









Manhattan-Ogden USD 383
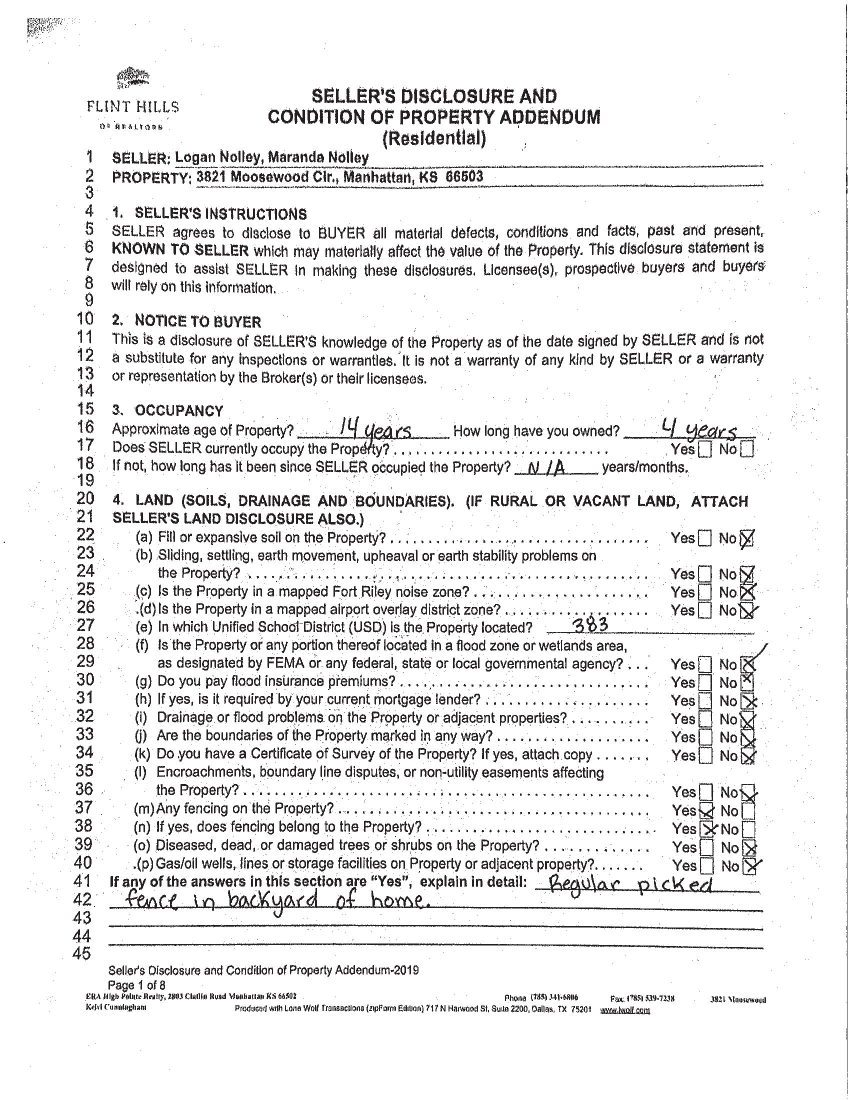
AmandaArnold
Susan B.Anthony
Manhattan


HOA(Y/N) No HOADues
INTERIORAMENITIES Eat-in Kitchen, Jetted Tub, Kitchen Island, Primary Bath, Prim Bdrm-Walk-in Closet, Formal Dining FIREPLACE None
EXTERIORAMENITIES Deck, Patio FENCING FencedYard
Originally custom built home in 2011 with high quality woodwork and materials located in Westside Manhattan with 4 bedrooms, 3 baths, & 2 car garage. Living room with ceiling bump-up enters into the formal dining room that accommodates a large table. Kitchen with granite countertops, stainless steel appliances included, and Custom Woods Products cabinets. Primary bedroom with coffered ceiling, walk in closet, & private en suite w/ double vanity, shower, and jetted tub. Lower level includes a 4th conforming bedroom, 3rd full bathroom, oversized family room, and large unfinished storage space. There is plenty of space for 1 additional bedroom and 1 bathroom to be easily added to the basement, if desired. The property is situated on a desirable .31 acre corner lot on a cul-de-sac street with fully fenced in yard , composite deck, additional patio, and hot-tub (2020 Hot Springs - Relay). New roof in 2024 with
panels = energy efficiency and saving on electricity bills.
PERSONALPROP. INCLUDED Dishwasher, Garbage Disposal, Microwave, Oven/Range, Refrigerator
Pers.Prop.Included Detail Kitchen appliances included. See seller's disclosure. Personal Prop. Excluded Personal items.
EXTERIOR Hardboard, Hardboard Siding, StoneAccent
CONSTRUCTION TYPE Site Built
BASEMENT/FINISH Full-Finished
BASEMENT LIGHT EXPOSURE Egress
WATER TYPE/SEWER TYPE City Water, City Sewer
FUEL Natural Gas
HEATING TYPE ForcedAir Gas
COOLING TYPE Central
GARAGE TYPE Double,Attached, Elec. Garage Door Opener
SELLER'S DISCLOSURE AND
OF PROPERTY ADDENDUM

SELLER agrèes to disclose to BUYER all materlal defects, conditions and facts, past and present, KNOWN TO SELLER which may materially affect the value of the Property. This disclosure statement is designed to assist SELLER In making these disclosures. Licensee(s), prospective buyers and buyers will rely on this information.
This is a disclosure of SELLER'S knowledge of the Property as of the date signed by SELLER and is riot a substitute for any inspections or warrantles.'It is not a warranty of any kind by SELLER or a warranty or representation by the Broker(s) or their licensees.
Approximate age of Property?
years
Does SELLER currently occupy the Property?
long haveyou owned?
If not, how longhas it been since SELLER occupied the Property? N/A years/months.
(a) Fill or expansive soil on the Property?
(b) Sliding, settling, earth movement, upheaval or earth stability problems on the Property?
(c) Is the Property in a mapped Fort Riley noise zone?
(d)Is the Property in a mapped airport overlay district zone?
(e) In which Unified School District (USD) is the Property located?
(f) Is the Property or any portion thereof located in a flood zone or wetlands area,
No
as designated by FEMA or any federal, state or local governmental agency? Yes No
(g) Do you pay flood insurance premiums?
(h) If yes, is it required by your current mortgage lender?
(i) Drainage or flood problems on the Property or adjacent properties?
(j) Are the boundaries ofthe Property marked in any way? (k) Do you have a Certificate of Survey of the Property? If yes, attach copy
(1) Encroachments, boundary line disputes, or non-utility easements affecting the Property?
(m)Any fencing on the Property?
(n) If yes, does fencing belong to the Property?
(o) Diseased, dead, or damaged trees or shrubs on the Property?
.(p) Gas/oil wells, lines or storage facillties on Property or adjacent property?. If any of the answers in this section are "Yes", explain in detail:
fence in backyard of home.
No
No
No








Amanda Arnold Elementary School - 1435 Hudson Ave.
Susan B. Anthony Middle School - 2501 Browning Ave.
Manhattan High School - 2100 Poyntz Ave.


8/25/2025