62 Peach Ln- Listing Presentation

Page 1

Listing

62 Peach Lane l Underwood 98651 Presented by Molly Whiteman Real Estate
Presentation 62 | Peach Lane | Underwood WA Offered at $1,560,000 May 2022

Private: Please remove shoes while in house.

Agent Full Residential 10/6/2022 7:04PM

$1,560,000 3 bd | 2 / 1 ba | 2976 sqft

62 PEACH LN Underwood, WA 98651

Unit #: Status: Active

List Date: 5/13/2022

Year Built: 1977 Approximately

Condo Loc:

DOM: 146

Acres: 0.69

MLS#: 22007510

XST/Dir: Cook Underwood Road right on Wess Road, left on Peach Lane

VirtualTour #1

VirtualTour #2

ShowHrs:

Occ: Owner Show: Call Seller's Agent, Lockbox, Showing Time, Text Seller’s Agent

LB/Loc/Cmb: Sentri Oer/Nego: Call Seller's Agent

AG: Molly Whiteman AG Ph: 503-701-5022

AG Cell/Pgr: 503-701-5022 CoAgent: CoPh:

Public: Enjoy a sense of peace and serenity from this fully renovated custom home with iconic views of the Columbia River Gorge and Mt. Hood. Enjoy easy living in spacious singe level home with high ceilings, granite counters, custom nishes, expansive picture windows, wrap around deck, a large primary suite with walk in shower, claw foot soaking tub, and enclosed sun porch. Property includes a huge detached nished shop with views of the Gorge. Property is surrounded by woods, trails and vineyards.

Property Details:

Property Type: Detached County: Skamania

Nhood/Bldg: Area: 116

Zoning: Elementary: Whitson

Middle: Henkle

High: Columbia Internet: Y

Address: Y No Blog: N No AVM: N

Residence Information:

Upper SQFT: 0

Main SQFT: 2976

Lower SQFT: 0

Total SQFT: 2976

Total Up/Main: 2976

Additional SQFT:

Levels: 1

SFSrc: Courthouse

Legal: LOT 16 ORINGTON HEIGHTS BK A/PG 146

Tax ID: 03102132010800

Warranty:

Seller Disc: Disclosure Other Disc: List Type: ER

Limited Representation: N

Style: 1 Story, NW Contemporary

Lot Size: 20,000 SqFt to .99

Acres

Lot Dimensions: Lot Desc: Cul-de-sac, Gentle Sloping, Private, Trees View: Mountain(s), River, Vineyard

Waterfront:

Body Water: CC&R: N 55+ w/Adavit Y/N: N

PDF Doc(s):  4

Open House:

Upcoming Open House: Broker Tour:

Upcoming Broker Tour:

Fireplaces: 2 / Wood Burning

Green Cert: Energy E. Report:

Exterior: Shake Siding, Shingle Siding, Stone, T-111 Siding, Wood Siding

Roof: Composition Parking: Driveway, RV Access/Parking Garage: 4 / Detached, Oversized

RV Description: RV Parking, RV/Boat Storage

Approximate Room Sizes and Descriptions:

Living: M Galley

Kitchen: M

Dining: M Galley

Family: M Updated/Remodeled

Primary Bedroom: M Fireplace, High Ceilings

2nd Bedroom: M

3rd Bedroom: M

Baths

Foundation: Concrete Perimeter

Basement: Crawl Space, Dirt Floor, Storage Space Road Surface: Paved

Unreinforced Masonry Building:

Molly Whiteman Cascade Hasson Sotheby's International Realty 503-701-5022 molly.whiteman@cascadesir.com
- Full/Part Upper Level: 0/0 Main Level: 2/1 Lower Level: 0/0 Total Baths: 2/1

Kitchen: Built-in Range, Built-in Dishwasher, Disposal, Free-Standing Refrigerator, Granite, Island, Pantry

Interior: Ceiling Fan(s), Garage Door Opener, High Ceilings, Laundry, Soaking Tub, Tile Floor, Wood Floors, Wall to Wall Carpet

Exterior: Deck, Garden, Outbuilding, Porch, RV Parking, RV/Boat Storage, Workshop, Yard

Accessibility: One Level, Ground Level, Minimal Steps, Main Floor Bedroom w/Bath, Natural Lighting, Parking, Utility Room On Main, Walk-in Shower

Security: Internet: Cable

Windows: Double Pane Windows

Cool: Heat Pump

Water: Public Water

Heat: Heat Pump

Sewer: Septic Tank

Fuel: Electricity Hot Water: Electricity

Property Tax/Yr: $9,810.68 2022

HOA: N Spcl Asmt Balance: Dues:

Tax Deferral: N

BAC: % 2.3

Short Sale: N $ Pre-Approv: N

Escrow Pref: Other Dues: 3rd Party: N

Terms: Cash, Conventional, USDA Loan, VA Loan

Assoc. Am:

Agent: Molly Whiteman Agent Lic: 129031 Agent Ph: 503-701-5022

Email(s) Agent: molly.whiteman@cascadesir.com

Total Comm Diers: N Bankruptcy (WA): N Bank Owned/Real Estate Owned: N

Rent, If Rented:

Agent Cell: 503-701-5022 SAID: DONNELLW

CoAgent: CoSAID: CoBRCD: CoPh: CoAgent Email:

Oce: Cascade Hasson Sotheby's International Realty

Oce Lic: 22018273 Oce Ph: 509-774-4624

Oce Email: vancouver.docs@cascadesir.com

Agent Ext: Fax:

BRCD: 8CAH01 FIRPTA: N

Tran: 8/10/2022

Poss: Close Of Escrow

Comparable Information:

Original Price: $1,650,000

Exp: 10/31/2022

Contact1:

WUCIO: N Owner(s): MICHAEL W EASTWICK, JOYCE M EASTWICK Tenant/Other:

Contact2:

© RMLS 2022. ALL RIGHTS RESERVED. - INFORMATION NOT GUARANTEED AND SHOULD BE VERIFIED. SQUARE FOOTAGE IS APPROXIMATE & MAY INCLUDE BOTH FINISHED & UNFINISHED AREAS - CONSULT BROKER FOR INFO. SCHOOL AVAILABILITY SUBJECT TO CHANGE.

Features and Utilities: Financial: Broker/Agent Data:

Contractors Familiar With Property

Property Information

62 Peach Lane l Underwood 98651 Utilities ▪ Power | Skamania County PUD | $ Average Monthly Bill ▪ Water | Skamania County PUD ▪ Garbage | Columbia River Disposal |$ Monthly Bill (once a week pick up every Thursday) ▪ Landscaping & Sprinkler System | Self Managed ▪ Internet | Century Link ▪ Television | Direct TV | $100 a month ▪ Mail | Personal Mailbox at end of Peach Lane
▪ Electrical | Coburn Electric | 541 354 1163 ▪ Plumbing | Pronto Plumbing Carlos ▪ Ziegler Construction Additional
Provided by Seller ▪ Water Heater Age: 12 years ▪ Survey: Available, included in papers being left with the house at closing ▪ Sprinkler Maintenance: No sprinkler system; soaker hose is deployed throughout the garden, with approximately 8 “zone” garden hose attachments
62 Peach Lane l Underwood 98651

THE PROPERTY’S HISTORY AND STORY

Who Designed Your Home:

Do you know the history of the home:

Original home was built in 1977, we are the third owners.

First major remodel in 2000 adding master bedroom, 2 car garage, shop, and new septic tank.

Second major remodel in 2009, added square footage in the new great room and laundry/mud room, completely new kitchen, new fireplace, new wood, slate and tile flooring, new roof, new HVAC systems, and entry. Between the bedrooms and garage, the house was completely reframed, rewired, and replumbed.

More recent remodels and upgrades to the remaining portion of the house included:

1. complete master bath suite including plumbing, cabinetry additions, new electrical, new shower, and claw foot soaking tub

2. complete second full bath remodel including plumbing, cabinetry, new shower, tile and flooring.

3. Bedrooms were also updated with new carpet, new paint, wood trim, and new closet finishes.

What do you love about the home?

We were awestruck by the view, plus it's a single level home with a huge, detached building. The large lot and woods around the property gave us privacy and a sense of peace, and plenty of sunny spaces for a vegetable garden.

What made you purchase this home?

The Gorge had everything we wanted; a small environment with tons of recreational opportunities, and a farming community where we could enjoy local produce and wines.

We liked this house and location the best because it has a view, it's private, and it's a single level home with a shop.

62 Peach Lane l Underwood 98651

House Cater to Lifestyle

The shop building is wonderful for recreational equipment storage, tools, and our artistic pursuits while the floor plan of the house easily handles gatherings of friends and family.

What will you miss?

The view, the great room with a big kitchen and pantry, and the warmth of the fireplace. The pavers and the deck around the house make is easy and wonderful for taking a stroll around the house.

What will you remember?

The great room is wonderful for entertaining, and everyone is enchanted with the view. The shop gives us room to store all our tools and toys out of the weather and have plenty of room for the art studio. The mud room gives us a place to store and change out of our dirty clothes and boots.

What is your favorite window to look out of?

There are two great views; any time of year from the great room, and in the winter from the bedroom windows when you see the sun rise over the Columbia River.

What do you feel is beautiful about your home?

I like the style and layout of the house. Our designer, Pat Hood, incorporated ideas from Prairie and Arts and Crafts movements into our design and finishes. I also like all the natural wood, natural stone, I think the house feels warm and authentic.

What is your favorite room?

Great room, whether I am cooking, relaxing, or entertaining, I always have that wonderful view. The view always enchants you with something new that is happening. The storage in the high crawl space is incredibly useful for storing summer furniture and other things.

What details do you find attractive or quirky?

The curtain rods in the master bedroom with the birds, the light behind the birds make the birds cast interesting shadows in the room. Worm wood cabinet and mirror in the second bath. The gardens are planted with a large number of perennials so there is bloom all during the growing season. I really love the house, it functions incredibly well for us, there

62 Peach Lane l Underwood 98651

is nothing significant I would change.

Momentous or significance to the property?

While we were in this house, we owned and managed vineyards on Underwood Mountain. As part of the viticulture community in the Gorge, we got to know the growers, and winemakers, and an incredible variety of great wines.

Why did you choose to live in the area?

The gorge has a little bit of everything, recreational opportunities, active farming community, large arts and cultural community all with small town life.

If these walls could talk what would they say?

Build a wonderful outdoor entertainment area, with a view!

Put a wine cellar in the crawl space.

62 Peach Lane l Underwood 98651

Seller’s Favorite Photos

62 Peach Lane l Underwood 98651
62 Peach Lane l Underwood 98651
62 Peach Lane l Underwood 98651
62 Peach Lane l Underwood 98651
62 Peach Lane l Underwood 98651
62 Peach Lane l Underwood 98651
62 Peach Lane l Underwood 98651
62 Peach Lane l Underwood 98651

EXHIBIT “A”

Lot 2 of ORINGTON HEIGHTS, according to the plat thereof, recorded in Book ‘A’ of Plats, Page 146, in Skamania County, State of Washington.

ORDER NO. S22-0263KM

GENERAL EXCEPTIONS:

1. Taxes or assessments which are not shown as existing liens by the records of any taxing authority that levies taxes or assessments on real property or by the public records; proceedings by a public agency which may result in taxes or assessments, or notices of such proceedings, whether or not shown by the records of such agency or by the public records.

2. Facts, rights, interests or claims which are not shown by the public records but which could be ascertained by an inspection of the land or by making inquiry of person in possession thereof.

3. Easements or claims of easements, unpatented mining claims not shown by the public records; reservations or exceptions in patents or in Acts authorizing the issuance thereof; water rights, claim or title to water. Unpatented mining claims, and all rights relating thereto. Reservations and exceptions in United States Patents or in Acts authorizing the issuance thereof. Indian Tribal codes or regulations, Indian treaty or aboriginal rights, including easements or equitable servitude.

4. Rights or claims of parties in possession or claiming possession, not shown by the public records.

5. Any encroachment, encumbrance, violations, variation or adverse circumstance affecting the title that would be disclosed by an accurate and complete land survey of the subject land.

6. Any lien or right to a lien, for serviced, labor, material, equipment rental or workers compensation heretofore or hereafter furnished, imposed by law and not shown by the public records.

SPECIAL EXCEPTIONS:

7. Unpaid taxes for the year 2022

Original Amount : $7,205.35

Account No. : 03-10-21-3-2-0110-00

Land Use/DOR : 11

TAX PAYMENT: May be paid by February 14th. Minimum, 1st half must be paid by April 30th or interest will be added.

8. Conditions, Restrictions and Easements, including the terms and provisions thereof, as shown on the recorded plat of ORINGTON HEIGHTS Book A, Page 146. See recorded plat for details

9. Covenants, Conditions and Restrictions and/or easements; but deleting any covenant, condition or restriction indication a preference, limitation or discrimination based on race, color, religion, sex, handicap, family status or national origin to the extent such covenants, conditions or restrictions violate Title 42, Section 3604 and 3607, of the United States Codes:

Recorded : February 24, 1974 Book : 66 Page : 306

Said Covenants, Conditions and Restrictions were amended/modified by instrument:

Recorded : June 29, 1976 Book : 71 Page : 162

ORDER NO. S22-0263KM

10. Easement, including the terms and provisions thereof: For : Reciprocal Access Recorded : September 22, 1997 Book : 169 Page : 225

11. Parties in possession or claiming to be in possession, other than the vestees shown herein. For the purpose of ALTA Extended coverage, we will require an Affidavit of Possession be completed and returned to us. Exception may be taken to such matters as may be shown thereby.

12. Statutory liens for labor or materials, including liens for contributions due to the State of Washington for unemployment compensation and for workmen’s compensation, which have now gained or hereafter may gain priority over the lien of the insured mortgage whereon notice of such liens appear of record.

END OF EXCEPTIONS

ORDER NO. S22-0263KM

Privacy Information

We Are Committed to Safeguarding Customer Information

In order to better serve your needs now and in the future, we may ask you to provide us with certain information. We understand that you may be concerned about what we will do with such information - particularly any personal or financial Information. We agree that you have a right to know how we will utilize the personal information you provide to us. Therefore, together with our subsidiaries we have adopted this Privacy Policy to govern the use and handling of your personal Information.

Applicability

This Privacy Policy governs our use of the information that you provide to us. It does not govern the manner in which we may use information we have obtained from any other source, such as information obtained from a public record or from another person or entity. First American has also adopted broader guidelines that govern our use of personal information regardless of its source. First American calls these guidelines its Fair Information Values.

Types of Information

Depending upon which of our services you are utilizing, the types of nonpublic personal information that we may collect include:

• Information we receive from you on applications, forms and in other communications to us, whether in writing, in person, by telephone or any other means;

• Information about your transactions with us, our affiliated companies, or others; and

• Information we receive from a consumer reporting agency.

Use of Information

We request information from you for our own legitimate business purposes and not for the benefit of any nonaffiliated party. Therefore, we will not release your information to nonaffiliated parties except: (1) as necessary for us to provide the product or service you have requested of us; or (2) as permitted by law. We may, however, store such information indefinitely, including the period after which any customer relationship has ceased. Such information may be used for any internal purpose, such as quality control efforts or customer analysis. We may also provide all of the types of nonpublic personal Information listed above to one or more of our affiliated companies. Such affiliated companies include financial service providers, such as title insurers, property and casualty insurers, and trust and investment advisory companies, or companies involved in real estate services, such as appraisal companies, home warranty companies and escrow companies. Furthermore, we may also provide all the information we collect, as described above, to companies that perform marketing services on our behalf, on behalf of our affiliated companies or to other financial institutions with whom we or our affiliated companies have joint marketing agreements.

Former Customers

Even if you are no longer our customer, our Privacy Policy will continue to apply to you.

Confidentiality and Security

We will use our best efforts to ensure that no unauthorized parties have access to any of your information. We restrict access to nonpublic personal information about you to those individuals and entities who need to know that information to provide products or services to you. We will use our best efforts to train and oversee our employees and agents to ensure that your information will be handled responsibly and In accordance with this Privacy Policy and First American's Fair Information Values. We currently maintain physical, electronic, and procedural safeguards that comply with federal regulations to guard your nonpublic personal Information.

Information Obtained Through Our Web Site

First American Financial Corporation is sensitive to privacy issues on the Internet. We believe it is important you know how we treat the information about you we receive on the Internet. In general, you can visit First American or its affiliates' Web sites on the World Wide Web without telling us who you are or revealing any information about yourself. Our Web servers collect the domain names, not the e-mail addresses, of visitors. This information is aggregated to measure the number of visits, average time spent on the site, pages viewed and similar information. First American uses this information to measure the use of our site and to develop ideas to improve the content of our site. There are times, however, when we may need information from you, such as your name and email address. When information is needed, we will use our best efforts to let you know at the time of collection how we will use the personal information. Usually, the personal information we collect is used only by us to respond to your inquiry, process an order or allow you to access specific account profile information. If you choose to share any personal information with us, we will only use it in accordance with the policies outlined above.

Business Relationships

First American Financial Corporation's site and its affiliates' sites may contain links to other Web sites. While we try to link only to sites that share our high standards and respect for privacy, we are not responsible for the content or the privacy practices employed by other sites.

Cookies

Some of First American's Web sites may make use of "cookie" technology to measure site activity and to customize Information to your personal tastes. A cookie is an element of data that a Web site can send to your browser, which may then store the cookie on your hard drive. FirstAm.com uses stored cookies. The goal of this technology Is to better serve you when visiting our site, save you time when you are here and to provide you with a more meaningful and productive Web site experience.

Fair Information Values

Fairness We consider consumer expectations about their privacy in all our businesses. We only offer products and services that assure a favorable balance between consumer benefits and consumer privacy.

Public Record We believe that an open public record creates significant value for society, enhances consumer choice and creates consumer opportunity. We actively support an open public record and emphasize its Importance and contribution to our economy.

Use We believe we should behave responsibly when we use information about a consumer in our business. We will obey the laws governing the collection, use and dissemination of data.

Accuracy We will make reasonable steps to help assure the accuracy of the data we collect, use and disseminate. Where possible, we will take reasonable steps to correct inaccurate information. When, as with the public record, we cannot correct inaccurate information, we will take all reasonable steps to assist consumers in identifying the source of the erroneous data so that the consumer can secure the required corrections.

Education We endeavor to educate the users of our products and services, our employees and others in our industry about the importance of consumer privacy. We will instruct our employees on our fair information values and on the responsible collection and use of data. We will encourage others in our industry to collect and use Information In a responsible manner.

Security We will maintain appropriate facilities and systems to protect against unauthorized access to and corruption of the data we maintain.

41 SW Russell Avenue, PO Box 277, Stevenson, WA 98648 Tel: (509) 427-5681 • Fax: (509) 427-5610
DocuSign Envelope ID: 9AB7222C-C0DD-49E2-B12B-46CA8552A85F
DocuSign Envelope ID: 9AB7222C-C0DD-49E2-B12B-46CA8552A85F
DocuSign Envelope ID: 9AB7222C-C0DD-49E2-B12B-46CA8552A85F
DocuSign Envelope ID: 9AB7222C-C0DD-49E2-B12B-46CA8552A85F
DocuSign Envelope ID: 9AB7222C-C0DD-49E2-B12B-46CA8552A85F
DocuSign Envelope ID: 9AB7222C-C0DD-49E2-B12B-46CA8552A85F

Turn static files into dynamic content formats.

Create a flipbook
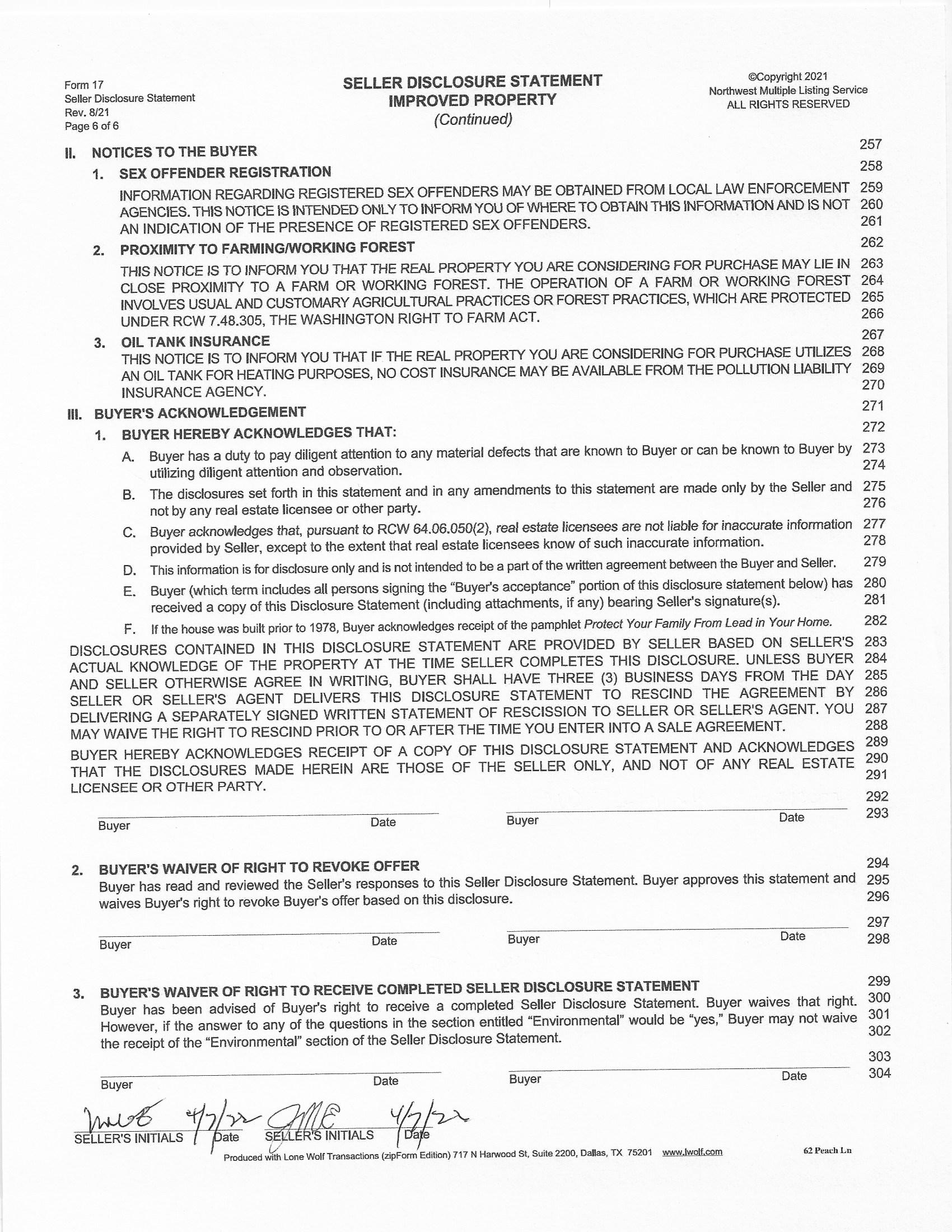
Issuu converts static files into: digital portfolios, online yearbooks, online catalogs, digital photo albums and more. Sign up and create your flipbook.