









Riley Cty USD
Riley County
Riley County Riley County


HOA(Y/N) No HOADues
INTERIORAMENITIES Eat-in Kitchen, Kitchen Island, Primary Bath, Prim Bdrm-Walk-in Closet, Pantry, Radon Mitigation System, Workshop, Ceiling Fan
FIREPLACE One, Gas
EXTERIORAMENITIES Covered Deck, Deck, Storage Shed,All Season Room
FENCING Chain Link, Partial NEIGHBORHOODAMENITIES Community Park, Community Pool
Small-town living meets old farmhouse charm in this fully renovated & expanded home! Classic details like bungalow-style casings, glass knobs & stonework pair beautifully with modern updates including all new windows, plumbing, HVAC updates, electrical, roof & finishes. The chef’s kitchen boasts butcher block counters, dual pantries & new cabinets & appliances, while the open living area features a floor-to-ceiling stone fireplace & abundant natural light. The owner’s suite offers a spa-like bath, walk-in closet & laundry Two more bedrooms & full bath are on the main floor, with 2 additional bedrooms & bath area in the finished lower level. The upstairs attic is finished into a loft with a wired media room. Outdoor living shines with nearly ½ acre, a sprawling deck, outdoor fireplace, covered deck w/media space & detached garage. Enjoy living walking distance to downtown Riley shops, dining, park, pool & school!
PERSONALPROP. INCLUDED Clothes Dryer, Clothes Washer, Dishwasher, Oven/Range, Refrigerator Pers.Prop.Included Detail Kitchen & Garage Refrigerators, Dishwasher, Stove/Double Oven, Washer/Dryer, Woodburning Stove in Garage Personal Prop. Excluded PropaneTank & Detached Shed
EXTERIOR Hardboard, Masonry, StoneAccent, Wood Siding
CONSTRUCTION TYPE Site Built
BASEMENT/FINISH Crawl Space, Full-Partial Finished, Slab
BASEMENT LIGHT EXPOSURE Egress
ROOF Composition, New, Less than 5 years
WATER TYPE/SEWER TYPE City Water, City Sewer
FUEL Propane
HEATING TYPE ForcedAir Propane
COOLING TYPE Ceiling Fan(s), Central, Whole House Fan
GARAGE TYPE Double, Detached





DigiSign Verified - e631853b-ddc8-4f79-9597-901beac837a7





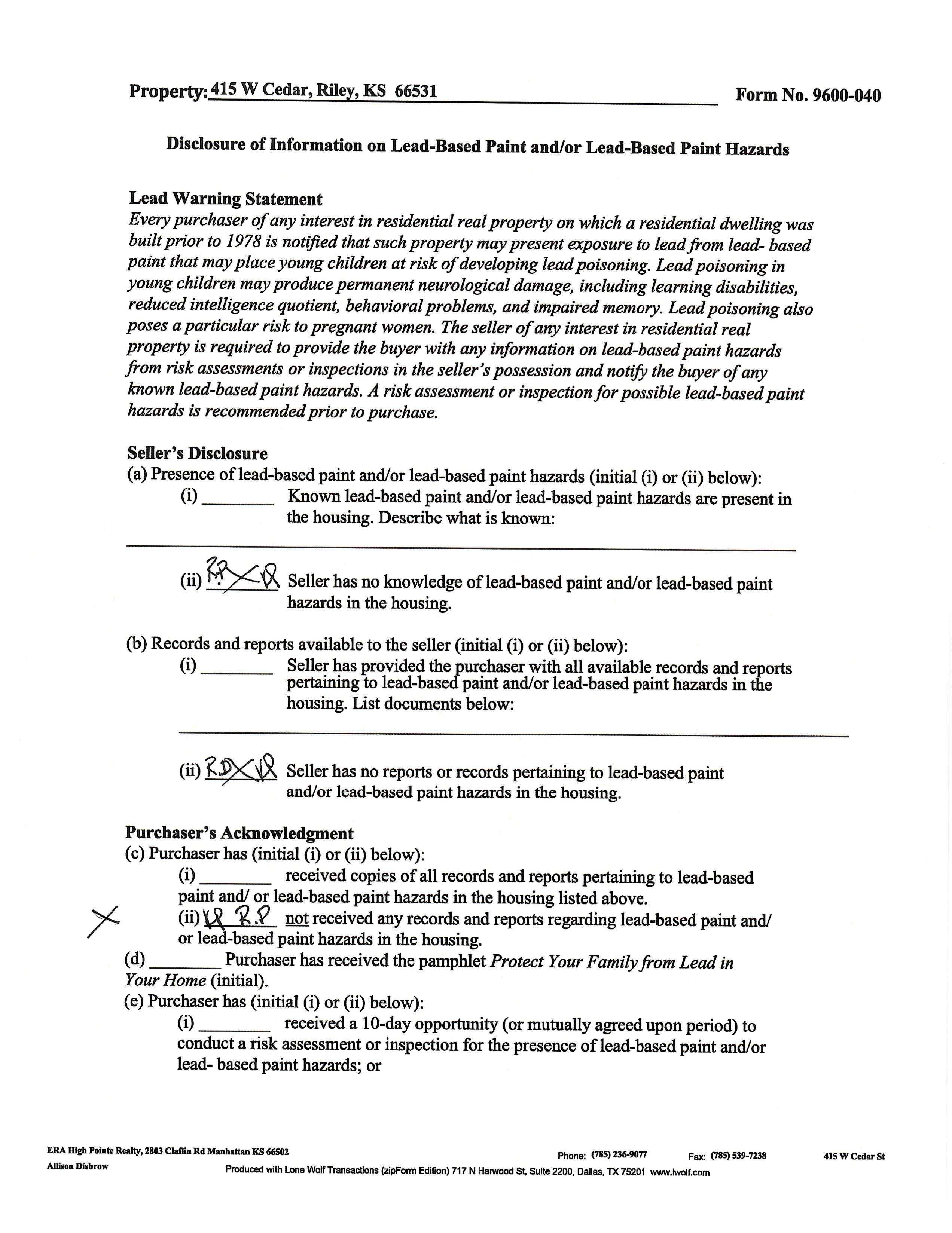
Disclosure of Information on Lead-Based Paint and/or Lead-Based Paint Hazards
Lead Warning Statement
Every purchaser ofany interest in residential real property onwhich a residentialdwelling was builtprior to 1978 is notified that such property may present exposure to lead from lead- based paint that mayplace young children at risk ofdeveloping lead poisoning. Leadpoisoning in young children may produce permanent neurological damage, including learning disabilities, reduced intelligence quotient, behavioral problems, and impaired memory. Lead poisoning also poses a particular risk to pregnant women. The seller ofany interest in residential real property is required to provide the buyer with any information on lead-based paint hazards from risk assessments or inspections in the seller's possession and notify the buyer of any known lead-based paint hazards. A risk assessment or inspectionfor possible lead-based paint hazards is recommended prior to purchase.
Seller's Disclosure
(a) Presence of lead-based paint and/or lead-based paint hazards (initial (i) or (ii) below):
(i) Known lead-based paint and/orlead-based paint hazards are present in the housing. Describe what is known:
(ii) () Seler has no knowledge oflead-based paint and/or lead-basedpaint hazards in the housing.
(b) Records and reports available to the seller (initial (i) or (ii) below):
(i) Seller has provided the purchaser with all available records and reports pertaining to lead-based paint and/or lead-based paint hazards in the housing. List documents below:
(ii)RX Seller has no reportsor records pertaining to lead-based paint and/or lead-based paint hazards in the housing.
Purchaser's Acknowledgment
(c) Purchaser has (initial (i) or (ii) below):
(i) _ received copies of all records and reports pertaining to lead-based paint and/ or lead-based paint hazards in the housing listed above.
(ii)RP not received any records and reports regarding lead-basedpaint and/ or lead-based paint hazards in the housing.
(d) Purchaser has received the pamphlet Protect Your Familyfrom Lead in Your Home (initial).
(e) Purchaser has (initial (i) or (ii) below):
(i) received a 10-day opportunity (or mutually agreed upon period) to conduct a risk assessment or inspection for the presence of lead-based paint and/or lead- based paint hazards; or
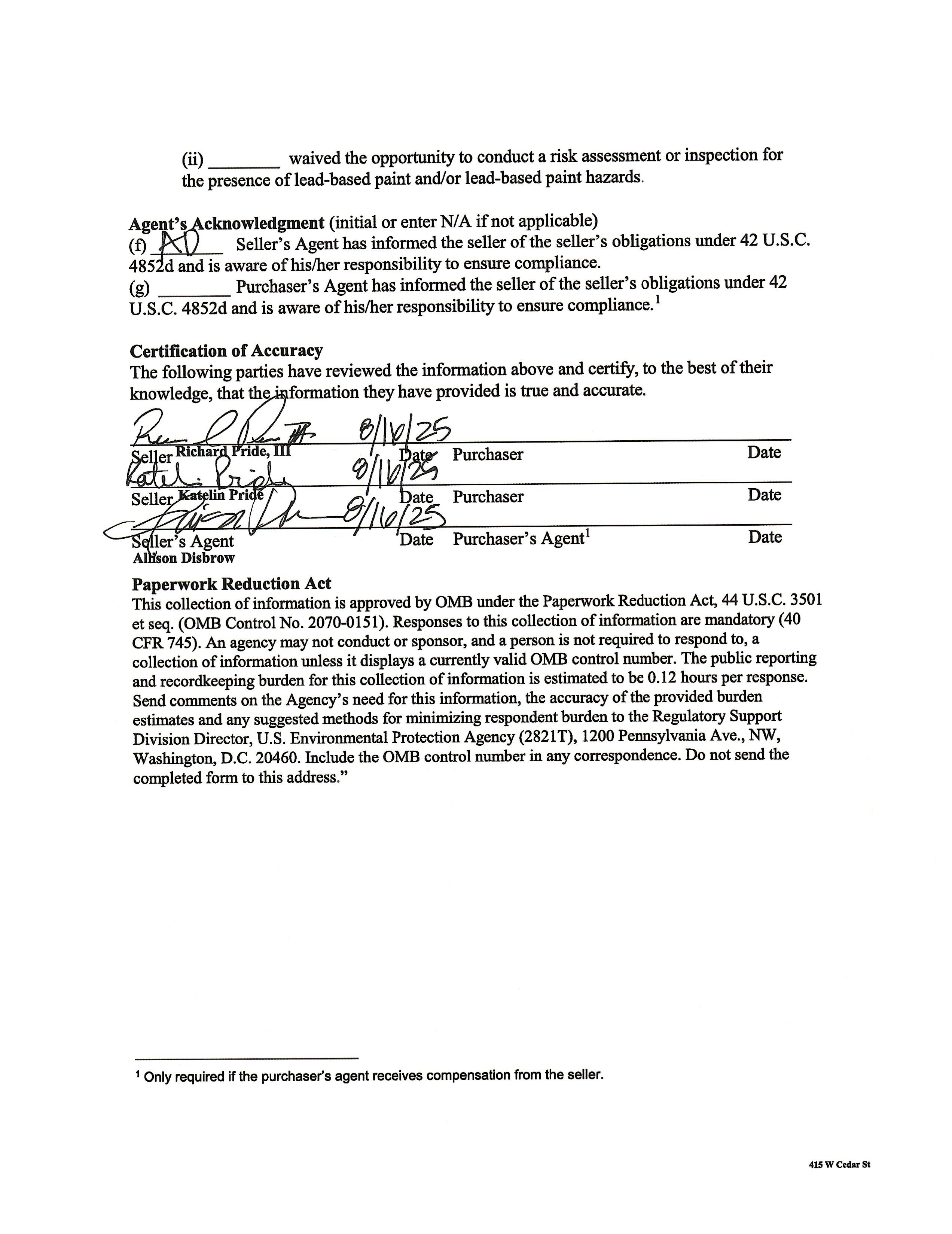
(ii) waived the opportunity to conduct a risk assessment or inspection for the presence of lead-based paint and/or lead-based paint hazards.
Agent'sAcknowledgment (initial or enter N/A if not applicable)
(D Seller's Agenthas informed the sellerof the seller's obligations under42 U.S.C. 4852d and is aware of his/her responsibility to ensure compliance. (g) Purchaser's Agent has informed the seller ofthe seller's obligations under 42 U.S.C. 4852d and is aware of his/her responsibility to ensure compliance.¹
Certification of Accuracy
The following parties have reviewed the information above and certify, to the best of their knowledge, thatthe information they have provided is true and accurate.
Seller Richard Pride, III