AW_1+2_2025_LOW

Page 1


TITELTHEMA

Schmierstoffe

Auch Elektroautos brauchen Schmierstoffe und Fluids –die neusten Produkte und Dienstleistungen

NEWS

A&W Branchenanlass 2025 Ende Januar trafen sich rund 300 Fachleute aus der Schweizer Mobilitätsbranche zum persönlichen Austausch

Rück- und Ausblick

Geschäftsführer und Inhaber von Firmen aus der Autobranche schauen auf 2024 zurück und wagen einen Ausblick auf 2025

REP-TALK

Interview zum Startschuss der ersten Talkshow für das Schweizer Fahrzeugreparaturgewerbe

WIRTSCHAFT

Prognosen

Autopapst Dudenhöffer schaut in die Kristallkugel

TECHNIK

Fachwissen

Die Zusammenhänge zwischen Drehmoment, Arbeit und Energie

Die besten Schmiermittel erhältst du bei uns.

Liebe Leserinnen, liebe Leser

Rund 300 Fachleute aus der Schweizer Mobilitätsbranche fanden sich Ende Januar zum A&W Branchenanlass 2025 ein – das ist ein starkes Zeichen dafür, wie wichtig der persönliche Austausch in Zeiten des Wandels ist. Die angeregten Diskussionen nach dem Referat von KI-Professor Andreas Stöckl und der Show von «iPadZauberer» Christoph Wilke zeigten, dass die Herausforderungen mit künstlicher Intelligenz zwar gross sind, aber ebenso die Chancen. Den Bericht zum Event lesen Sie auf den Seiten 8 und 9.

In der Rückblick-Ausblick-Strecke (S. 10 – 14) haben wir Ersatzteilund Zubehörlieferanten, Reifenimporteure, Schmierstoffhersteller, Entsorger, Versicherer und Werkstattausrüster befragt: Wie lief 2024? Welche Chancen und Herausforderungen bringt 2025?

Spannend ist ebenfalls das Interview mit Enzo Santarsiero und Giuseppe Cucchiara zu REP-TALK, der ersten Talkshow für die Schweizer Fahrzeugreparaturbranche (S. 16).

Ein starkes Signal setzt auch unser Titelthema Schmierstoffe (S. 36 – 49). Der Umfang von 14 Seiten zeigt: Trotz Elektro boom bleibt der Bedarf an Motorenölen und Fluids hoch.

Einen fundierten Rückblick auf das Autojahr 2024 liefert Guido Biffiger mit seinen Statistiken (S. 64 – 69).

Natürlich bieten wir Ihnen auch in dieser Ausgabe das Neuste aus der Branche und der Technik.

Ich wünsche Ihnen eine spannende Lektüre! Herzlichst Ihr Mario Borri

Der 3. A&W Branchenanlass mit rund 300 Gästen war wieder ein voller Erfolg (oben). Ob REP-TALK ein Erfolg wird, zeigt sich ab dem 17. April 2025.

A&W Branchenanlass 2025

Zum dritten Mal ein starkes Zeichen dafür, wie wichtig der persönliche Austausch in Zeiten des Wandels ist. NEWS

Aus- und Rückblick

Geschäftsführer und Inhaber von Firmen aus der Autobranche schauen zurück und wagen einen Ausblick.

Unser Familienbetrieb steht Ihnen mit seinem dreiköpfigen Team seit 1990 als starker Partner zur Seite.

Tiefgreifende und langjährige Erfahrung in der Branche, ganz besonders mit den Marken Opel (einst Partner für 30 Jahre) und SsangYong (einst Partner für 8 Jahre).

Vor allem jedoch Kundenorientierung – denn Sie sind das Wertvollste, das wir haben.

Überzeugen Sie sich bei einem Besuch.

Ihr Waldvogel Automobile Team aus Schöfflisdorf

NEWS

REP-TALK

Die erste Talkshow für die Schweizer Fahrzeugreparaturbranche geht am 17. April 2025 auf Sendung.

In Feierlaune: Party zum 25-Jahr-Jubiläum von TDC.
3. A&W-Branchenanlass: Rund 300 Fachleute aus der Schweizer Mobilitätsbranche trafen sich in Safenwil.
Prognosen: Wie entwickelt sich der Automarkt 2025? Berufsbekleidung: Sicher und schick.
Gassner AG: S. Loosli (r.) übernimmt von Th. Küderli.

TITELTHEMA

Schmierstoffe

Die neusten Produkte und Dienstleistungen der Schweizer Schmierstoffhersteller und -importeure.

WIRTSCHAFT

Prognosen, Berufskleider, Bildung Zu den weiteren Schwerpunktthemen gehört auch Entsorgung/Recycling – dort präsentiert sich die Thommen-Furler AG.

AUTO&TECHNIK

News, Fachwissen und Technik Innovationen bei Mensch-MaschineSchnittstellen, der Leistungselektronik und dem Batteriemanagement.

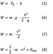
Aus- und Weiterbildung: Wissen ist Macht. Statistiken: Zulassungszahlen unter der Lupe. Fachwissen: Rund um Drehmoment, Arbeit und Energie.

Markus Brunner war über zwanzig Jahre bei der Schweizer Niederlassung von Apollo Tyres tätig.

Neuer

Geschäftsführer

der Alcar Erny Schweiz

Ab März 2025 übernimmt Markus Brunner die Geschäftsführung der Alcar Erny AG Schweiz, einer Tochterunternehmung der Alcar-Gruppe. Der langjährige Country Manager von Apollo Tyres wird in seiner neuen Rolle gemeinsam mit dem bestehenden Team die Weiterentwicklung aller Aktivitäten für sämtliche Kundengruppen von Alcar Erny verantworten. Die Alcar-Gruppe wurde 1984 gegründet und hat sich in den letzten vier Jahrzehnten zu einem Marktführer für Stahl- und Leichtmetallräder im europäischen Nachrüstmarkt entwickelt.

Quality1 erweitert die Geschäftsleitung

Die Quality1 AG macht einen grossen Schritt in Richtung Zukunft und erweitert ihre Geschäftsleitung von drei auf fünf Mitglieder. Damit verankert das Unternehmen Digitalisierung und Innovation fest in seiner Führungsebene und stellt die Weichen für Wachstum und neue Geschäftsfelder. «Mit der Erweiterung der Geschäftsleitung setzen wir ein klares Signal: Wir wollen Innovationen vorantreiben und unser Portfolio gezielt ausbauen», erklärt Quality1-Geschäftsführer Marc Kessler. Die neuen Mitglieder der Geschäftsleitung, Armin Bilibani (Chief Information Technology Officer) und Christoph Geissmann (Chief Product & Innovation Officer), bringen frische Expertise ein. Bilibani begann 2018 als Entwickler bei Quality1, Geissmann ist ein Branchenkenner mit 16 Jahren Erfahrung bei Allianz Suisse.

Neuer Brand Director von Seat/Cupra Schweiz

Führungswechsel bei Seat und Cupra Schweiz. Der neue Mann an der Spitze heisst Rico Christoffel. Er trat per 1. Januar 2025 die Nachfolge von Sandra Grau an, die als Head of Fleetmanagement & Performance eine neue Herausforderung innerhalb der Amag Import AG angenommen hat. Der Schweizer Rico Christoffel ist kein Unbekannter, so war er seit 2019 erfolgreich als Brand Director von VW Nutzfahrzeuge aktiv. Er verfügt über 30 Jahre Berufs- und Führungserfahrung und war durchgehend in der Automobilbranche tätig.

Rico Christoffel ist neuer Brand Director von Seat und Cupra in der Schweiz.

Nicol Fleissner ist die neue Brand-Direktorin von Volkswagen Nutzfahrzeuge Schweiz.

Neue Brand-Direktorin VW Nutzfahrzeuge Schweiz

Seit dem 1. Januar 2025 ist Nicol Fleissner Brand Director von Volkswagen Nutzfahrzeuge Schweiz. Die Österreicherin folgt auf Rico Christoffel. Fleissner hat mehr als 20 Jahre Berufs- und Führungserfahrung in der Automobilbranche. Ihre berufliche Laufbahn startete sie 1995 in der Automobilbranche bei der Ford Bank Austria in Salzburg. Seit 2011 ist Nicol Fleissner in der Schweiz bei der Amag Import AG, wo sie zuletzt den neuen Geschäftsbereich Business Steering aufbaute und mit viel Erfolg weiterentwickelte.

V. l.: Christoph Geissmann (Chief Product & Innovation Officer), Armin Bilibani (Chief Information Technology Officer), Marc Kessler (Chief Executive Officer), Generoso Braem (Chief Sales & Marketing Officer) und Giuseppe Chiarello (Chief Operating Officer).

Der Motor ist das Herz eines jeden Fahrzeugs –und er ist auf das richtige Motorenöl angewiesen.

0844 80 26 24

support.pcc@amag.ch

A&W Branchenanlass 2025: Die Mobilitätsbranche im Zeichen der künstlichen Intelligenz

Auch der dritte A&W Branchenanlass hat’s gezeigt: Nichts geht über den persönlichen Austausch. Wenn es dabei auch noch ein spannendes Referat, Magie und leckeres Essen/Trinken gibt – umso besser. Text: Mario Borri | Bilder: Martina Eggenberger, Mario Borri, Michael Lusk

Es ist zwar erst die dritte Austragung, doch der A&W Branchenevent hat sich bereits zum Traditionsanlass in der Schweizer Mobilitätsbranche entwickelt. Fast wie bei einem Familienfest folgen auch bei der Ausgabe 2025 wieder Garagisten, Carrossiers, Werkstattausstatter, Reifenfachleute, Flottenmanager, Lacklieferanten, Autoimporteure, Zulieferer, PR-Manager, Versicherer, Online- und klassische Autohändler sowie Verbandsleute der

Einladung des A&W Verlages ins Eventcenter von Emil Frey Classics in Safenwil (AG). Beim Eintreffen der ersten der rund 300 Gäste ist der Apéro bereits vorbereitet, die Gläser funkeln, Laugensandwichs, Gemüsespiesse und andere Leckereien stehen zum Verzehr bereit. Schnell füllt sich der vordere Bereich der stilvollen Eventhalle, und Gespräche entstehen. Man kennt sich – oder lernt sich kennen. Unters Stimmengewirr mischt sich lockeres Lachen. Ein

spannender Abend im Zeichen von künstlicher Intelligenz steht bevor. Ein Gong läutet das Ende des Apéros und den Beginn des offiziellen Teils des Branchenanlasses ein.

Begrüssung und Auftakt

Mit einem herzlichen Willkommen begrüssen A&W-CEO Giuseppe Cucchiara und Geschäftsleitungsmitglied Jasmin Eichner die Gäste und bedanken sich für das zahlreiche Erscheinen. Mit dem Hinweis, dass ein Event wie dieser ohne starke Partnerschaften nicht möglich wäre, sprechen Cucchiara und Eichner den Goldsponsoren Astara, CG Car Garantie, Hankook, KSU A-Technik AG und TDC Gruppe sowie den Silbersponsoren Autoteile Wetzikon

Die rund 300 nach Safenwil angereisten Fachleute aus der Schweizer Mobilitätsbranche hören gebannt dem Referat von KI-Professor Andreas Stöckl zu.

Jasmin Eichner und Giuseppe Cucchiara begrüssen die Gäste und bedanken sich bei den Sponsoren (Bild links). Vor dem Hauptprogramm lassen sich die Gäste im vorderen Eventsaal den Apéro schmecken.

(ATW), Derendinger, GCS Schweiz AG, Riwax Chemie AG und Sortimo ihren Dank aus. Anschliessend bitten sie den Moderator des Abends auf die Bühne – Stephan Klapproth. Das ehemalige 10vor10-Aushängeschild moderiert den Branchenanlass bereits zum dritten Mal. Wie immer ist er ein Garant für kluge Gedanken und unterhaltsame Übergänge. Er beginnt mit einem Witz: Zwei Piloten betreten ein Flugzeug – einer mit einem Blindenhund, der andere mit einem Blindenstock. Die Passagiere tuscheln nervös, lachen verhalten, dann beschleicht sie eine seltsame Angst. Als das Flugzeug anrollt, gerät die Stimmung in Panik, einige schreien. Doch dann hebt die Maschine sanft ab und steigt sicher in die Wolken. Der eine Pilot wendet sich an den anderen: «Weisst du, Bob, irgendwann schreien sie zu spät – und dann war’s das für uns alle.» Ein brillanter Übergang

Referent Prof. Dr. Andreas Stöckl, Experte für generative KI (unten), und «iPad-Magier» Christoph Wilke bei ihren Auftritten.

zur künstlichen Intelligenz: Sind wir alle bald nur noch Passagiere, und die KI übernimmt das Steuer?

Die Keynote: KI und ihre Auswirkungen Nach dieser launigen Einführung kündigt Klapproth den Hauptredner an: Prof. Dr. Andreas Stöckl, ein Experte für generative KI. Sein Thema: Was ist generative KI? Einfach gesagt: eine Maschine, die auf Basis riesiger Datenmengen lernt und daraus selbstständig neue Inhalte erzeugt. Stöckl beginnt mit einem Rückblick: KI ist nicht erst seit Chat GPT relevant. Schon 1966 entwickelte Joseph Weizenbaum das simple, aber faszinierende Programm «Eliza», das eine Art Gespräch mit Menschen führte. Heute sind KI-Modelle ungleich mächtiger. Sie schreiben Texte, entwerfen Bilder, programmieren Software und beantworten komplexe Fragen.

Doch was bedeutet das für den Alltag?

Stöckl erklärt es mit praktischen Beispielen. KI in Suchmaschinen etwa: Bisher musste man bei Google zehn Links durchklicken, um eine Antwort zu finden. Nun gibt es Suchmaschinen, die direkt präzise Antworten liefern. Oder Microsofts E-Mail-Software, die automatisch Nachrichten zusammenfasst und Ordner sortiert. Ein weiteres Beispiel: KI in der Fotografie. Sie kann Bilder nicht nur optisch altern lassen, sondern auch Objekte entsprechend manipulieren. Noch beeindruckender: Sie kann Videos aus Textbeschreibungen erstellen oder Datenanalysen in Echtzeit durchführen. Doch es gibt auch Herausforderungen. KI basiert auf bereits existierenden Daten. Sind diese fehlerhaft oder veraltet, reproduziert die KI die gleichen Fehler. Zum Abschluss diskutieren Klapproth und Stöckl die Auswirkungen auf die Automobilbranche. KI

Moderationslegende Stephan Klapproth ist ein Garant für kluge Gedanken und unterhaltsame Übergänge.

kann langweilige Routinetätigkeiten wie Buchhaltung oder Rechnungswesen automatisieren – eine Erleichterung, gerade angesichts des Fachkräftemangels. Aber wenn solche Systeme versagen, fehlen oft die Menschen, die noch manuell eingreifen können.

Magischer Abschluss mit Christoph Wilke Dann folgt ein Highlight der besonderen Art: der Auftritt von «iPad-Zauberer» Christoph Wilke. Mit verblüffenden Tricks zeigt er, wie Technologie und Magie verschmelzen. Er versetzt einen Tennisball aus dem Bildschirm in die reale Welt, manipuliert das Wetter einer App und lässt sogar ein Bier aus dem I-Pad fliessen. KI scheint überall zu sein. Die magische Show war ein perfekter Übergang zum letzten Teil des A&W-Branchenanlasses – dem Netzwerken, Essen und Trinken.

www.auto-wirtschaft.ch

Rückblick & Ausblick: 3 Fragen zum Jahresbeginn

Das neue Jahr hat begonnen. Zeit, ein Fazit zu ziehen, eine Prognose zu wagen und den kommenden Herausforderungen entgegenzusehen. AUTO&Wirtschaft fragte nach. 1. Wie bewerten Sie die Entwicklung Ihres Unternehmens im Jahr 2024? 2. Mit welchen Erwartungen blicken Sie auf 2025? 3. Welche Themen bereiten Ihnen aktuell die grössten Herausforderungen?

Peter Scheidegger, Verkaufsleiter Altola

1. Trotz aller Herausforderungen dürfen wir sehr zufrieden sein mit der Entwicklung unseres Unternehmens im vergangenen Jahr. Wir konnten weitere Fortschritte im Bereich Digitalisierung vornehmen und erwarten dadurch eine Verbesserung der Dienstleistungen.

2. Wir blicken auch dieses Jahr positiv in die Zukunft und sind uns bewusst, dass die Entwicklungen der Rahmenbedingungen, der gesetzlichen Vorgaben sowie der immer noch steigenden Kosten auch dieses Jahr Herausforderungen für uns bereithalten.

3. Weiterhin warten noch einzelne Bereiche und Prozesse auf ein Update in der Digitalisierung und der Infrastruktur. In einer Welt, welche sich immer schneller verändert, dürfen wir nicht stehenbleiben.

1. 2024 war im Aftermarkt ein gutes Jahr. Fahrzeuge werden länger gefahren und daher steigt das Reparatur- und Wartungsvolumen in den Werkstätten. Dies darf als positiver Kontrast zu fehlendem Neuwagenabsatz gewertet werden.

2. Ich finde dies sehr schwierig zu beurteilen. Allgemein erwarte ich 2025 als ein sehr herausforderndes Jahr. Strukturelle Änderungen werden den Markt durchschütteln und für Unruhe sorgen.

3. Die allgemeine Wirtschaftslage in Europa wird sich kaum erholen. Da wir nun mal mit Europa zusammenhängen, wird das Auswirkungen haben. Das war 2024 schon deutlich spürbar und ich befürchte, 2025 wird sich dies fortsetzen.

1. Wir liegen mit unseren Plänen im Zeitplan. Ein weiterer Meilenstein in der Geschichte unseres Unternehmens ist die im September 2024 in Oradea / Rumänien eröffnete, erste CO2emissionsfreie Fabrik der Reifenindustrie.

2. Wir haben eine klare Wachstumsstrategie. Die neue Fabrik hat Anfang 2025 mit der kommerziellen Produktion begonnen. Es sind bereits in diesem Jahr neue Produkte von Nokian Tyres in den Märkten Zentraleuropas eingeführt worden, weitere werden noch folgen.

3. Eine der spannendsten Herausforderungen, denen wir uns als Unternehmen derzeit stellen, ist die Anlaufphase für unser neues Werk in Oradea, das wir in relativ kurzer Zeit gebaut haben. Obwohl diese Phase Zeit und Mühe erfordert, liegen wir im Zeitplan.

Steven Ledermann, Geschäftsleiter und Inhaber Abt AG

1. Unter Berücksichtigung der momentanen politischen Lage und der wirtschaftlichen Situation sind wir sehr zufrieden mit dem erzielten Geschäftsergebnis. Ausserdem konnten wir im Zuge der Digitalisierung viele wichtige Prozesse in unseren Geschäftsalltag integrieren und somit unsere Effizienz deutlich steigern.

2. Im Bereich Reifenmontage und Auswuchten möchten wir unsere Position auf dem Markt vorwiegend verteidigen und mit unseren Topmodellen wie zum Beispiel der «ARTIGLIO MASTER 28» weiterhin ausbauen. Ausserdem werden wir im Verlauf des Jahres noch mit einer revolutionären Lösung im Bereich Radwäsche auf den Markt kommen.

3. Wir kämpfen mit den gleichen Problemen wie alle Mitbewerber und Unternehmen im Automobilsektor auch, mit dem Fachkräftemangel. Es ist für uns schwierig, vor allem die mechanischen Berufe mit kompetentem Personal zu besetzen. Zusätzlich spüren wir auch immer mehr den Preisdruck vom Ausland, und es wird für uns mit zunehmender Zeit immer wichtiger, einen guten Service nach dem Verkauf zu bieten. Dies hat sich mittlerweile mit grossem Abstand zum wichtigsten Verkaufsargument entwickelt.

Oliver Stegmann, Director Group Aftersales Amag Import

1. Wir sind sehr zufrieden mit der Entwicklung der Ersatzteil- und Zubehörverkäufe im Jahr 2024. Unsere Markenvertretungen leisten einen Top-Job in der Betreuung ihrer loyalen Werkstattkunden, die «stop+go»- Betriebe bedienen erfolgreich Kunden mit älteren Volkswagen-Konzernfahrzeugen. Wir freuen uns, auch viele unabhängige Werkstatt- und Carrosseriebetriebe direkt beliefern zu dürfen.

2. Wir erwarten auch für 2025 eine stabile Nachfrage nach Aftersales-Dienstleistungen. Der Bestand und das Durchschnittsalter der Fahrzeuge wie auch das Verkehrsaufkommen in der Schweiz haben zugenommen. Alles Entwicklungen, die sich positiv auf das Werkstattgeschäft auswirken.

3. Mit dem Hochlauf der Elektromobilität und der zunehmenden Modellvielfalt der Marken nimmt die Anzahl Ersatzteile zu, was logistisch herausfordernd ist. Des Weiteren beschäftigen wir uns intensiv mit der Prozessautomatisierung und verschiedenen Digitalisierungsinitiativen, welche die Arbeiten bei uns und bei den Markenpartnern vereinfachen werden. Zurzeit sehr erfreulich ist aber die gute Verfügbarkeit der Teile, was eine pünktliche Auslieferung an unsere Kunden erlaubt.

Frank Müller, Geschäftsführer Aquarama Swiss AG

1. 2024 konnten wir ein für die Schweiz einzigartiges Grossprojekt realisieren –die mit 88 Metern längste Wasch- und Aufbereitungsstrasse der Schweiz. Der Verkauf von Waschanlagen war sehr zufriedenstellend. Von den technisch innovativen, neuen Waschportalen haben wir ein paar installiert. Wir sehen auch, dass der Trend eher zu «Performance»-Waschportalen geht, die Leistung mit einem hohen Waschergebnis verbinden.

2. Für 2025 haben wir bereits ein paar Projekte im Portfolio. Die Aussichten sind ähnlich positiv wie im 2024. Wir werden im Lastwagen- und Bus-Bereich mehrere Anlagen stellen. Zudem sehen wir uns in einigen Regionen und Städten zunehmend mit Einschränkungen beim Wasserverbrauch konfrontiert, die den Betrieb von Waschanlagen betreffen. Hier können wir unseren Kunden innovative Lösungen anbieten.

3. Die Rekrutierung von qualifiziertem Personal bleibt eine der zentralen Herausforderungen unserer Branche. Engagierte Mitarbeiterinnen und Mitarbeiter zu finden, die sich mit Überzeugung für das Unternehmen einsetzen, ist anspruchsvoller denn je.

Sacha Waldvogel, Country Manager Nokian Tyres Switzerland

1. 2024 war ein positives Jahr, geprägt von Produktinnovationen und spannenden Begegnungen. Hervorzuheben ist unser neuer C2B-Service «AutoScout24 Direct». Diese Lösungen haben dazu beigetragen, das Angebot für unsere Kundschaft weiter zu verbessern. Was uns besonders erfreut, ist, dass wir im Jahr 2024 durchschnittlich 22 Prozent mehr Nachfrage im Vergleich zum Vorjahr für unsere Händlerinnen und Händler generieren konnten.

2. Als Unternehmen ist es entscheidend, mit den neuesten Entwicklungen Schritt zu halten. Wir arbeiten kontinuierlich an KI-gestützten Lösungen und an der Frage, wie wir diese sinnvoll in den Arbeitsalltag unserer Kundschaft einbinden können. Wir investieren zudem erheblich in den Bereich Cyber-Security.

3. Vorbehalte gegenüber Elektrofahrzeugen sind nach wie vor weit verbreitet. Auch regulatorische Vorgaben und die zunehmende Präsenz chinesischer Automarken bleiben relevante Themen. Mit KI-gesteuerten Lösungen vereinfachen wir die Fahrzeugsuche und unterstützen den Handel.

Nicolas Meier, Geschäftsführer, Autoteile Wetzikon AG

1. Mit der Entwicklung der ATW Autoteile im Jahr 2024 sind wir überaus zufrieden. Wir durften im Sommer erfolgreich unseren neuen Markenauftritt feiern, haben unser Liefergebiet stetig erweitert und mit stärkerem Fokus auf Import unseren Einkauf optimiert.

2. Beim Reifen erwarten wir für unser Unternehmen eine weitere Absatzsteigerung gegenüber Vorjahr. Ebenfalls bei der Werkstattausrüstung. Der Bereich Autoteile ist rückläufig und hart umkämpft. Hier gilt es, weiterhin hohe Verfügbarkeit zu attraktiven Preisen anbieten zu können.

3. Eines der grössten Themen aus unserer Sicht ist die Diagnostik. Viele kleinere Werkstätten haben dieses Thema in der Vergangenheit etwas vernachlässigt. Nun gilt es da aufzuholen, damit auch diese Werkstätten gerüstet sind für die Reparaturen an den moderneren, vernetzten Fahrzeugen.

Jean-Claude Bopp, Geschäftsführer Bopp Solutions AG

1. Das Jahr 2024 war für unser Unternehmen ein Jahr des Wachstums und der Produktentwicklung. Wir haben unsere Ziele nicht nur erreicht, sondern übertroffen –mit klarem Fokus auf Qualität und Kundenorientierung. Dank unseres engagierten Teams haben wir gemeinsam neue Meilensteine gesetzt.

2. Trotz der herausfordernden Lage der Automobilbranche blicken wir optimistisch auf das Jahr 2025. Mit unserer Innovationskraft und der Flexibilität unseres Teams sind wir bestens aufgestellt, uns auch in einem schwierigen Marktumfeld erfolgreich zu behaupten.

3. Aktuell sehen wir uns mit verlängerten Lieferfristen und teils massiven Preiserhöhungen unserer Lieferanten konfrontiert. Dennoch möchten wir unseren Kunden Kontinuität und Verlässlichkeit bieten, um ihre Erwartungen langfristig zu erfüllen –ganz nach unserem Motto: «LÖSUNGEN STATT NUR PRODUKTE».

Urs Lüchinger, Country Manager Bridgestone Schweiz

1. Insgesamt können wir für 2024 dank leistungsstarker Premiumprodukte und umfassender Serviceleistungen auf eine positive Entwicklung in Bezug auf den Gesamtmarkt zurückblicken. Gleichzeitig haben wir Potenziale zur weiteren Optimierung ausfindig gemacht, Stichwort Logistik, um zukünftig noch besser auf Kundenwünsche reagieren zu können.

2. Wir sehen viele Chancen, insbesondere im fortdauernden Trend zu nachhaltigerer Mobilität. Innovationen wie unsere Produkte mit Enliten-Technologien, die für Verbrenner wie EVs ideal geeignet sind, spielen dabei eine entscheidende Rolle. Zudem erwarten wir weiterhin stabile Konjunkturbedingungen, was eine solide Grundlage für die Reifenbranche schafft. Im Ersatzgeschäft rechnen wir mit einem leichten Zuwachs der Nachfrage nach Premiumreifen.

3. Die aktuelle geopolitische und wirtschaftliche Lage wirkt sich auch auf die Reifenindustrie aus und erfordert eine schnelle Anpassungsfähigkeit. Bridgestone setzt hier auf eine klare Strategie, die Qualität, Flexibilität und technologische Innovationen in den Vordergrund stellt.

Samir Moursy, Geschäftsführer Carex Autozubehör AG

1. Ich bin mit der Entwicklung sehr zufrieden. Wir konnten einige sehr gute «Best Brands» für unser Sortiment gewinnen und starke Kunden-Partnerschaften abschliessen. Dank unserem sehr motivierten und kompetenten Carex-Team sind wir weiterhin auf Kurs.

2. Die Absätze der Neuwagen werden weiterhin unter Druck stehen. Dies sehe ich auch als Chance für unsere Top-Produkte, welche den Kunden die Möglichkeit geben, ihre bestehenden Fahrzeuge zu individualisieren.

3. Die IT ist und bleibt weiterhin eine Herausforderung. Die Investitionen sind enorm, und man ist auf zuverlässige Partner angewiesen. Wir werden 2025 unseren Online-Shop komplett überarbeiten, was für uns sehr viel Aufwand bedeuten wird. Dieser Aufwand lohnt sich, da unsere Kunden davon profitieren und uns neue Möglichkeiten eröffnet werden.

Ivan Lattarulo, Direktor Cargarantie Schweiz & Österreich

1. 2024 war anspruchsvoll, aber gleichzeitig auch erfolgreich. Wir haben unseren Fokus auf unseren Service und die Stärkung unserer Partnerschaften gelegt. Die gute Zusammenarbeit, gerade in herausfordernden Zeiten, ist ein Beleg für das Vertrauen der Branche in uns. Hierfür möchten wir uns herzlich bedanken.

2. Kundenbindung und Kundenloyalität gewinnen 2025 noch mehr an Bedeutung. Die aktuelle «puls»-Studie zeigt, dass der Handel im neuen Jahr der Verunsicherung und steigenden Preissensibilität der Endverbraucher entgegentreten muss. Garantieangebote sind ein wirksames Mittel, um Vertrauen zu schaffen und langfristige Partnerschaften zu stärken.

3. Die Preissteigerungen bei Lohn- und Materialkosten betreffen die gesamte Branche. Reparaturkosten steigen europaweit schon lange signifikant, und dieser Trend setzt sich fort. Trotz dieser Herausforderung setzen wir auch 2025 alles daran, unsere Produkte und unseren Service weiter zu optimieren und dem Handel echten Mehrwert zu bieten.

1. Wir haben unsere Ziele erreicht, dies in einem anspruchsvollen Umfeld. Natürlich hat auch Schneefall bin in die tiefen Lagen geholfen, dass sich das Business positiv entwickelt hat. Es hat sich bestätigt, dass starke Marken speziell in unsicheren Zeiten gut nachgefragt werden. Das war besonders für unseren Premium-Brand Continental positiv.

2. Die Herausforderungen werden nicht abnehmen. Aber wir sind gut aufgestellt für das neue Jahr. Ein stabiles, topmotiviertes Team, das sich stark mit unserer Firma identifiziert, ist ein wichtiger Pfeiler für unseren Erfolg. Die breite Kundenbasis, mir der wir partnerschaftlich zusammenarbeiten ist für mich der andere wichtige Teil für ein nachhaltiges starkes Geschäft.

3. Durch die grosse Produktvielfalt ist eine gute Verfügbarkeit der Reifen eine grosse Aufgabe, die uns täglich herausfordert. Unser Logistikcenter ist nicht grösser geworden und genügt im aktuellen Setup nicht immer den Bedürfnissen. Die richtigen Reifen zum richtigen Zeitpunkt am richtigen Ort anzuliefern, das ist trotzdem klar unser Anspruch. Deshalb investieren wir weiterhin in die Logistik und den Ausbau unserer Dienstleistungen.

1. Derendinger blickt auf ein positives Geschäftsjahr zurück. Dank einer kontinuierlichen Absatzsteigerung konnten auch die Erlöse erhöht werden. Diese Entwicklung ging einher mit Effizienzsteigerungen in Logistik und Vertrieb und der fortschreitenden Digitalisierung im Marketing und in der Administration. In der Summe führt das zu einem soliden Betriebsergebnis.

2. Wir nehmen an, dass der Markt für Reparaturleistungen weiterhin stark bleibt. Zusätzlich zum Volumeneffekt werden Ersatzteile immer komplexer und deshalb immer teurer. Unser Auftritt unter dem Brand Derendinger und unser Webshop D-Store, welcher mit neuen Funktionalitäten erweitert wird, werden unsere Position im Markt stärken.

3. Wir sind gespannt, wie lange die oben beschriebene Stärke des Marktes noch anhält. Das hängt von der Konjunktur ab, aber auch davon, wie sich der Absatz von reinen Elektrofahrzeugen entwickelt. Und wir benötigen weiterhin viel Kreativität, um die Attraktivität unseres Angebots und unserer Werkstattkonzepte zu erhöhen und um weitere Effizienzsteigerungen zu realisieren.

1. Dank der grossen Treue unserer Kundinnen und Kunden hat sich die ESA auch im Jahr 2024 sehr positiv entwickelt. Das steigende Durchschnittsalter der Fahrzeuge führte zu einer nach wie vor hohen Nachfrage im Werkstattgeschäft, welche durch das grosse tägliche Engagement der Mitarbeitenden befriedigt werden konnte.

2. Wir blicken optimistisch auf das Jahr 2025 und gehen davon aus, dass die Bedingungen für unsere Branche in der Schweiz ähnlich wie 2024 sein werden. Bedenken haben wir jedoch hinsichtlich der internationalen geopolitischen und wirtschaftlichen Lage und hoffen, dass sich diese zum Wohle aller Betroffenen verbessern wird.

3. Für uns und insbesondere für unsere Kundinnen und Kunden dürfte der Fachkräftemangel wohl in naher Zukunft die grösste Herausforderung sein. Unsicherheiten bestehen zudem in Bezug auf die mittelfristige Entwicklung der unterschiedlichen Antriebstechnologien, was einen direkten Einfluss auf das Handels- und Werkstattgeschäft unserer Kundinnen und Kunden haben wird.

Roger Limacher, Geschäftsführer der Fibag AG

1. 2024 konnten wir in allen Geschäftsbereichen positive Entwicklungen verzeichnen, ausser dass das Zubehörsegment rückläufig war. Die stabile Nachfrage nach originalen Autoersatzteilen bestätigt unser kundenorientiertes Geschäftsmodell. Zudem können wir dieses Resultat unseren loyalen Kunden verdanken.

2. Für 2025 erwarten wir eine stabile Entwicklung auf dem Niveau dieses Jahres. Der Trend, Fahrzeuge länger zu nutzen, stärkt unser Ersatzteil- und Schmierstoffgeschäft. Unser Fokus bleibt auf Qualität und Service, um Kundenbedürfnisse zu erfüllen und nachhaltiges Wachstum zu sichern.

3. Die steigenden Kosten für Logistik, Transport und Rohstoffe sind aktuell unsere grössten Herausforderungen. Durch kontinuierliche Prozessoptimierung und eine enge Zusammenarbeit mit unseren Partnern arbeiten wir daran, effizient zu bleiben und unsere Wettbewerbsfähigkeit zu sichern.

Monika Bösch, Inhaberin/GL Gesag Garagen Service AG

1. Die Entwicklung war durchwegs positiv. Durch die hohe Qualität unserer Produkte und das starke Verhältnis zu unseren Lieferanten haben wir eine solide Grundlage für weiteres Wachstum. Das Team, das stetig an der Weiterentwicklung arbeitet, ist ebenfalls ein wertvoller Faktor für den Erfolg.

2. Wir sind zuversichtlich, dass die Geschäftslage auch im Jahr 2025 stabil bleibt. Die fundierte Basis, die wir durch unsere qualitativ hochwertigen Produkte und die ausgezeichneten Beziehungen zu unseren Lieferanten geschaffen haben, wird uns auch im kommenden Jahr weiterhin stärken.

3. Die geopolitischen Unsicherheiten und die Auswirkungen von Kriegen und politischen Spannungen haben weltweit Auswirkungen auf Märkte und Lieferketten. Ausserdem erfordert die Bearbeitung von Vorschriften, behördlichen Anforderungen und internen Prozessen immer mehr Ressourcen. Und die längeren Anfahrtswege aufgrund des heutigen Verkehrs führen zu höheren Kosten, die wir nicht einfach 1:1 unseren Kunden verrechnen können.

Marcel Stocker, Geschäftsleiter

Hostettler Autotechnik AG

1. Wir sind sehr zufrieden. Einerseits, weil wir mit unseren loyalen und erfolgreichen Kunden mitwachsen dürfen. Andererseits führen uns die Veränderungen am Markt spannende Neukunden zu, welche mit uns neue Perspektiven finden. Und natürlich hat der Wintereinbruch das Reifengeschäft zusätzlich beflügelt.

2. Wenn ich unsere Kunden als Gradmesser nehme, dürfen wir für 2025 grundsätzlich eine Fortführung des positiven Trends erwarten. Wenn ich über den Aftermarket hinaus blicke, steht die Branche sicher vor einigen Herausforderungen, zu welchen auch wir Lösungen beitragen können und wollen.

3. Die Planbarkeit des Geschäfts hat grundsätzlich abgenommen. Es braucht deshalb Flexibilität und kurze Entscheidungswege. Die meisten unserer Lieferanten sind auch in der Erstausrüstung. Schwierigkeiten der Fahrzeughersteller können so bis in den Aftermarket durchschlagen, was es zu beobachten gilt.

Giorgio Feitknecht, CEO ESA

1. Wir dürfen auf ein erfolgreiches Jahr zurückschauen und sind dankbar für unser Team, unsere Lieferanten, unsere Partner und unsere Kunden. Wir haben bereits früh auf die eingetretenen Änderungen im PWMarkt reagiert. Zudem haben wir unser Angebot erweitert und sind heute zusätzlich im Bereich Bahnwaschanlagen, Schnellladetechnik und Werkstatteinrichtungen für Lastwagen-, Kommunal- und Landmaschinenwerkstätten aktiv. Primär ist für uns die Betreuung und Begleitung unsere Kunden!

2. Das neue Jahr wird für uns alle herausfordernd sein. Die Verunsicherung im Markt ist spürbar, und gleichzeitig steigt der Anspruch an Service und Qualität. Mit unserem Portfolio erfüllen wir diese Ansprüche bereits und setzen unseren Fokus weiterhin auf Effizienz und unseren Qualitätsstandard.

3. Es ist sehr herausfordernd, die richtigen Leute im Team zu haben und dafür zu sorgen, dass die interne Weiterbildung nebst dem Tagesgeschäft nicht vergessen wird. Zusätzlich wollen wir unser ERP modernisieren und Prozesse vereinfachen.

1. Wirtschaftlich war 2024 für uns ein erfolgreiches Jahr. Die Tendenz, dass Kunden ihre Fahrzeuge länger fahren, hat uns zusätzliche Aufträge beschert. Als führender Anbieter von Fahrwerkanwendungen haben wir unser Portfolio um zukunftsweisende Produkte erweitert, die sowohl den Anforderungen der Elektromobilität als auch den gestiegenen Erwartungen an Sicherheit und Komfort gerecht werden.

2. Mit einem neuen Produktsortiment wollen wir zusätzliche Kundengruppen ansprechen. Der Markt bewegt sich weiterhin in Richtung Elektrifizierung. Für uns als Lieferant von Federn und Dämpfern sind aber weiterhin die bestehenden Fahrzeuge wichtig. Hier sehen wir viel Potenzial bei der Optimierung des Fahrwerks. Wir blicken optimistisch in die Zukunft und freuen uns, gemeinsam mit unseren Kunden und Partnern, auf ein spannendes Jahr.

3. Auch wenn unsere Produkte mit allen Dokumenten ausgeliefert werden, hilft uns die Auto-Poser-Diskussion nicht. Wir bemerken aktuell eine gewisse Kaufzurückhaltung bei den Kunden.

Erhard Luginbühl, Inhaber Luginbühl Fahrzeugtechnik AG

1. Durch den Ausbau sowie die Weiterbildung unseres Technikerstammes konnten wir unseren Dienstleistungsgrad im Aftersales und im Verkauf nochmals deutlich steigern. Durch die Verkäufer, welche alle einen automotiven Techniker-Hintergrund haben, konnten wir sehr viele Projekte praxisnah und mit hohem Kundennutzen umsetzen.

2. Erfreulicherweise starten wir mit einem grossen Projektvorrat ins Jahr 2025 und sehen dem wirtschaftlichen Geschäftsgang positiv entgegen. Durch unsere eigene grosse Werkstatt können wir viele Werkstatteinrichtungen und fahrzeugtechnische Produkte bei uns vor Ort reparieren, was einen grossen Kundennutzen generiert.

3. Wir investieren viel in unser MitarbeiterTeam und dessen Kompetenz. Nach ein paar Ehrenrunden konnten wir nach den Pensionierungen von langjährigen Mitarbeitern unser Mitarbeiter-Team wieder auf einen tollen Stand bringen. Das Abwägen von fordern und fördern ist für mich als Geschäftsführer eine der täglichen Aufgaben.

Patrick Ritter, Kfm. Geschäftsführer Mewa Service AG

1. Mewa blickt auf ein stabiles Wachstum in allen Geschäftsfeldern zurück. Das Thema Sauberkeit ist in vielen Branchen merkbar in den Fokus gerückt, und das Bewusstsein für nachhaltige und kreislauffähige Dienstleistungen ist auch im Schweizer Markt gestiegen. Die Automobilindustrie und damit auch unsere Putztuchsparte bestätigt sich als wichtiger Kern unseres Marktwachstums.

2. Als Anbieter für Betriebstextilien im Rundum-Service, dazu gehören MehrwegPutztücher, Ölauffangmatten, Teilereiniger sowie Berufs- und Schutzkleidung für Industrie und Handwerk, setzt Mewa auf eine weiterhin stabile und positive Entwicklung. Chancen bieten uns die marktrelevanten Trendthemen Kreislaufwirtschaft, Nachhaltigkeit sowie Hygiene und Sicherheit.

3. Weitere Erfolgsbausteine setzen wir im Bereich Digitalisierung und Automatisierung, d. h. eine präzise Verfolgung der Textilien über den gesamten Lebenszyklus. Aber auch Massnahmen, welche die Akzeptanz von Textil-Service erhöhen und das Mieten von Textilien im gewerblichen Einsatz noch attraktiver machen.

Thomas Nelles, General Manager Niterra EMEA GmbH

1. Die Niterra EMEA GmbH blickt mit den Marken NGK Ignition Parts und NTK Vehicle Electronics auf ein erfolgreiches Jahr 2024 im Independent Aftermarket (IAM) zurück. Das steigende Fahrzeugalter, sinkende Anzahl der Vertragswerkstätten und investitionsbereite freie Werkstätten sorgten für eine stabile und kontinuierliche Auslastung. Darüber hinaus blieben die Neuzulassungen von E-Fahrzeugen deutlich unter den Prognosen.

2. Trotz unsicherer politischer und wirtschaftlicher Rahmenbedingungen bleibt der IAM auch im Jahr 2025 eine zuverlässige und kostengünstige Lösung zum Erhalt individueller Mobilität. Die Niterra EMEA GmbH plant daher in diesem Jahr ein moderates Wachstum in der DACH-Region bzw. ganz Europa.

3. Im Geschäftsbereich IAM kann der anhaltende Fachkräftemangel ein limitierender Faktor für weiteres Wachstum werden. Weiterhin unbefriedigende Prognosen im Geschäftsbereich «Erstausrüstung» gilt es wie bei vielen anderen OE-Lieferanten, auch für Niterra, in der Unternehmensplanung zu berücksichtigen.

Markus Tschuran, Niederlassungs- und Serviceleiter Otto Christ AG Schweiz

1. Nach anfänglichen Schwierigkeiten kam im Frühling Schwung in den Waschmarkt. Zahlreiche Projekte wurden in Angriff genommen. Auf den Sommer folgte ein grösseres Loch, das mit einem starken Schlussspurt bis Jahresende fast aufgeholt wurde. Insgesamt war das Jahr 2024 für die Otto Christ AG erfolgreich.

2. Das Jahr 2025 wird sicher ein herausforderndes Jahr. Unsicherheiten in verschiedenen Bereichen hemmen die Investitionen. Andererseits ist der EuroFranken-Kurs für den Import ein Vorteil. Ausserdem sind mehrere Projekte noch in der Pipeline und werden dieses Jahr verwirklicht. Somit sind wir optimistisch.

3. Hier ist zuerst die bereits erwähnte Zurückhaltung bei Investitionsgütern zu nennen. Hier werden wir dieses Jahr mit verstärkten Massnahmen ansetzen. Des Weiteren ist der Fachkräftemangel bzw. die Personalsituation immer wieder eine Herausforderung. Auch hier planen wir neue Ansätze.

1. Wir sind mit der Entwicklung im vergangenen Geschäftsjahr zufrieden. Erneut haben wir Marktanteile dazugewonnen, unser Produktsortiment ausgebaut und sind in der hervorragenden Situation, als «Komplettsortimentler» das Thema Schmierstoffe und chemisch technische Produkte anzubieten.

2. Der Schweizer Schmierstoffmarkt hat sich in den vergangenen Jahren stark verändert. Wir sind dennoch sehr positiv, gemeinsam mit unseren Partnern auch im aktuellen Geschäftsjahr unsere hochgesteckten Ziele zu erreichen.

3. Die grosse Herausforderung wird für uns auch in Zukunft sein, den idealen Mix aus im Preis integriertem Dienstleistungspaket, Produktvielfalt und Lagerverfügbarkeit zu evaluieren. In einem maximal stagnierenden Volumenmarkt sind wir darauf angewiesen, mit den besten Partnern zusammenzuarbeiten.

1. 2024 war ein herausforderndes Jahr mit volatilen Rahmenbedingungen. Vor diesem Hintergrund bin ich mit unserer Entwicklung sehr zufrieden. Die Nachfrage nach PirelliHochleistungsreifen für die Premium- und Prestige-Segmente stieg weiter an. Zudem haben wir unser Driver-Netzwerk weiter ausgebaut.

2. Der Schweizer Reifenmarkt wird auch 2025 stark auf das Premiumsegment ausgerichtet bleiben, mit einem Fokus auf Qualität und technologische Innovationen. Pirelli untermauert seine starke Position durch Investitionen in Technologie und die Einführung zweier Sommerreifen, die unsere Innovationskraft zeigen.

3. Unsere grösste Herausforderung sehen wir darin, die Kundenbeziehungen kontinuierlich zu stärken und weitere nachhaltige Praktiken zu integrieren. Zudem verbessern wir kontinuierlich die lokale Produktverfügbarkeit in der Schweiz, da wir den Service für unsere Handelspartner als einen der wichtigsten Erfolgsfaktoren im Markt betrachten.

1. 2024 war ein spannendes Geschäftsjahr für unser Unternehmen. Wir konnten eine positive Entwicklung verzeichnen, die sich in Neugeschäften und einem steigenden Umsatz niederschlägt. Unsere Investitionen in die Digitalisierung zeigen schrittweise Wirkung, und das neue Portal «myQuality1» wird derzeit erfolgreich am Markt ausgerollt.

2. Mit grosser Vorfreude blicken wir auf 2025. Während wir gespannt beobachten, wie sich der Markt entwickelt, haben wir in den Bereichen, wo wir selbst entscheiden können, die Initiative ergriffen und gehen mit voller Kraft voran. Wir haben zusätzliche Stellen geschaffen und setzen unsere Investitionen in verschiedene Projekte fort. Mit der neu erweiterten Geschäftsleitung und zusätzlichem Personal sind wir bestens gerüstet, um unsere ambitionierten Vorhaben umzusetzen.

3. Aktuell sehen wir uns der Herausforderung gegenüber, sowohl bestehende als auch neue Projekte gleichzeitig zu bewältigen. Unsere Firma trägt den Namen Quality1, und wir haben einen hohen Qualitätsanspruch, den wir mit Leidenschaft verfolgen.

Florian Rohkamm, Chief Distribution Officer und VM bei der Real Garant Versicherung AG

1. Wir haben 2024 genutzt, um den neuen Anforderungen des Marktes gerecht zu werden und zukunftsorientierte Lösungen zu entwickeln. Trotz der zahlreichen Herausforderungen können wir das Jahr mit einem soliden Wachstum in Europa abschliessen.

2. Mit Blick auf 2025 sind wir zuversichtlich: Unser vielfältiges Produktportfolio, die europaweiten Garantieprogramme und die kundenorientierte Absicherung für Elektrofahrzeuge, die wir 2025 auf den Markt bringen, bieten eine starke Basis für eine erfolgreiche und zukunftssichere Ausrichtung.

3. Die grössten Herausforderungen liegen im schwierigen Absatzmarkt, in Qualitätseinbussen bei den Fahrzeugen, der Skepsis gegenüber der Mobilitätswende sowie der hohen Inflation und steigenden Kosten. Wir arbeiten intensiv an innovativen und digitalen Lösungen, die den Handel unterstützen und die Kundenbindung stärken.

Werner Arpogaus, Geschäftsführer

Texa Deutschland

1. Generell sind wir äusserst zufrieden mit der Entwicklung. Gerade auf der wichtigsten Leitmesse der Branche, der Automechanika in Frankfurt, erhielten wir sehr viel Zuspruch und Interesse für unsere neuen und innovativen Produkte.

2. Durch den Release unserer neuen Diagnosesoftware IDC6 und auch mit innovativen Produkten wie dem H2-Blaster sind wir überzeugt davon, dass wir unsere Position noch weiter ausbauen und zusätzliche Marktanteile sichern werden.

3. Derzeit sehen wir uns für das Jahr 2025 sehr gut gerüstet und es stehen keine grösseren Herausforderungen an. Allerdings ist das Jahr noch recht jung und sowohl der Markt als auch der Gesetzgeber sind immer wieder für eine Überraschung gut. Da wir aber sowohl Produktion als auch Softwareentwicklung im eigenen Haus betreiben, können wir auch auf solche Situationen schnell und zuverlässig reagieren.

Gregor Eckert, Präsident UGS

1. Die Entwicklung der UGS kann als positiv beurteilt werden. Die UGS als Genossenschaft konnte auch im Jahr 2024 Anfragen von potenziellen neuen Mitgliedern und Partnerlieferanten bearbeiten. Ebenfalls wurde die Verwaltung personell erweitert. Die UGS-Mitglieder verzeichneten keine Umsatzdefizite.

2. Die UGS feiert ihr 20-jähriges und einige UGS-Mitglieder feiern ihr 30-jähriges Jubiläum. Weiter haben wir mehrere interessante Projekte in der Pipeline, mit denen sich die UGS mit ihren Mitgliedern beschäftigen wird. Ich erwarte darum ein spannendes und innovatives Jahr.

3. Die globalen Ereignisse wie auch die politischen Unsicherheiten sind bekannt, und zusätzlich ist der Wandel in der Automobilbranche mit den eher suboptimalen Auswirkungen auf die primär europäische Marktwirtschaft herausfordernd. Kurzfristig könnte die Ersatzteilbranche davon profitieren. Mittelfristig sind diverse Szenarien möglich, auf die man sich heute bereits vorbereiten muss.

Felgen reparieren & lackieren

Reifen demontieren und auswuchten

Spot Repair (Bis zu Fünfliber grosse Schäden)

250.– pro Felge Hol - und Bringservice

25.– pro Rad l Felge 40.–

150.– pro Felge 2 Felgen 60.–

Expresszuschlag (ohne Voranmeldung) + 50.– pro Felge 3 Felgen 80.–

Stark beschädigte oder nicht fachmännisch reparierte Felgen + 100.– ab 4 Felgen gratis Alle Preise verstehen sich exkl. MwSt

Startschuss zur ersten Talkshow für die Schweizer Fahrzeugreparaturbranche

Am 17. April wird die erste Ausgabe von REP-TALK ausgestrahlt. Auf was sich die Zuschauer freuen können, erzählen die Macher der Sendung – Enzo Santarsiero und Giuseppe Cucchiara – im Gespräch. Interview: Mario Borri

AUTO&Wirtschaft: Weshalb gibt es REP-TALK?

Enzo Santarsiero (ES): Die Herausforderungen in der Branche wachsen stetig – sei es durch Digitalisierung, Fachkräftemangel oder neue Nachhaltigkeitsanforderungen. REP-TALK soll die Kommunikation zwischen Experten und Anwendern verbessern. Wir bringen Vertreter von Versicherungen, Flottenmanagern, Reparaturbetrieben und Verbänden an einen Tisch, um die drängendsten Themen zu diskutieren. Ziel ist es, Fachleuten die Informationen zu liefern, die sie für ihren Betrieb und ihre strategischen Entscheidungen brauchen.

Was ist Ihre Rolle bei der Talkshow?

ES: Ich bin Gastgeber und Moderator. Meine Aufgabe ist es, die richtigen Fragen zu stellen,

Gäste aus der Branche einzuladen und die Gespräche so zu führen, dass die Zuschauer echten Mehrwert erhalten.

Und die Rolle des A&W Verlags?

Giuseppe Cucchiara (GC): Als Verlag steuern wir die journalistische Kompetenz bei, recherchieren Themen und formulieren Fragen. Enzo Santarsiero bringt die fachliche Tiefe und Branchenkenntnis ein. Diese Kombination sorgt dafür, dass REP-TALK die richtigen Inhalte für die gesamte Fahrzeugreparaturbranche liefert.

Wie lange dauert eine Sendung?

GC: Rund 45 bis 50 Minuten. Die Zuschauer sollen Antworten auf ihre Fragen erhalten, ohne dass wir ihre Zeit über Gebühr strapazieren.

Wie viele Gäste werden pro Sendung eingeladen?

GC: Drei bis vier Experten, ergänzt durch Enzo Santarsiero als Moderator. Wir achten darauf, dass die Gäste unterschiedliche Perspektiven vertreten, um einen lebendigen Diskurs zu ermöglichen.

Wo werden die Sendungen aufgezeichnet?

ES: Die erste Sendung wird bei der André Koch AG in Urdorf produziert. Künftig wechseln die Orte – mal in Carrosserien, bei Versicherungen oder in Garagen.

Was sind die Themen der Sendung?

ES: Die Themen kommen aus der Branche und reichen von Nachhaltigkeit über Digitalisierung bis hin zu neuen Technologien wie künstlicher Intelligenz. Auch der Fachkräftemangel wird eine zentrale Rolle spielen. Für die erste Sendung können wir versprechen, dass es eine «Knaller»-Episode wird.

Ist REP-TALK eine Kopie des deutschen Schaden-Talks?

ES: Nein. Wir lassen uns zwar inspirieren, aber REP-TALK ist eigenständig. Die Sendung ist klar zugeschnitten auf die spezifischen Bedürfnisse der Schweizer Reparaturbranche.

Wie wird REP-TALK finanziert?

GC: Die Produktion wird durch Sponsoren ermöglicht. REP-TALK ist eine attraktive Plattform für Unternehmen, die ihre Marke in einem professionellen Umfeld präsentieren möchten.

Was bringt REP-TALK den Zuschauern?

ES: Fachleute erhalten topaktuelle Informationen, präsentiert von den wichtigsten Köpfen der Branche. Zuschauer können die Sendungen als Stream ansehen und erhalten Antworten auf ihre brennendsten Fragen.

GC: Es geht nicht nur um Information, sondern um echten Wissenstransfer. Jeder kann Themen vorschlagen, die dann in einer Sendung behandelt werden.

Ein Schlusswort?

ES: REP-TALK setzt neue Massstäbe in der Kommunikation in der Schweizer Fahrzeugreparaturbranche. Mit spannenden Gästen, fundierten Diskussionen und praxisnahen Themen bietet die Talkshow ein Format, das es in dieser Form in der Schweiz bisher nicht gab.

GC: Der Startschuss fällt am 17. April 2025 um 9 Uhr, die Sendung kann ab diesem Zeitpunkt auf unserer Homepage gestreamt werden – entweder direkt oder zu einem späteren Zeitpunkt. REP-TALK lässt sich auch als Audiodatei abrufen, dann kann man den Talk auch im Auto hören. Übrigens: Die Sendung wird auch in französischer Sprache verfügbar sein.

www.reptalk.ch

Die Macher von REP-TALK: Enzo Santarsiero (l.) und Giuseppe Cucchiara.

Gassner AG: Stephan Loosli ist neuer Geschäftsführer

Thomas Küderli, Inhaber der Gassner AG, hat die Geschäftsleitung per 1. 1. 2025 an Stephan Loosli übergeben. Der ehemalige Motorex-Mann ist ein erfahrener Branchenkenner. Thomas Küderli bleibt weiter im Betrieb tätig. Text/Bilder: Mario Borri

Thomas Küderli (62) ist ein Urgestein in der Garageneinrichtungsbranche. Schon 1989 ist er zur Gassner AG gestossen. Zuerst als ServiceTechniker, nach dem Tod von Firmengründer Josef Gassner 1999 übernahm der Zürcher die Geschäftsleitung und im Jahr 2000 kaufte er die Firma. «Dass mein Rücktritt als Geschäftsführer genau auf das 25-Jahr-Jubiläum meiner Firmenübernahme fällt, ist Zufall. Der Entschluss, etwas kürzer zu treten, ist schon lange gefallen. Ich habe einfach genau jetzt in Stephan Loosli den perfekten Nachfolger als Geschäftsführer gefunden», erklärt Thomas Küderli.

Mehr als drei Jahrzehnte bei Motorex Auch Stephan Loosli (53) kann als «Veteran» in der Branche bezeichnet werden. Der Berner war 31 Jahre lang für die Motorex AG in Langenthal (BE) tätig. Wie Thomas Küderli begann auch er als Service-Techniker und montierte zehn Jahre lang Werkstatteinrichtungen. Nach diversen Weiterbildungen wechselte Stephan Loosli in den Vertrieb und war bis zuletzt als Projektleiter der Toptech verantwortlich. In dieser Funktion war er auch Ansprechpartner für die Firma Gassner AG. Bei einem gemeinsamen Meeting wurde das Thema Nachfolgeregelung von Thomas angesprochen. Durch die jahrelang erfolgreiche Geschäftsbeziehung erkannten beide Seiten schnell das Potenzial einer Zusammenarbeit.

Thomas Küderli bleibt Inhaber

Thomas Küderli: «Stephan ist ein Glückstreffer.» Mit seinem umfangreichen Netzwerk und seinen vertieften Branchenkenntnissen passt er perfekt zur Gassner AG. Thomas Küderli behält die Aktienmehrheit der Gassner AG und kümmert sich ab sofort um verschiedene zukunftsorientierte Projekte.

Die Firma erfolgreich weiterführen

Wie sieht Stephan Loosli seine Rolle als neuer Geschäftsführer? «Mein Ziel ist es, die bewährten Werte und Traditionen der Firma im Sinne des Inhabers fortzuführen. Durch meine Kontakte ausserhalb der Automobilbranche ergibt sich zudem die Möglichkeit, unser Portfolio in Zukunft zu erweitern. Ich freue mich über die Herausforderung, die Firma aktiv mitzugestalten und gemeinsam mit dem motivierten Team sowie den ausgezeichneten Produkten die bestehenden Stärken der Firma Gassner AG für unsere Kundschaft bestmöglich einzusetzen.»

Über die Gassner AG

Die Gassner AG Automobil-Servicegeräte wurde 1979 in Eglisau (ZH) gegründet. 1999 starb Firmengründer Josef Gassner überraschend.

Seit 2000 ist Thomas Küderli Inhaber und Geschäftsführer. 2011 erfolgte der Umzug in die alte Spinnerei in Zweidlen (ZH). Seit dem 1. Juli 2024 befinden sich die Räumlichkeiten der Gassner AG in Hüntwangen (ZH).

Nicht nur als Generalvertretung der bekannten Produkte von Beissbarth machte sich die Firma einen Namen, sondern auch mit ihrem gut ausgebauten Servicenetz.

www.gassnerag.ch

Stephan Loosli in seinem neuen Büro in Hüntwangen (ZH).

Thomas Küderli (l.) übergibt die Geschäftsführung der Gassner AG an Stephan Loosli.

Eine Jubiläumsparty, die niemand vergessen wird

TDC feierte das 25-jährige Bestehen – und wie! Rund 500 Gäste strömten ins Sax, um mit den beiden Gastgebern Kurt Seiler und Massimo Di Giovanni sowie dem TDC-Team diesen Meilenstein zu feiern.

Autos fahren vor, laden Menschen aus und fahren wieder weg. Vor dem Restaurant Sax in Schlieren (ZH) bildet sich eine Schlange. Es sind keine Partypeople, wie sonst im Sax, das auch eine Diskothek beheimatet, die Einlass begehren. Es sind die Gäste der Jubiläumsfeier «25 Jahre TDC», die der Einladung der beiden Geschäftsführer Kurt Seiler und Massimo Di Giovanni gefolgt sind – rund 500 an der Zahl, Carrossiers und Garagisten, Vertreter von Lacklieferanten und Versicherungen sowie deren Begleitungen.

Der Schlüsselmoment Während die Gäste genüsslich speisen und die Gläser erheben, bahnt sich der nächste Programmpunkt an. Das TDC-Team bittet alle Gäste, sich in die Diskothek im Obergeschoss zu begeben. Dort bedankt sich Kurt Seiler bei allen, die diesen Abend möglich gemacht haben:

bei Auftraggebern, den Gästen, Freunden und auch den Mitarbeitenden der TDC-Gruppe, Familienangehörigen sowie dem ganzen SaxTeam. Mit warmen Worten lobt er das junge, tatkräftige Team und hebt insbesondere seinen Freund und Geschäftspartner Massimo Di Giovanni hervor: «Als ich dich 1996 kennengelernt habe, als du zu mir in den Kurs kamst, habe ich sofort gespürt, dass die Chemie zwischen uns stimmt. Das war ein Schlüsselmoment in meinem Leben.»

Grossartiges entsteht nicht allein Seiler blickt zurück auf die Anfänge der TDC. «Im Jahr 2000 waren wir zu dritt – heute sind wir ein grosses Team. Das Motto für diesen Abend ist auch das Motto unserer Erfolgsgeschichte: ‹Grossartiges entsteht nicht allein.›» Mit diesem Satz fasst er zusammen, was die TDC-Gruppe ausmacht: Es ist die Gemeinschaft aus Kunden,

Partnern, Mitarbeitenden, Freunden und Familie. Abschliessend tritt Falk Dirla nach vorne. Im Namen des gesamten TDC-Teams überreicht er Kurt und Massimo ein besonderes Geschenk: eine eigens angefertigte Wanduhr. «Das war keine einfache Aufgabe – was schenkt man zwei solchen Genussmenschen mit so vielfältigen Interessen», erklärt Falk. Schliesslich sei die Idee einer Uhr mit den Porträts der beiden und dem TDC-Logo entstanden. Die beiden Chefs erhalten je eine Uhr, die dritte wird im Büro in Thalwil ihren Platz finden.

Nachdem die letzten Dankesworte gesprochen sind, ist es endlich so weit: DJ Carol Fernandez übernimmt das Pult. Die ersten Beats hallen durch den Raum – und der Feiermarathon beginnt.

Einen detaillierten Bericht zur tollten TDC Jubiläumsfeier finden Sie auf www.auto-wirtschaft.ch

Und auf Seite 70 gibts Statements von langjährigen Partnern und Kunden zum Jubiläum von TDC.

Borri
Bilder: Mario Borri, Sarah Rauchenstein
Kurt Seiler und Massimo Di Giovanni schneiden mit Sax-Inhaber Manuel Varela die Geburtstagstorte an. Kurt Seiler (2. v. l.) mit dem Team von Akzo Nobel Schweiz.
René Bieri (2. v. l.) und Pirmin Linder (Fahrzeugexperten Helvetia
Daniel Surer, Team Leader Motor Experts Generali (Mitten hinten), und sein Team.

Versicherung) mit Partnerinnen.

Enzo Santarsiero (André Koch AG, l.) mit Giuseppe Ciappa (Glas Trösch).
V. l.: Lukas Bill, Rico Zwahlen und Carlos Prieto von Xpert-Center.
Marco Nagel (Teamleiter Fahrzeugexperten, Helvetia Versicherung).
Bruno Altdorfer mit Ehefrau Marlies (Häusermann Automobile).
Andi Stalder (l., Carr. Stalder), Marco Flückiger (Carr. Moderna) mit Partnerin Patricia.
Roberto Ferraro (l.) und Andreas Lanz (Fahrzeugexperten, Helvetia Versicherung). Reto Schibli (Expert Motor Manager, Allianz Versicherung) mit Partnerin Yvonne.

Conti-Dinner 2025: Gipfeltreffen auf dem Gurten

Das Conti-Dinner fand heuer auf dem Gurten statt. Zum «Gipfeltreffen» lud Continental Schweiz rund 120 Partner und Kunden ein, um ihnen mit einem informativen und genussreichen Abend für die Zusammenarbeit zu danken.

Der Abend begann mit einer Überraschung: Die Conti-Dinner-Gäste wurden mit einem Tram vom Eventhotel Kursaal abgeholt und bis zur Talstation der Gurtenbahn gefahren. Nach einem kurzen Spaziergang brachte die Standseilbahn die Teilnehmer in fünf Minuten auf den 858 Meter hohen Gurten. Den offiziellen Teil des Abends im warmen Innenraum des Pavillons eröffneten Daniel Freund, CEO von Continental Suisse SA und Head of Subregion Alps CH/AT, sowie Moderatorin Mireille Jaton. Freund hiess die Gäste

herzlich willkommen und dankte ihnen für die vertrauensvolle Zusammenarbeit im Jahr 2024. Er blickte auf die Herausforderungen der vergangenen Monate zurück und skizzierte die Chancen, die 2025 bereithält. Ein zentraler Punkt war die Rolle von Continental als Vorreiter in Sachen Nachhaltigkeit: «Unsere Produkte sind nachhaltig, unsere Produktion ist nachhaltig – mit dem ersten CO2-neutralen Reifenwerk der Welt in Portugal – und wir setzen auf eine partnerschaftliche, nachhaltige Zusammenarbeit.»

Wandel bietet enorme Chancen Ein Höhepunkt des Conti-Dinners war die Keynote von Lars Thomsen, einem renommierten Zukunftsforscher, der die Gäste mit auf eine faszinierende Reise in die Zukunft mit künstlicher Intelligenz (KI) mitnahm. Thomsen skizzierte, wie KI und Robotik das Reifengeschäft revolutionieren werden. Er erklärte, dass die neusten KI-Systeme extrem leistungsfähig seien und völlig neue Möglichkeiten eröffneten. Für die Reifenindustrie könnten von KI programmierte Roboter Reifenwechsel, Lagerverwaltung und Logistikprozesse übernehmen, um den Fachkräftemangel zu kompensieren. Für Unternehmen wie Continental biete dieser Wandel enorme Chancen. Wer frühzeitig in KI-basierte Lösungen investiere, könne sich als Innovationsführer positionieren und das Vertrauen der Kunden langfristig stärken. Lars Thomsen schloss seine Keynote mit der Mahnung, neugierig zu bleiben und Veränderungen nicht zu verschlafen.

Die Weichen für die Zukunft stellen Im Anschluss moderierte Mireille Jaton ein Podiumsgespräch mit Daniel Freund, Lars Thomsen und Ferdinand Hoyos (Head of Business Area Replacement Tires Continental EMEA). Dabei hob Hoyos Continental als Pionier in der Mobilitätsbranche hervor, dessen Innovationen – vom Pferdeschuh bis zum ersten Winterreifen – die Weichen für eine erfolgreiche Zukunft stellen. Freund doppelte nach: «Continental ist beim Wandel dabei und gestaltet die Zukunft der Mobilität mit.» Beim anschliessenden Dinner genossen die Gäste in entspannter Atmosphäre köstliche Speisen. Ein Saxophonspieler sorgte dabei für die passende musikalische Untermalung. Mit dem Dessertbuffet öffnete auch die Bar, wo die Gäste den Abend mit spritzigen Drinks und bei angeregten Gesprächen ausklingen liessen.

www.continental-tires.com/ch/de

Podiumsgespräch mit Daniel Freund (2. v. l.), Lars Thomsen (2. v. r.), Ferdinand Hoyos, moderiert von Mireille Jaton.
Hubert Waeber (l., ESA-Präsident und Präsident des HC Fribourg-Gottéron) mit Jürgen Marth (Leiter Reifenersatzund Grosskundengeschäft Continental EMEA).
Conti-Damen: Renata Wiederkehr (l., Manager Events, Sponsoring, PR CH/AT), Priscilla Steurer (Head Marketing AT/CH).
V. l.: Eugen Ruppen (Derendinger AG), Markus Hutter (Hutter Dynamics AG), Ferdinand Hoyos (Continental) und Markus Abegglen (Hostettler Group).

KW: Fahrdynamik und Fahrkomfort

Für mehr Fahrspass und Sicherheit beim Fahren sorgt jedes KW-Gewindefahrwerk. In den vergangenen Jahren hat KW seine Street-Comfort-Fahrwerkreihe um das KW-V3-LevelingFahrwerk erweitert.

KW-Geschäftsführer Maurice Schindler beschreibt die neuen KW-V3-Leveling-Fahrwerke wie folgt: «Bei den KW-V3-Leveling-Fahrwerken stehen der sportliche Fahrkomfort und das gesteigerte Handling auf schlecht ausgebauten Strassen sowie der Erhalt der Serienbodenfreiheit im Vordergrund.» Beim KW-V3-Leveling-Fahrwerk werden die Dämpfergehäuse und Federbeine aus Edelstahl gefertigt. Das Anpassen der Bodenfreiheit erfolgt direkt an den Federbeinen und der Höheneinstellung.

Über 50 Fahrwerke

Wie das KW-V3-Gewindefahrwerk können bei den KW-V3-Leveling-Fahrwerken die Mehrventildämpfer in der Druck- und Zugstufe separat manuell eingestellt werden. Durch die manuell einstellbaren Dämpfer kann unter anderem zielgerichtet Einfluss auf das

Das KW-V3-LevelingFahrwerk für den Tesla Model Y ist sehr gefragt.

Wanken der Karosserie beim Einlenken und das Nicken beim Anbremsen sowie Beschleunigen genommen werden. Neben der Option, das Fahrwerksetup auf das eigene Fahrempfinden einzustellen, dämpfen Fahrwerke mit einer Mehrventiltechnologie viel harmonischer. Momentan bietet KW über 50 Leveling-Fahrwerke für Audi, BMW, Mini, Cupra, Mercedes, inkl. SUV und Minivans an. Am meisten nachgefragt wird übrigens des Leveling-Fahrwerk für den Tesla Model 3 und Y. (pd/ml)

www.kwsuspensions.ch

Auch für die V-Klasse

es ein KW-V3-Leveling-Fahrwerk.

von Mercedes gibt

Tag der Schweizer Garagen: «Respektlosigkeit

unterhält uns»

850 Personen haben in Bern den 19. «Tag der Schweizer Garagen» besucht. Gemäss dem Motto «Im Zentrum – der Mensch» ging es auch um Respekt und wie er dazu beitragen kann, Mitarbeitende in einem Betrieb zu halten.

Es ist zunächst AGVS-Zentralpräsident Thomas Hurter, der die Bühne betritt. Und er kommt in seiner Auftaktrede sofort auf den Punkt: «Wir stehen vor grossen Veränderungen. In diesen Zeiten sind Sie als Garagistinnen und Garagisten, Sie als Menschen, der beständigste Faktor.» Damit ist der 19. «Tag der Schweizer Garagen» mit seinem diesjährigen Motto «Im Zentrum – der Mensch» lanciert.

Der Vormittag

René Borbonus ist Kommunikationsexperte und hat sich intensiv mit dem Thema Respekt und seinen Auswirkungen in einer Firma wie im privaten Umfeld beschäftigt. Sein Fazit: «Wir leben in einem respektlosen Klima, denn Respektlosigkeit unterhält uns.» Dennoch verhielten sich die allermeisten Menschen nicht per se bösartig. «Wir sind respektlos, ohne es zu merken.» Deshalb sei es wichtig, dem Gegenüber immer auf Augenhöhe zu begegnen.

Weiter geht es mit Luc Frutiger, Mitinhaber der gleichnamigen Frutiger-Gruppe. Er erklärt, dass er seinen Mitarbeitenden gegenüber stets ein Vorbild zu sein suche. «Mein Auftritt ist bescheiden, ich nehme mich nicht zu wichtig.

Denn am Ende des Tages sind wir alle ziemlich schnell ersetzbar.» In eine ähnliche Richtung zielt das Votum von AGVS-Vizepräsident Dominique Kolly. «In unserem Unternehmen versuchen wir, nahe bei unseren Mitarbeitenden zu sein

und uns für deren Arbeit zu interessieren. Es reicht nicht, bloss den Namen und das Geburtsdatum der entsprechenden Person zu kennen, sondern auch deren persönlichen Hintergrund.»

Jean-Claude Oberson, CEO und Inhaber der Autocorner SA, ergänzt: «Respekt ist entscheidend, Empathie ebenso.»

Den Menschen kann selbst in Zukunft niemand ersetzen, darin sind sich die Referenten einig. Dennoch wird sich mit künstlicher Intelligenz vieles verändern. Einige Beispiele dazu führt Karpi, mit bürgerlichem Namen Patrick Karpiczenko, ins Feld, der sich seit seiner Jungend mit KI beschäftigt.

Der Nachmittag

Nach der Mittagspause stellt Yannick Blättler, Gründer und Inhaber der Neoviso AG, die Generation Z ins Zentrum. Ihn treibt der Gedanke um, wie die Branche für die Jungen relevant bleibt. Der derzeitige Arbeitsmarkt spiele dieser Generation in die Hände. «Sie weiss: Wir sind gesucht.» In der anschliessenden Lounge-Diskussion, moderiert von AGVSGeschäftsleitungsmitglied Olivier Maeder, sprechen junge Berufsleute darüber, was sie an ihrem Job reizt. Die meistgenannten Argumente: Abwechslung, ein gutes Betriebsklima und die Möglichkeit, etwas Sinnvolles leisten zu können. Im letzten Teil veranschaulicht Slava Damjanovic, Leiter Carrosserie & Lack bei der Auto Mathis AG, wie sich Jugendliche mit kreativen Ideen begeistern lassen. Er führt aus, wie aus einer Stammtischidee im April 2024 eine Automobil-Berufsmesse auf dem Engadin Airport wurde, wobei das Budget zu Beginn null Franken betragen hatte. «Das Feedback war so toll, dass wir diesen Event im April wiederholen werden», freut sich Damjanovic. (pd/mb)

www.agvs-upsa.ch

Bilder: Andreas von Gunten
Rhetorik-Experte René Borbonus erklärt, wie wichtig Respekt in einem Betrieb ist.
Gastgeber des Anlasses: Moderatorin Maria Victoria Haas und AGVS-Zentralpräsident Thomas Hurter.

T o t a l E n e r g i e s

I h r t ä g l i c h e r P a r t n e r a u f d e r S t r a ß e

W i l l k o m m e n b e i T o t a l E n e r g i e s

V e r t r a u e n S i e a u f Q u a l i t ä t u n d L e i s t u n g .

Bestellungen:

Amag hält Marktanteil von über 30 Prozent

Mit einem Umsatz von 4,9 Mia. Franken konnte die Amag-Gruppe mit ihren Marken Volkswagen, Audi, Skoda, Seat/Cupra und VW Nutzfahrzeuge in einem rückgängigen Gesamtmarkt einen sehr guten Marktanteil von 30,4 % erreichen.

Im Jahr 2024 liess der Fahrzeugmarkt in der Schweiz gegenüber dem Vorjahr um über 5 Prozent nach. Der Schweizer Automarkt schloss mit 239’535 neu immatrikulierten Personenwagen ab und liegt weiter deutlich unter einem «normalen» Autojahr (300’000 und mehr

Einheiten). Zum ersten Mal seit 2016 haben sich auch Fahrzeuge mit vollelektrischem Antrieb schlechter verkauft als im Vorjahr (–12,5 %), und Plug-in-Hybride verloren 10,6 %. Milde Hybride legten hingegen um 17,1 % zu. Diese Entwicklung zeigt einerseits die Verunsicherung der Kundinnen und Kunden und anderseits, dass die Hersteller ihre Hausaufgaben machen, um den Verbrauch und die CO2-Emissionen auch bei den Verbrennern zu reduzieren.

Die Marken der Amag konnten 2024 mit einem Marktanteil von über 30 Prozent ihre starke Position halten. Helmut Ruhl, CEO der Amag-Gruppe: «Abgesehen vom letzten und den Pandemiejahren ist dies der beste Marktanteil für unsere Marken in der Unternehmensgeschichte», und weiter: «Insgesamt war 2024 für uns ein ordentliches Jahr.» Auch bei den Elektroautos konnte die Amag mit 12’348 verkauften Fahrzeugen ihre Spitzenposition halten. Die Amag-Gruppe blickt mit einem Umsatz von 4,9 Mia. Franken auf ein gutes Jahr 2024 zurück. Mit 7600 Arbeitsplätzen (+1,3 %)

und rund 800 Lernenden positioniert sich die Amag-Gruppe erneut als grosser Arbeitgeber und einer der grössten Ausbildungsbetriebe der Schweiz.

28-Rappen-Tarif

Mit der neuen Ladelösung der Amag-Gruppe ist auch das Laden so einfach wie noch nie, an über 13’000 Ladestationen in der Schweiz und 600’000 Stationen in ganz Europa. Und wer bei der Amag oder bei teilnehmenden Partnern lädt, bezahlt seit dem 1. Januar nur 28 Rappen pro kWh, was in vielen Fällen günstiger ist als der Ladetarif zu Hause. Besonders attraktiv ist das für Unternehmen und Automobilistinnen und Automobilisten, die weite Strecken fahren und unterwegs aufladen müssen.

Rundum-sorglos-Angebote

Zudem wachsen die Angebote rund um das Elektroauto von der Stromproduktion mit Helion über Abrechnungslösungen für zu Hause mit «Charge:On» und dem einheitlichen 28- RappenLadetarif im «AMAG & Partner»-Netz. Helmut Ruhl: «Für ein KMU mit grösserem Fuhrpark ergibt sich aus diesem intelligenten Rundumsorglos-Angebot sehr schnell ein TCO-Vorteil von über 100 Franken pro Auto und Monat oder eine EbIT-Verbesserung von über 5 %. Die über 60 % tieferen CO2-Emissionen gibt es on top für die Klimabilanz dazu.» (pd/ml)

www.amag.ch

Mit über 30 Prozent Marktanteil ist die Amag der grösste Autoimporteur der Schweiz.
Helmut Ruhl, CEO der Amag-Gruppe, blickt auf ein erfolgreiches 2024 zurück.

HÖR AUF

Vertretung Schweiz:

Aquarama Swiss AG: Wechsel in der Geschäftsleitung

Der italienische Waschanlagenhersteller Aquarama setzt in der Schweiz einen neuen Geschäftsführer ein: Antonio Cristiano folgt auf Frank Müller, der in den Ruhestand tritt. Text/Bild: Mario Borri

Nach neun Jahren an der Spitze von Aquarama Car Wash System in der Schweiz tritt Frank Müller offiziell in den Ruhestand. Doch von Ruhe kann keine Rede sein – auch künftig wird er projektbezogen für die Aquarama Swiss AG tätig sein und den neuen Geschäftsführer mit seiner langjährigen Erfahrung unterstützen.

Erfahrung im Anlagenbau

Mit Antonio Cristiano übernimmt ein erfahrener Manager die Leitung der Schweizer Niederlassung. Obwohl er neu in der Carwash-Branche ist, bringt der Aargauer mit italienischen Wurzeln umfassende Kenntnisse aus dem Anlagenbau mit. Über ein Jahrzehnt war er bei Bilfinger tätig, einem deutschen Unternehmen, das auf die Planung, den Bau und die Wartung chemischer Anlagen spezialisiert ist. In dieser Zeit bekleidete

Frank Müller (l.) übergibt

Antonio Cristiano symbolisch die Schlüssel zur Aquarama Swiss AG.

er verschiedene Führungspositionen und war zuletzt als Head of Business Development and Sales tätig.

Erfolgsstrategie für die Zukunft «Aquarama hat mich überzeugt, weil das Unternehmen einen klaren Plan verfolgt, um sich im hart umkämpften Carwash-Markt erfolgreich zu behaupten», erklärt Antonio Cristiano. «Durch Investitionen in eine moderne Produktionsstätte mit Hightech-Anlagen wird der Output signifikant gesteigert – eine zukunftsweisende Strategie.»

Neue Impulse für Aquarama

Frank Müller ist überzeugt, dass der Führungswechsel dem Unternehmen neue Perspektiven eröffnet: «Antonio Cristiano bringt frischen Wind in die Firma. Als jüngerer Mann hat er eine andere Herangehensweise – das wird Aquarama guttun. Zudem spricht er neben Deutsch auch fliessend Italienisch und Französisch, was besonders wichtig ist, da ein grosser Teil unserer Kunden in der Westschweiz ansässig ist.»

www.aquaramaswiss.ch

Seien Sie unser Gast auf der Mobilcity plus!

Erleben Sie Innovation hautnah - Besuchen Sie uns auf der neu lancierten Carrosserie Messe

• Produktvorstellungen

• PPG Sustainability CO² Concept

• PPG LINQ Praxisbeispiele

• Virtuelles Lackiertraining mit VR-Brille

• Entdecken der PPG LINQ Tools

Wir erwarten Sie mit grosser Freude vor Ort

Fünf Hersteller wollen

CO2-Emissions-

kredite von Tesla kaufen

Um die milliardenschweren Strafen aus Brüssel zu vermeiden – die neuen EU-Ziele für 2025 sehen eine Reduktion der CO2-Emissionen um 15 % gegenüber 2021 vor –, haben Stellantis, Toyota, Ford, Subaru und Mazda beschlossen, CO2-Emissionskredite von Tesla zu erwerben.

Stellantis, Toyota, Ford, Subaru und Mazda schliessen sich Tesla in einem sogenannten CO2-Pool an, um Bussgelder in Milliardenhöhe zu vermeiden. Die neuen Ziele der Europäischen Union für die Reduktion der CO2-Emissionen sehen bis 2025 eine Senkung um 15 % gegenüber 2021 vor. Dieses Ziel ist für die eingangs genannten Hersteller kaum erreichbar. Denn Experten schätzen, dass mindestens 20 % der Verkäufe der Hersteller auf vollelektrische Fahrzeuge (EVs) entfallen müssen, um diese Ziele zu erreichen. Das Problem: Der europäische Markt für Elektroautos stagniert – der Anteil lag 2024 wie schon 2023 bei nur 14 %.

95 Euro Strafe pro Gramm CO2

Sollten die Hersteller die neuen Grenzwerte nicht einhalten, drohen Strafen von 95 Euro für jedes Gramm CO2, das über dem Grenzwert liegt, und pro verkauftem Fahrzeug. Laut dem Branchenverband Acea könnten die Gesamtstrafen mehr als 15 Milliarden Euro betragen, auch wenn die Organisation Transport & Environment die tatsächliche Summe auf etwa eine Milliarde Euro schätzt. Tesla, das den CO2-Pool verwalten wird, hat der Europäischen Kommission bereits eine Absichtserklärung zur Bildung des Pools vorgelegt. Dieses System erlaubt es den Herstellern, ihre CO2-Emissionen untereinander aufzuteilen. So können diejenigen, die die Grenzwerte

übertreffen, die Defizite anderer ausgleichen. In der Praxis bedeutet das, dass Autohersteller, die nicht genügend Elektrofahrzeuge verkaufen, Emissionskredite von Elon Musks Unternehmen erwerben werden. Ein Sprecher von Stellantis erklärte: «Die Teilnahme am Tesla-Pool wird dem Unternehmen helfen, die europäischen Ziele für 2025 zu erreichen und gleichzeitig die Ressourcen zu optimieren.» Volkswagen und Renault haben bereits Interesse bekundet, einem Pool beizutreten, um ihre Ziele zu erreichen. Um Strafen zu vermeiden, muss ein Viertel der europäischen Verkäufe von VW im Jahr 2024 aus vollelektrischen Fahrzeugen bestehen. Zudem wurde ein zweiter Pool vorgestellt, der von Mercedes-Benz geleitet wird und an dem Volvo, Polestar und Smart (Marken der chinesischen Geely-Gruppe) teilnehmen. (pd/ml)

www.tesla.com

Nur mit Tesla werden etliche Hersteller die CO2-Ziele 2025 schaffen.

Donut Lab revolutioniert die E-Mobilität

Donut Lab hat mit dem Donut-Motor eine revolutionäre Technologie vorgestellt. Diese Innovation, die auf ein herkömmliches Getriebe verzichtet, verspricht leichtere, effizientere und erschwinglichere Fahrzeuge.

Das finnische Unternehmen Donut Lab, bekannt für seine modulare Technologieplattform, hat eine Familie von Elektromotoren eingeführt, die durch beispiellose Leistung überzeugen. Das Herzstück dieser Innovation ist der Donut-Motor, der direkt ins Rad integriert wird. Dieser Ansatz macht ein Getriebe vollständig überflüssig und reduziert Gewicht, Komplexität und Produktionskosten. Die vorgestellte Produktreihe umfasst fünf Modelle, die jeweils für spezifische Anforderungen entwickelt wurden:

• 21 Zoll für Autos: Mit einem Gewicht von 40 kg bietet er bis zu 630 kW Leistung und 4300 Nm Drehmoment.

• 21 Zoll für leichte Nutzfahrzeuge: Ebenfalls 40 kg, mit 200 kW Leistung und 3000 Nm Drehmoment.

Donut Lab entwickelt eine neuartige Technologie für E-Autos.

• 17 Zoll für Motorräder: 150 kW Leistung und 1200 Nm Drehmoment bei einem Gewicht von nur 21 kg.

• 12 Zoll für Roller: 8 kg Gewicht, 3 kW Leistung und 20 Nm Drehmoment.

• Mini-Donut für Drohnen: Bietet bei 1,5 kg Gewicht 3 kW Leistung und 20 Nm Drehmoment.

PERFORMANCE

LEISTUNG UND ZUVERLÄSSIGKEIT

Entwickelt mit jahrzehntelanger Erfahrung. Gnadenlos getestet bei härtesten Bedingungen. Bewährt in ungezählten Kilometern.

Jedes Modell wurde entwickelt, um ein optimales Verhältnis zwischen Gewicht und Leistung zu gewährleisten und die Grenzen der aktuellen Technologien zu überwinden. Die reduzierte ungefederte Masse, ein häufiges Problem bei in die Räder integrierten Motoren, verbessert das Fahrverhalten und die Handhabung erheblich. (pd/ml)

www.donutlab.com

Heizölverbrauch mehr als halbiert:

Garage Keusen AG empfiehlt Puls-air

Insgesamt drei Puls-air-Heizgeräte findet man auf dem Areal von Walter Keusen in Riggisberg (BE). So werden unter anderem eine alte und eine neue Werkstatt sowie ein Trainingsraum mit einem Gerät aus dem Tirol beheizt.

Walter Keusen kann die Sparsamkeit und Wirkung von Puls-air gut vergleichen, da vorher mit einer Öl-Zentralheizung und Deckenlüftern geheizt wurde. Der Heizölverbrauch war mehr als doppelt so hoch, und die Wärme hat sich nicht gut im Raum verteilt. Jetzt sind alle drei Hallen/Räumlichkeiten schnell und gleichmässig warm bei geringen Heizkosten, leisem Laufgeräusch und geruchsfreiem Betrieb.

Puls-air ist keine gewöhnliche Ölheizung. Verbaut ist nämlich die patentierte pulsierende Verbrennung, die für eine enorme Wärme bei geringem Ölverbrauch sorgt. Durch seine kompakte Bauweise traut man es dem Gerät oft nicht zu, aber mit einer Heizung von Puls-air können Räume bis zu 2000 Kubikmeter beheizt werden (bei guter Isolierung). Grössere Hallen

können problemlos auch mit zwei oder mehr Einheiten ausgestattet werden.

Puls-air ist anders

Die verbaute patentierte pulsierende Verbrennung ist keine «Gleichstromverbrennung», sondern eine «Wechselstromverbrennung». Das bedeutet, dass die Frischgassäule (Brennstoff und Luft) und die Abgassäule in der Brennkammer 62-mal pro Sekunde aufeinandertreffen. Beim Aufeinandertreffen entstehen viele kleine Reaktionen, die Wärme erzeugen. Bei jeder Reaktion entsteht zusätzlich eine Druckwelle, begleitet von einer Schallwelle, welche beim Wirkungsgrad noch obendrauf gerechnet werden müssen. Der Wirkungsgrad liegt mindestens bei 97 Prozent.

Gleichmässige Wärmeverteilung

Puls-air wird physikalisch richtig am Fussboden des zu beheizenden Raumes platziert – so kann sich die warme Luft unten, wo gearbeitet wird, verteilen, steigt dann langsam auf, kühlt oben wieder ab, sinkt wieder ab und wird durch den Ventilator am Gerät vorgewärmt immer wieder am Brenner vorbeigezogen. Somit entsteht eine thermische Luftwalze, die den gesamten Raum gleichmässig erwärmt und die Heizkosten stark verringert. Puls-air ist so kompakt, dass sie auf einer Europalette geliefert wird, Abmessungen ca. 75 cm x 55 cm x 95 cm bei 75 kg. Das Abgas wird mit einem 35-mm-Edelstahlrohr über Dach ins Freie geleitet. Es ist kein separater Kamin notwendig! Vom Hersteller wird empfohlen, das Gerät mit einem grösseren Heizöltank zu verbinden. Das Puls-air-Team berät Sie telefonisch, per Mail oder per WhatsApp und beantwortet Ihnen alle Fragen.

www.pulsair.net

Walter Keusen mit Puls-air-Heizgerät in der Werkstatt. Karin Keusen – Inhaberin und Coach im «Chraft Rümli».

Die Räderlagersysteme von der Irega AG schonen die Mitarbeitenden und erhöhen den Gewinn des Garagenbetriebes.

Irega bringt mehr

Wertschöpfung

für die Garage

Die Einlagerung grosser und schwerer Räder stellt eine wachsende Herausforderung für die Garagen dar. Die Regalgestelle von Irega bieten eine effiziente Lösung, die Zeit spart und Personal für wertschöpfende Aufgaben freisetzt.

Das Irega-Magazin-System setzt sich deutlich von herkömmlichen Regalsystemen ab. Jeder Radsatz erhält ein eigenes Fach, was eine perfekte Organisation ermöglicht. Die vier Räder eines Satzes werden hintereinander gelagert. Kunststoffummantelte Führungsstreben und Abrollböden sorgen dafür, dass selbst die grössten und schwersten Räder mühelos einund ausgelagert werden können. Dank dieser Technik wird die Arbeit erheblich erleichtert und beschleunigt.

Ergonomisch und platzsparend

Das System ermöglicht eine besonders platzsparende Lagerung, da Gänge eingespart und die volle Höhe der Lagerhalle genutzt werden können. Die von Irega entwickelte 2+2-Lagerung, die bereits vor 20 Jahren für Effizienz sorgte, wird durch die neue 4-Räder-Lagerung nochmals übertroffen. Im Gegensatz zu herkömmlichen Regalen, bei denen Räder leicht umkippen können, gewährleistet das Magazin-System durch nummerierte und unterschiedlich grosse Fächer eine geordnete und sichere Lagerung – unabhängig von der Reifengrösse. Unterschiedliche Farben für die Fachnummern erleichtern zusätzlich die Orientierung.

Effizienzsteigerung durch Digitalisierung

In Kombination mit dem Rad-Mark-Markierungssystem und einer EDV-gestützten Lagerverwaltung werden Reifen schnell und präzise eingelagert. Untersuchungen zeigen, dass in einem Lager mit 3000 Radsätzen ein einziger Mitarbeiter ausreicht, um die Räder ein- und

auszulagern sowie sie zusätzlich zu reinigen. Im Vergleich dazu benötigen Betriebe ohne Magazin-System während der Hochsaison oft vier Personen für dieselben Aufgaben. Dies spart nicht nur Zeit, sondern reduziert auch die körperliche Belastung erheblich.

Wirtschaftlichkeit und Finanzierung

Obwohl die Anschaffung eines Magazin-Systems zunächst teurer erscheinen mag, amortisieren sich die Kosten schnell. Die durch Zeitersparnis und höhere Servicekapazitäten gewonnene Effizienz führt zu deutlich höheren Einnahmen. Leasingoptionen minimieren zudem den finanziellen Aufwand, da die monatlichen Raten leicht aus dem Mehrertrag gedeckt werden können.

Anwendung in der Cover-Halle

Das Magazin-System zeigt seine Stärken auch in Cover-Hallen. Die robusten Regalgestelle können mit Stahlblech verkleidet werden, wodurch eine kostengünstige und funktionale Lösung für die Reifeneinlagerung entsteht. In Verbindung mit dem Rad-Markierungs-System reduziert sich die Arbeitszeit für Ein- und Auslagerung im Vergleich zu konventionellen Regalsystemen um 75 Prozent. Cover-Hallen bieten zudem den Vorteil, dass sie bei Bedarf umgebaut, abgebaut oder an einem anderen Standort wieder aufgebaut werden können – ein entscheidender Vorteil in einer Zeit, in der die Bedeutung des Rädergeschäfts stetig zunimmt. Irega optimiert die Räderlagerung durch maximale Effizienz, Sicherheit und Platzersparnis. Es ermöglicht Betrieben, mehr Räder einzulagern, Arbeitszeit zu sparen und gleichzeitig die Mitarbeiter für wertschöpfende Tätigkeiten einzusetzen. Unternehmen, die auf dieses System setzen, profitieren von gesteigerter Wirtschaftlichkeit und langfristiger Flexibilität – und können sich über mehr Geld in der Kasse freuen.

www.irega.ch

Vier Räder hintereinander gelagert – das ist nur beim Magazin-System der Irega AG so.
Beim Rad-Mark klebt an den Rädern ein Schild, das die gleiche Farbe hat wie das Fach, in dem sie gelagert sind.

Anhängerkupplungen und Transportlösungen

Ihr zuverlässiger Partner für Anhängerkupplungen und Transportlösungen

Ihr zuverlässiger Partner für Anhängerkupplungen und Transportlösungen

Die Firma Rameder Anhängerkupplungen Swiss GmbH hat sich auf den Vertrieb von Kupplungen, Fahrradträger, Dachboxen, Dachträger und Montage für fast alle Fahrzeuge spezialisiert. Im Laufe der Jahre verzeichnete das Unternehmen ein bemerkenswertes Wachstum. Adrian Schnell, Sandro Frohoff und Aldon Iseni erzählten uns, wie sie Garagisten in der ganzen Schweiz bei der Auswahl der richtigen Transportlösung unterstützen.

Die Firma Rameder Anhängerkupplungen Swiss GmbH hat sich auf den Vertrieb von Kupplungen, Fahrradträgern, Dachboxen, Dachträgern und Montage für fast alle Fahrzeuge spezialisiert. Im Laufe der Jahre verzeichnete das Unternehmen ein bemerkenswertes Wachstum. Adrian Schnell, Sandro Frohoff und Aldon Iseni erzählten uns, wie sie Garagisten in der ganzen Schweiz bei der Auswahl der richtigen Transportlösung unterstützen.

“Wir montieren Anhängerkupplunngen für Garagisten zu TOP-Konditionen!”

Die Firma Rameder Anhängerkupplungen Swiss GmbH hat sich auf den Vertrieb von Kupplungen, Fahrradträger, Dachboxen, Dachträger und Montage für fast alle Fahrzeuge spezialisiert. Im Laufe der Jahre verzeichnete das Unternehmen ein bemerkenswertes Wachstum. Adrian Schnell, Sandro Frohoff und Aldon Iseni erzählten uns, wie sie Garagisten in der ganzen Schweiz bei der Auswahl der richtigen Transportlösung unterstützen.

Welche Marken vertreten Sie?

«Wir montieren Anhängerkupplungen für Garagisten zu TOP-Konditionen!»

Wer ist die Firma Rameder?

“Wir montieren Anhängerkupplunngen für Garagisten zu TOP-Konditionen!”

Wer ist die Firma Rameder?

Wer ist die Firma Rameder?

Adrian Schnell: Seite über 25 Jahre vertreibt die Firma Rameder Anhängerkupplungen. Über die Jahre wurde das Sortiment immer mehr erweitert mit Fahrradträger, Dachträger und ist heute der Europaweit grösster Lieferant und Online-Shop für Transportlösungen. Mit rund 600 Mitarbeitern wurden wir so zur Europas Marktführer Nummer 1. Bei uns bekommen Sie das richtige Produkt zu Best Preis-Garantie und profitieren von tollen Partnerschaften und kostenlosem Werbematerial für Ihre Werkstatt.

Adrian Schnell: Seit über 25 Jahren vertreibt die Firma Rameder Anhängerkupplungen. Über die Jahre wurde das Sortiment immer mehr erweitert mit Fahrradträgern, Dachträgern, und Rameder ist heute der europaweit grösste Lieferant und Online-Shop für Transportlösungen. Mit rund 600 Mitarbeitern wurden wir so zur Europas Marktführer Nummer 1. Bei uns bekommen

Adrian Schnell: Seite über 25 Jahre vertreibt die Firma Rameder Anhängerkupplungen. Über die Jahre wurde das Sortiment immer mehr erweitert mit Fahrradträger, Dachträger und ist heute der Europaweit grösster Lieferant und Online-Shop für Transportlösungen. Mit rund 600 Mitarbeitern wurden wir so zur Europas Marktführer Nummer 1. Bei uns bekommen Sie das richtige Produkt zu Best Preis-Garantie und profitieren von tollen Partnerschaften und kostenlosem Werbematerial für Ihre Werkstatt.

Sandro Frohoff: Westfalia, Brink, Bosal, Oris, GDW, Auto HAK, Bosstow, Imiola, Hakpol, Trail-Tec, Erich Jaeger, ESC, Thule, Menabo, Eufab, Atera, und noch viele weitere. Auch neu sind wir stolz das wir den Schweizer E-satz Entwickler Conwys mit zur Rameder Familie dazuzählen können.

Sie das richtige Produkt zu Bestpreis-Garantie und profitieren von tollen Partnerschaften und kostenlosem Werbematerial für Ihre Werkstatt.

Welche Marken vertreten Sie?

Welche Marken vertreten Sie?

Warum bestelle ich bei Rameder?

Aldon Iseni: Kunden bestellen bei Rameder, weil die Verfügbarkeit unschlagbar ist. Sie können hier alle Marken anfragen und werden von einem Spezialisten beraten, der Ihnen immer das richtige Produkt empfiehlt.

Bei den Elektrosätzen und Codierungen ist das Know-How extrem hoch. Die Lieferung funktioniert zuverlässig, und die telefonische Beratung unterstützt sie. Wir haben bereits tausende verschiedene Kupplungen verkauft und montiert und wissen von was wir sprechen.

Sandro Frohoff: Westfalia, Brink, Bosal, Oris, GDW, Auto HAK, Bosstow, Imiola, Hakpol, Trail-Tec, Erich Jaeger, ESC, Thule, Menabo, Eufab, Atera, und noch viele weitere. Auch neu sind wir stolz das wir den Schweizer E-satz Entwickler Conwys mit zur Rameder Familie dazuzählen können.

Sandro Frohoff: Westfalia, Brink, Bosal, Oris, GDW, Auto HAK, Bosstow, Imiola, Hakpol, TrailTec, Erich Jaeger, ESC, Thule, Menabo, Eufab, Atera und noch viele weitere. Auch neu sind wir stolz, dass wir den Schweizer E-Satz-Entwickler Conwys mit zur Rameder-Familie dazuzählen können.

Warum bestelle ich bei Rameder?

Warum bestelle ich bei Rameder?

Aldon Iseni: Kunden bestellen bei Rameder, weil die Verfügbarkeit unschlagbar ist. Sie können hier alle Marken anfragen und werden von einem Spezialisten beraten, der Ihnen immer das richtige Produkt empfiehlt.

Das gibt Ihnen Sicherheit und ein gutes Gefühl zu besten Preisen.

Bei den Elektrosätzen und Codierungen ist das Know-How extrem hoch. Die Lieferung funktioniert zuverlässig, und die telefonische Beratung unterstützt sie. Wir haben bereits tausende verschiedene Kupplungen verkauft und montiert und wissen von was wir sprechen. Das gibt Ihnen Sicherheit und ein gutes Gefühl zu besten Preisen.

Aldon Iseni: Kunden bestellen bei Rameder, weil die Verfügbarkeit unschlagbar ist. Sie können hier alle Marken anfragen und werden von einem Spezialisten beraten, der Ihnen immer das richtige Produkt empfiehlt. Bei den Elektrosätzen und Codierungen ist das Knowhow extrem hoch. Die Lieferung funktioniert zuverlässig, und die telefonische Beratung unterstützt Sie. Wir haben bereits Tausende verschiedene Kupplungen verkauft und montiert und wissen, von was wir sprechen. Das gibt Ihnen Sicherheit und ein gutes Gefühl zu besten Preisen.

www.rameder.ch

“Wir liefern und montieren für Garagen in der ganzen Schweiz zu TOP-Konditionen!”

Termingenaue Nachrüstung von Anhängerkupplungen in modern ausgestatteten Rameder Montagepoints durch erfahrene Mechaniker.

“Wir liefern und montieren für Garagen in der ganzen Schweiz zu TOP-Konditionen!”
“Wir liefern und montieren für Garagen in der ganzen Schweiz zu TOP-Konditionen!”

Termingenaue Nachrüstung von Anhängerkupplungen in modern ausgestatteten Rameder Montagepoints durch erfahrene Mechaniker.

Flexible Montagemöglichkeiten zum Fixpreis

Termingenaue Nachrüstung von Anhängerkupplungen in modern ausgestatteten Rameder Montagepoints durch erfahrene Mechaniker.

1.Rameder Montagepoints oder Mobiler Einbauservice

2.Montagepartner in Ihrer Region

Flexible Montagemöglichkeiten zum Fixpreis

Flexible Montagemöglichkeiten zum Fixpreis

1.Rameder Montagepoints oder Mobiler Einbauservice

1.Rameder Montagepoints oder Mobiler Einbauservice

2.Montagepartner in Ihrer Region

2.Montagepartner in Ihrer Region

Für Ihre Neu-/Gebrauchtwagenkunden erhalten Sie die Anhängerkupplung und den Elektrosatz inklusive Montage und Codierung zum übersichtlichen Komplettpreis. Dadurch können Sie direkt vom Schreibtisch aus kalkulieren und erhöhen die Kundenzufriedenheit.

Für Ihre Neu-/Gebrauchtwagenkunden erhalten Sie die Anhängerkupplung und den Elektrosatz inklusive Montage und Codierung zum übersichtlichen Komplettpreis. Dadurch können Sie direkt vom Schreibtisch aus kalkulieren und erhöhen die Kundenzufriedenheit.

Für Ihre Neu-/Gebrauchtwagenkunden erhalten Sie die Anhängerkupplung und den Elektrosatz inklusive Montage und Codierung zum übersichtlichen Komplettpreis. Dadurch können Sie direkt vom Schreibtisch aus kalkulieren und erhöhen die Kundenzufriedenheit.

rameder.connect – der Codierungs Experte

rameder.connect – der Codierungs Experte

rameder.connect – der Codierungs Experte

rameder.connect ist unser Remote Codier-Service. 26 der führenden Codierungsanbieter laufen über das einzigartige rameder.connect. Die online Codierung, unterstützt durch unser Technik-Team, mit automatischer Fahrzeugerkennung.

Sie montieren Anhängerkupplungen in Ihrer Garage und haben mit herkömmlichen Codierverfahren keinen Erfolg?

Unser Remote Codi-er-Service unterstützt Sie zum Festpreis auch bei der Codierung von seltenen und ganz neuen Fahrzeugmodellen.

rameder.connect ist unser Remote Codier-Service. 26 der führenden Codierungsanbieter laufen über das einzigartige rameder.connect. Die online Codierung, unterstützt durch unser Technik-Team, mit automatischer Fahrzeugerkennung.

rameder.connect ist unser Remote Codier-Service. 26 der führenden Codierungsanbieter laufen über das einzigartige rameder.connect. Die online Codierung, unterstützt durch unser Technik-Team, mit automatischer Fahrzeugerkennung.

Sie montieren Anhängerkupplungen in Ihrer Garage und haben mit herkömmlichen Codierverfahren keinen Erfolg?

Sie montieren Anhängerkupplungen in Ihrer Garage und haben mit herkömmlichen Codierverfahren keinen Erfolg?

Unser Remote Codi-er-Service unterstützt Sie zum Festpreis auch bei der Codierung von seltenen und ganz neuen Fahrzeugmodellen.

Unser Remote Codi-er-Service unterstützt Sie zum Festpreis auch bei der Codierung von seltenen und ganz neuen Fahrzeugmodellen.

Jetzt registrieren & vom Händlerrabatt profitieren!

www.rameder.ch info@rameder.ch

www.rameder.ch info@rameder.ch

www.rameder.ch info@rameder.ch

Schmierstoffindustrie im Wandel: Herausforderungen und Perspektiven»

Der VSS setzt sich seit 1932 für die Anliegen seiner Mitglieder ein. Im Gespräch beleuchten Direktor Matthias G. Baumberger und Vizepräsident Silvan Lämmle die Herausforderungen, Erfolge und Zukunftsvisionen der Branche. Text: Mario Borri

Die Schweizer Schmierstoffindustrie ist weit mehr als ein Nischenmarkt. «Unsere Mitglieder sind Produzenten, Importeure, Fachlabors und Entsorger, die zusammen eine zentrale Rolle in der heimischen Wirtschaft spielen», erklärt Matthias Baumberger, Geschäftsführer des Verbands der Schweizer Schmierstoffindustrie (VSS). Seit über 90 Jahren setzt sich der Verband für die Anliegen seiner Mitglieder ein, sei es im regulatorischen Umfeld, durch innovative Dienstleistungen oder im Bereich der Nachhaltigkeit.

Nachhaltigkeit im Fokus

Ein zentrales Anliegen des VSS ist die Balance zwischen Umweltschutz und wirtschaftlichen Interessen. «Bei Themen wie PFAS oder der VOC-Lenkungsabgabe setzen wir uns für praktikable Lösungen ein, die Umwelt und Wirtschaft in Einklang bringen», betont Silvan Lämmle. Zusätzlich bietet der Verband Unterstützung bei der CO2-Bilanzierung und Kompensation über die Stiftung KMU Clima an. «Das schafft einen echten Mehrwert für unsere Mitglieder», ergänzt Baumberger. 2024 war für die Branche ein erfolgreiches Jahr. «Wir sind ein Spiegelbild unserer Mitglieder und können sagen, dass die Tendenzen positiv sind», so Baumberger. Konkrete Zahlen werden im ersten Quartal 2025 vorliegen. Für 2025 erwartet der VSS einen Schmierstoffmarkt im ähnlichen Bereich wie im vergangenen Jahr.

Die Schweizer Schmierstoffindustrie hat in den vergangenen Jahrzehnten einen markanten Wandel durchlaufen. «Vor 20 Jahren dominierten Inlandverkäufe. Seit 2017 exportieren wir erstmals mehr, als wir im Inland absetzen», erläutert Lämmle. Diese Entwicklung unterstreiche die Wettbewerbsfähigkeit des Standorts Schweiz. Die kommenden Jahre könnten durch

regulatorische und wirtschaftliche Hürden geprägt sein. «Wir fürchten eine Überregulierung in der Schweiz und Europa, die nicht nur Produkte verteuert, sondern auch Innovation hemmt», warnt Baumberger. Die Gefahr einer Deindustrialisierung und einer Verlangsamung technologischer Fortschritte sei real. Zudem dürften politische Veränderungen in der EU und den USA direkte Auswirkungen auf den Export haben.

Appell an die Branche

Abschliessend richten Baumberger und Lämmle einen Appell an alle Marktteilnehmer: «Wir laden alle ein, sich unseren Verband anzuschauen. In einem persönlichen Gespräch zeigen wir gerne die Vorteile einer Mitgliedschaft auf. Wir sind überzeugt, einen relevanten Mehrwert bieten zu können.»

Die Grafik zeigt, dass die Schweizer Schmierstoffproduzenten heute mehr exportieren, als sie im Inland verkaufen.
Silvan Lämmle, Vizepräsident VSS
Matthias G. Baumberger, Direktor VSS

«Die zunehmende Elektrifizierung eröffnet neuen Schmierstoffmarkt»

Je mehr E-Autos im Verkehr, desto weniger konventionelle Schmiermittel setzt der Garagist ab. Dafür eröffnet ihm der Mobilitätswandel einen neuen Markt, wie Roman Baumgartner, Product Manager Fluids Amag Import, erklärt. Interview: Mario Borri

AUTO&Wirtschaft: Welchen Einfluss hat die zunehmende Elektrifizierung der Automobile auf Ihr Schmierstoffgeschäft?

Roman Baumgartner: Die zunehmende Elektrifizierung der Automobile hat einen immer grösseren Einfluss auf das Schmierstoffgeschäft der Amag. Der Schmierstoffbedarf ist abnehmend, da die Zahl der E-Fahrzeuge auf den Schweizer Strassen stetig zunimmt. Der Anteil Verbrennerfahrzeuge ist aber stabil und daher ist auch für die kommenden Jahre noch mit keiner grösseren Veränderung zu rechnen. Die Elektrifizierung der Automobile eröffnet aber auch einen neuen Markt, jenen der sogenannten EV-Fluids (Electric Vehicle Lubricants). Der Markt für EV-Fluids steht noch am Anfang seiner Entwicklung und findet aktuell überwiegend Anwendung bei der

Werksbefüllung. Die Werksbefüllung umfasst die Flüssigkeiten, die bei der Fahrzeugherstellung verwendet werden. Solche EV-Fluids werden für die Wartung und im Aftermarkt erhältlich sein.

Wie denken Sie, wird sich die Situation weiter entwickeln?

Die Amag erwartet für die Zukunft eine stetige Zunahme an Elektrofahrzeugen im Schweizer Markt. Die Schweizer Automobilbranche verändert sich zunehmend, und die Amag möchte diesen Wandel aktiv mitgestalten. Im Bereich der Motorenöle werden neue Viskositätsklassen eingeführt, wie zum Beispiel SAE 0W-16, SAE 0W-12 oder auch SAE-0W-8. Diese tiefen Viskositätsklassen bieten uns die Möglichkeit, noch mehr Treibstoff einzusparen.

Was ist Ihr Erfolgsrezept?

Wir haben eine breite Auswahl an verschiedenen Schmierstoffmarken und Lieferanten. Zudem kann die Amag schweizweit eine sehr gute Verfügbarkeit über verschiedene Lagerstandorte anbieten. Im Bereich des Motorenöles bieten wir unseren Partnern auch das Konzept von Offenlieferungen an. Die persönliche Kundenbetreuung vor Ort durch unseren Aussendienst sowie die telefonische Beratung durch unser Parts Competence Center runden dieses attraktive Angebot ab.

Wie hat sich die Nachfrage nach Ölen und Schmierstoffen verändert?

Durch die fortlaufende Weiterentwicklung der Fahrzeuge hat der jährliche Ölverbrauch etwas abgenommen. Hinzu kommt eine höhere Komplexität bei den Spezifikationen und Viskositätsklassen. Schmierstoffe sind ein wichtiger technischer Bestandteil bei der Werterhaltung von Fahrzeugen.

Gibt es einen Bestseller in Ihrem Portfolio?

Die Bestseller geben in gewissen Massen die First-Fill-Qualitäten und die jeweiligen Spezifikationen der Fahrzeughersteller vor. Die Amag sieht eine Zunahme bei den VWSpezifikationen 508 00 / 509 00, wo eine Viskosität SAE 0W-20 verpflichtend ist. Aber auch bei der VW-Spezifikation 504 00 / 507 00 hat die technologische Weiterentwicklung von SAE 5W-30 zu 0W-30 stattgefunden. Dies macht sich entsprechend durch eine höhere Kundennachfrage bemerkbar.

Wieso soll ein Garagist Ihre Produkte verwenden?

Die grosse Auswahl an verschiedenen Schmierstoffmarken in Kombination mit einer ausgezeichneten Produktqualität sprechen für uns. Ein weiterer Grund ist die hervorragende Produktverfügbarkeit. Ebenso können wir Offenlieferungen mit dem Tanklastwagen anbieten, was von unseren Kunden sehr geschätzt und auch immer mehr nachgefragt wird. Hier haben wir sehr viel Erfahrung und pflegen eine partnerschaftliche Zusammenarbeit mit unseren Kunden. Unser Angebot runden wir ab, indem wir nebst Flüssigkeiten viele weitere Produkte mit attraktiven Konditionen aus einer Hand anbieten können.

www.amag.ch

Roman Baumgartner, Product Manager Fluids Amag Import
Das sind die Schmierstoffmarken der Amag.

FRT Auto GmbH: Oldtimer-Paradies mit Schmierstoffen von Midland

In Frutigen (BE) hat Adrian Fritschi mit der FRT Auto GmbH ein Refugium für Fans klassischer Automobile geschaffen – dank Rundumservice und Midland-Schmierstoffen mit zufriedenen Kunden. Text/Bilder: Mario Borri

Tausende Touristen passieren Frutigen jedes Jahr. Das Dorf im unteren Kandertal im Berner Oberland liegt am Weg nach Adelboden/Lenk sowie nach Kandersteg oder weiter ins Wallis – per Autoverlad durch den Lötschbergtunnel. Ab und zu nimmt ein Automobilist oder eine Automobilistin die Ausfahrt ins Frutiger Industriegebiet. Denn dort, auf dem stillgelegten Flugplatz, befindet sich die FRT Auto GmbH. Hier, zwischen den Erdhügel-Hangaren und der alten Landebahn, hat Adrian Fritschi vor zehn Jahren seine Werkstatt nach eigenen Vorstellungen errichtet. «Ich konnte den Betrieb von Grund auf so planen, wie es ideal für unsere Arbeit ist», erzählt Fritschi. So ist der Bremsprüfstand mit Fahrwerkstester platzsparend in den

Boden eingelassen. Und eine Bodenheizung sorgt für ein angenehmes Raumklima.

Drei Standbeine mit Fokus auf Oldtimer

Die FRT Auto GmbH steht auf drei Säulen: Einlagerung, Instandhaltung und Handel von Oldtimern. Insgesamt betreut Adrian Fritschi an seinem Standort rund 50 klassische Fahrzeuge. Vom exklusiven Supersportler Lamborghini Jalpa über einen gepanzerten BMW 750 V12 bis hin zu diversen Corvettes, VW Käfern und seltenen Modellen wie dem Pontiac Trans Am – die Vielfalt ist beeindruckend. Die meisten dieser Schmuckstücke stammen von Kunden aus der Region Bern sowie aus der ganzen Schweiz, die ihre Fahrzeuge über die

Wintermonate bei FRT einlagern. Bevor sie in den klimatisierten Hallen verschwinden, werden sie oft noch gewartet oder instand gesetzt. «Viele Kunden nutzen die Gelegenheit, kleinere Reparaturen oder Servicearbeiten direkt bei uns machen zu lassen», erklärt Fritschi. Carrosseriearbeiten werden an externe Partner vergeben, während mechanische Arbeiten von ihm und seinen vier Mitarbeitenden selbst durchgeführt werden.

Schmierstoffe von Midland –die perfekte Lösung

Seit 2016 setzt die FRT Auto GmbH auf Schmierstoffe der Schweizer Marke Midland – eine Entscheidung, die Fritschi keine Sekunde bereut hat. «Wir brauchen für die Oldtimer vor allem das Performance 20W-50», erklärt er. Das Motorenöl ist perfekt auf die Anforderungen klassischer Fahrzeuge mit Ölfilter abgestimmt.

Die FRT Auto GmbH beherbergt in Berner Oberland einige automobile Schätze.
Der Frutigtaler Oldtimertreff im letzten Sommer war ein voller Erfolg.
Roger Schmutz bringt einen Pontiac Trans Am wieder in Schuss.
Adrian Fritschi hat sich vor zehn Jahren selbstständig gemacht.

Regelmässig bestellt FRT 200-Liter-Fässer, da der Bedarf konstant hoch ist.

Doch Midland überzeugt nicht nur mit seinen Motorenölen. «Ein weiterer Vorteil sind die kleinen Gebinde», sagt Fritschi. Für Arbeiten an modernen Autos und Motorrädern benötigt FRT auch Getriebe- oder Achsöle, die in 1-, 2oder 5-Liter-Flaschen geliefert werden können. Diese Flexibilität war für Fritschi entscheidend, als er nach einem neuen Lieferanten suchte. Der Garagist schätzt auch die Schnelligkeit der Lieferung und die fachkundige Unterstützung bei technischen Fragen. «Das ist einfach professionell», lobt er den Service von Midland.

Engagement für die OldtimerCommunity

Adrian Fritschi engagiert sich auch ausserhalb der Werkstatt für die Oldtimer-Szene. Als OKMitglied des Frutigtaler Oldtimertreffs trägt er aktiv zum Erfolg des Events bei. Sein Team unterstützt sowohl auf dem Oldtimer-Parkplatz als auch an den Verpflegungsständen. Das 20-jährige Jubiläum des Treffens wurde im vergangenen Herbst gebührend gefeiert – erstmals

auf dem Flugplatz Frutigen, direkt neben der FRT-Werkstatt. «Es war ein Highlight, die Vielfalt an Fahrzeugen direkt vor unserer Garage zu sehen», sagt Fritschi. Von der winzigen BMW Isetta bis hin zum imposanten Rolls-Royce war alles vertreten. Die enge Verbindung zwischen FRT und der Oldtimer-Community war an jenem sonnigen Septembersonntag deutlich spürbar. «Es war schön, zu sehen, wie unsere Leidenschaft für klassische Fahrzeuge hier auf die Besucher übersprang», fügt er hinzu.

Tradition und Moderne erfolgreich verbunden

Mit der Kombination aus Hightech-Werkstatt, erstklassigen Schmierstoffen und dem persönlichen Engagement für die Oldtimer-Community hat sich die FRT Auto GmbH in der ganzen Schweiz einen Namen gemacht. Adrian Fritschi und sein Team zeigen, wie sich Tradition und Moderne erfolgreich verbinden lassen – zum Vorteil ihrer Kunden und der automobilen Schätze, die bei ihnen ein Zuhause finden.

www.midland.ch

Mineralischer Alleskönner

Midland Performance 20W-50 ist ein mineralisches Hochleistungsmotorenöl, das unter anderem für Oldtimer und Youngtimer mit oder ohne Katalysator bestens geeignet ist. Es erfüllt alle Anforderungen von Alltag bis Renneinsatz. Im Motorsport hilft der erhöhte HTHS-Wert (HTHS steht für High Temperature High Shear und beschreibt die dynamische Viskosität gemessen bei 150 °C und unter Einfluss hoher Scherkräfte). So bleibt das Motorenöl auch bei heissen Temperaturen stabil und garantiert eine optimale Schmiersicherheit. Midland Performance 20W-50 hält den Motor sauber und ist mit allen Dichtungsmaterialien (alte und neue) verträglich. Es zeichnet sich durch beste Oxidationsbeständigkeit (Alterungsstabilität) aus und verfügt wie erwähnt über eine exzellente Hochtemperaturfestigkeit. Es schützt vor Frühzündung bei tiefer Drehzahl (LSPI = Low Speed Pre-Ignition) und erfüllt eine Reihe von Spezifikationen und Normen für klassische und moderne Fahrzeuge, darunter ACEA A2/B2, A3/B3, A3/B4 und API SJ, SL, SL/CF, SM, SN/CF.

Das Betriebsgebäude steht auf dem Areal des ehemaligen Militärflughafens.
Seit 2016 setzt die FRT Auto GmbH auf Schmierstoffe von Midland.

Mit zwei Edge-Produkten können Werkstätten viele Spezifikationen

und Freigaben abdecken

Seit über 125 Jahren bestimmen Pioniergeist, Innovationsstärke und Kundenorientierung das Handeln von Castrol und machten das Unternehmen zu einem der weltweit grössten Lieferanten für erstklassige Qualitätsschmiermittel.

Castrol Edge 0W-20 LL IV ist das niedrigviskose 0W-20-Motorenöl neuester Generation, mit «Triple Longlife». Es ist der erste Schmierstoff seiner Art, der die neuesten Anforderungen von drei sehr unterschiedlichen Herstellerfreigaben in einem einzigen Produkt erfüllt: VW 508 00/ 509 00, BMW Longlife-17 FE+ und MBFreigabe 229.72. Es eignet sich für die Verwendung in Benzin-, Diesel- und Hybridfahrzeugen und ist für Verbraucher und Werkstätten in den Gebindegrössen 1 Liter, 5 Liter, 20 Liter, 60 Liter, 208 Liter und in loser Ware erhältlich. Darüber hinaus ist das Motorenöl für Porsche C20 freigegeben, entspricht der FordSpezifikation WSS-M2C956-A1 und erfüllt die Anforderungen von Fahrzeugherstellern, die die Verwendung von ACEA C5 oder ACEA C6 0W-20-Ölen empfehlen.

Alle Vorteile in einem Schmiermittel

Castrol Edge 0W-20 LL IV, nach strengsten Anforderungen entwickelt und getestet, vereint alle Vorteile von niedrigviskosen Ölen und bietet zudem eine herausragende Leistung –nachgewiesen in über 10’000 Teststunden. Die Produktvorteile beinhalten seine Eigenschaft zur Verringerung von Reibung und Verschleiss, Vermeidung von Korrosion, Minimierung von Metall-auf-Metall-Kontakt sowie sein hervorragendes Viskositäts-Temperatur-Verhalten.

In verschiedenen Bindegrössen erhältlich

Castrol Edge 0W-30 LL eignet sich für Benzin-, Diesel- und Hybridfahrzeuge und erfüllt die neuesten Spezifikationen moderner Motoren, für die die Fahrzeughersteller einen Schmierstoff der Spezifikation ACEA C3 oder einer früheren Spezifikation 0W-30 empfehlen Das niedrigviskose «Kombi»-Motorenöl Castrol Edge 0W-30 LL erfüllt zudem die neuesten Industrieanforderungen von vier Herstellerfreigaben in einem einzigen Produkt: VW 504 00/507 00, BMW Longlife-04, MB-Freigabe 229.31/229.51 und Porsche C30. Der neue Schmierstoff ist zudem für die Spezifikation MB 229.52 (für Mercedes-Benz-Fahrzeuge) geeignet. Das Motorenöl ist für Verbraucher und Werkstätten in den Gebindegrössen 1 Liter, 5 Liter, 20 Liter, 60 Liter, 208 Liter und loser Ware erhältlich.

Motorenöle für höchste Ansprüche

Castrol Edge 0W-30 LL wurde entwickelt, um die mit modernen Motoren verbundenen

Herausforderungen zu meistern. Es trägt zu einer verbesserten Treibstoffersparnis, Leistung bei niedrigen Temperaturen und Verschleissschutz bei. Kleinere, leistungsstärkere Motoren bieten zwar eine bessere Treibstoffeffizienz, aber der verstärkte Einsatz von Turboladern kann den Druck im Motor erhöhen. Bis zu 10 % der Motorleistung können durch Reibung verloren gehen, was die Leistung beeinträchtigt und mehr Treibstoff verbraucht. Eine Frühzündung bei niedriger Drehzahl (LSPI) kann auftreten, wenn kleinere Motoren mit Turboladern bei niedrigen Motordrehzahlen hohen Belastungen ausgesetzt sind. Das Treibstoff-Luft-Gemisch kann sich dann vorzeitig entzünden und einen hohen Druck in den Zylindern verursachen. Dies führt zu einem lauten Motorgeräusch

und im schlimmsten Fall zu einem schweren Motorschaden. Beide Edge-Produkte erfüllen alle Anforderungen der LSPI-Prüfung, um das Risiko eines solchen Schadenfalles deutlich zu reduzieren.

Leistung optimieren

Ralf Wobben, Brand & Product Specialist bei Castrol Europe, sagt dazu: «Castrol Edge ist unsere modernste Produktreihe von Motorenölen und erfüllt die anspruchsvollen Herstellerspezifikationen. An der Spitze einer sich schnell entwickelnden Branche zu stehen, verdeutlicht die bedeutende Zusammenarbeit von Castrol mit Fahrzeugherstellern zur Entwicklung von Motorenölen, die Leistung optimieren und Effizienz steigern können. Diese Edge-Produkte zeigen, wie wir die neuesten technologischen Fortschritte in ein Produkt integrieren, das für zahlreiche Anwendungen geeignet ist.» (pd/ir)

www.castrol.com

«Wir

bieten unseren Kunden

ein Rundum-sorglos-Paket»

Das Schweizer Traditionsunternehmen Motorex AG setzt auf die gelungene Verbindung von langjähriger Erfahrung und neuen Technologien. Im Interview erklären Stefan Sury, Verkaufsleiter Automotive, Thomas Balz, Leiter Product Management, und Manuela Segginger, Product Manager, wie sie diesen Ansatz erfolgreich umsetzen.

Interview: Isabelle Riederer

AUTO&Wirtschaft: Wie zufrieden sind Sie mit dem Schmierstoffgeschäft 2024?

Stefan Sury: Als Gesamtfirma dürfen wir auf ein sehr gutes Jahr zurückblicken. Wir haben ein solides Jahr hinter uns mit Zuwachs in allen Bereichen. Vor allem in den USA und im Zweiradbereich konnten wir zulegen.

Wie geht es dieses Jahr für Motorex weiter?

Stefan Sury: Auf Schweizer Strassen sind nach wie vor 4,6 Millionen Fahrzeuge immatrikuliert, und so, wie sich der E-Automarkt aktuell entwickelt, werden diese noch länger in Betrieb sein. Die Skepsis der Endkonsumenten gegenüber der Elektromobilität spielt uns in die Karten. Wenn die aktuellen Verbrenner länger gefahren werden, müssen sie auch weiterhin gewartet werden und benötigen Schmierstoffe.

Welche Herausforderungen stehen Ihnen im Jahr 2025 bevor?

Stefan Sury: Die Garagenlandschaft Schweiz verändert sich. Es gibt internationale Gruppen,

die sich hier niederlassen und Schweizer Betriebe übernehmen, da müssen wir dann erst mal erklären, wer wir sind. Viele Garagen hören auch auf oder geben die Markenvertretung ab. Dennoch bin ich überzeugt, dass wir gut aufgestellt sind. Wir sind flexibel, können schnell liefern und sind nah bei den Kunden.

Thomas Balz: Auf der Herstellerseite spüren wir, dass die Motorenölentwicklung allgemein abgenommen hat, es gibt zwar für dieses Jahr vereinzelt neue Spezifikationen, aber nicht so wie früher. Deshalb konzentrieren wir uns auch stark auf unsere Komplementär- und Zubehörprodukte sowie Kühlmittel für Elektround Hybrid-Fahrzeuge. Hinzu kommt, dass Kunden immer häufiger nachhaltige Produkte wünschen. Wir achten sehr darauf, dass wir hier ein leistungsfähiges, topmodernes und nachhaltiges Sortiment anbieten können.

Was macht Motorex einzigartig?

Stefan Sury: Seit über 100 Jahren sind wir ein unabhängiges Familienunternehmen, das seine

Produkte direkt vertreibt. Unser Weg führt uns unmittelbar zu unseren Kunden. Wir konzentrieren uns auf das, was wir am besten können: Unsere langjährige Erfahrung, unsere umfassende Kompetenz und unser starkes Aussendienst-Team – das grösste in der Schweiz – machen uns zu einem verlässlichen Partner. Öl erfordert eine intensive Beratung und genau hier setzen wir an. Wir stehen unseren Kunden als kompetenter Partner zur Seite und bieten massgeschneiderte Lösungen für die komplexen Herausforderungen im Bereich Schmierstoffe.

Gibt es noch weitere USPs?

Stefan Sury: Eine weitere Stärke von Motorex ist die hohe Flexibilität. Wir können schnell auf Veränderungen reagieren und neue Produkte entwickeln. Hinzu kommen unser FluidManagement-Team und unser hauseignes Labor. Wir bieten unseren Kunden alles aus einer Hand – von der Planung bis zur Lieferung. Ein Rundum-sorglos-Paket.

Gibt es neue Produkte in diesem Jahr?

Manuela Segginger: Wir werden in diesem Jahr ein neues Label für Elektro- und Hybrid-Fahrzeuge lancieren, so dass Kunden sofort erkennen, welche Produkte für die neuen Technologien geeignet sind. Nebst unserem Onlineshop haben Kunden die Möglichkeit, in unserem Medienportal zusätzliche Informationen, Flyer und Unterlagen herunterzuladen.

www.motorex.com

Thomas Balz, Manuela Segginger und Stefan Sury (v. l. n. r) mit dem Erfolgsprodukt Dynco, dem Getriebespülgerät für Automatik- und Doppelkupplungsgetriebe.

ESA, die zuverlässige Partnerin für Schmiermittel

In der Einkaufsorganisation der ESA finden Garagistinnen und Garagisten nicht nur ein breites Sortiment an Motoren-, Getriebe- und Hydraulikölen, sondern auch sämtliche Zubehörartikel für einen effizienten Ölservice.

Die Kunden der ESA haben die Möglichkeit, zwischen verschiedenen Marken zu wählen. Die Eigenmarke ESA Lube steht für erstklassige Schweizer Qualität zu äusserst fairen Preisen. Das Sortiment deckt eine breite Palette der neuesten Spezifikationen ab und erfüllt zahlreiche Herstellervorgaben. Mit den Premiummarken Shell, Total und ELF werden modernste Motorenöle angeboten, die in enger Zusammenarbeit mit den Automobilherstellern weiterentwickelt werden. Zudem sind die beliebten Premium-ATF-Schmiermittel von Lube1 und Millers Oils erhältlich. Letztere sind speziell auf Young- und Oldtimerfahrzeuge zugeschnitten.

Neues Verpackungsdesign für ESA Lube Anfang des Jahres wurde das Erscheinungsbild der Marke ESA Lube neu gestaltet. Das Redesign verleiht der Schmiermittelmarke ein modernes und attraktives Aussehen, indem die Farbvielfalt auf zwei Grautöne reduziert wurde: Dunkelgrau für Motorenöle und Hellgrau für Getriebeöle. Diese zeitlosen Farben harmonieren perfekt mit den Maschinen und Einrichtungen in Schweizer Garagen. Durch die bewusste Auswahl nicht standardisierter Farbmischungen hebt sich ESA Lube deutlich von anderen Marken ab. Aus ökonomischen und ökologischen Gründen werden die neuen Produktdesigns laufend ersetzt. Daher kann

es sein, dass Anfang 2025 noch Produkte im alten Design ausgeliefert werden, da der alte Lagerbestand zuerst abverkauft wird. Für alle Produkte besteht dank grossen Lagerkapazitäten eine hervorragende Warenverfügbarkeit.

Die ESA als Vollanbieterin

Die Einkaufsorganisation des schweizerischen Automobil und Motorfahrzeuggewerbes, wurde 1930 gegründet und fördert seit über 90 Jahren die wirtschaftliche Leistungsfähigkeit ihrer Mitinhaber und Kunden. Als Genossenschaft gehört die ESA rund 7000 Genossenschaftern und Mitinhabern aus dem Automobil- und Motorfahrzeuggewerbe. An 11 Standorten in der ganzen Schweiz stehen rund 670 Mitarbeitende, davon rund 60 Lernende, im Einsatz, um die Mitinhaber und Kunden bis zu dreimal täglich mit den gewünschten Gütern zu versorgen. Dazu bietet die ESA in allen Angebotsbereichen – vom Verbrauchsgüterbis zum Investitionsgüterbereich – alles aus einer Hand. (pd/mb)

www.esa.ch

Das Redesign verleiht ESA Lube ein modernes und attraktives Aussehen.

Mit Weitsicht durch den Umbruch

Die Automobilbranche steht vor einem historischen Umbruch: Elektrifizierung, Nachhaltigkeit und Digitalisierung verändern den Markt rasant. Unternehmen wie die Fibag AG reagieren mit Flexibilität, Innovationsgeist und einem klaren Fokus auf die Bedürfnisse ihrer Kunden. Ein Blick hinter die Kulissen.

Lieferkettenprobleme, wirtschaftliche Unsicherheiten und zunehmender Wettbewerb stellen Unternehmen der Automobilbranche vor enorme Herausforderungen. Auch die Fibag AG musste reagieren: «Wir haben unsere Lagerbestände strategisch angepasst und unsere Prozesse flexibler gestaltet, um jederzeit lieferfähig zu bleiben», erklärt Kurt Schürch, Leiter Einkauf und Verkauf der Fibag AG. Die Automobilbranche elektrisiert sich – buchstäblich. Der Absatz an Elektrofahrzeugen nimmt konstant zu. Das verändert auch die Bezüge der Schmierstoffe. «Wir haben unser Sortiment bereits um spezifische Produkte wie zum Beispiel Kühlmittel für HEV-, PHEV-, BEV- und FCEV-Fahrzeuge erweitert», erklärt Schürch.

Mitbewerber als Motivation

Der Schmierstoffmarkt ist hart umkämpft – mit Wettbewerbern von lokalen Anbietern bis hin zu globalen Playern. Besonders ausländische Anbieter setzen oft auf niedrige Preise, doch Fibag punktet mit Qualität, Verfügbarkeit und Kundennähe. «Wir liefern in vielen Regionen mehrmals täglich und bieten attraktive Konditionen. Das macht uns für unsere Kunden zum bevorzugten Partner», betont Schürch.

Dabei hebt er hervor, dass er den Wettbewerb nicht als Bedrohung, sondern vielmehr als eine Motivation sieht. «Nur durch kontinuierliche Weiterentwicklung und einen klaren Fokus auf Kundenbedürfnisse können wir uns in einem dynamischen Markt behaupten», ergänzt er.

Treiber des Wandels

Nachhaltigkeit ist längst unverzichtbar. Kunden verlangen umweltfreundliche Produkte und verantwortungsvolles Handeln. Gleichzeitig gewinnt die Digitalisierung weiter an Bedeutung – vom Onlinehandel bis hin zu smarten Logistiklösungen. «Wer hier nicht mithält, riskiert den Anschluss», warnt Schürch. Die Fibag investiert daher in ihren Webshop. «Unser Ziel ist es, Kunden den Zugang zu unseren Produkten so einfach wie möglich zu machen, unabhängig davon, ob sie online oder offline bei uns bestellen», sagt Schürch.

Schmierstoffe bleiben essenziell

Auch in einer elektrifizierten Zukunft bleiben Schmierstoffe unverzichtbar, jedoch mit veränderten Anforderungen. «Die Nachfrage nach Hochleistungsprodukten ist stabil, denn sie sorgen für optimale Performance und Langlebigkeit», so Schürch. Mit spezialisierten Lösungen stellt sich die Fibag AG auf diese Entwicklung ein und festigt ihre Rolle als einer der führenden Anbieter im Markt.

Balance aus Tradition und Fortschritt

Was treibt die Fibag AG an, in einem dynamischen Markt erfolgreich zu sein? «Die Nähe zu unseren Kunden und die Möglichkeit, gemeinsam die Mobilität der Zukunft zu gestalten», betont Schürch. Fibag verbindet Tradition mit Innovation und setzt auf langfristige Partnerschaften. «Die enge Zusammenarbeit mit unseren Partnern ermöglicht es uns, schnell auf Trends zu reagieren und Produkte an Kundenbedürfnissen auszurichten», erklärt er weiter. Zudem bietet Fibag ein breites Schmierstoffsortiment für klassische Fahrzeuge. So zeigt Fibag, dass Weitsicht, Qualität und Kundennähe Schlüssel zum Erfolg in einer sich wandelnden Branche sind. (pd/ml)

www.fibag.ch

Fibag vertreibt unter anderem Produkte von Mobil.
Kurt Schürch ist Leiter Einkauf und Verkauf der Fibag AG.

Nachhaltige

Schmiermittel

–Motul zeigt, wie΄s geht

Die Hostettler Autotechnik AG liefert mit den Schmiermitteln von Motul eine Lösung für jedes Bedürfnis – auch hinsichtlich Nachhaltigkeit. Bereits 2023 hat der Schmierstoffspezialist Motul sein Produktportfolio mit nachhaltigen Lösungen ergänzt und erstmals drei Produktserien aus hochwertig regenerierten Basisölen auf den Markt gebracht.

Motul-Schmierstoffe sind sehr leistungsfähig.

Die Hostettler Autotechnik AG vertreibt die Schmierstoffe von Motul.

Im Jahr 2023 hat der Schmierstoffhersteller mit NGEN 5, NGEN 7 und Hybrid eine Produktserie zur Marktreife entwickelt, die den ökologischen Impact reduzieren und zugleich die volle Performance gewährleisten soll. Nun legt Motul nach und baut die Linie mit NGEN 4, NGEN 6 und NGEN ATF VI weiter aus. Mit diesen drei neuen Produkten stehen zwei zusätzliche Motorenöle und ein Automatikgetriebeöl zur Verfügung, welche ausgesprochen ressourcenschonend produziert werden.

Regenerierte anstelle nativer Basisöle Je konsequenter der Recyclinggrad, desto grösser die CO2-Einsparung. Für die NGENProduktion setzt Motul dabei auf den Einsatz von bereits genutzten Basisölen in Premiumqualität – bis zu 65 Prozent. Zudem wird die Ökobilanz der Herstellung gegenüber der ausschliesslichen Verwendung nativer Basisöle um bis zu 30 Prozent verbessert. Als Richtwert gilt: Aus 100 Prozent Altöl können 65 Prozent regenerierte Basisöle, 14 Prozent Bitumen, 8 Prozent Wasser und 8 Prozent Diesel extrahiert werden, so dass noch 5 Prozent Abfallstoffe bleiben. Für die Ölbehälter bis 20 Liter werden zudem bis zu 50 Prozent recycelte Kunststoffe verwendet.

Leistung und Nachhaltigkeit dürfen kein Widerspruch sein

«Nachhaltigkeit ist heute wichtiger denn je, aber sie darf die Leistungsfähigkeit nicht gefährden», erklärt Philipp Schatzmann, Product Manager der Hostettler Autotechnik AG. «Aus diesem Grund gewährleisten NGENProdukte mindestens die gleiche Performance wie herkömmliche Schmierstoffe. Dies wird eindrucksvoll durch den ersten Einsatz eines Teilnehmers der Rallye Dakar 2025 belegt. Dass dabei zugunsten von NGEN 7 auf das ‹kampferprobte› 300V verzichtet wird, ist wirklich bemerkenswert.»

«Mit der Entwicklung dieser Technologie hat Motul neue Massstäbe im Bereich nachhaltiger Schmierstoffe gesetzt», ergänzt Schatzmann. «Derzeit reicht allerdings das weltweite Angebot an qualitativ hochwertigen, regenerierten Basisölen noch nicht aus, um den gesamten Bedarf an automotiven Schmierstoffen zu decken. Mittelfristig bleiben daher Schmierstoffe auf nativer Basis eine wichtige Komponente, die vorerst erhalten bleiben und auch noch weiterentwickelt werden.» Neben Schmiermitteln entwickelt Motul erstklassige Brems- und Kühlflüssigkeiten, Reinigungssysteme, Additive sowie Wartungsund Pflegeprodukte. (pd/ml)

www.autotechnik.ch

Philipp Schatzmann, Produkt Manager Hostettler Autotechnik AG, unterstützt und berät gerne.
«Wir bieten eine beeindruckende Vielfalt und Verfügbarkeit»

Welche Trends das Schmierstoffgeschäft beeinflussen und warum die Nachfrage nach hochwertigen Produkten steigt, erklärt Florian Paukovics, Professional Category Manager für Schmierstoffe bei Derendinger, im Interview. Interview: Isabelle Riederer

AUTO&Wirtschaft: Herr Paukovics, welche Bilanz ziehen Sie für das Schmierstoffgeschäft 2024?

Florian Paukovics: Wir blicken auf ein äusserst erfolgreiches Jahr im Schmierstoffgeschäft zurück. Trotz eines rückläufigen Marktes ist es uns gelungen, unsere Position weiter auszubauen. Besonders bei unseren Premiummarken wie Mobil und Castrol konnten wir zusätzliche Marktanteile gewinnen. Durch die Verlängerung unserer exklusiven Partnerschaft mit Ravenol können wir auch in der Zukunft auf einen Spezialisten im Getriebeölbereich zählen.

Was wird Sie 2025 besonders fordern? 2025 wird uns vor allem die zunehmende Komplexität des Marktes fordern. Die stetig wachsende Vielfalt an Schmierstoffen, insbesondere im Bereich der Motoren- und Getriebeöle, wird weiterhin hohe Anforderungen an unsere Produktpalette und Beratungsqualität stellen. Gleichzeitig wird die fortschreitende Elektrifizierung neue Lösungen erfordern, etwa bei spezifischen Flüssigkeiten für Elektrofahrzeuge.

Was ist Ihr Erfolgsrezept?

In unserem Sortiment führen wir mit Eni, Castrol, Mobil, Yacco, Ravenol und unserer Eigenmarke Autotyp einige der Top-Marken der Branche. Ein entscheidender Erfolgsfaktor ist unsere

Verfügbarkeit: Bis auf Filialebene stellen wir sicher, dass Produkte stets bereitstehen. Fassware liefern wir in der Regel innerhalb von 24 Stunden. Darüber hinaus unterstützen wir unsere Kunden mit einem benutzerfreundlichen E-Shop und einem praktischen Ölsuchmodul. Unser Aussendienst ist technisch bestens ausgestattet und kann bei Bedarf auf meine Unterstützung zurückgreifen. Wir bieten unseren

Kunden ein Rundum-sorglos-Paket, das neben hochwertigen Produkten und umfassendem Service auch die fachgerechte Entsorgung durch unseren Partner Altola umfasst.

Welches sind die Haupteinflüsse aufs Schmierstoffgeschäft in der Schweiz? Der Schmierstoffmarkt in der Schweiz bleibt hart umkämpft. Die Auswirkungen der Elektrowende spüren wir bislang nur in geringem Masse. Viel deutlicher machen sich hingegen die veränderten Anforderungen der Garagisten bemerkbar. Die zunehmende Produktvielfalt führt dazu, dass kleinere Gebindeformate und die schnelle Verfügbarkeit von Schmierstoffen immer wichtiger werden. Dies stellt uns vor die Herausforderung, unsere Logistik und unser Sortiment noch flexibler und effizienter zu gestalten, um den Bedürfnissen unserer Kunden optimal gerecht zu werden.

Wieso soll ein Garagist Ihre Produkte verwenden?

Mit unserem breitgefächerten Sortiment und einer Auswahl an hochwertigen Marken bieten wir Garagisten eine beeindruckende Vielfalt. Dadurch können wir nahezu für jedes Fahrzeug – in 99 % der Fälle – das passende Schmiermittel bereitstellen und unseren Kunden eine optimale Lösung garantieren.

Welchen Stellenwert hat der Onlinehandel? Auch für uns gewinnt der Onlinehandel stetig an Bedeutung. Über unseren Webshop können unsere Kunden rund um die Uhr auf unser breitgefächertes Sortiment zugreifen. Wir arbeiten kontinuierlich daran, die Benutzerfreundlichkeit und Übersichtlichkeit unseres Shops zu verbessern, um unseren Kunden schneller das richtige Produkt zu zeigen.

www.derendinger.ch

Derendinger bietet eine breite Markenauswahl an hochwertigen Schmierstoffen, darunter auch Mobil und Castrol.

Florian Paukovics, Professional Category Manager für Schmierstoffe bei Derendinger.
«Wir sind bodenständig, schweizerisch und technisch anspruchsvoll»

Der Schweizer Schmierstoffhersteller Laemmle Chemicals bietet nicht nur hochwertige Schmierstoffe und Öle, sondern auch eine breite Palette an eigens entwickelten Zubehör- und Pflegeprodukten. Silvan Lämmle, Geschäftsführer von Laemmle Chemicals, im Interview. Interview/Bild: Isabelle Riederer

AUTO&Wirtschaft: Herr Lämmle, welche Bilanz ziehen Sie für das Schmierstoffgeschäft 2024?

Silvan Lämmle: Wir sind zufrieden mit dem vergangenen Jahr, da wir von der aktuellen Situation im Automobilmarkt durchaus profitieren konnten. Die Zulieferbranche im Bereich Personenfahrzeug hat profitiert vom Rückgang im Bereich Neuwagenverkauf. Dadurch, dass der aktuelle Fuhrpark länger gefahren wird, steigt die Nachfrage nach Schmierstoffen und Ersatzteilen.

Da gibt es aber auch eine Kehrseite der Medaille, oder?

Ja, denn auf der anderen Seite steht die Schweizer Fertigungsindustrie, die unter dieser Entwicklung leidet. Sie spüren den schwachen Absatz in der Autoindustrie. Es gibt zahlreiche Schweizer Unternehmen, die wichtige Automobilzulieferer sind, die jetzt in Konkurs gehen oder Personal entlassen müssen. Hinzu kommt ein Ausverkauf ins Ausland, weshalb ich mir durchaus Sorgen um die Schweizer Industrie für die kommenden Jahre mache.

Welche Herausforderungen kommen denn 2025 auf Sie zu?

Natürlich profitiert die Schmierstoffbranche von neu entwickelten Verbrennungsmotoren, aber das wird noch einige Zeit dauern. Im neuen Jahr kommt aber doch einiges auf uns zu. Einerseits versuchen wir mit unserer Firmengruppe mit Laemmle Chemicals, Amstutz Produkte und Fripoo Produkte, ein gutes Konstrukt für die Zukunft aufzustellen. Ziel ist es, dass wir unsere drei Firmen strategisch so ausrichten, dass wir für Garagisten und Kunden in Zukunft der noch spannendere Ansprechpartner sein werden, als wir ihn jetzt schon sind. Das heisst, wir werden 2025 sehr intensiv an unseren Strukturen arbeiten, damit das gesamte Konstrukt bis Ende 2025 auf festem Boden steht. Wir sind ein Schweizer Hersteller und das in allen drei Firmen. Die gesamte Wertschöpfung aller drei Bereiche liegt innerhalb der Firmen/der Gruppe, das ist vor allem für unsere Kunden und für Garagisten ein grosser Vorteil und macht uns zu einem sehr interessanten Partner, der wir aber auch heute bereits sind.

Gibt es im Bereich Zubehör und Pflegeprodukte Neuheiten oder Trends?

Einen Trend, denn wir feststellen, findet sich im Bereich Biozide – also Produkte, die primär Bakterien vernichten sollen. Da wird es künftig schwieriger werden, Produkte auf den Markt zu bringen, die den neuen Biozid-Richtlinien entsprechen. Für uns ist das eine grosse Herausforderung, da wir bestehende und langjährige Produkte umformulieren müssen.

Wieso soll ein Garagist mit Ihnen zusammenarbeiten?

Wir glauben, dass der Kunde mit einem Partner, der selber Produzent ist, auf längere Sicht besser aufgestellt und versorgt ist als mit einem Partner, der nicht auch ein Produzent ist. Hinzu kommt,

dass wir sehr breit gefächert und aufgestellt sind, sowohl innerhalb der Branche als auch innerhalb des Produktsortiments, wobei wir nicht überborden. Wir wollen unseren Kunden eine möglichst einfache Lösung bieten. Gerade dieser Sprung von der komplizierten Chemie auf die einfache Anwendung gelingt uns sehr gut. Deshalb sind wir für den Kunden eine gute Lösung mit einer idealen Grösse.

Stichwort Digitalisierung – wie digital ist Laemmle Chemicals aufgestellt? Es wird im neuen Jahr eine neue Webseite und einen neuen Webshop geben. Wir freuen uns sehr, dass wir dann mit einem neuen, frischen und modernen Online-Auftritt unsere Kunden, sowohl B2B als auch B2C, erfreuen können.

Roxor hat mit Livio Hiltbrand einen tollen, jungen Ambassador. Wie wichtig sind solche Gesichter für eine junge Marke? Livio ist noch jung und hat viel Potenzial, er ist ein toller Mensch und passt genau wie Motorradrennfahrer Dominique Aegerter, unser Ambassador von Polyston, perfekt zu Laemmle Chemicals. Beides sind Sportler, die technisch anspruchsvoll, bodenständig und schweizerisch sind – genau wie Laemmle Chemicals.

www.laemmle-chemicals.ch

Unser Credo –gemeinsam

erfolgreich

Der Markt für Schmierstoffanbieter befindet sich noch immer im Umbruch. Die Elektrifizierung und Digitalisierung erfordert stetige Anpassungen und Flexibilität. Die Herausforderungen erfolgreich gemeistert hat auch 2024 wieder die Petro-Lubricants AG. Text/Bild: Michael Lusk

Um als KMU in einer Branche mit deutlich grösseren Konkurrenzunternehmen bestehen zu können, muss man sich anderweitig als mit schierer Grösse abheben können. Das trifft auch auf die Schweizer Schmierstoffbranche zu. Sie ist seit langem einem reinen Verdrängungsmarkt unterworfen, der von Jahr zu Jahr maximal stagnierend ist. Petro-Lubricants ist seit ihrer Gründung im Jahr 2007 in der Schweiz aktiv und konnte sich in all den Jahren erfolgreich gegen die personell deutlich stärker aufgestellten Mitbewerber behaupten, wie Geschäftsführer Marco Spadaro erklärt: «Wir konnten auch letztes Jahr unser Volumen im Vergleich zur Vorjahresperiode ausbauen. Unter dem Strich war 2024 das zweitbeste Jahr der Firmengeschichte.» Die Grundlage dafür liegt laut Spadaro in der Philosophie des Unternehmens: «Wir suchen nicht das schnelle oder einmalige Geschäft. Wir suchen nachhaltige, langfristige Partnerschaften. So wie beispielsweise in der Logistik, wo wir schon seit Jahrzehnten mit Galliker Transport AG zusammenarbeiten. Oder so wie mit unseren Vertriebspartnern. Wir haben in den vergangenen Jahren viele erfolgreiche Partnerschaften schliessen können und bearbeiten gemeinsam den Schweizer Markt.» Garagisten können auch im neuen Jahr bei

den Schmierstoffen und chemisch-technischen Produkten hervorragende Margen erzielen. Spadaro dazu: «Ohne Schmierstoffe geht auch in Zukunft im Verbrennerbereich nichts. Der Preiskampf vor allem auf der Lieferkettenstufe Importeur – Handel – Werkstatt wird der Wichtigkeit der Produkte deshalb nicht mehr gerecht.» Schmierstoffe werden immer komplexer und müssen neben ihrer Kernaufgabe immer

mehr Freigaben erfüllen. Auch tragen sie dazu bei, dass moderne Autos Treibstoff einsparen. Die Anforderungen an die Produzenten haben sich im vergangenen Jahrzehnt ebenfalls massiv verändert. Themen wie Nachhaltigkeit, Umweltschutz, CO2-Emissionen und dergleichen stellen diese vor grosse Herausforderungen. Weil Petro-Lubricants das alleine nicht abdecken kann, hat man mit Rowe seit 2012 einen starken Partner an seiner Seite, erklärt Spadaro: «Rowe kann für alle Marken und neuen Modelle stets mit einer Herstellerfreigabe aufwarten. Sie bieten neben klassischen Ölen auch Scheibenreiniger, Bremsflüssigkeiten, Kühlschmierstoffe, Additive und vieles mehr an. Mit Rowe Sunlub und Sunspeed wurde im 2024 ein ganzes Sortiment an Schmierstoffen auf biosynthetischer Basis geschaffen.»

Umfassendes Dienstleistungspaket für Garagisten und Partner Neben einem umfassen Portfolio von mehr als 3000 Produkten bietet Petro-Lubricants seinen Partnern und Garagisten auch ein breites Dienstleistungspaket an und setzt seit jeher auf eine Mehrmarkenstrategie, um sowohl im Mittelpreissegment als auch im Premiumbereich präsent zu sein. Ein Schlüsselfaktor unter vielen ist dabei das Offenlieferungskonzept, das nach wie vor grossen Anklang findet. Weil der Trend bei den Neuwagen auf immer spezifischere Öle geht, ist jedoch ein umfangreiches Produktangebot mindestens ebenso wichtig. Abgerundet wird dieses durch das eigene PLM-Sortiment. «Unser Angebot an Dienstleistungen sucht seinesgleichen und wir haben uns auf die Fahne geschrieben, unsere Partner rund um das Thema zu unterstützen. Da wollen und müssen wir die Extrameile gehen und uns vom Marktbegleiter unterscheiden, dies ist uns auch im vergangenen Jahr erneut gelungen.»

www.petro-lubricants.ch

Rowe verfügt über ein umfangreiches Produktsortiment für den Garagisten.
Marco Spadaro feierte diesen Januar sein 25-Jahre-Jubiläum in der Schmierstoffbranche.

LKQ Rhiag: Fahrzeugchemie aus einer Hand

Liqui Moly bietet Schmierstoffe, Additive und Pflegeprodukte. Da ist guter Rat teuer. Genau den hat der Schmierstoffspezialist zusammen mit seinem Partner LKQ Rhiag in der Schweiz für Garagisten parat.

Vor ungefähr 100 Jahren war die Wahl des passenden Schmierstoffs einfacher. Da gab es Öl, das aus der Erde kam und noch etwas raffiniert beziehungsweise verbessert und gereinigt wurde. Damit wurde alles geschmiert, bis man gemerkt hat, dass der Zusatz von Additiven die Produkte verbessern kann. Inzwischen gibt es für fast jede Maschine, für jede Applikation angepasste Schmierstoffe. Heute ist ein Schmierstoff wie ein Bauteil einer Maschine. Wenn dieses Bauteil genau passt, hat man auch den besten Einsatz. Liqui Moly bietet mit dem Ölwegweiser im Internet und dem Servicetelefon für Technikfragen Hilfestellungen bei der Wahl beispielsweise des passenden Motorenöls. Vor Ort leisten diesen Service die Kundenberater der LKQ Rhiag Group GmbH. Seit vielen Jahren ist das Unternehmen mit Sitz in Baar (ZG) der exklusive Importeur von Liqui-Moly -Produkten. Neben Schmierstoffen erstreckt sich das Portfolio von A wie Additive bis Z wie Zinkspray – ob für die Pflege von Fahrzeugen, für Servicearbeiten oder spezielle Dienstleistungen wie den professionellen Getriebeöltausch inklusive Reinigung.

Das neue Liqui-MolyGebinde spart 90 Prozent Kunststoff gegenüber dem klassischen 20-Liter-Kanister.

Bag-in-Box: nachhaltig clever verpackt Schmierstoffe von Liqui Moly helfen, Treibstoff zu sparen, und leisten so einen Beitrag zur CO2-Reduzierung. Auch das Drumherum hat das Unternehmen mit dem Verpackungssystem Bag-in-Box nun umweltfreundlicher gestaltet. Der Clou: Verglichen mit herkömmlichen 20-Liter-Kunststoffkanistern fällt deutlich weniger Plastikabfall an, und auch die zusätzliche Variante passt in den Liqui-Moly-Ölschrank. Das Äussere der neuen Bag-in-Box-Verpackung besteht aus einer beschichteten Kartonage. In ihr befindet sich ein vollständig recycelbarer Kunststoffbeutel, für dessen Herstellung 90 Prozent weniger Plastik nötig ist als für einen klassischen 20-Liter-Kanister. Für Werkstätten sichtbar: ein deutlich geringeres Abfallvolumen in der Tonne oder im Container. Als es in der Entwicklungsphase um die Aufbewahrung in der Werkstatt ging, war eine wesentliche Bedingung,

dass Bag-in-Box in den Liqui-Moly-Ölschrank passt. «Schliesslich nutzen tausende Werkstätten auf der ganzen Welt dieses bewährte Ordnungs- und Platzierungssystem und sollen sich kein weiteres oder alternatives anschaffen müssen», sagt Liqui-Moly-Geschäftsführer Günter Hiermaier. Schon bevor Liqui Moly die ergänzende Verpackungsvariante befüllt, spielt sie ihre Nachhaltigkeitskarte aus. «Während beim Transport leerer Kunststoffkanister in unserer Ölproduktion viel Frachtraum verschenkt wird, beansprucht dieselbe Anzahl zusammengefalteter Bag-in-Box-Verpackungen einen Bruchteil des Platzes», so Günter Hiermaier. Auch mit Öl gefüllt punktet das neue Gebinde gegenüber dem reinen Kunststoffkanister, wenn es um den Platzbedarf auf einer Palette geht. (pd/mb)

www.rhiag.ch

www.ec24.ch

Liqui Moly bietet mit dem Ölwegweiser Hilfestellungen bei der Wahl des passenden Motorenöls.

Frischer Wind bei «TotalEnergies»

Seit Januar ist Mathieu Quirin Sales Manager bei «TotalEnergies» Marketing Suisse SA. Mit umfangreicher Erfahrung wird er gemeinsam mit seinem Team zur Weiterentwicklung des Unternehmens beitragen.

Ein zentraler Aspekt der Strategie von «TotalEnergies» ist die direkte Betreuung der Kunden und deren Zufriedenheit. Das Unternehmen legt grossen Wert auf den Aufbau und die Pflege persönlicher Beziehungen zu seinen Kunden. Regelmässige Besuche und eine persönliche Betreuung der Kunden ermöglichen es, auf die spezifischen Bedürfnisse in einer Branche mit einer ständig wachsenden Ölvielfalt einzugehen. Des Weiteren wird «TotalEnergies» bei seiner Entwicklung von langjährigen Vertriebspartnern begleitet.

Umfangreiche Produktpalette «TotalEnergies» bietet eine sehr breite Auswahl von Produkten an, die auf dem neuesten Stand der Technik sind, und kann die Garagisten nicht

nur bei ihrem Bedarf an Motorenölen, sondern unter anderem auch bei Kühlerfrostschutz, Bremsflüssigkeiten, Scheibenfrostschutz und Getriebeölen unterstützen. Alle diese Produkte werden in enger Zusammenarbeit mit den Herstellern entwickelt und entsprechen den neuesten Spezifikationen und Freigaben. Ein Beispiel ist die Entwicklung des Motorenöls «QUARTZ INEO RCP 5W-30» in Zusammenarbeit mit Stellantis, welches die Zulassung FPW9.55535/03 erhalten hat, um den Anforderungen der 1,5-Liter-Blue-HDI-Dieselmotoren (DV5R) und der 1,2-Liter-Benzinmotoren (EB2) gerecht zu werden.

Ausserdem hat «TotalEnergies» zu Beginn dieses Jahres das Motorenöl «QUARTZ INEO PRO 0W-30» auf den Markt gebracht. Mit seiner Freigabe FPW9.55535-DH1 entspricht es den Anforderungen der neuen 2,2-l-Dieselmotoren von leichten Nutzfahrzeugen aus dem Stellantis-Konzern.

«ClearNOx»: Mehr als nur ein Additiv Um den täglich zunehmenden Problemen mit Kristallisation in SCR-Systemen entgegenzuwirken, hat «TotalEnergies» eine einzigartige Lösung entwickelt: «ClearNOx». Mit seiner additivierten und geschützten Formulierung ist «ClearNOx» von «TotalEnergies» weit mehr als nur ein Ad Blue. Es verhindert die Kristallisation in SCR-Systemen. Diese gebrauchsfertige Lösung verfügt zudem über eine APIZertifizierung.

«ELF» – A Brand of Passion «ELF», eine weitere Traditionsmarkte von «TotalEnergies», bietet ebenfalls eine Vielzahl an hochwertigen Schmierstoffen und Motorenölen an. «ELF»-Produkte sind für ihre hohe Zuverlässigkeit bekannt und werden sowohl für Zweiräder als auch für Oldtimer, Rennwagen und klassische Fahrzeuge verwendet. Die Marke «ELF» steht für Leidenschaft und Exzellenz und hat sich einen festen Platz auf dem Markt erobert. (pd/mb)

www.totalenergies.ch

«TotalEnergies» bietet eine breite Produktpalette an Schmierstoffen an, die auf dem neusten Stand der Technik sind.

Mathieu Quirin bringt frischen Wind in das Unternehmen und setzt auf eine enge Zusammenarbeit mit den Kunden.
«Ich bin überzeugt, dass es einen
Neuwagen-Nachholeffekt geben wird»

Weniger Elektroautos und strengere CO2-Zielwerte: 2025 stellt die Schweizer Autoimporteure vor grosse Herausforderungen. Auto-Schweiz-Direktor Thomas Rücker ist trotzdem zuversichtlich. Interview: Mario Borri

AUTO&Wirtschaft: Im vergangenen Jahr wurden in der Schweiz knapp 240’000 Personenwagen neu zugelassen. Das sind fünf Prozent weniger als 2023 – was ist der Hauptgrund für den Rückgang?

Thomas Rücker: Zum einen hat sicherlich die konjunkturelle Eintrübung zu diesem Rückgang geführt. Besonders die private Kundschaft ist derzeit recht zurückhaltend mit grösseren Anschaffungen wie einem Autokauf. Die unsichere Weltlage mit zahlreichen Krisenherden befeuert die Verunsicherung zusätzlich. Zum anderen haben auch falsche politische Signale in Bezug auf den weiteren Markthochlauf der Elektromobilität negative Einflüsse auf die Nachfrage nach Neufahrzeugen gehabt. So war die Ausweitung der Automobilsteuer auf Elektroautos per Anfang 2024 durch den Bundesrat ein massiver Dämpfer, weil einige Importeure diese Kosten an die Kundschaft weitergeben mussten.

Vor Corona waren 300’000 Neuimmatrikulationen die Regel, heute sind 250’000 wie 2023 das Maximum – werden die Verhältnisse von vor der Pandemie überhaupt wieder erreicht?

Ja, davon bin ich fest überzeugt. Der Nachholbedarf bei der Fahrzeugbeschaffung ist heute schon enorm und wächst weiter. Das Durchschnittsalter der Schweizer Personenwagenflotte liegt mittlerweile bei 10,5 Jahren – zum Nachteil für die Umwelt und die

Verkehrssicherheit. Bei wirtschaftlicher Erholung und einer sicheren geopolitischen Lage wird auch die Nachfrage wieder zulegen. Ebenso wird die Elektromobilität durch grösseres Modellangebot weiterwachsen. Damit werden die Kaufpreise für E-Fahrzeuge immer konkurrenzfähiger mit vergleichbaren Modellen, die herkömmlich angetrieben sind – bei Betriebs- und Wartungskosten sind Elektroautos vorteilhafter.

Nicht nur der Gesamtmarkt war 2024 rückläufig, es wurden auch weniger Steckerfahrzeuge – Plug-in Hybride (PHEV) und rein elektrische (BEV) – neu zugelassen – warum?

Unsere Kundschaft ist beim Thema Elektromobilität weiterhin sehr verunsichert. Die Politik sendet zwiespältige Signale: Einerseits mit strengen CO2-Vorgaben für Neufahrzeuge und dem Netto-Null-Ziel 2050 am Horizont, andererseits mit einer stärkeren Kostenbelastung durch die erwähnte Ausweitung der Automobilsteuer auf Elektrofahrzeugen oder eine zukünftige Elektroautoabgabe. Auch die Preispolitik im staatlich dominierten Strommarkt ist alles andere als ein Treiber der E-Mobilität. Hinzu kommen noch negative Berichterstattungen, die das Vertrauen nicht verstärken. Damit wird grosser Schaden angerichtet in der laufenden Transformationsphase zu emissionsfreien Antrieben.

Dabei wären diese Fahrzeuge 2025 besonders wichtig, um die Strafzahlungen der nochmals strengeren CO2-Zielwerte zu umgehen. Mit welchen Beträgen rechnen Sie für das neue Jahr?

Wir haben interne Berechnungen angestellt und kommen in einem Worst-Case-Szenario allein für 2025 auf bis zu 500 Millionen Franken an CO2-Sanktionen, wenn der Anteil Steckerfahrzeuge nicht ausgebaut werden kann. Ein dreistelliger Millionenbetrag wird sich kaum vermeiden lassen – so wie 2020, als die letzte Zielwertabsenkung zu 132,5 Millionen Franken an Bussen allein für Personenwagenimporteure geführt hat. Bei leichten Nutzfahrzeugen waren es damals 15,7 Millionen. Dieser Markt stellt eine besondere Herausforderung dar, denn viele Unternehmen sind noch nicht bereit, auf E-Lieferwagen umzusteigen. Dies, weil oft die Rahmenbedingungen oder der Einsatzzweck nicht dazu passen.

Was können Garagistinnen und Garagisten tun, damit ihre Kunden auf PHEV und BEV umsteigen?

Eine Bedarfs- und Situationsanalyse der Kundschaft – wie oft und weit wird gefahren, was wird transportiert, kann zu Hause oder am Arbeitsort geladen werden etc. – ist ja heute üblicher Branchenstandard. Darüber hinaus sind viele Autofahrerinnen und -fahrer oft positiv vom Fahrgefühl eines E-Autos überrascht, von der Ruhe und dem hohen Drehmoment, aber auch von der einfachen Bedienung ohne Handschaltung. Daher macht es sicherlich Sinn, entsprechende Modelle zur Probefahrt anzubieten, etwa als Ersatzfahrzeug oder

Der Nachholbedarf bei der Fahrzeugbeschaffung ist heute schon enorm und wächst weiter.

einfach für einen Testtag. Wichtig ist aber eine Begleitung dieses Prozesses, damit Berührungshürden abgebaut werden können. Das wirkt oft wahre Wunder, entsprechende Erlebnisse höre ich auch im privaten Umfeld oft.

Wie lauten Ihre Prognosen für den Gesamtmarkt 2025? Wie hoch wird der PHEV-/BEV-Anteil sein?

Unsere Mitglieder sehen einen gleichbleibenden Markt für neue Personenwagen bei rund 240’000 Immatrikulationen. Rund ein Viertel davon sollen Elektroautos sein, hinzu kommen 11 Prozent Plug-in-Hybride. Bei den leichten Nutzfahrzeugen ist mit einem stärkeren Jahr 2025 zu rechnen. Nach gut 30’500 neuen Lieferwagen und leichten Sattelschleppern 2024 sehen unsere Mitglieder hier ein Wachstum von rund fünf Prozent auf 32’000 Zulassungen. Hier sehen die entsprechenden Importeure einen Elektro-Marktanteil von 14 Prozent, hinzu kommt ein stark wachsendes Angebot an Plug-in-Hybrid-Lieferwagen; diese sollen 2025 von fast null auf knapp 8 Prozent des Marktes kommen.

www.auto.swiss

Das gesamte Interview finden Sie auf www.auto-wirtschaft.ch

Innerhalb von 15 Minuten erhalten Sie die Schadenfreigabe, und die Zahlung des S chadens erfolgt innerhalb von 10 Tagen. Unkompliziert, s chnell und ku ndennah.

Thomas Rücker ist seit Mitte 2024 Direktor von Auto-Schweiz, der Vereinigung Schweizer Automobil-Importeure.

Professor Dudenhöffer:

«Ohne China ist das Auto nicht mehr vorstellbar»

2024 war kein gutes Jahr für die europäische Automobilindustrie.

Wie geht es 2025 weiter? Professor Ferdinand Dudenhöffer, Direktor CAR –Center Automotive Research, gibt Auskunft. Interview: Isabelle Riederer

An

Chinas Autoflut ist kein Vorbeikommen.

«Für die Geschichte des Autos ist das chinesische Zeitalter angebrochen», sagt Dudenhöffer.

AUTO&Wirtschaft: Herr Professor Dudenhöffer, wie beurteilen Sie das Autojahr 2024?

Professor Ferdinand Dudenhöffer: Im vergangenen Jahr wurde deutlich, dass in der Zukunft das Auto in China gebaut wird. Nach meinen Daten sind letztes Jahr erstmalig in der Welt in einem Land 30 Millionen Fahrzeuge gebaut worden, und das ist in China. China dominiert das Autogeschäft und ohne China ist das Auto nicht mehr vorstellbar. China hat eine Skalierung, die unschlagbar ist. Gleichzeitig hat man gesehen, dass sich die deutschen Autohersteller in China schwertun. Zusammengefasst kann man sagen, dass das letzte Jahr gezeigt hat, dass für die Geschichte des Autos das chinesische Jahrzehnt angebrochen ist.

Wie geht es denn mit den anderen Autoindustrienationen weiter, bedenkt man die Krisen von VW und Mercedes-Benz in Deutschland?

In Europa ist Stellantis zwar stark, aber Europa ist ein schwacher Kontinent und Deutschland ist noch schwächer. In Europa weiss man schlichtweg nicht, wie es mit der Autoindustrie weitergehen soll, deshalb werden in Brüssel auch neue Industriegespräche geführt. Man sieht, dass die industrielle Basis in Europa wegbricht. Das trifft grundsätzlich alle europäischen Fahrzeughersteller. Mit Donald Trump in den USA wird die amerikanische Automobilindustrie geschützt und es wird mehr und stärker in Amerika produziert werden. Zu guter Letzt landen wir wieder bei

Professor Ferdinand Dudenhöffer, Direktor des Car Institute.
Den Rückgang bei den E-Auto-Verkäufen sieht Dudenhöffer ganz klar im Versagen der Politik.

China, dem grössten Markt der Welt, und daran geht nichts vorbei. Die chinesischen Automarken werden morgen und übermorgen die Sieger sein.

Haben Volkswagen und Co. noch eine Chance, sich wieder aufzurappeln?

Volkswagen hat ein grosses Problem in Deutschland. Das hängt damit zusammen, dass VW eine halbstaatliche Marke ist, das Land Niedersachsen hat Aktien mit einen Stimmrechtsanteil von 20 Prozent, was zu hohen Kosten führt. Thomas Schäfer, CEO von Volkswagen, versucht dieses Problem mit den neuen Tarifverhandlungen zu lösen. Das ist zwar gut für VW, man muss aber auch schauen, ob das bis 2030 umgesetzt werden kann. Der Volkswagen-Konzern besteht aus mehreren Marken, die zwar gute Produkte bauen, das sieht man an Skoda, dennoch hat man bei den anderen Marken ein Kostenproblem. Schwierig ist es bei Audi, die laufen ziel- und strategielos durch die Gegend, weil alle paar Jahre der Entwicklungsvorstand ausgetauscht wird. Da bleibt nur noch das grosse Chinageschäft von VW mit Ralf Brandstätter. Er macht vieles richtig mit grossen Investitionen im Entwicklungsbereich in China, wie sich das aber entwickeln wird, wird man sehen.

Der europäische Neuwagenverkauf von E-Fahrzeugen hinkt aktuell ziemlich hinterher. Werden die neuen, günstigen E-Autos aus China der Elektromobilität den ersehnten Schub geben können?

Der Schub kommt aus zwei Richtungen. Einerseits kommt er von den Hybrid-Modellen, die stark zugenommen haben. Über die HybridModelle wird die Elektromobilität in Europa

Stück für Stück dazugewinnen, aber noch lange nicht so schnell wie in China. Ein wesentliches Element wird der Plug-in-Hybrid-Antrieb sein, der sich sehr stark nach vorne bewegen wird, stärker als der BEV-Antrieb. Mit ein Grund sind die neuen CO2-Vorgaben der EU, die umgesetzt werden müssen, sofern die EU dies 2025 nicht wieder ändern wird.

Zahlreiche Hersteller krebsen zurück und investieren wieder in neue VerbrennerTechnologien. Macht das Sinn oder ist das einfach eine Panikreaktion, weil sich die BEV-Modelle nicht gut verkaufen?

Die Frage ist doch, warum werden E-Autos nicht verkauft?

Und warum werden sie nicht gekauft?

Weil unsere Politiker durch den Wegfall der Prämie das E-Auto in Frage gestellt und es kurzerhand auf die Standspur gestellt haben. Und nun erzählen sie plötzlich, dass der Verbrenner doch gut ist und dass es ja synthetischen Treibstoff geben wird. Es ist ein politisches Wirrwarr, das wir in Europa haben, das unter anderem dazu führt, dass preisgünstige E-Autos aus China mit Strafzöllen belegt werden und das eigentlich befürwortete Verbrennerverbot eigenständig wieder aushebelt. Kurzum: Die Politik hat den ursprünglichen und gewollten Weg in die Elektromobilität mit ihrem Handeln zerstört. Deswegen setzen auch die Autobauer wieder auf Verbrenner.

Sind denn E-Fuels oder auch Wasserstoff keine zukunftsfähige Lösung?

Kein Mensch weiss, was E-Fuels kosten werden und wo und wie sie produziert werden. Kein Mensch weiss, wo die Investitionen herkommen.

Wie geht es für die Automobilzulieferer weiter? Bosch, ZF, Hella, Conti – alle müssen Stellen abbauen. Wie geht es da weiter?

Es ist ein Dominoeffekt, wenn die Autobauer weniger herstellen, dann auch die Zulieferer. Dieser Dominoeffekt führt zu einer Deindustrialisierung von Europa. Natürlich ist das traurig, aber das ist das von uns gewählte, politische System. Deutschland ist vergammelt und nicht mehr wettbewerbsfähig und damit sind auch die Autohersteller und Zulieferer nicht mehr wettbewerbsfähig, ausser sie gehen nach China oder Amerika.

www.car-institute.com

Der VW-Konzern steckt in der Krise. Dudenhöffer: «Sie bauen zwar gute Produkte, aber sie haben ein Kostenproblem.»

Thommen-Furler, für einen sorgenlosen, aber nicht sorglosen Umgang mit Sonderabfällen.

Thommen-Furler: Zuverlässiger Partner für sorgenfreie Entsorgung

Die Thommen-Furler AG bietet mit ihrem Unternehmenskonzept «ChemCare – Versorgen, Unterstützen, Rezyklieren, alles aus einer Hand» umfassende Umweltdienstleistungen.

Neben der Entsorgung und dem Recycling von Sonder- und Industrieabfällen stellt Thommen-Furler seinen Kunden auch die geeigneten Verpackungen für die Lagerung und den Transport der Sonderabfälle zur Verfügung, erstellt die entsprechenden Begleitscheine und Etiketten und holt die Abfälle mit seiner eigenen Logistik ab. Es sind nicht weniger als 50 Lastwagen, die in der Schweiz und in Liechtenstein unterwegs sind.

110’000 Tonnen Abfall pro Jahr, 2200 Fässer pro Tag

Die Thommen-Furler-Gruppe hat acht Betriebsstätten in der Schweiz; fünf davon sind spezialisiert auf die Entsorgung und das Recycling von Sonderabfällen. Das Unternehmen nimmt jährlich mehr als 110’000 Tonnen Abfall entgegen, was 2200 Fässern pro Arbeitstag entspricht. Sämtliche Abfälle aus der Automobilbranche werden von ThommenFurler übernommen und nach Rüti b. Büren (BE) überführt.

Sonderabfälle werden recycelt oder entsorgt

Dazu gehören beispielsweise die wichtigsten Arten von Sonder- und kontrollpflichtigen Abfällen wie Blei-Starter- und Traktionsbatterien, Li-Ion-Hochvoltbatterien, gebrauchte Öle und Lösungsmittel, Ölfilter, Altreifen, Windschutzscheiben, Alteisen, Abfälle aus der Werkstatt usw. Die Abfälle werden gesammelt, und anschliessend – nach genauer Eingangskontrolle – in den Aufbereitungsanlagen der Thommen-FurlerGruppe bzw. ihrer Partner recycelt oder entsorgt. (pd/mb)

Individuelle Berufskleidung im Partner-Shop der ESA

Berufs- und Schutzausrüstung sind für die Mitarbeitenden in den Garagen und Carrosserien ein wichtiger Faktor, um sicher der täglichen Arbeit nachzugehen. Die ESA bietet dank dem Partner-Shop von Lyreco entsprechende Produkte.

Lyreco bietet etwa Schutzbrillen mit Sehkorrektur oder Gehörschutz ab Ohrabdruck sowie einen Fuss-Scanner für die passenden Sicherheitsschuhe. «Der Bereich PSA ist für uns ein zentraler Baustein», sagt Dario Fava, Sales Manager PPE bei Lyreco. «Wir bieten eine breite Auswahl an Schutzkleidung oder auch individueller Ausrüstung und helfen damit, die Sicherheit am Arbeitsplatz zu fördern.»

Rasch das passende Produkte bestellen Lyreco ist für Arbeitskleidung oder Workwear der optimale PartnerShop der ESA: «Mit dem einfachen Absprung aus dem ESA-Shop können Mitinhaber und Kunden rasch das passende Produkt bestellen oder eine Beratung anfragen», meint Lara Zaugg, Marketing Managerin Partner-Shops bei der ESA.

Auch AGVS Safety Bag erhältlich

Im Sortiment der ESA finden Kundinnen und Kunden Handschuhe für alle Einsatzzwecke – ob zum Lackieren oder für die Arbeit im Motorraum – oder eine Auswahl an Sicherheitsschuhen. Zum Start der Berufslehre bietet die ESA in Zusammenarbeit mit dem AGVS zudem den sogenannten Safety Bag an – die erste Ausrüstung für die Lernenden mit allen notwendigen Bestandteilen, um sicher ins Arbeitsleben zu starten. Die Partnershops stehen ESA-Mitinhabern und Kunden exklusiv zur Verfügung, bieten eine breite Produktpalette an und runden das Sortiment der ESA ab. (pd/mb)

www.esa.ch

www.thommen-furler.ch

Der A&W Verlag bietet eine Vielfalt an hochwertiger Arbeitskleidung und Merchandising-Artikeln.

Arbeitskleidung mit Wow-Faktor

Innovative Drucktechnologien und neue Materialien machen es möglich, Kleidungsstücke und Gegenstände ganz einfach mit dem gewünschten Logo, Sujet oder Bild zu versehen. Der A&W Verlag bietet ein breites Sortiment an Arbeitskleidung und Merchandising-Artikeln.

Einer der besten und effektivsten Wege, um aus der Masse herauszustechen, ist, die eigene Marke, das eigene Logo oder den Firmen-Claim gekonnt in Szene zu setzen – ob auf Poloshirts und Hemden der Mitarbeitenden oder auf praktischen Give-aways für Kunden. Neuste Drucktechnologien ermöglichen eine grenzenlose Gestaltungsvielfalt. Besonders praktisch ist die innovative Sublimatic-Technologie. Mit ihr lassen sich alle möglichen Kleidungsstücke von der Mütze bis zu den Socken nach Lust und Laune bedrucken.

Einfache Anwendung, grosse Wirkung Wer lieber gestickte Logos, Symbole oder Embleme bevorzugt, findet beim A&W Verlag ebenfalls eine attraktive und günstige Möglichkeit, Kleidungsstücke hochwertig zu veredeln.

Die gestickten Embleme lassen sich ganz einfach auf das gewünschte Kleidungsstück aufbügeln. Eine praktische Alternative zu den gestickten Emblemen sind die Transfer-Sticker. Sie bestehen aus einer hauchdünnen Folie, die mit dem gewünschten Emblem oder Logo bedruckt ist. Die Transfer-Sticker sind äusserst flexibel und waschmaschinenfest.

Arbeitskleidung, die sichtbar besser ist Nebst den zahlreichen Gestaltungsmöglichkeiten bietet der A&W Verlag auch gleich die passenden Kleidungsstücke dazu – von Jacken über Hemden und Shirts bis hin zu Sicherheitsbekleidung. Insbesondere Sicherheitswesten oder Shirts mit Reflektorstreifen sind nicht nur praktisch, sondern in vielen Teilen Europas bereits Pflicht – und auch hierzulande

kommen sie immer häufiger zum Einsatz, vor allem im Strassenverkehr. In vielen Garagen und Werkstätten gehören Sicherheits- und Warnwesten teilweise zur Standardausrüstung. Mit den neusten Drucktechnologien des A&W Verlags können auch Sicherheitswesten und Shirts mit Reflektorstreifen zum Hingucker werden. Ob Tassen, Notizbücher, Glasflaschen Kugelschreiber oder Regenschirme, im neuen Promotion-Onlineshop des A&W Verlags gibt es alles, was das Kunden- und Unternehmerherz erfreut. Auf https://aw.promotional-shop.com/de finden sich unzählige Produkte von Stoffbeuteln über Hunde-Spielzeuge bis hin zu Strohhüten, die sich allesamt mit dem bevorzugten Logo oder Firmennamen bedrucken lassen – ideal für Mitarbeiter und als Kundengeschenke. Zu den aktuellen Neuheiten zählen praktische LED-Tischlampen für drinnen und draussen. Neu im Sortiment gibt es zahlreiche praktische und aus Kork bestehende Büroartikel wie Schreibhefte, Notizblöcke und Kugelschreiber – ob für den eigenen Schreibtisch oder als Kundengeschenk, jeder Artikel lässt sich individuell gestalten und bedrucken. (ir)

https://aw.promotional-shop.com/de

Hochwertige Berufsbekleidung mit Anziehungskraft

Berufsbekleidung muss praktisch und bequem sein, sie darf aber auch schick und modern sein. Derendinger bieten ein umfangreiches Sortiment an hochwertiger Berufsbekleidung, darunter auch der Marke Planam.

Mit der Erfahrung von über 25 Jahren hat sich das mittelständische, inhabergeführte Unternehmen Planam als führender Anbieter für Berufs- und Arbeitsschutzbekleidung am Markt etabliert. Und das hat gute Gründe: Hochwertige Qualität und innovative Produkte garantieren ein Optimum an Sicherheit und Tragekomfort. Der modische Chic sorgt für gutes Aussehen und hinterlässt einen guten Eindruck am Arbeitsplatz.

Qualität und Sicherheit grenzüberschreitend Qualität ist für Planam keine leere Floskel, sondern Massstab für ihre Produkte – von der ersten Idee über die Fertigung der Musterteile bis zum fertigen Sortiment. Dabei steht das Prinzip «Neues entwickeln, Bestehendes verbessern» im Mittelpunkt des Handelns. Die intensiven Qualitätskontrollen und Tests machen die Produktion transparent. Materialien, Farben und Qualität werden ständig von neutralen Labors überprüft. Wer auf dem Bau oder in der Werkstatt nicht nur ideal ausgestattet sein, sondern auch gut aussehen will, liegt mit Arbeitskleidung der Norit-Serie richtig. Die Allround-Talente begeistern mit Funktionalität und der perfekten Mischung aus leicht, elastisch und robust. So fühlt sich Arbeit gut an. Mit der Highline-Kollektion beweist Planam, dass schickes Design und Funktionalität Hand in Hand gehen. Das Design begeistert durch Modernität und Frische. Die Qualität überzeugt mit den bewährten Attributen, die Planam zu einem der führenden Anbieter gemacht haben: Einsatz hochwertiger Gewebemischungen, perfekte Verarbeitung bis ins Detail und zahlreiche, praktische Ausstattungsmerkmale. (pd/ir)

www.derendinger.ch

Mewa: Berufskleidung für das Autogewerbe

Die richtige Kleidung spielt in der Garage eine wichtige Rolle, nicht nur, weil die Mitarbeitenden schnell mal schmutzig werden, sondern auch aus Gründen der Arbeitssicherheit.

Doch welche Berufskleidung tragen Mitarbeiterinnen und Mitarbeiter in der Werkstatt und welchen Beanspruchungen muss diese standhalten?

Wer wäscht die schmutzige Kleidung und wer repariert die kaputte Hose oder Jacke? Der Textildienstleister Mewa gibt mit seinem umfassenden Rundum-Service für Berufskleidung die passende Antwort.

Funktionale Berufskleidung

Wer als Mechaniker oder Carrossier Tag für Tag Autos repariert und unter Zeitdruck Wartungsarbeiten durchführt, ist vor allem körperlich aktiv und braucht dafür Kleidung, die strapazierfähig und schmutzabweisend ist. Berufs- und Funktionsbekleidung muss daher viele Anforderungen erfüllen. Mewa hat die passenden Kollektionen für die unterschiedlichsten Einsatzbereiche. Gefertigt aus leichten, flexiblen Geweben bieten diese nebst Tragekomfort auch Schutz, Funktionalität und viel Bewegungsfreiheit – egal, ob für Tätigkeiten im Sitzen, Stehen, Knien oder in der Hocke. Und natürlich soll das Outfit auch lässig aussehen, trendig im Schnitt und cool im Design.

Service bis ins Detail Leistungen und Extras, die der Textildienstleister Mewa mit seinem Rundum-Service anbietet: Berufskleidung, die immer griffbereit ist, ohne dass sich der Träger um Waschen, Ausbessern oder Nachkaufen kümmern muss. Zeitersparnis, logistische Entlastung und Kostentransparenz. Und das bei gleichbleibend hohen Qualitätsstandards. (pd/mb)

www.mewa.ch

Mewa-Arbeitskleider sind für das Garagengewerbe massgeschneidert.

Die Berufsbekleidung von Planam vereint Funktionalität mit Qualität und Design.

Einen Schritt voraus

mit den Trainings der Hostettler Autotechnik AG

In einer Branche, die sich stetig weiterentwickelt, ist Weiterbildung wichtiger denn je. Die Hostettler Autotechnik AG unterstützt Garagisten mit einem breiten und praxisnahen Trainingsangebot dabei, ihr Wissen zu erweitern, Wissenslücken zu schliessen und sich optimal auf die Anforderungen der Zukunft vorzubereiten.

In enger Zusammenarbeit mit ausgewiesenen Fachleuten entwickelt die Hostettler Autotechnik AG jährlich ein vielfältiges Trainingsprogramm, das die neuesten technischen Entwicklungen der Fahrzeug- und Teileindustrie aufgreift. Es kombiniert brandneue Inhalte mit bewährtem Know-how und richtet sich gezielt an die Bedürfnisse der Werkstattpraxis.

Neu im Trainingsprogramm 2025

Digitaler Ölwechsel: Mit KI den Arbeitsalltag im Griff Garagisten erfahren, wie sie moderne KI-Tools effektiv im Arbeitsalltag einsetzen können, um Prozesse zu optimieren und ihren Garagenbetrieb auf die nächste Stufe zu bringen.

Trainingsinhalte:

• Einführung in die Welt der KI-Tools und ihre Anwendungsmöglichkeiten

• Praktische Einsatzbeispiele zur Vereinfachung von Verkäufer- und Kundendienstaufgaben

• Prozessoptimierung durch KI im Garagenalltag

• Integration von KI in den Verkaufsprozess und die Kundenbetreuung

Tesla in der freien Werkstatt: Spezialisierungskurs

Tesla hat kein klassisches Händlernetz. In diesem Kurs lernen Garagisten, wie sie die Technikplattform von Tesla nutzen und sich für die Arbeit mit dieser Marke fit machen.

Trainingsinhalte:

• Zugang zur Tesla-Technikplattform: Registrierung und Nutzung der kostenpflichtigen Funktionen

• Verständnis und Anwendung der hinterlegten Dokumentationen

• Bedienung und Einsatz von Diagnosefunktionen und spezifischen Kabeln

• Überblick über den technischen Aufbau der Tesla-Modelle und deren Wartungspläne

Umsatzsteigerung durch Lackaufbereitung

Garagisten erweitern ihr Angebot durch ProfiLackaufbereitung, steigern die Kundenzufriedenheit und erhöhen ihren Umsatz.

Trainingsinhalte:

• Grundlagen: Polierprozesse, Polituren, Wachse und Poliermaschinen

• Praktische Übungen: Kratzer entfernen, Hologramme beseitigen, Lack versiegeln

• Umsatzpotenziale: Kundenbedürfnisse wecken, Marktpreise kalkulieren, Marketingstrategien

Eine persönliche Beratung zum Trainingsangebot der Hostettler Autotechnik AG gibt es telefonisch unter 041 926 62 36 oder per E-Mail an schulung@autotechnik.ch. Auf der digitalen Schulungsplattform können die Wunschthemen einfach und schnell gebucht werden. (pd/ml)

www.autotechnik.ch/training

Florian Amrein, Customer Support Hostettler Autotechik AG, unterstützt Sie gerne.
Die Hostettler Autotechnik AG schult Garagisten

Mit Bosch-Trainings neue Technologien beherrschen

Ganz egal, wie gut und erfahren Autofachleute sind –es gibt immer Situationen, in denen sie mit neuen Systemen aus der Technologie oder unbekannten Fehlern in Berührung kommen.

Die Fehlersuche und Problemlösung kann sich dabei als besonders zeitintensiv erweisen oder möglicherweise zu keinem Erfolg führen. Der Kunde muss dann im schlimmsten Fall deutlich länger als erwartet auf sein Fahrzeug verzichten. Genau an diesem Punkt setzt Bosch mit seinem Angebot im Bereich Service-Training an: Servicequalität verbessern und Prozesse beschleunigen. Das aktuelle Trainingsangebot von Bosch unterstützt dabei, Probleme schneller zu lokalisieren, mehr Fahrzeuge im selben Zeitraum zu reparieren und die Wartezeiten der Kunden zu verringern. So sorgen die methodischen Verfahren, die bei Bosch erlernt werden, für ein schnelleres und produktiveres Arbeiten. Egal, ob Anfänger oder Profi – Bosch bietet für jede Zielgruppe passende Trainings.

Innovativ und praktisch: Webcasting Zusätzlich zu den bestehenden Präsenztrainings hat Bosch LiveWebcast-Trainings in das Programm aufgenommen. Die Trainer stehen dabei mit umfangreichem theoretischem Wissen im virtuellen Klassenzimmer oder mit praktischen Beispielen zur Verfügung. Die Teilnehmer erhalten hier wie gewohnt viele Informationen zu Fahrzeugsystemen und den entsprechenden Bosch-Produkten. Natürlich besteht auch die Möglichkeit, Fragen zu stellen, welche direkt im Live-Webcast beantwortet werden. Diese neuen Live-Webcasts dauern je nach Training zwischen 60 und 120 Minuten, und die Kosten sind pro Teilnehmer meist niedriger als bei einem vergleichbaren Präsenztraining. (pd/ml)

www.bosch.ch

Gut geschult mit der Derendinger Academy

Die Derendinger Academy bietet für alle technischen Bedürfnisse der Garagisten Kurse, die auf aktuelle und zukünftige Herausforderungen zugeschnitten sind. Asrit Reci, Head of Category Diagnostic & Academy, im Interview.

AUTO&Wirtschaft; Herr Reci, welche Kurse bietet die Derendinger Academy aktuell an?

Asrit Reci: Das Kursprogramm von uns umfasst mehr als 100 Weiterbildungen. Diese decken ein breites Themenspektrum ab, darunter Elektromobilität, Fahrerassistenzsysteme (ADAS), Abgasnachbehandlung und neu Kältemittel-Fachbewilligung. Mit eigenen Ausbildungsstätten in Etagnières, Barbengo und Hunzenschwil decken wir zudem alle Sprachregionen der Schweiz ab. Zusätzlich sind alle Schulungseinrichtungen für Hochvolt-Kurse zertifiziert.

An wen richtet sich Ihr Kursangebot?

Die Kurse richten sich in erster Linie an Fachleute aus der Automobilbranche, insbesondere an Werkstattmitarbeiter, Diagnosespezialisten und Werkstattleiter, die ihr Wissen erweitern oder auf den neuesten Stand bringen möchten.

Welches sind im Moment die begehrtesten Kurse?

Besonders hoch im Kurs stehen die Schulungen zur Hochvolt-Sicherheit, Hochvolt-Technik und die Ausbildung zum Hochvolt-Experten. Auch die Weiterbildungen zur ADAS-Kalibrierung und zur Abgasnachbehandlung sind stark nachgefragt.

Gibt es einen komplett neuen Kurs?

Neu bieten wir eine Schulung an, die in Zusammenarbeit mit Glavista und Hella Gutmann Swiss AG konzipiert wurde. Diese Schulung beschäftigt sich mit der Thematik der Frontscheibe und der Kalibrierung von Kameras.

Was machen die Kurse von Derendinger AG so besonders?

Wir legen sehr grossen Wert auf viel Praxis und Aktualität. Wir versuchen, neuste Entwicklungen und Technologien in bestehende Kurse einzubinden, um so stets topaktuell zu sein. Natürlich gehört auch ein Theorieteil dazu, aber die Praxis nimmt bei uns eine sehr wichtige Rolle ein. Wir beziehen uns auf die alltäglichen Herausforderungen in den Werkstätten und Garagenbetrieben unserer Kunden. (ir)

www.derendinger.ch

Das breite Angebot der Derendinger Academy umfasst mehr als 100 Kurse.
Mit Trainings von Bosch bleiben Garagisten und Händler stets auf dem neuesten Stand, was im Werkstattalltag immer wichtiger wird.

Kompetenz an der Front: Verkaufsberatung

Wer mit seiner Passion für Fahrzeuge und einer gewinnenden Persönlichkeit zum Erfolg eines Autohauses beitragen will, für den/die ist die Weiterbildung zum/zur Automobil-Verkaufsberater/-in an der STFW in Winterthur genau das Richtige.

Als Automobil-Verkaufsberater/-in ist man eine umfassend wissende und flexible Ansprechperson für eine immer anspruchsvoller werdende Kundschaft. Durch das freundliche, kompetente Auftreten wird Vertrauen geschaffen, und durch die professionelle Beratung gewinnt man zufriedene Kunden. Dank dem Fachwissen und den neuesten Produktkenntnissen der jeweiligen Marke kommuniziert der/die Automobil-Verkaufsberater/-in sicher und überzeugt kompetent. Ein ausgeprägter Teamgeist rundet das Profil für diese spannende Tätigkeit ab.

Was beinhaltet die Weiterbildung?

Die Absolventen erwerben das Know-how für eine erfolgreiche Kundenakquisition sowie für die Kundengewinnung und anschliessende Kundenbetreuung. Umfangreiche Marketingkenntnisse helfen, Ausstellungen und Events zu organisieren oder ein neues Produkt zu

Automobil-Verkaufsberater/-innen sind umfassend wissende, flexible Ansprechpersonen für immer anspruchsvoller werdende Kunden.

lancieren. Dank dem erworbenen Fachwissen in rechtlichen wie versicherungstechnischen Fragen kann der/die Automobil-Verkaufsberater/-in auch in solchen Fragen optimal beraten. Nebst theoretischen Fächern wie Verkaufspsychologie, Administration und Verkaufsmethodik werden die Kernaufgaben an praktischen Beispielen und anhand effektiver Beratungsgespräche umgesetzt. (pd/mb)

Details zu Weiterbildung

Wo: Schweizerische Technische Fachschule Winterthur (STFW), Schlosstalstrasse 95 - 139. 8408 Winterthur

Was: Automobil-Verkaufsberater/-in eidg. FA

Wann: Lehrgangsstart 16. August 2025

Infos: www.stfw.ch/FAVB

Infoveranstaltung: STFW, 13. Mai 2025, 19 Uhr

Anmeldung: www.stfw.ch/ft-events

Schaufenster der Mobilität der Zukunft

Die Mobilitätsmessen machen sich in Europa rar. Nach der Pandemie hat keine Autoshow mehr die Aussteller- und Besucherzahlen früherer Jahre erreicht. Gut, dass es die Tech-Messe CES 2025 in Las Vegas gibt. Text: Ralph M. Meunzel, AUTOHAUS

Die CES 2025 hatte auch in diesem Jahr einige spannende Automobilinnovationen zu bieten, obwohl wesentliche Hersteller heuer fehlten. Damit wurde die Tech-Show in Las Vegas erneut zum Schaufenster für die Zukunft der Mobilität. Mit über 4000 Ausstellern und zahlreichen Premieren zeigt die CES, wie Technologie die Mobilität nachhaltiger, sicherer und komfortabler machen soll.

Im Mittelpunkt standen diese Innovationen Autonomes Fahren: Fortschritte bei Fahrerassistenzsystemen und komplett selbstfahrenden Fahrzeugen. Entertainment im Fahrzeug: Neue Softwarelösungen, die Reisen zum MultimediaErlebnis machen. KI-gestützte Systeme: Von Sprachsteuerung bis zu personalisierten Cockpit-Erlebnissen.

Hier einige Beispiele

• Der Online-Riese Amazon will jetzt auch im Autogeschäft mitmischen. Anlässlich der Messe wurde verkündet, dass Kunden in den USA mittlerweile in 54 Metropolmärkten einen neuen Hyundai direkt online über Amazon kaufen können. Während sich die PS-Branche in Europa eher mit Google Vehicles Ads beschäftigt, geht der Online-Anbieter mit Hyundai also neue Vermarktungswege. Gemeinsam mit angeschlossenen Händlern gibt es jetzt einen neuen digitalen Verkaufskanal für Neuwagen, die sich im Bestand des Händlers befinden. Auf der AmazonPlattform können die Fahrzeuge bestellt und finanziert werden. Eine Bewertung des Gebrauchtwagens, der in Zahlung

gegeben werden kann, ist ebenfalls möglich. Amazon und Hyundai hatten 2023 eine strategische Partnerschaft beim Online-Autokauf verkündet. Aktuell ist das Angebot «amazon autos» auf Neuwagen der koreanischen Marke und ausgewählte Städte in den USA beschränkt. Doch Amazon hat bereits angekündigt, 2025 weitere Automarken und Regionen einzubinden. Ob und wann der digitale Kaufprozess nach Europa kommt, steht noch nicht fest. Europäische Kunden werden mit dem reinen Online-Kauf nicht warm. So wird zwar das Internet genutzt, um sich ausführlich zu informieren, der Gang zum Verkäufer im Autohaus ist aber weiterhin essenziell.

• Beim von BMW vorgestellten «Panoramic iDrive» handelt es sich um ein vom Hersteller entwickeltes Head-up-DisplayKonzept, bei dem der Inhalt im 3D-Format im unteren sichtbaren Bereich der Windschutzscheibe projiziert wird.

• Waymo stellte seine elektrischen Robotaxis der 6. Generation vor und weitet seine Flotte auf weitere Städte aus. Die beiden ausgestellten Elektrofahrzeuge von Zeekr und Hyundai erfüllen diese Anforderungen bereits und sind schon mit der Hardwareund Software-Suite ausgestattet.

• Der chinesische Autobauer Zeekr gehört zum Geely-Konzern und sieht sich als die chinesische Premiumbrand Nummer 1. Auf dem Heimatmarkt hat man im vergangenen Jahr 242’000 Neuwagen abgesetzt. In Vegas stand die komplette Modellpalette. Besonders interessant ist der neue luxuriöse Minivan, der an den ID-Buzz erinnert.

• Unter den Namen Afeela werden Honda und Sony als Sony Honda Mobility (SHM) künftig Autos bauen. Studien gab es

Die Tech-Messe CES 2025 in Las Vegas wurde erneut zum Schaufenster für die Zukunft der Mobilität. Honda zeigte mit dem SUV und dem Saloon zwei neue Varianten seiner EV-Familie.
Great Wall war mit einem Plug-in-Hybrid vertreten.

schon einige, jetzt geht’s aber los: Den 4,90 Meter langen Afeela 1 gibt es im kommenden Jahr in zwei Varianten, die je nach Ausstattung zwischen 90’000 und 100’900 Dollar kosten werden.

• Suzuki war zum ersten Mal dabei und stellte mit Applied EV eine elektrische Plattform für Kleinwagen und Roboterfahrzeuge für Industrieanlagen vor.

• Der deutsche Zulieferer Schaeffler präsentierte sein erweitertes Produktportfolio.

«Von humanoiden Robotern bis hin zu Innovationen im Automobil- und Industriebereich zeigen wir, wie Schaeffler im Bereich Motion Technology ganz vorne mit dabei ist», sagte Marc McGrath, Regional CEO Americas.

Mit dem 2024 vollzogenen Zusammenschluss mit Vitesco Technologies erweiterte man die globale Präsenz, um die Kunden im wachsenden Markt für Elektromobilität stärker zu unterstützen. Es wurden auch die neuesten Fortschritte bei ASS-Batterien (All-solid-State-Batterien) vorgestellt.

• Als Technologiepartner für die Branche präsentierte Valeo Innovationen für die Mobilität von morgen. Dabei geht es immer häufiger um Software. Die VOS-Middleware bildet das Rückgrat der Fahrzeugsoftware und ermöglicht eine nahtlose Integration über Domänen hinweg. Sie unterstützt Over-the-Air-Updates, um sicherzustellen, dass Fahrzeuge auch nach der Produktion auf dem neuesten Stand bleiben.

www.autohaus.de

Waymo hat seinen Autopiloten Driver der 6. Generation integriert.
Mobileye demonstriert den Fortschritt im Bereich autonomes Fahren.

Nostalgie auf vier Rädern

Retrodesign erlebt in der Automobilbranche einen Boom. Immer mehr Hersteller setzen auf klassische Formen und ikonische Designelemente vergangener Jahrzehnte. Doch hinter diesem Trend steckt mehr als nur Nostalgie – für Händler bietet er grosse wirtschaftliche Chancen. Viele Kunden sehnen sich nach dem Charme vergangener Zeiten, wollen aber nicht auf moderne Technik verzichten. Retrodesign verbindet beides und spricht sowohl ältere Käufer an, die Erinnerungen aufleben lassen möchten, als auch jüngere Kunden, die den einzigartigen Stil schätzen. Händler können diese Nachfrage gezielt nutzen, indem sie limitierte Sondermodelle anbieten oder spezielle Finanzierungsmodelle für Retrofahrzeuge entwickeln. Auch Zubehör und Individualisierung bieten neue Umsatzmöglichkeiten. Exklusive Lackierungen, klassische Felgendesigns oder Vintage-Interieurs können als Zusatzoptionen verkauft werden. Zudem lässt sich das Retroimage für gezieltes Marketing nutzen – mit emotionaler Ansprache und Events, die die Geschichte der Marke zelebrieren. Retrodesign ist also nicht nur ein Stilmittel, sondern eine lukrative Verkaufsstrategie mit Zukunft. (ml)

Fiat Grande Panda (Elektro)

Leistung (PS)

Drehmoment (Nm)

0-100 km/h (s)

Verkäufe (2024)

(Monat)

Preis (ab CHF)

Der Fiat Grande Panda ist mit zahlreichen Stilelementen des Vorgängers ein echter Hingucker! Er ist perfekt auf die hiesigen Bedürfnisse zugeschnitten und wird sowohl vollelektrisch als auch als Mild-Hybrid erhältlich sein.

Flavio Tornisello

Geschäftsführer

Garage Tornisello Oftringen

Der neue Fiat Grande Panda ist ein cooles und erschwingliches Fahrzeug für alle. Aussen kompakt, aber innen geräumig und mit Platz für fünf Personen oder bis zu 1366 Liter Stauraum – ein perfekter Begleiter für den Alltag.

Ford Capri Leistung (PS)

Der neue Fiat Grande Panda kombiniert ikonisches Design mit moderner Technik und deutlich mehr Platz als sein Urahn. Mit kompakten Massen und geräumigem Innenraum eignet er sich ideal für den urbanen Alltag.

Verkäufe (2024)

(Monat)

Preis (ab CHF)

Managing Director

Der vollelektrische Ford Capri ist eine moderne Neuinterpretation des Kultklassikers mit einer unverkennbaren Seele. Als sportlicher Crossover bietet er ein cooles Design und modernste Technologie.

Daniel Wolgensinger

Geschäftsführer

FordStore Wolgensinger AG

St. Gallen

Wir haben den vollelektrischen Ford Capri mit offenen Armen in unseren Verkaufsräumen erwartet und freuen uns nun über das positive Kundenfeedback, das der Capri erhält. Eine Legende mehr von Ford ist definitiv zurück!

Der neue Ford Capri verbindet klassisches Design mit moderner Technik. Einige Fans kritisieren jedoch die Abkehr vom ursprünglichen Coupé-Stil und Verbrennermotor. Aber der Trend geht Richtung Elektro.

Stille Helden, die den Motor am Laufen halten
Yannick Lagger
Brand Director Fiat
Astara
Wallisellen
Oliver Marinkovic
Ford Schweiz
Wallisellen

Opel Frontera

Leistung (PS) 136

Drehmoment (Nm) 230

0-100 km/h (s) 9,0

Vmax (km/h) 190

Verbrauch (l/100 km) 4,9 – 6,0

Verkäufe (2024) -

Lancierung (Monat) März 2025

Preis (ab CHF) 24'900

Tobias Dilsch

Managing Director

Opel Schweiz Zürich

Der neue Opel Frontera kombiniert modernes SUV-Design mit herausragender Vielseitigkeit – ein Fahrzeug, das nicht nur durch seinen Preis, sondern auch durch seine Alltagstauglichkeit beeindruckt.

Toni Caggiula

Direttore Vendita

Autonec SA Lavertezzo

Mit dem neuen Frontera setzt Opel neue Massstäbe: ein familienfreundliches SUV, das Qualität, Innovation und Design vereint – und das zu einem fantastischen Einstiegspreis ab 24’990 Franken.

Renault 4 E-Tech Electric

Leistung (PS) 150

Drehmoment (Nm) 245

0-100 km/h (s) 8,5

Vmax (km/h) 150

Verbrauch (kWh/100 km) -

Verkäufe (2024) -

Lancierung (Monat) Juni 2025

Preis (ab CHF) -

Claudia Meyer Managing Director

Renault Group Switzerland Urdorf

Der Renault 4 ist eine Ikone – ein Auto für alle, das als Antwort auf die Veränderungen der 60er entwickelt wurde. In diese Fussstapfen tritt der neue elektrische R4 als vielseitiger Kompaktwagen für die heutige Zeit.

José Feijóo

Managing Director

RRG Zürich Glattpark (Opfikon)

Sein Design weckt Emotionen und wird viele ansprechen, v. a. mit charmantem Faltdach aus Stoff. Das modulare Layout, der geräumige Kofferraum und die innovativen Funktionen machen den R4 zum idealen E-Auto.

Toyota Urban Cruiser Leistung (PS) 184

Drehmoment (Nm)0-100 km/h (s) -

Vmax (km/h) -

Verbrauch (kWh/100 km) -

Verkäufe (2023) -

Lancierung (Monat) -

Preis (ab CHF) -

Christian Künstler Geschäftsführer

Toyota AG Safenwil

Der neue Toyota Urban Cruiser setzt neue Massstäbe im Segment der kompakten Elektro SUV. Hohe Ladeleistung, Allradantrieb und erstklassige Ausstattung bieten ein beeindruckendes Fahrerlebnis.

Paul Jörg

Geschäftsleiter Garage Jörg Weesen

Der neue Urban Cruiser vereint starkes Design und modernste Technologie mit einem vollelektrischen Antrieb. Er erweitert unser Angebot um ein kompaktes SUV mit Allradantrieb und erhöhter Sitzposition.

Beide Opel Frontera sind SUV mit markantem Design und praktischer Ausrichtung. Während der alte offroadtauglich war, setzt der neue auf modernen Komfort und alternative Antriebe. Der Name bleibt, das Konzept wandelt sich.

Der alte und neue Renault R4 teilen das ikonische Design und den Fokus auf Vielseitigkeit. Während das Original ein robuster Kleinwagen war, kommt der neue als Elektro-SUV mit Retro-Charme und modernster Technik zurück.

Beide Toyota Urban Cruiser sind kompakte SUV mit Fokus auf Alltagstauglichkeit. Während das alte Modell ein Stadt-SUV war, kehrt der neue als Hybrid mit moderner Technik und effizientem Antrieb zurück.

VW bleibt Spitzenreiter –Markt bleibt auf Niveau vor Corona

Der Schweizer Automarkt hat sich 2024 erneut nicht vollständig erholt. Mit 247’882 Neuzulassungen liegt die Branche weiterhin unter dem Vor-Pandemie-Niveau. Parallelund Direktimporte legen leicht zu, während sich neue Dynamiken auf dem Markt abzeichnen. Text: Fabio Simeon, Guido Biffiger

Im Jahr 2024 wurden in der Schweiz 247’882 Autos neu zugelassen – ein Rückgang von 4,07 Prozent im Vergleich zum Vorjahr. Damit bleibt der Automarkt unter den langjährigen Durchschnittswerten von über 300’000 Einheiten. Besonders auffällig: Der Marktanteil der Parallelimporte stieg leicht auf 3,5 Prozent, ebenso wie die Direktimporte, die mit 1 Prozent eine wichtige Schwelle erreichten.

Volkswagen bleibt Nummer 1 Volkswagen bleibt trotz eines Rückgangs von 14,8 Prozent mit 24’891 Neuzulassungen weiterhin die meistzugelassene Marke – nicht zuletzt aufgrund der Mietwagen. BMW folgt mit 22’128 Fahrzeugen und verzeichnet ein Plus von 2,7 Prozent. Skoda erreicht mit 21’945 Neuzulassungen den dritten Platz vor Mercedes. Interessant ist die Entwicklung chinesischer Marken.

Fahrzeuge aus chinesischer Produktion erreichten 2024 einen Marktanteil von rund 4 Prozent. Besonders MG überraschte mit einem enormen Wachstum von 1885 Prozent – jedoch auf niedrigem Niveau mit 794 Einheiten.

Ssangyong/KGM als Gewinner, DS & Genesis als Verlierer Ebenfalls ein beachtliches Verkaufsplus im Vergleich zum Vorjahr erzielten Ssangyong/KGM mit 55 Prozent sowie Honda mit 33,5 Prozent. Die grössten Verluste verzeichneten DS mit einem Rückgang von 58,5 Prozent sowie Genesis (–55 Prozent) und Alfa Romeo (–39,3 Prozent). Insgesamt bleibt der Schweizer Automarkt im Jahr 2024 hinter den Erwartungen zurück und spiegelt die Herausforderungen der Branche wider – von neuen Wettbewerbern bis hin zu strukturellen Veränderungen.

Für die Schweiz rollten im letzten Jahr 24‘891 VW-Neuzulassungen vom Band.

SUV-Vormarsch und Tesla-Titelverteidigung

Der Schweizer Automarkt zeigt 2024 klare Trends: SUV dominieren weiterhin das Bild, während klassische Limousinen ins Hintertreffen geraten. Der Tesla Model Y bleibt unangefochten an der Spitze, und ein skandinavischer Newcomer sorgt für frischen Wind. Text: Fabio Simeon, Guido Biffiger

Mit 6644 immatrikulierten Einheiten sichert sich der Tesla Model Y erneut den Spitzenplatz auf dem Schweizer Automarkt 2024. Zudem spiegelt sich der anhaltende SUV-Boom deutlich in der Rangliste wider: Sechs der zehn meistzugelassenen Modelle gehören dem Geländewagensegment an, darunter Erfolgsmodelle wie der Skoda Karoq und der BMW X1. So verdrängen SUV zunehmend die einstigen Bestseller-Kompaktwagen wie den VW Golf, der mittlerweile auf Platz 9 gefallen ist.

SUV verdrängen Limousinen

Auffällig ist zudem die schwächelnde Nachfrage nach klassischen Limousinen, die immer mehr Marktanteile an SUV verlieren. Fahrzeuge wie der Opel Astra, früher mit fünfstelligen Verkaufszahlen unterwegs, müssen sich mit Rängen jenseits der Top 50 zufriedengeben. Der Volvo EX30 als erfolgreichster Newcomer (3035 Verkäufe, Platz 10) beweist, dass elektrische Kompakt-SUV im Markt Fuss fassen. Dieser Trend unterstreicht den Paradigmenwechsel hin zu Elektromobilität und der Vorliebe für höhere Fahrpositionen. Die Liste verdeutlicht: Der Wandel im Automobilmarkt ist in vollem Gange, und SUV bestimmen mehr denn je das Strassenbild der Schweiz.

Der Tesla Model Y führt die Verkaufscharts weiterhin an.
Den Newcomer des Jahres lanciert Volvo mit dem EX30.

Rein elektrische Fahrzeuge erzielten einen Marktanteil von 19,1 %.

Rekordjahr: E-Autos führend

Im Jahr 2024 erreichte der Marktanteil alternativer Antriebe in der Schweiz erstmals über 60 %, wobei rein elektrische Fahrzeuge (BEV) weiterhin dominieren. Doch auch andere Antriebsarten zeigten beachtliches Wachstum. Text: Fabio Simeon, Guido Biffiger

Das Jahr 2024 markiert einen Meilenstein für den Schweizer Automarkt. Mit insgesamt 61,6 % Marktanteil für alternative Antriebe etabliert sich die Schweiz trotz moderater staatlicher Förderprogramme als Vorreiter nachhaltiger Mobilität. Führend unter den Antriebsarten bleiben die rein elektrischen Fahrzeuge (BEV), die mit 47’395 verkauften Einheiten einen Marktanteil von 19,1 % erzielten. Tesla bleibt unangefochten an der Spitze mit 8983 zugelassenen Fahrzeugen, während Volkswagen und BMW ebenfalls starke Zahlen vorweisen.

Mild-Hybride legen weiterhin zu Mild-Hybride mit Benzinmotor (MHEV B) verzeichneten ebenfalls einen Zuwachs und erreichten 16,4 % Marktanteil. Dies zeigt, dass diese Technologie trotz umstrittener Umweltvorteile weiterhin gefragt ist. Vollhybride (HEV) legten mit einem Marktanteil von 12,2 % spürbar zu. Besonders Toyota dominierte in diesem Segment mit 10’244 immatrikulierten Einheiten.

Plug-in-Hybride mit leichtem Rückgang

Plug-in Hybride (PHEV) verzeichneten dagegen einen leichten Rückgang, blieben jedoch mit 8,7 % Marktanteil und 21’539 Einheiten relevant. Volvo setzte sich knapp vor BMW als führender Anbieter in dieser Kategorie durch. Fahrzeuge mit Wasserstoffantrieb (W) bleiben weiterhin eine Nische. Lediglich 13 Einheiten wurden zugelassen, was die Unsicherheiten rund um die politische und technologische Zukunft dieser Antriebsart widerspiegelt. Die Statistik zeigt klar, dass alternative Antriebe auf dem Vormarsch sind, wobei jede Technologie ihre spezifischen Stärken und Herausforderungen mitbringt.

Wachstum und neue Trends

Der Markt für leichte Nutzfahrzeuge in der Schweiz erholt sich 2024 mit einem Wachstum von 1,4 %. Vor allem die grösseren Lieferwagen und neue Elektro-Pick-ups setzen spannende Akzente. Text: Fabio Simeon, Guido Biffiger

Im Jahr 2024 wurden in der Schweiz 31’360 Nutzfahrzeuge neu zugelassen – ein Plus von 1,4 % gegenüber dem Vorjahr. Besonders dynamisch entwickelte sich der Markt für Lieferwagen, der in drei Gewichtsklassen unterteilt ist, sowie der Bereich der Pick-ups.

In der Kategorie der kleinen Lieferwagen bleibt der VW Caddy unangefochtener Spitzenreiter mit 1600 Neuzulassungen. Dahinter folgen der Renault Kangoo (1013 Fahrzeuge) und der Opel Combo (439 Fahrzeuge). Interessant ist, dass Modelle wie der Fiat Doblò mit einem Rückgang von fast 70 % deutlich an Boden verloren haben. Die mittelgrossen Lieferwagen bis 3 Tonnen zeigen ein nahezu stabiles Bild (+0,4 %). Hier dominiert VW mit den Modellen T6 und T7. Die Nachfrage nach Campern sank 2024 im Vergleich zum Vorjahr um 10,2 % auf 6802 Neuzulassungen. Auch bei Wohnwagen setzte sich der Abwärtstrend fort mit einem Rückgang um 7,9 % auf nur noch 1518 Zulassungen.

Grosse Lieferwagen verzeichnen

7,7 Prozent Wachstum

Die grossen Lieferwagen bis 3,5 Tonnen und neuerdings bis 4,25 Tonnen bei Elektrofahrzeugen verzeichnen ein Wachstum von 7,7 %. Der Mercedes Sprinter führt das Feld mit 2569 Einheiten an, dicht gefolgt vom Iveco Daily (2300) und dem Ford Transit Custom (2223).

Pick-up-Segment leicht rückläufig

Im Segment der Pick-ups ist die Nachfrage mit –1,3 % leicht rückläufig. Der Toyota Hilux bleibt mit 753 Einheiten Marktführer, gefolgt vom Ford Ranger, dessen Verkäufe im Vergleich zum Vorjahr jedoch deutlich zurückgehen. Platz drei (VW Amarok) und vier (Isuzu D-Max) hingegen erfahren in den Zulassungen einen starken Aufwärtstrend. Für das Jahr 2025 zeichnet sich also ein spannendes Rennen um die Podestplatzierungen ab.

Mit 2569 Einheiten ist der Mercedes Sprinter das meistverkaufte Modell im Segment der grossen Lieferwagen.

Land Rover verkauft seit dem letzten Jahr ausschliesslich Allradfahrzeuge.

Allrad boomt weiter

Mit einem neuen Rekordmarktanteil von 51,7 % bleibt der Allradantrieb im Schweizer Automarkt auf Erfolgskurs. Besonders die wachsende Beliebtheit von Elektro-SUV treibt diesen Trend voran. Doch nicht alle Hersteller können mithalten. Text: Fabio Simeon, Guido Biffiger

Der Allradantrieb setzt auch 2024 im Schweizer Automarkt seine Erfolgsgeschichte fort. Mit einem Marktanteil von 51,7 % erreicht er einen neuen Höchststand, was einer Steigerung von knapp 1 % gegenüber dem Vorjahr entspricht. Ein zentraler Treiber dieses Wachstums sind Elektro-SUV, bei denen rund 70 % der Modelle mit Allradantrieb ausgestattet sind. Doch auch klassische Geländewagen und sportliche Premiumfahrzeuge tragen zum Erfolg bei. Fünf Marken stechen besonders hervor, da sie durchweg über 90 % ihrer Modelle mit Allradantrieb anbieten: Land Rover ist, nachdem der Evoque LR mit Frontantrieb aus dem Programm genommen wurde, mit einem Anteil von 100 % unangefochtener Spitzenreiter, gefolgt von Subaru (98,8 %), Genesis (96,2 %), Maserati (95,3 %) und Jaguar (93,7 %). Andererseits gibt es auch Nachzügler: Renault, Peugeot

und Opel liegen mit Marktanteilen unter 5 % weit abgeschlagen. Citroën und Microlino verzichten komplett auf Allradantriebe.

Allradanteil bei Volkswagen im Vergleich mit 32 Prozent relativ tief

Mit knapp 25’000 zugelassenen Fahrzeugen bleibt Volkswagen die volumenstärkste Marke, doch der Allradanteil liegt hier lediglich bei 32,1 %. Premiumhersteller wie BMW und Mercedes setzen hingegen stark auf Allrad, was sich in Anteilen von 83,9 % bzw. 88,1 % widerspiegelt. Die Beliebtheit von Allradantrieben zeigt sich vor allem bei anspruchsvollen Geländewagen, innovativen Elektroautos und sportlichen Luxusfahrzeugen. Damit bleibt der Allrad-Boom ein zentrales Thema im Schweizer Automarkt – ein Trend, der sich 2025 weiter fortsetzen dürfte.

Regionale Vielfalt im Fokus

Die kantonalen Vorlieben der Schweizer Autofahrer zeigen 2024 eine faszinierende Vielfalt. Während etablierte Marken dominieren, überraschen auch andere Hersteller mit starken regionalen Ergebnissen. Dabei stützen Mietwagen den Neuwagenmarkt.

Text:

Die Automobilstatistik 2024 unterstreicht die Vielfalt der kantonalen Vorlieben in der Schweiz. Volkswagen und Skoda führen in neun Kantonen. Mercedes zeigt mit Führungspositionen in sechs Kantonen wie Basel-Stadt und Genf seine Stärke. BMW glänzt besonders in den Kantonen Zug und Zürich. Audi – bekannt für Allradantriebe – sichert sich den Sieg im alpinen Kanton Waadt, und Toyota belegt solide Plätze in mehreren Kantonen.

Mietwagen erreichten 2024 mit 6,6 % Marktanteil die Werte vor der Pandemie und verhinderten damit einen grösseren Einbruch bei den PW-Neuzulassungen 2024 in der Schweiz.

Porsche in mehreren Kantonen top Für die hohe Kaufkraft in einzelnen Kantonen spricht die Präsenz von Porsche: Die Luxusmarke schafft es in sechs Kantonen ins Top-10-Ranking. Auch Cupra zeigt mit seinen

Platzierungen in verschiedenen Kantonen, dass neue Marken ihren Platz in der Schweiz gefunden haben. Interessant ist, dass fast alle Marken eine starke regionale Bindung zeigen. Der Automarkt ist damit ein Spiegelbild der kantonalen Vielfalt: Während einige Regionen klare Favoriten haben, mischen andere mit überraschenden Ergebnissen das Ranking auf. Das Fazit: Die Schweizer Autolandschaft bleibt so vielfältig wie das Land selbst.

25 Jahre TDC: Stimmen von

langjährigen Wegbegleitern

Die TDC AG ist seit einem Vierteljahrhundert kompetenter Ansprechpartner, wenn es um die Einschätzung und das Management von Fahrzeugschäden geht. Zum Firmenjubiläum liessen wir langjährige Kunden zu Wort kommen. Interviews: Mario Borri

«Seit ich in der Autobranche bin, habe ich mit TDC zu tun, also seit gut 15 Jahren. In dieser Zeit habe ich Kurt und Massimo als anständige und ehrliche Menschen schätzen gelernt. Die beiden sind gute Typen, die von allen Kunden und Partnern geschätzt werden. Für die Zukunft wünsche ich den beiden natürlich gute Gesundheit und weiterhin viel Erfolg mit der Firma.»

Slavisa Gavric, Inhaber «ColorMagic» GmbH, Scheiwiller AG, Schlieren, Zürich

«Ich habe seit 2015 mit der TDC-Gruppe zu tun, seit ich mit meiner Firma in eine grössere Halle umgezogen bin, stelle ich ihnen bei Bedarf Platz und Lifte zur Verfügung. Ich schätze ihre partnerschaftliche Art. Und ich ziehe den Hut vor der Leistung von Kurt Seiler und Massimo Di Giovanni, ein Unternehmen in 25 Jahren so erfolgreich aufzubauen und weiterzuentwickeln.»

Fabian Eugster, Inhaber Eugster Car Center, Thal (SG)

«Ich arbeite gefühlt schon 25 Jahre mit TDC zusammen und habe Kurt und Massimo als Unternehmer mit Herzblut kennengelernt. Ich finde es schön, dass trotz dem zeitweise harten Business die Menschlichkeit nie auf der Strecke blieb. Für die Zukunft wünsche

ich ihnen, dass sie lernen, nicht immer in der ersten Reihe stehen zu wollen, sondern den Jungen die Chance dafür geben.»

Enzo Santarsiero, Managing Director, Axalta Schweiz/André Koch AG

«Mit der TDC AG habe ich seit 2014 geschäftliche Beziehungen, als ich zu Akzo Nobel gekommen bin. Ich schätze die familiäre Art, die trotz der Grösse in der Firma herrscht. Der Umgang mit Kurt und Massimo ist freundschaftlich und unkompliziert. Für die nächsten 25 Jahre wünsche ich ihnen, dass sie so weitermachen können wie bisher und den starken Team-Spirit aufrechterhalten können.»

Amedeo Bonorva, Country Sales Manager Akzo Nobel Schweiz

«Als ehemaliger Präsident der Reparaturkommission von Carrosserie Suisse habe ich seit 2009 mit Kurt Seiler und Massimo Di Giovanni zu tun. Beide geben regelmässig Kurse im Versicherungsrecht. Sie sind Top-Fachleute, gradlinig und ehrlich, man kann mit ihnen auf Augenhöhe diskutieren. Ich wünsche ihnen weiterhin viel Erfolg und eine erfolgreiche Nachfolgeregelung, wenn es dann so weit ist.»

Andi Stalder, Inhaber Carrosserie Stalder AG, Geuensee (LU)

«Ich arbeite seit 15 Jahren bei Baloise und seit Beginn mit der TDC AG zusammen. Neben der Top-Qualität der Expertisen schätze ich die schnelle Reaktionsfähigkeit, wenn etwas übersehen wurde oder nicht wie geplant verlief, sowie die Offenheit für Feedback. Für die Zukunft wünsche ich der TDC, dass sie sich den stetig verändernden Bedingungen am Markt weiterhin so gut anpassen kann wie bisher.»

Daniel Junker, Leiter Fahrzeugexperten bei Baloise Insurance

«Seit ich bei Helvetia tätig bin, arbeite ich mit TDC zusammen – nun schon über zehn Jahre. Ich schätze die Flexibilität sowie Loyalität von Kurt, Massimo und dem gesamten TDC-Team. Ausserdem werden sämtliche Abmachungen zuvorkommend umgesetzt. Für die Zukunft wünsche ich den beiden und ihrem Team weiterhin viel Erfolg und Freude bei allem, was sie tun.»

Oliver Sauter, Leiter Fahrzeugexperten Schaden-Center bei Helvetia Versicherungen Schweiz

«Mit der ‹XpertCenter› AG habe ich seit Jahren mit der TDC AG zu tun, und später auch mit der Tochtergesellschaft Tecconet. Ich schätze an Kurt und Massimo ihr unternehmerisches und innovatives Denken sowie die extreme Kundenorientierung und ihre Verlässlichkeit. Für die Zukunft wünsche ich den beiden genauso Erfolg wie bisher und Befriedigung, Spass und Freude bei ihren Tätigkeiten.»

Rico Zwahlen, Leiter «XpertCenter» AG, Mitglied Direktion Gruppe Mobiliar

«Wir arbeiten sicher schon 20 Jahre mit TDC zusammen. Für externe Expertisen können wir uns immer auf Kurt und Massimo verlassen. Es ist immer jemand verfügbar und die Gutachten sind zu 100 Prozent fundiert. Durch die 25 Jahre Erfahrung verfügen Kurt, Massimo und ihr Team über ein riesiges Know-how. Ich wünsche den beiden, dass sie gesund und weiterhin so erfolgreich bleiben.»

Dani Surer, Team Leader Motor Experts Generali Versicherungen

«Ich habe seit mehr als 20 Jahren mit TDC zu tun, schon als ich noch bei Generali war. Besonders schätze ich an Kurt und Massimo sowie dem ganzen Team, dass der Dienstleistungsgedanke in der Unternehmens-DNA verankert ist. Man ist sich auch nicht zu schade, Wochenendeinsätze zu leisten. Ich wünsche den beiden, dass sie weiterhin so erfolgreich sind und vor allem, dass sie gesund bleiben.»

Roland Pfister, Leiter Fahrzeugexperten Zürich Versicherungsgesellschaft AG

Die TDC-Gruppe feierte am 10. Januar im Restaurant Sax in Schlieren (ZH) ihr 25-jähriges Bestehen.

NEWS

Software-Lösung für datenbasierte Reifenzustandserkennung

Multi-Energy-Fahrzeugplattform

Verbesserter aktiver Parkassistent

Elektromechanische Sperrung des Sicherheitsgurts

FACHWISSEN

Drehmoment und Energie

Die Zusammenhänge zwischen Drehmoment, Arbeit und Energie, die umso wichtiger werden, je mehr unterschiedliche Energiewandler und -speicher sich auf dem Markt tummeln.

TECHNIK

Mensch-Maschine-Schnittstellen

Ein Demofahrzeug erkennt sich nähernde Personen und deutet ihre Absichten. Und eine unsichtbar hinter dem Display angebrachte Kamera erfasst die Vitaldaten der Fahrzeuginsassen.

Batteriemanagement

Fahrzeugspezifische Optimierungen für den Antriebsstrang werden Cloud-getrieben und in Echtzeit bereitgestellt.

Zukünftige Technologien

Mercedes-Benz gibt Einblicke in seine Forschungsaktivitäten und zeigt einen neuartigen Power Converter sowie die Integration der mechanischen Bremse in die Antriebseinheit.

Alles, was Dein Herz begehrt.

Jetzt Termin vereinbaren!

Auf über 300 m2 Showroom findest Du alle Deine Lieblingsprodukte von Sonic und mehr:

Werkstattwagen, Aufbewahrungsyysteme, Werkzeuge, Werkzeugeinlagen, massgeschneiderte Werkzeugeinlagen von CLEVERSYS und Werkzeuge von PB SwissTools.

Mit Werkzeugeinlagen von CLEVERSYS hast Du Dein Werkzeug im Griff. Massgeschneidert und kostengünstig.

SOFTWARE-LÖSUNG ERKENNT SCHLEICHENDE REIFENDRUCKVERLUSTE UND LOCKERUNG DER RADSCHRAUBEN

Bosch erweitert sein Angebot an Software-Lösungen für die datenbasierte Reifenzustandserkennung. Die neue Lösung wird im Rahmen des «Bosch Vehicle Motion Management» –einer Software-Systemlösung für den gesamten Bereich der Fahrzeugbewegung – als datenbasierter Service angeboten. Hierfür arbeitet das Unternehmen auch mit Partnern zusammen. So baut Bosch beispielsweise im Bereich der indirekt arbeitenden Systeme seine langjährig bestehende Geschäftsbeziehung mit dem Automobilzulieferer Nira Dynamics mit Fokus auf graduellen Reifendruckverlust und Radlöseerkennung aus und nutzt die Expertise beider Unternehmen für präzise und kosteneffiziente Lösungen.

Der datenbasierte Service «Databased Tire Solutions» besteht aus verschiedenen Algorithmen, die den

STELLANTIS

Das System überwacht jeden Reifen kontinuierlich und zeigt Warnungen zu Druckverlust und gelockerten Rädern über die Benutzeroberfläche an.

Zustand der Reifen überwachen und den Fahrer frühzeitig vor schleichendem Reifendruckverlust oder lockeren Rädern warnen. Das System überwacht dazu jeden Reifen kontinuierlich und individuell und zeigt dem Fahrer die Warnungen zu Reifendruckverlust und gelockerten Rädern über eine anwenderfreundliche Benutzeroberfläche an. Einer der Algorithmen der neuen SoftwareLösung ermöglicht es, bereits kleine,

MULTI-ENERGY-FAHRZEUGPLATTFORM

schleichende Druckverluste in den Reifen zu detektieren. Weicht der Reifendruckwert ca. 5 % vom nominalen Wert ab, wird der Fahrer informiert und – wenn nötig – gewarnt. Nach erfolgreichem Ausgleich des fehlenden Luftdrucks lässt sich das System durch die Funktion «Easy Reset» einfach und benutzerfreundlich neu einstellen.

Ein sich lockerndes Rad wird durch einen weiteren Algorithmus bereits bei einer Lockerung der Radschrauben um 0.5 mm frühzeitig erfasst. Eine Lockerung dieser Grössenordnung ist durch nicht geschulte Fahrer nicht oder nur schwer wahrnehmbar. Neben der somit frühzeitigen Warnung des Fahrers erfolgen ebenfalls konkrete Handlungsempfehlungen. Die frühzeitigen Warnungen helfen auf diese Weise, Fahrausfälle zu vermeiden, und erhöhen die Sicherheit bei jeder Fahrt. (pd/sag)

FÜR PICK-UPS UND GROSSE SUV BIETET HOHE ANHÄNGE- UND NUTZLAST

Stellantis hat eine neue, auf BEV ausgelegte Multi-Energy-Plattform vorgestellt, die für grosse Elektrofahrzeuge wie Full-Size-Pick-ups und SUV entwickelt wurde, bei denen die Karosserie auf einen Rahmen aufgesetzt ist. Dies ist vor allem in Nordamerika und ausgewählten globalen Märkten ein wichtiges Segment. Die STLA-FramePlattform kommt zuerst bei Fahrzeugen der Marken Ram und Jeep zum Einsatz und ist für eine Reichweite von bis zu 1100 km bei Fahrzeugen mit Range Extender und 800 km bei BEV, eine maximale Anhängelast von 6350 kg und eine Nutzlast von 1224 kg ausgelegt. Sie bietet Platz für flüssigkeitsgekühlte Akkupacks mit bis über 200 kWh und ist für schnelles Laden geeignet. Bei BEV-Modellen kann eine 800-V-DC-Schnellladung mit bis zu 350 kW in nur 10 Minuten 100 Meilen (bzw. 161 km) Reichweite

Die STLA-Frame-Plattform von Stellantis (im Bild die Variante als Range Extended Electric Vehicle) kommt zuerst bei Fahrzeugen der Marken Ram und Jeep zum Einsatz.

hinzufügen. Bei Range Extended Electric Vehicles (REEV) können mit einer 400-V-DC-Schnellladung mit bis zu 175 kW in 10 Minuten bis zu 80 km hinzugeladen werden. STLA Frame ist für Fahrzeuge mit den folgenden wichtigsten Abmessungen konzipiert: Gesamtlänge zwischen

5488 und 5941 mm, Gesamtbreite von 2062 bis 2124 mm, 3143 bis 3690 mm Radstand sowie eine Bodenfreiheit im Bereich von 168 bis 262 mm (max. Wattiefe: 61 cm).

Zur Unterstützung der Full-SizePick-up-Trucks, der leichten Nutzfahrzeuge und der SUV von Stellantis

werden STLA-Frame-Fahrzeuge zunächst mit einer Antriebspalette angeboten, die eine BEV-Variante und ein REEV beinhaltet. Die Plattform kann in Zukunft aber auch für Verbrennungsmotoren, Hybridsowie Wasserstoffantriebe genutzt werden.

Mit dem REEV-System, das eine Batterie, vordere und hintere E-Maschinen, einen On-Board-Generator sowie einen Verbrennungsmotor (ausschliesslich als Range Extender eingesetzt) kombiniert, können Fahrer schwere Lasten über eine längere Strecke transportieren/ziehen. Da es keinen direkten mechanischen Weg vom Motor zu den Rädern gibt, versorgt der Generator die E-Maschinen mit Strom, um das Fahrzeug anzutreiben, und lädt die Batterie nach Bedarf auf. Dadurch wird eine erweiterte Reichweite unter Lastbedingungen gewährleistet. (pd/sag)

Bild:
Stellantis

VERBESSERTER AKTIVER PARKASSISTENT KOMMT MIT

INTUITIVERER BEDIENUNG UND PARKIERT

SCHNELLER

Mercedes-Benz hat seinen aktiven Parkassistenten mit Parktronic weiterentwickelt, um das Ein- und Ausparkieren noch angenehmer zu machen. Das System parkiert jetzt mit 4 km/h doppelt so schnell wie bisher. Der Parkvorgang soll dadurch im Alltag deutlich stressfreier und komfortabler werden. Gestartet wird er über einen digitalen Knopf auf dem Bildschirm, und ein Fortschrittsbalken zeigt den Verlauf an. Während des automatisierten Parkierens schaltet das System die Parktronic-Signaltöne stumm. Wenn der Mercedes über eine 360°-Kamera verfügt, sind verschiedene Ansichten beim Ein- und Ausparkieren auswählbar.

Das Fahrzeug sucht bei Geschwindigkeiten unter 35 km/h kontinuierlich nach Parklücken und zeigt dies im Fahrerdisplay mit einem blauen

Der aktive Parkassistent parkiert nun schneller, und in Mercedes-Modellen mit 360°-Kamera sind verschiedene Ansichten beim Ein- und Ausparkieren auswählbar.

P-Symbol an. Es kann auch sehr enge Parklücken mit lediglich 50 cm Platz an beiden Fahrzeugenden nutzen und orientiert sich an weissen Markierungen oder parallelen Strukturen wie etwa der Randsteinkante oder an-

ELEKTROMECHANISCHE

GURTS

Fderen parkierten Fahrzeugen. Wenn der Mercedes eine Lücke gefunden hat, erscheint ein weisser Pfeil im Display neben dem P-Symbol. Nach Einlegen des Rückwärtsgangs kann die Fahrerin oder der Fahrer die

SPERRUNG

Parklücke auswählen und das automatisierte Parkieren starten; bei geeigneten Querparklücken ist dies vorwärts oder rückwärts möglich. Selbstverständlich darf dabei die Sicherheit nicht zu kurz kommen, und Mercedes-Benz verweist auf die nahtlos integrierten Sicherheitssysteme: Während des automatisierten Parkierens reagiert das Fahrzeug auf Veränderungen und achtet auf die Sicherheit aller Verkehrsteilnehmer. Erkennen die Sensoren während des rückwärts Ausparkierens querende andere Fahrzeuge, Fahrräder oder auch schnell gehende Fussgängerinnen und Fussgänger, erfolgt zunächst eine optische und akustische Warnung. Reagiert die Fahrerin oder der Fahrer nicht, führt das Fahrzeug eine autonome Notbremsung durch. Das gilt sowohl für automatisiertes als auch für manuelles Ausparkieren aus Querlücken. (pd/sag)

DES SICHERHEITS-

ERLEICHTERT DIE INTEGRATION IN DEN SITZ

ür die Sperrung des Sicherheitsgurtbands sind bisher zwei redundante mechanische Systeme direkt am Ausroller notwendig. ZF Lifetec bringt nun ein neues elektromechanisches System in Serie: Ein mechanischer Sensor reagiert auf die Beschleunigung der Ausrollbewegung des Gurtbands selbst. Der andere Mechanismus detektiert die Beschleunigung des gesamten Fahrzeugs. Üblicherweise wird hier ein sogenannter Kugelsensor verwendet. Im Falle einer starken Verzögerung oder Beschleunigung des Fahrzeugs bewegt sich der Trägheitskörper in Form einer Kugel, vorzugsweise einer massiven Stahlkugel, und führt zum Schwenken des Sperrhebels. Hierdurch kann beispielsweise eine Kupplungsklinke in die Kupplungsverzahnung eines Blockiermechanismus eingesteuert werden, der schliesslich die Gurtspu-

ZF Lifetecs «e.Locking» ermöglicht eine erleichterte bauliche Integration des Sicherheitsgurtes in den Sitz, was erhebliche Vorteile im Design schafft.

le blockiert. Diese Konstruktionsweise erschwert aber die Integration des Sicherheitsgurtes in den Sitz, die künftig wichtiger wird – etwa für «Relaxpositionen» beim autonomen Fahren.

Das neue «e.Locking»-System, das im sitzintegrierbaren Gurtaufroller «ACR8.S» von ZF Lifetec erhältlich ist, ersetzt die Stahlkugel durch eine elektromagnetische Spule, die den Aufroller elektromechanisch durch

ein Signal aus einer zentralen ECU sperrt. Beschleunigung, Verzögerung und Neigung des Fahrzeugs werden dazu über Sensoren erfasst, deren Informationen durch einen Algorithmus ausgewertet werden. Das «e.Locking»-System befindet sich am Aufroller an der gleichen Stelle wie das bisherige mechanische System, und auch die Sperrmechanik über eine Klinke bleibt unverändert. Dank der elektromagnetischen Spule kann die Sperrfunktion des Gurtbands auch durch Steuerungssoftware ausgelöst werden. Vernetzt mit anderen Sicherheitssystemen im Fahrzeug, wie beispielsweise Notbremsassistenten oder Pre-CrashFunktionalitäten, lässt sich auf diese Weise die Insassensicherheit weiter steigern – weil eine Gurtsperrung unmittelbar ausgelöst werden kann, ohne Zeitverzug und ohne Gurtband zu verlieren. (pd/sag)

Bild: ZF Lifetech ZF LIFETECH

1. Links wird potenzielle Energie in das Fahrzeug gespeichert. Diese wird in kinetische Energie und dann in Verformungsund Wärmeenergie (rechts) verwandelt.

Physik

DREHMOMENT UND ENERGIE

Energie und Energiespeicher sind heute in aller Munde. In diesem Beitrag sind die Zusammenhänge zwischen Drehmoment, Arbeit und Energie dargestellt. Diese werden umso wichtiger, je mehr unterschiedliche Energiewandler und ­speicher sich auf dem Markt tummeln. Text: Andreas Lerch | Bilder: Autef, Volvo, Lerch

Der Titel umfasst natürlich nicht das gesamte Thema aus der physikalischen Grundlagenwelt. Sowohl zum Drehmoment wie auch zur Energie gehören zwingend die Kraft und der Weg – und daneben sind die Arbeit und die Energie eng miteinander verwandt. Rund um das Auto und die Automobiltechnik kommen alle diese Begriffe immer wieder vor – auch bei den aktuell wichtiger werdenden alternativen Antrieben. Da wird beispielsweise intensiv über die möglichen Energieträger diskutiert. Sind jetzt die fossilen Energieträger (Benzin und Diesel) einfach nur

schlecht? Und wenn Wasserstoff aus fossilem Methangas hergestellt wird, ist dann der Wasserstoff grün oder grau, also gut oder schlecht? Wie steht es mit Methan, Methanol, Ammoniak oder gar den Syn-Fuels? Ist es so viel besser, die Energie in elektrischer Form im Fahrzeug zu speichern, oder …? Genau darum geht es in diesem Artikel nicht. In diesen Fragen darf jeder seine Meinung haben, und wenn er gut argumentiert, bekommt er vielfach auch recht. Mit welcher Energie wir schliesslich fahren werden, müssen die Politiker in Brüssel oder Bern entscheiden –bloss, die sind sich auch nicht einig.

Aus diesem Grund beschränken wir uns auf die Technik und damit auf die physikalischen und eventuell auch die chemischen Grundlagen.

Drehmoment

Jedes Auto braucht an den Antriebsrädern ein Drehmoment, um anfahren zu können; es braucht das Drehmoment aber auch, um die Fahrwiderstände zu überbrücken. Dabei spielt es keine Rolle, ob es mit 50 km/h oder mit 120 km/h unterwegs ist. Natürlich sind die Fahrwiderstände bei höheren Geschwindigkeiten grösser. Beim Bremsen muss ein Bremsmoment erzeugt werden, was auch wiederum

ein Drehmoment ist, welches am Rad jedoch in die andere Drehrichtung wirkt.

Das Rad seinerseits hat auch noch einen nicht zu unterschätzenden Einfluss auf die Kraft, welche in der Reifenaufstandsfläche, also dem Latsch wirkt. Ob das Rad einen Durchmesser von 13 Zoll und damit einen wirksamen Radius von ca. 0.3 m aufweist oder ob es sich um ein Hinterrad einesTraktors handelt, ist für die wirksame Kraft im Reifenlatsch entscheidend, denn diese errechnet sich aus:

Dabei ist F die Antriebskraft im Reifenlatsch, M das Antriebsmoment in der Radnabe und r der Radius zwischen Radnabe (Mittelpunkt) und Radumfang (im Beispiel weist der Radius zum Reifenlatsch).

Drehmomentbeispiele

Im Bild 2 sind drei Beispiele dargestellt, wie das Drehmoment mit dem Rad zusammenhängt. Im Bild 2a wird eine Radschraube mit einem bestimmten Drehmoment festgezogen. Dabei ist es wichtig, dass zwischen der Kraftrichtung und dem Hebel ein rechter Winkel besteht. Alles andere wirkt nicht als Drehmoment. Wer schon einmal eine Schraube gelöst oder angezogen hat, weiss das. Der Extremfall wäre, wenn der Schlüssel im Bild 2a senkrecht an der Schraube angebracht wäre und die Krafteinwirkung ebenfalls senkrecht wäre. Da sieht man sofort, dass das nicht geht. Der Schlüssel könnte so keine Drehbewegung ausführen und somit würde die Schraube nicht angezogen. Deshalb müssen Schraubenschlüssel so an die Schraubenköpfe gelegt werden, dass es möglich ist, senkrecht auf den Hebel zu drücken und somit die gesamte Kraft in Drehmoment umzuwandeln.

Ähnlich funktioniert die Drehmomentumwandlung in Bild 2b. Dort wird das Moment vom Differentialgetriebe über die Antriebswelle zur Radnabe bzw. zum Mittelpunkt der Radnabe oder des Rades geleitet.

Bild

2. Drehmomente/Kräfte rund ums Rad. a Anzugsmoment der Radschrauben – b Antriebsmoment von der Radnabe wird zur Antriebskraft beim Bodenkontakt – c die Bremskraft wird durch Reibung an der Bremsscheibe erreicht und dann zum Bodenkontakt übertragen

Von dort wirkt ein virtueller Hebelarm zum Reifenaufstandspunkt, und über den rechten Winkel ergibt sich die Antriebskraft. Der Hebel ist virtuell, weil ja Rad und Reifen am ganzen Umfang Radien aufweisen, das Drehmoment wird aber nur von einem Radius in Kraft umgewandelt, und das ist genau derjenige, welcher die Kraft in den Reifenaufstandspunkt leitet. Die Kraft kann dort aufgenommen und von der Strasse abgestützt werden. So wird der kraftübertragende Hebel theoretisch in jedem Fall senkrecht ausgerichtet sein, ist aber beim Betrachten des Rades nicht erkennbar. Aus diesem Grund wird von einem virtuellen Hebel oder Radius gesprochen. Wenn die Reifenaufstandsfläche oder der Latsch untersucht wird, passt diese Fläche nicht genau in die Radsymmetrie, und so wird der Hebel in der Realität nicht ganz genau senkrecht stehen und damit die Antriebskraft auch nicht genau im Mittelpunkt des Rades angreifen. Bei der Bremskraft werden zwei Kraftumformungen benötigt. Durch Reibung zwischen dem Bremsbelag und der Bremsscheibe entsteht eine Reibungskraft. Über den Hebelarm der Bremsscheibe wird sie in den Bremsscheibenmittelpunkt übertragen und dort als Drehmoment an das Rad übergeben. Das Rad hat immer noch seinen virtuellen senkrechten Hebel zum Radaufstandspunkt. Damit wird das Drehmoment wieder in eine Kraft – die Bremskraft – verwandelt.

Bremsmoment und Bremskraft wirken in entgegengesetzter Richtung der Antriebskraft. Da der Hebelarm der Bremsscheibe kürzer ist als jener des Rades, ist die Reibungskraft an der Bremsscheibe grösser als die Bremskraft am Rad, weil das Produkt aus der jeweiligen Kraft mal ihren Hebelarm das gleiche Drehmoment ergeben muss.

Drehmoment in Motoren

Im Bild 3 sind die Kräfte dargestellt, welche im Verbrennungstakt als Druckkräfte auf den Kolbenboden wirken. Sie sammeln sich im Zentrum des Kolbenbolzens. Steht dabei die Pleuelstange senkrecht, gibt es keine Kräftezerlegung im Kolbenbolzenauge, sondern die gesamte Kraft wirkt direkt auf die Pleuelstange, das Pleuellager und die Hauptlager der Kurbelwelle. Da in dieser Kurbelwellenposition kein Hebelarm wirkt, kann sich kein Drehmoment bilden und die ganze Verbrennungskraft verpufft. Sobald sich der Kolben nach unten bewegt und die Pleuelstange auslenkt, ergibt sich zwischen Pleuellager und Hauptlager ein Hebelarm, welcher so lange grösser wird, bis die Pleuelstange und der Pleuelradius einen rechten Winkel bilden. Genau in diesem Moment, kurz bevor der Kolben die Hubmitte erreicht, wird die ganze Pleuelstangenkraft in Drehmoment umgewandelt.

Durch die Auslenkung der Pleuelstange im Kolben ergibt sich dort

noch eine Kolbenseitenkraft, welche zu einem grossen Teil für den Zylinderverschleiss verantwortlich ist. Damit ist der Kurbeltrieb für die Umwandlung von geradliniger Kraft in ein Drehmoment ein eher schlechter Helfer, aber offenbar gibt es keinen besseren.

Felix Wankel verbesserte diesen Umstand mit dem Wankelmotor. Er musste den Umwandlungsvorteil aber mit vielen Nachteilen im Verbrennungsprozess und in der Motorabdichtung erkaufen. Deshalb blieb sein Motor nur in Nischenanwendungen erhalten.

Anders ist es bei Elektromotoren. Bei Drehstrommotoren gibt es grundsätzlich drei Wicklungsstränge. Diese können wie in Bild 4 als einzelne Pole dargestellt werden oder sie können am Umfang mehrfach vorkommen. Der Drehstrom mit seinen um je 120° versetzten sinusförmigen Schwingungen hat die Eigenschaft, dass sich deren Spannungen immer auf null ergänzen. Damit ergeben sich an den drei Polen in Summe immer gleich grosse magnetische Kräfte, nur ist die Kräfteverteilung zwischen den Polen immer anders und das Drehfeld wechselt stufenlos, so dass es keine störenden Schwingungen gibt und der Rotor sauber und gleichmässig bewegt wird.

Die drei ständigen Kräfte wirken auf den Hebelarm, welcher dem Radius des Rotors entspricht, und treiben die Welle mit dem entsprechenden Drehmoment an. Da die Spulen beim

Anlauf des Motors nur ohmsche Widerstände aufweisen und keine induktiven oder kapazitiven, fliesst in diesem Moment der grösste Strom, welcher auch das grösste Magnetfeld und damit das grösste Drehmoment erzeugt. Aus diesem Grund sind die Drehmomente von E-Fahrzeugen im Startmoment derart gross.

Drehmoment und Arbeit

Interessanterweise haben das Drehmoment und die Arbeit die gleiche Einheit: Nm. Die Arbeit und auch die Energie werden häufig auch mit Joule (J) oder Wattsekunde (Ws) bzw. Kilowattstunde (kWh) angegeben.

Nm = J = Ws

Damit ergibt sich eine Brücke zwischen den physikalischen Hauptgebieten, weil ein Joule in der Mechanik einem Joule in der Thermodynamik oder der Elektrotechnik entspricht.

Bild 3. Das für die Kurbelwelle wirksame Drehmoment muss im Verbrennungsmotor durch mehrere Kräftezerlegungen ermittelt werden. Die Kräftezerlegung im Pleuellager ergibt den drehmomentwirksamen Kräfteanteil und den Kräfteanteil, welcher sich am Hauptlager abstützt.

Bild

4. Drehstrommotoren werden von drei Phasen dauernd mit Strom versorgt.

Der Unterschied zwischen der mechanischen Arbeit und dem Drehmoment ist in der Wirkrichtung der Kraft (Vektor) zu suchen. In AUTO&Technik 12/2023 wurden die Kräfte ausführlich besprochen und es wurde darauf hingewiesen, dass es bei den Kräften nicht nur um deren Grösse (Betrag), sondern auch um deren Richtung geht. Beim Drehmoment sind in den Bildern 2, 3 und 4 überall die Kräfte, die Hebelarme und dazwischen die rechten Winkel eingetragen. Um ein Drehmoment zu erzeugen, muss also zwischen dem Hebel und der Kraft ein rechter Winkel sein.

Anders bei der Arbeit. Wird ein Auto mit einem Lift oder wie in Bild 5 von einem Seil angehoben, so wirkt im Seil die Kraft genau in der gleichen Richtung, wie sich das Auto bewegt: nämlich gegen oben. Hier spricht man auch nicht von einem Hebel, sondern von einer Wegstrecke. Damit das Auto angehoben werden kann, muss die Kraft grösser sein als die Gewichtskraft des Fahrzeuges, dessen Kraftpfeil senkrecht nach unten zeigt (FG). Mit diesem Kräfteunterschied wird das Fahrzeug gegen oben beschleunigt. Soll es stillstehen, wird die Kraft genau der Gewichtskraft entsprechen. Stimmt das nicht ganz genau, bewegt sich das Auto weiter. Entweder nach oben oder nach unten.

Was passiert aber, wenn das Auto den höchsten Punkt erreicht hat und vom Motor nicht mehr weiter nach oben gezogen werden kann? Das

Fahrzeug bleibt jetzt einfach dort oben hängen. Wenn es von Menschen gehalten werden müsste, würden diese schwitzen, weil es für sie Arbeit bedeuten würde, ein Auto an einem Seil in der Höhe zu halten. Physikalisch existiert diese Arbeit aber nicht. Das Auto steht still, also wird keine Arbeit vollbracht, weil es keinen Weg zurücklegt.

Wenn das Auto aber retour auf den Boden gelassen wird, gibt es seine Arbeit wieder zurück. Der E-Motor könnte in dieser Phase die gespeicherte Energie wieder zurückgewinnen. Aus diesem Grund spricht die Physik von Energie als eine gespeicherte Arbeit. Die Arbeit wurde beim Hochkurbeln des Autos gespeichert. Wenn das Auto sich dann nicht mehr bewegt, speichert es diese zugeführte Arbeit und gibt sie beim Herunterlassen wieder zurück. Es werden zwei verschiedene Arten von Energie unterschieden: potenzielle Energie oder Energie der Lage und kinetische Energie oder Bewegungsenergie.

Potenzielle Energie

Im Bild 5b wird das Auto von einem gleichen Fahrzeug in der Luft gehalten.

Somit bewegt sich keines der beiden Autos. Das am Boden stehende Fahrzeug hat keine potenzielle Energie gespeichert, das hängende Fahrzeug jedoch schon – und zwar genau so viel, wie Arbeit in das System geliefert wurde, als es angehoben wurde:

m steht für die Gewichtskraft des Autos, g für die Erdbeschleunigung = 9.81 m/s2 und h für die Höhe, in welcher das Auto hängt. Wird diese Formel mit der Arbeitsformel verglichen, so kann festgestellt werden, dass sie beide das Gleiche aussagen:

Die Gewichtskraft des Fahrzeuges entspricht dem Produkt aus Masse und Erdbeschleunigung. Daneben entspricht in diesem System die Strecke s der Höhe h. Auch damit kann die Energie erneut als gespeicherte Arbeit angesehen werden.

Im Bild 5c wird das am Boden stehende Fahrzeug leicht nach oben angestossen. Es nimmt damit potenzielle Arbeit auf, während das andere Fahrzeug potenzielle Arbeit abgibt, weil es sich dem Boden nähert. Die in diesem System (in den beiden Fahrzeugen) gespeicherte Energie bleibt sich also immer gleich.

Kinetische Energie Im Bild 1 ist ebenfalls die Situation dargestellt, dass ein Fahrzeug – hier mit einem Kran – hochgehoben wurde. Es hat potenzielle Energie gespeichert. Als es aber losgelassen wurde, verwandelte sich die potenzielle Energie in kinetische Energie: Das Fahrzeug hat im freien Fall Geschwindigkeit zugelegt und ist mit seiner Wucht auf den Boden aufgeprallt. Im Crashmoment wurde die kinetische Energie in Verformungsenergie und in Wärmeenergie umgewandelt. Es musste dabei genau die Energie umgewandelt werden, welche im ruhenden System als potenzielle Energie gespeichert war.

Wird das hochgehobene Fahrzeug losgelassen, verrichtet die Schwerkraft auf dem Fallweg wiederum die Arbeit. Diese Arbeit wird jetzt aber nicht dazu benutzt, ein anderes Auto hochzuheben, sondern sie dient der Beschleunigung des fallenden Fahrzeuges. Weil die Erdbeschleunigung g konstant ist, gilt hier für die Beschleunigungsarbeit: dabei ist:

5. Arbeit und Energie. a der E-Motor zieht das Fahrzeug nach oben, dabei wird Energie gespeichert – b steht das Fahrzeug still, kann es von einem gleich schweren Fahrzeug in Ruhe gehalten werden – c die Energie im System bleibt gleich, auch wenn das eine Fahrzeug etwas angehoben und das andere etwas gesenkt wird.

Vom Kolbenmotor Elektroantrieb:

Bild
Bild

Die Strecke kann in der Beschleunigungsrechnung mit verschiedenen Formeln ausgerechnet werden. Da es im freien Fall des Autos natürlich zu Geschwindigkeit kommt, macht die Formel Sinn, welche die Geschwindigkeit miteinbezieht (5).

Damit kann die Formel (2) derart umgebaut werden, dass anstelle von FG die Formel (4) eingesetzt wird und anstelle von h die Formel (5). Damit ergibt sich Formel (6). Algebraisch kann diese Formel aufgelöst und zur Formel (8) vereinfacht werden.

Mit dieser Formel (8) wird die kinetische oder Beschleunigungsenergie berechnet. In Bild 1 wird links die potenzielle Energie gespeichert und rechts wird sie zurück in Verformungsarbeit verwandelt. Über die Formel der kinetischen Energie kann dabei die Aufprallgeschwindigkeit ausgerechnet werden.

Gespeicherte Arbeit

Energiespeicher, also Geräte oder Einrichtungen, welche Arbeit speichern und diese unter gewissen Umständen wieder abgeben können, gibt es in vielen physikalischenTeilgebieten und auch in der Chemie. So stammen die bisher beschrieben Beispiele aus dem physikalischen Gebiet der Mechanik. In der Mechanik gibt es auch noch den Schwungradspeicher. Diesen kann man sich vorstellen, wenn im Bild 5b das unten stehende Auto eben durch ein sehr schweres Schwungrad ersetzt wird. Das Schwungrad wird durch das herunterfallende Auto beschleunigt und die potenzielle Energie des Autos

Bild 6. Fahrzeugbatterien treiben moderne E-Fahrzeuge zuverlässig über mehrere Hundert Kilometer an. Sie sind aber voluminös und machen fast die halbe Fahrzeugmasse aus.

wird in Rotationsenergie umgewandelt. Beim Verbrennungsmotor hat das Schwungrad genau diese Aufgabe und überbrückt die Zeiten der Leertakte möglichst schwingungsfrei. Während der Arbeitstakte wird das Schwungrad wieder mit Energie aufgeladen. Wichtige Energiespeicher in der Mobilität sind vor allem die chemischen und heute auch die elektrochemischen Energiespeicher. Benzin, Diesel und Kerosin sind bekannt und weisen gegenüber elektrochemischen Speichern den riesengrossen Vorteil auf, dass sie pro Kilogramm Masse ein Vielfaches an Energie speichern können. Auf der anderen Seite ist der Wirkungsgrad der elektrischen Antriebe gegenüber den verbrennungsmotorischen Antrieben so viel besser, dass sich eben auch elektrisch problemlos Auto fahren lässt.

Durch die CO2-Diskussion sind die fossilen Energieträger in Verruf geraten, doch können sie mittels alternativer Energie wie Windenergie oder Photovoltaik synthetisch aufgebaut werden und sind dann auch klimaneutral. Bei diesen Syn-Fuel oder E-Fuel genannten chemischen Energiespeichern weiss noch niemand so recht, welches Produkt am meisten gefördert werden soll: Wasserstoff wird durch die Elektrolyse aus Wasser hergestellt. Das winzig kleine Atom ist

aber schwierig zu transportieren, weil es überall diffundiert. Aus Wasserstoff und Kohlenstoff können Methan oder Methanol hergestellt werden, die wiederum zu benzin- oder dieselähnlichen Stoffen weiterverarbeitet werden können. Jede Verarbeitung braucht abermals Energie, und der Wirkungsgrad der Umwandlung sinkt bzw. die Treibstoffkosten steigen.

Dabei spielt vor allem der Energieträger Wasserstoff die entscheidende Rolle. Dieses Element speichert sehr viel Energie pro Masseeinheit, und so geht es eigentlich darum, was am meisten Wasserstoff binden kann. Dies ist Ammoniak, eine StickstoffWasserstoff-Verbindung, welche pro Volumeneinheit mehr Wasserstoff speichern kann, als wenn Wasserstoff komprimiert oder verflüssigt gespeichert wird. Aus diesem Grund gibt es Anstrengungen, im maritimen Bereich Ammoniakmotoren zu entwickeln.

Die Politik liebäugelt im Moment immer noch mehr mit der reinen Elektrizität als Energieträger, was unter dem Aspekt der Energieumwandlungen natürlich logisch und vernünftig ist. Jede Energieumwandlung erfolgt unter Verlusten. Deshalb sollte die elektrische Energie direkt benutzt werden. Hier stellt sich dann wieder das Problem der Speicherung. In Fahrzeugen stellen

die Li-Ionen-Akkumulatoren heute akzeptable Speicher dar. Wenn aber der Fokus vom Verkehr auf die Infrastruktur gelegt wird, dann werden riesige Energiespeicher nötig. Da haben wir in der bergigen Schweiz den Vorteil, dass wir Stauseen bauen können. Die Wassermassen werden bei Stromüberschüssen von Pumpen in die höher gelegenen Seen gepumpt und nehmen so potenzielle Energie auf. Wird die Energie wieder gebraucht, stürzen die Wassermassen in die Turbinen, welche Generatoren antreiben und so wieder elektrische Energie erzeugen.

FRAGEN

1. Erklären Sie den Begriff Vektor oder gerichtete Grösse.

2. Wann wird aus einer Kraft und einem Hebel oder einer Strecke ein Drehmoment?

3. Welcher Unterschied besteht zwischen der physikalischen Formel für die Arbeit und jener für die potenzielle Energie?

LÖSUNG ZUR AUSGABE 12/2024

1. 1 t Masse: ca. 900 kJ, 2 t Masse: ca. 1800 kJ

2. Die Elektronik entscheidet aufgrund von Sensordaten. Wie viel kann die E-Maschine liefern, wie viel kann die Batterie aufnehmen, welche Verzögerung wird überhaupt gefordert usw.

3. ASM

Mensch-Maschine-Schnittstellen

NUTZERABSICHTEN ANTIZIPIEREN

Ein «intelligentes» Demofahrzeug erkennt sich nähernde Personen und deutet ihre Absichten. Und eine unsichtbar hinter dem Display angebrachte Kamera erfasst die Vitaldaten der Fahrzeuginsassen.

Text: Stefan Gfeller | Bild: Continental

Continental hat im Januar auf der Consumer Electronics Show (CES) in Las Vegas mit dem eigens aufgebauten Demofahrzeug Intelligent Vehicle Experience Car technologische Innovationen für die Interaktion zwischen Auto und Fahrer präsentiert – Lösungen, die in den nächsten drei bis fünf Jahren in Serie gehen könnten. Das Showcar soll einen konkreten Ausblick auf das Software-definierte Fahrzeug und gleichzeitig auf die grosse Bedeutung von Biometrie für künftige Fahrzeuggenerationen bieten. Denn die Interaktion zwischen Mensch und Maschine in Fahrzeugen ist für eine positive

Nutzererfahrung entscheidend. In Zukunft sollen Fahrzeuge mit ihren Nutzern schon vor dem Öffnen der Türen interagieren. Sie werden in der Lage sein, Absichten, Bewegungen und Gesichtsausdrücke zu deuten.

Vielfältige Anwendungsfälle

Das «intelligente Fahrzeug» von Continental zielt auf diesen ersten, entscheidenden Kontakt zwischen Mensch und Automobil ab. Dazu nutzt es die Vorteile der biometrischen Erkennung, wie man sie zum Beispiel von der Gesichtserkennung vieler Smartphone-Apps kennt, geht aber noch einen Schritt weiter: Es antizipiert die Absichten des Nutzers,

versteht den Kontext und personalisiert die Interaktion. Das Demofahrzeug zeigt unter anderem die Anwendungsfälle Approach Detection (das Auto erkennt sich nähernde Personen), User Identification (das Auto identifiziert autorisierte Personen mittels Gesichtserkennung), Intention Recognition (das Auto erkennt die Absicht einer sich nähernden Person, etwa durch Interpretation einer Handbewegung in Türnähe) und Intuitive Trunk Access (der Kofferraum öffnet sich automatisch, wenn eine autorisierte Person zum Beispiel eine gewisse Zeit in Richtung der Heckklappe schaut. In einer ersten Generation dieser Innovation wird der Öffnungsimpuls noch durch eine Fussbewegung in Richtung hinterer Stossstange ausgelöst).

Für diese Funktionen kombiniert Continental künstlich intelligente Algorithmen und Fahrzeugsensorik, die für verschiedene Anwendungen bereits im Fahrzeug vorhanden sind.

Zum Beispiel können 360°-Kameras, die für einen Parkassistenten genutzt werden, gemeinsam mit bewährter Ultrabreitband-Radarsensorik auch

zur Identifizierung von Personen zum Einsatz kommen. Das bereits bei verschiedenen Herstellern in Serie gegangene Smart-Device-basierte Zugangssystem «CoSmA» von Continental bietet dabei die Basis für die Interaktion.

Display mit Durchblick

Im Rahmen der CES mit einem Innovation Award Honoree ausgezeichnet wurde das von Continental gemeinsam mit «trinamiX» entwickelte Invisible Biometrics Sensing Display. Es erfasst die Vitalparameter der Fahrzeuginsassen, wobei die Technik die im Fahrzeuginnenraum befindlichen Passagiere durch den hochauflösenden OLED-Bildschirm hindurch erkennt und so komplett unsichtbar bleibt. Darüber hinaus bietet das System weitere Vorteile: So erstellt es zum Beispiel eine 3DTiefenkarte für eine optimierte Auslöseentscheidung bei Airbags und erkennt zuverlässig, ob der Sicherheitsgurt angelegt ist. Zudem bietet das Invisible Biometrics Sensing Display eine berührungslose Analyse von Vitalparametern wie der Herzfrequenz. So können Stresssituationen oder ein sich anbahnender medizinischer Notfall rechtzeitig registriert und entsprechende Sicherheitsfunktionen eingeleitet werden.

Um Vitaldaten zu erfassen, ist neben einer 1.5-MP-Near-InfraredKamera ein für das menschliche Auge ungefährlicher Laser-Dot-Projektor hinter dem hochauflösenden OLED-Bildschirm platziert. Die hier eingesetzte biometrische Bildanalyse stammt von «trinamiX». Das Verfahren nutzt die Reflexionen der vom Laser-Dot-Projektor im unsichtbaren Lichtspektrum ausgesendeten Lichtpunkte, um auf Basis von künstlicher Intelligenz Ergebnisse abzuleiten. Zudem stellt die Lösung weitere relevante Informationen bereit: den Abstand des Fahrers zum Cockpit oder auch die Klassifikation von Textilstoffen, die zur Erkennung eines korrekt angelegten Sicherheitsgurtes benötigt wird.

Das Intelligent Vehicle Experience Car antizipiert die Absichten des Nutzers, versteht den Kontext und personalisiert die Interaktion.

CLOUD-GETRIEBENE POWERTRAIN-OPTIMIERUNG

Cloud­getrieben und in Echtzeit werden fahrzeugspezifische Optimierungen für den Antriebsstrang bereitgestellt. Das resultiert in grösserer Reichweite und längerer Batterielebensdauer, zudem kann die Update­Fähigkeit des Fahrzeugs um Hardware­Upgrades erweitert werden – und ein standardisierter Batterie­Score könnte den Fahrzeug­Wiederverkaufswert erhöhen. Bild: IAV

Typischerweise ist die Reaktion eines Batteriemanagementsystems (BMS) starr vorgegeben, wobei nur sehr begrenzte Anpassungen an Kundenoder Umweltbedingungen möglich sind. Es ist zum Zeitpunkt der Fahrzeugauslieferung vorprogrammiert, und alle Softwareanpassungen oder -verbesserungen müssen durch Updates vorgenommen werden.

Die IAV GmbH Ingenieurgesellschaft Auto und Verkehr hat nun eine Cloud-getriebene PowertrainOptimierung vorgestellt, mit der ab Werk ein standardisiertes oder sogar ein «minimales» BMS geliefert werden kann, das dann individuell über die Cloud auf den Fahrer abgestimmt wird. Das Verhalten des BMS kann in Echtzeit gesteuert und bei Bedarf angepasst werden. So wird eine flexible und personalisierte Optimierung des Batteriemanagements möglich, die auf die spezifischen Bedürfnisse und Bedingungen des Fahrers zugeschnitten ist. Dabei nutzt die Lösung Sensordaten von elektrifizierten Fahrzeugen, Flottendaten und komplexe Algorithmen in der Cloud, um die fahrzeugspezifischen Optimierungen für den Antriebsstrang, aber auch Tipps für den Fahrer in Echtzeit bereitzustellen. So können signifikante Verbesserungen in Reichweite und Batterielebensdauer erzielt werden.

Hardware-Upgradefähigkeit

Ein weiterer wichtiger Aspekt der Cloud-getriebenen Powertrain-Optimierung ist die Update- und Upgrade-Fähigkeit des Fahrzeugs. IAV

spricht hier gar von einem «neuen Level» für Software-definierte Fahrzeuge, welches auch die HardwareUpgradefähigkeit umfasst. Das bedeutet, dass beispielsweise die Batterie oder der Elektromotor durch ein Modell mit der neuesten Technologie ersetzt werden kann, ohne dass neue Software erforderlich ist. Mit der Lösung von IAV ist die Software nicht Hardware-gebunden und kann basierend auf Algorithmen in der Cloud einfach an die neue Hardware angepasst werden. Dies ermöglicht

es, das Fahrzeug in Bezug auf die Hardware zu aktualisieren und aufzurüsten und so seine Lebensdauer zu verlängern. Dazu stellt IAV sicher, dass die «Treiber» der Hardware immer kompatibel sind – ähnlich wie beispielsweise bei früheren PCs, bei denen das Gehäuse gleich blieb, aber neue Prozessoren und mehr Speicher installiert wurden: Das Fahrzeug bleibt äusserlich unverändert, während der Antriebsstrang auf den neuesten Stand gebracht wird. Dies schafft eine nachhaltige

und kosteneffiziente Lösung für Fahrzeugbesitzer.

Ein Score für Batterien

Hinzu kommt die Einführung eines Batterie-Scores, der die verbleibende Lebensdauer, die Umweltbelastung, die Aussichten für die Nutzung in Second-Life-Anwendungen und den Wiederverkaufswert der Batterie berücksichtigt. Durch die Optimierung der Batterie in Echtzeit und die Anpassung cloudbasierter Fahrmodelle an den Fahrer kann zudem die Batterielebensdauer verlängert werden. Das erhöht nicht nur den Wiederverkaufswert des Fahrzeugs, sondern schafft auch eine Motivation für den Fahrer, sein Fahr- und Ladeverhalten anzupassen. Durch den Einsatz von Gamification-Elementen beispielsweise könnten Fahrer zusätzlich motiviert werden, ihr Verhalten zu ändern und so die Batterie zu schonen. (sag)

Das Verhalten des Batteriemanagements kann Cloud-getrieben angepasst werden.

Leistungselektronik: Zukünftig könnten Mikrowandler die Regelung jeder einzelnen Batteriezelle und die Kommunikation der Zellen untereinander ermöglichen.

Zukünftige Technologien

EINBLICKE IN FORSCHUNGSAKTIVITÄTEN

Mercedes­Benz gibt Einblicke in seine Forschungsaktivitäten und zeigt, wie ein neuartiger Power Converter mehr Effizienz für die Hochvoltarchitektur der Zukunft bieten könnte und welche Vorteile die Integration der mechanischen Bremse in die Antriebseinheit verspricht.

Text: Stefan Gfeller | Bilder: Mercedes-Benz

Mercedes-Benz forscht kontinuierlich an neuartigen Technologien, um die Mobilität von morgen zu gestalten, und gab nun Einblicke in aktuelle Forschungsaktivitäten, die auf den automobilen Fortschritt weit nach der jetzigen Ära der Transformation zielen. Dazu gehören etwa Visionen von Städten der Zukunft oder der Einsatz von Augmented Reality und Mixed Reality für ein «hyperpersonalisiertes Kundenerlebnis» der Zukunft, auf die hier nicht näher eingegangen wird, aber auch Entwicklungen in der Leistungselektronik und eine Umplatzierung der Bremse.

Regelung auf Zellebene

Eine neue Generation von Leistungselektronik-Technologien soll nicht weniger als einen Paradigmenwechsel einläuten. Denn künftig könnten programmierbare Mikrowandler über die Grenzen derzeit üblicher elektrischer Wechselrichtersysteme hinausgehen. Dazu werden die Mikrowandler direkt auf der Batteriezellebene integriert und ermöglichen so die Regelung jeder einzelnen Batteriezelle und die Kommunikation der Zellen untereinander. Genauer: Ein

aus mehreren Mikrowandlern bestehender Power Converter wird direkt an eine beliebige Anzahl von Batteriezellen angeschlossen und ermöglicht es, Zellen individuell zu regeln und die Höhe der Ausgangsspannung dieser Einheit zu regeln. Die derzeitigen Forschungsergebnisse zeigen, dass damit – unabhängig vom Ladezustand und dem Alterungszustand der einzelnen Zellen – eine konstante Spannung von 800 V am Ausgang bereitgestellt werden kann. Dabei ist die Ausgangsspannung dieser gesamten Fahrzeugbatterie nicht mehr von der Anzahl der in Reihe geschalteten Batteriezellen abhängig, die Anzahl wird lediglich durch die gewünschte Leistungs- und Kapazitätsklasse vorgegeben.

Mercedes-Benz erklärt, dass dieser technologische Ansatz überdies die Reichweite steigern und den Energiefluss auch für bidirektionale Ladevorgänge optimieren könnte. Zudem würden sich neue Freiheiten bei der Modularisierung von Elektroantrieben ergeben, denn die programmierbaren Mikrowandler könnten die Varianten elektrischer Bauteile in der Produktion reduzieren, für aktuelle Updates leicht umprogrammiert werden und sich

so als ressourcenschonende Einheitsbauteile anbieten.

Kaum Verschleiss und nahezu wartungsfrei

Die mechanische Bremse kann in Elektrofahrzeugen, die überwiegend durch Rekuperation verzögern, anders gestaltet werden. So sitzt die nachhaltigere Bremse, an der Mercedes-Benz aktuell forscht, nicht mehr klassisch im Rad, sondern ist in die geschlossene Elektromaschine-Getriebe-Einheit an der/den angetriebene(n) Achse(n) integriert.

Dabei nimmt die «In-Drive Brake» nur wenig Bauraum ein, verschleisst kaum, rostet nicht und ist nahezu wartungsfrei – all dies gemäss den derzeitigen Forschungsergebnissen. Sie wäre also sehr langlebig und zuverlässig, ausserdem würden keine Feinstaubemissionen durch Bremsabrieb nach aussen gelangen. Bremsgeräusche und Bremsenreinigung könnten damit künftig der Vergangenheit angehören.

Gemäss Mercedes sei die Bremswirkung gut zu dosieren und lasse auch unter hoher Belastung nicht nach. Zu den weiteren Vorteilen gehört natürlich einerseits die Verringerung der ungefederten Massen, da die Bremse nicht mehr am ungefederten Rad sitzt. Andererseits würden durch den Wegfall der Bremsenkühlung am Rad auch komplett geschlossene Felgen für eine verbesserte Aerodynamik möglich.

Mercedes-Benz forscht an der «In-Drive Brake», die nicht mehr am Rad, sondern in der Elektromotor-Getriebe-Einheit eingebaut ist.

&Technik & Wir tschaft

TITELTHEMA

Sommerreifen

Sommerreifen-Highlights und Tipps fürs Geschäft mit den Pneus.

WIRTSCHAFT

Klimaanlagen und Klimaservice

Neue Geräte für eine einträgliche Klimaanlagenwartung.

Lagersysteme

Einrichtungen und Strategien für ein geordnetes Lager.

Zu den weiteren Themen zählen Tuning mit Trends aus dem Bereich der Fahrzeugindividualisierung sowie Felgenreparatur.

AUTO-EVENTS 2025

FACHWISSEN

Stellantis-Getriebe 6-eDCT Für Hybridfahrzeuge werden immer wieder neue Getriebe entwickelt. Stellantis hat 2023 ein neues 6-Gang-Doppelkupplungsgetriebe mit integriertem 48-Volt-E-Motor vorgestellt. Für rein verbrennungsmotorisch fahrende Fahrzeuge kann das Getriebe softwaremässig auf sieben Gänge erweitert werden. Es weist insgesamt drei Kupplungen, vier Getriebewellen, einen Planetensatz und den Achsantrieb mit dem Differential auf. Die in P2-Manier eingebaute E-Maschine wird direkt an die Trennkupplung angeschlossen. Wie das Getriebe funktioniert und wo das Drehmoment durchgeleitet wird, erklären wir im «Fachwissen» der März-Ausgabe.

Termin Veranstaltung Ort Internet

21.02.25-22.02.25 The Ice St. Moritz St. Moritz theicestmoritz.ch

27.02.25-02.03.25 Retro Classics Stuttgart retro-classics.de

22.03.25 Hostettler Snow Day Andermatt autotechnik.ch

05.04.25-06.04.25 Technorama Kassel technorama.de

26.04.25-27.04.25 Myle Zürich Kempthal myle-festival.com

01.05.25-04.05.25 Tuning World Bodensee Friedrichshafen tuningworld-bodensee.de

20.05.25 Driving Day Brunegg aboutfleet.ch

30.05.25-01.06.25 Swiss Classic World Luzern swissclassicworld.ch

21.05.25-24.05.25 Autopromotec Bologna autopromotec.com

22.05.25 ESA Generalversammlung Interlaken esa-genossenschaft.ch

21.08.25-24.08.25 Passione Engadina St. Moritz passione-engadina.ch

22.08.25-23.08.25 Swiss Automotive Show Bern swissautomotiveshow.ch

04.09.25-07.09.25 Arosa Classic Car Arosa arosaclassiccar.ch

IMPRESSUM

Ein Unternehmen der ZT Medien AG

Herausgeber/Verlag

A&W Verlag AG

Riedstrasse 10

CH-8953 Dietikon

Telefon: 043 499 18 60 info@awverlag.ch www.auto-wirtschaft.ch www.awverlag.ch

MARKEN VON A&W

Geschäftsführer Giuseppe Cucchiara gcu@awverlag.ch Verkaufsleiterin / Mitglied der Geschäftsleitung

Jasmin Eichner je@awverlag.ch

Chefredaktor Mario Borri (mb) mborri@awverlag.ch

Redaktion

Michael Lusk (ml)

Fabio Simeon (fs)

Isabelle Riederer (ir) Felix Stockar (fst) Andreas Lerch (ale) Stefan Gfeller (sag) Leitender Redaktor AUTO&Technik redaktion@awverlag.ch

Anzeigenverkauf Juan Doval jd@awverlag.ch Mobile: 076 364 38 41

SCHWERPUNKT

Lackieranlagen und Lacktrends 2025

In der ersten Ausgabe des neuen Jahres setzt AUTO&Carrosserie den Schwerpunkt auf Lackieranlagen und Lacktrends. Zum einen spüren wir die neusten Trends bei den Lacken auf. Einer davon ist, dass die Produkte laufend verbessert werden und noch schneller zu applizieren und vor allem zu trocknen sind. Zum anderen stellen wir die neusten Lackierkabinen, Multiarbeitsplätze sowie innovative Technologien bei der Lackaufbringung vor.

EISKALT VORBEREITET – FÜR JEDEN WINTERTRIP

Viele Marken, ein Shop. Finden Sie hochwertiges Autozubehör für perfekte Winterferien von führenden Marken wie Thule, 4Pets, Kleinmetall, Petex, Modula, Packline und vielen mehr – alles in einem Onlineshop, ohne mühsames Suchen. Sparen Sie Zeit und Geld mit unserem umfassenden Sortiment und schneller Lieferung. Ihre Vorteile: ein Ansprechpartner, maximale Verfügbarkeit und Top- Mehr unter: shop.fibag.ch

Qualität. Bestellen Sie so effizient, wie Sie arbeiten – mit unserem Onlineshop für Profis. Einfach. Effizient. Professionell.

Leiterin Marketing & Events

Arzu Cucchiara ac@awverlag.ch

Leiterin Administration / Assistentin der GL Amra Putinja ap@awverlag.ch

Telefon: 043 499 18 60

Buchhaltung / Administration

Natalie Amrein na@awverlag.ch

Telefon: 043 499 18 91

Berufslernende

Mariam Nasrat

Abo/Leserservice

Telefon: 043 499 18 60 info@awverlag.ch

Abonnementpreis

Inland CHF 95.–/Jahr (inkl. MwSt.) Erscheint 10-mal jährlich

Layout Simon Eymold info@awverlag.ch

Druck

Printi Pronto AG

Riedstrasse 10 / CH–8953 Dietikon

Gründer

Helmuth H. Lederer (2004 – 2014, † 2014)

© 2025 A&W Verlag AG. Alle Eigentums-, Verlagsund Nachdruckrechte bei A&W Verlag AG. Der Vertrieb sowie die Wiederverwendung des Inhalts sind nur mit schriftlicher Genehmigung des Verlags erlaubt. Für unverlangt eingesandte Manuskripte und Fotos wird keine Haftung übernommen.

Ölwechseln auch Sie mit Deutschlands Motoröl Nr. 1 und profitieren Sie von mehr Umsatzpotenzial. Mit ausgezeichneter Qualität, einzigartigem Vollsortiment, massgeschneiderten Konzepten, apparativer Ausrüstung und einem flächendeckenden Aussendienst, bietet Ihnen LIQUI MOLY echte Mehrwerte für Ihre Kunden und Ihr Geschäft.

www.liqui-moly.com

Exklusiv bestellbar bei ec24.ch

Nach strengsten Anforderungen entwickelt und getestet

NEU: Castrol EDGE 0W-20 LL IV

Wir stellen vor: Das erste 3-in-1 Motorenöl, das die neuesten Anforderungen von drei sehr unterschiedlichen Herstellerfreigaben VW 508 00/ 509 00, BMW Longlife-17 FE+ und MB-Freigabe 229.72 in einem einzigen Produkt erfüllt. Nachgewiesen in über 10.000 Teststunden.

Die Castrol EDGE Produktreihe wird von Mechanikern, Fahrzeugherstellern und dem BWT Alpine F1® Team empfohlen.*

Das Castrol EDGE Produktsortiment:

• In Kooperation mit Fahrzeugherstellern entwickelt**

• Freigegeben für die nächste Generation von Herstellerspezifikationen

• Erfüllt die Anforderungen der neuesten Motoren

SETZEN SIE DAS POTENZIAL IHRES MOTORS FREI

Turn static files into dynamic content formats.

Create a flipbook
Issuu converts static files into: digital portfolios, online yearbooks, online catalogs, digital photo albums and more. Sign up and create your flipbook.