ou molestado.
Diferença entre Hazard e Risk
O hazard refere-se ao potencial de ser ferido a partir de um condutor energizado (onde a energia liberada pelo sistema é o pior caso). Risco é a combinação da probabilidade de ocorrência de um ferimento e a severidade desse ferimento resultante de um Hazard.
Resumindo:
e) Arc Flash Hazard (Def NFPA) – Condição de perigo associada com a possível liberação de energia causada por um arco elétrico.
f) EPI – Equipamento de Proteção Individual
g) EPC – Equipamento de Proteção Coletiva
h) FR – Flame Retardant – Retardante a Chama
i) HRC – Hazardous Risk Category – Categoria de Risco da vestimenta. De acordo com a NFPA 70E, a partir de 2015 não deve mais aparecer na etiqueta.
j) ATPV - O ATPV (Arc Thermal Performance Value) é o valor em calorias por centímetro quadrado da proteção conferida pelo tecido ao efeito térmico proveniente de um arco elétrico e está diretamente relacionado às características do tecido que compõe a vestimenta e sua tecnologia de fabricação. Representa o valor máximo de energia




incidente sobre o tecido que resulta numa energia no lado protegido que poderia com 50% de probabilidade causar queimaduras de segundo grau. O valor do ATPV é uma estimativa da barreira conferida pelo tecido e, consequentemente, da vestimenta com ele confeccionada. Assim, com base nos cálculos da energia incidente (cal/cm2) determina-se o nível de proteção necessário. Lembrando que, de um modo geral, quanto maior a gramatura do tecido maior a proteção.
k) EBT – Breakopen Probability.
l) Ei – Energia Incidente.
m) Fire Flashover - É a ignição repentina e simultânea de todo o material de um ambiente. Ocorre quando gases aquecidos atingem a superfície superior do ambiente, se espalham e o calor é irradiado até o ponto em que todo o material combustível atinge a temperatura de ignição, queimando em chamas. A temperatura pode atingir valores de 540ºC em poucos segundos. Fumaça preta densa é um dos indícios mais comuns do fenômeno (fonte NFPA – report guide –all about fire). A Foto abaixo mostra o teto e as paredes carbonizadas comprovando o “Flashover”.

n) Diferença entre Energia Incidente e ATPV
“As calorias indicadas na vestimenta são conhecidas como ATPV (Arc Thermal Performance Value) e é expressa em Cal/cm2 Representam uma probabilidade de 50% de se ter queimadura de segundo grau nesse valor. Para atender a Energia Incidente

calculada e consequentemente ter uma baixa probabilidade de se ter queimadura do segundo grau (valores próximos a zero) o valor do ATPV deve ser sempre maior que a Energia Incidente. Deve-se solicitar ao fabricante da vestimenta a curva do ensaio da mesma.”
Veja Figura 2.
Com 10.1 Cal/cm2, tem-se 50% de probabilidade de ter queimadura de segundo grau.
Com 8 Cal/cm2 a probabilidade de se ter queimadura do segundo grau cai para valores próximos a zero.
Conclusão: Para se proteger uma Energia Incidente (EI) de 8 cal/ cm2 é necessário um ATPV de 10.1 cal/cm2.
Logo o número de calorias expresso nas vestimentas NÃO REPRESENTA uma proteção de baixa probabilidade de queimadura, MAS DE ALTA PROBABILIDADE DE QUEIMADURA. Para saber se a sua vestimenta está adequada é importante solicitar ao fabricante de sua vestimenta o certificado de ensaio como o mostrado na Figura 2.
o) Suit hood – Capuz
p) Hard hat – Capacete
q) Face shield – Protetor facial
r) Safety glasses – Óculos de segurança
s) Safety goggles – Óculos de segurança (ampla visão)
Diferença entre safety glasses and safety goggles
Safety glasses allow air in and around the eye area while safety goggles fit tight against the face, offering protection against dust and splashes.
t) Leather gloves – Luvas de couro
u) Leather footwear – Bota de couro
v) Hearing protection – Protetor auricular
w) Jacket – Jaqueta
x) Parka – Casaco com capuz largo e impermeável
y) Rainwear – Capa de chuva
z) AR – As required
aa) AN – As needed
bb) SR – Necessária a escolha
cc) FR – Flame retardante (retardante à chama)
dd) HOA – Horizontally in Open Air. Terminologia a ser utilizada na nova IEEE 1584 para designar barramentos horizontais fora de invólucros (painéis).
ee) VOA – Vertically in Open Air. Terminologia a ser utilizada na nova IEEE 1584 para designar barramentos verticais fora de invólucros (painéis).
ff) HCB – Horizontally in Closed Box. Terminologia a ser utilizada na nova IEEE 1584 para designar barramentos horizontais dentro de invólucros (painéis).




gg) VCBB – Vertically in Closed Box at the Bottom. Terminologia a ser utilizada na nova IEEE 1584 para designar barramentos verticais dentro de invólucros (painéis) terminando na parte inferior.
hh) VCB – Vertically in Closed Box. Terminologia a ser utilizada na nova IEEE 1584 para designar barramentos verticais dentro de invólucros (painéis) terminando no meio do painel.
ii) HRC – Hazardous Risk Category – Categoria de Risco da vestimenta. De acordo com a NFPA 70E, a partir de 2015 não deve mais aparecer na etiqueta.
jj) Arc Flash Boundary – Quando existe a probabilidade de ocorrência do arco, é a distância entre a fonte de arco e o limite onde uma pessoa pode ficar sujeita a uma queimadura de segundo grau, se ocorrer um arco.
kk) Arc Flash Suit (Conjunto de Arc Flash) – Uma vestimenta resistente ao arco completa e sistema de equipamento que cubra todo o corpo, exceto a mão e o pé.
ll) Arc rating (classificação para o arco) – O valor atribuído aos materiais que descrevem a sua performance à exposição à descarga de um arco elétrico. Este arc rating é expresso em cal/cm2 sendo o seu valor determinado pelo ATPV (arc thermal performance value) ou a energia limite do Breakopen (EBT). O arc rating é o resultado do teste de ATPV e EBT, o que for o menor deles. Rating é quando o componente suporta nominalmente e duty é quanto ele é solicitado.
mm) Flashover [30] – Descarga disruptiva através do ar ao redor ou sobre uma superfície isolante sólida ou líquida entre partes condutivas de potenciais diferentes, produzida pela aplicação de tensão onde o caminho de ruptura fica suficientemente ionizado para manter o arco elétrico nn) distância-limite de aproximação ao arco elétrico - distância de uma fonte de arco elétrico acidental potencial em que a energia incidente é calculada para ser 5,0 J/cm² (1,2 cal/cm²). Os seguintes termos são também utilizados para definir a distância-limite de arco: Limite Segurode Aproximação – LSA; Limite de Aproximação Segura – LAS; Limite de arco elétrico – LAE.
PONDERAÇÕES ANTERIORES AO ESTUDO DE ENERGIA INCIDENTE
Antes de iniciar um estudo de energia incidente algumas ponderações devem ser feitas para que o estudo retrate a situação, “o mais real possível”.
Quanto à escolha entre Energia Incidente e Categoria
Quanto à escolha entre Energia Incidente e Categoria, a NFPA-70E é clara. A escolha deve ser por Energia, sempre que se utiliza um método de Cálculo de Energia Incidente. A escolha por categoria é normalmente aplicada a pequenas instalações como bares, restaurantes, ou seja, locais onde o dispositivo de proteção existente tem as capacidades de interrupção explicitadas na norma NFPA-70E, bem como o tempo máximo de interrupção.
Importância dos Dados
Todo cálculo é pautado sobre metodologias baseadas em modelos, que são obtidos dos componentes de sistemas reais. Assim, os dados utilizados no estudo devem retratar o sistema real da forma mais fidedigna possível.
Energia Incidente
A energia que deve estar explicitada na etiqueta/label/placa de advertência deverá ser a maior possível.
Para se obter a maior energia possível utilizam-se:
a) Simulação de Diversos Cenários
b) Falta no lado da fonte e do lado da carga
c) Se devem ser consideradas as contribuições dos motores
d) Sistemas com geradores com diversas condições operacionais
e) Placa de Advertência
f) Método
g) Locais com mais de uma fonte
a) Simulação de Diversos Cenários
Os cenários devem conter as diversas possibilidades operacionais de cada planta, tais como interligações abertas/fechadas, condições de operação dos maiores motores da planta, geradores (cogeração, transferência em rampa ou apenas emergência).
b) Falta no lado da fonte e do lado da carga
Em geral a falta do lado da fonte (na cabeça do dispositivo de proteção do ponto onde sendo calculada a energia incidente) leva a valores de energia incidente maiores devido ao fato de que o dispositivo de proteção que irá remover a falta será aquele à montante, aumentando assim o tempo de eliminação e consequentemente a energia incidente. Em alguns casos muito específicos pode ocorrer o contrário, razão pela qual devem ser estudas as duas possibilidades.
c) Se devem ser consideradas as contribuições dos motores
Como dito anteriormente a energia incidente deve ser calculada da forma mais real possível. Cabe aqui algumas ponderações.
Motores de Indução – Normalmente não contribuem mais para o curto-circuito após 100 ms.
Motores Síncronos – Contribuem por tempo de segundos.
Motores com Inversores Não Regenerativos – Não contribuem durante o curto-circuito.
Motores com Inversores Regenerativos – Entram em limitações de corrente e deve-se considerar a contribuição de apenas 3xIn (segundo a norma IEC 60909).
d) Sistemas com geradores e com diversas condições operacionais
Devem ser simuladas as diversas condições operacionais:

• Só concessionária
• Concessionária mais gerador (gerador cogerando)
• Apenas gerador (gerador em ilha)


De acordo com a norma IEC 60034-3 2007, item 4.19, as reatâncias dos geradores podem ter uma variação de tolerância de +15%.
Essa variação impacta uma variação de 30% na constante de tempo do gerador.
Assim, nas simulações devem ser consideradas variações:
Positivas: as reatâncias são corrigidas em +15% (x1.15) e nas constantes de tempo são deduzidos 30%.
Negativa: as reatâncias são corrigidas em -15% (x0.85) e nas constantes de tempo são acrescidos 30%.


Deve existir apenas uma placa para cada equipamento. Não faz sentido e nem é prático colocar uma placa de advertência para cada cubículo ou gaveta. Ninguém vai trocar de vestimenta. Adicionalmente, se dois trabalhadores estão trabalhando em cubículos contíguos, e ocorrer um arco em um cubículo o outro também será afetado.
f) Método
Alguns softwares comerciais permitem diferentes metodologias para se calcular a energia incidente. O engenheiro responsável deve fazer a escolha do método. O método integralizado, é um método que leva em conta os diversos períodos da corrente de curto-circuito. O engenheiro deve analisar detalhadamente cada situação, visto que, no início da corrente de curto-circuito, ocorre decremento das componentes “ac” e “dc” alterando o valor da corrente e, consequentemente, o valor da energia incidente.
g) Locais com mais de uma fonte
Para o cálculo da energia incidente em locais com mais de uma fonte, deve-se considerar a soma das correntes de todas as fontes naquele ponto, considerando-se o tempo de eliminação da falta pelo respectivo dispositivo de proteção e respectiva distância de trabalho.
Escolha o melhor para suas instalações
A Onix é referência no fornecimento de soluções e materiais de média e alta tensão para geração, transmissão e distribuição de energia elétrica como cabos, cordoalhas e miscelâneas.
20 anos itens em estoque +2000
de mercado

de espaço para armazenamento e expedição 6000m³



O segmento de transmissão é estratégico e condicionante para o desenvolvimento nacional. Neste fascículo, teremos como mentor o Eng. Eletricista Rogério Pereira de Camargo, que é atualmente uma referência nacional no tema. Com MBA em Gestão de Negócios pelo IBMEC, Pós-Graduação em Eng. de Manutenção pela UFRJ, Admin. pela FAAP, cursando Pós-graduação Master em ESG e Gestão Estratégica da Sustentabilidade pela FIA Business School, Rogério Camargo atua desde 1994 como Gestor e Diretor Técnico na implantação e operação e manutenção de projetos de transmissão para investidores nacionais e internacionais.
Por Rogério Pereira de Camargo, Bruno de Mello Laurindo1, Paulo Barbosa2


O SIN (Sistema Interligado Nacional) brasileiro é um dos mais complexos e abrangentes do mundo, conectando diferentes regiões do país e garantindo um suprimento de energia eficiente, econômico e de alta segurança operativa. A interligação dos subsistemas visa a otimização dos recursos energéticos e a confiabilidade da operação, permitindo assim o compartilhamento de excedentes entre regiões e contribuindo para a segurança elétrica do país. Este artigo apresenta os princípios da transmissão, a história da interligação do sistema, os desafios da inserção das fontes renováveis e os mecanismos de proteção contra grandes blecautes.
O segmento de transmissão de energia no Brasil é estruturado para garantir a transferência eficiente de eletricidade entre os centros geradores e os consumidores. O nosso sistema de transmissão, chamado de rede básica para níveis de tensão acima de 230 kV, é caracterizado por um sistema de alta tensão, que reduz perdas e melhora a confiabilidade da rede. A regulamentação desse setor é realizada pela Agência Nacional de Energia Elétrica (ANEEL) e pelo Operador Nacional do Sistema Elétrico (ONS), que coordenam a operação e a expansão da rede, com apoio dos estudos de planejamento da EPE-Empresa de Pesquisa Energética, do Ministério de Minas e Energia.
Ele desempenha um papel essencial na confiabilidade e eficiência do fornecimento elétrico, conectando as diversas fontes de geração aos centros de consumo por meio de uma extensa malha de linhas de alta e extra-alta tensão. Esse segmento é fundamental para garantir que a energia gerada em regiões distantes dos grandes centros urbanos, como as usinas hidrelétricas na Amazônia ou os complexos eólicos no Nordeste, possa ser transportada de forma
segura e econômica para os consumidores industriais, comerciais e residenciais.
A transmissão em alta tensão é uma estratégia adotada para minimizar as perdas elétricas durante o transporte da eletricidade. Como as perdas elétricas (ΔP) são proporcionais ao quadrado da corrente (ΔP = I²R), o aumento da tensão reduz a corrente necessária para transferir a mesma potência, diminuindo significativamente as perdas resistivas nas linhas. Dessa forma, a infraestrutura de transmissão é projetada para operar em níveis de tensão que podem variar de 69 kV a 800 kV (lembrando que acima de 230 kV, chamamos de Rede Básica) em corrente alternada (HVAC), do inglês, “High Voltage Alternating Current” e até 600 kV ou 800 kV em corrente contínua (HVDC), do inglês “High Voltage Direct Current”, dependendo das necessidades operacionais e outras condições como da distância a ser transmitida e da capacidade de transmissão da linha. As tensões mais altas são utilizadas para reduzir perdas em transmissões de longa distância, enquanto níveis menores atendem distribuição regional.
A interligação do sistema elétrico brasileiro começou a ser desenvolvida na década de 60, com o objetivo de integrar regiões com diferentes potencialidades energéticas. O modelo consolidou-se na década de 90, com a criação do SIN, permitindo uma gestão centralizada e otimizada dos recursos elétricos do país. A interligação entre as diferentes regiões do Brasil permite a otimização





do despacho energético, aproveitando ao máximo a diversidade de fontes do país. Regiões com maior potencial hidráulico podem fornecer energia para aquelas com maior demanda, equilibrando o suprimento nacional. Entre os principais projetos de interligação regional estão os sistemas Norte-Sul, Leste-Oeste e as conexões entre o Sudeste e o Nordeste.
Esses sistemas são essenciais para a estabilidade e segurança do SIN. Vale salientar que um dos marcos da transmissão no Brasil foi a interligação entre os subsistemas Sul, Sudeste, Centro-Oeste, Nordeste e Norte, permitindo um melhor aproveitamento da diversidade hidrológica e sazonal das diferentes bacias hidrográficas. Esse modelo permite o intercâmbio de energia entre regiões que, em determinados períodos do ano, possuem excedentes de geração e outras que enfrentam déficits, otimizando o uso dos recursos energéticos disponíveis.
O Brasil possui importantes interligações HVDC, incluindo as linhas em 600 kV de Itaipu e Madeira, além da interligação em 800 kV de Belo Monte. Esta tecnologia em corrente contínua tem se mostrado essencial para a transmissão eficiente de energia elétrica em longas distâncias no Brasil. Esse sistema apresenta vantagens significativas em relação às linhas de transmissão convencionais em corrente alternada, especialmente para interligações de milhares de quilômetros, como é o caso das usinas hidrelétricas situadas na Região Norte e Centro-Oeste, distantes dos principais centros consumidores no Sudeste e Sul. A escolha pela tecnologia HVDC se justifica por diversos fatores técnicos e econômicos, e um dos principais benefícios é a redução significativa das perdas elétricas, pois em corrente contínua não há perdas associadas ao efeito capacitivo e indutivo das linhas de transmissão, que são comuns em sistemas HVAC.
Além disso, as linhas HVDC permitem um maior controle do fluxo de potência, melhorando a estabilidade do sistema e possibilitando um despacho energético mais eficiente. Outro aspecto importante é que os sistemas HVDC reduzem a necessidade de novas infraestruturas de linhas, pois conseguem transmitir grandes blocos de energia por meio de um menor número de circuitos. Isso contribui para minimizar impactos ambientais e reduzir os custos relacionados a desapropriações e licenciamento ambiental, fatores sempre críticos na expansão da malha de transmissão no Brasil.
Trazendo algumas questões sobre as grandes interligações HVDC, o Brasil possui alguns dos maiores projetos HVDC do mundo, projetados para escoar a energia gerada por grandes usinas hidrelétricas para os centros consumidores. Entre os principais projetos, destacam-se:
• Itaipu – 600 kV HVDC: inaugurada na década de 80, essa interligação foi pioneira no uso da tecnologia HVDC no Brasil. Como a usina binacional Itaipu gera parte de sua energia em frequência de 50 Hz (para abastecer o Paraguai) e parte em 60 Hz (para o Brasil), a
conversão para HVDC foi uma solução eficiente para viabilizar o transporte da energia para o sistema brasileiro sem conflitos de sincronismo;
• Madeira – 600 kV HVDC construída para integrar as usinas hidrelétricas de Santo Antônio e Jirau (localizadas no rio Madeira, em Rondônia) ao SIN. Esse sistema utiliza duas linhas HVDC em 600 kV para transportar a energia gerada até o Sudeste, reduzindo as perdas na transmissão ao longo dos mais de 2.300 km de distância entre as usinas e os centros consumidores;
• Belo Monte – 800 kV HVDC: o sistema HVDC de Belo Monte foi implementado para escoar a energia gerada pela maior usina 100% brasileira, localizada no rio Xingu, no Pará. O sistema de transmissão foi projetado para enviar a energia gerada para o Sudeste, utilizando duas linhas em 800 kV e um sistema conversor de última geração para garantir maior eficiência na operação.
Com a crescente inserção de energias renováveis intermitentes, como solar e eólica, o uso da tecnologia HVDC pode ganhar ainda mais espaço. Novos projetos de transmissão em ultra-alta tensão (UHVDC), acima de 800 kV, são estudados para otimizar o escoamento de energia em grandes distâncias e aumentar a resiliência do SIN. Além disso, as interligações HVDC submarinas, como as utilizadas para conectar parques eólicos offshore em outros países, podem futuramente ser aplicadas no Brasil para viabilizar novos empreendimentos em alto-mar. Diante desse cenário, a tecnologia HVDC continuará desempenhando um papel estratégico no planejamento do setor elétrico nacional, garantindo que a matriz energética brasileira permaneça sustentável, segura e economicamente viável.



O Brasil possui uma das maiores redes de transmissão do mundo, com mais de 180 mil quilômetros de linhas interligando diferentes regiões. O crescimento contínuo dessa infraestrutura é essencial para acomodar o avanço das fontes renováveis, como solar e eólica, que exigem novos corredores de escoamento devido à sua localização geográfica e intermitência. A expansão da rede busca também aumentar a resiliência do SIN, reduzindo vulnerabilidades a blecautes e melhorando a resposta a oscilações de carga e falhas.
Apesar de sua robustez, o SIN já enfrentou diversos blecautes de grande escala, resultado de falhas técnicas, eventos climáticos extremos ou instabilidades sistêmicas. Alguns dos apagões mais notáveis na história do Brasil incluem:
• Apagão de 1999: Uma falha na transmissão de energia entre Itaipu e São Paulo causou um blecaute que afetou grande parte do país, deixando cerca de 97 milhões de pessoas sem energia. O evento foi um marco para a modernização dos sistemas de proteção da rede;
• Apagão de 2009: Uma combinação de descargas atmosféricas e falhas técnicas interrompeu a transmissão de Itaipu, deixando mais de 60 milhões de brasileiros sem luz. Esse evento reforçou a necessidade de aprimorar a resiliência da rede e os mecanismos de resposta rápida;
• Apagão de 2018: Uma falha na transmissão da linha de 800 kV entre as hidrelétricas de Belo Monte e Xingu provocou um colapso parcial do sistema, afetando as regiões Norte e Nordeste. A demora na recomposição evidenciou desafios na integração de novas grandes usinas ao SIN;
• Apagão de 2023: Um novo episódio de desligamento em cascata afetou 25 estados brasileiros e o Distrito Federal em 15/08/2023, mostrando a importância da redundância e de protocolos mais eficientes para evitar colapsos sistêmicos.
Esses eventos demonstram que, embora o SIN seja projetado para operar com alta confiabilidade, ele ainda enfrenta desafios na rápida detecção e contenção de falhas sistêmicas, especialmente diante do aumento da complexidade da matriz elétrica brasileira.
E já que entramos nessa seara de blecautes e grandes colapsos, vale destacar a Estratégia de Resiliência da Operação em Cenários de Alta Complexidade. E foi neste sentido que, para minimizar os impactos


de grandes blecautes e aumentar a robustez da operação do SIN, o Operador Nacional do Sistema Elétrico (ONS) do SIN, desenvolveu o conceito do ERAC, cuja sigla significa Esquema Regional de Alívio de Carga, que é um sistema especial de proteção específico para o corte de carga por meio de subfrequência do sistema a valores preestabelecidos.
O ERAC efetua o corte automático de cargas por meio de atuadores, como relés. Quando é detectada uma taxa de variação de frequência no tempo (∆f/∆t), desligam-se, cargas previamente estabelecidas como mecanismo de proteção, visando a busca de novo patamar de estabilidade da rede.
O SIN é constituído por quatro subsistemas, que incluem o Sul, o Sudeste/Centro-Oeste, o Nordeste e o Norte, sendo esses subsistemas são interconectados por meio da malha de transmissão, assim propiciando a transferência de energia entre subsistemas, o que permite a obtenção de ganhos sinérgicos, apoiada na otimização integrada dos recursos e demandas do SIN. A integração dos recursos de geração e transmissão permite o atendimento ao mercado com segurança e economicidade.
O ONS disponibiliza um mapa dinâmico do SIN (https://sig.ons.org. br/app/sinmaps/). Nele é possível visualizar as linhas de transmissão, Usinas, Subestações demais informações do SIN.
No entanto, caso ocorra alguma falha e/ou perda de um grande bloco gerador de energia no SIN, proporcionando um desbalanço entre a geração e a carga, a frequência do sistema irá reduzir, em valores abaixo da frequência padrão de 60 Hz. Para evitar isso, o ERAC atua por cada subsistema e/ou região, desligando cargas pontuais e evitando que o sistema entre em colapso.
Cada região e/ou subsistema possui um percentual de corte preestabelecido para cada estágio. Para a região Sudeste, como exemplo, temos os seguintes estágios, conforme mostra o quadro adiante.
Assim, de acordo com o quadro, 7% da carga é cortada quando a frequência atinge o 1º estágio. Se, por acaso, o valor da frequência continue caindo e atingir o 2º estágio, é previsto um corte de mais 7% da carga e assim por diante. Caso comece afetar outros subsistemas, ele será acionado e as cargas serão cortadas.
O ONS disponibiliza um Manual de Procedimentos de Operação, Módulo 10 – Submódulo 10.21, sobre o Gerenciamento de carga por atuação do ERAC que mostra os percentuais de cada região ou área. Para ter acesso aos demais procedimentos de rede vigentes, basta acessar a página do ONS.































































Um exemplo interessante da atuação do ERAC foi o que ocorreu no dia 21/03/2018, na subestação Xingu. Um disjuntor atuou indevidamente e resultou no bloqueio do bipolo 1 do elo de transmissão em corrente contínua da subestação Xingu, que escoa a geração da UHE Belo Monte, assim houve um corte no fornecimento de energia. Com isso, houve uma atuação do ERAC na região Sul e Sudeste/Centro-Oeste cortando 3.665 MW de carga. Isso representa 5% da carga total do momento. O valor de corte de 5% é referente ao documento de vigência anterior ao de 21/04/2020. A figura do gráfico a seguir mostra que a frequência chegou a 58,44 Hz, acionando o primeiro estágio do ERAC.

Fonte: Análise do desempenho do ERAC, 2023, www.ons.org.br
Com isso, percebam que o ERAC é muito mais do que somente um sistema de alívio de carga, como a sigla sugere.
E com a implementação do ERAC, o ONS e as concessionárias de transmissão buscam tornar o SIN mais resiliente a eventos extremos, reduzindo o impacto de apagões e garantindo um fornecimento mais confiável de energia elétrica para o país. Portanto, o avanço contínuo da infraestrutura de transmissão e das estratégias de resiliência é fundamental para manter o SIN estável diante de desafios com o crescimento das energias renováveis e o risco de blecautes sistêmicos. A integração de novas tecnologias de monitoramento e resposta rápida, somada ao planejamento de novas interligações estratégicas, permitirá ao Brasil continuar expandindo sua matriz elétrica sem comprometer a segurança e a confiabilidade do sistema.
ASPECTOS REGULATÓRIOS NO SETOR DE TRANSMISSÃO NO BRASIL
Trazendo um pouco o tema dos aspectos regulatórios, a ANEEL tem um papel central na regulação do setor de transmissão, estabelecendo normas, promovendo leilões para novas concessões e garantindo que as empresas concessionárias cumpram padrões de qualidade e confiabilidade. Já o Operador Nacional do Sistema Elétrico (ONS) é responsável pelo planejamento e operação da rede, coordenando o despacho da geração de acordo com critérios técnicos e econômicos para assegurar o equilíbrio entre oferta e demanda.
O setor de transmissão de energia elétrica no Brasil opera sob um modelo regulado, no qual as concessões para a construção e operação das instalações são definidas por meio de leilões promovidos pela ANEEL. Esses leilões são fundamentais para garantir a expansão da rede de forma eficiente e competitiva, atraindo investimentos privados para o setor. As concessionárias vencedoras desses certames assumem o compromisso de construir e operar as infraestruturas de transmissão dentro dos prazos e padrões de qualidade estabelecidos nos contratos. Em capítulos futuros teremos a oportunidade de destacar com maiores detalhes dos leilões de transmissão no Brasil.
De grande importância nesse contexto é o modelo de receita da transmissão no Brasil, o qual é baseado no conceito de Receita Anual Permitida (RAP), definida pela ANEEL para cada empreendimento de transmissão. A RAP garante que as empresas sejam remuneradas pela disponibilidade da infraestrutura, independentemente do volume de energia transportado, o que incentiva a manutenção da confiabilidade do sistema. Essa remuneração pode ser ajustada periodicamente, considerando fatores como reajustes inflacionários, revisões tarifárias e cumprimento de indicadores de desempenho. Além da regulação promovida pela ANEEL, o ONS desempenha um papel crítico na gestão da operação do SIN. Ele coordena o despacho da geração de energia, definindo quais usinas devem ser acionadas em cada momento para garantir o equilíbrio entre oferta e demanda ao menor custo possível.
O ONS também é responsável pelo planejamento da operação da rede, avaliando cenários de curto, médio e longo prazo para mitigar riscos de sobrecarga e instabilidade. Para isso, realiza estudos que levam em conta fatores como: Crescimento da demanda elétrica no país, Capacidade de geração e transmissão disponível, Integração de novas fontes de energia, como solar e eólica, e os impactos climáticos que possam afetar o suprimento energético.
Nos últimos anos, o setor de transmissão tem enfrentado desafios regulatórios significativos, principalmente relacionados à integração de novas fontes renováveis e à necessidade de modernização da rede. O crescimento acelerado da geração solar e eólica impôs a necessidade de adaptações regulatórias para garantir que o sistema de transmissão consiga lidar com a intermitência dessas fontes e evitar problemas como congestionamentos e curtailment (desligamento forçado de usinas por falta de capacidade de escoamento da energia gerada). Outro desafio é o desenvolvimento de novas infraestruturas de transmissão em regiões remotas, como a conexão de grandes complexos solares no Nordeste e parques eólicos no Sul e Norte. Isso exige um planejamento criterioso para garantir a viabilidade técnica e econômica dos projetos, além de superar dificuldades relacionadas a licenciamento ambiental, desapropriação de
terras e obtenção de financiamentos.
Neste cenário, sob as perspectivas para a regulação do setor, a evolução do arcabouço regulatório se torna essencial para manter o setor de transmissão eficiente e sustentável. Algumas tendências que devem moldar a regulação do setor nos próximos anos incluem:
• Aprimoramento dos critérios de expansão da rede, com novas metodologias para calcular a necessidade de investimentos e evitar gargalos de transmissão;
• Uso crescente de tecnologias digitais na operação do sistema, como redes inteligentes (smart grids) e monitoramento remoto para aumentar a confiabilidade e a eficiência da transmissão;
• Revisão das regras de alocação de custos e remuneração dos agentes, considerando o impacto das novas fontes renováveis e das interligações de longa distância;
• Desenvolvimento de novos modelos de contratação e financiamento de projetos de transmissão, ampliando a participação de investidores privados e fomentando parcerias público-privadas (PPPs).
Dessa forma, a regulação do setor de transmissão continuará desempenhando um papel crucial para garantir que a infraestrutura elétrica do Brasil acompanhe o crescimento da demanda e a transição energética, mantendo a segurança e a qualidade do suprimento de energia para consumidores de todo o país.
A evolução do setor de transmissão também passa por desafios tecnológicos e regulatórios. A integração de novas tecnologias, como digitalização da rede, uso de sensores IoT (Internet das Coisas) para monitoramento de ativos e linhas UHVDC, busca aprimorar a segurança e eficiência da transmissão. Além disso, o crescimento da geração distribuída e dos sistemas de armazenamento de energia traz novas complexidades ao gerenciamento do sistema, exigindo maior flexibilidade e modernização da infraestrutura existente. Tais necessidades também se evidenciam diante de eventos climáticos extremos, como ondas de calor prolongadas ou tempestades e ventos de grande severidade que podem impactar o sistema de transmissão, exigindo recomposição em curto período de tempo.
Esse panorama demonstra que o segmento de transmissão é um dos pilares da segurança energética nacional, sendo essencial para garantir um fornecimento estável e eficiente de eletricidade, enquanto continua a se adaptar às mudanças tecnológicas e às novas demandas do setor elétrico.
Acompanhem os próximos capítulos com diversos outros temas sobre o setor de transmissão. Até a próxima!
1 Bruno de Mello Laurindo é Engenheiro Eletricista formado pela UFRJ com Mestrado em Engenharia Elétrica pela UFF e MBA em Gestão de Negócios pela USP em andamento. Experiência consolidada no setor de transmissão de energia há 8 anos, atuando atualmente na Coordenação de Engenharia e Operação & Manutenção (O&M).
2 Paulo Barbosa é Professor Titular pela UNICAMP desde 2002, e atualmente é Pesquisador Visitante Convidado do CEPETRO- Centro de Estudos de Energia e Petróleo da UNICAMP, com pesquisas sobre Transição Energética e Sistemas Elétricos de Potência.


Conformidade com ABNT 5410/2004, IEC 61643-1 e DIN VDE 0675.




Ao longo do ano, este fascículo reunirá uma coletânea dos melhores artigos apresentados durante o Congresso de Inovação na Distribuição de Energia - CIDE, realizado pelo Grupo O Setor Elétrico, em Parceria com a Abradee, no Transamerica Expo Center, em São Paulo, entre os dais 5 e 6 de junho de 2024.
Por Weber Ramos Ribeiro Filho
As empresas prestadoras de serviço público, comumente chamadas utilities, englobam as companhias de energia elétrica, de água e saneamento, de gás canalizado, de TV a cabo, de internet e telefonia, dentre outras.
Nestas companhias, é comum que o serviço prestado seja periodicamente medido e, posteriormente, informado aos seus usuários através da entrega de faturas que devem ser liquidadas (pagas) pelos consumidores do serviço de forma recorrente.
Dessa forma, mesmo tendo em mente as diferenças e especificidades dos vários tipos de serviços prestados pelas utilities, é possível constatar a presença de três processos comuns que permeiam a cadeia produtiva destes negócios: a medição do consumo (leitura), a entrega da fatura e o pagamento dos valores devidos pelos consumidores.
Dentro deste contexto produtivo, o desenvolvimento e o barateamento das tecnologias de comunicação digital abriram novas possibilidades de efetuar o processo de “medição do consumo”. Estas novas possibilidades deram origem ao paradigma da medição inteligente (smart metering) que, posteriormente, se ampliou ainda mais e acabou se fundindo com ideia de Infraestrutura de Medição Avançada ou Advanced Metering Infraestructure – AMI.
Em linhas gerais, a Infraestrutura de Medição Avançada - AMI pode ser compreendida como o conjunto de dispositivos de hardwares e softwares necessários para promover a comunicação remota e digital entre a unidade consumidora e a companhia prestadora do serviço. Esta comunicação permite que a medição da quantidade consumida, que antes era efetuada in loco pelo leiturista, passe a ser realizada de maneira remota e automatizada, usando
uma das várias modalidades de comunicação digital disponíveis no mercado. Adicionalmente, a Infraestrutura de Medição Avançada também carrega a funcionalidade de corte e/ou religamento remotos, permitindo usufruir ainda mais dos benefícios da comunicação digital e instantânea proporcionada por estes sistemas.
Partindo deste contexto evolutivo do paradigma da medição inteligente, o presente ensaio busca avaliar de forma sistêmica e integrada os reais custos e benefícios esperados com a implantação da Infraestrutura de Medição Avançada - AMI no Setor Elétrico Brasileiro. Na sequência, são feitas algumas considerações de como as características e particularidades do caso brasileiro afetariam os resultados esperados com a implantação da Infraestrutura de Medição Avançada - AMI, tanto para os consumidores quanto para as distribuidoras de energia elétrica.
Por fim, são apresentadas algumas soluções alternativas concebidas a partir da realidade brasileira e que poderiam potencializar, ou até mesmo substituir, as tecnologias de AMI como forma de se obter medição inteligente no Setor Elétrico Brasileiro.
Embora os termos smart metering e Advanced Metering Infraestructure – AMI venham sendo empregados como sinônimos, eles apresentam diferenças que carecem ser melhor explicadas. Para isso, considere as definições a seguir:
- Smart metering (ou medição inteligente): procedimento estruturado cujo objetivo é otimizar o processo de leitura/medição de uma ou mais grandezas para fins de faturamento.




- Advanced Metering Infraestructure – AMI: conjunto específico de dispositivos de hardwares e softwares necessários para promover a comunicação remota e digital entre a unidade consumidora e a companhia prestadora do serviço. Estes dispositivos incluem medidores especiais e toda a infraestrutura de telecomunicações necessárias para coletar e processar os dados de consumo.
Partindo das definições acima podemos enxergar a AMI como um subconjunto pertencente ao conjunto chamado medição inteligente. Nestes termos, a AMI constitui apenas uma das formas de se obter uma medição inteligente (smart metering), mas não é a única. Ao longo dos próximos capítulos faremos a distinção entre duas modalidades de smart metering: com e sem o uso de AMI.
2.1 - SMART METERING COM O USO DE AMI: AVALIANDO CUSTOS E BENEFÍCIOS
os sistemas de smart metering com o uso de AMI se caracterizam pela implantação de uma infraestrutura específica de dispositivos de hardware e software voltados para promover a comunicação remota e digital entre a unidade consumidora e a companhia prestadora do serviço. Nos parágrafos seguintes são apontados os benefícios e custos desta tecnologia
Benefícios dos sistemas de smart metering usando AMI:
i) Possibilidade de diversificação tarifária
Um dos principais benefícios promovidos pela medição inteligente com o uso de AMI é a possibilidade de se implantar novas modalidades tarifárias. Na visão dos apoiadores desta tecnologia, o uso dos medidores inteligentes possibilitaria a cobrança de tarifas capazes de refletir o custo da energia em diferentes momentos do dia e/ou em diferentes períodos do ano.
Com isso, os consumidores seriam estimulados a utilizar a energia naqueles horários que os custos fossem mais baixos e desestimular o consumo nos horários que os custos estivessem mais altos. Por consequência, esta mudança no comportamento dos consumidores de energia poderia promover a redução da necessidade de investimentos na expansão do sistema ou estimular o uso de fontes de geração de energia mais baratas em substituição às fontes mais caras.
Todavia, o baixo consumo per capita verificado no Brasil tende reduzir os benefícios esperados com a tarifação horária. Segundo dados da Empresa de Pesquisas Energéticas - EPE, o consumo médio na Baixa Tensão é de aproximadamente 160 kWh/mês, e a maior parte dele ocorre devido ao uso do refrigerador. Com este padrão de consumo, dificilmente seriam observadas mudanças significativas no comportamento do consumidor em função de preços horários.
II) Melhoria dos indicadores de qualidade técnica
A melhoria dos indicadores de qualidade técnica (DEC e FEC)
mostra-se como um benefício indireto da medição inteligente com o uso de AMI. Isso porque eventuais interrupções do serviço poderiam ser localizadas de maneira mais rápida, precisa e proativa, facilitando o trabalho das equipes de manutenção no restabelecimento da energia.
iii) Redução de despesas operacionais com leitura e medição
A medição digital e remota proporcionada pelos equipamentos de AMI permitem a redução das despesas com o leiturista. No entanto, para que esta redução de despesas com o leiturista seja efetiva, é necessário que o envio da fatura para o cliente ocorra por meio digital. Caso contrário, as faturas deverão ser enviadas pelos Correios, entregues pelo leiturista ou através de um outro procedimento que assegure a impressão e a entrega das faturas para os consumidores. Em qualquer um destes casos, as despesas com a impressão e a entrega da fatura podem até mesmo superar as economias proporcionadas pela leitura remota proporcionada pela AMI.
iv) Redução de despesas operacionais corte e religação
A possibilidade de promover o corte de consumidores inadimplentes de forma remota elimina a necessidade de deslocamento de mão de obra para este fim, o que acaba reduzindo as despesas com este procedimento. Situação semelhante ocorre também em relação aos religamentos solicitados pelos consumidores após o pagamento de seus débitos. Portanto, o uso do AMI reduz de forma direta e permanente os gastos da distribuidora com os processos de corte e religação de clientes.
v) Redução de perdas não técnicas
A possibilidade de redução de perdas não técnicas viabilizada pela medição inteligente via AMI surge devido ao maior nível de informação sobre o comportamento da carga. Assim, de forma semelhante ao que ocorre no caso da qualidade técnica (DEC e FEC), o conhecimento mais tempestivo e completo do comportamento da carga permite às distribuidoras tomar decisões mais assertivas que aumentam a eficiência e a eficácia das ações de combate às perdas não técnicas. Some-se a isso, o fato de os equipamentos de AMI permitirem uma maior acuraria da medição, mitigando as perdas de energia decorrentes de medições mal calibradas.
vi) Redução da Inadimplência
A já citada possibilidade de “corte remoto da energia” permite que os consumidores inadimplentes tenham o serviço interrompido de maneira imediata e instantânea. Com isso, espera-se que os consumidores evitem a inadimplência devido a uma maior certeza de terem sua energia cortada caso sua situação esteja irregular. Portanto, por esta ótica, poderia se inferir que o uso do smart metering via AMI tende a reduzir os níveis de inadimplência.

Custos dos sistemas de smart metering usando AMI



Os custos para se implantar um sistema com uso de AMI envolvem as despesas com aquisição e instalação dos equipamentos de medição (medidores) e da infraestrutura de telecomunicações, além dos custos associados à operação e manutenção de toda a rede necessária para efetivar a comunicação remota entre a unidade consumidora e a prestadora do serviço.
Neste quesito, é possível constatar que os custos com a aquisição e instalação dos equipamentos de AMI vêm sofrendo fortes reduções ao longo dos últimos anos. Dessa forma, embora os valores possam variar bastante em função da tecnologia adotada, do fabricante escolhido, ou dos volumes negociados, é possível encontrar valores médios de aquisição e instalação de AMI da ordem de R$ 650,00 por unidade consumidora.
Isoladamente, o valor absoluto dos custos de implantação da medição inteligente via AMI mostra-se uma grandeza meio solta e desconexa. Assim, para que possamos avaliar este custo de forma mais relativizada, considere o valor e a composição do fluxo de pagamentos de uma unidade consumidora da classe B1 (Residencial Convencional) com consumo mensal de 160/kWh. Os valores utilizaram como base as tarifas da CEMIG e estão representados na Tabela 1 mostrada abaixo.
Tabela 1: Fluxo de pagamentos de um consumidor típico de energia elétrica

Os dados mostrados na tabela permitem inferir que o nosso consumidor típico paga aproximadamente R$ 19,00/fatura para remunerar e amortizar todos os investimentos feitos pela distribuidora em subestações, postes, transformadores, cabos, medidores além de outros (CAPEX). Nestes termos, é possível inferir que os custos de aquisição e instalação dos equipamentos de AMI (R$ 650,00/UC) equivalem a aproximadamente 34 vezes o valor pago pelos consumidores para remunerar todo o CAPEX das distribuidoras (R$ 19,00/mês).
2.2- SMART METERING SEM O USO DE AMI: BEHAVIORALTECHS E SUAS POSSIBILIDADES
Na seção anterior foi abordada a modalidade de smart metering que requer a implantação de alguma forma de infraestrutura avançada de medição, a qual foi nomeada como smart metering com o uso de AMI. Como demonstrado, os resultados desta tecnologia otimizam somente uma parcela dos fluxos que ocorrem entre o consumidor e a distribuidora, não promovendo nenhum ganho direto em relação aos processos de entrega e pagamento da fatura.
Nesta seção será proposta uma solução tecnológica mais simples e abrangente, que aplica os princípios da economia comportamental para induzir uma participação mais ativa do consumidor nos processos não só de medição, mas também de entrega e pagamento da fatura. Esta solução recebeu o nome de Aplicativo Aidu e seu funcionamento é detalhado a seguir.
O Aplicativo Aidu se apresenta como alternativa tecnológica desenvolvida a partir dos princípios da Economia Comportamental (Behavioral Economics) que tem o objetivo de oferecer a estrutura de incentivos ideal para que os consumidores promovam a migração para os canais digitais de entrega e pagamento de faturas (email e PIX).
Para isso, o Aplicativo Aidu disponibiliza uma plataforma que permite que as faturas dos mais variados serviços como água, energia, telefonia, escola, tv a cabo, condomínio, etc sejam recebidas de forma centralizada em um mesmo local e, a partir daí, organizadas de uma forma amigável para os usuários mediante o uso de tecnologia RPA (Robotic Process Automation).
Aliado a este benefício da centralização da entrega e pagamento de faturas de várias empresas em uma única plataforma, o Aplicativo Aidu ainda oferecerá um clube de vantagens gamificado, desenhado a partir dos princípios da Economia Comportamental e com premiações atraentes para os usuários que utilizarem o aplicativo para realizar a autoleitura, receber suas faturas de forma digital ou pagá-las via PIX.
Portanto, para os consumidores, a utilização do aplicativo se torna altamente interessante por dois motivos: a centralização do recebimento de faturas de diversos serviços em um único local e a possibilidade de ser premiado. A Figura 1 mostrada a seguir oferece uma visão geral da solução ora proposta.

O recebimento de faturas por aplicativos e o seu pagamento por meio de PIX são funcionalidades já conhecidas dos usuários e já se encontram presentes nos aplicativos de algumas prestadoras de
serviço. Por esta razão, estas funcionalidades não serão exploradas em detalhes aqui.
Quanto à funcionalidade de autoleitura do consumo, mostra-se oportuno apresentar a sequência de telas que foi concebida para se efetuar este processo. Estas telas estão mostradas na Figura 2 e destacam o uso de um QR code junto ao medidor para garantir a segurança da medição juntamente com outras medidas adotadas para este fim.

O processo de autoleitura induzido por meio do Aplicativo Aidu dispensa a instalação de equipamentos de AMI e com isso pode ser implantado a custos baixíssimos. Todavia, como qualquer outra tecnologia, o Aplicativo Aidu também apresenta suas limitações. A principal delas seria a ocorrência situações nas quais o consumidor deixa de realizar a autoleitura dificultando os processos de faturamento e cobrança.
Assim, para tratar este e outros problemas, o Aplicativo Aidu foi concebido para ser adotado dentro de um programa maior, cuja participação dos consumidores é voluntária e sujeita a uma série de condições como a própria permissão para o faturamento pela média do consumo, por exemplo. Os detalhes deste programa poderão ser consultados através do botão “Regulamento do Programa” disponível na tela inicial do aplicativo (vide tela mais à esquerda da Figura 1)
VI)- CONCLUSÕES
Os dispositivos de AMI vêm sendo empregados de forma crescente em alguns países, inclusive no Brasil. Diante desta nova realidade, o presente ensaio procurou evidenciar os principais custos e benefícios proporcionados pela medição inteligente frente às características e particularidades do mercado brasileiro de energia elétrica.
Uma vez conhecidos os ônus e bônus desta tecnologia, o trabalho passou a apresentar uma solução alternativa para o processo de leitura/medição que dispensa o emprego de equipamentos de AMI e poderia ser implementada a custos baixíssimos. Além disso, por também promover a digitalização dos processos de entrega e pagamento das faturas, a solução ora proposta tende a se mostrar mais completa ao permitir maior empoderamento e participação do consumidor na cadeia produtiva da eletricidade.
REFERÊNCIAS BIBLIOGRÁFICAS
Baldwin, R., Cave, M. & Lodge, M.: (2012): Understanding Regulation – Theory, Strategy and Practice; 2nd Ed., Oxford University Press Bankes, S. (1993). Exploratory modeling for policy analysis. Operations Research, 41(3):435–449. Bonabeau, E. (2002). Agent-based modeling: Methods and techniques for simulating human systems. Proceedings of the National Academy of Sciences of the United States of America, 99(Suppl 3):7280–7287
















A proteção do condutor neutro contra correntes de sobrecarga e de curto-circuito deve se constituir em uma preocupação dos projetistas de instalações elétricas. No entanto, costuma ser negligenciada. Principalmente nos casos de redução da seção do condutor neutro em relação aos condutores de fase.
Duas devem ser as preocupações básicas: primeiro, em caso de redução da seção do neutro, verificar se os dispositivos de proteção contra sobrecarga e curto-circuito dos condutores fase também protegerão o condutor neutro. O critério a ser utilizado é o mesmo da proteção dos condutores de fase. E a outra verificação a ser feita pelo projetista é com relação à presença de correntes harmônicas de terceira ordem e seus múltiplos no condutor neutro.
Para esse segundo caso, é importante, mais uma vez, efetuar duas análises: a primeira, se será possível reduzir o condutor neutro, mesmo na presença dessas correntes harmônicas. E a outra, é que, se a distorção efetiva de correntes harmônicas de terceira ordem e seus múltiplos for superior à prevista no projeto, como se comportará a proteção do condutor neutro? Esta última condição é a mais difícil de ser prevista. No entanto, não é impossível de ocorrer.
A NBR 5410 atual e o projeto de norma que foi para consulta pública possuem diversos requisitos para auxiliar o projetista nessa tarefa, como por exemplo:
5.3.2.2 Proteção do condutor neutro
5.3.2.2.1 Esquemas TT e TN
5.3.2.2.1.1 Quando a seção do condutor neutro for pelo menos igual ou equivalente à dos condutores de fase, não é necessário prever detecção de sobrecorrente no condutor neutro, nem dispositivo de seccionamento nesse condutor.

5.3.2.2.1.2 Quando a seção do condutor neutro for inferior à dos condutores de fase, é necessário prever detecção de sobrecorrente no condutor neutro, adequada à seção desse condutor. Essa detecção deve provocar o seccionamento dos condutores de fase, mas não necessariamente do condutor neutro. No entanto, admite-se omitir a detecção de sobrecorrente no condutor neutro, se as duas condições seguintes forem simultaneamente atendidas:
a) o condutor neutro estiver protegido contra curtos-circuitos pelo dispositivo de proteção dos condutores de fase do circuito; b) a corrente máxima suscetível de percorrer o condutor neutro em serviço normal for claramente inferior ao valor da capacidade de condução de corrente desse condutor.
5.3.2.2.3 Correntes harmônicas
Nos casos em que o conteúdo harmônico das correntes de fase de circuitos polifásicos possa causar valores de corrente de neutro superiores à capacidade de condução de corrente deste condutor, deve ser prevista detecção de sobrecarga no condutor neutro. A detecção de sobrecarga deve ser compatível com a natureza da corrente do condutor neutro e deve seccionar os condutores de fase, mas não necessariamente o condutor neutro. Para o seccionamento do neutro ver 5.3.2.2.1.
Tão importante quanto realizar essas verificações e correspondentes implementações na fase de projeto é o projetista ter acesso às informações necessárias para tanto. Nesse caso, é fundamental a presença das informações do espectro harmônico nos diversos equipamentos geradores de tais harmônicos, tais como inversores de frequência, variadores de velocidade, soft starter e demais cargas não lineares. Assim como o fator de potência de qualquer equipamento já faz parte dos seus dados de placa, assim também deveria ser com os componentes harmônicos. Quem sabe em breve!

SEGURANÇA EM INSTALAÇÕES E SERVIÇOS EM ELETRICIDADE | Por Aguinaldo Bizzo
MEMORIAL DESCRITIVO DO PROJETO DE INSTALAÇÕES ELÉTRICAS NA NR10
A NR10 define a obrigatoriedade de requisitos de segurança desde a concepção dos projetos das instalações elétricas, estabelecendo requisitos mínimos que devem estar contemplados no memorial descritivo, vide item 10,3.9 : O memorial descritivo do projeto deve conter, no mínimo, os seguintes itens de segurança: a) especificação das características relativas à proteção contra choques elétricos, queimaduras e outros riscos adicionais; b) indicação de posição dos dispositivos de manobra dos circuitos elétricos: (Verde – “D”, desligado e Vermelho - “L”, ligado);c) descrição do sistema de identificação de circuitos elétricos e equipamentos, incluindo dispositivos de manobra, de controle, de proteção, de intertravamento, dos condutores e os próprios equipamentos e estruturas, definindo como tais indicações devem ser aplicadas fisicamente nos componentes das instalações; d) recomendações de restrições e advertências quanto ao acesso de pessoas aos componentes das instalações; e) precauções aplicáveis em face das influências externas; f) o princípio funcional dos dispositivos de proteção, constantes do projeto, destinados à segurança das pessoas; g) descrição da compatibilidade dos dispositivos de proteção com a instalação elétrica.
Ênfase para o item que se refere às influências externas, que segundo glossário na NR10, “são variáveis que devem ser consideradas na definição e seleção de medidas de proteção para segurança das pessoas e desempenho dos componentes da instalação.”
Oriunda das NBR5410- BT e NBR14039- MT, que estabelecem uma classificação e uma codificação das influências externas que devem ser consideradas na concepção e na execução das instalações elétricas, trata-se de um Inventário com todas as condições exteriores a que podem estar sujeitos os diversos componentes da instalação. Essas normas possuem uma subseção que estabelece uma classificação e uma codificação das influências externas que devem ser consideradas na concepção e na execução das instalações elétricas, sendo, A- Meio Ambiente, B – Utilização e C - Construção das Edificações.
Ocorre, que, predominam projetos onde o memorial descritivo das instalações elétricas não evidencia “quais influências externas” foram consideradas para definição e seleção das medidas de controle para perigos e riscos elétricos, ou seja, são documentos “de gênero”, que não atendem os requisitos da NR10. Grande parte desses projetos são feitos por empresas contratadas, e, infelizmente, constata-se que muitos profissionais que elaboram esses projetos desconhecem conceitos técnicos específicos sobre “influências externas”, e, principalmente, a interface do memorial descritivo com

as prescrições estabelecidas na NR10. É fundamental que a elaboração de projetos de instalações elétricas seja precedida de análise das influências externas existentes nos ambientes de trabalho, uma vez que a especificação dos materiais e componentes de uma instalação deve ser baseada nas circunstâncias em que eles deverão operar. Assim, precauções quanto às influências externas devem ser apontadas para servir de advertência, na eventual alteração e uso das instalações, e para que a instalação não venha a ser exposta a influências que não foram consideradas na sua concepção, impactando, dentre outros fatores, na segurança das pessoas expostas ao perigo eletricidade.
As instalações elétricas devem ser executadas a partir de projeto elétrico específico que assegure condições de segurança e saúde dos trabalhadores e usuários, sendo que a existência de um capítulo especificamente dedicado a aspectos de segurança nos projetos elétricos, evidencia o entendimento maior de que a segurança nas instalações elétricas é fator primordial, cuja preocupação deve ser contemplada nos estudos e levantamentos iniciais e se concretizadas na sua concepção, desde a fase de projeto.
Assim, temos um grande desafio no processo de atualização da NR10, onde a definição de requisitos intrínsecos de segurança devem ser contemplados de forma obrigatória no memorial descritivo das instalações elétricas. Especialmente, no que se refere a análise das influências externas existentes nos ambientes de trabalho, de forma que as instalações elétricas efetivamente sejam construídas de forma segura considerando a realidade laboral praticada pelos profissionais que executam atividades de operação e manutenção das instalações elétricas, bem como outras pessoas que realizam atividades com interface com o perigo da eletricidade.
Profissionais que elaboram projetos de instalações elétricas devem capacitados adequadamente, inclusive quanto às premissas estabelecidas na NR10 e nas demais normas, especialmente a NR1 – Gerenciamento de Risco Ocupacionais, uma vez que medidas de controle de engenharia devem ser priorizadas na proteção a riscos elétricos, impactando diretamente na classificação do nível de risco das atividades no Inventário de perigos e riscos elétricos do PGR – Programa de Gerenciamento de Riscos.
As Organizações devem elaborar especificações técnicas de projetos contemplando requisitos específicos a serem considerados no projeto das instalações elétricas, ou seja, não somente definirem escopos de gênero.
INSTALAÇÕES ELÉTRICAS DE MÉDIA TENSÃO | Por Marcos Rogério
TC DE PROTEÇÃO A MONTANTE OU A JUSANTE DO DISJUNTOR?
Tenho observado muitas discussões e ponderações entre os profissionais responsáveis pelos projetos das instalações elétricas no sentido de qual deve ser a escolha para a posição da instalação dos TC de proteção que alimentam relés de sobrecorrente, se a montante ou a jusante do respectivo disjuntor.
A subseção 5.3.4.1, Nota 2 da ABNT NBR 14039:2021 prescreve, para os transformadores de instrumentos que alimentam relés de proteção de sobrecorrente secundários o seguinte:
[...] “Os transformadores para instrumentos conectados aos relés secundários devem ser instalados sempre a montante do disjuntor ou chave a ser atuado(a), garantindo assim a proteção contra falhas do próprio dispositivo.” (grifo nosso)
Encontramos na Seção 5.9 da IEEE Std C37.110-2023 a seguinte recomendação:
[...] “A disponibilidade da proteção contra falha do disjuntor pode determinar qual lado do disjuntor é melhor para a localização do TC. No caso de TC independente, uma falta que ocorra entre o disjuntor e o conjunto do TC pode não ser detectada pela proteção principal.
Todas as condições de falhas possíveis devem ser normalmente consideradas e a localização do TC é selecionada para a eliminação geral mais rápida de uma falta, para evitar pontos cegos na proteção e para avaliar o desempenho geral do sistema de proteção.”
Um importante aspecto que deve ser adicionalmente considerado é o fato de que a ABNT NBR IEC 62271-200:2007 não determina uma posição preferencial para o TC de proteção, se a montante ou a jusante do disjuntor. Ela obviamente deixa essa decisão a cargo do engenheiro especialista em proteção.
Encontramos em 1.3 da IEEE Std 242-2001 a seguinte instrução:
“A proteção do sistema é uma das características mais básicas e essenciais de um sistema elétrico e deve ser considerada concomitantemente com todas as outras características essenciais. Muitas vezes, a proteção do sistema é considerada depois que todas as outras características do projeto foram determinadas e o projeto do sistema básico foi estabelecido. Tal abordagem pode resultar em um sistema insatisfatório que não pode ser adequadamente protegido, exceto por um gasto desproporcionalmente alto. O engenheiro de proteção deve examinar minuciosamente a questão da proteção do sistema em cada estágio do planejamento e incorporar no sistema final um plano de proteção totalmente integrado que seja eficaz, e flexível para crescer com o sistema.”

Alguns profissionais argumentam que, no caso de um curtocircuito a montante do disjuntor (ou em seu interior) e estando o TC a jusante, isso não seria um problema para a proteção, porque a proteção da distribuidora (instalada no ponto de entrega e, portanto, a montante da instalação) desligaria a energização do circuito. Entretanto, devemos notar que, na maioria dos casos, a proteção instalada pela empresa distribuidora da energia é executada por fusíveis que não são limitadores de corrente. Nesse caso, o tempo de desligamento da corrente na ocorrência de um curto-circuito seria muito maior que o recomendável, não só pelo maior tempo de operação inerente à própria curva do fusível, mas também pela necessidade da existência de um intervalo de tempo de coordenação entre a curva de atuação do relé de proteção (que neste caso estaria a jusante do disjuntor) e a curva de atuação do fusível (tipicamente 0,25 s).
A situação acima, contribuiria para um significativo aumento do valor da energia incidente do arco elétrico neste ponto da instalação! Mesmo no caso em que a distribuidora prevê a utilização de religador na entrada da instalação em substituição ao fusível, a instrução da mesma é para que a função ANSI 50 (instantâneo) fique bloqueada e, portanto, mesmo com o uso do religador, a proteção a montante para um curto-circuito no disjuntor com o TC a jusante ocorreria em um tempo muito longo (ajuste da função ANSI 51), ocasionando o mesmo inconveniente do aumento da energia incidente do arco elétrico descrito acima.
Uma possível mudança na redação em uma revisão da ABNT NBR 14039:2021 poderia ser:
“O projetista do sistema de proteção deverá definir a posição dos transformadores para instrumentos conectados aos relés de proteção, se a montante ou a jusante do disjuntor que deverá ser atuado.
Nota É recomendável que os transformadores para instrumentos conectados aos relés de proteção sejam instalados a montante do disjuntor a fim de garantir a proteção em caso de falha do próprio disjuntor.”
Este é com certeza um assunto apaixonante e que desperta várias considerações, entretanto, devemos manter em mente o que preconiza a IEEE Std C37.110-2023, já citada anteriormente neste texto: “Todas as condições de falhas possíveis devem ser normalmente consideradas e a localização do TC é selecionada para a eliminação geral mais rápida de uma falta, para evitar pontos cegos na proteção e para avaliar o desempenho geral do sistema de proteção.” (grifo nosso)


*Paulo Edmundo Freire da Fonseca é engenheiro eletricista e Mestre em Sistemas de Potência (PUC-RJ). Doutor em Geociências (Unicamp), membro do Cigre e do Cobei e também atua como diretor na Paiol Engenharia.

Este artigo é uma continuação do artigo da edição de janeiro, e baseia-se no paper HOMOGENEOUS GROUND MODELS, apresentado por Paulo Edmundo da Fonseca Freire e Wagner Costa, no evento GROUND2024 & 11th LPE - International Conference on Grounding & Lightning Physics and Effects, ocorrido em João Pessoa, Brazil, em novembro de 2024.
2 - EXPRESSÕES PARA O CÁLCULO DE RESISTÊNCIAS DE ATERRAMENTO
Os estudos conduzidos por DWIGHT para o cálculo de resistências de aterramento de diversas geometrias de eletrodos são baseados no conceito de dualidade entre os valores de resistência de aterramento (para a corrente contínua) e de capacitância de eletrodos enterrados, que podem ser expressos pela relação R x C = o - onde:
R - resistência de aterramento (ohms), C - capacitância (Farads), - resistividade do solo (ohms.metro), e o - constante de permissividade elétrica.
Cálculos de resistências de aterramento (próprias e mútuas) de geometrias de eletrodos complexas e de perfis de potenciais no solo, exigem a disponibilidade de software que permita a simulação do comportamento de grupos de eletrodos de aterramento não interligados (malha principal e malhas flutuantes), compostos por condutores horizontais e verticais, enterrados em solos nãohomogêneos, considerando-se a não-equipotencialidade dos eletrodos.
Para geometrias simples de aterramento, em solos de resistividade uniforme (em m), são aplicáveis formulações específicas, que são
apresentadas a seguir. A dedução destas expressões pressupõe a equipotencialidade dos eletrodos, o que significa que a sua acurácia é inversamente proporcional à sua extensão.
2.1- Haste de Aterramento
A resistência de aterramento de uma haste vertical de comprimento L e diâmetro d (d << L), é dada pela expressão de Sunde & Dwight [IEEE book], que pode ser aproximada pela simples fórmula R=ρ/L:

Considerando uma haste de 3m x 5/8" ( = 14,3 mm), cravada em um solo de 100 .m, a aplicação da fórmula completa resulta na resistência de 34,1 , enquanto a expressão mais simples resulta em 33,3 .
Para n hastes de 3 m alinhadas e espaçadas de 3 m, tem-se Rn = k.R1, onde k é dado por:

2.2 - Malha Fechada
A expressão mais simples de resistência de aterramento corresponde a um disco de área A e diâmetro D ao nível do solo de resistividade ρ. Para o cálculo da resistência de uma malha reticulada,
soma-se à expressão anterior, uma parcela que considera a extensão total de condutor enterrado (L) [IEEE-80/2013]:
– disco horizontal -

– malha reticulada -

A resistência de um anel de diâmetro D, de condutor com diâmetro d, enterrado na profundidade h em solo de resistividade ρ, pode ser calculada pela expressão [IEEE book]:
– anel fechado -

Dada uma malha de 10.000 m2 com reticulado de 10 x 10 m (total de 2.200 m), de cabo de cobre nu de 50 mm² ( = 9 mm) e enterrada a 0,6 m de profundidade em um solo com resistividade de 100 m, podem-se calcular pelas expressões acima três valores de resistência de aterramento:
– placa circular – R = 0,44 ; – malha reticulada – R = 0,49 ; – anel circular ( = 113 m) - R = 0,78 Ω;
2.3 - Aterramento em Cruz
Para um eletrodo em forma de cruz, com dois condutores ortogonais de comprimento L e diâmetro d enterrados à profundidade h, vale a seguinte expressão (Dwight):

Uma torre com um aterramento em cruz, formado por dois eletrodos de 30 m x 50 mm2 (d = 9 mm), enterrado a 0,6 m de profundidade em um solo de 500 m, apresentará uma resistência de 23,5 .
2.4 - Eletrodos Longos e Paralelos
Para o cálculo da resistência de pé de torres de linhas de transmissão com contrapesos longos, aplica-se as formulações de DWIGHT para o cálculo da resistência própria (Rp) de um condutor horizontal longo, de diâmetro d e comprimento L, enterrado a uma profundidade h; e a resistência mútua (Rm) entre dois condutores enterrados paralelos, espaçados de D metros. A resistência dos dois condutores em paralelo será dada pela redução do circuito a um Y equivalente.
A aplicação destas expressões para o cálculo da resistência de uma torre de LT, cujo aterramento é constituído por dois contrapesos


em cabo de aço de 3/8" ( 9,2 mm) enterrados em solo de 500 m, a 0,6 metros de profundidade, afastados de 10 metros entre si e com 100 metros de extensão resulta nos seguintes valores:
– Rp = 10
– Rm = 2,1
– Reqv. = 6,1
A Tabela 1 apresenta as resistências de cada uma das quatro configurações de eletrodos acima apresentadas, calculadas de quatro maneiras diferentes – com simulação em software (com o programa Autogrid, um módulo do software CDEGS), utilizando o modelo de solo de 3 camadas, e pelas expressões de Dwight utilizando três métodos resistividades homogêneas, calculadas por três métodos simplificados.
A análise desta tabela revela que para um pequeno aterramento, muito menor do que a abertura máxima AB das sondas de corrente (72 m neste exemplo), o modelo de aterramento homogêneo proposto não é bom (caso da haste de 3 m). A mesma restrição se aplica a uma grade de aterramento muito maior do que AB (caso da malha de 100 x 100 m, com reticulado de 10 x 10 m). Entretanto, para os aterramentos com dimensão máxima (diagonal) da mesma ordem da abertura AB, a média ponderada resulta em um melhor modelo de aterramento homogêneo do que as médias simples, geométrica ou aritmética (modelo IEEE). Pode-se observar que a validade da metodologia proposta requer um levantamento de resistividade com a abertura máxima das sondas de corrente (AB) da mesma ordem da dimensão dos aterramentos previstos.
Tabela 1: resistência de quatro configurações de eletrodos calculada de quatro maneiras diferentes - para o modelo de solo de 3 camadas e para três métodos diferentes de cálculo simplificado do modelo de resistividade homogênea equivalente

Nove experimentos realizados por distribuidoras de energia no Brasil vão apresentar resultados à agência para embasar mudanças no modelo tarifário

As distribuidoras de energia brasileiras se preparam para realizar projetos-pilotos em amostras de consumidores e avaliar possíveis novas estruturas para a tarifa no Brasil. Trata-se do projeto de Pesquisa, Desenvolvimento e Inovação (PD&I) Governança de Sandboxes Tarifários, iniciado em 2022. Neste ano, espera-se que a maioria dos projetos aprovados pela Agência Nacional de Energia Elétrica (Aneel) estejam em fase de campo.
De acordo com o gerente de Planejamento e Inteligência de Mercado da Associação Brasileira de Distribuidores de Energia Elétrica (Abradee), Lindemberg Reis, coordenador do projeto, 2025 será um ano decisivo não só para o PD&I, mas para todo o setor elétrico.
“É como uma plantação: a gente semeou ao longo de 2022 e 2023. Está crescendo, germinando. Começará a dar frutos em 2025 e, em 2026, a gente vai colhê-los para, em 2027, a gente de fato finalizar todo o processo”, explica Reis. Os resultados serão utilizados pela Aneel na tomada de decisão acerca da modernização do setor.
Um ponto a ser observado é a diversidade, uma vez que o Brasil tem dimensões continentais e grandes diferenças até dentro da mesma área de concessão. O diretor executivo de Regulação da Abradee, Ricardo Brandão, ressalta que não há uma tarifa que atenda o país. “O maior desafio é encontrar a combinação desses modelos que vai trazer a melhor adaptação à realidade brasileira”, observa.
A Aneel foi palco de um workshop com as distribuidoras participantes do PD&I em fevereiro. Na ocasião, o diretor geral da agência, Sandoval Feitosa, destacou as transformações vividas pelo sistema nos últimos anos e a importância dos projetos apresentados para melhoria no serviço ao consumidor.
“Nesse mundo que se avizinha, o consumidor é o principal protagonista e será mais ainda. Precisamos entender melhor o comportamento desse consumidor, como maximizar o seu bem-estar e quais os incentivos que geram as melhores respostas. Também precisamos aceitar que não existe uma estrutura tarifária única para consumidores tão diversos”, disse Feitosa. “Nós faremos história revolucionando a forma de cálculo da tarifa do consumidor de energia elétrica no Brasil”, completou.
Nos sandboxes regulatórios, normas são flexibilizadas para testes de iniciativas de modernização. Neste caso, em duas Chamadas Públicas, foram aprovados nove projetos que tratam de temas como adaptação de consumidores residenciais ao mercado livre de energia, tarifas multipartes e outras modalidades. Na primeira chamada há propostas dos grupos Energisa, EDP, Enel e Equatorial. Na segunda, dois projetos são da Copel e um da Energisa. A Light e quatro permissionárias do Sul têm experimentos independentes, que também estão enquadrados no PD&I.


a linha completa de produtos em nosso site.



Escolher condutores elétricos dos mais confiáveis faz toda a diferença na segurança e no desempenho das instalações. Na SIL, qualidade e inovação andam juntas para garantir o melhor aproveitamento energético, hoje e no futuro.


Grandes empresas do segmento apontam fatores como fornecimento de energia renovável, barata e de qualidade, como determinantes para a implantação de novas plantas

Reunindo atributos como localização estratégica, abundância de fontes de energia renováveis, vasta disponibilidade territorial, alta demanda de serviços de computação em nuvem, armazenamento de dados e processamento de informações, o Brasil vem atraindo cada vez mais empresas de data centers para o seu território. Dados do Ministério de Minas e Energia indicam que o segmento registrou um crescimento atípico de fornecimento de energia para projetos de Data Center. Os pedidos para este segmento indicam uma demanda máxima que pode chegar a 9 GW até 2035, considerando 22 projetos registrados nos estados de São Paulo, Rio Grande do Sul, Ceará, Rio Grande do Norte e Bahia.
Abrigando milhares de servidores funcionando 24 horas por dia, exigindo não apenas eletricidade para processamento de dados, mas também para refrigeração e manutenção da infraestrutura, esse desenvolvimento acelerado, no entanto, impõe desafios à infraestrutura elétrica. Estima-se que os data centers sejam responsáveis por cerca de 1% a 2% do consumo global de eletricidade, e essa demanda tende a crescer com o aumento da computação em nuvem e da inteligência artificial.
Concentrando a maior parte dos investimentos do setor, o estado de São Paulo vem buscando alternativas para possibilitar a conexão dessas novas cargas ao sistema, de forma segura e sustentável. Parceira neste desafio, a Empresa de Pesquisa Energética (EPE) vem realizando, desde 2023, estudos para identificar as alternativas mais viáveis para a ampliação das redes de transmissão de energia elétrica no estado.
Um desses estudos, finalizados em fevereiro de 2024, indicou soluções para aumentar a confiabilidade do sistema de transmissão na região metropolitana de São Paulo, considerando o aumento projetado da demanda dos data centers, estimado em cerca de 500 MW. Já em dezembro de 2024, outra análise recomendou um conjunto de reforços na rede elétrica das regiões de Campinas, Jundiaí e Bom Jardim, liberando uma margem adicional de 1.000 MW para novos projetos.
De olho na expansão do mercado, a Elea Data Centers planeja investimentos descentralizados, fora do eixo Rio de Janeiro - São Paulo. No entanto, essa ampliação de atuação enfrenta desafios significativos, que vão desde a disponibilidade de infraestrutura adequada até a garantia de uma matriz energética confiável e sustentável.
“A expansão dos data centers no Brasil tem seguido uma lógica estratégica, partindo dos grandes hubs, como São Paulo, e se expandindo para outras regiões. Hoje, já temos forte presença em cidades como Porto Alegre, Curitiba, Rio de Janeiro e Brasília, além de
Fortaleza, que se tornou um polo relevante no Nordeste. A crescente demanda por inteligência artificial e a tecnologia de nuvem tende a acelerar essa desconcentração de pólos de data centers, pois a fase de treinamento dos modelos de machine learning não exige proximidade com o usuário final (estar perto de São Paulo), mas sim acesso a energia estável e de baixo custo”, explica o diretor de investimentos da Piemonte Holding, companhia de investimentos especializada em infraestrutura digital e fundadora da Elea Data Centers,Victor Almeida.
O diretor explica que o fornecimento de energia barata e de qualidade, é hoje um dos principais fatores considerados para a instalação de uma planta de data centers. “Com o avanço da inteligência artificial, essa descentralização tende a se intensificar, pois a fase de treinamento dos modelos de machine learning não exige proximidade com o usuário final, mas sim acesso a energia estável e de baixo custo. Isso abre novas possibilidades para investimentos no Norte, Nordeste e Centro-Oeste. No entanto, a escolha da localidade para novos data centers precisa considerar três fatores essenciais: terrenos adequados, fornecimento de energia confiável e infraestrutura de conectividade robusta”, analisa Almeida.
Além dos desafios impostos à infraestrutura elétrica, de acordo com Luis Tossi, vice-presidente da ABDC (Associação Brasileira de Data Centers), o crescimento acelerado do segmento de data centers também exige a adoção, em curto prazo, de medidas regulatórias, assim como evidencia a necessidade de maior oferta de mão de obra qualificada, capaz de acompanhar o crescimento do setor.
“Ainda não há uma regulação específica para o mercado de data centers, o setor opera, sobretudo, com base em normas genéricas e boas práticas, alinhadas às exigências do cliente final – especialmente as big techs. Além disso, as regulamentações de segurança e ambientais, comuns a diversas indústrias, também se aplicam ao nosso segmento. Temos alguns outros desafios significativos, e um dos principais é a escassez de mão de obra qualificada. O mercado, de modo geral, enfrenta essa dificuldade. Não é que não existam profissionais, mas a demanda cresce em um ritmo mais acelerado do que a oferta. Por isso, um dos papéis da associação é justamente contribuir para a formação de novos especialistas”, afirma o vicepresidente.
O Operador Nacional do Sistema Elétrico (ONS) também acompanha de perto esse crescimento. Em 2024, com o lançamento do Plano da Operação Elétrica de Médio Prazo do SIN (PAR/PEL), que
tem como objetivo compreender o desempenho elétrico do Sistema Interligado Nacional (SIN), em uma perspectiva de segurança, qualidade e custo para os próximos 5 anos, a entidade destacou a crescente demanda de data centers no Brasil.
“No PAR/PEL 2024, o ONS destaca que um possível crescimento do setor de data centers, demanda discussões sobre diferentes aspectos do setor elétrico brasileiro, como questões regulatórias, requisitos de conexão, modelagem dos estudos sobre o setor, avaliar o impacto do segmento de datas centers no planejamento e a necessidade de mais flexibilidade na operação do SIN”, explica o ONS.
Lançado em janeiro de 2025, a Equinix construiu seu terceiro data center no Rio de Janeiro, o RJ3, com o investimento de US$ 94 milhões (cerca de R$ 500 milhões). O novo empreendimento está localizado em São João de Meriti, na região metropolitana do Rio, a cerca de 30 quilômetros de Botafogo.
Victor Arnaud, Presidente da Equinix no Brasil, destaca a importância deste projeto. “O Rio de Janeiro é um mercado estratégico para a Equinix, pois é um dos principais pontos de
interconexão do Brasil, especialmente devido à sua proximidade com cabos submarinos internacionais que conectam a América Latina a outros continentes. O investimento de US$ 94 milhões no nosso terceiro data center na cidade reflete nosso compromisso em fortalecer a infraestrutura digital do país e atender à crescente demanda por interconectividade, baixa latência e processamento de dados”.
Além do investimento tecnológico, segundo o presidente, o RJ3 foi projetado para operar com padrões de eficiência energética e sustentabilidade, alinhado ao compromisso global da Equinix com energia 100% renovável. “O RJ3 conta com os mais altos padrões de eficiência energética e sustentabilidade, alinhados ao compromisso global da Equinix com energia 100% renovável. Com esse investimento, reforçamos o papel do Rio de Janeiro como um polo digital estratégico para empresas que buscam expandir sua presença na região, aproveitando a interconexão com outros mercados globais e garantindo maior resiliência e performance para suas operações”, esclarece Arnaud.
Em julho do mesmo ano, foi a vez da Elea Data Centers expandir sua atuação. A empresa anunciou a aquisição de dois



data centers na Grande São Paulo, localizados em São Bernardo do Campo (SPO2) e Barueri (SPO3). Esses dois empreendimentos permitirá à entidade acrescentar mais de 100MW de capacidade de energia ao seu portfólio.
De acordo com Victor Almeida, diretor de Investimentos da Piemonte Holding, a escolha desses locais foi em virtudes estratégicas. “São Bernardo foi escolhido por sua ampla disponibilidade de energia e infraestrutura estável, é um local ideal para um data center de alta qualidade e de alta capacidade energética, especialmente para aplicações de Inteligência Artificial (IA). Já Alphaville se destaca como o maior hub de data centers da América Latina, oferecendo conectividade estratégica e baixa latência para empresas que necessitam de alto desempenho”, afirma.
A empresa também firmou uma parceria com a Enel para garantir 50 MW de energia em Alphaville para o próximo ano, com planos de expansão a médio e longo prazo. A previsão de conclusão dos investimentos em Alphaville é para 2026, enquanto os projetos em São Bernardo devem ser finalizados entre 2027 e 2028.
Com cada vez mais presença na infraestrutura digital, as empresas de data centers têm um papel importante na busca por operações mais sustentáveis. Alinhadas às práticas de ESG (Environmental, Social and Governance), companhias como
a Elea Data Centers e a Equinix vêm adotando compromissos ambientais, sociais e de governança para reduzir seu impacto no meio ambiente e promover a diversidade e inclusão
“A Elea Data Centers foi pioneira no setor de data centers no Brasil ao adotar energia 100% renovável em toda a sua operação, utilizando fontes eólicas e solares certificadas. A empresa também garante que 40% dos cargos de liderança sejam ocupados por mulheres ou minorias. Para reforçar seu compromisso com a redução da pegada de carbono, a ELEA é signatária do I-Masons Climate Accord (Coalizão de empresas que visa reduzir as emissões de carbono na infraestrutura digital. O acordo foi lançado em 2022)”, conclui Victor Almeida, diretor de investimentos da Piemonte Holding.
Seguindo na mesma direção, a Equinix pretende zerar suas emissões de carbono até 2030, com o compromisso de utilizar energia renovável em todas as suas plantas. “A Equinix tem metas ambiciosas para zerar suas emissões líquidas de carbono até 2030, alinhadas à metodologia Science-Based Targets (SBTi). Para isso, investimos globalmente em energia renovável – atualmente, quase a totalidade da eletricidade consumida em nossos data centers já vem de fontes limpas. No Brasil e no mundo, utilizamos fontes de energia renováveis, como solar e eólica. Nossos data centers são projetados para maximizar a eficiência energética, com iniciativas que vão desde a utilização de resfriamento avançado até a otimização do consumo de eletricidade”, completa Victor Arnaud, Presidente da Equinix no Brasil.

CUBÍCULO BLINDADO MODULAR CLASSE 17,5kV/630A/16kA
NEW PICCOLO ®

Site Empresa
Arcoir
Delta Perfilados
Dispan
Dutotec Industrial
Engeduto
Exatron Ind. eletrônica
Gimi Pogliano
Grupo Eletropoll
HellermannTyton
HolecBarras
JEA
Kanaflex
Loja Elétrica
MaxBarramentos
Melfex
OBO Bettermann
PEESA
Perfil Lider
Poleoduto
Powerbus Equi. Eletricos SALF
São José Isoladores Elétricos
Simon
Tramontina
Telefone
(11) 2115-7873 (11) 4705-3133 (19) 3466-9300 (51) 2117-6600 (21) 3325-0406
0800 5413310 (11) 4752-9900 (47) 3375-6700 (11) 2136-9090 (15) 3268-1773 (11) 4547-6000 (11) 4785-2100 (31) 3218-8000 (11) 98160-3866 (11) 97321-1081 (15) 3335-1382 (14) 3848-1888 (11) 2412-7787 (11) 2413-1200 (47) 3349-6334 (11) 5641-9000 (19)38529555 (31) 3359-8231 (54) 2101-7070
0800 770 3171 (54) 3461-8200 (47) 3276-4000
www.arcoir.com.br www.deltaperfilados.com.br www.dispan.com.br www.dutotec.com.br www.engeduto.ind.br www.exatron.com.br www.gimipogliano.com.br www.eletropoll.com.br www.hellermanntyton.com.br www.hbindustria.com.br www.jea.com.br www.kanaflex.com.br www.lojaeletrica.com.br www.maxbarramentos.com.br www.melfex.com.br www.obo.com.br www.peesa.com.br www.perfillider.com.br www.poleoduto.com.br www.powerbus.com.br www.salf.com.br www.saojoseisoladoreseletricos.com.br www.simonelectric.com/br www.soprano.com.br www.tasco.com.br www.tramontina.com.br www.weg.net
Cidade
São Paulo
Santana de Parnaiba
Sao Paulo
Cachoeirinha
Rio de Janeiro
Canoas
Suzano
Corupá
Jundiaí
Boituva
Mauá
Embu das Artes
Belo Horizonte
São Paulo
Diadema
Sorocaba
São Paulo
Guarulhos
Arujá
Itajaí SC
Taboão da Serra
Pedreira
Contagem
Caxias do Sul
Boituva
Carlos Barbosa
Jaraguá do Sul
Nesta edição, trazemos uma relação completa dos principais distribuidores e revendedores de materiais elétricos para instalações prediais e linhas elétricas de todo país. Este segmento é um dos mais pulverizados pelo país, estando presente não só nas grandes capitais, como também nas pequenas cidades e comércios de bairro.
Principais produtos para linhas elétricas oferecidos pela empresa

Programas na área de responsabilidade social
x
Exporta produtos acabados
x x x x
Importa produtos acabados
Possui corpo técnico especializado para oferecer suporte aos clientes
x x x x
x
Oferece treinamento técnico para os clientes x
Eletroduto isolante
Eletroduto Metálico
Eletroduto Rígido
Eletroduto Flexível
Canaleta de sobrepor
Duto de piso
Perfilado
Eletrocalha (sem tampa)
Eletrocalha aramada
Bandeja (eletrocalha com tampa) x
Leito (escada para cabos)
Barramentos Blindados
Prensa-cabos
Materiais para amarração e identificação de cabos x
Caixas de pessagem e de ligação
Conduletes
Caixa de embutir
Caixa de sobrepor x x
Conectores e terminais
Acessórios preformados
Espaçadores
Canaletas de alumínio
Isoladores
Material rede compacta
Dutos corrugados
Emenda de cabos
Conexões
Caixas de telefonia x
Telefone
(11) 2621-4811
(11) 4705-3133
(11) 2782-4444
(11) 2725-2604
(21) 3325-0733
(80) 0541-3310
(15) 3326-5429
(11) 3478-5600

(31) 3218-8000
0800 707 3262
(81) 2138-7200
(11) 97321-1081
(19) 3572-9100
(31) 3359-8231
(54) 2101-7070
0800 770 3171
(54) 3461-8200
Site
www.blux.ind.br
www.deltaperfilados.com.br
www.dicompel.com.br www.didziel.com.br www.engeduto.com.br
www.exatron.com.br www.famatelbr.com www.fame.com.br www.lojaeletrica.com.br www.margirius.com.br
www.mectronic.com.br
www.melfex.com.br
www.pluzie.com.br
www.simonelectric.com/br
www.soprano.com.br
www.tasco.com.br
www.tramontina.com.br

Interruptores para uso residencial e análogouso interno x x x x
Interruptores para uso residencial e análogouso externo (IP 44 mínimo)
x x x x x
Interruptores para uso industrial x x x x x x x x
Interruptores por cartão (por exemplo, para uso em hotéis)
Pulsadores para uso geral x x
Interruptores e outros dispositivos de comando e controle
Interruptores para áreas classificadas x x x Relés de Nível x x
Pulsadores para uso hospitalar x x x x x Relés de temperatura
Minuterias x x x x x x x x x x
Variadores de luminosidade (dimmer) x x x x x x x x x x
Controles para ventilador x x x x x x x
Sensores de presença
Temporizadores
Dimer x
x
x
Foot Switches
Tampa para interruptores x
Interruptores com timer x x x
Pulsadores de sobrepor x x x x x x x x
Interruptores alto relevo x x
Interruptores com sensor de presença
Relés foto eletrônicos x
Gerenciador de iluminação
Para uso residencial e análogo (NBR 14136)uso externo (IP 44 mínimo) x
x x x Para uso residencial e análogo (NBR 14136)uso interno x
Para uso residencial e análogo (NBR 14136)com dispositivo antichoque (trava de segurança)
Multitomadas (réguas de tomadas, extensõesNBR 14136)
Para uso industrial (NBR IEC 60309-1) x
Para áreas classificadas x
Para telefonia x x
Para sinal em geral (dados, internet, etc.) x
Caixas para interruptores e tomadas x
Placas para interruptores e tomadas x
Tomada USB x
Adaptadores x
Filtro de linha x x
Carregadores USB x
Tomadas de sobrepor x
Tomadas de painel x x
Tomadas para condulete x x
Time local de Sistemas Especiais de Proteção tem profissionais dedicados para oferecer engenharia e serviços altamente especializados
Clientes da SEL no Brasil podem contar com suporte técnico, engenharia e serviços locais especializados para seus negócios. A empresa tem desenvolvido cada vez mais seu time responsável por projetos de Sistemas Especiais de Proteção, conhecidos também no inglês como Special Protection System ou SPS. A equipe do SPS Brasil atua em proteção e automação e, no momento, trabalha em grandes projetos que envolvem o Sistema Interligado Nacional (SIN), além de plantas industriais dos ramos petroquímico, siderúrgico, papel e celulose e fertilizantes.
Todos os engenheiros dedicados aos projetos receberam treinamento da sede da SEL, em Pullman/WA, nos Estados Unidos, onde a empresa nasceu, e continuam em atualização constante e contato frequente com os outros grupos internacionais de SPS da empresa espalhados pelo mundo. Quinzenalmente, equipes do Brasil, México, Emirados Árabes e outras regiões se reúnem virtualmente para trocar informações sobre os projetos em andamento em um intercâmbio de conhecimentos e experiências, no qual o objetivo é o compartilhamento de lições aprendidas e desenvolvimento de todos.
Com equipe de engenharia brasileira, a SEL amplia mercados e fornece soluções customizadas para empresas. “Os primeiros projetos foram para o setor de óleo e gás, indústria de grande porte, com processos industriais complexos e críticos. À medida que trouxemos essa experiência para o Brasil, pudemos oferecer essa mesma tecnologia para outros perfis de clientes”, afirma o Gerente de Engenharia e Serviços Sênior, Rafael Cernev.
Um dos exemplos é o Sistema de Gerenciamento e Controle de Energia powerMAX que é implementado pela equipe de SPS. O sistema realiza o descarte de cargas em alta velocidade, prevenindo blecautes e possibilitando a seleção de cargas que minimizem efeitos no processo de produção. A solução pode contemplar também o controle de geração da planta, distribuindo potência ativa e reativa entre os geradores, bem como controlando a frequência e a tensão de diferentes ilhas. Outra funcionalidade que pode ser incorporada ao produto é a sincronização automática de disjuntores, possibilitando a interconexão de ilhas, flexibilizando manobras e o restabelecimento da planta após eventos de desconexão com a concessionária ou desligamentos. O domínio da tecnologia no país,


com o entendimento do mercado local, permitiu ao time simplificar e agregar soluções para o mercado nacional.
Líder da equipe SPS, o Engenheiro de Automação Marcos Cabral reforça esse ponto. A nacionalização da solução permitiu ao time simplificar e aplicar tecnologias que antes somente os grandes tinham acesso, “inclusive com uma estrutura local para testes”, lembra o Engenheiro de Automação Felipe Melchert. Ele também destaca outro exemplo: quando o software de Interface Homem-Máquina (IHM) não estava nacionalizado, o programa para edição das telas estava atrelado aos Estados Unidos. Hoje, um software nacional é utilizado. Além de ser uma contribuição para o desenvolvimento de outros serviços nacionais, também facilita alterações na IHM com mais simplicidade e flexibilidade.
Essa personalização pode começar até mesmo quando o projeto está nascendo e o cliente precisa criar uma especificação técnica e entender quais são as melhores soluções para a sua necessidade. “Não apenas demonstramos as nossas soluções, como também visitamos e conhecemos de perto as instalações da empresa e tecnologias existentes, justamente para auxiliar na viabilização do projeto, sugerindo, por exemplo, integrações que possibilitam realizar modernizações sem precisar trocar todo o sistema já em operação”, conta o Gerente de Engenharia da SEL, Rafael Cardoso.
A questão da diminuição dos custos para os clientes é destacada também por Cernev. “Hoje oferecemos suporte e pós-venda local quando o sistema já está em funcionamento”. Ele salienta que, ao desenvolver o time local, foi possível atender a uma gama maior de perfis de clientes, trazendo mais competitividade ao entregar a tecnologia que envolve todos os segmentos de mercado.
Atualmente, a equipe de SPS está envolvida no projeto do Sistema Especial de Proteção (SEP) associado às interligações NorteNordeste-Sudeste. É um grande projeto que está relacionado à
estabilidade do Sistema Interligado Nacional (SIN). “Uma perturbação no Sistema pode causar eventos extremos, como blecautes”, ressalta Cardoso.
Anteriormente, a SEL entregou um projeto similar para o SIN, o sistema especial de proteção para o tronco de 765 kV, linha de transmissão em corrente alternada que liga a usina de Itaipu a São Paulo. O projeto em desenvolvimento será o maior SEP já implementado no Brasil, contratado por meio de um pool de transmissoras sob a liderança da Transmissora Aliança de Energia Elétrica S.A. (TAESA) e do Operador Nacional do Sistema (ONS).
A motivação está nas novas linhas de 500 kV da região NorteNordeste-Sudeste que vão reforçar o escoamento da geração da região Norte e parques eólicos e solar fotovoltaico da região Nordeste para o Sudeste. Para isso, exige-se uma completa reavaliação do SEP existente para eliminar sobrecargas nas Linhas de Transmissão e evitar perda de sincronismo entre os subsistemas do SIN na ocorrência de contingências relacionadas à interligação Nordeste-Sudeste e controles de tensão na região de Brasília (DF). A área de abrangência tem dimensões continentais, incluindo a linha de transmissão HVDC (High-Voltage Direct Current) que liga o Pará até o Terminal do Rio, no estado do Rio de Janeiro. Com 2.500 km de extensão, esta linha de transmissão já foi a maior do mundo.
A grande inovação do projeto é a interligação das redes de comunicação dos 14 agentes de transmissão envolvidos. O grande destaque da solução ofertada pela SEL e escolhida como pela TAESA como a tecnologia mais adequado para um projeto de tamanha envoltura e complexidade é a aplicação de switches Ethernet com a tecnologia de Redes Definidas por Software (SDN). As redes SDN permite que redes de diferentes agentes sejam conectadas e ao mesmo tempo garantem controle e segurança cibernética para cada agente envolvido.
Mesmo com as redes conectadas, cada agente tem o controle total das informações que entram e saem de sua instalação. Este é o principal motivo que levou à escolha do SDN para este projeto.
Aline Cristiane Pan é Doutora em Energia Solar Fotovoltaica e Professora na UFRGS, onde coordena o Grupo de Pesquisa em Transição Energética. Co-fundadora da Rede Brasileira de Mulheres na Energia Solar, tem mais de 25 anos de experiência no setor.
Por e Aline Pan *Juliana Klas
A energia é, por natureza, interdisciplinar. Envolve tanto ciências exatas, responsáveis por desenvolver e otimizar equipamentos e sistemas, quanto ciências sociais, essenciais para a regulação e formulação de políticas públicas. Dito isto, falemos sobre fluxo reverso.
A questão técnica do fluxo reverso não é novidade. Quem trabalha no setor elétrico deve se lembrar da famosa “curva do pato”, apresentada há mais de uma década pelo operador do sistema elétrico da Califórnia (CAISO, 2013). Essa curva mostrava o desafio de balancear a geração e o consumo de energia diante da crescente inserção de fontes renováveis distribuídas, especialmente a solar fotovoltaica.
Se o problema técnico é conhecido há tanto tempo, por que só agora o fluxo reverso está no centro do debate? E mais do que isso: por que, de repente, ele está sendo associado à ameaça de apagões?
A verdade é que a geração distribuída renovável, incentivada desde os anos 2000 como solução para a segurança energética devido ao apagão ocorrido, não causa apagões. O que causa apagões é a falta de ação técnica e política para lidar com os desafios que ela impõe à rede.
O Operador Nacional do Sistema (ONS) já propôs medidas para mitigar os efeitos do fluxo reverso no relatório do Plano Anual da Operação Energética 2024-2028 (PAR/PEL 2024) (ONS, 2024). A questão é que, para essas medidas saírem do papel, é preciso vontade política e cooperação entre diferentes esferas. Se o legislativo aprovou, no passado, uma tarifa menor para remunerar o uso da rede—menor do que o executivo gostaria—agora precisa agir. Se governos estaduais incentivam a geração distribuída visando a criação de empregos e renda (e sim, a energia solar fotovoltaica gera cerca de 20 empregos por MW instalado) (CEPAL, 2020), também precisam dialogar com as concessionárias para garantir melhores práticas de operação.
Além disso, há mais de 20 anos contamos com editais específicos da ANEEL para Pesquisa e Desenvolvimento e Eficiência Energética, com o objetivo de impulsionar a digitalização da

rede elétrica e aprimorar o sistema. No entanto, até hoje, avanços concretos nessa direção são limitados. Se queremos uma verdadeira transição energética no Brasil, a digitalização do setor elétrico precisa ser considerada uma prioridade, pois também contribuiria significativamente para solucionar os desafios da geração distribuída. O fluxo reverso não deveria ser visto como um problema, mas sim como uma oportunidade. A geração excedente de energia, ao invés de ser motivo de preocupação, deve ser tratada como um motor de desenvolvimento sustentável. Para isso, é necessário abandonar o jogo de narrativas políticas e encarar o desafio com a seriedade técnica que ele exige.
REFERÊNCIAS
CAISO – California Independent System Operator. What the Duck Curve Tells Us About Managing a Green Grid. 2013. Disponível em: https:// www.caiso.com/Documents/FlexibleResourcesHelpRenewables_ FastFacts.pdf.
ONS – Operador Nacional do Sistema Elétrico. Plano Anual da Operação Energética 2024-2028 (PAR/PEL 2024). 2024. Disponível em: https://www.ons.org.br/AcervoDigitalDocumentosEPublicacoes/ NT-ONS%20DPL%200114-2024-%20PEN%202024%20-%20 Condi%C3%A7%C3%B5es%20de%20Atendimento.pdf.
CEPAL. Indicadores de desempenho associados a tecnologias energéticas de baixo carbono no Brasil: evidências para um grande impulso energético. CEPAL, 2020. 56 p. Disponível em: https://www. cepal.org/pt-br/publicacoes/45943-indicadores-desempenhoassociados-tecnologias-energeticas-baixo-carbono-brasil.
*Juliana Klas é professora e pesquisadora da Universidade Federal do Rio Grande do Sul (UFRGS). É Doutora em Engenharia Elétrica e possui experiência profissional de mais de 10 anos nas áreas de Projetos de Automação Industrial e Gestão da Tecnologia.
Nosso muito obrigado aos clientes e parceiros que fazem parte desta história de sucesso.
Venha celebrar em nosso Seminário Técnico Internacional, onde especialistas da SEL internacional em conjunto com nomes referência do setor explorarão os desafios e tendências na área de proteção, automação e controle de subestações.
Acesse o QR Code e Inscreva-se selinc.com/Brasil25
Frederico
Boschin é Diretor
Executivo
da Noale
Energia
e Sócio da Ferrari Boschin Advogados. Conselheiro da ABGD; Conselheiro Fiscal do Sindienergia RS e Professor dos Cursos de MBA da PUC/RS e PUC/MG.
Este ano de 2025 pode representar um dos mais significativos avanços no setor de energia no Brasil em décadas. Após um exitoso período de expansão da geração, ampliação da participação das fontes renováveis na matriz e um reconhecido sucesso no processo de leilões de contratação de energia, os tempos (e a tecnologia) agora exigem novas regulamentações e rotas comerciais para uma completa e harmônica modernização do setor.
Amplamente aguardado, o novo marco do setor elétrico brasileiro, que viria a substituir a Lei 10.848/2004, traz várias mudanças em comparação com as legislações anteriores. Entre os aspectos mais aguardados, o novo marco visa modernizar o setor elétrico, promovendo a democratização do consumo de energia, a utilização de novas tecnologias (neste caso, baterias) e a descentralização da geração de energia (neste caso, energia solar), como contraponto ao atual regulamento geral do setor, que privilegia gerações centralizadas e fluxos unidirecionais de energia.
O novo marco propõe uma abertura mais ampla do mercado livre de energia, permitindo que consumidores cativos atendidos em baixa tensão possam contratar energia diretamente no mercado livre, sem depender exclusivamente das distribuidoras.
Para isso, está em curso a Consulta Pública 07/2025 da ANEEL que propõe uma reestruturação no processo de migração para o Ambiente de Contratação Livre (ACL), com foco na simplificação de processos, eliminando etapas burocráticas e na inclusão de consumidores de menor porte (atendidos atualmente em baixa tensão), o que se torna ainda mais relevante com a ampliação da possibilidade de adesão destes consumidores em larga escala, já que representam 98% das unidades consumidoras de energia no país. Segundo a CCEE, em 2024, mais de 28 mil consumidores migraram para o ACL, sendo 90% deles com cargas inferiores a 500 kW, o que reflete uma crescente adesão desse perfil de consumidores.
Outro aspecto pretendido é a redução dos subsídios. Atualmente, os subsídios são significativos e abrangem várias áreas. Em 2025, os subsídios devem somar R$ 40,6 bilhões, o que tem causado distorções nos custos de energia. A nova proposta enfatiza a necessidade de transparência (pela ampliação do open energy) e justiça tarifária, separando o custo do fio (rede de distribuição – kW – energia serviço)

do valor cobrado pela energia elétrica (tarifa de energia – kWh – energia produto).
Neste sentido, o setor já experimenta novos formatos de contratação de energia, através dos leilões de reserva de capacidade e leilões com a inclusão de baterias. Essas mudanças são esperadas para trazer mais eficiência e adesão às novas tecnologias, beneficiando tanto consumidores quanto investidores.
O leilão de reserva de capacidade é um certame que visa garantir segurança e confiabilidade do fornecimento de energia elétrica no país. Esse tipo de leilão tem como objetivo contratar capacidade de potência elétrica a partir de empreendimentos de geração, tanto novos quanto existentes, provenientes de usinas hidrelétricas e termelétricas a gás natural e biocombustíveis.
Mesmo com funções semelhantes aos antigos leilões de geração com produto disponibilidade (especialmente térmicas), e que contratavam energia elétrica com base na disponibilidade de geração das usinas, com remuneração pela energia que disponibilizam ao sistema, independentemente de serem despachados ou não, os leilões de reserva de capacidade, por outro lado, representam um avanço setorial, uma vez que tem como objetivo garantir a continuidade do fornecimento de energia elétrica, assegurando que haja capacidade suficiente para atender à demanda em momentos críticos.
Esse formato foca na contratação de capacidade de potência, ou seja, a capacidade de gerar energia quando necessário, alocando de maneira eficiente os recursos, além de ser importante para aumentar a flexibilidade do sistema elétrico e facilitar a integração de fontes renováveis, como solar e eólica, garantindo a estabilidade (em termos de tensão e frequência) do fornecimento de energia.
A outra é a Consulta Pública (CP) 39/2023, cujo objetivo é obter subsídios para o aprimoramento do Relatório de Análise de Impacto Regulatório sobre a regulamentação para o Armazenamento de Energia Elétrica, incluindo Usinas Reversíveis. Dentre os benefícios esperados, além da adesão tecnológica, está a redução de custos de operação do sistema e otimização do uso das redes existentes, que resultariam em uma melhoria da qualidade do fornecimento de energia elétrica e otimização da geração de energia. As baterias igualmente poderiam oferecer serviços ancilares com aumento da flexibilidade do sistema.

Lílian Ferreira Queiroz é engenheira eletricista, Membro do Cigré e especialista em confiabilidade e gestão de ativos. Atualmente, é Diretora de Gestão de Ativos da Geração da Eletrobras
modelagem preditiva emerge como um campo fundamental na análise de dados, oferecendo insights essenciais para a tomada de decisões estratégicas no setor de energia elétrica. Para compreender adequadamente seu impacto, é crucial, primeiro, explorar os conceitos de dados e analytics. A modelagem preditiva integra um conjunto mais amplo de ferramentas analíticas, com a finalidade de oferecer respostas a perguntas específicas e, com isso, possibilitar decisões mais precisas sobre o futuro.
O primeiro passo para aplicar a modelagem preditiva é reconhecer que existem diferentes tipos de análise, cada uma com um propósito distinto. A análise de dados pode ser abordada por meio de quatro perguntas básicas:
1 - O que aconteceu? As perguntas descritivas buscam entender eventos passados e o contexto atual. No setor de energia elétrica, isso pode incluir questões como: quais foram os períodos de maior demanda por energia?; ou quais são as falhas recorrentes em nossos sistemas?; e quais os ativos com pior desempenho?. O objetivo aqui é identificar padrões operacionais e comportamentais.
2 - Por que isso aconteceu? As perguntas diagnósticas aprofundam-se para buscar explicações sobre as causas subjacentes de eventos específicos. Exemplos podem ser: por que a demanda de energia aumentou de forma inesperada?; ou quais são os fatores que impactaram a eficiência do nosso sistema?. Esse tipo de análise ajuda a entender a dinâmica por trás dos dados. 3 - O que irá acontecer? A modelagem preditiva entra em cena aqui, com o objetivo de projetar o futuro com base em dados históricos. Em uma empresa do setor elétrico, isso pode envolver perguntas como: qual será o comportamento de consumo de energia nos próximos meses?; ou “quais os equipamentos e sistemas estão mais suscetíveis a falhas?. Através de padrões históricos, é possível construir modelos que antecipem eventos futuros. 4 - Qual é a melhor decisão a ser tomada? Finalmente, as análises prescritivas sugerem ações específicas com base nas previsões feitas. Por exemplo, uma das perguntas pode ser: qual é a melhor estratégia para otimizar o uso de energia durante períodos de pico?; “quais investimentos são mais eficazes para melhorar a confiabilidade dos ativos?; ou quais ativos necessitam de sistemas de monitoramento online?. A análise prescritiva visa identificar a melhor ação possível, considerando os dados e os modelos preditivos gerados.
No contexto empresarial atual, especialmente no setor de energia elétrica, é comum ser sobrecarregado por uma quantidade imensa de dados. As empresas possuem informações provenientes de diversas fontes, desde sensores inteligentes até sistemas de monitoramento de ativos, além de sistemas de proteção e de diagnósticos de ativos. Contudo, o verdadeiro objetivo dos dados não é acumular números, mas usá-los de maneira
estratégica para apoiar o processo decisório. O sucesso de uma empresa está diretamente relacionado à qualidade das decisões que toma. Neste sentido, o termo “analytics” refere-se ao uso de dados para gerar insights que orientem decisões empresariais. O sucesso dessa abordagem depende da qualidade dos dados e das ferramentas de análise empregadas. Apesar da inevitabilidade de erros na tomada de decisões, o aprendizado contínuo e a utilização dos dados para melhorar o processo decisório são essenciais para garantir a sustentabilidade e o crescimento das empresas. Esse ciclo de aprendizado contínuo, que é facilitado pelos dados, reduz a incerteza e proporciona decisões mais assertivas no futuro. Outro ponto extremamente importante no processo, refere-se ao conceito de Big Data no setor de energia elétrica. Esses dados apresentam três características fundamentais: volume, variedade e velocidade.
• Volume - Refere-se à grande quantidade de dados gerados a cada segundo.
• Variedade - Envolve a diversidade de dados, que podem ser provenientes de diferentes dispositivos, como medidores de energia, sistemas de previsão de demanda ou redes inteligentes.
• Velocidade - Refere-se à rapidez com que os dados são gerados e devem ser processados para permitir respostas em tempo real, como em sistemas de monitoramento de ativos em operação ou sistemas de proteção e supervisão.
As ferramentas de Big Data oferecem oportunidades significativas para otimizar operações, prever demandas e melhorar a confiabilidade da infraestrutura elétrica.
Além disso, é crucial entender a relação entre Business Intelligence (BI), Inteligência Artificial (IA) e Big Data. O BI, por exemplo, é essencial para gerar relatórios e dashboards que ajudam os gestores a monitorar a operação e tomar decisões rápidas e informadas. Já a IA e o machine learning podem automatizar tarefas, como o ajuste da distribuição de energia em tempo real, ou a detecção de falhas iminentes no sistema.
Com a crescente digitalização e a introdução de tecnologias como a Internet das Coisas (IoT), a tomada de decisão está cada vez mais conectada ao uso de dados em tempo real. sensores de medição, dispositivos conectados e plataformas de análise que oferecem um fluxo contínuo de dados, permitindo decisões mais rápidas e precisas.
À medida que o setor elétrico se torna mais inteligente e conectado, a integração de dados internos e externos da companhia, combinados com soluções de IA e analytics, irá moldar o futuro das operações e da gestão de ativos. A capacidade de agir com base em dados sólidos e informações preditivas será fundamental para a competitividade e a sustentabilidade das empresas do setor energético.
Cláudio Mardegan é CEO da EngePower Engenharia, Membro Sênior do IEEE, Membro do Cigrè | claudio.mardegan@engepower.com
Objetivo do Artigo deste Tema É a continuação da coluna do mês anterior sobre TRV.
A interrupção com sucesso ocorre quando tanto a magnitude como a taxa de crescimento da TRV ficam abaixo do envelope de suportabilidade definido pela norma de fabricação do disjuntor. Se os parâmetros ficam abaixo dos valores especificados pela norma a interrupção é dita com sucesso. As formas de onda de tensão devem ficar abaixo dos envelopes normatizados. Quando fica acima daqueles especificados para o disjuntor, após a abertura e interrupção ocorre o reacendimento do arco, que é conhecido como RESTRIKE. A Fig.1 ilustra a corrente, a tensão antes e após o chaveamento e a envoltória padronizada pela norma.

Fig. 1 – Formas de onda de corrente e tensão no processo de interrupção e envelope normatizado

As normas mais usadas são ANSI/IEEE C37.04 e IEC 62271-100. Em ambas as normas os disjuntores são testados baseados em:
• Dois parâmetros (abaixo de 100 kV) ou
• Quatro parâmetros (acima de 100 kV).
A Fig.2 mostra as envoltórias a dois e quatro parâmetros.

Fig 2 - Envoltórias de TRV para: (a) Dois parâmetros e (b) Quatro parâmetros (a) (b)
CLASSES DOS DISJUNTORES IEC
Disjuntor Classe E1
Disjuntor com durabilidade elétrica básica que não caia na categoria da Classe E2.
Disjuntor Classe E2
Disjuntores projetados para não necessitarem de manutenção das partes interruptoras do circuito principal durante o ciclo de sua vida útil e apenas manutenções mínimas de outras partes. Mínima manutenção inclui lubrificação, reposição de gas e limpeza das superfícies externas, quando aplicável. Esta definição aplica-se a disjuntores de distribuição de 1 a 52 kV.
Disjuntor Classe C1
São disjuntores com baixa probabilidade de restrike durante interrupção de correntes capacitivas conforme demonstrado em testes de tipo específicos.
Disjuntores Classe C2
São disjuntores com probabilidade muita baixa de restrike durante interrupção de correntes capacitivas conforme demonstrado em testes de tipo específicos.
Disjuntores Classe S1
Disjuntores que são especificados para trabalhar em sistemas com cabos caem na Classe S1.
Disjuntores Classe S2
Disjuntores que são especificados para serem utilizados em sistemas com linhas, ou em sistemas com cabos com conexão direta (sem cabos) a linhas aéreas.
Disjuntores Classe M1
São disjuntores com durabilidade mecânica normal (testes de tipo mecânicos para 2000 manobras) que não caia na catergoria da Classe M2.
Disjuntores Classe M2
Disjuntores operados com frequência para serviços de requisitos especiais que somente requerem manutenções limitadas demonstradas por testes de tipo específicos (disjuntor com durabilidade mecânica estendida comprovada por testes de tipo para 10000 manobras).
Nota: Pode fazer a combinação dessas classes para um mesmo disjuntor com o objetivo de se atender aos requisitos de durabilidade elétrica, mecânica e de chavear correntes capacitivas. Por exemplo: C1-M2
O valor de pico da TRV a dois parâmetros é definido pela equação:

Para a classe S1:

Onde:
uC = Tensão de referência da TRV em kVpico
k pp = Fator de primeiro polo
kaf = Fator de amplitude (10%, 30%, 60% e 100% da capacidade de interrupção)
U r = Tensão nominal fase-fase do sistema em kV.
O valor de pico da TRV a quatro parâmetros é definido pela equação:

Onde:
u´= ½ x u1
uC = Tensão de referência da TRV em kVpico
uC = 1.4 x u1 = 1.485 x kVN (para sistemas aterrados)
uC = 1.715 x kVN (para sistemas não aterrados)
t2 = Tempo para alcançar uC em µs = 3 x t1
t1 = Tempo para alcançar u1 em µs (variável)
td = 2 µs
t´ = (u’.t1)/u1 + td

Luciano Rosito é engenheiro eletricista, especialista em iluminação e iluminação pública. Professor de cursos de iluminação pública no Brasil e exterior.

Como mencionei no primeiro artigo deste ano, 2025 promete trazer muitas novidades e ótimas perspectivas de inovação e de novos conceitos. Somente até o final do mês de janeiro deste ano, a Comissão Internacional de Iluminação - CIE, juntamente com a ISO, publicaram a versão final da ISO/CIE 8995-1:2025 - Light and lighting — Lighting of work places Part 1: Indoor. Isto possibilita à comissão de estudos nacional iniciar o grupo de trabalho que vai tratar da atualização da norma equivalente no Brasil.
A atual ABNT NBR ISO CIE 8995 – Iluminação de ambientes de trabalho – Parte 1: Interior, teve sua primeira edição e segue em vigor desde março de 2013, tendo substituído a antiga NBR 5413:1992 – Iluminância de interiores, bem como a NBR 5382 : 1985 – Verificação de iluminância de interiores. Entre 2008 a 2013,

houve muita discussão técnica na comissão de estudos devido a ruptura do texto, até então em vigor, e a criação de uma norma idêntica, a norma internacional ISO CIE. Isto provocou muitos questionamentos e um tempo de adaptação, visto que muitos requisitos seguiram e ainda hoje seguem os padrões antigos, baseados na ABNT NBR 5313. Dentre eles, regulamentações de segurança no trabalho, documentos públicos e privados de órgãos diversos.
Após doze anos de uso da norma, chega o momento de decidir: manter a versão inspirada fielmente na íntegra da norma internacional ou desenvolver uma norma nacional, independente ou baseada na norma vigente. Este será um dos primeiros temas a serem discutidos na Comissão de Estudos de Aplicações Luminotécnicas e Medições Fotométricas neste ano.
Dentre as modificações e inclusões de temas mais significativos nesta nova versão citamos: Melanopic EDI, isto é, Melanopic Equivalent Daylight Illuminance, ou seja o quanto uma fonte de luz afeta o sistema não visual, incluindo a regulação do ciclo circadiano, e a Temporal light modulation (TLM), que diz respeito sobre flicker, efeito estroboscópico e outros fenômenos relacionados. Além dessas citadas, existem outras modificações importantes, as evoluções correspondentes devem ser avaliadas pela comissão e serem entendidas de forma clara e objetiva em futuro texto da norma.
Será um trabalho que exigirá tempo, embora deva ser feito no menor tempo possível, envolvendo discussões técnicas, trabalho em grupo e ampla troca de conhecimento e experiências dos profissionais envolvidos nesta comissão. No final das contas, o objetivo comum é que o conhecimento atualizado e compartilhado internacionalmente chegue na prática nos projetos de iluminação de áreas internas, contribuindo para uma evolução técnica nos produtos de iluminação e que acima de tudo os projetistas do Brasil utilizem este documento de forma prática e efetiva gerando uma melhor iluminação para todos.

Roberval Bulgarelli é engenheiro eletricista e consultor sobre equipamentos e instalações em atmosferas explosivas.
Foi publicada em 27/12/2024 uma nova edição da Norma
ABNT NBR IEC 60079-29-2 - Atmosferas explosivas - Parte
29-2: Detectores de gases - Seleção, instalação, utilização e manutenção de detectores para gases inflamáveis e oxigênio.

Estes equipamentos podem ser utilizados para monitorar uma atmosfera de gás abaixo do Limite Inferior de Inflamabilidade (LII), quando o acúmulo de gás pode resultar em uma concentração da mistura gás/ar em níveis potencialmente explosivos.

Os equipamentos “Ex” para a detecção de gases inflamáveis devem ser utilizados sempre que existir a possibilidade de risco à vida ou à propriedade, causado pelo acúmulo de mistura de ar com gases inflamáveis. Estes detectores “Ex” de gases inflamáveis devem proporcionar formas de reduzir o risco por meio da detecção da presença de gases inflamáveis e da emissão de alarmes sonoros, vibratórios ou visuais adequados, tanto locais como remotos. Estes detectores “Ex” de gases inflamáveis podem também ser utilizados para iniciar medidas preventivas, por exemplo, desligamentos automáticos (trip) de equipamentos de processo da planta, evacuação e procedimentos de operação de extinção de incêndio.

Os requisitos de desempenho para os equipamentos de detecção de gás com estes objetivos são estabelecidos nas Normas Técnicas Brasileiras adotadas ABNT NBR IEC 60079-29-1 e ABNT NBR IEC 60079-29-4. Orientações sobre a segurança funcional de sistemas fixos para a detecção de gás são especificadas na ABNT NBR IEC 60079-29-3.
Entretanto, o desempenho por si só não assegura que a utilização destes equipamentos possa salvaguardar adequadamente a vida ou a propriedade onde gases inflamáveis possam estar presentes. O nível de segurança obtido depende, em grande parte, da correta seleção, instalação, calibração e manutenção periódica destes equipamentos “Ex”, em associação com o conhecimento das limitações da técnica de detecção aplicada. Este nível não pode ser alcançado sem um adequado gerenciamento de informações.


Esta Norma Técnica Brasileira adotada ABNT NBR IEC 6007929-2 foi elaborada especificamente para abranger todas as funções necessárias, da seleção de equipamentos até a manutenção de rotina, para assegurar uma detecção de gás confiável.
Os profissionais participantes das Comissões de Estudo CE 003.031.003 do Subcomitê SCB 003.001 (Atmosferas explosivas) da ABNT/CB-003 (Eletricidade) acompanharam todo o processo e etapas de elaboração, comentários, votação, aprovação e publicação da respectiva Norma internacional IEC 60079-29-2, publicada pelo
Comitê Técnico TC-31 (Equipment for explosive atmospheres) da IEC (International Electrotechnical Commission). Aquela Comissão de Estudo da ABNT executou todos os trabalhos de elaboração desta Norma Brasileira adotada ABNT IEC NBR IEC 60079-29-2, tendo como base os requisitos da DIRETIVA 3 da ABNT: Adoção de documentos técnicos internacionais.

Mais informações sobre requisitos para seleção, instalação e manutenção de detectores “Ex, apresentados na Norma ABNT NBR IEC 60079-29-2, estão disponíveis no Catálogo da ABNT - Associação Brasileira de Normas Técnicas: https://www.abntcatalogo.com.br/pnm.aspx?Q=RW10alhsbjlqU2 VFdlpKVXB2UVYyeWRnY1R4SlByeld2K1lPUUU0dmJBMD0=

Aguinaldo Bizzo de Almeida é engenheiro eletricista e atua na área de Segurança do trabalho. É membro do GTT – NR10 e inspetor de conformidades e ensaios elétricos ABNT – NBR 5410 e NBR 14039, além de conselheiro do CREA-SP.
Referência no padrão construtivo das instalações elétricas, a NBR 15688 – Redes de Distribuição Aérea de Energia Elétrica com condutores nus, define uma distância de até 60 cm entre o “primeiro condutor” (referência o solo) energizado e a rede de telecomunicação. De forma intrínseca, fica evidenciado a necessidade dos trabalhadores adentrarem os limites da ZC ( 0,7 m ) estabelecida pela NR10 para execução de atividades de telefonia e TV a cabo.
No entanto, ressalta-se, que existem situações em que o “padrão construtivo” das redes de distribuição de energia elétrica não atendem às distâncias estabelecidas em projeto, fazendo com que os profissionais da área de telecomunicações, ao executar atividades de manutenção da rede de telefonia, adentrem, acidentalmente à ZC e mesmo a ZR de condutores energizados de alta tensão, por exemplo, ZC = 1,38 metros e ZR = 0,38 cm para redes de 13, 8 kv, onde infelizmente é comum ocorrerem acidentes fatais nessas condições.
EXPOSIÇÃO AO RISCO DE ARCO ELÉTRICO
O arco elétrico ocorre de maneira involuntária e inesperada em circuitos elétricos energizados, independentemente do nível de tensão, seja por falhas em procedimentos, falhas operacionais, características dos componentes e equipamentos elétricos ou por manutenção inadequada. Essas condições podem ocasionar sérios danos às pessoas, podendo levar inclusive à morte.
O nível de energia liberado em um arco elétrico é denominado energia incidente, definida como a quantidade de energia imposta numa superfície, a certa distância da fonte, gerada durante a ocorrência de um arco elétrico, medido normalmente em calorias por centímetro quadrado (cal/cm²), podendo também ser expresso em joules por centímetro quadrado (j/cm²). Sabe-se que a energia liberada num arco elétrico pode atingir temperaturas de até 20.000 ºC, podendo levar o ser humano a óbito instantâneo. O limite suportável da pele humana para queimaduras é 1,2 cal/cm² (5 j/ cm²), aproximadamente 47 graus centígrados.
Considerando as distâncias de segurança estabelecidas pela NR10, caso exista parte condutora sem segregação, condição

predominante em redes de distribuição de energia elétrica, quaisquer profissionais posicionados dentro das zonas controlada e/ou de risco estariam expostos aos riscos da eletricidade como risco de choque elétrico e arco elétrico. Sendo que, mesmo em zona livre, a exposição ao risco de arco elétrico poderá ocorrer, uma vez que, segundo normas técnicas internacionais, em certas circunstâncias, a fronteira de proteção do arco elétrico, definida como LAS – Limite de Aproximação Segura, pode ser uma distância de segurança maior do que para o risco de choque elétrico. Assim, para que tenhamos uma real distância segura de aproximação frente à exposição aos efeitos térmicos do arco elétrico, é necessário calcular o nível de energia incidente, bem como o LAS, distância definida como a fronteira de proteção contra o arco elétrico, ou seja, é uma distância das partes vivas expostas na qual a pessoa não sofreria queimaduras oriundas do arco elétrico.
Ressaltam-se os diversos cenários elétricos existentes quanto às configurações em redes aéreas de distribuição, onde existem estruturas (postes) com equipamentos específicos, como transformadores a óleo, chaves fusíveis de distribuição e outros, bem como distâncias entre rede energizada e telefonia fora de padrão. Além da variação do nível de energia incidente, o trabalhador poderá estar exposto a outros riscos adicionais, como por exemplo fogo, oriundo de explosão de equipamentos, por exemplo, transformadores a óleo, e, dessa forma, uma análise de risco deve considerar também esse tipo de exposição.
Assim, para a real avaliação da exposição ao risco de arco elétrico nas atividades de telefonia em proximidade de redes de distribuição de energia elétrica, é necessária a análise de risco específica, considerando-se os cenários existentes, onde o cálculo correto do nível de energia incidente é condição intrínseca para avaliação e definição de possíveis medidas de segurança a serem adotadas, inclusive o uso de EPI específicos.
Infelizmente, os processos de avaliação de risco nesse segmento são vulneráveis, com Programa de Gerenciamento de Risco - PGR genérico, que dificilmente retrata a realidade laboral existente, dessa forma, mascarando o real nível de risco em que esses profissionais estão expostos.

Daniel Bento, PMP®, é Eng. Eletricista e atua com redes isoladas de MT. Coordenou o Comitê de Estudos B1 do CIGRE, sendo coautor das Brochuras Técnicas 773 e 924. Foi responsável técnico da rede de distribuição subterrânea de SP. Atualmente, é CEO da BAUR do Brasil.

Durante muito tempo, caí na armadilha de achar que tudo precisava estar impecável antes de sair do papel. Até perceber que essa busca pelo perfeccionismo muitas vezes vinha acompanhada de um freio disfarçado. Foi aí que três conceitos mudaram minha forma de agir: o Princípio de Pareto, o ciclo PDCA e uma frase de Mário Sérgio Cortella.
O Princípio de Pareto foi um dos aprendizados mais valiosos da minha especialização em gerenciamento de projetos. Para quem não conhece, ele mostra que 80% dos resultados vêm de apenas 20% das causas. Aplicar esse princípio me ajudou a focar no que realmente faz a diferença e, principalmente, a aceitar que nem tudo precisa estar sob controle o tempo todo.
O segundo conceito que me libertou foi o ciclo PDCA (Planejar, Executar, Checar e Agir), que reforçou essa ideia. Em vez de esperar o momento perfeito para agir, entendi que o segredo está no movimento: começar, testar, ajustar e melhorar. E, para fechar, para mim, a frase a seguir do Cortella virou quase um mantra: “Faça o teu melhor nas condições que você tem, enquanto não tem condições para fazer melhor ainda”.
Interessante notar que esses três conceitos servem não só para a vida, mas também para a manutenção de redes elétricas. O temor dos gestores de operação e manutenção de redes de intervir sem contar com um planejamento no estado da arte faz com que muitas instalações operem contando com a sorte. Ao longo da minha experiência, com mais de 20 anos atuando no setor, percebi que essa espera pelo planejamento perfeito da manutenção, muitas vezes, era um convite ao risco.
Fazendo um paralelo com o Princípio de Pareto, poderíamos dizer que 80% da confiabilidade das redes derivam de 20% dos esforços de manutenção. Logo, o foco deve estar onde realmente importa: nos circuitos mais críticos para a operação. Isso significa que, em vez de aguardar uma revisão completa da instalação, atuar sobre esses pontos estratégicos já reduz consideravelmente o risco de falhas. Ao adotar essa mentalidade, gestores podem priorizar ações que tragam o maior impacto com o menor esforço, garantindo uma rede mais confiável.
Com o ciclo PDCA, é possível realizar uma gestão mais dinâmica das redes. Ou seja, planejar as manutenções e intervenções com base em dados reais, executar ações preventivas e corretivas, checar os resultados por meio de indicadores de desempenho e agir para aprimorar continuamente os processos. Muitas vezes, vejo empresas que adiam a manutenção esperando um orçamento maior ou um período de baixa demanda. No entanto, ao implementar o PDCA de forma consistente, é possível manter um ciclo de melhorias contínuas, garantindo que pequenas ações preventivas evitem grandes problemas futuros.
E, para reforçar essa visão, a máxima “faça o teu melhor nas condições que você tem, enquanto não tem condições para fazer melhor ainda” se torna indispensável. Em instalações elétricas, o cenário raramente é perfeito. Desafios constantes muitas vezes impõem barreiras para a implementação de soluções definitivas. Mas isso não significa que não há espaço para evolução. Em outras palavras, a confiabilidade dessas redes avança com o que já pode ser feito agora: pequenas intervenções regulares, fazem toda a diferença na longevidade da infraestrutura elétrica.
No final das contas, enquanto se espera pelo momento “certo”, a deterioração dos cabos avança, os riscos aumentam e as soluções se tornam mais onerosas. E você, gestor, já deu o primeiro passo para fortalecer a sua rede ou ainda está esperando as condições ideais?

José Barbosa é engenheiro eletricista, relator do GT-3 da Comissão de Estudos CE: 03:064.010 - Proteção contra descargas atmosféricas da ABNT / Cobei responsável pela NBR5419. | www.eletrica.app.br
Oconceito de Zona de Proteção contra Surtos (ZPR) é essencial para a implementação de uma Medida de Proteção contra Surtos (MPS) eficaz. Seu principal objetivo é criar um ambiente que assegure a compatibilidade da suportabilidade a surtos dos equipamentos instalados (Uw).
A norma NBR 5419, baseada na IEC 62305, propõe um conceito prático e aplicável na engenharia de projetos e instalações elétricas, estabelecendo diferentes zonas de proteção.
A ZPR 0 representa o ambiente sem qualquer atenuação da corrente de descargas atmosféricas. Nessa zona, os equipamentos estão expostos à corrente impulsiva (I0) padronizada pela norma na forma de onda 10/350 µs, que possui alta energia. Já a ZPR 1 é uma zona onde são adotadas medidas de proteção que impedem a entrada da corrente impulsiva (10/350 µs). O critério principal para a criação de uma ZPR 1 é justamente a ausência dessa corrente. Além disso, medidas adicionais podem ser aplicadas para reduzir o campo magnético proveniente da ZPR 0. Com a eliminação da corrente impulsiva, a norma define que a forma de onda presente seja 8/20 µs. Na ZPR 2 e nas seguintes, o ambiente é dotado de medidas de proteção que atenuam ainda mais a corrente de surto (I2 << I1). Tal como na ZPR 1, o campo magnético também pode ser reduzido por medidas de proteção adequadas.

Na prática, a criação de uma ZPR 1 envolve a instalação de um Sistema de Proteção contra Descargas Atmosféricas (SPDA) e Dispositivos de Proteção contra Surtos (DPS) Classe I nas entradas das linhas de energia e sinal. Um aspecto crítico é o respeito à distância de segurança (s) no posicionamento do SPDA. Caso essa distância não seja respeitada, pode ocorrer centelhamento, o que injetaria corrente impulsiva na ZPR 1, transformando-a em ZPR 0. Cuidado também com a equipotencialização que também pode injetar corrente impulsiva na ZPR 1 e a descaracterizando. É boa prática não trocar a distância de segurança por equipotencialização. Os equipamentos situados na ZPR 1 devem ter um nível de suportabilidade (U w) superior à tensão de proteção resultante (U p/f ) gerada pelo DPS Classe I. Dependendo do comprimento da linha elétrica entre o equipamento e o DPS Classe I, o valor de U w deve ser superior ao dobro de U p/f
Quando não for possível ajustar o U p/f do DPS Classe I para se adequar ao Uw do equipamento, é necessário criar uma ZPR 2. Para isso, deve-se instalar um DPS Classe II na linha elétrica de energia ou sinal, antes do equipamento, garantindo que o U p/f seja inferior à suportabilidade do equipamento. Em instalações com equipamentos sensíveis, de baixa suportabilidade, ou quando o DPS Classe II estiver distante do equipamento, torna-se necessária a criação de uma ZPR 3, geralmente utilizando um DPS Classe III, que oferece um baixo valor de tensão de proteção (U p), resultando em um U p/f reduzido.
Uma atenção especial deve ser dada à coordenação dos DPS das classes I, II e III. A correta coordenação entre os diferentes dispositivos garante seu acionamento eficiente. Recomenda-se o uso de produtos do mesmo fabricante, que normalmente já fornecem orientações detalhadas sobre a coordenação na documentação técnica. Além disso, a proteção de sobrecorrente a montante do DPS deve seguir as especificações do fabricante, garantindo segurança e eficácia na proteção da instalação elétrica.

Nunziante Graziano é engenheiro eletricista, mestre em redes e equipamentos, Ph.D. Em Business Administration e CEO do Grupo Gimi |nunziante@gimi.com.br
Oarco elétrico é um fenômeno indesejado que pode ocorrer em sistemas elétricos de baixa tensão, resultando em altas energias incidentes que podem causar danos significativos a equipamentos e riscos à segurança. A energia liberada durante um arco elétrico é capaz de gerar calor extremo, pressão e luz intensa, levando a incêndios e falhas catastróficas. Assim, é fundamental implementar tecnologias que ajudem a reduzir essa energia incidente, protegendo tanto os equipamentos quanto seus operadores.
Os arcos elétricos podem ser causados por falhas de isolamento, conexões inadequadas, contaminação e degradação dos materiais.
A utilização de materiais que possuem propriedades específicas pode ajudar a minimizar a energia liberada durante um arco elétrico. Por exemplo, materiais com alta resistência térmica e elétrica podem ser empregados em componentes de painéis, reduzindo a formação e a intensidade do arco.
Materiais que podem suportar altas temperaturas reduzem o risco de falhas térmicas, que podem causar incêndios ou explosões em sistemas elétricos. Componentes feitos de materiais com alta resistência térmica tendem a ter uma vida útil mais longa, sendo menos suscetíveis a degradação e falhas, mesmo sob condições operacionais extremas, o que resulta em menos custos de manutenção e substituição.
A resistência térmica ajuda a manter o desempenho dos componentes elétricos dentro de limites aceitáveis, mesmo quando expostos a variações de temperatura. Isso garante que os sistemas operem de forma eficiente e confiável.
Por outro lado, materiais eficazes na dissipação de calor ajudam a minimizar as perdas de energia associadas ao aquecimento excessivo, contribuindo para a eficiência geral do sistema elétrico. Em aplicações industriais ou em ambientes extremos (como em alta temperatura ou exposição a produtos químicos), materiais com alta resistência térmica e que mantêm suas propriedades e desempenho, são de grande valia para a redução dos custos operacionais destas instalações, reduzindo a necessidade de sistemas de refrigeração complexos, o que pode simplificar o design do sistema.
Cerâmicas e certos polímeros são exemplos de valiosos materiais para o futuro dos sistemas elétricos de potência. A resistência à

degradação térmica significa que os componentes podem operar por períodos prolongados sem deterioração significativa, reduzindo o número de interrupções de serviço.
Exemplos de materiais de alta resistência elétrica e térmica:
- Cerâmicos: usados em isoladores elétricos e em componentes de alta tensão.
- Polímeros de Alta Performance: Poliamida (PA), o Silicone e o polieteretercetona (PEEK), que oferecem excelente resistência ao calor e são usados em conectores e isolamento.
- Metais Refratários: como molibdênio e tungstênio, utilizados em aplicações que exigem resistência extrema ao calor.
A estabilidade química, que é a resistência à degradação por influências químicas, como umidade, solventes e gases, é fundamental para garantir que os componentes não falhem prematuramente. A ductilidade e tenacidade, que representam a capacidade de um material de se deformar sem quebrar sob estresse térmico, são importantes para aplicações que envolvem vibrações ou choques.
A pesquisa e o desenvolvimento na área de materiais com alta resistência térmica estão em constante evolução. Algumas tendências incluem o uso de nanomateriais para melhorar as propriedades térmicas e elétricas, nanocompósitos que podem oferecer resistência térmica superior e leveza; materiais compostos, que são a combinação de diferentes materiais para criar compósitos que oferecem uma combinação ideal de resistência térmica, leveza e custo.
Portanto, a utilização de materiais com alta resistência térmica em componentes elétricos é uma área crítica que impacta diretamente a segurança, eficiência e durabilidade dos sistemas elétricos. À medida que a tecnologia avança, a inovação em materiais continuará a desempenhar um papel vital na evolução da engenharia elétrica, permitindo soluções cada vez mais eficientes e seguras para uma variedade de aplicações. A pesquisa contínua nessa área promete não apenas melhorar o desempenho dos sistemas existentes, mas também abrir novas possibilidades para o futuro da eletrônica e da energia.



Por: Eng José Starosta – Diretor da Ação Engenharia e Instalações Ltda jstarosta@acaoenge.com.br
Filtros harmônicos nas instalações elétricas tem por objetivo adequar os níveis de distorção de tensão à operação das cargas. Alguns aspectos relacionados aos limites de imunidade pelos equipamentos que constituem as cargas quase nunca são disponíveis. Por outro lado, as normas relacionadas ao tema tratam os limites das distorções de tensão normalmente no ponto de conexão levando a discussão à qualidade do suprimento pela distribuidora ou mesmo a fontes de suprimento em emergência quando ocorrem as interrupções na rede das distribuidoras e a alimentação é efetuada por geradores.
Como o comportamento das distorções de tensão possuem comportamento variável ao longo das instalações, as impedâncias aumentam a distorção de tensão, de forma que as distorções de tensão nos barramentos mais distantes da fonte normalmente têm distorção maior que os mais próximos das fontes, como os transformadores. Em outras palavras, a distorção de tensão no QGBT é normalmente menor que aquela do quadro de distribuição próximo das cargas. Os valores das distorções totais de tensão (THDV) são da ordem de 5% até 10% dependendo da norma, nível de tensão e tipo de fonte.
As questões são sempre relacionadas ao controle da distorção de tensão, diretamente associada aos níveis de imunidade dos equipamentos, mesmo que os fornecedores dos mesmos não conheçam e muito menos declarem esses valores. A questão que muitos questionam é “porque não se limitam as distorções de corrente?”. A resposta imediata é relacionada às responsabilidades das distribuidoras, à qualidade da tensão de alimentação e às cargas relacionadas à qualidade da distorção de corrente, apesar da norma IEEE 519 apresentar uma tabela recomendando a limitação da distorção de correntes medidas nos pontos de conexão de forma a garantir distorção de tensão adequada naquele ponto.
As distribuidoras devem cuidar de suas fontes e topologias de suprimento que garantam atendimento às premissas da

regulação, que dependem de potências de curto-circuito de suprimento, associadas às impedâncias das redes, capacitores e claro aos aspectos das cargas dos consumidores conectados que podem impactar na “poluição harmônica” da rede.
Os consumidores devem acompanhar os valores das distorções de tensão nos barramentos das instalações de forma que os equipamentos operem dentro dos limites de alimentação; leia-se também as distorções de tensão. Curioso é o fato das próprias cargas com alto grau de tecnologia embarcada serem sensíveis à alimentação distorcida e são as que geram as correntes harmônicas.
De uma forma geral, a distorção de tensão surge nas instalações pela passagem das correntes harmônicas destas cargas (chamadas de não lineares) através das impedâncias dos sistemas de alimentação (transformadores e circuitos); a distorção de tensão é gerada pela circulação das correntes distorcidas através das impedâncias dos transformadores, cabos e impedâncias das distribuidoras.
As soluções disponíveis para mitigação das distorções por parte dos consumidores são os filtros, desde que a qualidade do suprimento da distribuidora seja adequada. Apesar de objetivar atender limites da distorção de tensão nos barramentos da indústria, os filtros irão corrigir as correntes harmônicas que causam a distorção das tensões harmônicas. Os filtros normalmente utilizados são aqueles que controlam as correntes harmônicas e, se for o caso, a potência reativa simultaneamente, conforme segue:
a) Filtros passivos
O filtro passivo é a solução clássica para mitigação das harmônicas sendo composto por conjunto (ou conjuntos) de combinações de reatores e capacitores, de forma que quando
sintonizados em frequências específicas absorvem estas correntes harmônicas, impedindo que circulem pela fonte principal, transformadores e outras fontes, reduzindo então a distorção harmônica de tensão nos barramentos de alimentação das cargas.
Note-se que esta solução deve considerar que durante a operação do filtro a energia reativa é simultaneamente injetada no sistema de forma que se obtenha compensação reativa simultaneamente à filtragem de algumas componentes harmônicas dominantes (em geral 5ªs e 7ªs harmônicas em sistemas trifásicos). No caso da existência de componentes harmônicas a serem filtradas em que não exista necessidade de compensação reativa, há o risco de sobre- compensação, não sendo o filtro passivo a solução indicada. De uma forma geral os filtros passivos podem absorver valores da ordem de até 70% das correntes harmônicas, desde que cumpridas algumas premissas como períodos de variação de carga, perfil de reativos e outros. Filtros passivos são soluções interessantes e econômicas, porém sua aplicação encontra restrições nas situações de:
-Baixo consumo de potência reativa pela carga e alto fator de potência, acima de 95% por exemplo; -Operação dinâmica e variável da carga. Nesse caso a manobra estática deve ser avaliada caso o item anterior não ocorra. -Inserção de transientes de manobra se operados com dispositivos de manobra mecânicos (elementos estáticos de manobra evitam essa situação).
A figura 1 indica o esquemático de um filtro passivo com manobra estática inserido em instalação industrial.
A figura 2 indica um sistema compacto aplicável em compensação reativa em plantas fotovoltaicas com mitigação das harmônicas.




Danilo de Souza é professor na Universidade Federal de Mato Grosso, sendo membro do Núcleo Interdisciplinar de Estudos em Planejamento Energético – NIEPE, e é Coordenador Técnico do CINASE – Circuito Nacional do Setor Elétrico. Danilo também é Pesquisador no Instituto de Energia e Ambiente da USP | www.profdanilo.com
Nas redes sociais e nas conversas cotidianas, é comum encontrar a percepção de que uma matriz elétrica 100% baseada em fontes renováveis, de baixo carbono (ou ERNC - Energia renovável não convencional, o que exclui a hidráulica), como as energias solar e eólica, seria a solução ideal para os problemas energéticos e ambientais do planeta. Embora essa visão seja atraente e represente um futuro desejável em termos de emissões de carbono, ela desconsidera um elemento fundamental para a estabilidade das redes elétricas: a inércia.
A palavra “inércia”, muitas vezes associada nos dicionários a algo negativo, como preguiça ou falta de ação, precisa ser ressignificada no contexto dos sistemas elétricos. Originalmente, o termo deriva do latim “inertia”, que significa inação ou falta de movimento, e ganhou relevância na física graças à obra de Isaac Newton. Em seus Philosophiae Naturalis Principia Mathematica, Newton descreveu a inércia como a propriedade que faz com que um corpo em movimento permaneça em movimento ou em repouso, a menos que uma força externa atue sobre ele. Nos sistemas elétricos, essa mesma característica, longe de ser negativa, é essencial para garantir estabilidade e resiliência, tanto em condições normais, como na ocorrência de distúrbios.
Nesse contexto, a inércia do sistema elétrico é definida pela energia rotacional armazenada em máquinas síncronas, como turbinas a vapor, turbinas a gás e geradores hidráulicos. Essa energia funciona como um “amortecedor” para variações de frequência, absorvendo os impactos de perturbações, possibilitando a atuação dos sistemas de proteção para limitação das falhas, e limitação das regiões de blecaute. A frequência da rede elétrica é tipicamente mantida em 50 Hz ou 60 Hz, dependendo da região, e pequenas variações podem indicar desequilíbrios entre geração e consumo. Assim, em sistemas elétricos dotados de alta inércia, esses desequilíbrios são mitigados mais rapidamente, garantindo maior estabilidade.
A Figura 1, presente no relatório Meeting the Challenge of Reliability on Today’s Electric Grids: The Critical Role of Inertia, ajuda a compreender essa dinâmica por meio de uma analogia de banheira. A entrada de água representa a geração de energia, enquanto o escoamento simboliza o consumo. O nível de água, equivalente à frequência, permanece constante quando a entrada e a saída estão equilibradas. Nesse cenário, redes elétricas com maior inércia têm uma “banheira” maior e mais cheia, o que lhes permite lidar melhor com variações repentinas e evitar transbordamentos ou esvaziamentos.


No entanto, as fontes de baixo carbono, apesar de serem fundamentais para a redução de emissões, contribuem pouco ou nada para a inércia do sistema. As turbinas eólicas, mesmo possuindo massa física rotativa, não estão sincronizadas à frequência da rede e, portanto, não fornecem inércia significativa. Os sistemas fotovoltaicos, por sua vez, não possuem partes móveis que gerem energia rotacional. Essa transição para fontes não síncronas, embora necessária, apresenta desafios técnicos substanciais para a integração e aporte na estabilidade no sistema elétrico.
A Figura 2 ilustra os valores típicos da constante de inércia (H) para diferentes tipos de geração. As usinas nucleares são as campeãs, seguidas pelas fósseis (gás e carvão) e hidráulicas, que fornecem os maiores valores, enquanto a geração a partir de fontes renováveis, como solar e eólica, comumente no Brasil não são combinadas com tecnologias que fornecem essa contribuição. A solar, devido à sua natureza, de não possuir máquina girante, e a eólica, por ser geralmente conectada por meio de inversores, ou por máquinas não síncronas. Além disso, é importante notar que a penetração de geração por fontes de baixa inércia pode levar a uma redução drástica na inércia total do sistema, como evidenciado em estudos sobre o Reino Unido. Existe uma clara tendência de continuidade de queda da geração síncrona até 2030, enquanto a geração oriunda de máquinas não síncronas, ou conectadas por inversores ou por HVDC, aumenta proporcionalmente, criando desafios para a estabilidade da rede.


Caio Huais é engenheiro industrial, especialista em Engenharia Elétrica e Automação com MBA em engenharia de manutenção e gestão de negócios. Atualmente, ocupa posição de gerente corporativo de manutenção no Grupo Equatorial, respondendo pelo desempenho da Alta Tensão de 7 concessionárias do Brasil.
Osetor elétrico enfrenta uma transformação crescente, impulsionada pela necessidade de atender a uma demanda de potência cada vez mais elevada.
O aumento do número de fontes de energia renováveis, no contexto da geração distribuída, o avanço da eletrificação dos meios de transporte e o contínuo crescimento das populações urbanas colocam uma pressão significativa sobre os sistemas elétricos correlatos. Estes, por sua vez, para responderem a essas demandas pujantes, passam a ser inerentes a infraestruturas de transmissão e distribuição de energia elétrica cada vez mais complexas e com exigências maiores de confiabilidade operativa.
Não obstante, se verifica, concomitantemente a esse cenário dinâmico, a existência cada vez mais frequente da sobrecarga dos sistemas de transformação de tensão, exigindo a repotencialização de subestações para que essa confiabilidade seja garantida.
Contudo, para que se dê vazão às soluções de repotencialização, há ainda um gargalo que surge como desafio para as empresas mantenedoras do sistema elétrico de potência: a escassez de transformadores de força, devido às limitações das plantas produtivas, no que tange ao fornecimento simultâneo de muitas unidades.
Diante desse cenário, as concessionárias precisam repensar suas abordagens de manutenção para garantir a estabilidade e a continuidade do fornecimento de energia. E, assim sendo, a manutenção preventiva, aliada à introdução de novas tecnologias de monitoramento tornam-se cruciais para mitigar os riscos associados a essas mudanças.
Sobrecarga dos Sistemas de Alta Tensão: O Impacto da Crescente Demanda
Com a expansão das energias renováveis e a eletrificação dos transportes, a necessidade de energia elétrica só tende a aumentar.
Este crescimento impõe desafios de capacidade aos sistemas de transmissão e distribuição de energia. A infraestrutura de alta tensão, responsável por estabelecer o fluxo de potência até as cargas, por longas distâncias, está sendo forçada a operar além de seus limites de capacidade em várias regiões. Os transformadores de força, que ajustam a tensão de transmissão para os níveis adequados para a mitigação das perdas e, depois, para os níveis adequados para atendimento às unidades consumidoras, desempenham um papel essencial nesse processo, mas também são os componentes mais vulneráveis à sobrecarga.
Quando operados em condições extremas, os transformadores enfrentam riscos de falha devido ao aumento da temperatura de operação, que acelera sobremaneira a degradação do sistema isolante por pirólise.
Além disso, o fluxo magnético em excesso, espraiando-se demasiadamente nas periferias da parte ativa, faz surgir correntes parasitas de magnitudes inadequadas, ensejando o sobreaquecimento de ferragens e o surgimento de atividades anômalas de descargas parciais.
Outrossim, o calor excessivo da parte ativa degrada acentuadamente as vedações e, em casos extremos, pode ocasionar o surgimento de vazamentos, inclusive em buchas condensivas de papel impregnado em óleo, tornando-as vulneráveis a falhas catastróficas.
Dessarte, a sobrecarga constante reduz a vida útil dos transformadores e pode resultar em falhas inesperadas, que afetam a estabilidade funcional do sistema elétrico de potência. Além disso, essa situação se agrava quando os equipamentos já estão operando no limite de suas capacidades projetadas há muito tempo. A pressão sobre a infraestrutura exige uma resposta rápida e eficaz para garantir que a energia continue sendo fornecida de maneira confiável.
Treinamentos técnicos e encontros de negócios com conteúdo da mais alta qualidade apresentado por verdadeiros mestres em suas áreas de atuação.









