Matematikk 2P

Page 1


John Engeseth

Odd Heir

Tor Espen Kristensen

Håvard Moe

Tea Toft Norderhaug

Sigrid Melander Vie

John Engeseth

Odd Heir

Tor Espen Kristensen

Håvard Moe

Tea Toft Norderhaug

Sigrid Melander Vie

Bokmål

Læreboka Matematikk2P følger læreplanen i matematikk 2P for vg2 i studieforberedende utdanningsprogram (LK20).

© Aschehoug AS 2026

5. utgave / 1. opplag 2026

Materialet er vernet etter åndsverkloven. Kopiering og tilgjengeliggjøring er ikke tillatt uten samtykke fra rettighetshaverne, avtale med Kopinor (www.kopinor.no) eller annen forvaltningsorganisasjon, eller hjemmel i lov. Forbudet gjelder også trening av og annen bruk av materialet i kunstig intelligens og innebærer et uttrykkelig forbehold mot tekst- og datautvinning etter digitalmarkedsdirektivet artikkel 4.

Redaktør: Harald Øyen Kittang

Grafisk formgiving: Marit Jakobsen

Ombrekking: ord & form, Gudbrand Klæstad

Omslag: Basta Illustrasjon & Design, Víctor Paiam

Bilderedaktør: Hege Rødaas Aspelund

Tekniske tegninger: Framnes Tekst & Bilde AS, Eirek Engmark

Grunnskrift: Frutiger LT Std 45 Light 10/14

Papir: 100 g G-print 1,0

Trykk og innbinding: Merkur Grafisk AS

ISBN 978-82-03-41463-3 www.aschehoug.no

SVANEMERKET

Om Matematikk 2P

Matematikk2P følger læreplanen i matematikk 2P (LK20) som gjelder fra august 2020, og består av lærebok og digitale ressurser på Aunivers.

Læreboka

Vi presenterer matematikken på en strukturert og forståelig måte. Vi følger opp teori og eksempler med innlæringsoppgaver. I eksemplene legger vi vekt på gode forklaringer og framgangsmåter, også med GeoGebra, Python og Excel der det er relevant. I tillegg har vi UTFORSK-oppgaver, som får elevene til å gå i dybden og se sammenhenger i faget, og SNAKK-oppgaver, som gir elevene muligheten til å kommunisere matematikk.

Underveis finner du slike «lapper» med repetisjon og påminnelser.

Hvert underkapittel inneholder differensierte oppgaver:

Røde oppgaver er en naturlig fortsettelse av innlæringsoppgavene.

Blå oppgaver gir større utfordringer.

Til slutt i hvert kapittel finner du Blandede oppgaver, som gir både mengdetrening og dybdelæring.

Tidligere gitte eksamensoppgaver er lagt inn i alle kapitlene, der de passer. På den måten kan elevene komme raskt i gang med å løse eksamensoppgaver.

Oppgaver som bør løses uten hjelpemidler, er merket med

Oppgaver som krever programmering, er merket med

Digitale ressurser på Aunivers

De digitale ressursene har samme kapittelinndeling som læreboka og inneholder blant annet

Python

Som lærer får du i tillegg tilgang til

Vi håper at Matematikk2P møter forventningene

dine til et komplett læreverk.

Vi setter stor pris på kommentarer og innspill, så send oss gjerne en e-post til matematikk2p@aschehoug.no.

Vi ønsker deg lykke til med faget!

Hilsen forfatterne

John Engeseth

Odd Heir

Tor Espen Kristensen

Håvard Moe

Tea Toft Norderhaug

Sigrid Melander Vie og redaktør Harald Øyen Kittang

Innhold

1 Statistikk

1A Sentralmål 8

1B Diagrammer 32

1C Spredningsmål 48

Blandede oppgaver   61

Sammendrag   66

Kapitteltest   67

2 Modellering

2A Å presentere data 70

2B Å analysere data 82

2C Eksponentiell vekst 92

2D Regresjon 102

Blandede oppgaver   114

Sammendrag   120

Kapitteltest   121

3 Økonomi

3A Lønn 124

3B Sparing 132

3C Lån 139

3D Budsjett og regnskap 149

3E Pris- og lønnsutvikling 152

Blandede oppgaver   164

Sammendrag   172

Kapitteltest   173

4 Likninger og ulikheter

4A Lineære likninger 176

4B Andregradslikninger 186

4C Flere strategier for å løse likninger 196

4D Likningssystemer 203

4E Ulikheter 215

Blandede oppgaver   224

Sammendrag   233

Kapitteltest   234

5 Geometri

5A Mangekanter og vinkler 239

5B Geometriske formler 240

5C Pytagorassetningen 252

5D Formlikhet 261

5E Målestokk 272

5F Sammensatte geometriske figurer 278

Blandede oppgaver   286

Sammendrag   296

Kapitteltest   297

Fasit   298

Register   316

Bildeliste   318

Modellering 2

2A Å presentere data 70

2B Å analysere data 82

2C Eksponentiell vekst 92

2D Regresjon 102

Visste du at …?

Forskere over hele verden lager klimamodeller som FN bruker i sine rapporter. Modellene deler jorda inn i et stort rutenett og beregner hvordan temperatur, vær og havnivå kan endre seg i framtiden. For å utføre disse beregningene bruker de noen av de kraftigste superdatamaskinene i verden. Selv om disse maskinene er svært raske, kan det ta flere uker å gjennomføre beregningene.

Allerede i 1980-årene forutsa forskerne en temperaturøkning som stemmer godt med det vi seinere har observert. I dag har modellene blitt mer detaljerte og tar også med havstrømmer, isbreer, nedbør og ulike senarioer for hvordan klimapolitikken i verden kan bli i framtiden.

Kilde: ssb.no

Å presentere data

Når vi gjør undersøkelser og samler inn data, er målet å finne sammenhenger, mønstre eller utvikling. For å kunne tolke det vi har funnet, er det nyttig å presentere dataene på en oversiktlig måte. Dette gjør det lettere å oppdage hva tallene forteller, og å trekke gode konklusjoner. I kapittel 1 så vi på ulike måter å presentere data på. Hvilken av disse måtene vi ønsker å bruke i ulike situasjoner, avhenger av hva vi ønsker å formidle.

Tabellen nedenfor viser hvor mange timer i uka som i gjennomsnitt ble brukt på ulike aktiviteter i to aldersgrupper i årene 2000, 2010 og 2022.

Nedenfor ser du fire ulike grafiske representasjoner lagd med utgangspunkt i tallene fra tabellen.

EKSEMPEL 1

Hvilket diagram vi bruker, avhenger av hva vi ønsker å formidle. Studer diagrammene på forrige side, og diskuter hva de formidler.

Tabellen ovenfor er hentet fra Statistisk sentralbyrå og viser hvor mange minutter norske kvinner og menn i gjennomsnitt brukte per dag på ulike medier i utvalgte år. Vi skal nå se på forskjellige måter å lage grafiske framstillinger av informasjonen på.

Linjediagram

Bruk tallene fra tabellen ovenfor, og lag et diagram som viser utviklingen av internettbruk fra 2018 til 2024 for kvinner og menn. Hva forteller diagrammet deg?

Antallminutterbruktpåinternettperdag

Vi velger å bruke et linjediagram siden vi vil vise hvordan utviklingen av internett har endret seg over tid. Da får vi diagrammet til venstre.

Vi ser at internettbruken har økt i løpet av disse årene både for kvinner og menn. Vi ser også at forskjellen mellom kjønnene har blitt mindre.

KvinnerMenn

EKSEMPEL 2

På Aunivers finner du en beskrivelse av hvordan du lager de ulike diagrammene med GeoGebra, Excel og Python.

Linjediagram bruker vi når vi vil vise hvordan noe endrer seg over tid.

2.1

Bruk tall fra tabellen på side 71, og lag et diagram som viser utviklingen av tid brukt på bøker fra 2018 til 2014, for kvinner og menn. Hva forteller diagrammet deg?

Bruk tallene fra tabellen på forrige side, og lag et diagram som viser utviklingen i tidsbruk på bøker og videomedier i perioden 2018–2024, uten å dele opp etter kjønn. Hva forteller diagrammet deg?

Vi fører tallene inn i et regneark og lager to nye kolonner der vi regner ut gjennomsnittet av tiden for kvinner og for menn.

Regneark uten og med formelvisning:

For å velge to eller flere områder i Excel holder du nede en tastekombinasjon mens du merker:

Windows: Hold nede Ctrl mens du drar over de ulike områdene (for eksempel D3:D9 og G3:G9).

Mac: Hold nede (kommando) mens du drar over områdene.

Da blir begge områdene markert samtidig.

Vi markerer D3 til D9 og G3 til G9 og velger å sette inn et linjediagram. Vi har også endret tallene langs førsteaksen til å være tallene i A3 til A9.

Antallminutterbruktpåbøkerogvideomedierperdag

Vi ser at i alle årene ble det brukt mer tid på videomedier enn på bøker. Vi ser også at det ikke har vært så store endringer i tiden brukt på bøker som for videomedier.

2.2

Bruk tallene fra tabellen, og lag et diagram som viser utviklingen av tid brukt på lydmedier og videomedier fra 2018 til 2024, uten å dele opp etter kjønn. Hva forteller diagrammet deg?

EKSEMPEL 3

Stolpediagram med kategoriske data

Noen data handler ikke om tall, men om grupper, for eksempel hvor mange som sykler, tar buss eller går til skolen. Dette er, som vi nevnte i kapittel 1, kategoriskedata fordi de deles inn etter typer eller egenskaper. Vi bruker ofte stolpediagram (også kalt søylediagram) til å illustrere slike data.

Bruk tabellen på side 71 og lag et diagram som viser hvor mye tid kvinner og menn brukte på de ulike mediene i 2024. Hva forteller diagrammet deg?

Vi velger ut tallene for 2024 og legger dem inn i et regneark.

I Excel kan vi sette inn et liggende, stablet stolpediagram.

Dette diagrammet viser tydelig at både kvinner og menn brukte mest tid på internett.

Vi kan også plassere tallene for kvinner og menn hver for seg:

Tid (i minutter) brukt på ulike medier i 2024

SNAKK

Se på de to stolpediagrammene i eksempel 3. På hvilken måte skiller de seg fra hverandre? Hva er fordelene og ulempene ved hvert av diagrammene når du skal sammenlikne dataene?

Stolpediagram er nyttig når vi vil sammenlikne verdier i ulike kategorier. Stolpene kan være stående eller liggende.

2.3

Bruk tabellen på side 71 og lag et diagram som viser hvordan kvinner og menn brukte tiden på de ulike mediene i 2019. Hva forteller dette diagrammet deg sammenliknet med diagrammet i eksempel 3?

2.4 (Eksamen 2P våren 2022)

20172021

Arbeiderpartiet4948

Høyre4536

Fremskrittspartiet2721

Senterpartiet1928

Sosialistisk Venstreparti1114

Tabellen ovenfor viser fordelingen av representanter på Stortinget etter valget i 2017 og etter valget i 2021.

Bruk opplysningene i tabellen som utgangspunkt, og lag ulike diagrammer. Ved hjelp av diagrammene skal du tydelig få fram

Det skal gå tydelig fram hva hvert diagram viser, og du skal begrunne valget ditt av diagram.

2.5

Undersøk hvordan fordelingen av representanter på Stortinget ble etter valget i 2025, og lag ulike diagrammer som viser mandatfordelingen i 2025 sammenliknet med 2021.

Histogram

EKSEMPEL 4

time

I en klasse ble det gjort en undersøkelse av hvor mye tid elevene brukte på mobiltelefonen en dag. Resultatet ble følgende tall (i timer):

5,097,034,354,754,625,673,416,993,744,524,4 8,523,996,613,934,75,552,638,334,06,936,76 3,722,825,943,433,933,17

Presenter funn fra denne undersøkelsen.

Dersom vi ønsker å vise hvordan tiden brukt på mobiltelefonen er fordelt i klassen, kan et histogram være nyttig.

I GeoGebra lager vi en liste l1 med tallene fra undersøkelsen og en liste med klassegrensene valgt slik at bredden på intervallene er 1 og første klassegrense er 2,5. Kommandoen Histogram(klassegrenser, l1) gir oss diagrammet til venstre.

Her ser vi at mange av elevene bruker rundt fire timer per dag.

Vi ser også at det er en liten dupp ved seks timer.

Vi kan også lage diagrammet med Python:

import matplotlib.pyplot as plt

mobilbruk = [5.09, 7.03, 4.35, 4.75, 4.62, 5.67, 3.41, 6.99, 3.74, 4.52, 4.4, 8.52, 3.99, 6.61, 3.93, 4.7, 5.55, 2.63, 8.33, 4.0, 6.93, 6.76, 3.72, 2.82, 5.94, 3.43, 3.93, 3.17]

grenser = [1.5, 2.5, 3.5, 4.5, 5.5, 6.5, 7.5, 8.5, 9.5]

plt.hist(mobilbruk, bins=grenser, edgecolor='black')

plt.xlabel("Antall timer")

plt.ylabel("Antall/time")

plt.xticks(grenser)

plt.show()

Merk!

Når vi lager et histogram, må vi velge hvilke klassegrenser vi skal bruke. Disse avhenger av hva vi ønsker å formidle. Hadde vi for eksempel valgt grensene til å være 1, 3, 5, 7 og 9, ville vi fått følgende diagram:

Her ser vi at vi ikke får fram den lille duppen som var på rundt seks timer. Vi bruker histogrammer når dataene er delt inn i klasser eller intervaller, for eksempel aldersgrupper eller tidsperioder. Diagrammet viser hvor tett dataene ligger i hvert intervall, altså hvor mange observasjoner det er per enhet. På den måten får vi oversikt over fordelingen av dataene.

Histogram bruker vi når vi vil vise hvordan tall fordeler seg i intervaller.

2.6

En undersøkelse har kartlagt hvor mange elever det er i hver klasse på barnetrinnet ved 20 ulike skoler i Norge. Resultatene viser hvor mange elever som går i hver av de 20 klassene som ble undersøkt:

27212023232523252226

22262226222724282328

Lag et histogram der det første intervallet starter på 20, og der bredden på intervallene er a 1 b 2 c 3 d 5 Hvilke bredder er naturlig å bruke i dette tilfellet?

Du kan regne ut disse tallene i GeoGebra slik:

Boksplott

I eksempel 4 kunne vi også brukt et boksplott for å vise hva som er de sentrale tendensene i tallmaterialet. Da får vi følgende diagram:

Antall på timer 34567891011

Boksplottet viser oss at minste verdi er rundt 2,6, største rundt 8,5 og at omtrent halvparten av tallene ligger mellom 3,8 og 6,3.

Boksplott bruker vi når vi vil vise spredning, sentrale tendenser og ekstremverdier i et datasett.

EKSEMPEL 5

Lengdehopp er en grein av friidrett som går ut på å hoppe så langt som mulig i ett hopp. I konkurranser er det som regel tre forsøk, der det beste hoppet teller.

Anna og Petra konkurrerer om å kvalifisere seg til lengdehoppkonkurransen i et friidrettsstevne. De får ti hopp hver, og den beste av dem er kvalifisert til konkurransen. Her er resultatene (i meter) fra kvalifiseringen:

Hopp nr. 12345678910

Anna 5,105,455,924,105,235,325,894,914,375,42

Petra 5,445,805,675,745,725,045,735,535,595,83

a Lag passende diagrammer som viser resultatene til Anna og Petra. Begrunn valg av diagramtype.

b Bruk diagrammet til å si noe om hvordan resultatene til Anna og Petra skiller seg fra hverandre.

a Siden det her er ulike lengder spredt ut over et intervall, er det naturlig å lage enten et histogram eller et boksplott.

På figurene på neste side har vi lagd to histogrammer. Disse viser at resultatene til Petra er mer sentrert rundt gjennomsnittet, mens resultatene til Anna har større spredning.

I dette eksempelet vil et boksplott få tydelig fram forskjellen mellom fordelingen av lengdene på hoppene til Anna og Petra.

b Vi ser tydelig at Petra på det jevne hopper lenger enn Anna, selv om Anna har det lengste hoppet av de to.

2.7

I en klasse registrerte hver av elevene hvor mange timer de hadde brukt mobilen sin dagen før. Her er resultatene:

4,26,53,85,07,16,85,54,76,03,9 5,15,87,56,93,65,44,34,86,16,3 4,55,97,24,63,58,02,95,74,16,7

a Lag et boksplott som viser hvordan skjermtiden fordeler seg.

b Hva forteller boksplottet deg om skjermvanene i klassen?

Lengde (m)
Lengde (m)

RØDE OPPGAVER

2.8

Tabellen viser hvor stor andel av befolkningen som røyker daglig.

Kilde: ssb.no

a Lag et diagram som viser hvordan andelen som røyker daglig, har endret seg fra 2017 til 2024 for aldergruppa 16–24 år.

b Lag et diagram som viser forskjellene mellom de to aldersgruppene i 2024.

2.9 (Eksamen 2P våren 2023)

Hver morgen venter Madelen noen minutter på skolebussen. En uke undersøkte hun hvor mange syklister som brukte sykkelhjelm. Resultatet ser du i tabellen nedenfor.

UkedagSyklisterSyklister

hjelm

Madelen skal fortelle klassen sin om resultatene fra undersøkelsen.

Gjør beregninger, og vis Madelen hvordan hun kan presentere datamaterialet. Presentasjonen skal inneholde både beregninger og diagrammer.

BLÅ OPPGAVER

2.10

a Bruk tallene fra tabellen i oppgave 2.8, og lag et diagram som sammenlikner hvordan andelen av dem som røyker av og til, har endret seg for de to aldersgruppene.

b Lag et diagram som viser hvordan andelen av dem som røyker daglig, har endret seg fra 2017 til 2024 totalt sett for de to aldersgruppene.

2.11

Tabellen nedenfor viser hvor mange timer menn og kvinner brukte på ulike aktiviteter en gjennomsnittsdag i 1970, 1990 og 2010.

Tenk deg at du skal presentere funn fra dette datamaterialet for klassen din.

Gjør beregninger og sammenlikninger, og lag ulike framstillinger som du kan bruke i en presentasjon. Presentasjonen skal inneholde både beregninger, diagrammer og forklarende kommentarer.

Å analysere data

I kapittel 1 regnet vi ut gjennomsnitt, median, typetall, variasjonsbredde, kvartilbredde og standardavvik for et datasett. Disse tallene gir oss ulike måter å oppsummere og beskrive data på.

Nå skal vi ta det et skritt videre. Når vi møter data i praksis, er det ikke nok bare å kunne regne ut tallene – vi må også kunne vurdere hvilket av dem som er best egnet til å få fram den informasjonen vi ønsker fra det aktuelle datasettet. Noen ganger er gjennomsnittet nyttig, andre ganger er medianen bedre. Av og til trenger vi å se på hvor mye dataene varierer, og da kan vi velge mellom flere mål for spredning.

Hensikten er at du skal kunne gå fra å bare regne ut statistiske mål, til å bruke dem aktivt for å tolke og forstå data.

Vi skal også se hvordan vi kan bruke digitale verktøy til å analysere data på en effektiv måte.

Valg av sentralmål

Både gjennomsnitt og median er sentralmål, det vil si mål for sentrum i et datamateriale. Hvilket sentralmål som er best å bruke, avhenger av hvordan dataene er fordelt.

Medianen og gjennomsnittet vil være ganske like hvis et histogram (eller stolpediagram) av dataene er noenlunde symmetrisk. Se den øverste figuren. Da spiller det liten rolle om vi bruker gjennomsnittet eller medianen som sentralmål.

Hvis histogrammet (eller stolpediagrammet) ikke er noenlunde symmetrisk, vil det være større forskjell på median og gjennomsnitt. Se den nederste figuren. Da er det ofte best å bruke medianen som sentralmål.

EKSEMPEL 6

I en undersøkelse ble 20 personer spurt om hva månedslønna deres var forrige måned. Resultatet ser du nedenfor.

43 00047 00047 50048 000 48 500

49 00049 50050 00050 500 51 000

51 50052 00052 50053 000 54 000

55 00056 00058 00092 000180 000

Hvilket sentralmål vil best beskrive hva som er den «typiske» lønna?

Vi legger tallene inn i regnearket i GeoGebra og regner ut gjennomsnittet og medianen.

Vi ser at to personer tjente veldig mye forrige måned, og de drar derfor opp snittet kraftig. I slike tilfeller er medianen et godt mål å bruke.

I eksempelet ovenfor skiller to verdier seg ut som «unormale». Tallene 92 000 og 180 000 trekker gjennomsnittet mye opp. Dette kan vi illustrere ved å lage et boksplott. Kommandoen BoksPlott(3,1,A1:E4) vil gi oss følgende diagram:

Månedslønn (kr)

40000

Her ser vi at de fleste månedslønningene ligger rundt medianen, som vi ovenfor fant er 51 250 kr. I slike tilfeller kan det være aktuelt å se bort fra verdier som skiller seg veldig ut i datasettet. Kommandoen BoksPlott(3,1,A1:E4,true) vil synliggjøre dette ved å markere de to verdiene som skiller seg ut for seg:

Månedslønn (kr)

40000 60000 80000 100000 120000 140000 160000 180000 200000 220000

Slike verdier blir ofte kalt for uteliggere siden de ligger langt utenfor området der de andre verdiene ligger.

EKSEMPEL 7

Tallene nedenfor viser hvor mange timer 16 personer arbeidet en uke.

Regn ut median og gjennomsnitt for disse tallene. Vurder hvilket sentralmål som best beskriver arbeidstiden i denne gruppa.

Vi fører tallene inn i cellene A1 til D4 i regnearket i GeoGebra og bruker kommandoene Median(A1:D4) og gsnitt(A1:D4). Vi får at medianen er 39 og gjennomsnittet er 38,81.

De to tallene er nokså like siden tallene ligger jevnt fordelt på hver side av medianen. Det kan vi se av følgende histogram.

2.12

Lag et boksplott som viser hvordan tallene i eksempelet ovenfor er fordelt. Hva forteller dette diagrammet deg?

2.13

I en vennegjeng er det tolv gutter. En dag blir de enige om å følge med på hvor mye tid de bruker på dataspill. Tidene i minutter var 26, 33, 125, 48, 41, 146, 21, 64, 33, 18, 70 og 112.

a Bestem gjennomsnittet og medianen for tiden guttene brukte til dataspill. b Er det stor forskjell på de to sentralmålene? Kommenter.

2.14

Line og Trine har skrevet ned hvor mange kilometer de syklet hver dag de siste to ukene (14 dager).

Line 15 16 16 17 16 15 16 17 16 15 16 17 16 16

Trine 5 18 19 20 4 21 18 22 17 19 65 3 18 20

a Regn ut median og gjennomsnitt for Line og for Trine.

b Hvilket sentralmål mener du best beskriver hvor langt hver av dem syklet per dag? Begrunn svaret.

c Lag diagrammer som viser sykkelvanene til Line og Trine på en god måte.

EKSEMPEL 8

I en 2P-gruppe ble elevene spurt om hvilken ukedag de helst ville ha leksehjelp. Resultatet ble som følger (dagene er kodet med tall, der 1 = mandag, 2 = tirsdag og så videre):

Tenk deg at du skal presentere resultatet fra undersøkelsen for elevene i gruppa. Gjør beregninger og lag et diagram som illustrerer resultatet.

Gjennomsnitt og median gir ikke så mye mening her fordi dataene er kategoriske (ukedager). Når vi bruker koder som 1 = mandag, 2 = tirsdag og så videre, er tallene bare merkelapper og ikke ekte tallstørrelser. Derfor kan vi ikke tolke «gjennomsnittlig ukedag» eller «medianukedag» på en fornuftig måte. Typetallet er det beste sentralmålet fordi det viser hvilken ukedag flest elever foretrekker.

I dette tilfellet lager vi en frekvenstabell:

Ukedag Mandag (1)Tirsdag (2)Onsdag (3)Torsdag (4)Fredag (5)

Frekvens 05933

Vi ser at typetallet er 3. Det betyr at flest elever ønsker leksehjelp på onsdag.

Her er det naturlig å lage et stolpediagram siden vi har kategoriske data.

Frekvens

2.15

Bodø/Glimt vant eliteserien i fotball i 2020. Tabellen viser hvor mange mål Bodø/Glimt skåret for hver av de 30 kampene.

Mål per kamp 01234567

Antall kamper 011083341

a Bestem typetallet, medianen og gjennomsnittet for antall mål Bodø/Glimt skåret per kamp.

b Hvilket av de tre tallene du regnet ut i oppgave a, forteller best hvor mange mål som er vanlig for Bodø/Glimt å skåre på en kamp?

Valg av spredningsmål

I kapittel 1 så vi at kvartilbredden og standardavviket forteller oss noe om spredningen i et datamateriale. Spørsmålet vi skal se nærmere på nå, er hvordan vi avgjør hvilket spredningsmål vi bør bruke i en gitt situasjon. La oss se på tallene fra eksempel 6. I en undersøkelse ble 20 personer spurt hva månedslønna deres var forrige måned. Resultatet ser du nedenfor:

43 000

49 000

De fleste lønningene ligger mellom 43 000 og 58 000 kr, men to personer tjener mye mer. Disse høye verdiene trekker gjennomsnittet oppover og gjør at standardavviket blir stort. Medianen og kvartilbredden gir derimot et bilde som stemmer bedre med hva som er «typisk» i gruppa.

Dette eksempelet viser oss at

mye ut, er det naturlig å bruke gjennomsnitt og standardavvik

og kvartilbredde

2.16

Regn ut kvartilbredden og standardavviket for månedslønnene ovenfor.

EKSEMPEL 9

Nedenfor ser du karakterene to grupper elever fikk på eksamen.

Gruppe A

Gruppe B

Regn ut gjennomsnitt, median, kvartilbredde og standardavvik for tallene. Vurder hvilket spredningsmål som best beskriver forskjellen i karakterer mellom de to gruppene.

Vi kan bruke GeoGebra til å regne ut de ulike tallene. Vi fører karakterene for gruppe A i kolonne A og for gruppe B i kolonne B (❶). Så velger vi Analyse av flere variabler (❷) og velger å vise Statistikk (❸). Vi ser at begge gruppene har median lik 4. Standardavviket er 0,57 for gruppe A og 1,36 for gruppe B (❹).

I dette tilfellet er kvartilbredden 0 for begge gruppene, selv om vi ser ut fra karakterene at det er mer spredning i gruppe B. Dette blir fanget opp av standardavviket, som i dette tilfellet er det beste valget for spredningsmål.

2.17

En elev målte hvilepulsen sin (i slag per minutt) hver morgen i 16 dager. Resultatet ser du her:

a Regn ut gjennomsnitt, median, kvartilbredde og standardavvik for tallene.

b Hvilket sentralmål og hvilket spredningsmål passer best for å beskrive hvilepulsen? Begrunn svaret.

2.18

Byene Jevnby og Svingby målte gjennomsnittstemperaturen (°C) hver dag i en periode på 16 dager. Resultatene ser du her: Jevnby

a Finn gjennomsnitt, median, kvartiler og kvartilbredde for hver by. b Sammenlikn standardavvikene.

c Forklar hvorfor kvartilbredden ikke egner seg som spredningsmål i denne situasjonen.

2.19

Her ser du standpunktkarakterene i matematikk for tre ulike klasser. Hver klasse har 22 elever.

Klasse A

4 3 5 4 3 4 5 3 4

4 6 6 6 4 4 5 6 3 4 1 4 6

Klasse B

2 4 3 6 5 2 4 4 5 6 3 1 4 6 2 5 3 1 4 5 6 2

Klasse C

a Lag boksplott for de tre klassene i samme diagrammet.

b Sammenlikn de tre klassene ved å svare på disse spørsmålene:

1 Hva forteller medianen, gjennomsnittet og typetallet for hver av de tre klassene?

2 Hvilken klasse har jevnest resultat?

SNAKK

Avgjør om påstandene er sanne.

flesteparten av observasjonene er store tall.

RØDE OPPGAVER

2.20 (Eksamen 2P høsten 2022)

I sommerferien liker Maia å lese bøker. Nedenfor ser du hvor mange sider hun leste hver av de ti første dagene i ferien

201515252015251002520

a Bestem medianen og gjennomsnittet for datamaterialet.

b Hvilket av de to sentralmålene mener du best beskriver datamaterialet?

Husk å begrunne svaret ditt.

2.21

Til høyre ser du to histogrammer for to ulike datasett A og B

a Hvilke sentralmål kan være naturlig å bruke for de to datasettene?

b Hvilke spredningsmål kan være naturlig å bruke for de to datasettene?

Husk å begrunne svarene.

BLÅ OPPGAVER

2.22

På en matematikkprøve fikk elevene i klasse 2A karakterene:

4, 3, 2, 3, 1, 5, 4, 4, 3, 5, 2, 4, 6, 3, 2, 4, 1, 4, 3, 5, 2

På en norskprøve fikk de karakterene:

4, 4, 3, 3, 2, 4, 5, 4, 3, 6, 3, 4, 5, 3, 1, 5, 4, 4, 5, 4, 2

a Hva er variasjonsbredden for karakterene på matematikkprøven og på norskprøven?

b Bestem første og tredje kvartil, og finn kvartilbredden for matematikkprøven og for norskprøven.

c Jeanette studerer svarene på oppgave a og b og sier: «Her er ikke variasjonsbredden et godt spredningsmål.»

Er du enig med Jeanette? Husk å begrunne svaret.

d Hvilket spredningsmål er naturlig å bruke i denne situasjonen?

25% 25 100 0,25

Eksponentiell vekst

Prosent møter vi overalt – i økonomi, natur og samfunn. Når vi snakker om renter, folkevekst eller spredning av sykdommer, handler det om prosentvise endringer. Slike prosesser kan vi beskrive presist med vekstfaktor og eksponentialfunksjoner.

Vekstfaktor ved p prosent endring

Anta at du har 3000 kr i aksjer, og at verdien stiger med 25 %.

Verdistigningen i kroner er da 3000   0,25.

Den nye verdien i kroner er

+⋅=⋅+=⋅ 300030000,253000(10,25)3000 1,25 100% 25%av3000 vekstfaktor

Hvis aksjene i stedet synker 25 % i verdi, er den nye verdien i kroner

−⋅=⋅−=⋅ 300030000,253000(10,25)3000 0,75 100% 25%av3000 vekstfaktor

Tallene 1,25 og 0,75 i eksemplene ovenfor kaller vi vekstfaktoren. Legg merke til at vi kaller det vekstfaktor, selv om det er en reduksjon.

Prosentvis økning p %: Vekstfaktor V p 1 100 = =+ +

Prosentvis reduksjon p %: Vekstfaktor V p 1 100 = =− NGV nyverdigammelverdivekstfaktor = =⋅⋅ = =⋅⋅

2.23

a Hva er vekstfaktoren ved en økning på 1 5 % 2 15 % 3 15,5 % 4 0,5 %

b Hva er vekstfaktoren ved en reduksjon på 1 5 % 2 15 % 3 15,5 % 4 0,5 %

SNAKK

2.24

Beskriv den prosentvise endringen når vekstfaktoren er

a 1,75 b 1,045

c 0,6 d 0,975

e 1,072 f 2,15

g 0,992 h 0,003

2.25

En vare koster 240 kr. Bruk regning med vekstfaktor til å finne hvor mye varen vil koste hvis prisen

a stiger med 20 %

b synker med 10 %

2.26

Sindre fikk 5 % lønnsøkning.

Hva var den gamle lønna når lønna etter lønnsøkningen er 549 570 kr?

2.27

I ett kommunevalg fikk KrF 12 % av stemmene. Fire år seinere var oppslutningen deres 18 %.

a Hvor mange prosentpoeng økte oppslutningen til KrF?

b Hvor stor var økningen målt i prosent?

En journalist skriver: «KrF økte oppslutningen sin med 6 %.»

c Forklar hvorfor denne påstanden er misvisende, og skriv en mer presis formulering.

I Storgata registrerer en teller antall passerende syklister.

I uke 24 registrerte telleren 4587 syklister, og i uke 25 registrerte den 4954 syklister.

Silvio regnet ut økningen i prosent fra uke 24 til uke 25 slik: 4954 4587 1,08108%

Økningen fra uke 24 til uke 25 var på 8 %.

Hvordan tror du Silvio tenkte?

EKSEMPEL 10

En person får i seg 160 mg koffein. Mengden koffein i blodet reduseres med 11 % hver time.

Lag et regneark som viser hvor mye koffein som er i blodet de 12 første timene. Når er koffeininnholdet mindre enn 70 mg?

Vanlig visning:

Formelvisning:

Når vi autokopierer i et regneark, bruker vi $, som låser alt, kolonne eller rad.

B2 = alt endres

$B$2 = alt blir låst

$B2 = kolonne blir låst

B$2 = rad blir låst

Vi ser at koffeininnholdet er mindre enn 70 mg etter litt over 7 timer.

2.28

I et område ble det plantet 15 000 små trær.

Hvert år vokser det fram 10 % flere trær fordi nye spirer kommer til.

Lag et regneark som viser hvor mange trær området har ved avslutningen av hvert år de 20 første årene.

EKSEMPEL 11

I en bakteriekultur er det 15 000 bakterier.

Antallet øker med 10 % per time.

Lag et program som finner når antallet bakterier i kulturen passerer 50 000.

Vekstfaktoren for en økning på 10 % er 1,10. Vi bruker en while-løkke og ganger med vekstfaktoren i hver runde i løkka. Løkka går til bakterieantallet passerer 50 000.

b = 15000 # antall bakterier i starten

v = 1.10 # vekstfaktor

t = 0 # startverdi for antall timer

while b <= 50000:

b = b * v

t = t + 1

print(t)

Tabellen nedenfor viser hva som skjer.

t b Er b ≤ 50 000?

015 000Ja b får verdien 18 150 t får verdien 1

118 150Ja b får verdien 19 965 t får verdien 2

219 965Ja b får verdien 21 965,5 t får verdien 3

1247 076,42Ja b får verdien 51 784,06 t får verdien 13

1351 784,06Nei––

Programmet skriver ut 13

Det tar 13 timer før bakterieantallet passerer 50 000.

2.29

Ta utgangspunkt i eksempelet ovenfor.

a Hvor lang tid det tar før bakterieantallet passerer 200 000?

b Lag et program som skriver ut bakterieantallet hver time de tolv første timene.

Eksponentialfunksjoner

Vi ser nærmere på bakteriekulturen i eksempel 11. Hvis vi skal regne ut hvor mange bakterier det er etter fire timer, må vi multiplisere med vekstfaktoren fire ganger.

⋅= 150001,1021961,5 4

Vi kan uttrykke antall bakterier etter x timer som en funksjon f gitt ved

=⋅ fx()150001,10 x

Dette er et eksempel på det vi kaller for en eksponentialfunksjon.

Når vi lar variabelen være antall perioder, får vi en funksjon på formen fxab () x =⋅ , der fx() tilsvarer ny verdi, a er funksjonsverdien f(0) og b er vekstfaktoren.

Antall bakterier øker med 10 % prosent per time. Vi sier at antall bakterier øker eksponentielt

Eksponentiell vekst blir også kalt for prosentvis vekst.

En funksjon for eksponentiell vekst blir kalt en eksponentialfunksjon.

En eksponentialfunksjon kan alltid skrives på formen

fxab () x = =⋅⋅  ,  der a ≠ 0 og b > 0

Her er a funksjonsverdien når x = 0, og b er vekstfaktoren.

Om en eksponentialfunksjon f får vi vite:

f(0) = 4 f(2) = 16

Bestem funksjonsuttrykket. x f(x) b > 1 a 0 < b < 1

EKSEMPEL 12

Yana setter inn 140 000 kr på en konto med fast årlig rente på 3,9 %.

Omtrent hvor mange år går det før beløpet passerer 250 000 kr?

Beløpet etter x år er f(x) kr, der

fx()1400001,039 x

Vi tegner grafen til f og linja y = 250 000 i GeoGebra og finner skjæringspunktet mellom dem med verktøyet Skjæring mellom to objekt.

x(år) 46810141618 y(kr)

Vi ser at det tar litt over 15 år før beløpet passerer 250 000 kr.

2.30

Lise setter 20 000 kr inn på en konto der renta er 3,0 % per år. Hun lar pengene stå urørt. Etter x år vil hun ha K(x) kr på kontoen.

a Finn et uttrykk for K(x). (Vi går ut fra at renta er uendret.)

b Hvor mye har hun på kontoen etter sju år?

2.31

En ny bil koster 345 000 kr. Anta at verdien av bilen synker med 18 % per år i de neste sju årene.

a Sett opp et funksjonsuttrykk V(t) som viser bilens verdi i kroner etter t år.

b Finn verdien av bilen etter tre år.

c Regn ut verditapet i kroner det tredje året (fra bilen er to år til den er tre år gammel).

d Forklar, uten å regne ut, hvorfor verditapet i kroner blir mindre det fjerde året enn det tredje året.

e Hvor lang tid vil det ta før verdien av bilen er halvert?

EKSEMPEL 13

2.32

Vi fyller kakao på termosen Super. Det viser seg at temperaturen avtar med 8 % per time de første ti timene. Vi heller kakao på termosen og måler temperaturen. Den er 85,0 °C.

Etter hvor mange timer vil temperaturen ha sunket til 40 °C?

2.33

Et datavirus sprer seg eksponentielt i et nettverk. Antall smittede datamaskiner dobles hver time. I starten var det virus i fem datamaskiner. Hvor mange maskiner er smittet etter ett døgn om ikke viruset stoppes?

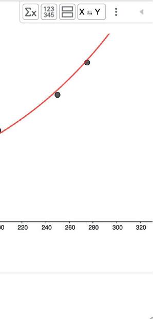
I en nasjonalpark var det for fire år siden 800 hjorter. Siden det har bestanden sunket med en fast prosent hvert år, slik at parken i dag har 500 hjorter. Forskere tror at bestanden vil fortsette å minke i samme takt en del år framover.

a Hvor mange hjorter vil parken ha om ti år?

b Hvor mange år vil det gå før bestanden er redusert til 100 hjorter?

a Vi vet at vi kan beskrive antall hjorter med en funksjon H på formen

HxV ()800 x =⋅

der V er vekstfaktoren. Vi kan finne den ved å bruke CAS:

Altså er H(x) = 800 ⋅ 0,8891x Om ti år er det derfor

H(10) = 800 0,889110 = 246,9

Det er ca. 247 hjorter etter ti år.

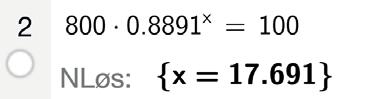
b Vi setter funksjonsuttrykket lik 100. Det gir oss en likning som vi kan løse i CAS:

Det er 100 hjorter etter ca. 18 år.

Merk!

I noen sjeldne tilfeller klarer ikke GeoGebra å finne løsningen med NLøs, se linje 1 nedenfor. Da må vi bruke Løs . I linje 2 nedenfor har vi brukt Løs i stedet for NLøs. Løsningen vi da får, er ikke skrevet med desimaltall. For å få dette trykker vi på Numerisk og får løsningen skrevet med desimaltall.

2.34 (Eksamen 2P våren 2025)

En fuglebestand i et område har blitt halvert i løpet av de fem siste årene. I dag er det 12 000 fugler i bestanden.

Forskere mener bestanden vil fortsette å bli halvert hvert femte år framover.

a Vis at funksjonen F gitt ved

F(x) = 12 000   0,87x

er en god modell for antallet fugler i bestanden etter x år.

b Hvor stor vil bestanden være etter sju år ifølge modellen?

c Hvor mange år vil det gå før bestanden er redusert med 35 % ifølge modellen?

2.35 (Eksamen 2P-Y høsten 2023)

En gruppe forskere har observert en bakteriekultur. Fra de startet observasjonene, har antall bakterier avtatt eksponentielt slik grafen til funksjonen B viser.

a Bestem B(x).

b Forklar hvordan vi kan se av uttrykket til B(x) at grafen vil nærme seg x-aksen når x-verdien øker.

2.36

Høsten 2020 vil Storhei kommune ha 182 barn som skal begynne i første klasse. Kommunen regner med at antall førsteklassinger vil øke med 5 % hvert år til og med høsten 2024. Fra 2025 regner kommunen med en nedgang i antall førsteklassinger på 3 % hvert år. Lag et regneark som viser antall førsteklassinger for perioden fra og med 2020 til og med 2028.

RØDE OPPGAVER

2.37

Etter t timer er antall bakterier i en bakteriekultur gitt ved

NtD ()200001,40,[0,5] t N =⋅=

a Hvor mange bakterier var det i bakteriekulturen til å begynne med?

b Hvor stor var økningen i antall bakterier per time i prosent?

c Finn antall bakterier etter tre timer.

d Hvor lang tid tar det før antall bakterier er tredoblet?

2.38

Folketallet i en kommune var 12 500 i starten av 2025. En prognose viser at folketallet sannsynligvis vil minke med 4 % per år i en femårsperiode.

a Finn en modell F for folketallet x år etter 2025.

b Bruk funksjonsuttrykket til å regne ut det forventede folketallet etter fem år.

2.39

I en innsjø er det i dag 700 fisker. Bestanden minker med en fast prosent hvert år.

En forsker har lagd programmet til høyre.

a Forklar hvilken modell forskeren har lagt til grunn for utregningene.

b Hva ønsker forskeren å finne ut?

BLÅ OPPGAVER

2.40

= 0

= 700

print(n)

I perioden 2008–2018 økte folketallet i en kommune med 2 % per år.

I 2012 var folketallet 11 900.

a Hva var folketallet i kommunen i 2018?

b Hva var folketallet i 2010?

c Hvor mange prosent økte folketallet fra 2008 til 2018?

2.41 (Eksamen 2P våren 2022)

Etter avsluttet behandling med et legemiddel vil mengden av legemiddelet i blodet avta eksponentielt. Mengden vil avta med 50 % i løpet av én halveringstid. Etter to halveringstider vil mengden være redusert til 25 % av opprinnelig mengde, etter tre halveringstider til 12,5 % og så videre.

a Hvor mange prosent av legemiddelet vil være igjen i blodet etter fem halveringstider?

b Lag en grafisk framstilling som viser sammenhengen mellom antall halveringstider og hvor mange prosent av legemiddelet som vil være igjen i blodet.

EKSEMPEL 14

Regresjon

Hvis vi skal løse et praktisk problem, må vi ofte gjøre visse antakelser og forenklinger. Basert på dette kan vi sette opp et matematisk problem som svarer til det opprinnelige problemet. Vi sier at vi har lagd en matematiskmodell. Her skal vi se hvordan vi kan bruke målinger og data til å finne funksjoner som passer til virkelige situasjoner.

Tenk deg at Vilde setter inn 10 000 kr på en konto med årlig rente på 4,0 %. Hun lurer på hvor lang tid det tar før dette beløpet har økt til 15 000 kr. For å kunne regne på dette må vi gjøre noen antakelser.

Med disse antakelsene kan vi sette opp en modell B for beløpet på kontoen etter x år:

B(x) = 10 000   1,04x

Det matematiske problemet er å bestemme x slik at B(x) = 15 000.

I situasjonen ovenfor kunne vi sette opp funksjonen basert på informasjonen og antakelsene vi gjorde. Slik er det ikke alltid. Noen ganger må vi ta utgangspunkt i målte verdier.

Tabellen nedenfor viser antall innbyggere i Norge for noen år.

År 1750180018501900195020002025

Antall

Lag en modell F som beskriver antall innbyggere i Norge.

Når vi skal lage slike modeller, er det lurt å la x stå for antall år etter et valgt årstall. Vi lar x være antall år etter 1750. Vi får da følgende tabell:

År 1750180018501900195020002025 x 050100150200250275

Antall tusen

Vi åpner Regneark i GeoGebra og legger inn tallene slik at x-ene er i kolonne A og antall innbyggere i kolonne B. Vi markerer cellene og velger Regresjonsanalyse.

Hvert tallpar fra tabellen blir et punkt i diagrammet.

I dette tilfellet er det rimelig å anta at befolkningen har økt med en viss prosent hvert år. Det vil si at en eksponentiell modell er naturlig å velge.

Vi velger Eksponentiell i rullegardinen under Regresjonsmodell (❶).

Da vil GeoGebra tegne kurven som passer best til punktene, og gi oss funksjonsuttrykket (❷). Se figuren nedenfor.

En eksponentiell modell for befolkningsutviklingen er gitt ved

Fx()6281,008 x =⋅

Vi ser at vekstfaktoren i denne modellen er 1,008. Det vil si at befolkningen har økt med rundt 0,8 % hvert år.

Merk!

Vi ser at grafen til F passer bra med punktene vi fikk tegnet i eksempel 14. Det i seg selv er ikke en god nok grunn til å velge en eksponentiell modell. I dette tilfellet er det likevel rimelig å anta at befolkningen øker med en viss prosent hvert år.

SNAKK

Anders har valgt å lage en polynomfunksjon g av grad 6 som modell. Her er ggitt ved gxxxxxxx ()1,23108,3100,000020,0020,1580,303642 10685432

Antalltuseninbyggere

Åretter1750

Denne modellen passer perfekt med tallene som ble oppgitt i tabellen. Hva er svakhetene med en slik modell? en

2.42

Tabellen viser folketallet i Storvik hver 1. januar i perioden 2016–2020.

År 20162017201820192020 Folketall 12 34512 71513 15013 48513 890

La F(x) være folketallet x år etter 1. januar 2016.

a Bruk regresjon til å finne den eksponentialfunksjonen som passer best med dataene i tabellen.

b Hvor mange prosent har folketallet økt med hvert år ifølge modellen i oppgave a?

c Vi antar at folketallet fortsetter å øke på denne måten. Når vil folketallet passere 15 000?

2.43

En dag Ingrid var på fjelltur, registrerte hun lufttrykket i forskjellige høyder.

a Bruk h som symbol for høyde over havet og p som symbol for lufttrykket. Lag en modell som viser sammenhengen mellom lufttrykk og høyde.

b Hva var lufttrykket ved havoverflaten ifølge modellen?

EKSEMPEL 15

Distanse x (i meter)

Haile Gebrselassie fra Etiopia var lenge en av verdens beste langdistanseløpere. I tabellen nedenfor ser du hans beste tider på noen distanser.

1 5003 0005 00010 00015 00016 09325 00042 195

Tid T (i minutter) 3,5507,41712,65627,03341,63344,40071,617123,988

a Lag en modell som viser hvor lang tid Haile ville ha brukt på å løpe en distanse på x meter.

b Hvor lang tid ville Haile ha brukt på en halvmaraton? En halvmaraton er 21 097 meter.

a Vi legger tallene inn i et regneark og velger Regresjonsanalyse. Ut fra situasjonen er det ikke naturlig å bruke en lineær modell siden en løper ikke kan holde samme fart uansett distanse. Farten vil avta når distansen blir lengre. Derfor passer det bedre med en modell der grafen blir brattere etter hvert som x øker. En potensfunksjon er et godt valg. Den gir 0 minutter ved 0 meter og viser samtidig at løperen bruker mer tid per kilometer når distansen blir lengre.

I dette tilfellet ser vi at modellen g gitt ved gxx ()0,0014 1,0673 passer bra med tallene fra tabellen (❶).

b Vi skriver inn verdien 21 097 for x (❷) og ser at y = 59,5.

Haile ville brukt litt under 1 time på en halvmaraton ifølge modellen.

2.44

Tabellen nedenfor viser de beste tidene på ulike distanser til en løper.

Distanse x (meter) 1 5003 0005 00010 00021 097

Tid T (minutter) 4,3409,98715,43132,2272,133

Lag en modell, og bruk denne til å finne hvor lang tid løperen vil bruke på en full maraton (42 195 meter).

I GeoGebra har vi lett tilgang på ulike funksjoner i Regresjonsanalyse. Her finner du blant annet lineære funksjoner, polynomer og eksponentialfunksjoner. Noen ganger ønsker vi å bruke andre funksjoner til å modellere en situasjon. Det er det heldigvis mulig å gjøre, slik neste eksempel viser.

EKSEMPEL 16

Temperaturen i en kaffekopp ble målt hvert femte minutt. Tabellen nedenfor viser resultatet av målingene.

Tid (minutt) 0510152025

Temperatur (°C) 917971635751

Hvor lang tid vil det ta før temperaturen i koppen er 40 grader?

I denne situasjonen vil vi forvente at temperaturen vil gå mot romtemperaturen. Da antar vi at denne ikke endres i løpet av den tiden vi ser på. Vi tegner inn punktene i et koordinatsystem for å se hvordan temperaturen endres med tiden:

Punktene ligger nesten på en rett linje. Likevel er det ikke rimelig å bruke en lineær modell her siden den ville gitt negative temperaturer etter omtrent 56 minutter. I denne situasjonen er det mer naturlig å anta at temperaturen gradvis flater ut og nærmer seg romtemperaturen. Vi vet at eksponentialfunksjoner med vekstfaktor mellom 0 og 1 flater ut når x blir stor, men disse nærmer seg 0. Dersom vi adderer romtemperaturen til en slik modell, får vi en funksjon som går mot romtemperaturen. Derfor ønsker vi å bruke en modell på formen

fxabc () x =⋅+

der c er romtemperaturen.

Denne regresjonsmodellen fins ikke i lista til GeoGebra. Vi bruker derfor kommandoen Reg. Vi lager en liste l1 med punkter og skriver så inn følgende i algebrafeltet: Reg(l1, a*b^x+c).

Vi får da lagd tre glidere a, b og c som GeoGebra bruker som utgangspunkt for å finne verdiene som passer best med punktene. Dersom vi ikke får en fornuftig modell ved første forsøk, må vi dra litt i én eller flere av gliderne. I dette tilfellet får vi at

Tid (minutter)

51015202530354045

Vi ser at modellen passer bra med punktene. Tallet 24,3 tolker vi som romtemperaturen.

Vi tegner inn linja y = 40 for å finne skjæringspunktet mellom denne og grafen til g. Vi får at temperaturen er 40 grader etter rundt 40 minutter.

Hvorfor er det rimelig å tolke tallet 24,3 i eksempel 16 som romtemperaturen?

EKSEMPEL 17

I et forsøk ble en ball skutt ut fra bakkenivå. Høyden til ballen (målt i meter) blir målt ved ulike tidspunkt t (i sekunder) etter at ballen ble skutt ut. Resultatet står i tabellen:

Vi lurer på hvor høyt over bakken ballen er etter 3,5 sekunder.

Vi tegner punktene i et koordinatsystem og ser at en andregradsfunksjon kan passe bra.

I dette tilfellet vil vi «tvinge» høyden i modellen til å være 0 når t er 0. Det gjør vi ved å sette konstantleddet lik 0. Det vil si at vi ønsker å bruke en modell på formen

fxaxbx () 2 =+

Vi skriver derfor inn kommandoen Reg(l1, a x2+b x) i inntastingsfeltet og får modellen fxxx ()4,9117,61 2 =−+ . Vi finner at f(3,5) = 1,52.

Ballen er ifølge modellen 1,52 meter over bakken etter 3,5 sekunder.

2.45

En ny bil koster 400 000 kr når den blir kjøpt. Etter hvert som årene går, mister bilen verdi, men den vil aldri bli verdt mindre enn 20 000 kr (vrakpant og minimumsverdi). I tabellen ser du gjennomsnittlig bruktpris etter x år:

År x 012345

a Lag en modell på formen fxab()20000 x =⋅+ som passer bra med tallene i tabellen.

b Hvor mye er bilen verdt etter ti år?

c Hvor lang tid tar det før bilens verdi er 50 000 kr?

RØDE OPPGAVER

2.46

Tall fra Statistisk sentralbyrå viser at stadig færre nordmenn røyker daglig. Tabellen nedenfor viser hvor stor prosentandel av den voksne befolkningen som røyker daglig.

År 200420082012201620202024

Andel som røyker daglig

a Finn den eksponentialfunksjonen som passer best med tallene i tabellen.

b Bruk modellen du fant i oppgave a, til å finne når prosentandelen som røyker daglig i Norge, blir mindre enn 5 %.

2.47

En klasse ønsker å finne ut hvor mye bensin bilen til læreren bruker per mil. De fyller opp tanken, kjører en bestemt strekning og måler deretter hvor mye bensin som er brukt. Siden det er vanskelig å måle helt nøyaktig, vil resultatene ha små avvik. Tabellen viser hva de målte:

Kjørelengde (mil) 1,02,03,04,05,06,0

Bensin brukt (liter) 0,71,32,02,63,54,1

a Bruk regresjon til å lage en modell f på formen f(x) = ax

b Bruk modellen til å anslå hvor mange liter bensin bilen bruker på en tur på 26 mil.

c Hvor langt kan bilen kjøre hvis den har 50 liter bensin på tanken?

BLÅ OPPGAVER

2.48

Tabellen nedenfor viser elbilsalget per år i årene 2014–2018. Salget er avrundet til nærmeste 100.

År 20142015201620172018

Elbilsalget 42 30073 300101 100138 500194 900

Kilde: Motorvognregisteret og Opplysningsrådet for veitrafikken

a Bruk regresjon til å finne en eksponentiell modell for utviklingen av elbilsalget i denne perioden.

b I 2019 ble det solgt 260 700 elbiler. Hvilket tall gir modellen du fant i oppgave a, for elbilsalget i 2019? Sammenlikn og kommenter.

c Hvor mange elbiler vil ifølge modellen bli solgt i 2030? Hva forteller dette oss om modellen?

2.49

Et nystartet firma selger strømabonnement. Antall betalende abonnenter øker raskt i starten, men etter hvert flater veksten ut fordi markedet er mettet. Tabellen viser inntektene (i millioner kr) per måned etter x måneder.

Måned x 0123456

Inntekter (millioner kr) 02,54,46,07,07,68,0

a Lag en modell på formen fxabc () x =⋅+ som passer bra med tallene i tabellen.

b Hva er firmaets inntekter per måned etter ni måneder?

c Gi en tolkning av tallet c i modellen.

Håvard Moe har bred realfaglig utdanning og har skrevet lærebøker i matematikk i mange år. Han er lærer ved Sandnessjøen videregående skole og underviser i matematikk, fysikk og kjemi.

Sigrid Melander Vie er utdannet sivilingeniør fra NTNU. Hun jobber som lærer ved Rud videregående skole og underviser i matematikk og fysikk. Sigrid har skrevet lærebøker i matematikk for videregående skole i flere år. Hun ble tildelt Holmboeprisen i 2025.

Tor Espen Kristensen har lang undervisningserfaring fra Stord vidaregåande skule og var leder for eksamensnemnda for programfag i matematikk. Han var også med i arbeidet med læreplanen LK20 og har undervist i matematikk på alle nivåer, fra grunnskole til universitet. Han ble tildelt Holmboeprisen i 2022.

Matematikk 2P følger læreplanen i matematikk 2P (LK20) og består av lærebok og digitale ressurser på Aunivers

Læreboka

Læreboka inneholder teori, eksempler og innlæringsoppgaver samt differensierte oppgaver til hvert underkapittel. I tillegg har vi UTFORSK­oppgaver som får elevene til å gå i dybden og se sammenhenger i faget, og SNAKK-oppgaver som gir elevene muligheten til å kommunisere matematikk. Tidligere gitte eksamensoppgaver er lagt inn i alle kapitler, der de passer. Til slutt i hvert kapittel er det blandede oppgaver, sammendrag og kapitteltest.

John Engeseth har bred undervisningspraksis og underviser til daglig ved Elvebakken videregående skole. Han har vært forfatter av matematikkbøker for videregående skole i mange år.

Tea Toft Norderhaug har mastergrad i matematikk fra NTNU, og har skrevet lærebøker i matematikk for videregående skole i flere år. Hun er lærer ved Briskeby videregående skole og Bjørknes privatskole og underviser i matematikk og kjemi.

Odd Heir har i en årrekke vært lærer, lærebokforfatter og kursholder i matematikk for videregående skole. Han ble tildelt Holmboeprisen i 2009.

ISBN 978-82-03-41463-3

Aunivers.no inneholder blant annet

• fullstendige løsninger av alle oppgavene

• interaktive oppgaver

• eksamensløsninger

• opplæringsressurser til GeoGebra, Excel og Python

Som lærer får du også tilgang til

• kapittelomtaler

• kapittelprøver

• terminprøver

• egenvurderinger

• elevaktiviteter

Turn static files into dynamic content formats.

Create a flipbook
Issuu converts static files into: digital portfolios, online yearbooks, online catalogs, digital photo albums and more. Sign up and create your flipbook.