
作者
臺南應用科技大學 楊馨茹 助理教授
綠色和平東亞分部 Kuan-Chieh Wu
綠色和平東亞分部 陳詠仁
特別感謝
楊馨茹助理教授團隊
王稟華
所有參與的親子團體: 臺灣還我特色公園行動聯盟
臺灣兒童健康暨身心發展協會 台灣家長教育聯盟
家扶基金會南台中中心、台北家扶中心 社團法人台灣好鄰居協會
報告設計
綠色和平東亞分部 黃子芸
Han-Yi Chan

綠色和平是一個全球性的環保組織,致力以實際行動推動積極 改變,保護地球環境與世界和平。我們在全球超過 55 個國家、 設有 26 間全國或區域辦公室。為維持公正性和獨立性,綠色 和平不接受任何政府、企業或政治團體的資助,只接受民眾和 獨立基金會的直接捐款。
本報告為綠色和平東亞分部臺北辦公室,亦即財團法人綠色和 平基金會(以下簡稱「綠色和平」)於環保公益工作中形成的 資料。閱讀本報告即表示您已閱讀、理解並接受下列著作權和 免責聲明條款的約束。
著作權聲明
本報告由綠色和平發佈,綠色和平是本報告的唯一合法 著作權所有人。
免責聲明
1. 本報告僅作為環保公益和資訊分享目的使用,不作 為私人營利及任何第三方的投資或決策的參考,綠 色和平亦不承擔因此而引發的相關責任。
2. 本報告為綠色和平於研究期間內基於各種公開訊息 獨立調查研究產出的成果。綠色和平不對報告中所 涉及資訊的及時性、準確性和完整性作擔保。
( )捍衛氣候危機下的兒童權益:減緩與調適並行 (二)從災害風險管理角度因應兒童高溫熱傷害風險 (三)抗高溫災害的起點:加強公園的高溫調適與氣候變遷因應措施 三、研究架構與方法
(一)評估不同公園設計下的健康風險 (二)評估不同公園設計下的兒童舒適度
(二)兒童與家長們普遍反映高溫不適,超過5成親子期待更多遮蔭與降溫措施 (三)氣象測站難以反映公園微氣候與兒童實際熱暴露情形
附件一、公園圖片與清單 附件二、對比氣象站資料 附件三、使用儀器介紹 附件四、WBGT計算
附件五、輻照度換算與UV指數計算公式 附件六、PET計算與兒童舒適度區間建立與統計檢定結果 附件七、舒適度問卷及分析結果
附件八、氣象測站與公園實測資料差異統計檢定 附件九、不同高度黑球於兩實測日的溫度差異
綠色和平於2025年 7 月 所發布的《被高溫 偷走的童年:氣候變遷對兒童夏季戶外活動 影響分析》,從都市尺度探討氣候變遷下的 都市熱島效應,導致高溫熱傷害風險擴張趨 勢,並提出相關政策建議。本研究將進一步 聚焦於兒童經常活動的公共空間——都市公 園。透過實地觀測與參與式調查,分析不同
公園設計條件(如鋪面材質、遮蔭程度等) 對環境熱條件的影響,包含綜合熱指數、表 面溫度與紫外線指數等指標,進一步評估兒 童在戶外活動時所面臨的熱傷害風險。
調查結果顯示,夏季時,多數公園白天長時 間處於危險的高溫環境中,兒童在平均九成 的時間都暴露於熱傷害風險。此外,部分公 園的表面溫度及紫外線指數亦達到可能造成 燙傷或曬傷的水平,其中許多公園的紫外線 指數屬於中量級至高量級,會使兒童在20至 30分鐘內曬傷,顯示高溫已成為兒童戶外遊 戲中的隱形風險。
隨著氣候變遷加劇,極端高溫事件發生的頻 率與強度已持續上升,對民眾健康與生活環 境構成嚴峻挑戰。兒童因生理與心理尚未發 展成熟,在面對極端氣候風險時更為脆弱, 卻是常常被忽略的群體,他們的體溫調節機 制尚未成熟,散熱能力不足,容易出現中暑 或脫水症狀;同時因身高接近地表,暴露於 更高的地表輻射熱之中。再加上兒童戶外活 動時間長、較缺乏自我防護意識,使其高溫 風險進一步升高,是高溫下的氣候脆弱族 群。
然而,儘管兒童在高溫下的健康風險明顯高 於成人,目前多數氣候政策與城市規劃仍以 成人為主要對象,缺乏針對兒童的具體行動 策略,導致兒童的需求往往未被制度與系統 納入考量,在氣候調適政策中長期處於被忽 略的狀態。近年來,政府雖已開始關注高溫 議題,例如環境部成立「抗高溫調適對策聯 盟」,並在過去數期國家調適計畫中提出相 關措施,但這些政策仍未充分觸及兒童的特 殊需求,更凸顯政策缺口。
兒童作為高溫下的脆弱族群,極須納入氣候 政策的重點關注現象。綠色和平期待透過本 研究,喚起社會重視高溫帶來之兒童戶外遊 玩風險問題,並呼籲政府依循《兒童權利公 約》正視兒少的表意權,讓孩子在總統府氣 候變遷委員會中有機會發聲。同時,環境部 應提高預算編列,針對兒少族群加強氣候調 適對策;此外,環境部應協同經濟部,加速 減碳與積極推動臺灣再生能源發展,守護全 球升溫1.5度C,還給兒童好好長大的夏天。
二、緒論
捍衛氣候危機下的兒童權益:減緩 與調適並行
在氣候災害頻繁、碳排放持續攀升、全球 氣溫逐年上升的環境下,兒童的基本權益正 面臨前所未有的威脅。聯合國《兒童權利公 約》委員會也透過《第26號一般性意見》 特別指出,在兒童的生命權、生存權與發展 權的部分,因為氣候與環境的退化,危害了 兒童發揮潛力、進行戶外活動,以及與自然 環境互動的權益。因此要求各國政府在制定 與執行環境及氣候政策時,必須充分考量兒 童所面臨的特殊風險與需求。
同時,聯合國在 2020 年WHO、UNICEF 與醫學期刊共同發布的 「兒童蓬勃指數a」 (Child Flourishing Index)更將「二 氧化碳超量排放」納入評估,凸顯氣候行動 與兒童福祉的緊密關聯1。根據研究指出, 兒童蓬勃指數設定的每人 2.7 噸2,然而臺 灣每人每年平均碳排放量仍高達 12.9 噸3 二氧化碳,超出上限達 378%。
然而,在臺灣與全球碳排放量持續攀升,異 常高溫事件日益頻繁,已經嚴重影響兒童的 戶外遊玩權益,綠色和平於 2025 年7月發 布的 《被高溫偷走的童年:氣候變遷對兒 童夏季戶外活動影響分析》 指出,過去 40 年間,臺灣主要都市夏季適合舒適遊玩的時 數已減少 17.5 天,而熱傷害風險時數則增 加至 52 天。因此政府更需要,提出以兒童 為中心的氣候政策才能減少氣候危機對於兒 童帶來的衝擊。氣候政策中,高溫災害的應 對不僅需著重於升溫的減緩行動,更應重視 調適措施,以降低兒童的脆弱性並提升其應 對能力。減緩與調適應雙軌並進,方能有效 因應氣候風險。在2025年底召開的 COP30 中,除要求各國提交減碳的國家自 定貢獻目標(NDCs)外,亦提出「全球調 適目標」(Global Goals on Adaptation)的具體指標,
以檢視各國的調適進展並強化執行力,並特 別強調應針對不同族群 包括兒童 制 定具體的氣候行動。以臺灣為例,政府歷年 已提出多期國家氣候變遷調適行動計畫,政 府將於 2026 年研議下一期國家氣候變遷調 適行動計畫,現階段正是檢視並強化兒童相 關氣候政策與執行成果的關鍵時刻。
從災害風險管理角度因應兒童高溫 熱傷害風險
在災害風險管理框架下,災害的嚴重程度取 決於危害事件(Hazard)、暴露條件 (exposure)、脆弱性(vulnerability) 之交互影響。
• 危害事件(Hazard):常態性高溫 在眾多氣候風險中,臺灣因升溫速度快, 加上高度都市化,使「常態性高溫」成為兒 童健康與日常生活的主要威脅。長時間高溫 可能造成中暑、脫水,並限制兒童的戶外活 動,進而影響其發展與福祉。
• 脆弱性(Vulnerability):兒童熱 傷害脆弱度高
兒童在高溫下特別脆弱。幼兒因身形小、新 陳代謝快、體表水分蒸發多,且語言及自理 能力有限,常無法及時補充水分或休息;年 紀較大的孩子則容易忽略身體不適而持續活 動9。研究顯示,0至14歲兒童在相同的綜合 溫度熱指數(WBGT)下,比成年人更容易 受到熱傷害,急診就診的風險也明顯提高 10。兒童的脆弱性也會受到其應對能力的影 響。由於兒童自身的生理與行為能力有限, 他們需要外部環境與政策的支持。例如,學 校與公共空間的降溫設施、家長與教育人員 的防護知識,以及政府針對高溫制定的政策 與策略性綱領,都能有效提升兒童應對氣候 風險的能力。
• 暴露條件(Exposure):兒童戶外暴 露時間長
a.此指數是結合永續發展、兒童權利、性別平等、世代正義之新指標,可檢視政策友善兒童健康 福祉的程度,作為政策改善的實證基礎。
兒童的日常活動空間與環境條件直接影響其 暴露風險。多數兒童主要活動於戶外空間, 如公園、學校與幼兒園等,如果這些場域缺 乏遮蔭、降溫或預警設施,兒童暴露於高溫 的時間與強度將大幅增加。
綜合上述面向,兒童氣候政策的制定應以系 統性盤點兒童的日常活動空間與暴露條件為 基礎,進行脆弱性與危害的評估,並以減少 危害發生、降低脆弱度、以提升應對能力為 核心目標。

圖一 、政府間氣候變遷專門委員會(IPCC) 災害韌性框架4 b. 詳見附件一的計算
抗高溫災害的起點:加強公園的高溫 調適與氣候變遷因應措施 要有效減少高溫對兒童的影響,首先應檢視 兒童日常的暴露情境,並從最常使用的活動 場域著手。研究顯示,學齡前兒童有 74.1%5主要在鄰近的公園、學校與幼兒園 活動與遊玩。對許多家庭來說,公園是最容 易取得且免費的公共空間,尤其對缺乏其他 休閒選擇的家庭而言,公園往往是孩子唯一 能無負擔、安全遊玩的場所。因此,加強公 園的高溫調適與氣候變遷因應措施,對保障 兒童健康與遊戲權至關重要,能有效降低兒 童暴露於高溫及其相關風險。
儘管政府近年投入數百億元b推動「特色公 園」計畫,但現行設施普遍缺乏應對氣候挑 戰的設計標準。立法院於2020年提出的 《公園綠地布置比例及綠覆率不足問題之研 議》指出,中央尚未訂定統一抗高溫設計標 準,各地方政府僅能依據《公園管理自治條 例》或《公共兒童遊戲場設備安全管理規 範》進行管理。
現行規範雖涵蓋遊具安全距離與結構安全, 但未涵蓋遮蔭設計、降溫與預警措施6。此 外,雖然環境部已成立「抗高溫調適對策聯 盟」,展現對高溫議題的關注,同時內政部 也推動在「公園綠地降溫示範計畫7」,但 此計畫仍屬示範性質,尚未制度化與全面推 行至全臺所有公園,且計畫未明確考量兒童 的需求,例如不同年齡層兒童的遊戲習慣、 停留時間與活動範圍。目前多數的研究以都 市尺度出發,缺少社區空間像是公園的「微 氣候」尺度研究,因為小區域範圍內,會受 到當地周邊的局部地形環境、建築物坐向及 密度獨特氣候狀況所影響,因此與四周的氣 候環境會有所不同;也缺乏針對公園遊戲場 降溫設計的研究,所以更需要實地的測量才 能反映實際的氣候條件,紀錄更精細的天氣 變化。因此,本研究以新建且具代表性的公 園為案例,透過實地監測與調查,檢視兒童 在公園中所面臨的氣候風險,並期望藉此提 升社會與決策者對兒童氣候議題的關注與急 迫感,進而提供政策改善的實證依據。
實測夏季公園白天有9成時間將導致兒童暴露於熱傷害風險中
▲ 白天(早上九點到五點)平均 � 成時間WBGT > ��°C,其中有�座公園整個白天 WBGT > ��°C,顯示公園的氣候環境讓兒童長時間暴露於高溫威脅之中。
▲ 公園遮蔭效果有限: 多數公園雖設有遮蔭,但遮蔭區平均仍有�成時間處於熱傷害 風險環境(WBGT > ��°C)。
▲ 急性燙傷風險: 實測公園表面最高溫均超過��°C,其中橡膠地墊高達��.�°C,人 工草地更達��.�°C,表面溫度極高,兒童一旦接觸恐有立即燙傷的風險。 主要發現
兒童與家長們普遍反映高溫不適,盼公園增設遮蔭與降溫設施
▲ �成在公園遊玩的兒童反映覺得不舒適。
▲ 超過�成家長盼公園增設遮蔭與降溫設施。
氣象測站難反映公園真實溫度與兒童實際熱暴露情況
▲ 氣象測站難以反映公園實際溫度,實測公園平均溫度比最鄰近的氣象測站高出 �.�°C,最高可達 �.�°C,凸顯需要更多現場測量數據,否則民眾恐低估熱傷害 風險。
▲ 單一指標如WBGT無法完整反映兒童與成人之間的生理差異。研究進一步以生理 等效溫度(PET),分析結果顯示,兒童在同樣環境下的體感熱度會比成年人略 高,相較於成人其PET平均高出�.� °C,最高可相差約 �.� °C,顯示兒童可能承 受較高的熱負荷與不適風險。
▲ 兒童的身高較低,容易受到地表輻射變化的影響,衡量熱輻射的黑球溫度顯示, 兒童的體感溫度平均高於成人,最高甚至超出近 �°C,進一步凸顯兒童在熱環境 下的脆弱性。
c. PET為綜合氣溫、濕度、風速與輻射等環境因子,並納入兒童的基礎代謝率與衣著條件的熱舒 適度模型,能更準確地反映兒童在戶外的實際體感熱感受。
三、研究架構與方法
本研究架構分為兩大部分,旨在全面評估公 園的現況條件對兒童的影響。首先,為評估 不同公園設計下的健康風險,我們將進行實 地監測,透過綜合溫度熱指數 (WBGT)、紫 外線指數 (UVI) 和表面溫度的量測,來分析 遮蔭設計與材質使用對降低兒童熱傷害、皮 膚曬傷與燙傷風險的成效。同時,我們將量 化公園的微氣候效應,分析實際觀測資料與 鄰近氣象站資料的差距。
其次,為評估不同公園設計下的兒童舒適 度,本研究採用生理等效溫度(PET)作為 核心指標,這是一種能綜合多項環境因子, 並納入使用者生理條件的熱舒適度模型,量 化兒童與成人在高溫下的舒適度差異。最 後,我們將透過蒐集兒童舒適度問卷,深入 理解其熱感受,並獲得對公園設計的具體改 善意見。

本研究實測範疇為臺北市、新北市、桃園市、臺中市、臺南市、高雄市、新竹縣、新竹市等 八個主要縣市。其中六個直轄市為全臺兒童(0‒14歲)人口數最多的地區,新竹市與新竹縣則 為近一年人口成長最快的城市。為了進一步比較不同城市環境下兒童的遊戲空間,本研究在 每個縣市各選取 2
個公園,且均為近十年新建或改建的熱門特色公園,相關背景資訊與完整 清單詳見附件一;並選取海拔相近且距公園最近的氣象測站,其詳細資訊可參見附件二。
(一)評估不同公園設計下的健康風險
本研究實地監測時間為上午9點至下午5點
間,此時間範圍能涵蓋一天之中溫度的完整 變化過程,從早晨氣溫逐漸升高至午後再逐 漸下降,完整捕捉熱環境的日變化特徵;同 時,此時間段涵蓋了兒童在公園中活躍的主 要時段,從早晨遊玩時間延續至晚餐前,確 保監測結果能反映兒童實際暴露熱環境的風 險。監測項目包含太陽下與遮蔭下的氣溫、 濕度、風速、黑球溫度與鋪面溫度、紫外線 指數,詳細使用儀器介紹請見附件三。
本研究採用兩大面向「熱傷害風險時數」 與 「其他健康風險指標」,以全面評估氣候變 遷下兒童在公園活動時的健康挑戰。
1) 熱傷害風險時數:
使用 「綜合溫度熱指數」(Wet-Bulb GlobeTemperature,WBGT) 作為評估熱 傷害風險的指標,此指標廣泛運用在國際研 究與臺灣勞動部判斷人體是否收到熱傷害的 標準。本研究依照相關計算方式與高溫分 級,將 WBGT 應用於公園場域,以評估兒童 面臨的熱傷害風險(詳見附件四)。值得注 意的是,過往研究已證實WBGT 與臺灣地區 熱傷害就醫人數具有高度相關性,因此能為 本研究提供更可靠的風險評估依據。
根據中國醫藥大學研究團隊8於2025年發表 的研究結果顯示,當日最高WBGT超過29°C 時,熱相關疾病風險顯著上升。因此,本研 究將每日WBGT超過29°C的時數定義為「熱 傷害風險時數」,以評估兒童在戶外活動期 間可能面臨的熱環境健康風險。

圖三、「戶外活動適宜性」的指標定義說明及其對應的健康風險
2) 其他健康風險指標: 除了熱傷害風險時數之外,本研究亦將紫外 線強度與公園材質表面溫度納入觀測,以反 映兒童在戶外活動時可能面臨的曬傷與燙傷 風險。
a. 紫外線指數(UVI)
本研究透過測量UVB 輻射度,並依照輻照 度換算與 UV 指數計算公式將其轉換為紫外 線指數,詳細計算e方法請參見附件 五。UVI將複雜的紫外線能量以簡單數值呈 現,使大眾易於理解與應用,

紫外線指數 曝曬級數 曬傷時間防護措施
0~2 低量級
3~5 中量級
因此廣泛用於評估紫外線對皮膚與眼睛的 健康風險,並作為公共衛生警示及日常防 曬建議的重要依據9。
b.表面溫度燙傷風險
本研究透過測量鋪面與遊具表面溫度,並參 照表一中依國際規範制定的材質特性及皮膚 接觸時間的燙傷門檻(threshold),評 估不同材質可能造成的燙傷風險。
表一、不同材質的燙傷門檻 (Threshold)參考值
6~7 高量級 30分鐘內帽子/陽傘+防曬液+太陽眼鏡+儘量待在陰涼處
8~10 過量級 20分鐘內帽子/陽傘+防曬液+太陽眼鏡+陰涼處+長袖衣物+10至14 時最好不在烈日下活動
11以上 危險級 15分鐘內帽子/陽傘+防曬液+太陽眼鏡+陰涼處+長袖衣物+10至14 時最好不在烈日下活動
圖四、中央氣象署紫外線指數(UVI)分級對照表10
3)評估不同公園設計的影響 透過實測取得「熱傷害風險時數」 與「其 他健康風險指標」的資料後,本研究進一 步透過以下方法,評估不同公園設計對兒 童的影響:
• 對比健康風險差異:
透過實地監測濕球黑球溫度 (WBGT) 、紫外線指數 (UVI)、與表面 溫度,對比太陽下與遮蔭下的熱危害、 曬傷與燙傷風險。
• 量化微氣候差異:
本研究藉由對比中央氣象局氣象站的資料 與實地測量的數據,量化公園的微氣候效 應。為檢驗兩組數據是否存在顯著差異, 鑑於資料不符合常態分布,本研究採用 Wilcoxon 符號排序檢定(Wilcoxon signed-rank test) 進行分析,結果請 見附件六。
(二)評估不同公園設計下的兒童舒適度
1.兒童舒適度評估指標:
本研究採用生理等效溫度(Physiological Equivalent Temperature,PET)作為 評估兒童舒適度的核心指標。PET 為綜合 氣溫、濕度、風速與輻射等環境因子,並納 入兒童的基礎代謝f率與衣著條件14的熱舒 適度模型,能更準確地反映兒童在戶外的實 際體感熱感受。為提高評估的準確性,本研 究根據兒童的生理特性調整 PET 的計算參 數(詳見附件六),並對比兒童與成人的 PET 差異,以量化他們在高溫下所承受的 熱舒適度差異。由於資料不符合常態分布, 我們用 Wilcoxon 符號排序檢定g (Wilcoxon signed-rank test)來比較 兩組數據,看它們是否有顯著差異。
2. 問卷調查:
本研究同時在公園實測的當下進行問卷調 查,問卷資料詳見附件七。問卷內容涵蓋 受訪者在公園遊玩時的熱感受、舒適度、 衣著量與活動行為。這些資料將與 PET數 據相結合,以全面評估不同公園設計對兒 童的影響。
此外,本研究對問卷中其中 題關於「公 園需要修改的地方」的開放式回覆進行關 鍵字分析,以評估受訪者對不同公園改進 項目的主要需求與重點意見。將出現的關 鍵字依主題分組,並計算每個主題的出現 頻率與百分比h。關鍵字的歸類方式如表 二所示。

表二、關鍵字分析分類方式與對應關鍵字
f指人體在休息狀態下,維持新陳代謝所需的熱量,會影響人的體感溫度或熱舒適。
g 種統計檢定用來判斷兩組數據之間是否存在顯著差異。
h每則回覆中,每個主題最多只計入一次,即使同一回覆提到多個關鍵字,也只算入該主題一次,以避免重複計數。
四、研究結果
(一)實測公園白天有9成時間將導致兒童
暴露於熱傷害風險中
本研究實地調查16個新建或是改建的特色公 園,發現多數公園的遊具直接暴露在太陽直 射下(如圖五與附件一),有近8成的公園 的盪鞦韆、近7成的公園溜滑梯均沒有完善 的遮蔭,使得園區在白天時間處於高溫的狀 態。上午9點至下午5點間的時段中,平均而 言,16座公園中平均有9成時間的綜合溫度 熱指數超過健康風險門檻,

圖六、太陽下公園內WBGT觀測值達健康風險 時間百分比
且有9座公園全天處於熱傷害風險狀態,顯示 兒童長時間暴露於高溫威脅之中。
以下將會針對遮蔭、鋪面與遊具溫度與紫外 線暴露風險進行分析:

圖五、公園遊樂場遮蔭情況照片 (1) 16座公園表面最高溫均超過48°C,
可能造成兒童燙傷風險
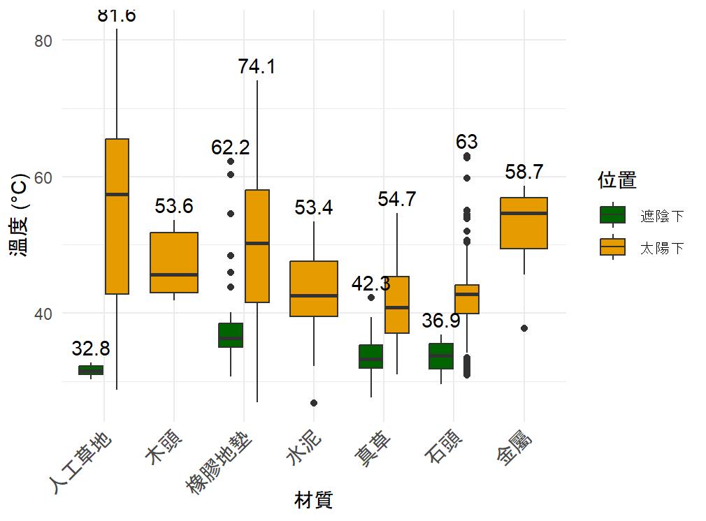
根據實測結果,16 座公園在太陽下的表面最 高溫均測超過 48 °C,顯示所有公園皆存在潛 在燙傷風險,詳細結果請見附件九。其中有 超過6成的公園有一半的時間內都維持在燙傷 風險範圍i(圖七)。若兒童持續接觸此等高溫表 面約10分鐘,即可能導致皮膚燙傷。另外,更 測得 橡膠地墊高達74.1°C,人工草地更達 81.6°C,將有即刻碰到的燙傷風險(圖八)。數 據顯示,遮蔭區域的表面溫度較太陽下顯著降 低,其中以橡膠鋪面降幅最大,達34°C;真 草地溫度降低約20°C,石頭鋪面則降低約18° C,顯示遮蔭可有效減少燙傷風險。

圖七、各公園地表達燙傷風險溫度的時間比例 (10分鐘平均值>48°C)

圖八、不同材質的表面溫度區間
(2)公園遮蔭不足,UVI 實測可達到高 量級,兒童20-30分鐘內恐曬傷
實測結果顯示,在所測的 9 個公園中,有 3 個
公園在曝曬情況下的紫外線指數(UVI)可達 中量級,更有 2 個公園達到高量級。根據世界 衛生組織(WHO)建議,當UVI 達中量級時,
兒童約在30分鐘內可能曬傷;若達高量級,僅 是20分鐘即有曬傷風險。
由於兒童皮膚比成人更薄、更敏感,在缺乏防 護措施的情況下,實際曬傷速度可能更快。因 此,為降低兒童曬傷風險,公園遊戲空間需提 供充足的遮蔭。

圖九、公園實測紫外線指數
(3)遮蔭降溫效果有限,仍有5成時間處於高健康風險
本研究在每座公園內分別於太陽直射區與遮 蔭區各設置一套監測儀器,同步測量兩種環 境下的綜合溫度熱指數,並進行對比分析。
結果顯示,遮蔭區的綜合溫度熱指數平均比
太陽直射區低 2.7°C,最高差距可達 7°C, 證明遮蔭對降低高溫暴露具有一定效果。
然而,即便如此,監測結果仍顯示遮蔭區16座 公園平均仍有一半時間處於熱傷害風險值。這 說明遮蔭設計改善雖然必要,但只能在一定程 度上減少兒童在高溫環境中面臨的熱傷害風 險。

圖十、太陽下與遮蔭下WBGT對比

圖十一、樹蔭下遊樂場內WBGT觀測值達健康風險時間百分比
(二)兒童與家長們普遍反映高溫不適,超過5成親子期待更多遮蔭與降溫措施
根據問卷結果,約 62% 的兒童表示「覺得熱 或很熱」,進一步驗證目前遊戲場遮蔭與降 溫設計的不足,導致兒童無法在高溫條件下 舒適且安全地遊玩。另外,共有 108 位親子 提供了對政府的建議,其中 超過5成(約 58.3%)的回覆提到遮蔭與降溫措施 的需 求,
顯示親子對於公園遮蔭、樹蔭或降溫設施的 關注度最高。其次,有 約 18.5% 的回覆提到 其他設施(如飲水機、洗手台、地板或地面 改善),而 約 12% 的回覆則關注 遊樂設施 (如溜滑梯或其他遊樂器材)。
遮蔭&降溫 遮陰、遮蔭、遮陽、遮蔽、遮蔽物、樹蔭、 樹處、降溫、樹、陰影處、陰涼處、涼亭、 跑道、綠化、遮影
其他設施 飲水機、洗手台、洗手、地板、整潔、籃 球場、藍球場、地面、足球場、飲水、涼 亭、座椅、老人合適設備、鋪面、設施、 乾淨、安全、風雨棚、人行道
遊樂設施 遊樂設施、溜滑、滑梯、溜滑梯、盪鞦韆
無法歸類 並非建議或不與公園相關或是單一意見
表三、關鍵字分析結果

圖十二、兒童進行熱舒適問卷與工作坊
(三)氣象測站難以反映公園微氣候與兒童實際熱暴露情形
實地測量結果顯示,公園內的實際環境溫度 普遍高於鄰近氣象測站的觀測值,平均高出 2.8 °C (圖十三)。其中,大安森林公園最高 溫度比鄰近測站高出 6.9°C (附件八)。氣象 測站無法捕捉到兒童實際遊玩的公園場域的 微氣候差異,公園內的鋪面材質與遮蔭條
件,都會造成局部升溫,這顯示僅依賴氣象 測站的的高溫預警,可能無法充分反映兒童 在遊戲場中實際面臨的風險,若這樣的差距 未被納入考量,公園設計與規劃就可能在高 溫防護上出現盲點,正因如此,在公園建置 時更須將透過實際測量,將微氣候條件納入 評估,並因地制宜設計規劃降溫措施,才能 確保兒童的安全與舒適。
此外,由於 WBGT也是目前中央氣象署熱預 警使用的指標, 無法充分反映兒童的生理特 性差異,本研究進一步以生理等效溫度 (PET)進行分析,並調整兒童與成人的代 謝率後進行對比,

發現在這16座公園的測得氣候條件下,兒童 相較於成人的生理等效溫度平均高出約0.1 度,最高可相差約 0.8 °C,顯示兒童可能承 受較高的熱負荷與不適風險。另外,我們對黑 球溫度進行了不同高度對比, 80 公分代表兒 童身高,100 公分代表成人身高。結果顯示, 兒童的黑球不只受到太陽直射也會容易受到地 表輻射變化,雙重的影響下大部分時間兒童高 度的黑球溫度均高於成人,最高甚至高出近 3°C,凸顯兒童在熱環境下的脆弱性(附件 九)。整體而言,本研究結果顯示,若僅依賴 氣象測站或單一熱指標,將難以真實反映公園 微氣候對兒童造成的實際熱暴露與生理負荷差 異。因此,未來的熱環境監測與公園規劃應納 入更精細的空間尺度觀測與以兒童為中心的生 理分析,以建立更具代表性的數據基礎,作為 熱傷害風險管理與設計調適的重要依據。 圖十三、公園與氣象測站溫度差異
五、政府須將兒童納入氣候政策核心,加速調適與減碳來守 護兒童權益
在氣候變遷導致高溫常態化的背景下,政府應將兒童權益置於氣候政策核心,確保減緩與調適 措施並行,並採取具體可行的行動來降低兒童面臨的健康與戶外活動風險。綠色和平因此提出 以下呼籲:
(一)政府須重視兒少表意權,讓孩子在總統府氣候變遷委員會有發聲的機會 政府必須依循聯合國《兒童權利公約》,重視而少的表意權讓孩子在總統府氣候變遷委員 會中有發聲的機會,以確保政策與防災調適措施充分反映兒童的實際需求與權益。
(二) 環境部須提高預算編列、加強兒少族群氣候調適對策
政府《國家氣候變遷調適行動計畫(112-115年)》,已明確關注老人、弱勢、原住民等 群體的調適需求,但並沒有將「兒少族群」列入,僅在單一健康領域氣候變遷衝擊領域調 適行動方案中有提及「幼童」,導致即使國家氣候變遷調適行動計畫總體預算高達 4,116 億元,卻沒有一筆專款或明確的計畫是用來解決兒少高溫調適的迫切需求。
雖然健康領域的預警系統項目有納入幼童為脆弱族群,但實際執行細目(如衛福部相關專 案)卻只聚焦於關懷遊民、獨居老人等既有群體。環境部作為氣候調適的主責機關,其職 責為協助部門整合、建立指導框架確保兒少需求被納入實質行動。綠色和平建議環境部應 增加預算於以下對策
1. 盤點兒童相關風險並提出指引或綱領訂定目標 政府應進行系統化的盤點與研究,全面掌握兒童生活與其基本權利可能面臨的氣候風
險,並依據盤點結果制定明確的政策指引與綱領,為跨部會協作提供依據,確保防災 與調適措施落實於實際生活場域。
2. 加強兒童與青少年活動空間的氣候舒適性
多數公園與遊樂場在遮蔭、舖面材質與通風設計上仍不足,尚未充分因應高溫挑戰。
環境部應協同內政部國土署,輔導地方政府在新建與改建公園時納入氣候調適設計, 包括日照分析、水體與風廊檢視、周邊熱源與現有遮蔭資源評估。
遮蔭材料與植栽
的選擇應兼顧降溫效果與紫外線防護功能;若採用人工遮陽設施,則需考慮材料的紫 外線阻擋能力、蓄熱性及在高溫下的使用安全性。增設降溫設施(如遮蔭、灑水系 統、水體或戲水區),並使用抗 UV 材料。政府亦應將相關規範納入《兒童遊戲場安 全工作指引手冊》,並建立明確的執行與審查機制。
3. 推動微氣候尺度研究與熱傷害預警
現有都市尺度研究過於粗略,無法反映市民日常熱感受,政府需推動更細緻的微氣候 研究以提升城市韌性。此外,在缺乏微氣候相關數據的情況下,公園設計者與其他空 間規劃人員也難以規劃出更符合需求的遮蔭設施。同時,應建立兒童高溫熱傷害的預 警與教育機制,內政部可參考澳洲經驗,與教育部及衛福部合作,在公園設置熱傷害 指引告牌,標示過熱區域並教育兒少安全使用遊具。
(三)加速減碳與能源轉型以控制升溫
政府應加速能源轉型與減碳進程,短期提高2030年減碳目標與進度,長期落實2050年淨零
碳排目標。正如「兒童蓬勃指數」所指出,透過有效減碳,政策才能將兒童未來的永續福 祉納入評估,不僅降低兒童及未來世代所面臨的高溫風險,更能實踐「世代正義」。
六、附件
附件一、WBGT資料介紹與計算方式

桃園市向陽公園 2023
仁安公園 2023
*代表當天未有整天完整數據所以沒有應用在熱傷害風險時數的計算,但有包含在表面溫度的計算中。 NA代表無相關遊樂設施。
附件二、對比氣象站資料15
觀測時間 縣市 公園名稱 對比氣象站 氣象站描述
7/17
7/19
7/19
8/6
8/7
8/8
8/9
新北市 大都會公園 C0AI30三重 海拔高度26m
台中市 馬卡龍公園 467490台中 海拔高度84m
台中市 北屯兒童公園 467490台中 海拔高度84m
新竹市 新竹市麗池公園 C0D660新竹市東區 海拔高度65m
桃園市 桃園市風禾公園 C0C480桃園 海拔高度105m
桃園市 桃園市向陽公園 C0C480桃園 海拔高度105m
台北市 大安森林公園 466920臺北 海拔高度6.3m
8/9 台北市 青年公園 466920臺北 海拔高度6.3m
8/10 新竹縣 兒四公園魔豆歷險 公園 467571新竹 海拔高度26.9m
8/10 新竹縣 兒10公園 467571新竹 海拔高度26.9m
8/11 新竹市 關新公園 C0D660新竹市東區 海拔高度65m
8/19 台南市 仁安公園 C0X100臺南市北區 海拔高度10m
8/19 台南市 草湖寮歷史公園 C0X100臺南市北區 海拔高度10m
8/15 新北市 新莊體育公園 C0AJ80板橋 海拔高度38m
8/22
8/22
高雄市 綠園道公園 C0V810左營 海拔高度32m學 校資訊大樓樓頂
高雄市 凹仔底森林公園 C0V700 三民 海拔高度24m
附件三、使用儀器介紹
測量參數 使用儀器
溫度/濕度 ● HOBOUX���溫濕度記錄器
表面溫度 ● FLIRC�口袋型紅外線熱影像儀
● HOBOUX���-���M熱偶記錄儀器,其包含�個port與空氣溫度監 測,熱偶線採用T-TYPE熱偶線
黑球溫度 ● HOBOUX���-���M熱偶記錄儀器,其包含�個port與空氣溫度監 測,熱偶線採用T-TYPE熱偶線
風速 ● 台製Lutron路昌記憶式風杯風速計AM-����SD
紫外線 ● 紫外線波段監測儀器HD����-UVB
附件四、WBGT計算
本研究依據文獻提供的公式,利用現場測得的氣溫、相對濕度、風速與黑球溫度,先計算 濕球溫度,再進一步計算WBGT(Wet-BulbGlobeTemperature)。

附件五、輻照度換算與UV指數計算公式
依據文獻16指出,當太陽天仰角低於70°時,觀測到的UVB輻照度可透過公式換算為紅 斑效能輻照度j(erythemalirradiance),一種衡量「太陽光對皮膚造成曬傷效應的有 效紫外線量」,它比單純的紫外線強度更為精準,更能確切反映了皮膚真正承受的健康風 險。由於該公式須在太陽仰角低於70°時的情況下使用,本研究檢視中央氣象署資料後發 現17,台灣於夏至至秋分之間的8時至16時,太陽天仰角皆低於70°,因此本研究採用 該公式進行換算。隨後,再依據世界衛生組織(WorldHealthOrganization,WHO) 建議公式,將紅斑效能輻照度轉換為紫外線指數(UltravioletIndex,UVI)。
1.紅斑效能輻照度(ErythemalIrradiance)紅斑效能輻照度=UVB輻 照度÷7.55
2.紫外線指數(UltravioletIndex,UVI)UV指數=紅斑效能輻照度÷ 0.025
附件六、PET計算與兒童舒適度區間建立與統計檢定結果
1. 量測高度設定為80公分,考量兒童身高較矮且更接近地面,易受地表反射熱與微氣 候變化影響,對比一般成人的測量設定為100公分。
2. 根據文獻,兒童的新陳代謝率顯著高於成人,這意味著他們身體產生的熱量更多, 在高溫下更容易感到不適,一名5歲男孩的新陳代謝率可達40歲男性的1.38倍 18,19。基於此,本研究調整PET模型的參數以反映兒童的生理條件,站著成人使用 80w/m2,兒童使用110w/m2 20,進而更精準地評估他們在高溫環境下的熱舒適 度。
3. 依據ASHRAE標準的成人與上述的兒童靜息代謝率,之後乘上ASHRAE活動強度表 21,推算兒童與成人不同活動強度下的代謝率,作為PET參數設定的依據。
�. 針對成人與兒童的PET進行比較,統計檢定結果顯示,兩組數據存在顯著差異 (Wilcoxon符號排序檢定,p=�.��×��· ¹⁵),且平均差異為�.���℃,顯示 兒童的PET較成人略高。
j「紅斑效能輻照度」是指太陽紫外線中,對人類皮膚造成紅斑(曬傷)效應的有效能量強度。並不是所有波段的紫外線都會等量
附件三、訪談題目
1. 填寫日期
2. 填寫時間
3. 對應儀器編號
4. 儀器目前溫度
5. 儀器目前濕度
6. 儀器目前風速
7. 你剛剛在做什麼活動?(可複選)
8. 您目前幾歲貴庚?
9. 你現在有流很多汗嗎?
10. 你今天來公園身上穿的衣服有哪些?
11. 性別
12. 你的身高
13. 你的體重
14. 你多常來這公園玩?
15. 你到這個公園多久了?
16. 你覺得太陽?
17. 你覺得風?
18. 你覺得你現在感覺到? (回答是以Likert Scale, 包含很熱、熱、暖、有點暖、 剛好、有點涼、涼、冷、很冷)
19. 您是否已閱讀並同意上述說明內容,願意參與本次問卷調查?
20. 大家有什麼意見想要跟政府說呢? (非必填題,有聽到想要記錄下來的話可以填)
附件八、氣象測站與公園實測資料差異統計檢定
針對太陽下與遮蔭下的測量氣溫進行比較,統計檢定結果顯示兩者存在極顯著差異(Wilcoxon 符號排序檢定,p<�.�×��¹⁶),平均差異為�.�℃,顯示太陽下的溫度顯著高於遮蔭環境。
附件九、不同高度黑球於兩實測日的溫度差異22

七、參考文獻
[1] CAP2030. (2022). The Child Flourishing Index. Retrieved August 12, 2024, from https://cap-2030.org/the-child-flourishing-index/
[2]羅方妤、張弘潔(2023)。以「兒童蓬勃指數」評估台灣兒童健康福祉之現況。台灣公共衛生 雜誌,42(3),336-347。https://doi.org/10.6288/TJPH.202306_42(3).112018
[3]環境部. (2025). 溫室氣體排放比較 (Greenhouse gas emissions comparison). 氣候變遷 署.取自
https://www.cca.gov.tw/en/affairs/international/assessment/indicators/25534.html
[4]由國立臺灣大學生物環境系統工程學系永續發展研究室協助翻譯與中文化 IPCC WGII(2014) 圖表,取自https://www.facebook.com/photo.php? fbid=492950917760047&id=428259034229236&set=a.434370536951419
[5]衛生福利部統計處(2022)。《111年兒童及少年生活狀況調查報告兒童篇》。取 自https://dep.mohw.gov.tw/DOS/lp-5098-113-xCat-y111.html
[6] 吳淑青.(2020).公園綠地布置比例及綠覆率不足問題之研議(編號R01022).立法院.https:// www.ly.gov.tw/Pages/Detail.aspx?nodeid=6590&pid=196797
[7] 資料來源:環境部、內政部(2025年9月3日)。〈高溫危機下兒童的調適與減緩政策檢討公聽 會簡報〉。
[8] Lin,Y.-C.,Jung,C.-R.,Hwang,B.-F.,&Chen,C.-P.(2025).Investigatingwet-bulbglobe temperatureonheat-relatedillnessingeneralpopulationforalertingheatexposure:A time-stratifiedcase-crossoverstudy.UrbanClimate,59,102322.https://doi.org/10.1016/ j.uclim.2025.102322
[9] WorldHealthOrganization,2002:GlobalSolarUVIndex‒APracticalGuide.
[10] 中央氣象署。(n.d.).紫外線指數預報服務。取自https://www.cwa.gov.tw/Data/ knowledge/announce/service13.pdf
[11] Pfautsch,Sebastian,AgnieszkaWujeska-Klause,andJudiWalters."Outdoor PlaygroundsandClimateChange:ImportanceofSurfaceMaterialsandShadetoExtend PlayTimeandPreventBurnInjuries."BuildingandEnvironment,vol.223,2022,p.109500, https://doi.org/10.1016/j.buildenv.2022.109500
[12] Kennedy,E.,Olsen,H.,andVanos,J.(2020).ThermallyComfortablePlaygrounds:A reviewofliteratureandsurveyofexperts(TechnicalReport).NationalProgramfor PlaygroundSafety,UniversityofNorthernIowa,37pp.+Appendices,https://scc-ccn.ca/ system/files/2024-07/scc_playgrounds_report_v_1.1_en.pdf
[13] CENELEC.(2007).Guide29:Temperaturesofhotsurfaceslikelytobetouched (Edition1),https://boss.cenelec.eu/media/Guides/CLC/29_cenelecguide29.pdf
[14]ANSI/ASHRAE.(2013).AddendumhtoANSI/ASHRAEStandard55-2010:Thermal environmentalconditionsforhumanoccupancy.AmericanSocietyofHeating, RefrigeratingandAir-ConditioningEngineers,https://www.ashrae.org/file%20library/ technical%20resources/standards%20and%20guidelines/standards% 20addenda/55_2010_h_final.pdf
[15]中央氣象署.(n.d.).地面氣象站資料.中央氣象署開放資料平臺.取自https:// hdps.cwa.gov.tw/static/state.html
[16]McKenzie,R.,Smale,D.,&Kotkamp,M.(2004).RelationshipbetweenUVBand erythemallyweightedradiation.Photochemical&PhotobiologicalSciences,3(3),252‒256.Retrievedfromhttps://gml.noaa.gov/grad/neubrew/docs/publications/ McKenzie_2003.pdf
[17]交通部中央氣象局(2022)。天文日曆2022。取自https://www.cwa.gov.tw/Data/service/ notice/download/Publish_20211102103527.pdf
[18]Wenger,C.B.(1995).Theregulationofbodytemperature.InR.A.Rhoades&G.A. Tanner(Eds.),Medicalphysiology(pp.527‒550).
[��]Lehnert,M.,Jirmus,R.,Květoňová,V.,Geletič,J.,Jurek,M.,Středová,H.,&Frajer,J. (����).Overheatedchildren'splaygroundsinCentralEuropeancities:Theeffectsof surfacesandshadingonthermalexposureduringhotsummerdays.UrbanClimate,��, 101873.https://doi.org/10.1016/j.uclim.2024.101873
[20]Pontzer,H.,Yamada,Y.,Sagayama,H.,Ainslie,P.N.,Anderson,L.J.,Arab,L.,Baddou, I.,Bedu-Addo,K.,&IEADLWDatabaseConsortium.(2021).Dailyenergyexpenditure throughthehumanlifecourse.Science,373(6556),808‒812.https:// pubmed.ncbi.nlm.nih.gov/34385400/
[21]ASHRAE.(2013).AddendumgtoANSI/ASHRAEstandard55-2010:Thermal environmentalconditionsforhumanoccupancy[Standard].AmericanSocietyofHeating, RefrigeratingandAir-ConditioningEngineers.https://www.ashrae.org/File%20Library/ Technical%20Resources/Standards%20and%20Guidelines/Standards% 20Addenda/55_2010_g_Final.pdf
[22]國家科學及技術委員會.(2025).112-113特色公園舒適度及影響力之評估與規劃[專題研究計 畫].國家科學及技術委員會。
