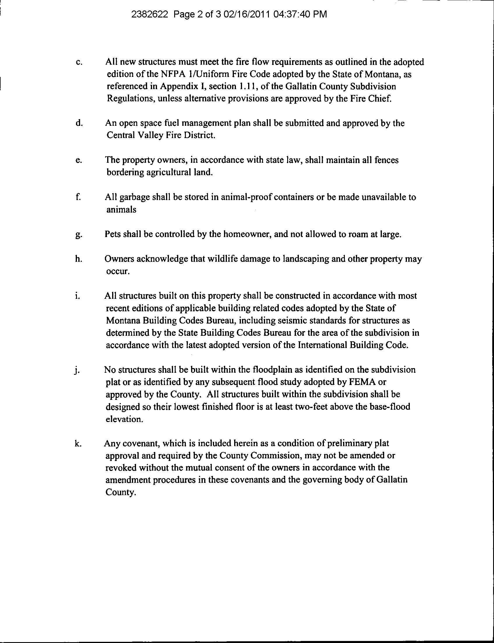
6200 River Road, Bozeman

Page 1

6200 RIVER ROAD

BOZEMAN, MONTANA

PRESENTED BY

QUICK FACTS

PRICE

$4,975,000

ACREAGE

55.91 Acres

HOME

One level - 3 Beds, 2.5 Baths, 2,392 SF

2001 Parade Home Wrap around deck

Large open great room

Two-car detached garage with guest suite above Paved, gated driveway

UTILITIES

Propane forced air heat and Central air conditioning, private well, septic New furnace in 2020

APPLIANCES

Kitchen - Sub-zero fridge/freezer, Thermador Electric oven, Bosch dishwasher, washer/dryer

PROPERTY

1/4 mile of West Gallatin River side channel

1/2 mile of Valley Ditch

Extensive work done by owners - fully fenced, private walking trails added, riverfront firepit area

vw10 minutes from the airport, 30 min to Big Sky

TAXES

$9,022

6200 RIVER ROAD | BOZEMAN, MONTANA All information contained herein is gathered from a variety of sources deemed reliable, however, it is not guaranteed or verified by the seller, Platinum Properties, PureWest Christie's International Real Estate, or any of its associates. We urge independent verification of each and every item submitted to the satisfaction of a prosepective purchaser.

Are you looking for river front property? How about 55 acres of it with 1/4 mile of the West Gallatin River via an ultra private side channel. Add in another 1/2 mile of Valley ditch and you have a very rare parcel of ground with two amazing channels of water providing excellent fishing, floating or just relaxing while watching the water flow by. Extensive work completed by the current owner has resulted in a fully fenced park-like setting with private trails meandering through providing a true nature walk to experience the abundance of wildlife this property attracts. Overlooking all of this is a well-appointed 3 bed, 2.5 bath former parade home with a large wrap-around deck to enjoy all the beauty this property has to offer. In addition to the home is a large detached garage/shop with separate guest accommodations above which could also serve as a caretaker or rental apartment with the addition of a small kitchenette. Do not miss this one!

MIKE SCHLAUCH PLATINUM PROPERTIES | BozemanLuxuryRealEstate.com 6200 RIVER ROAD | BOZEMAN, MONTANA
MIKE SCHLAUCH PLATINUM PROPERTIES | BozemanLuxuryRealEstate.com 6200 RIVER ROAD | BOZEMAN, MONTANA
Acres
55.9±
MIKE SCHLAUCH PLATINUM PROPERTIES | BozemanLuxuryRealEstate.com 6200 RIVER ROAD | BOZEMAN, MONTANA
MIKE SCHLAUCH PLATINUM PROPERTIES | BozemanLuxuryRealEstate.com 6200 RIVER ROAD | BOZEMAN, MONTANA
MIKE SCHLAUCH PLATINUM PROPERTIES | BozemanLuxuryRealEstate.com 6200 RIVER ROAD | BOZEMAN, MONTANA
MIKE SCHLAUCH PLATINUM PROPERTIES | BozemanLuxuryRealEstate.com 6200 RIVER ROAD |
BOZEMAN, MONTANA
MIKE SCHLAUCH PLATINUM PROPERTIES | BozemanLuxuryRealEstate.com 6200 RIVER ROAD | BOZEMAN, MONTANA
MIKE SCHLAUCH PLATINUM PROPERTIES | BozemanLuxuryRealEstate.com 6200 RIVER ROAD | BOZEMAN, MONTANA
MIKE SCHLAUCH PLATINUM PROPERTIES | BozemanLuxuryRealEstate.com 6200 RIVER ROAD | BOZEMAN, MONTANA
MIKE SCHLAUCH PLATINUM PROPERTIES | BozemanLuxuryRealEstate.com 6200 RIVER ROAD | BOZEMAN, MONTANA
MIKE SCHLAUCH PLATINUM PROPERTIES | BozemanLuxuryRealEstate.com 6200 RIVER ROAD | BOZEMAN, MONTANA
MIKE SCHLAUCH PLATINUM PROPERTIES | BozemanLuxuryRealEstate.com 6200 RIVER ROAD | BOZEMAN, MONTANA
MIKE SCHLAUCH PLATINUM PROPERTIES | BozemanLuxuryRealEstate.com 6200 RIVER ROAD | BOZEMAN, MONTANA

6200 RIVER ROAD | BOZEMAN, MONTANA

MONTANA WELL LOG REPORT

This well log reports the activities of a licensed Montana well driller, serves as the official record of work done within the borehole and casing, and describes the amount of water encountered. This report is compiled electronically from the contents of the Ground Water Information Center (GWIC) database for this site. Acquiring water rights is the well owner's responsibility and is NOT accomplished by the filing of this report.

Site Name: BRADFORD FREDERICK

GWIC Id: 231963

DNRC Water Right: 30070244

Section 1: Well Owner(s)

1) BRADFORD, FREDRICK (MAIL)

6200 RIVER RD

BOZEMAN MT 59718 [12/08/2006]

2) BRADFORD, FREDRICK (WELL)

6462 RIVER RD

N/A N/A N/A [12/08/2006]

Section 2: Location Township Range Section Quarter Sections 01S 04E 34 NE¼ NW¼ County Geocode

GALLATIN

Geomethod Datum 45 7118 -111 219 NAV-GPS WGS84

Section 3: Proposed Use of Water

Section

Other Options

Return to menu

Plot this site in State Library Digital Atlas Plot this site in Google Maps View scanned well log (1/11/2007 4:19:17 PM)

Section 7: Well Test Data

Total Depth: 190 Static Water Level: 15 Water Temperature:

Air Test *

30 gpm with drill stem set at 170 feet for 1 hours. Time of recovery hours. Recovery water level 15 feet. Pumping water level feet.

* During the well test the discharge rate shall be as uniform as possible. This rate may or may not be the sustainable yield of the well. Sustainable yield does not include the reservoir of the well casing.

Section 8: Remarks

Section 9: Well Log

6 OPEN BOTTOM Annular Space (Seal/Grout/Packer)

Driller Certification

All work performed and reported in this well log is in compliance with the Montana well construction standards. This report is true to the best of my knowledge.

Name: BERNARD WESTRA

Company: VAN DYKEN DRILLING INC

License No: WWC-380 Date Completed: 12/8/2006

MIKE SCHLAUCH PLATINUM PROPERTIES |
BozemanLuxuryRealEstate.com
Latitude
Ground Surface Altitude Ground Surface Method Datum Date Addition Block Lot
Longitude
UNKNOWN (1)
Status:
Completion Date Date
completed:
Section 6: Well Construction Details Borehole dimensions From To Diameter 0 192 6 Casing From To Diameter Wall Thickness Pressure Rating Joint Type -1 5 190 6 0 25 WELDED
Completion (Perf/Screen) From To Diameter # of Openings Size of Openings Description 190 192
0 0 BENTONITE Y
4: Type of Work Drilling Method: ROTARY
NEW WELL Section 5: Well
well
Friday, December 8, 2006
STEEL
From To Description Cont Fed?
Geologic Source Unassigned From To Description 0 2 TOPSOIL AND ROCK 2 24 SAND AND GRAVEL 24 55 SILTY CLAY SOME STICKY 55 93 CLAYSTONE SOME SOFT CLAY 93 109 SOFT CLAY 109 111 STICKY CLAY 111 137 CLAYSTONE AND SILTY SAND 137 140 STICKY CLAY 140 192 SILTY SAND CLAYSTONE

6200 RIVER ROAD | BOZEMAN, MONTANA

The tables below show your energy usage for the past 24 months. This information may be useful as you look for opportunities to save energy or when you compare offers of energy suppliers. These figures do not include usage for area lighting or other unlimited services.

MIKE SCHLAUCH PLATINUM PROPERTIES | BozemanLuxuryRealEstate.com
Select Property Address Change My User Profile Energy Saving Tips Contact Us Logout Usage History Real Estate Agent Name : Mike Schlauch Property Address : 6200 RIVER RD BOZEMAN, MT Showing Month 1 to 12 out of 24 Months 1 Go
Year 2022 2021 Month Jun May Apr Mar Feb Jan Dec Nov Oct Sep Aug Jul Usage (KWh) 220.0 300.0 340.0 520.0 520.0 480.0 420.0 520.0 500.0 720.0 600.0 640.0 Demand 0.0 0.0 0.0 0.0 0.0 0.0 0.0 0.0 0.0 0.0 0.0 0.0 $ Billed 29.16 38.25 42.74 62.44 62.44 60.2 54.68 66.72 63.48 88.45 74.4 78.07 No. Days 32 29 31 31 29 30 33 28 29 33 29 31 Year 2021 2020 Month Jun May Apr Mar Feb Jan Dec Nov Oct Sep Aug Jul Usage (KWh) 460.0 320.0 420.0 460.0 480.0 440.0 960.0 1380.0 680.0 1380.0 1560.0 1080.0 Demand 0.0 0.0 0.0 0.0 0.0 0.0 0.0 0.0 0.0 0.0 0.0 0.0 $ Billed 56.64 40.67 52.68 57.78 59.57 54.55 113.73 161.76 82.85 166.11 187.24 130.17 No. Days 32 29 33 29 29 33 30 28 29 32 31 29 Jun 2022 May 2022 Apr 2022 Mar 2022 Feb 2022 Jan 2022 Dec 2021 Nov 2021 Oct 2021 Sep 2021 Aug 2021 Jul 2021 Read Date 200 300 400 500 600 700 800 KWH © 2021 NorthWestern Energy. All rights reserved. Privacy Policy | PO Terms & Conditions
MIKE SCHLAUCH PLATINUM PROPERTIES | BozemanLuxuryRealEstate.com 6200 RIVER ROAD | BOZEMAN, MONTANA
MIKE SCHLAUCH PLATINUM PROPERTIES | BozemanLuxuryRealEstate.com 6200 RIVER ROAD | BOZEMAN, MONTANA
MIKE SCHLAUCH PLATINUM PROPERTIES | BozemanLuxuryRealEstate.com 6200 RIVER ROAD | BOZEMAN, MONTANA
MIKE SCHLAUCH PLATINUM PROPERTIES | BozemanLuxuryRealEstate.com 6200 RIVER ROAD | BOZEMAN, MONTANA
6200 RIVER ROAD | BOZEMAN, MONTANA

Christie’s International Real Estate

The Global Authority on Luxury Property

50 Countries 940 Offices

$100B+ In luxury property sales

VAST AND INFLUENTIAL

The Christies International Real Estate network spans nearly 50 countries and territories on six continents. It is the unparalleled expertise of each Affiliate brokerage that assures clients of the best representation in any given market. Through a common focus on luxury real estate, we connect buyers and sellers of the world’s preeminent homes.

Christie’s International Real Estate includes market-leading offices in key luxury markets around the world, from New York, L.A., and Toronto to London, Paris and Rome; from Bangkok to Dubai; the Mediterranean to the Caribbean; and from the Rocky Mountains to the Swiss Alps. No matter the locale or the luxury property you wish to sell or acquire, Christie’s International Real Estate is the solution to your high-end real estate needs.

The Fine Art of Global Real Estate

Just as Christie’s curates great art sales, Christie’s International Real Estate assembles the world’s leading luxury real estate experts, trained and dedicated to providing the highest quality of personalized home buying and selling services. Properties listed with Christie’s International Real Estate’s network gain

Property needs shifted as clients looked to leave small apartments in cities or purchase additional homes in search of amenities such as home offices, home gyms, indoor pools or even private islands, expansive estates or ranches, and properties with multiple dwellings

unrivaled international exposure. Our campaigns achieve results across diverse venues and approaches, including traditional print and digital collateral and advertising, social media and press coverage, high-profile Christie’s and luxury lifestyle events, and market-leading industry research.

While some markets have been quick to recover, with Affiliates reporting records sales and record years, others are still finding their footing. We are hopeful that travel will open back up in the new year and that these markets return to pre-pandemic levels

PureWestRealEstate.com // ChristiesRealEstate.com
u r B u s i n e s s i n 2 0 2 0
Potato Island, Branford, Connecticut Sold at US$4,200,000
04 B a c k H o m e > >
516 North Ocean Boulevard, Palm Beach, Florida Sold at US$24,244,000
The Christie’s brand is instantly recognized and immediately distinguishes your home from all others.
516 North Ocean Blvd, Palm Beach, Florida Sold for $24,244,000 Potato Island, Branford, Connecticut Sold for $4,200,000

MIKE SCHLAUCH

Agent | Owner

406.580.8380 | mike@suplatinum.com

Mike, a native Montanan, graduated from Montana State University with a degree in Construction Engineering Technology. The next 13 years were spent working throughout the U.S., managing complex construction projects in several different industries, returning to Montana in 1997. He cofounded Schlauch/Bottcher Construction, Inc. (SBC). As a member of the Platinum team, Mike brings his solid work ethic, extensive construction and business knowledge, along with his love, history, and respect for Montana to all of his clients and transactions.

VALERIE JOHNSON

Platinum Properties Associate

406.581.5057 | valerie@suplatinum.com

Valerie is a marketing guru with Montana roots. Born in Montana, raised in small town Colorado and returning to the Big Sky State at 16, Valerie deepened her roots in Bozeman after completing her degree in Public Relations/Communications at Carroll College in Helena, MT. She was raised in an entrepreneurial ranching family and knows the meaning of hard work, strong ethics, honesty and relationship-building. Recently married, she is looking forward to raising a family in this beautiful place.

KELLEY SCHLAUCH

Platinum Properties Associate

406. 570.3729 | kelley@suplatinum.com

Born and raised in Missoula, Kelley has always known that there is something truly special about Montana. She has been established in the Bozeman market for over 20 years, she truly understands the unique traits and culture that makes each Montana town special. To Kelley, It isn’t just about selling a house, it’s about selling a community and helping you accomplish your family and business goals. Her dedication to customer service and desire to be accessible to every individual she works with makes her an asset in representing both buyers and sellers.

TRENT LISTER

Platinum Properties Associate | Broker

406.595.0149 | trent@purewestmt.com

A Montana native, Trent has an increasingly rare work ethic and a positive attitude that is contagious. With a passion for serving people and a knack for finding positive solutions, Trent brings a special skill set to his role as a realtor. Constantly driven to provide more value, Trent obtained his Broker license in 2017, is a member of the Realtors Land Institute, the Land Broker Co-Op, and has recently obtained the national title of Accredited Land Consultant. Trent brings integrity, determination, and consistent performance to achieve outstanding results.

BRETT EVJE

Platinum Properties Associate

406.223.8332 | brett@suplatinum.com

Brett is an entrepreneur, businessman and fifth generation Montanan. Born and raised in Southwest Montana, Brett has an affinity for travel, innovative design, and working with clients on an individual basis to create a custom, expertly crafted home buying experience. He is a restaurant owner, project developer and former published stone mason. He loves old cars, fine wine, his amazing daughter and extraordinary wife. Brett has a passion for Montana real estate, and the authenticity of people who choose to live here.

VIVIAN YOON

Platinum Properties Associate

310.743.9383 | vivian@vyancompany.com

Vivian Yoon treats every client like family, serving them with the utmost integrity and honesty. Though she specializes in assisting first-time buyers, seasoned investors, developers, and higher-networth young professionals from all corners of the world, Vivian values the opportunity to share her expertise with all clients. Seeing them happy pushes her to work even more diligently on their behalf. Her interest in real estate sales was piqued when she worked in the luxury properties division at Christie’s Auction House, and she decided then that brokering them would be her next career.

MIKE SCHLAUCH PLATINUM PROPERTIES | BozemanLuxuryRealEstate.com 6200 RIVER ROAD | BOZEMAN, MONTANA

6200 RIVER ROAD

BOZEMAN, MONTANA

Turn static files into dynamic content formats.

Create a flipbook
Issuu converts static files into: digital portfolios, online yearbooks, online catalogs, digital photo albums and more. Sign up and create your flipbook.
6200 River Road, Bozeman by Mike Schlauch Platinum Properties - Issuu