VOLUME 125 NO. 6

![]()
VOLUME 125 NO. 6

The Southern African Institute of Mining and Metallurgy (SAIMM) aims to foster professional excellence, innovation, and sustainable development in the mining and metallurgical industries through a comprehensive suite of services and initiatives tailored for industry professionals and corporate partners.
By joining SAIMM, you position your company as an industry leader, gain visibility among key stakeholders, and benefit from exclusive networking opportunities. SAIMM’s commitment to professional excellence, ongoing development, and ethical standards ensures that your organisation remains compliant and future-ready.
SAIMM upholds the highest ethical and professional standards through its Code of Professional Conduct. By partnering with SAIMM, your organisation demonstrates a commitment to integrity, accountability, and industry best practices. SAIMM supports engineers in meeting legal requirements, particularly with the Identification of Engineering Work (IDoEW) recently promulgated by the Engineering Council of South Africa (ECSA). As a Voluntary Association (VA) of ECSA, SAIMM is uniquely positioned to guide engineers through the registration process.
SAIMM offers accredited continuing professional development (CPD) and education programmes targeted at members’ commodity and geographic contexts. These programmes help professionals stay updated on industry advancements while earning CPD points to maintain their ECSA and SACNASP registration.
SAIMM drives meaningful dialogue around important topics such as the Fourth Industrial Revolution (4IR), modernisation, globalisation, and a wide range of ESG issues. This ensures that members are equipped to deal with the fluctuating environment and remain relevant, productive, and competitive.
SAIMM provides a collaborative multistakeholder platform that connects minerals professionals throughout the region and across the globe. This facilitates access to world-class knowledge, innovative practices, and technical excellence for corporate and individual members.
In addition, SAIMM has par ticipated in the updating of the SANS 10286, the South African National Standard for Mine Residue Deposits. This standard provides guidance on the safe and responsible management of tailings storage facilities (TSFs) in South Africa.
We are a co-patron, together with the Geological Society of South Africa (GSSA), of the SAMCODES, comprising of SAMREC, SAMVAL, SAMOG, and several guidelines.
SAIMM actively converses with the Minerals Council of South Africa on the many challenges facing the industr y.

SAIMM broadens members’ horizons and networks through formal and informal engagement forums with technical peers. This helps members expand their professional networks and gain diverse perspectives.
SAIMM keeps its members informed on technological, social, and environmental issues and developments by making relevant information available. This ensures that members stay updated with the latest advancements and trends in the industry.
SAIMM provides a sound platform for collaborative networking through geographic clusters and special interest groups. This facilitates meaningful connections and discussions among industry professionals
SAIMM believes in the power of partnerships to strengthen collective impact on industry innovation. By collaborating with SAIMM, partners benefit from increased visibility, networking opportunities, and engagement with a dynamic community of industry leaders.
OFFICE BEARERS AND COUNCIL FOR THE 2024/2025 SESSION
President E. Matinde
President Elect
G.R. Lane
Senior Vice President
T.M. Mmola
Junior Vice President
M.H. Solomon
Incoming Junior Vice President
S.J. Ntsoelengoe
Immediate Past President
W.C. Joughin
Honorary Treasurer
W.C. Joughin
Ordinary Members on Council
W. Broodryk M.C. Munroe
Z. Fakhraei S.M. Naik
B. Genc G. Njowa
K.M. Letsoalo S.M. Rupprecht
S.B. Madolo A.T. van Zyl
M.A. Mello E.J. Walls
K. Mosebi
Co-opted Council Members
A.D. Coetzee
L.T. Masutha
Past Presidents Serving on Council
N.A. Barcza C. Musingwini
R.D. Beck S. Ndlovu
Z. Botha J.L. Porter
V.G. Duke M.H. Rogers
I.J. Geldenhuys G.L. Smith
R.T. Jones
G.R. Lane – TP Mining Chairperson
Z. Botha – TP Metallurgy Chairperson
K.W. Banda – YPC Chairperson
C.T. Chijara – YPC Vice Chairperson
Branch Chairpersons
Botswana K. Mosebi
DRC K.T. Kekana (Interim Chairperson)
Johannesburg N. Rampersad
Limpopo M.S. Zulu
Namibia T. Aipanda
Northern Cape Vacant
North West Vacant
Pretoria P.G.H. Pistorius
Western Cape Vacant
Zambia N.M. Kazembe
Zimbabwe L. Shamu
Zululand Vacant
*Deceased
* W. Bettel (1894–1895)
* A.F. Crosse (1895–1896)
* W.R. Feldtmann (1896–1897)
* C. Butters (1897–1898)
* J. Loevy (1898–1899)
* J.R. Williams (1899–1903)
* S.H. Pearce (1903–1904)
* W.A. Caldecott (1904–1905)
* W. Cullen (1905–1906)
* E.H. Johnson (1906–1907)
* J. Yates (1907–1908)
* R.G. Bevington (1908–1909)
* A. McA. Johnston (1909–1910)
* J. Moir (1910–1911)
* C.B. Saner (1911–1912)
* W.R. Dowling (1912–1913)
* A. Richardson (1913–1914)
* G.H. Stanley (1914–1915)
* J.E. Thomas (1915–1916)
* J.A. Wilkinson (1916–1917)
* G. Hildick-Smith (1917–1918)
* H.S. Meyer (1918–1919)
* J. Gray (1919–1920)
* J. Chilton (1920–1921)
* F. Wartenweiler (1921–1922)
* G.A. Watermeyer (1922–1923)
* F.W. Watson (1923–1924)
* C.J. Gray (1924–1925)
* H.A. White (1925–1926)
* H.R. Adam (1926–1927)
* Sir Robert Kotze (1927–1928)
* J.A. Woodburn (1928–1929)
* H. Pirow (1929–1930)
* J. Henderson (1930–1931)
* A. King (1931–1932)
* V. Nimmo-Dewar (1932–1933)
* P.N. Lategan (1933–1934)
* E.C. Ranson (1934–1935)
* R.A. Flugge-De-Smidt (1935–1936)
* T.K. Prentice (1936–1937)
* R.S.G. Stokes (1937–1938)
* P.E. Hall (1938–1939)
* E.H.A. Joseph (1939–1940)
* J.H. Dobson (1940–1941)
* Theo Meyer (1941–1942)
* John V. Muller (1942–1943)
* C. Biccard Jeppe (1943–1944)
* P.J. Louis Bok (1944–1945)
* J.T. McIntyre (1945–1946)
* M. Falcon (1946–1947)
* A. Clemens (1947–1948)
* F.G. Hill (1948–1949)
* O.A.E. Jackson (1949–1950)
* W.E. Gooday (1950–1951)
* C.J. Irving (1951–1952)
* D.D. Stitt (1952–1953)
* M.C.G. Meyer (1953–1954)
* L.A. Bushell (1954–1955)
* H. Britten (1955–1956)
* Wm. Bleloch (1956–1957)
* H. Simon (1957–1958)
* M. Barcza (1958–1959)
* R.J. Adamson (1959–1960)
* W.S. Findlay (1960–1961)
* D.G. Maxwell (1961–1962)
* J. de V. Lambrechts (1962–1963)
* J.F. Reid (1963–1964)
* D.M. Jamieson (1964–1965)
* H.E. Cross (1965–1966)
* D. Gordon Jones (1966–1967)
* P. Lambooy (1967–1968)
* R.C.J. Goode (1968–1969)
* J.K.E. Douglas (1969–1970)
* V.C. Robinson (1970–1971)
* D.D. Howat (1971–1972)
* J.P. Hugo (1972–1973)
* P.W.J. van Rensburg (1973–1974)
* R.P. Plewman (1974–1975)
* R.E. Robinson (1975–1976)
* M.D.G. Salamon (1976–1977)
* P.A. Von Wielligh (1977–1978)
* M.G. Atmore (1978–1979)
* D.A. Viljoen (1979–1980)
* P.R. Jochens (1980–1981)
* G.Y. Nisbet (1981–1982)
A.N. Brown (1982–1983)
* R.P. King (1983–1984)
J.D. Austin (1984–1985)
* H.E. James (1985–1986)
H. Wagner (1986–1987)
* B.C. Alberts (1987–1988)
* C.E. Fivaz (1988–1989)
* O.K.H. Steffen (1989–1990)
* H.G. Mosenthal (1990–1991)
R.D. Beck (1991–1992)
* J.P. Hoffman (1992–1993)
* H. Scott-Russell (1993–1994)
J.A. Cruise (1994–1995)
D.A.J. Ross-Watt (1995–1996)
N.A. Barcza (1996–1997)
* R.P. Mohring (1997–1998)
J.R. Dixon (1998–1999)
M.H. Rogers (1999–2000)
L.A. Cramer (2000–2001)
* A.A.B. Douglas (2001–2002)
* S.J. Ramokgopa (2002-2003)
T.R. Stacey (2003–2004)
F.M.G. Egerton (2004–2005)
W.H. van Niekerk (2005–2006)
R.P.H. Willis (2006–2007)
R.G.B. Pickering (2007–2008)
A.M. Garbers-Craig (2008–2009)
J.C. Ngoma (2009–2010)
G.V.R. Landman (2010–2011)
J.N. van der Merwe (2011–2012)
G.L. Smith (2012–2013)
M. Dworzanowski (2013–2014)
J.L. Porter (2014–2015)
R.T. Jones (2015–2016)
C. Musingwini (2016–2017)
S. Ndlovu (2017–2018)
A.S. Macfarlane (2018–2019)
M.I. Mthenjane (2019–2020)
V.G. Duke (2020–2021)
I.J. Geldenhuys (2021–2022)
Z. Botha (2022-2023)
W.C. Joughin (2023-2024)
Editorial Board
S.O. Bada
R.D. Beck
P. den Hoed
I.M. Dikgwatlhe
M. Erwee
B. Genc
R.T. Jones
W.C. Joughin
A.J. Kinghorn
D.E.P. Klenam
D.F. Malan
D. Morris
C. Musingwini
P.N. Neingo
S.S. Nyoni
M. Onifade
M. Phasha
P. Pistorius
P. Radcliffe
N. Rampersad
Q.G. Reynolds
I. Robinson
S.M. Rupprecht
T.R. Stacey
International Advisory Board members
R. Dimitrakopolous
R. Mitra
S. Ndlovu
A.J.S. Spearing
E. Topal
D. Tudor
F. Uahengo
D. Vogt
Editor /Chairperson of the Editorial Board
R.M.S. Falcon
Typeset and Published by
The Southern African Institute of Mining and Metallurgy
PostNet Suite #212 Private Bag X31 Saxonwold, 2132
E-mail: journal@saimm.co.za
Printed by Camera Press, Johannesburg
Advertising Representative
Barbara Spence


Journal Comment: The value of good mentorship by P.H. Radcliffe ................................................................ iv
President’s Corner: South Africa’s Critical Minerals and Metals Strategy: Challenges, opportunities and call to action by E. Matinde v
SAMCODES Quarterly News – May 2025
THE INSTITUTE, AS A BODY, IS NOT RESPONSIBLE FOR THE STATEMENTS AND OPINIONS ADVANCED IN ANY OF ITS PUBLICATIONS.
Copyright© 2025 by The Southern African Institute of Mining and Metallurgy. All rights reserved. Multiple copying of the contents of this publication or parts thereof without permission is in breach of copyright, but permission is hereby given for the copying of titles and abstracts of papers and names of authors. Permission to copy illustrations and short extracts from the text of individual contributions is usually given upon written application to the Institute, provided that the source (and where appropriate, the copyright) is acknowledged. Apart from any fair dealing for the purposes of review or criticism under The Copyright Act no. 98, 1978, Section 12, of the Republic of South Africa, a single copy of an article may be supplied by a library for the purposes of research or private study. No part of this publication may be reproduced, stored in a retrieval system, or transmitted in any form or by any means without the prior permission of the publishers. Multiple copying of the contents of the publication without permission is always illegal. U.S. Copyright Law applicable to users In the U.S.A. The appearance of the statement of copyright at the bottom of the first page of an article appearing in this journal indicates that the copyright holder consents to the making of copies of the article for personal or internal use. This consent is given on condition that the copier pays the stated fee for each copy of a paper beyond that permitted by Section 107 or 108 of the U.S. Copyright Law. The fee is to be paid through the Copyright Clearance Center, Inc., Operations Center, P.O. Box 765, Schenectady, New York 12301, U.S.A. This consent does not extend to other kinds of copying, such as copying for general distribution, for advertising or promotional purposes, for creating new collective works, or for resale.
Honorary Legal Advisers
M H Attorneys
Auditors
Genesis Chartered Accountants
Secretaries
The Southern African Institute of Mining and Metallurgy 7th Floor, Rosebank Towers, 19 Biermann Avenue, Rosebank, 2196
PostNet Suite #212, Private Bag X31, Saxonwold, 2132 E-mail: journal@saimm.co.za
Avenue Advertising Telephone (011) 463-7940 . E-mail: barbara@avenue.co.za ISSN 2225-6253 (print) . ISSN 2411-9717 (online)



Evaluating destress blasting for rock fracture and rockburst prediction in deep level hardrock mining by T. Zvarivadza, C. Yi, S. Dineva, M. Onifade, M. Khandelwal, B. Genc
Deep level hardrock mining faces increasing challenges from elevated in situ stresses and associated rockbursts. This study aims to develop a systematic framework for evaluating destress blasting effectiveness and contributes to safer, more efficient deep mining operations.
Guide memoire: The principles of reasonable prospects for eventual economic extraction by T. Mapeta, S.M. Rupprecht.................................................................................
This paper discusses the important protocols and definitions in some international reporting codes for the purposes of developing a guide memoire that will assist the Competent Person to interpret, establish and apply RPEEE appropriately and easily.
Improving performance at Rustenburg Base Metals Refiners copper tankhouse: Operational review and embracing fundamentals by K. Naidoo, M. Pelser, J. Hagemann, K.C. Sole
The copper tankhouse at Rustenburg Base Metals Refinery is an essential component of the Anglo American Platinum value chain. Historic performance of this tankhouse has often been suboptimum over prolonged periods. An in-depth operational review of performance from 2018–2024 was carried out to understand challenges. Since, chemical and physical quality has considerably improved, and cathodes exhibit minimal morphological defects.
Reflections on destress blasting for deep level hardrock mining: Key considerations for successful application of the techniques by T. Zvarivadza, C. Yi, S. Dineva, M. Onifade, M. Khandelwal, B. Genc
This paper focuses on destress blasting as a critical strategy to mitigate rockburst hazards. The study critically synthesises international experiences and presents a structured framework for destress blasting design, offering practical and academic perspectives aligned with Swedish geological conditions to support safer and more efficient application in deep hardrock mines.
Towards mine modernisation: Digitisation of foundational supervisory leadership development training by S. Khan 339
Due to the modernisation of mines, traditional training methods may be supplemented to support the upskilling of supervisors in mines. Two exemplar digital supervisory leadership development modules for underground gold and platinum-group metal conventional and modernising mines, were developed. The findings indicated that both the traditional classroom training and the new digitised online learning solution offer advantages.


ust a couple of years ago the outgoing Chairman of the SAIMM Editorial Board, Dave Tudor, suggested that, as a previous metallurgical colleague, I should join the Board. Although I have been a member of the Institute for many years and was a previous Chairman of the Free State Branch, my knowledge of the management of the Institute was limited to attending some excellent schools and studying relevant journal papers.
After attending several Editorial Board meetings, I have come to appreciate the Board’s and the Institute’s dedication in putting together a world-class journal. As a retired engineer, designer, and operator of metallurgical processing plants, I have now come to admire the knowledge and hard work that my recently acquainted Editorial Board colleagues, both academic and industrial, consistently put in.
At a recent Board meeting the subject of publishing student papers was raised, which reminded me of the commitment of my former mining house to the development of future metallurgical management, which started at school level with identifying students capable of the required matric results to succeed with metallurgical or chemical engineering degrees or higher national diplomas. In addition to local mentoring and coaching when graduates were employed by a mine, a panel managed by the Technical Director’s office interviewed metallurgists regularly to discuss wider group opportunities. My most memorable interview was during the commissioning of a particularly difficult plant, when I was told some home truths and reminded of the importance of the success of that project with specific reference to my future career! To this day I am thankful to the panel for their straight talk.
Which brings me back to the subject of student papers and indeed other papers that have a topic of relevance to journal readers, but which still need further input to raise them to the standard required by the journal. It is surely the responsibility of academics to coach their students in presenting promising papers to this Institute and others for review. Such mentoring is important not only for the development of such young people at the start of their professional lives but also for the submission of important papers that such young engineers may yet write in the course of their future careers.
The selection of peer reviewers for all papers submitted to the Institute is a challenging duty and arguably the most important task undertaken by the Editorial Board. It is in this context that the levels of written texts and graphic portrayals, the standards of referencing of previous work, the degree of clarity and accuracy of data presentation, and ultimately the significance of the interpretations and the originality of the data acquired, are judged in terms of the degree of advancement of science and technology in the relevant mining, minerals, and metallurgical fields.
When successfully published, a paper may be considered a significant achievement and a feather in the author’s cap, albeit a team effort on the part of the reviewers, the editor, the Board’s editorial staff, professional proofreaders, and finally, the author.
The need to maintain standards for all papers published in the Journal is of vital concern as this is required in order to retain the internationally accredited standing of this Institute’s journal. Such matters also reflect in the overall numerical grading of all scientific and technical journals, as portrayed by various numerical systems, including the impact factor and other such evaluation tools. The grading of a journal and the papers it publishes impacts, in turn, on the monetary value for which academics are financially and academically rewarded. And so, the relevance of mentoring to achieve the production and publication of valuable papers has meanings way beyond that simply of a grammatically correct text.
I am glad to say that mentorship from supervising academics for young student authors is generally the case. I was pleasantly surprised recently to have sight of a student paper, which ‘ticked all the boxes’ such as relevance, originality, and presentation. Someone, somewhere in our double-blind reviewing process was mentoring splendidly! May this be the case for many more young authors, as it is these young people that will evolve into mature authors of the future and hence, the source of excellent papers for this and other journals, and the scientific and engineering communities they serve.
P.H. Radcliffe


and call to action
he recent publication of the Critical Minerals and Metals Strategy marks a significant milestone for the minerals industry in South Africa. The Strategy outlines the country’s critical and strategic minerals and metals that are essential to modern industrial technologies, economic development, and employment creation.
The timing of the strategy document is profound in that it comes at a time when there is strong convergence among all stakeholders on the need to intensify the local beneficiation of our minerals. By leveraging the unique and abundant reserves of critical and strategic minerals and metals such as platinum group metals, manganese, vanadium, chromium, and titanium, among others, South Africa has the potential to create and sustain a thriving industrial ecosystem capable of generating high value products and services. Most importantly, the strategy underscores commitments by the state to providing enablers and interventions aimed at increasing the levels of value-added processing of the mineral products. These include bold declarations towards improving the regulatory stability and regulatory flexibility, facilitating the establishment of local and regional beneficiation and manufacturing hubs, and addressing critical bottlenecks such as energy availability and public infrastructure readiness.
Holistic implementation of the strategy has immense and long lasting benefits to the country. The full implementation of the strategic objectives will not only create jobs and national wealth through export of valueadded products and services, but will also increase the endogenous and sovereign capabilities in manufacturing and value-added services. The strategy positions South Africa as an integral hub for regional minerals beneficiation and market for value-added products and services, thereby unlocking potential for growth of new industries and drive the expansion and diversification of the manufacturing and services value chains. By placing particular emphasis on areas where the country can build strong competitive advantages, such as in the emerging clean energy technologies value chains, and placing emphasis on applied research, technology development, and innovation, South Africa can positions itself as a regional innovation hub with the capacity to drive technologies of the future.
There is no doubt that the strategy comes at a time of intense geopolitical tensions and economic disruptions. Increased competition for investments to fund new and existing mining projects, coupled with unstable economic conditions due to fluctuating commodity markets, necessitates the need for targeted government policy and fiscal support to de-risk investments in strategic beneficiation projects. Public-private partnerships thus become a critical factor to ensuring holistic investment and resource allocation decisions; prioritise the investments in high demand multi-disciplinary skills, and ensure the development and robustness of innovation systems. Obviously, the alignment of the strategy to the broader economic and fiscal imperatives, including the political will to drive economic transformation and reduce barriers to entry for SMEs and SMMEs, is a critical determinant of the successful implementation of the strategy. Building international partnerships to leverage shared competencies through bilateral technical exchange platforms, such as Horizon Europe, African Mining Vision, and other panAfrican initiatives, is a crucial element for creating synergistic impact.
In conclusion, the publication of the Critical Minerals and Metals Strategy is a notable achievement for South Africa. For SAIMM and its stakeholders, the strategy provides a platform for more rigorous discussions and engagements through our conferences, webinars, and colloquia.
E. Matinde President,
SAIMM


25th Anniversary of the SAMREC Code
March 2025 marked the 25th anniversary of the SAMREC Code. Events are planned during 2025 to celebrate the genesis and evolution of the Code The events are highlighted on the SAMCODES, SAIMM and GSSA websites.
The SSC logos have also been revised to improve its appeal and will be used in all the documentation going forward. https://www.samcode.co.za/images/Samcodes_May_2025_Snippets.pdf
March 2025 marked the 25th anniversary of the SAMREC Code. Events are planned during 2025 to celebrate the genesis and evolution of the Code. The events are highlighted on the SAMCODES, SAIMM and GSSA websites. The SSC logos have also been revised to improve its appeal and will be used in all the documentation going forward. https://www.samcode.co.za/images/Samcodes_May_2025_Snippets.pdf
A SAMCODES page is available on LinkedIn to keep up to speed with current developments. https://www.linkedin.com/company/samcodessa/ SAMCODES App
A SAMCODES page is available on LinkedIn to keep up to speed with current developments. https://www.linkedin.com/company/samcodessa/ SAMCODES App

The App offers a useful platform to access current SAMCODES information.
The App offers a useful platform to access current SAMCODES information.
The new quiz has been uploaded. Test your proficiency and know-how on the SAMCODES by doing the effective and informative quiz. It will take only a few minutes to complete. Check out the SAMCODES App User Guide for step-by-step instructions: https://lnkd.in/emT8976z
The new quiz has been uploaded. Test your proficiency and know-how on the SAMCODES by doing the effective and informative quiz. It will take only a few minutes to complete. Check out the SAMCODES App User Guide for step-by-step instructions: https://lnkd.in/emT8976z
Training programmes
The GeoCongress 2025 Workshop on the Importance of Codes (at the Introductory level) is planned for 24th June 2025. This event is organised by the GSSA.
The GeoCongress 2025 Workshop on the Importance of Codes (at the Introductory level) is planned for 24th June 2025. This event is organised by the GSSA.
A compliance course involving SAMCODES representatives, is planned from 14 – 18 July through Wits University.
A compliance course involving SAMCODES representatives, is planned from 14 – 18 July through Wits University.
A DMRE SAMCODES Workshop is planned to be held on 30th July 2025 and details will be shared soon
A DMRE SAMCODES Workshop is planned to be held on 30th July 2025 and details will be shared soon
An Introduction to SAMCODES and JSE listing rules is planned for 29 - 30 September as part of the 25th anniversary celebrations. Additional training courses are planned, and details will be confirmed in due course.
An Introduction to SAMCODES and JSE listing rules is planned for 29 - 30 September as part of the 25th anniversary celebrations. Additional training courses are planned, and details will be confirmed in due course.
Committee updates
Committee updates





The process of integrating ESG factors into the SAMCODES has been completed. The SSC thanks the team for the good work that has been done.
The process of integrating ESG factors into the SAMCODES has been completed. The SSC thanks the team for the good work that has been done.
The Committee has plans to host a Valuation Conference in South Africa in October 2025.
The Committee has plans to host a Valuation Conference in South Africa in October 2025
SAMOG Code updates were sent for public comments, and the launch event will be communicated in due course Link to updates
SAMOG Code updates were sent for public comments, and the launch event will be communicated in due course Link to updates
The SAMESG guidelines have been completed and adopted. Gratitude is expressed to the compilation team for the excellent work.
The SAMESG guidelines have been completed and adopted. Gratitude is expressed to the compilation team for the excellent work.
The Industrial Minerals Guidelines were completed and ratified by the SSC The SSC expresses its appreciation to the working committee for the good work. Link to access the guidelines
The Industrial Minerals Guidelines were completed and ratified by the SSC The SSC expresses appreciation to the working committee for the good work. Link to access the guidelines
The Mineral and Petroleum Resources Development Act (MPDRA) amendment proposals are out for comment until 13 August, and stakeholders are urged to submit their comments.
The Mineral and Petroleum Resources Development Act (MPDRA) amendment proposals are out for comment until 13 August, and stakeholders are urged to submit their comments.
International Liaison
International Liaison
• SSC representatives will attend the CRIRSCO AGM to be held in Perth from 1 – 5 September 2025
• SSC representatives will attend the CRIRSCO AGM to be held in Perth from 1 – 5 September 2025
• China is looking to finalise its decision to become a member of CRIRSCO and this is encouraging
• China is looking to finalise its decision to become a member of CRIRSCO and this is encouraging
• Mozambique is looking at developing a CRIRSCO-aligned mineral reporting code and there is therefore an opportunity to collaborate with the SAMREC Committee
• Mozambique is looking at developing a CRIRSCO-aligned mineral reporting code and there is therefore an opportunity to collaborate with the SAMREC Committee

Affiliation:
1Division of Mining and Geotechnical Engineering, Luleå University of Technology, Sweden
2Institute of Innovation, Science and Sustainability, Federation University Australia, Australia
3School of Mining Engineering, University of the Witwatersrand, South Africa
Correspondence to: B. Genc
Email: bekir.genc@wits.ac.za
Dates:
Received: 6 Mar. 2025
Revised: 21 Apr. 2025
Accepted: 2 May 2025
Published: June 2025
How to cite:
Zvarivadza, T., Yi, C., Dineva, S., Onifade, M., Khandelwal, M., Genc, B. 2025. Evaluating destress blasting for rock fracture and rockburst prediction in deep level hardrock mining. Journal of the Southern African Institute of Mining and Metallurgy, vol. 125, no. 6, pp. 273 –298
DOI ID:
https://doi.org/10.17159/2411-9717/3685/2025
ORCiD:
T. Zvarivadza
http://orcid.org/0000-0003-1014-0405
C. Yi
http://orcid.org/0000-0002-5872-5173
S. Dineva
http://orcid.org/0000-0001-9419-2207
M. Onifade
http://orcid.org/0000-0001-9933-266X
M. Khandelwal
http://orcid.org/0000-0003-0368-3188
B. Genc
http://orcid.org/0000-0002-3943-5103
by T. Zvarivadza1, C. Yi1, S. Dineva1, M. Onifade2, M. Khandelwal2, B. Genc3
Abstract
Deep level hardrock mining faces increasing challenges from elevated in situ stresses and associated rockbursts. This study aims to develop a systematic framework for evaluating destress blasting effectiveness, with a focus on deep Swedish hardrock mines. The methodology integrates a critical review and adaptation of global best practices: advanced numerical modelling (static and dynamic simulations), field-based rock fracture monitoring using ground penetrating radar and borehole imaging, and application of rockburst prediction criteria including the strain energy storage coefficient (F), brittle shear ratio, and burst potential index. Geostatistical simulations, machine learning models, and industrial internet of things-based, real-time monitoring are proposed to enhance predictive accuracy, model calibration, and operational adaptability. Key findings show that effective destress blasting evaluation requires multi-modal integration of numerical outputs, field observations, microseismic trends, and uncertainty quantification, accounting for site-specific geological variability and dynamic stress redistribution. The study advances the field by proposing a predictive, feedback-driven evaluation framework tailored for deep Swedish mining conditions, capable of improving proactive rockburst risk management. It offers both practical tools for mining practitioners to optimise stress management, reduce seismic hazards, and enhance excavation safety, and academic foundations for future refinement of destress blasting models, geotechnical monitoring strategies, and adaptive design protocols. This research contributes to safer, more efficient deep mining operations by bridging gaps between theoretical modelling, empirical monitoring, and real-time, data-driven blast design optimisation strategies.
Keywords
destress blasting evaluation, deep-level hardrock mining, numerical modelling, rockburst prediction criteria, seismicity, geostatistical simulation, real-time monitoring (IIoT)
Deep level hardrock mining presents significant geomechanical challenges, particularly due to the elevated stress conditions that lead to strain bursts, rockbursts, and structural failures (Li et al., 2017; Wagner, 2019; Małkowski, Niedbalski, 2020; Swan, Li, 2023; Cai, 2024; An, Mu, 2025). As mining operations progress to greater depths, the management of stress redistribution becomes increasingly critical to ensuring the safety of workers and the stability of underground excavations. Traditional support and stress management techniques often become insufficient to control extreme stress concentrations and associated rockburst hazards as mining progresses to ever greater depths. This reality necessitates the exploration of proactive rock engineering methods capable of modifying the in situ stress field before failure occurs. Among these methods, destress blasting has emerged as a particularly promising approach for mitigating dynamic failure risks by strategically redistributing stress ahead of excavation faces. Destress blasting is a proactive rock engineering technique, which has gained recognition as a viable method for mitigating the risks associated with mining-induced seismicity and dynamic rock failures (Tang, 2000; Sainoki et al., 2017; Vennes, Mitri, 2017; Drover et al., 2018; Drover, Villaescusa, 2019; Vennes et al., 2020; Mertuszka et al., 2022; Shnorhokian, Ahmed, 2024a; Shnorhokian, Ahmed, 2024b). The fundamental principle of destress blasting is to precondition the rockmass ahead of mining faces, reducing its stored elastic strain energy and altering the in situ stress field to minimise the likelihood of catastrophic rock failures. Despite its engineering value, the practical application of destress blasting in deep hardrock mines remains a complex engineering challenge. Variations in geological conditions, rockmass properties, and stress anisotropy necessitate site-specific optimisation of blast design parameters, including charge distribution, hole spacing, initiation sequences, and delay timing. Whereas field observations and empirical studies have demonstrated the benefits of destress blasting in
alleviating rockbursts and seismic risks, comprehensive evaluations of its effectiveness require effective methodologies that integrate numerical modelling, field instrumentation, and microseismic monitoring.
This study focuses on evaluating the performance of destress blasting in deep hardrock mining environments, with an emphasis on Swedish mining operations. Although extensive research on destress blasting has been conducted in other mining regions such as Canada (Cullen, 1988; Labrie et al., 1997; O’Donnell, 1999; Tang, 2000; Sampson-Forsythe et al., 2002; Andrieux et al., 2003; Andrieux, Hadjigeorgiou, 2008; Sainoki et al., 2017; Vennes, Mitri, 2017; Yao et al., 2019; Drover , Villaescusa, 2019; Vennes et al., 2020, among others) and South Africa (Hill et al., 1966; Malan et al., 1997; Toper et al., 1997; Toper et al., 2000; Toper, 2002; Toper et al., 2003; Durrheim, 2010; Modisha, Zvarivadza, 2015; Sengani, AmponsahDacosta, 2018; Sengani, Zvarivadza, 2018a; Sengani, Zvarivadza, 2018b; Zvarivadza, Sengani, 2018; Sengani et al., 2019; Sengani, 2020a; Sengani, 2020b, among others), where several important regional differences must be recognised. Even though valuable knowledge has been gained from extensive studies conducted in South African gold mines and Canadian hardrock operations, the direct application of these strategies to the deep hardrock mining environment of Sweden remains underexplored. Differences in geological structure, rockmass competency, stress regimes, and seismic response necessitate careful regional adaptation of destress blasting principles. Despite global advancements, there remains a critical research gap, i.e., a lack of systematically validated methodologies for evaluating the effectiveness of destress blasting under the unique geological and operational conditions found in Swedish deep hardrock mines. Current numerical modelling and field monitoring techniques are not fully calibrated to the rockmass conditions typical of Sweden. Without adaptation and validation, existing methods risk misrepresenting destress blasting performance, compromising operational safety and efficiency. The study aims to address the research gap by investigating the most suitable methodologies for assessing the efficiency of destress blasting under deep underground mining conditions. Comprehensive evaluations of destress blasting must consider both site-specific geological conditions and evolving monitoring technologies to ensure that methods are appropriately adapted for local conditions.
Destress blasting has been studied in various underground mining contexts, with notable contributions focusing on its theoretical basis, practical implementation, and field performance assessments. Early studies by Roux et al. (1957), Cook et al. (1966), and Blake (1972) introduced the concept of preconditioning brittle rockmasses to mitigate rockburst hazards. Subsequent investigations expanded on these ideas, developing numerical models and field validation techniques to refine destress blasting strategies (Miao et al., 2022; Tang, Mitri, 2001; Andrieux, Hadjigeorgiou, 2008). These studies highlighted key design considerations, including the need for appropriate explosive energy levels, borehole configurations, and initiation sequences tailored to specific geological settings. One of the primary research gaps in existing literature is the challenge of accurately predicting and quantifying the effectiveness of destress blasting. Traditional evaluation methods have relied on empirical observations and qualitative assessments, which, in as much as informative, lack the predictive capability needed for optimising blast designs in variable rockmasses. More recent studies have
employed numerical modelling approaches, such as finite element and discrete element methods, to simulate stress redistribution and fracture propagation resulting from destress blasting (Miao et al., 2022). These models, however, often require extensive calibration and may not fully capture the complex interactions between preexisting geological discontinuities and blast-induced stress waves. Another limitation in current research is the lack of standardised criteria for assessing destress blasting performance. Various metrics have been proposed, including stress dissipation factors, elastic modulus reductions, and seismic event reductions (Sainoki et al., 2017). The relative effectiveness of these criteria remains an open question, particularly in the context of different mining environments. Despite microseismic monitoring having been used to track stress changes following destress blasting, there is a need for more refined methodologies that integrate multiple data sources, including geophysical surveys, borehole imaging, and numerical simulations to provide a comprehensive evaluation framework.
This study systematically evaluates the effectiveness of destress blasting in deep hardrock mining, with a specific focus on Swedish underground mines. It consolidates existing research on numerical modelling, evaluation techniques, and seismic monitoring to understand how destress blasting influences stress redistribution, rockmass response, and seismic hazard mitigation. The study critically reviews numerical simulations, comparing static and dynamic approaches, and assesses key design parameters such as blast energy distribution and borehole spacing. It also examines geophysical monitoring techniques, including ground penetrating radar (GPR) and borehole periscopes, as well as seismic monitoring and rockburst prediction criteria, such as the strain energy storage coefficient (F), brittle shear ratio (BSR), and burst potential index (BPI). The study also proffers some innovative destress blasting evaluation methods incorporating geostatistics, machine learning, and IIoT real-time monitoring. The research highlights optimisation strategies and decision-support frameworks that improve destress blasting applications, drawing crucial perspectives from global best practices. The study provides a structured framework for evaluating destress blasting efficiency by integrating theoretical models, empirical assessments, and monitoring techniques. Unlike previous studies that focus solely on numerical simulations or qualitative observations, this research offers a holistic approach to stress relief assessment. It also addresses a critical knowledge gap by exploring how destress blasting can be adapted to the unique geological and operational conditions of Swedish hardrock mines. The findings of the study contribute to improved safety, enhanced operational decision-making, and the refinement of destress blasting strategies in deep underground mining.
Several approaches can be used to evaluate the efficiency of a particular chosen destress blasting design. Most of the approaches are based on the ability of the destress blast design to reduce rockburst potential (burst proneness) of the rockmass or on reducing the deformation potential of the exposed rockmass after excavation. Each approach utilises key parameters associated with rock bursting which can be assessed before and after the implementation of a chosen destress blasting design. This paper dwells on those key evaluation techniques, which are suitable for informing destress blasting practice in deep underground hardrock mines of Sweden. It is of significant importance to use at least two different approaches to assess the performance of a destress blast design to consolidate confidence in the performance
results. Through its coverage, the study contributes to the scientific advancement of stress management strategies in deep mining and offers practical guidance for safer, more efficient underground operations in Sweden.
Calibrated numerical models can be used to assess the efficiency of an adopted destress blast design. Several researchers have evaluated destress blast designs through numerical modelling with a view to select the most appropriate design for a given set of mining conditions (Sui et al., 2025; Shnorhokian, Ahmed, 2024a; Hashemi et al., 2023; Fuławka et al., 2022a; Hashemi, Katsabanis, 2021; Baranowski et al., 2019; Drover et al., 2018; Sainoki et al., 2017; Andrieux, Hadjigeorgiou, 2008; Saharan, 2004; Toper et al., 2003; Toper, 2003; Borg, 1988). The discussion on numerical modelling and its application in destress blasting can be lengthy and extensive. Miao et al. (2022) provide a detailed review on the application of numerical modelling in destress blasting design. They note that two main modelling approaches, static and dynamic, are commonly employed - the static method modifies rockmass properties to simulate destress blasting's impact, while dynamic modelling focuses on the dynamic fracture process without predetermined damage. Miao et al. (2022) compare different destress blasting numerical methods, including continuum-based, discrete-based, and coupled methods. Other key issues they explore in detail include the fracture mechanism, the assessment of destress blasting designs efficiency, factors influencing destress blasting efficiency,

and highlighting the challenges and difficulties associated with numerical modelling of destress blasting.
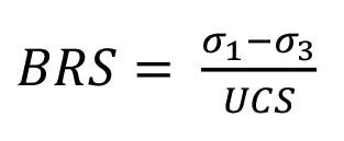
To maintain some modicum of brevity of this paper, and yet cover key issues relevant to the successful use of numerical modelling as a destress blasting design tool, this discussion zooms into and shines the spotlight on the work by Sainoki et al. (2017). Sainoki et al. (2017) warn that traditional ways of modelling, which assume that the damage zone induced by the destress blast is spread over the whole drift face, may result in overly optimistic destress blast results. This is a result of the models predicting lower than actual resultant stresses around the destressed excavation due to oversimplification of the prevailing conditions in the rockmass. To mitigate against this, Sainoki et al. evaluated the damage of each hole individually and obtained results more reflective of prevailing ground conditions after preconditioning as shown in Figure 1. Assessing the major principal stress (MPa) legend for each case in Figure 1, it can be noted that the stress drops from a maximum of 226 MPa (before destressing) to 186 MPa and 218 MPa for the traditional modelling case and the individual damage zones modelling case, respectively. This shows that the traditional modelling approach potentially underestimates the peak major principal stress after destress blasting by about 32 MPa in this scenario.
In the destress blast evaluation model, Sainoki et al. (2017) adopted the concept of rock fragmentation factor (α) as introduced by Blake (1972) as per Equation 1. The concept is based on the observation that effective destress blasting leads to the widespread


*Note that α for before destressing case (case a) should be 1 since the elastic modulus should be relatively constant before destressing – this is a typo error from Sainoki et al. (2017)
after destressing (traditional modelling) c) after destressing (individual
extension of cracks existing in the rockmass and generation of more cracks, leading to significant stress release ahead of the mining drift face. When this happens, the stiffness of the rockmass is significantly reduced, resulting in a much lower elastic modulus compared to the elastic modulus before destressing. As expected, the elastic modulus of the rockmass remains about the same when α is 1; that is when there is little to no rock fragmentation before destressing. In rock mechanics terms, the softening of the rock due to action of stress can be explained using the Poisson’s effect. The changes in Poisson’s ratio before and after destress blasting, can also be used to evaluate the efficiency of a destress blast design using Equation 2, as suggested by Tang and Mitri (2001) as per Equation 2. When α is 1 (relatively unfragmented rockmass), the Poisson’s ratio remains almost the same. When α is 0 (significantly fragmented rockmass) the Poisson’s ratio almost doubles, signifying enormous softening of the rockmass due to destress blasting.
Sainoki et al. (2017) also use the concept of stress dissipation factor (β) developed by Tang and Mitri (2001) to assess destress blasting efficiency (Equation 3). When β is 1, the stress after destress blasting is reduced significantly, showing that the high stress in the immediate vicinity of the mining drift face has been dissipated further into the rockmass, reducing the strain burst risk at the mining face. β = 0 indicates a scenario where the stress in the immediate vicinity of the mining face remains the same, that is when no destress blasting is employed.


Practical implementation of several different destress blasting designs is obviously expensive, hence the need to simulate several different destress blasting designs using numerical models to select a few suitable designs to physically assess. The field tests of the few suitable designs allow practitioners to choose the best destress design for a particular set of geotechnical ground conditions. Numerical modelling in three dimensions facilitates the identification of underground areas prone to rockbursts and, therefore, aids design of underground constructions (Kaiser, Cai, 2012). It cannot be overemphasised that numerical modelling to prescribe a suitable destress blasting design for a deep hardrock mining operation should follow the standard modelling stages (procedure) posited by Starfield and Cundall (1988).
Although Sainoki et al. (2017) introduced the fragmentation factor (α) and stress dissipation factor (β) to improve evaluation metrics, studies rarely integrate these parameters into real-time, adaptive modelling frameworks. The present study identifies this as a critical gap: linking numerical outputs (e.g., changes in α and β) dynamically to field-monitored seismic responses would enable feedback-driven optimisation of destress blast designs, something not yet systematically achieved. Cross-validation of numerical predictions with independent fracture network imaging data, such as GPR or borehole periscope observations is critical for a successful destress blasting strategy. This study supports multi-modal integration, combining numerical simulations with direct fracture monitoring and seismic monitoring trends, to holistically evaluate and refine destress blasting performance.
Rock fracture monitoring ahead of the excavation face
To gauge the effectiveness of an adopted, destress blast design,
evaluation of the rock fracturing ahead of the mining face after the blast can be done. Effective destress blasting is expected to create or extend a network of fractures, which connect the destress blast holes sockets. This is critical in assessing the most optimum number of destress blast holes to use with the production blast holes. The network of fractures provides a path for stress relief from the immediate vicinity of the blasting face into the rockmass. The intensity of fracturing ahead of the mining face due to destress blasting can be assessed using ground penetrating radar, borehole periscope, and mining face drill core discing observations.
penetrating radar
In the study of application of destress blasting to manage seismic hazard, Sengani (2020b) noted that the application of the ground penetration radar technique successfully identified seismic and non-seismic hazards, which could not be identified through conventional and numerical evaluations in hardrock mining. Fractures in the rockmass and geological structures causing breaks in the rockmass (discontinuities) can be picked using the GPR technique. The technique uses the geophysics approach of rapidly reflecting electromagnetic waves at high resolution in a scan target, providing vital information about the distribution of rockmass discontinuities. Sengani (2020b) provides an account of the theoretical background of the GPR and its application in different fields including archaeology, construction, mining, exploration of gem tourmaline pockets and vugs, identification of voids and cavities, and assessing the depth of a water table. Sengani (2020b) notes that, although GPR has been extensively used in mining and construction (Shi et al., 2018; Liu et al., 2018; Hao et al., 2016; Fedorova et al., 2016; Moradipour et al., 2015; Ralston, Strange, 2015; Lualdi, Zanzi, 2004; Jha et al., 2004; Toper et al., 1999; Ralston et al., 2001; Ralston, Hainsworth, 1999; Hainsworth et al., 1999; Murray et al., 1996; Noon, 1996; Chufo, Johnson, 1993; Mowrey et al., 1995; Daniels, 1980; Ellerbruch, Belsher, 1978), there are few studies, which cover particular application of GPR in rock mechanics (Sengani et al., 2019; Sengani, Zvarivadza, 2018a; Sengani, Amponsah-Dacosta, 2018; Sengani, Zvarivadza, 2017; Toper, 2003; Grodner, 2001). Figure 2 illustrates the application of GPR in a mining tunnel.
The GPR equipment is shown in Figure 3.
The intensity of fracturing ahead of the mining face can be assessed using colour coding, as presented in Table 1. Dark red colour indicates a fracture frequency of more than 20 fractures per metre and dark blue colour represents a fracture frequency of less than 5 fractures per metre.
Example GPR scans for destress blasting using four destress blast holes and five destress blast holes on the mining face for deep level hardrock mining in South Africa are presented in Figure 4 and Figure 5, respectively. Using Table 1 to interpret the results, it can be seen that more intensive fracturing ahead of the mining face is achieved when using five destress blast holes compared to four destress blast holes.
It then becomes critically important to choose the optimum number of destress blast holes or blast hole spacing to achieve optimum destress blasting results. It should be noted that using more holes than necessary leads to unnecessary costs and waste of time in drilling the additional holes.
Understanding both the advantages and disadvantages of using GPR allows for a balanced assessment of its suitability in specific underground mining contexts. Consideration of geological conditions, expertise in data interpretation, and the specific goals


of the mining operation are crucial in determining the effectiveness of GPR for assessing rock fracturing ahead of the mining face. The advantages and disadvantages of GPR are presented in Table 2.
A close look at some practical applications and case studies demonstrating GPR effectiveness
GPR has been increasingly applied in underground mining environments to assess rockmass fracturing, evaluate the effectiveness of destress blasting, and detect hazardous geological structures that conventional methods often miss. Several practical examples demonstrate the reliability and operational value of GPR for these purposes. One notable application was documented in
Rockmass fracturing intensity interpretation using the ground penetrating radar (from Sengani, 2020b)
Fracture frequency/ Risk profile
<5
5 – 10
10 – 20
> 20
High strainburst risk, rockmass not fractured/yielded
Medium strainburst risk, rockmass beginning to fracture/yield
Low strainburst risk, rockmass has fractured/yielded
Very low strainburst risk, rockmass highly fractured/ yielded

great technical detail at Mponeng Mine (in South Africa), one of the deepest hardrock gold mines in the world, by Thebethe, (2018). Van Schoor et al. (2022) report on the successful application of GPR in South African deep platinum and gold mines to detect and characterise fracture intensities ahead of mining faces. Momayez et al. (1996) present the application of GPR in Canadian mines to enhance safety, reduce costs, and improve productivity. They note that, in the Kidd Creek base metal mine, GPR was used to monitor the stability of a sill pillar, detect sulphide pockets, assess


Table 2
Advantages and disadvantages of GPR
Advantages
Aspect Description
Non-destructive
Disadvantages
Aspect Description
A non-destructive testing method, Limited depth penetration
The performance of GPR may be significantly hindered testing allowing for the assessment of rock in certain conditions. in geological conditions characterised by high fracturing without causing damage conductivity or attenuation. In such environments, to the rockmass. GPR may experience signal attenuation, resulting in reduced signal strength and diminished data quality. The technique may encounter limitations in achieving significant depth penetration in certain dense or conductive rock types like iron ore, thereby impacting its overall applicability in these specific geological scenarios.
Real-time Provides real-time imaging capabilities, Resolution variability. The resolution of GPR can vary based on factors such as imaging enabling continuous monitoring of the frequency and geological conditions, impacting the level of subsurface conditions ahead of the detail in the obtained images. mining face.
High Can offer high-resolution images, Interpretation challenges. Accurate interpretation of GPR data requires expertise, and resolution allowing for detailed analysis of the presence of complex geological features can pose rock fractures and structures, challenges in distinguishing fractures from other structures. aiding in accurate characterisation.
Depth Can penetrate to significant Surface roughness
Surface roughness affects the accuracy of GPR by influencing penetration depths, providing information influence. the interaction of radar signals with the fracture surface. The about subsurface conditions at various irregularities on the surface introduce complexities such as depths, which is crucial for reflections, scattering, absorption, and diffraction, all of which understanding the full extent of rock contribute to distortions in the received signals. fracturing.
Versatility Versatile method, which can be used Environmental factors. Environmental factors such as water content in the rockmass in various geological settings and rock can impact GRP performance, especially in water-saturated types, making it applicable to a wide conditions. range of underground mining scenarios.
Rapid data Allows for rapid data collection, Equipment size and Some GPR equipment may be bulky, limiting its portability collection facilitating efficient and timely decision- portability. in certain underground mining environments. making in mining operations
Safety Helps in identifying potential hazards Cost of equipment. The initial cost of GPR equipment can be relatively high, enhancement and unstable rock conditions, although this may be offset by its efficiency and costcontributing to improved safety effectiveness in certain applications. for underground mining personnel.
Cost-effective Compared to some other subsurface Challenges in detecting GPR may encounter difficulties in accurately differentiating imaging methods, GPR can be a cost- small-scale fractures. small-scale fractures within the rockmass. The resolution effective solution for assessing rock limitations of GPR may hinder the detection and fracturing, especially in certain characterisation of fractures that are below a certain geological settings. size threshold, potentially overlooking critical details in the rock structure.
In situ Enables in situ assessment, providing Limited performance in The effectiveness of GPR may be compromised in geological assessment direct observation on the conditions highly variable ground settings with high variability in ground conditions. Variations that the mining face is about to conditions in rock types, moisture content, and composition can lead to encounter. variable ground unpredictable signal behaviour, making it challenging to conditions. obtain consistent and reliable data across diverse geological profiles.
Note: GPR measurements can be susceptible to electromagnetic interference from external sources, such as power lines or electronic equipment. This interference can introduce noise into the radar signals, compromising the quality and reliability of the data obtained, particularly in environments with high electromagnetic activity.
rockfill quality, and identify voids or fractures in filled areas. The technology proved effective in mapping geological structures and evaluating the integrity of underground supports, such as culvert systems (Momayez et al.,1996). These case studies, among many others, collectively validate GPR as a practical, non-destructive, and real-time method, which can be used for evaluating destress blasting effectiveness through rockmass fracturing characterisation and guiding proactive ground control strategies. Although challenges such as signal attenuation in conductive environments remain, advances in GPR antenna technology and data processing have significantly improved its penetration depth and resolution, making it an essential tool in modern deep mining operations.
Borehole periscope
The GPR scan results can be verified using the technique of borehole camera. Rock fracturing ahead of the mining face can also be evaluated using a borehole periscope (camera). The technique can be used to verify the results of the GPR scans. This is a distinctly valuable alternative ,which can be used to detect some of the errors, which may occur due to a malfunctioning GPR. The reverse also applies in verifying borehole camera results using the GPR technique. The borehole camera can detect the fracture frequency from the collar of a borehole all the way up to the end of the borehole. Integrating borehole cameras with GPR has emerged as a powerful method to improve subsurface interpretation in deep underground hardrock mining. In spite of the fact that GPR provides broad detection of geological structures, it is prone to false anomalies due to environmental interference (Dang et al., 2018). Borehole cameras offer high-resolution visual imaging that verifies and refines GPR interpretations by directly observing fractures and discontinuities (Zou et al., 2021; Yuan et al., 2023). This combination addresses the calibration challenges of GPR, enhancing the certainty of features like fault zones and supporting more accurate rockmass modelling (Kulich, Bleibinhaus, 2020). Borehole camera data also enable advanced image processing and automated analysis, further improving reliability (Zou et al., 2021). This integrated approach strengthens subsurface characterisation, optimises mining support design, and enhances operational safety by cross-validating anomalies detected by GPR (Yuan et al., 2023). Together, the methods overcome the individual limitations of each technology, offering a reliable framework for managing geological risks in deep mining environments (Dang et al., 2018; Zou et al., 2021; Yuan et al., 2023; Kulich, Bleibinhaus, 2020).
Sengani and Zvarivadza (2018a) present the application of borehole periscope in the assessment of rock fracturing ahead of deep level hardrock mining faces destressed using destress blasting. Figure 6 illustrates borehole periscope observations of rock fracturing ahead of a mining pillar face destressed using destress blasting. The interpretation of the fracture frequency relative to rockburst potential of the mining face can be done using the criteria suggested by Sengani and Zvarivadza (2017) in Table 3.
As expected, the fracturing is high in the immediate vicinity of the pillar face and decreases towards the pillar core. Table 4 gives the advantages and disadvantages of the borehole camera method.
Drill core observations
The degree of fracturing ahead of the excavation face can also be observed by collecting drill core from the excavation face before and after destress blasting and analysing it, as per Figure 7.
The advantages and disadvantages of the drill core observations method are presented in Table 5.

Fracture frequency interpretation in relation to rockburst potential (Sengani, Zvarivadza, 2017)
Fracture frequency/ metre
<5
5–10
10–20
>20
Risk profile
High strainburst risk, rockmass not fractured/ yielded
Medium strainburst risk, rockmass beginning to fracture/yield
Low strainburst risk, rockmass has fractured/ yielded
Very low strainburst risk, rockmass highly fractured/ yielded
Colour coding
Key insights on evaluating destress blasting performance using rock fracture monitoring
The evaluation of rock fracturing ahead of the excavation face is a critical aspect in the assessment of destress blast designs within underground mining operations. Various techniques are employed to understand the effectiveness of these designs, each offering unique perspectives into the condition of the rockmass. The discussion revolves around three primary methods: GPR, borehole periscope, and drill core observations.
Table 4
Advantages and disadvantages of the borehole camera method
Advantages
Disadvantages
Aspect Description Aspect Description
Direct Provides direct visual access to the Limited coverage area. Has a limited coverage area and may only provide information visualisation interior of the borehole, allowing for about conditions within the immediate vicinityof the borehole. real-time observation and assessment of This limitation may not capture a comprehensive picture of the rock conditions, fractures, and structures. entire rockmass.
Detailed Offers high-resolution imaging, enabling Dependence on borehole Effectiveness depends on the accessibility of the borehole. In inspection a detailed inspection of rock fracture access. situations where boreholes are sparse or difficult to access, within the borehole. This level of detail the coverage and applicability of this method may be aids in the accurate characterisation of constrained. ground conditions.
Target Allows for targeted analysis of specific Risk of damage or loss. Borehole cameras may be at risk of damage or loss during analysis areas of interest within the borehole, deployment, particularly in challenging geological conditions. facilitating a focused examination of The fragility of the equipment can impact its reliability and potential fracture zones and geological lifespan. anomalies.
Orientation Can be equipped with tools for Interpretation
Interpretation of borehole camera data requires expert and dip measuring the orientation and dip of challenges. knowledge, and visual assessments may be subjective. measurements fractures. This information is valuable
Identifying specific rock types, fracture characteristics, or for understanding the geological potential instability may be challenging without the proper structure and the potential for rock geological knowledge. instability.
Real-time data Provides real-time data acquisition, Time-consuming The deployment and retrieval of borehole cameras can be timeacquisition enabling immediate decision-making process. consuming, especially in situations where multiple boreholes need during the drilling process. This can be to be inspected. This can impact the efficiency of decision-making crucial for adapting mining strategies in time-sensitive mining operations. based on the observed geological conditions.
Cost-effective In certain scenarios where targeted Data storage and
Managing and analysing the large volume of visual data for specific borehole inspections are required, analysis. obtained from borehole cameras can be challenging. Effective applications borehole cameras can offer a cost- data storage and analysis methods are necessary to derive effective solution compared to more meaningful interpretations from the visual records. extensive geophysical surveys or drilling programmes.
Useful in Borehole cameras are available in
Limited in detecting May struggle to detect microfractures or hairline cracks different various sizes, allowing for deployment microfractures. that are below the resolution threshold of the camera. borehole sizes in boreholes of different diameters.
Documentation Facilitates the documentation and Dependency on
Effectiveness is dependent on adequate illumination and record- recording of visual data, creating illumination conditions. conditions within the borehole. In poorly lit environments, keeping a visual log of subsurface conditions or in situations where natural lighting is insufficient, the that can be referenced for future quality of the captured images may be compromised, analysis or comparison. impacting the accuracy of the assessment.
Note: Borehole cameras primarily provide visual information about rock structures and fractures but may not offer feedback on fluid flow dynamics within the borehole. Understanding the movement of fluids, such as water or gas, is crucial for predicting potential hazards and stability issues.

GPR emerges as a non-destructive testing method, allowing for the assessment of rock fracturing without causing any damage to the rockmass. Its real-time imaging capabilities and high resolution provide detailed evaluation of rock fractures and structures, facilitating accurate characterisation. One of its key advantages lies in its versatility, making it applicable in various geological settings and rock types. Studies show that GPR can be used accurately to identify rock fracturing and geological discontinuities in a rockmass, thereby serving as a reliable tool to assess destress blast design effectiveness for deep underground mining. Limitations come to light in conditions characterised by high conductivity or attenuation, hindering its depth penetration capabilities. Challenges in resolution variability based on frequency and geological conditions, also pose complexities in data interpretation. The accuracy of GPR is influenced by surface roughness, affecting the interaction of radar signals with fracture surfaces.
The borehole periscope serves as a valuable alternative, providing direct visual access to the interior of the borehole for realtime observation and assessment of rock conditions. Its detailed
Table 5
Advantages and disadvantages of the drill core observations method
Advantages
Aspect Description
Aspect
Direct sampling Extracted directly from the mining Limited spatial
Disadvantages
Description
Drill core samples represent point-specific information, specific of in situ rock excavation face, providing a coverage. information, and their spatial coverage may be limited.The representative and in situ sampling of limitation makes it challenging to extrapolate findings to the rockmass conditions at the targeted broader areas of the mining face. location.
High-quality Offers high-quality geological
Disruption of
The drilling process to collect core samples may disrupt the geological information, allowing for detailed rockmass. natural state of the rockmass to some extent. This disturbance information analysis of rock types, structures, and could potentially alter the fracture patterns and stress conditions, fracture patterns. This information is impacting the accuracy of the assessments. crucial for understanding the natural state of the rockmass.
Quantitative Drill core analysis enables quantitative Costly and time-
Drill core sampling is a relatively costly and time-intensive analysis of assessments of fractures, including their intensive. process. The need for drilling equipment, skilled personnel, fractures orientation, density, and size distribution. and subsequent laboratory analysis can contribute to higher operational expenses and time delays.
Structural Can be used for detailed structural Limited real-time data.
Drill core analysis is not a real-time method. The time required mapping mapping, helping to identify fault zones, for drilling, core extraction, and subsequent analysis may result bedding planes, and other geological in delays, making it challenging to obtain immediate information features that may influence rock stability. for on-the-spot decision-making.
Integration with Drill core data can be integrated with Sampling bias.
Drill core sampling may introduce bias if the selection of drilling geophysical data geophysical data and other subsurface locations is not representative of the overall rockmass conditions, information, providing a comprehensive Biased sampling can lead to inaccurate assessments of destress understanding of the geological blasting effects. conditions. This multidisciplinary approach enhances the accuracy of rock fracturing assessments.
Longitudinal Allows for longitudinal analysis along the Inability to capture
Drill core samples provide snapshots of the rockmass at specific analysis length of the core, providing crucial dynamic changes. points in time. They may not capture dynamic changes that observations on the variations in rock occur rapidly, such as the immediate effects of destress blasting properties and fractures along the or sudden shifts in stress conditions. excavation axis. This longitudinal perspective is crucial for understanding the ground conditions dynamics.
Monitoring Repeated drill core sampling over time changes over allows for the monitoring of changes in time the rockmass, facilitating the tracking of destress blasting effects and assessing the long-term stability of the underground excavation.
Note: Even though drill core samples can reveal fractures, assessing the redistribution of stress induced by destress blasting is challenging. This requires additional measurements and considerations beyond the scope of traditional core analysis.
inspection capabilities offer high-resolution imaging, enabling a focused examination of potential fracture zones and geological anomalies. Despite its advantages, limitations arise from its dependence on borehole accessibility. In situations where boreholes are sparse or difficult to access, the coverage and applicability of this method may be constrained. The risk of equipment damage or loss also poses challenges, impacting reliability and lifespan.
Drill core observations involve direct sampling of in situ rock from the mining excavation face. This method offers high-quality geological information, allowing for a detailed analysis of rock types, structures, and fracture patterns. Quantitative assessments of fractures, including orientation, density, and size distribution, provide valuable knowledge. Integration with geophysical data enhances the accuracy of rock fracturing assessments. Restrictions come from the disruption caused by the drilling process, potentially altering fracture patterns and stress conditions. The process is also relatively costly and time-intensive, with delays in obtaining real-time data. The spatial coverage of drill core samples is limited, making it challenging to extrapolate findings to broader areas of the mining face.
Each method, despite providing valuable information, comes with its own set of advantages and disadvantages. A critical consideration is the specific context of the underground mining operation. For instance, GPR is lauded for its non-destructive nature and versatility, yet its limitations in certain geological conditions must be acknowledged. Borehole periscope, with its direct visual access, proves advantageous in targeted analysis but faces challenges in accessibility and equipment fragility. Drill core observations offer high-quality geological information but are constrained by their cost, time intensity, and limited spatial coverage.The choice of technique is not a one-size-fits-all decision but depends on the goals, geological conditions, and safety objectives of the mining operation. Combining these methods can offer a more comprehensive understanding of the rockmass, mitigating the limitations of individual techniques. It is crucial to recognise that accurate interpretation of data from these methods requires expertise, and challenges may arise in distinguishing fractures from other geological structures, especially in complex conditions.
The significance of considering environmental factors, such as water content in the rockmass, cannot be overstated. The
performance of these methods, particularly GPR, may be influenced by factors like water saturation, impacting their effectiveness. The issue of electromagnetic interference is also raised, where external sources like power lines can compromise the quality and reliability of data obtained. Such considerations highlight the need for a holistic approach that incorporates not only the technical aspects of these methods but also the external conditions that may affect their performance.It can be noted that the evaluation of rock fracturing ahead of the mining face is a multifaceted task that requires a careful balance between various techniques. The advantages of nondestructive testing, real-time imaging, and high-resolution analysis must be weighed against limitations in depth penetration, resolution variability, and interpretational challenges. The application of these methods should align with the specific goals of the mining operation and the geological context, ensuring a comprehensive and reliable assessment of rockmass conditions.To further assist readers in appreciating the relative strengths and limitations of different rock fracture monitoring methods, a detailed side-by-side technical comparison of ground penetrating radar, borehole periscope inspections, and drill core observations is presented in Table 6.
Table 6
This structured comparison enables a clearer understanding of how each method complements the others and informs the choice of evaluation techniques in practical deep mining environments. The comparison clearly shows that no single method is universally superior; rather, each offers distinct technical advantages under different operational conditions. An integrated monitoring approach, taking the advantages of the rapid survey capabilities of GPR, the detailed visualisation offered by borehole periscopes, and the geological richness captured in drill cores, is recommended for achieving a robust, high-confidence assessment of rock fracture networks following destress blasting interventions.
Calculation of the energy balance in terms of the strain energy stored in the rockmass and the energy released by the rockmass enables rockburst control practitioners to determine the propensity of the rockmass to burst. In view of destress blasting, the energy balance can be determined before and after destress blasting to evaluate the efficiency of the destress blast design.
Comparative technical evaluation of some rock fracture monitoring methods in deep level hardrock mining
Aspect Ground penetrating radar Borehole periscope
Measurement type
Drill core observations
Electromagnetic imaging. Visual inspection through borehole. Physical rock sample analysis. Invasiveness
Invasiveness.
Real-time capability
Resolution
Depth penetration
Coverage area
Sensitivity to rock properties
Ability to detect microfractures
Environmental influence
Equipment portability
Data interpretation complexity
Cost
Speed of data acquisition
Structural mapping capability
Hazard detection
Suitability for routine monitoring
Other limitations
Optimal geological conditions
Electromagnetic interference
Overall strength
Semi-invasive (requires borehole). Invasive (requires drilling).
YES. YES. No (required processing).
High (depends on frequency).
Moderate to high.
Broad (within EM wave penetration limits).
High (conductivity affects results).
Moderate.
High (water, mineralisation affect signals).
Moderate to low.
High (requires skilled geophysicists/ other experts).
Moderate to high (depending on system).
Fast.
Good (large structures better).
Very high (direct observation). Very high (physical sample).
Limited to borehole length. Limited to core length.
Point-specific.
Low.
High.
Moderate (lighting, borehole quality)
Moderate.
Moderate (geological expertise required).
Moderate (equipment plus borehole cost).
Point-specific.
Low.
Very high.
Low.
Low (requires drilling rig).
Moderate to high (geological expertise).
High (drilling and analysis cost).
Moderate (borehole inspection time). Slow (drilling, extraction, logging).
Excellent (local fractures). Excellent (all fractures visible).
Good (rock discontinuities, voids). Good (fracture zones). Excellent (can reveal hidden structures).
Very good.
Good.
Poor (too time-consuming).
Conductivity, resolution variability. Borehole access needed, damage risk. Expensive, spatially limited.
Dry, resistive rocks. Any rock type (depends on borehole quality). Any rock type.
High sensitivity. None.
Rapid fracture detection over areas. High resolution, visual fracture details.
None.
High-quality geological and structural data.
From the work of his research team conducted over many years, together with observations from several other expert researchers, Mitri (2022) provided three key rockburst criteria, which can be used to assess the efficiency of destress blasting in deep underground hardrock mining, which are F, BSR, and BPI. Each criterion provides valuable perspectives into the potential for rockmass failure and aids in optimising destress blasting strategies for enhanced safety and efficiency. The technical details and motivation behind the use of F, BSR, and BPI in evaluating destress blasting design performance revolve around their capabilities to quantify energy storage, assess brittleness, and provide a comprehensive index of rockmass properties. These criteria, when integrated and monitored over time, enable practitioners to make informed decisions to prevent or mitigate the risk of rockbursts in underground mining operations through the design of efficient destress blasts. The three are discussed as follows.
The principle of F is premised on the observations of strain energy (area under a stress–strain curve of a rock sample) changes when a rock sample is uniaxially compressed to 80% of its maximum uniaxial compressive strength and the load is released gradually to zero. Since loading the specimen to 0.8UCS makes transition from elastic behaviour to plastic behaviour, permanent damage is experienced by the specimen, leading to strain energy being spent on plastic deformation (represented as Wsp (area OAC) in Figure 8). The total strain energy generated in the specimen when it is uniaxially compressed to 0.8UCS is represented as Wtot (area OAB in Figure 8). The strain energy stored in the specimen (Wst) is the difference between Wtot and Wsp. From the work of Kidybinski (1981) and Wang et al. (1998), F is defined as the ratio of Wst to Wsp and Equations 4 to 7 are used in the formulation of the ratio using Figure 8.




The criterion for judging rockburst intensity based on F is given in Table 7.
F serves as an indicator of the energy that can be released during a rockburst. Higher values of F imply a greater potential for energy release, signalling a higher risk of rockmass failure. Monitoring changes in F before and after destress blasting helps evaluate the effectiveness of the blasting in reducing strain energy storage. A decrease in F indicates successful energy dissipation, contributing to rockburst prevention.
Despite the fact that F provides critically valuable information into the propensity of a rockmass to release stored strain energy during failure, it is important to recognise that the determination of F is sensitive to sampling variability and the inherent differences between laboratory testing conditions and actual in situ field conditions. Sampling variability arises due to the natural heterogeneity of rockmasses. Laboratory specimens are often extracted as relatively small, intact core samples that may not fully represent the large-scale variability found underground. Factors such as mineral composition, grain size distribution,
microfracturing, alteration zones, and anisotropy within the rockmass may not be adequately captured in the limited volume of laboratory samples. Laboratory-derived F values might either underestimate or overestimate the energy storage potential of the broader rockmass as a result, depending on whether the sampled cores are stronger or weaker than the average in situ conditions. Laboratory tests typically impose idealised loading conditions, such as uniform uniaxial compression at controlled strain rates, that differ significantly from the complex, multi-axial and timedependent stress regimes experienced in situ. Stress states are influenced by excavation-induced stress concentrations, seismic wave propagation, and long-term creep behaviour in the field, which are not easily replicated in laboratory environments. Laboratory tests are performed on relatively dry samples, whereas in situ rockmasses may be saturated or partially saturated, further altering their mechanical response and energy storage behaviour. The transition from laboratory to field conditions therefore introduces uncertainty into the direct application of F values. It is recommended to use a statistically significant number of samples for laboratory testing to mitigate this, capturing a broad spectrum of geological variability. Laboratory-derived F values should ideally be calibrated against observed field behaviour, such as the incidence and severity of rockbursts, microseismic energy release patterns, and measured deformation responses. Integrating F with in situ stress measurements, seismic monitoring, and numerical modelling in high-risk areas enhances the robustness of destress blasting design and rockburst risk assessments. Acknowledging these limitations ensures that the interpretation of F is contextually appropriate, and that risk management strategies based on F are both technically defensible and operationally effective in complex deep mining environments.

Table 7
Rockburst severity judgement based on strain energy storage coefficient of rocks (Cai, 2016) F
Table 8
Advantages and disadvantages of using F
Advantages
Disadvantages
Aspect Description Aspect Description
Quantitative Provides a quantitative assessment of the Complexity in calculation. Calculation of F involves integration of stress-strain curves, which energy strain energy stored in the rockmass, can be complex and may require specialised software or assessment allowing for a precise measurement of expertise. This complexity may limit its practical application the potential energy that can be released without adequate resources. during a rockburst.
Sensitive to Sensitive to changes in the stress-strain Dependency on rock F calculations are dependent on the quality of rock samples and rockmass behaviour of the rockmass. Monitoring sample quality. the representativeness of stress-strain curves. Variabilityin changes F enables the detection of alterations in rock sample quality may introduce uncertainties in F values, the rockmass' mechanical properties, affecting the reliability of predictions. making it a valuable tool for assessing the impact of destress blasting.
Early warning Can serve as an early warning system for Limited spatial coverage. Values of F are typically calculated based on data from specific system potential rockbursts. By monitoring rock samples. The spatial coverage of this information may be changes in F values over time, mining limited, making it challenging to extrapolate F values to broader operators can proactively identify areas areas of the mining excavation face. at risk and implement preventive measures before a rockburst occurs.
Integration Values of F can be integrated into the Interpretation challenges. Interpreting F values may require a deep understanding of rock with blasting optimisation of destress blasting mechanics. Misinterpretation or insufficient expertise in analysing strategies strategies. Adjustments to blasting F values may lead to inaccurate judgments on rockburst severity. parameters can be made based on F values, ensuring that the energy release potential is managed and controlled effectively.
Post-blasting F values are instrumental in post- Limited representation The strain energy stored in a rock sample may not fully represent evaluation blasting evaluations. A decrease in F of in situ conditions. in situ conditions. The difference between laboratory tests and indicates successful energy dissipation, actual field conditions introduces limitations in applying F providing direct feedback on the values to predict rockbursts accurately. performance of destress blasting in reducing the risk of rockbursts.
Clear severity The categorisation of rockburst severity May not capture short-term F values may not capture short-term changes in rockmass categories based on F values provides a clear and changes. behaviour. Rapid changes or dynamic conditions occurring actionable framework for assessing the shortly after destress blasting may not be adequately reflected potential impact. This categorisation aids in F values. in prioritising areas of concern and implementing targeted destress blasting measures.
Benchmarking F values provide a benchmark for Sensitivity to sample Values of F can be sensitive to sample preparation methods. blasting evaluating the effectiveness of different preparation. Inconsistencies in sample preparation, such as variations in techniques destress blasting techniques. Comparative specimen size or shape, may introduce errors in F calculations, analysis allows practitioners to optimise impacting the reliability of predictions. destress blasting strategies based on their impact on reducing strain energy storage.
Note: Rock properties, such as UCS and stress-strain behaviour, can exhibit inherent variability. This variability introduces uncertainties in F calculations, making it challenging to provide precise predictions of rockburst severity for all scenarios.
The advantages and disadvantages of using F for rockburst prediction, and destress blasting design and evaluation are given in Table 8.
Brittle shear ratio (BSR)
Adopting the work of Castro et al. (1997) on rockmass damage initiation, Mitri (2022) explains the application of BSR in hardrock mining to evaluate rockburst potential. The key aspects of the criterion are summarised as follows:

Where:
σ1 is the major principal stress.
σ3 is the minor principal stress.
UCS is the uniaxial compressive strength.
The rockburst propensity using the BSR criterion is assessed using potential for strain bursting as shown in Table 9.
Table 9
BSR criterion for the assessment of stain bursting potential (Mitri, 2022 based on Castro et al., 1997)

Rockmass damage Potential for strain bursting
< 0.35 No to minor No
0.35 to 0.45
0.45 to 0.6
0.6 to 0.7
> 0.7
Minor (e.g., surface spalling) no
Moderate (e.g., breakout formation) Minor
Moderate to major
Moderate
Major Major
BSR values less than 0.35 suggest no to minor rockmass damage, with no potential for strain bursting. As BSR values increase, the potential for strain bursting escalates, moving from minor to major damage categories. Before destress blasting, BSR can be calculated based on stress conditions and rock properties. This pre-blasting assessment sets a baseline for evaluating the effectiveness of destress blasting in altering the stress state and reducing the potential for brittle failure. After destress blasting, changes in BSR can be monitored. A decrease in BSR indicates a reduction in the potential for brittle failure, suggesting successful stress redistribution and a lowered risk of strain bursting. BSR values guide the optimisation of destress blasting parameters. Adjustments can be made to the blasting design to achieve the desired reduction in BSR, aligning with safety objectives and minimising the risk of rockbursts.
BSR has proven to be an effective indicator for assessing rockburst potential in hardrock mining environments, yet it is critical to acknowledge that its reliability is strongly contextdependent. The BSR calculation fundamentally relies on accurate measurements of the major and minor principal stresses (σ1 and σ3) and the uniaxial compressive strength (UCS) of the rockmass. In deep level mining, obtaining precise in situ stress measurements presents considerable challenges due to complex geological structures, variable rockmass properties, and operational constraints. In situ stress fields in deep hardrock mines are often highly heterogeneous in practice, influenced by factors such as lithological layering, faulting, historical mining-induced stress redistributions, and natural anisotropies. Techniques commonly used to measure in situ stresses, such as overcoring, hydraulic fracturing, and borehole slotter methods, are each subject to inherent limitations, measurement errors, and assumptions that may not fully capture the true stress state, especially at great depth (Ljunggren et al., 2003; Gaines et al., 2012; Lin et al., 2018; Li et al., 2024; Li et al., 2025). These uncertainties directly propagate into BSR calculations, affecting the accuracy of the predicted rockburst proneness.
BSR values are also sensitive not only to the absolute magnitudes of principal stresses, but also to the stress ratio between σ1 and σ3. Localised stress concentrations, stress shadow effects from nearby excavations, and time-dependent stress changes can all skew the stress measurements, thereby impacting the calculated BSR. Caution must be exercised when interpreting BSR in isolation, particularly in geologically complex or seismically active areas. To enhance the robustness of BSR-based assessments, it is recommended that BSR be used alongside multiple independent data sources. These may include microseismic monitoring data, numerical modelling outputs (e.g., elastic or elastoplastic stress models), mapped fracture orientations, and observational records of rockmass behaviour (e.g., spalling, slabbing, or strainbursting). Sensitivity analyses, considering plausible variations in stress magnitude and orientation, are also vital to quantify the impact of uncertainty on BSR predictions. It can be noted that BSR remains a valuable and practical tool for evaluating brittle failure potential in underground mines, but a clear understanding of its context dependence and sensitivity to in situ stress uncertainties is essential. Integrating BSR assessments with other empirical, observational, and numerical techniques provides a more comprehensive and justifiable approach to managing rockburst hazards in deep mining environments.
Several studies shed more light on the concept of BSR, coverage of which is significant to destress blasting studies. These studies include the following: Rojas-Perez et al., 2024;
Shnorhokian, Ahmed, 2024a; Kabwe et al., 2023; Zhang et al., 2023b; Shnorhokian, Mitri, 2022; Vennes, Mitri, 2022; Heidarzadeh et al., 2021; Heidarzadeh et al., 2020; Vennes et al., 2020; Sainoki et al., 2019; Vennes, 2019; Zhou et al., 2018; Shnorhokian et al., 2018; Vennes, Mitri, 2017; Vennes, Mitri, 2016; Sainoki et al., 2016; Shnorhokian et al., 2015; Shnorhokian et al., 2014. The advantages and disadvantages of using BSR for rockburst prediction and destress blasting design and evaluation are presented in Table 10.
Burst potential index (BPI)
The concept of energy balance can be used to evaluate the burst potential of the rockmass as a result of stress redistribution when destress blasting is implemented. This entails manipulation of the energy balance equations to ascertain the amount of energy available to induce rockbursting. Several studies on rockburst prediction based on energy balance evaluation have been done and are crucial to destress blasting design research (Watson et al., 2025; Gao et al., 2024; Zhang et al., 2023b; Luo, Gong, 2023; Askaripour et al., 2022; Li et al., 2022; Papadopoulos, Benardos, 2021; Gao et al., 2020; Khademian, Ozbay, 2019; Zhao et al., 2019; Khademian, Ugur, 2018; Zhou et al., 2018; Hamdi et al., 2017; Mazaira, Konicek, 2015; Qiu et al., 2014; Sirait et al., 2013; Lafont et al., 2013; Konicek et al., 2013; Al Heib et al., 2013; Wattimena et al., 2012; Brady, Brown, 2006; Tang, 2000; Tang, Mitri, 2001; Tajduś et al., 1997; Mitri et al., 1993; Minney, Naismith, 1993; Hedley, 1992; Boldstad, 1990; Salamon, 1984, 1983, 1974,1970; Walsh, 1977; McMahon, 1988; Budavari, 1983; Ivanov et al., 1980; Cook et al., 1966, 1978). The rockburst potential is influenced by excavation geometry and stress changes. Studies by Ortlepp (1983) show that the rockmass behaves elastically in rockburst scenarios. Mitri et al. (1999) note that, due to this elastic behaviour, the energy changes in the rockmass as a result of rock bursting can be modelled using elastic constitutive laws. The use of elastic laws to evaluate the energy available to induce rock bursting is conservative, since the energy used in fracturing the rock is not accounted for, therefore overestimating the energy available to induce rock bursting (Mitri et al., 1999). For practical purposes, Mitri et al. (1999) provide the following formulation (Equation 9), which can be used to evaluate the burst potential of a rockmass due to stress and excavation geometry changes.

Where:
ESR is energy stored in the rock as determined through numerical modelling.
ec is the critical energy capacity of the rock.
σc is uniaxial compressive strength.
Strain bursting is highly likely to occur when the BPI is greater than 100%.
In as much as BPI offers a powerful quantitative method for assessing the propensity of rockmass failure based on the energy balance approach, it is important to recognise that its accuracy is inherently dependent on the reliability of the numerical modelling inputs used to estimate the energy stored in the rockmass (ESR). Uncertainties in critical input parameters, including in situ stress magnitudes and orientations, mechanical properties such as Young’s modulus, Poisson’s ratio, uniaxial compressive strength
Table 10
Advantages and disadvantages of using BSR
Advantages
Aspect Description
Disadvantages
Aspect Description
Sensitivity to Highly sensitive to stress conditions, Dependency on uniaxial BSR is dependent on UCS, which can vary across rock types and stress conditions providing a responsive indicator of the compressive strength (UCS). conditions. This dependency may limit the generalisation of BSR stress state within the rockmass. This values, particularly when UCS exhibits significant variability. sensitivity enhances the ability to detect changes in rockburst potential.
Quantitative Offers a quantitative measure for Limited to brittle failure
Primarily assesses brittle failure potential. Although effective for brittle failure assessing brittle failure potential. assessment. train bursting evaluation, its focus on brittleness may not capture assessment The numerical values allow for a clear the full spectrum of rockmass behaviour, necessitating the and precise evaluation of the propensity consideration of additional criteria for a comprehensive for strain bursting, aiding in decision- assessment. making for destress blasting.
Intuitive severity The categorisation of potential for strain Influence of laboratory BSR calculations may be influenced by laboratory conditions. classification bursting based on BSR values provides conditions. Differences between laboratory tests and in situ conditions an intuitive severity classification. This may introduce biases, requiring careful consideration simplifies the interpretation of results and when interpreting BSR values. facilitates effective communication of risk levels to mining personnel.
Baseline for Serves as a baseline for pre-blasting Limited spatial coverage. Values of BSR are typically calculated based on specific stress pre-blasting assessment. Calculating BSR before conditions and rock samples. The spatial coverage of this assessment destress blasting establishes a reference information may be limited, making it challenging to extrapolate point, enabling mining personnel to BSR values to broader areas of the mining excavation face. gauge the initial rockburst potential and design appropriate destress blasting strategies.
Real-time BSR can be monitored in real-time, Dependency on Calculations of BSR assume relatively homogeneous monitoring allowing for continuous assessment homogeneous stress stress conditions. Variations in stress distribution within capability of rockmass conditions. This capability conditions. the rockmass may lead to inaccuracies in BSR predictions, facilitates timely adjustments to destress especially in areas with complex geological structures. blasting plans based on dynamic changes in the geological environment.
Dynamic Values of BSR guide the dynamic Insensitivity to localised BSR calculations may not be sufficiently sensitive to localised optimisation of optimisation of destress blasting stress concentrations. stress concentrations. In areas with high-stress gradients or blasting parameters. Adjustments to blasting focal stress points, BSR may overlook the potential for parameters design can be made to achieve a desired localised brittle failure, impacting the precision reduction in BSR, aligning with safety of rockburst predictions. objectives and minimising the risk of rockbursts.
Effective BSR values can serve as an effective Limited integration
Faces challenges in effectively integrating microseismic data. communication communication tool. The simplicity of the of microseismic Microseismic events, indicative of rockmass behaviour, are crucial tool criterion and its clear classification allow data. for understanding dynamic changes. The current for efficient communication of potential limitations in incorporating microseismic data into BSR analyses risks to stakeholders, fostering a shared may hinder a comprehensive assessment of rockburst potential. understanding of rockburst severity.
Integration with Can be integrated into broader risk Sensitivity to rate- May exhibit sensitivity to rate-dependent rock properties. In risk management management strategies. Its incorporation dependent rock properties. situations where the rock's behaviour is influenced by loading strategies into risk assessments allows for a holistic rates, the static nature of BSR calculations may not fully account approach to destress blasting design, for time-dependent variations in strain and stress, potentially considering both the immediate affecting the accuracy of predictions. reduction in rockburst potential and long-term safety planning.
Note: Like the other discussed methods, BSR calculations typically do not consider the impact of thermal effects on rock properties. In mining operations where temperature variations are significant, the omission of thermal considerations may result in incomplete assessments of rockburst risk.
(UCS), and rockmass anisotropy, can significantly influence the predicted energy accumulation and dissipation within the rockmass. Slight variations in measured UCS or elastic modulus due to sample heterogeneity, scale effects, or laboratory testing variability, as an example, can lead to notable differences in modelled stress fields and therefore the computed ESR values. Geological complexities such as unaccounted for joint sets, faults, or heterogeneous lithological transitions, may not be fully captured in the numerical model, introducing further uncertainties into the energy distribution predictions. Boundary conditions, assumed failure criteria (e.g., Mohr-Coulomb versus Hoek-Brown), and simplifications in material behaviour (linear elasticity versus strainsoftening) within the model can introduce systematic biases. These factors can result in either underestimation or overestimation of BPI values, potentially affecting the assessment of burst proneness
and leading to either excessive conservatism or overlooked hazards. Recognising these limitations, it is recommended that BPI assessments be supported by careful sensitivity analyses, wherein the impacts of key parameter variations are systematically evaluated. Probabilistic modelling approaches and back-analysis of historical seismic events, where feasible, can also help in refining the input parameters and reducing uncertainty. BPI results, ultimately, should not be interpreted in isolation but rather integrated with complementary observational data, such as microseismic monitoring trends, rock fracture mapping, and field-measured stress changes, to provide a balanced and robust evaluation of rockburst risk following destress blasting. Acknowledging and appropriately managing input uncertainties is critical for ensuring that BPI-based assessments remain a reliable and practical tool for rockburst hazard management in deep level mining operations.
BPI provides a holistic assessment of the rockmass, considering multiple mechanical properties. This comprehensive approach enhances the predictive capability of rockburst potential. Evaluating changes in BPI before and after destress blasting aids in optimising blasting parameters. A decrease in BPI signifies
Table 11
Advantages and disadvantages of using BPI
Advantages
positive modifications in the rockmass properties, indicating successful destress blasting. The advantages and disadvantages of using BPI for rockburst prediction and destress blasting design and evaluation are presented in Table 11.
Disadvantages
Aspect Description Aspect Description
Comprehensive Employs the concept of energy balance, Limited accounting for BPI's conservative approach, albeit preventing underestimation, energy balance offering a comprehensive assessment fracture energy. does not account for the energy used in fracturing the rock. assessment of the rockmass' burst potential by This limitation may result in overestimating the energy considering the manipulation of energy available to induce rock bursting in certain scenarios. balance equations. This holistic approach enhances the understanding of stress redistribution and potential rockburst scenarios.
Consideration of Takes into account excavation geometry
Complexity in numerical
The incorporation of numerical modelling for determining ESR excavation changes, acknowledging the influence of modelling. introduces complexity. The reliance on numerical methods may geometry tunnel or mining cavity shapes on the pose challenges in practical applications, requiring specialised rockmass' burst potential. This expertise and resources for accurate implementation. consideration adds a practical dimension to the evaluation, aligning with realworld mining scenarios.
Modelling elastic The use of elastic constitutive laws, as per Assumption of elastic
The assumption of elastic behaviour in rockburst scenarios, behaviour in Mitri et al. (1999) and Ortlepp (1983), behaviour in rockburst as modelled by Mitri et al. (1999) and Ortlepp (1983), may rockburst enables the modelling of the rockmass' scenarios. oversimplify the rockmass' actual response. Non-elastic scenarios elastic behaviour during rockburst behaviours in certain geological conditions may not be fully scenarios. This modelling approach captured. enhances the accuracy of energy change assessments.
Conservative BPI's conservative approach, as suggested
Inherent limitations in
The energy balance concept, though comprehensive, has inherent energy by Mitri et al. (1999), ensures that energy the energy balance concept. limitations in capturing all dynamic interactions within a evaluation used in fracturing the rock is not rockmass. Certain energy-related phenomena during rockburst accounted for. This conservatism prevents scenarios may not be fully accounted for in the energy balance under-estimation of the energy available to equations. induce rock bursting, contributing to a more robust safety assessment.
Holistic Provides a holistic assessment of the Challenges in field
Implementing BPI calculations in the field may present challenges. assessment of rockmass, considering multiple mechanical implementation. The need for precise numerical modelling and data acquisition rockmass properties. This comprehensive evaluation may require specialised equipment and expertise, potentially properties encompasses factors such as energy storage, limiting its practicality in certain mining environments. critical energy capacity, and uniaxial compressive strength, offering a nuanced understanding of the burst potential.
Numerical BPI incorporates numerical modelling to Complexities in strain
BPI establishes a threshold for strain bursting at values greater modelling for determine the energy stored in the rock bursting threshold than 100% but interpreting the significance of specific BPI energy storage (ESR). This numerical approach enhances interpretation. ranges in practical terms may present complexities. Clear precision and reliability in assessing the guidelines for practical decision-making based on BPI energy available for inducing rock thresholds may be lacking. bursting, contributing to accurate predictive modelling.
Practical Mitri et al. (1999) provide a practical Varied interpretation of
The interpretation of energy storage in rock, as determined formulation for formulation (Equation 14) for evaluating energy storage in rock. through numerical modelling, may vary based on modelling burst potential burst potential using BPI. This formula- assumptions and methodologies. This variability introduces evaluation ion simplifies the application of BPI in uncertainties in the reliability of BPI as a consistent burst potential practical scenarios, facilitating its adoption indicator. adoption in destress blasting design and evaluation.
Strain bursting BPI establishes a threshold for strain Inability to account for BPI calculations may struggle to account for stress relaxation threshold for bursting, indicating high likelihood stress relaxation phenomena over time. Certain rockmasses exhibit stress predictive when BPI is greater than 100%. phenomena. relaxation behaviour, and BPI's static evaluation may not capability This threshold provides a clear capture the evolving stress states, impacting the benchmark for assessing the predictive accuracy of burst potential predictions. capability of burst potential, aiding in risk management strategies.
Enhanced Consideration of multiple mechanical Insensitivity to dynamic Calculations for BPI may be insensitive to dynamic changes predictive properties and the energy balance rockmass changes. within the rockmass during mining operations. Rapid capability concept contributes to an enhanced alterations in stress distribution or structural changes may not be predictive capability for rockburst adequately reflected in BPI values, affecting the criterion's potential. This improvement aids in reliability. proactive safety measures and strategic destress blasting planning.
Flexible The incorporation of BPI in multiple Limited Integrationof Effectively integrating microseismicity data in BPI calculations application studies, as highlighted in this section, microseismicity data. may be challenging. Microseismic events, indicative of rockmass across various demonstrates its applicability across behaviour may not be fully considered in BPI formulations geological various geological conditions. This potentially limiting its sensitivity to subtle changes in rock conditions flexibility ensures its relevance in conditions. diverse mining environments.
Note: Similar to BSR, BPI may exhibit sensitivity to rate-dependent rock properties. The criterion may face challenges in accurately representing scenarios where the rock's behaviour is influenced by loading rates, impacting burst potential predictions
Key insights on evaluating destress blasting performance using rock burst prediction criteria
Rockburst prediction criteria can be handy in the design of efficient destress blasting. Some of the key rockburst prediction criteria applicable to hardrock mining, as presented by Mitri (2022), are F, BSR, and BPI. The energy balance method is pivotal in the assessment of the burst potential of underground mining excavations. It involves assessing the strain energy stored in the rockmass against the energy released, aiding in the determination of rockmass propensity to burst. The three criteria presented by Mitri (2022) are derived from this method, offering a holistic approach to evaluating destress blasting efficiency. Selected practical examples from deep mining operations are integrated in this discussion to further illustrate the applicability of these criteria in evaluating destress blasting performance.
F is a crucial indicator representing the ratio of strain energy stored to that spent on plastic deformation during uniaxial compression. High F values suggest a greater potential for energy release, signifying a higher risk of rockmass failure. Monitoring F changes post-destress blasting aids in assessing its effectiveness. The advantages include quantitative energy assessment, sensitivity to rockmass changes, and serving as an early warning system. Challenges arise from its complexity of calculation, dependency on sample quality, and limited spatial coverage.
In the Sanshandao gold mine case study conducted by Cai (2016), F was applied to evaluate five rock types, resulting in the classification of four rock types as having strong rockburst potential and one as medium. The findings aligned with other indices (e.g., brittleness coefficient, burst energy coefficient), confirming the high rockburst risk of the mine and, showing that F serves as a predictive tool, enabling proactive rockburst prevention in deep mining operations (Cai, 2016). Targeted destress blasting can successfully reduce F values in rockburst prone zones, and subsequent operational records can confirm this by showing a marked decline in burst events to validate F as a practical tool for pre- and postblasting evaluation.
Rockburst potential is assessed by BSR based on the ratio of major to minor principal stress over the uniaxial compressive strength. It categorises potential for strain bursting from ‘no’ to ‘major.’ BSR proves sensitive to stress conditions, allowing real-time monitoring and dynamic optimisation of blasting parameters. Its challenges involve dependency on UCS, limited spatial coverage, and potential oversimplification of rockmass behaviour. Vennes et al. (2020) employed the BSR technique (creating fractured panels to dissipate stress in ore pillars, reducing local stiffness and stress concentrations) to evaluate the effectiveness of large-scale destress blasting for their case study of the Copper Cliff mine. Numerical modelling, validated by field stress measurements, showed that destress blasting lowered BSR values in targeted zones. In one stope, they noted that BSR decreased from 0.93 to 0.87 after blasting, reducing the volume of high-risk ore (BSR > 0.7) from 15% to 7.7% (Vennes et al., 2020). The practical application of BSR lies in guiding blast design and mining sequences. Mining practitioners can optimise destress blasting parameters (e.g., explosive energy, panel geometry) by monitoring BSR changes to ensure stress relief and safer extraction. The study by Vennes et al. (2020) confirmed that BSR, combined with other indices like the BPI, provides a reliable framework for rockburst risk management in deep, high-stress mining environments.
BPI evaluates burst potential by considering energy storage, excavation geometry, and rock properties. It provides a
comprehensive assessment, incorporating multiple mechanical properties. Decreases in BPI post-destress blasting indicate positive modifications in rockmass properties. Advantages include a holistic evaluation and consideration of excavation geometry, while challenges include complexity in numerical modelling, potential conservatism, and difficulties in field implementation. One effective application of the BPI is demonstrated in the study by Xu et al. (2022), which evaluates rockburst tendencies in the context of sill pillar recovery strategies using finite element modelling. They reveal that the assessment of tangential stress, alongside the BPI, provides more clarity into the stability of stope accesses during recovery operations, thereby facilitating safe mining practices. Verma et al. (2024) propose an energy-based strain burst criterion that integrates stress conditions and material characteristics. They introduce a 'Burst Envelope' concept, which aids in understanding localised failure mechanisms, and develop a scalar burst index that quantifies burst potential. This approach underscores the significance of material properties and stress conditions in predicting rockburst events. Numerical simulations based on mining-induced stress redistribution can predict BPI values exceeding 100% in mining areas. Controlled destress blasts can be strategically deployed together with monitoring BPI values to decrease the BPI values below critical threshold. This intervention holds great potential to directly mitigate the risk of large-scale violent failures in highextraction stopes and can demonstrate the operational value of BPI in guiding destress strategies.
The three criteria offer a comprehensive toolkit for assessing rockburst potential. F, BSR, and BPI, even alongside their advantages, share common challenges such as sensitivity to sample quality, limited spatial coverage, and the need for expertise in interpretation. It can be noted that a holistic approach, combining multiple criteria for a more robust assessment, is of significant importance. The practical application of these criteria in real-world mining scenarios is notable. Each criterion provides evaluation, yet the interplay between them and their integration into broader risk management strategies is crucial. Practical challenges, such as the complexity of calculations and limitations in field implementation, need to be addressed for effective use. The practical examples highlighted in this study collectively underline that rockburst prediction criteria such as F, BSR, and BPI are not just theoretical tools; they have proven, tangible application in real mining scenarios. Integrating these indices into routine mining practice, alongside numerical modelling and seismic monitoring, provides a powerful, validated methodology for optimising destress blasting and improving underground mine safety.
The extensive list of studies cited highlights the depth of research in this field. It also points to potential gaps, such as the limited integration of microseismic data and challenges in representing dynamic rockmass changes. Future research could focus on refining these criteria and addressing the evolving needs of mining operations. The rockburst prediction criteria offer a nuanced approach to destress blasting design. Recognising their challenges, their potential in enhancing safety and efficiency in underground mining operations is evident. A collaborative effort in further research and practical implementation is crucial for refining these criteria and ensuring their effectiveness in diverse geological conditions.
Seismic monitoring
Mining-induced seismic events can be monitored using seismic monitoring systems, enabling mining personnel to forecast
rockburst hazards and effectively manage them (Durrheim, 2025; Rapetsoa et al., 2025; Wu et al., 2024; Zhang et al., 2023a; Li et al., 2023; Fuławka et al., 2022a; Fuławka et al., 2022b; Zhao et al., 2022; Feng et al., 2022; Wang et al., 2022; Wang et al., 2021; Zhang et al., 2021; Vennes et al., 2020; Rahimi et al., 2020, Ma et al., 2020; Dahnér, Dineva, 2020; Simser, 2019; De Santis et al., 2019; Wesseloo, 2018; Ma et al., 2018; Konicek, Waclawik, 2018; Brown, Hudyma, 2018, He et al., 2017; Sainoki et al., 2017; Sengani, Zvarivadza, 2017; Zhang et al., 2017; Glazer, 2016; Mendecki, Malovichko, 2010; Hudyma, Potvin, 2010; Durrheim, 2010; Hudyma, Brummer, 2007; Hudyma, Potvin, 2004; Blake, Hedley, 2003; Beck, Brady, 2002; Potvin, Hudyma, 2001; Duplancic, Brady, 1999; Mendecki, 1996; Hasegawa et al., 1989, among many others). Figure 9 and Figure 10 illustrate the distribution of micro seismic events before and after implementing destress blasting respectively for a deep underground hardrock mine.
It is evident from field observations that destress blasting is accompanied by significantly reduced seismic events at a local scale of the mine. A properly functional seismic monitoring system is a practical and handy tool to observe destress blasting efficiency. Noting the significant value of seismic monitoring, Simser (2019) argues that: A modern deep hardrock mine arguably should not operate without a seismic monitoring system. Simser’s (2019) assertion is fundamentally accurate, still, it is important to provide a balanced discussion by acknowledging practical considerations such as costs, system limitations, and data resolution challenges. Seismic monitoring systems are invaluable for detecting stress redistribution, locating seismic sources, and tracking precursors to dynamic failures, thereby enabling proactive rockburst management. The installation, operation, and maintenance of high-quality seismic arrays, however, entail significant financial investment. Costs include not only the initial purchase of


geophones, accelerometers, and associated hardware, but also the ongoing requirements for data processing infrastructure, specialist staff, calibration, and periodic system upgrades to maintain sensitivity and reliability. The spatial resolution and sensitivity of seismic monitoring systems are also inherently limited by the number and placement of sensors. Insufficient sensor density can result in large uncertainties in event localisation, magnitude estimation, and focal mechanism analysis, particularly in complex geological environments where wave propagation is heterogeneous. On top of that, distinguishing between mining-induced seismicity and background microseismic noise often demands sophisticated signal processing techniques and expert interpretation, increasing operational complexity. Technological advances such as micro electro mechanical system (MEMS) based accelerometers and machine learning enhanced data interpretation are improving capabilities, but challenges persist, especially for detecting lowenergy microseismic events critical for early warning. It can be noted from this that, although seismic monitoring is imperative for deep level mines, a well refined perspective recognises that its deployment must be optimised relative to mine-specific risk profiles, operational budgets, and geotechnical conditions. A tiered approach is recommended: critical areas of the mine may warrant dense, high-resolution monitoring, while less active zones could be covered with lower-density arrays, ensuring effective, riskprioritised seismic hazard management without excessive financial burden. Amid the clear value of seismic monitoring for managing rockburst risk and evaluating destress blasting effectiveness, it is equally important to critically consider the limitations of seismic systems, their complementary role alongside other monitoring techniques, and practical evidence of their integrated application in deep mining operations.
Limitations, complementary value, and practical evidence of seismic monitoring
Seismic monitoring plays a critical role in managing rockburst risks and evaluating the effectiveness of destress blasting in deep level hardrock mining. Seismic systems provide vital real-time feedback into stress redistribution and dynamic failure mechanisms; there are, however, practical limitations that must be acknowledged when implementing these systems. Spatial resolution and event detection thresholds pose significant challenges. The ability of a seismic system to accurately locate and characterise events is heavily dependent on the number, sensitivity, and strategic placement of sensors. Sparse networks can result in large location uncertainties, misinterpretation of source mechanisms, and failure to detect small, but important, microseismic precursors (Mendecki, 1996; Hudyma, Potvin, 2004; Peng et al., 2020; Barthwal, Van der Baan, 2020). Hidayat et al. (2021) discuss the importance of hypocenter relocation to minimise uncertainties in microseismic activity identification, which is crucial for ensuring the safety of mining operations under complex geological conditions. High-frequency, low-energy microseismic events, which often precede larger rockbursts, may go undetected if sensor sensitivity or density is insufficient. Environmental and operational noise in an active mine, caused by drilling, blasting, equipment operation, and ventilation, can mask true seismic signals. Discriminating between mininginduced seismicity and background noise demands sophisticated signal processing and experienced interpretation, increasing operational complexity (Wesseloo, 2018).
Financial costs present another constraint. Seismic monitoring systems require substantial investment for high-quality sensors,
cabling, data acquisition systems, and ongoing maintenance. Additional costs are associated with data analysis expertise, either internally trained or outsourced (Durrheim, 2010). Mines must balance the cost of the system against the potential risk reduction benefit it provides. Another limitation lies in data interpretation complexity. Even with real-time monitoring, understanding the implications of seismic trends requires integration with geological models, mining sequences, and stress analysis. Standalone seismic data, without correlation to other monitoring data, may lead to incomplete or misleading conclusions regarding rockmass stability. Despite these limitations, seismic monitoring complements other rock engineering techniques effectively. When combined with numerical modelling, seismic monitoring validates model predictions of stress redistribution, allowing dynamic updating of rockburst risk maps (Ma et al., 2020). Ground penetrating radar and borehole periscope inspections provide direct imaging of fracture development, which can be correlated with microseismic event clustering zones, enhancing fracture network interpretation. Drill core analysis, in a similar approach, provides physical verification of fracture patterns predicted by seismicity patterns, strengthening confidence in rockmass behaviour models.
Practical evidence of the value of integrated seismic monitoring exists. Simser (2019) reports on Canadian hardrock mines that implemented comprehensive seismic monitoring systems integrated with numerical modelling to manage rockburst risks during deep mining. Seismic monitoring remains one of the best tools for estimating rockburst risk, asserts Simser (2019) from his practical observations from the Canadian hardrock mines. For effective large-scale destress blasting campaigns, seismic data can reveal spatial migration of seismicity away from production areas. Seismic moment tensor analysis correlation with fracture orientations observations through borehole logging can provide strong validation of the combined monitoring approach. In the deep gold mines of South Africa, seismic systems have been used in conjunction with visual geological mapping and borehole imaging to predict and manage strainbursts in high-risk panels, notably improving safety performance (Durrheim, 2010; Sengani, Zvarivadza, 2017; Sengani, 2020a). Seismic monitoring systems have practical limitations related to resolution, noise sensitivity, cost, and interpretation complexity, but they are indispensable for effective rockburst risk management. Their power lies not in standalone deployment but in strategic integration with other monitoring and modelling techniques, providing a holistic, dynamic understanding of the evolving rockmass response to mining activities. Future advancements in real-time data fusion, machine learning event classification, and integration with energy-based rockburst prediction models are expected to further enhance the role of seismic monitoring in modern deep level mining.
Innovative destress blasting evaluation methods incorporating geostatistics, machine learning, and IIoT real-time monitoring
Employing geostatistical methods like kriging or conditional simulation could strongly quantify spatial uncertainty and enhance the reliability of blast performance predictions. Geostatistics could help optimise the placement and configuration of destress blast holes by precisely modelling rockmass heterogeneity and identifying areas with higher probabilities of rockburst occurrences. Zvarivadza (2023) covers key concepts on the application of geostatistical methods in the evaluation of destress blasting efficiency.
Incorporation of machine learning techniques could significantly advance the predictive capabilities of the destress blasting evaluation framework. Given the complex, multivariate nature of the data involved, ranging from rock mechanics parameters, seismic data, fracture network imaging, and geomechanical modelling outputs, machine learning approaches such as random forests, gradient boosting, or neural networks could efficiently handle non-linear interactions and provide predictive perspectives with higher accuracy. Machine learning models could also dynamically adapt to incoming data, continually refining destress blasting strategies based on historical outcomes, thereby promoting proactive management of rockburst risks.
Integrating Industrial IoT based real-time monitoring systems, could further enhance data quality and operational responsiveness (Zvarivadza et al., 2024). Deploying sensor networks that continuously capture seismic, deformation, and environmental data in real-time could markedly improve the temporal resolution and accuracy of the evaluation. Such real-time data streams, combined with advanced analytics and cloud-based visualisation platforms, would allow immediate detection and response to stress changes and rockmass behaviour. This integration could substantially elevate the operational reliability of destress blasting, transitioning from retrospective assessments to real-time, data-driven decision-making frameworks. Table 12 presents some innovative destress blasting evaluation methods incorporating geostatistics, machine learning, and IIoT real-time monitoring.
The integration of geostatistical methods, machine learning models, and real-time IIoT monitoring frameworks significantly broadens the traditional destress blasting evaluation approach, offering a multi-dimensional, data-driven, and adaptive strategy that enhances both scientific rigour and operational resilience in deep underground hardrock mining environments.
Conclusions
Practically reliable evaluation of destress blasting is vitally important for developing a reliable destress blasting strategy. This study advances the evaluation of destress blasting by moving beyond traditional descriptive summaries and providing a structured, integrated framework that critically addresses key gaps in current practice. Previous research has highlighted the importance of destress blasting in mitigating seismic hazards in deep hardrock mining. Our work systematically tailors global best practices to the unique geological and operational challenges of deep Swedish mines. The study proposes refinements better suited for Sweden's deep hardrock mining environments by critically reviewing numerical modelling approaches and highlighting their limitations, such as oversimplification of damage zones and the need for anisotropic, time-dependent models. The integration of field-based fracture monitoring methods (GPR, borehole periscope imaging, and drill core observations) with predictive numerical simulations provides a notable, multi-modal evaluation framework. This study also reflects on the combined application of rockburst prediction criteria (F, BSR, BPI) as essential quantitative tools for assessing stress relief effectiveness pre- and post-destress blasting, offering a more robust and risk-informed evaluation process. It is also important to note that this work considers the incorporation of emerging technologies, such as geostatistical simulations to characterise spatial variability, machine learning to predict blast outcomes dynamically, and Industrial IoT-based real-time monitoring to move evaluation from retrospective assessments to predictive, adaptive control.
The new insights gained include:
➤ Emphasising the critical role of uncertainty quantification in blast performance prediction.
➤ Highlighting the importance of integrating low-magnitude seismic responses into adaptive destress blasting optimisation.
➤ Proposing an operational pathway for real-time feedback loops linking monitoring data to model recalibration during ongoing mining.
The proposed framework practically enables mining practitioners to design destress blasting strategies that are sitespecific, dynamically adaptable, and scientifically grounded. This can improve operational safety, reduce unplanned seismic disruptions, and optimise drilling and blasting costs for the mining industry. From an academic perspective, the study contributes a refined evaluation methodology that future researchers can extend, particularly by combining energy-based rockburst prediction models with real-time data streams. Future research should focus on validating the proposed framework through field trials in deep Swedish mines, refining machine learning predictive models with larger datasets, and developing standardised protocols for real-time blast effectiveness evaluation based on integrated multi-sensor data. Our study lays the groundwork for a more rigorous, predictive, and operationally impactful approach to destress blasting evaluation in deep hardrock mining environments. It bridges the gap between theoretical destress blasting models and practical deep mining realities, offering a predictive, adaptable framework that strengthens both scientific understanding and field-based application in highstress mining environments.
The authors gratefully acknowledge the financial support from the Strategic Innovation Programme for the Swedish Mining and Metal Producing Industry (STRIM), which is a joint investment from VINNOVA (The Swedish Governmental Agency for Innovation Systems), the Swedish Energy Agency, and Formas, with an additional in-kind contribution from Zinkgruvan Mining AB, LKAB, and Boliden (Ref. No.: 2020-04459).
References
Al Heib, M., Lafont, G., Didier, C., Gunzburger, Y., Piguet, J.P., Pytel, W., Mitri, H. 2013. Critical energy and mine rockburst potential. ISRM International Symposium-EUROCK, October 2013. OnePetro.
An, H., Mu, X. 2025. Contributions to Rock Fracture Induced by High Ground Stress in Deep Mining: A Review. Rock Mechanics and Rock Engineering, vol. 58, no. 1, pp. 463–511.
Andrieux, P., Hadjigeorgiou, J. 2008. The destressability index methodology for the assessment of the likelihood of success of a large-scale confined destress blast in an underground mine pillar. International Journal of Rock Mechanics and Mining Sciences, vol. 45(, no. 3, pp.407–421.
Andrieux, P.P., Brummer, R.K., Liu, Q., Simser, B.P., Mortazavi, A. 2003. Large-scale panel destress blast at Brunswick mine. CIM Bulletin, pp. 78–87.
Askaripour, M., Saeidi, A., Rouleau, A., Mercier-Langevin, P. 2022. Rockburst in underground excavations: A review of mechanism, classification, and prediction methods. Underground Space, vol. 7, no. 4, pp. 577–607.
Table 12
Some innovative destress blasting evaluation methods incorporating geostatistics, machine learning, and IIoT real-time monitoring
Evaluation method Description
Geostatistical methods
Ordinary kriging Interpolation technique assuming spatial correlation
Technical contribution to destress blasting evaluation
Predicts stress and rockmass variability spatially, improving blast between samples. design precision.
Indicator kriging Geostatistical method for categorical data
Maps fracture probabilities, guiding borehole placement. (e.g., fractured vs. intact zones).
Co-kriging Uses secondary variables (e.g., GPR signals) to improve primary Enhances destress target definition with multisource data fusion. stress or fracture data predictions.
Conditional Generates multiple equally probable realisations of rockmass
Quantifies spatial uncertainty in blast design outcomes. simulation properties.
Variogram analysis Statistical tool to describe spatial variability of geological properties. Enables understanding of fracture and stress anisotropy.
Sequential Gaussian Stochastic geostatistical method to model continuous variables like Supports probabilistic blast hole positioning optimisation. simulation rock strength.
Multiple point Models complex geological patterns based on training images. Allows realistic simulation of fracture networks affecting blast geostatistics (MPS) efficiency.
Kriging with external Incorporates external trends (e.g., mining depth) into
Improves predictive models of stress fields around excavation drift (KED). kriging interpolation. fronts.
Uncertainty Measures prediction uncertainty of stress and rockmass conditions. Guides risk-aware destress blasting design. quantification (UQ) in geostatistics
Rockmass classification Combines geostatistics with core logging to produce 3D
Enables better localisation of preconditioning zones. mapping via geostatistics classification models.
Machine learning techniques
Random forests Ensemble learning technique based on decision trees. Predicts optimal blast parameters using large multivariate datasets.
Gradient boosted Advanced tree-based algorithm minimising prediction Accurately predicts destress blast outcomes using complex, machines (GBMs) error sequentially . non-linear interactions.
Artificial neural Models complex, non-linear relationships between input and Learns effective destress blasting patterns from historical blastingnetworks (ANN) output variables. seismicity data.
Support vector Classifier/regressor used to model stress conditions leading to Classifies high-risk areas vs. low-risk zones pre- and post-destress. machines (SVM) successful blasting.
Deep learning Advanced neural networks for large-scale data mining. Detects hidden patterns in seismic and geotechnical time-series (DL) models data.
Reinforcement Learns optimal blasting strategies by trial and error. Continuously improves destress blasting planning in dynamic learning conditions.
Feature engineering Pre-processing to enhance ML model input quality. Extracts key patterns improving model accuracy and from seismic and interpretability. GPR data
Ensemble learning Combines outputs of multiple ML models to enhance robustness. Reduces predictive uncertainty in blast efficiency forecasts. Data augmentation for Synthetic data generation to handle sparse severe event datasets. Improves ML training for low-frequency rockburst prediction rare events after destress blasting.
Predictive maintenance ML predicting sensor health status. Increases reliability of real-time IIoT systems during destress models for sensors blasting.
Wireless sensor Deploys distributed nodes for stress, deformation, and Enables high-density, real-time monitoring of networks (WSN) microseismic monitoring. rockmass behaviour during blasting.
Real-time microseismic IoT-connected seismic systems for instant event detection. Provides immediate feedback on destress blast effectiveness. monitoring platforms
Fiber optic sensing Captures strain and acoustic signals continuously. Detects fracture growth and stress changes during and after (distributed acoustic blasting. sensing)
Wireless Networks of vibration sensors installed in tunnels and boreholes. Captures blast-induced stress redistribution in real-time. accelerometer arrays
Cloud based data Collects, processes, and visualises real-time monitoring data. Facilitates real-time decision-making post-destress blasting. integration platforms
Predictive analytics Web-based visualisation integrating GPR, seismic, and stress data. Provides mining practitioners with actionable insights during dashboards operations.
Automated alert Triggers alarms when stress or seismic thresholds are exceeded. Improves safety by rapid response to unstable conditions. systems for stress anomalies
IIoT enhanced drill and Adjusts drill and blast plans dynamically based on real-time Optimises blast timing and location to maximise destressing blast scheduling rockmass data. effect.
Data fusion of seismic, Merges multiple data streams. Achieves a holistic understanding of blast impacts on mine environmental, and stability. deformation sensors
Edge computing for on Processes sensor data locally at the mine before cloud transmission. Reduces latency and improves responsiveness of blasting site data processing evaluations.
Baranowski, P., Damaziak, K., Mazurkiewicz, Ł., Mertuszka, P., Pytel, W., Małachowski, J., Pałac-Walko, B., Jones, T. 2019. Destress blasting of rockmass: multiscale modelling and simulation. Shock and Vibration, 2019.
Barthwal, H., Van der Baan, M. 2020. Microseismicity observed in an underground mine: Source mechanisms and possible causes. Geomechanics for Energy and the Environment, vol. 22, p. 100167.
Beck, D.A., Brady, B.H.G. 2002. Evaluation and application of controlling parameters for seismic events in hardrock mines. International Journal of Rock Mechanics and Mining Sciences, vol. 39, no. 5, pp. 633–642.
Blake, W. 1972. Destressing test at the Galena Mine. In Transaction of SME-AIME. pp. 294–299. As cited in Sainoki, A., Emad, M.Z. and Mitri, H.S., 2017. Study on the efficiency of destress blasting in deep mine drift development. Canadian Geotechnical Journal, vol. 54, no. 4, pp. 518–528.
Blake, W., Hedley, D.G. 2003. Rockbursts: case studies from North American hardrock mines. SME.
Bolstad, D.D. 1990. Rockburst control research by the US Bureau of Mines. Rockbursts and Seismicity in Mines, pp. 371–375.
Borg, T. 1988. Ortdrivning med avlastningssprängning; Bergmekanisk uppföljning på 815m nivån i Malmberget. Report BeFo 331:1/88, SveDeFo 1989:1 (In Swedish).
Brady, B.H., Brown, E.T. 2006. Rock mechanics: for underground mining. Springer science & business media.
Brown, L.G., Hudyma, M.R. 2018. Mining-induced seismicity in Canada: a 2017 update. 52nd US Rock Mechanics/Geomechanics Symposium, June 2018. OnePetro.
Budavari, S. 1983. Response of the rockmass to excavations underground. Rock Mechanics in Mining Practice. The South African Institute of Mining and Metallurgy Monograph Series M, 5, pp. 55–76.
Cai, M. 2016. Prediction and prevention of rockburst in metal mines–A case study of Sanshandao gold mine. Journal of Rock Mechanics and Geotechnical Engineering, vol. 8, no. 2, pp. 204–211.
Cai, M. 2024. Rockburst risk control and mitigation in deep mining. Deep Resources Engineering, vol. 1, no. 2, p. 100019.
Castro, L.A., Grabinsky, M.W., McCreath, D.R. 1997. Damage initiation through extension fracturing in a moderately jointed brittle rockmass. International Journal of Rock Mechanics and Mining Sciences, vol. 34, no. 3-4, pp. 110-e1.
Chufo, R.L., Johnson, W.J. 1993. A radar coal thickness sensor. IEEE Transactions on Industry Applications, vol. 29, no. 5, pp.834–840.
Cook, N.G.W., Fenton, C.T., Lancaster, F.H., More-O'Ferall, R.C., Nienaber, W.C., Van Schalkwijk, A.J.H., Steijn, R.P.G., Tyser, J.A., Wagner, H., Waterman, D.D. 1978. An industry guide to the amelioration of hazards of rockbursts and rockfalls. Chamber of Mines of South Africa
Cullen, M. 1988. Studies of destress blasting at Campbell Red Lake mine. MSc Thesis. McGill University, Montreal, Canada.
Dahnér, C., Dineva, S. 2020. Small-scale variations in mininginduced stresses, monitored in a seismically active underground mine. Proceedings of the Second International Conference on
Underground Mining Technology, November 2020, pp. 233–246. Perth: Australian Centre for Geomechanics.
Dang, L., Yang, H., Teng, B. 2018. Detection imaging of impulse borehole well-logging radar. EURASIP Journal on Image and Video Processing, 2018, pp. 1–14.
Daniels, D.J. 1980. Short pulse radar for stratified lossy dielectric layer measurement. IEE Proceedings F-Communications, Radar and Signal Processing, vol. 5, no. 127, pp. 384–388).
De Santis, F., Conin, M., Renaud, V., Bernard, P., Dineva, S. 2019. Seismic and aseismic rockmass deformation induced by underground excavations: in-situ monitoring and 3D-numerical modeling in a deep mine.
Drover, C., Villaescusa, E. 2019. A comparison of seismic response to conventional and face destress blasting during deep tunnel development. Journal of Rock Mechanics and Geotechnical Engineering, vol. 11, no. 5, pp. 965–978.
Drover, C., Villaescusa, E., Onederra, I. 2018. Face destressing blast design for hardrock tunnelling at great depth. Tunnelling and Underground Space Technology, vol. 80, pp. 257–268.
Duplancic, P., Brady, B.H. 1999. August. Characterisation of caving mechanisms by analysis of seismicity and rock stress. 9th ISRM Congress. OnePetro.
Durrheim, R.J. 2010. Mitigating the risk of rockbursts in the deep hardrock mines of South Africa: 100 years of research. Extracting the science: A century of mining research, pp. 156–171.
Durrheim, R.J. 2025. Seismic activity related to mining. Journal of the Southern African Institute of Mining and Metallurgy, vol. 125, no. 1, pp. iv–iv.
Ellerbruch, D.A., Belsher, D.R. 1978. Electromagnetic technique of measuring coal layer thickness. IEEE Transactions on Geoscience Electronics, vol. 16, no. 2, pp. 126–133.
Fedorova, L.L., Savvin, D.V., Fedorov, M.P., Struchkov, A.S. 2016. GPR monitoring of cryogenic processes in subgrade soils. 2016 16th International Conference on Ground penetrating radar (GPR). IEEE, Hong Kong, pp. 1–5.
Feng, G.L., Chen, B.R., Xiao, Y.X., Jiang, Q., Li, P.X., Zheng, H., Zhang, W. 2022. Microseismic characteristics of rockburst development in deep TBM tunnels with alternating soft–hard strata and application to rockburst warning: A case study of the Neelum–Jhelum hydropower project. Tunnelling and Underground Space Technology, vol. 122, p. 104398.
Fuławka, K., Mertuszka, P., Pytel, W., Szumny, M., Jones, T. 2022a. Seismic evaluation of the destress blasting efficiency. Journal of Rock Mechanics and Geotechnical Engineering.
Fuławka, K., Mertuszka, P., Szumny, M., Stolecki, L., Szczerbiński, K. 2022b. Application of MEMS-Based Accelerometers for NearField Monitoring of Blasting-Induced Seismicity. Minerals, vol. 12, no. 5, p. 533.
Gaines, S., Diederichs, M.S., Hutchinson, D.J. 2012. Review of borehole in-situ stress measurement techniques for various ground conditions and numerical stress estimation considerations. ARMA US Rock Mechanics/Geomechanics Symposium, June 2012, pp. ARMA–2012. ARMA.
Gao, H., Xie, H., Zhang, Z., Lu, J., Zhang, D., Zhang, R., Wu, M. 2024. True triaxial energy evolution characteristics and failure mechanism of deep rock subjected to mining-induced stress. International Journal of Rock Mechanics and Mining Sciences, vol. 176, p. 105724.
Gao, L., Gao, F., Xing, Y., Zhang, Z. 2020. An energy preservation index for evaluating the rockburst potential based on energy evolution. Energies, vol. 13, no. 14, p. 3636.
Glazer, S.N. 2016. Applications of seismic monitoring in combating rock burst hazard. Mine Seismology: Data Analysis and Interpretation: Palabora Mine Caving Process as Revealed by Induced Seismicity, pp. 9–29.
Grodner, M. 2001. Delineation of rockburst fractures with ground penetrating radar in the Witwatersrand Basin, South Africa. International Journal of Rock Mechanics and Mining Sciences, vol. 38, no. 6, pp. 885–891.
Hainsworth, D.W., McPhee, R.J., Ralston, J.C. 1999. Longwall horizon control (ACARP project C4018): CSIRO Exploration and Mining Report 658F. Kenmore, QLD, Australia.
Hamdi, J., Souley, M., Scholtès, L., Al Heib, M., Gunzburger, Y. 2017. Assessment of the energy balance of rockmasses through discrete element modelling. Procedia engineering, vol. 191, pp. 442–450.
Hao, L.S., Xu, X.L., Peng S.P., Feng, Y. 2016. Development and application of a novel combined low-frequency antenna for ultra deep advanced detection in mine. 2016 16th International Conference on Ground Penetrating Radar (GPR), Hong Kong, pp. 1–4. https://doi.org/10.1109/ICGPR.2016.7572632
Hasegawa, H.S., Wetmiller, R.J., Gendzwill, D.J. 1989. Induced seismicity in mines in Canada—an overview. Pure and Applied Geophysics, vol. 129, no. 3, pp. 423–453.
Hashemi, A.S., Katsabanis, P. 2021. Tunnel face preconditioning using destress blasting in deep underground excavations. Tunnelling and Underground Space Technology, vol. 117, p. 104126.
Hashemi, A.S., Dadashzadeh, N., Kalenchuk, K. 2023. An Implicit Numerical Modeling Approach for Destress Blasting Design Optimisation for Tunneling and Mine Development in High Stress Conditions. ISRM Congress, October 2023 (pp. ISRM15CONGRESS). ISRM.
He, J., Dou, L., Gong, S., Li, J., Ma, Z. 2017. Rockburst assessment and prediction by dynamic and static stress analysis based on micro-seismic monitoring. International Journal of Rock Mechanics and Mining Sciences, vol. 93, pp. 46–53.
Hedley, D.G.F. 1992. Rockburst Handbook for Ontario Hardrock Mines, CANMET Special Report SP92-1E, Energy, Mines and Resources Canada. Canada Center for Mineral and Energy Technology, Quebec, p. 305.
Heidarzadeh, S., Saeidi, A., Rouleau, A. 2020. Use of probabilistic numerical modeling to evaluate the effect of geomechanical parameter variability on the probability of open-stope failure: a case Study of the Niobec Mine, Quebec (Canada). Rock Mechanics and Rock Engineering, vol. 53, pp. 1411–1431.
Heidarzadeh, S., Saeidi, A., Rouleau, A. 2021. The damage-failure criteria for numerical stability analysis of underground excavations: A review. Tunnelling and Underground Space Technology, vol. 107, p. 103633.
Hidayat, W., Sahara, D.P., Widiyantoro, S., Putra, I.P.R.A., Shihab, N.H., Amalia, R., Harisandi, A. 2021. Analysis of Hypocenter Relocation by Using Double Difference Method in a Deep Underground Mining. IOP Conference Series: Earth and Environmental Science, October 2021, vol. 873, no. 1, p. 012099. IOP Publishing.
Hill, F.G., Cook, N.G.W., Hoek, E., Pretorius, J.P., Ortlepp, W.D., Salamon, M. 1966. Rock mechanics applied to study of rockbursts. Journal of the South African Institute of Mining and Metallurgy, vol. 66, no. 10, p. 435.
Hudyma, M., Potvin, Y. 2004. Seismic hazard in Western Australian mines. Journal of the Southern African Institute of Mining and Metallurgy, vol. 104, no. 5, pp.265–275.
Hudyma, M., Potvin, Y.H. 2010. An engineering approach to seismic risk management in hardrock mines. Rock Mechanics and Rock Engineering, vol. 43, no. 6, pp. 891–906.
Hudyma, M.R., Brummer, R.K. 2007.May. Seismic monitoring in mines-Design, operation, tricks and traps. 1st Canada-US Rock Mechanics Symposium, May 2007. OnePetro.
Ivanov, B.M., Malinnikova, O.N., Tomilin, P.I. 1980. Methods for determining energy balance during rock bursts. Nauchn. Soobshch.-Inst. Gorn. Dela im. AA Skochinskogo; (USSR), 186.
Jha, P.C., Balasubramaniam, V.R., Sandeep, N., Sivaram, Y.V., Gupta, R.N. 2004. GPR applications in mapping barrier thickness in coal mines: Some case studies. Proceedings of the Tenth International Conference on Grounds Penetrating Radar, June 2004. GPR 2004, pp. 605–608. IEEE.
Kabwe, E., Banda, W., Bowa, V.M., Kabwe, E. 2023. Back analysis of the strainburst associated rock fragment ejection in an underground crosscut. Tunnelling and Underground Space Technology, vol. 140, p. 105286.
Kaiser, P.K., Cai, M. 2012. Design of rock support system under rockburst condition. Journal of Rock Mechanics and Geotechnical Engineering, vol. 4, no. 3, pp. 215–227.
Khademian, Z., Ozbay, U. 2019. Modeling violent rock failures in tunnelling and shaft boring based on energy balance calculations. Tunnelling and Underground Space Technology, vol. 90, pp. 62–75.
Khademian, Z., Ugur, O. 2018. Computational framework for simulating rockburst in shear and compression. International Journal of Rock Mechanics and Mining Sciences, vol. 110, pp. 279–290.
Kidybinski A. 1981. Bursting liability indices of coal. International Journal of Rock Mechanics and Mining Sciences and Geomechanics Abstracts, vol 18, no. 4. pp. 295–304.
Konicek, P., Waclawik, P. 2018. Stress changes and seismicity monitoring of hard coal longwall mining in high rockburst risk areas. Tunnelling and Underground Space Technology, vol. 81, pp. 237–251.
Konicek, P., Soucek, K., Stas, L., Singh, R. 2013. Long-hole destress blasting for rockburst control during deep underground coal mining. International Journal of Rock Mechanics and Mining Sciences, vol. 61, pp. 141–153.
Kulich, J., Bleibinhaus, F. 2020. Fault detection with crosshole and reflection geo-radar for underground mine safety. Geosciences, vol. 10, no. 11, p. 456.
Labrie, D., Plouffe, M., Haevey, A., Major, C. 1997. Destress blast testing at Sigma Mine: experimentation and results. Mining & Mineral Sciences Laboratories.
Lafont, G., Gunzburger, Y., Mitri, H.S., Al Heib, M., Didier, C., Piguet, J.P. 2013. Influence of mining excavation on energy redistribution and rockburst potential. 23rd World Mining Congress, August 2013 (p. NC).
Li, C.C., Zhao, T., Zhang, Y., Wan, W. 2022. A study on the energy sources and the role of the surrounding rockmass in strainburst. International Journal of Rock Mechanics and Mining Sciences, vol. 154, p. 105114.
Li, J., Tang, S., Tang, L., Zhu, C., Liu, Z., Zhao, L., Yang, D., Ma, L. 2023. Study on the characteristics of rockbursts in deep-buried tunnels based on microseismic monitoring. Environmental Earth Sciences, vol. 82, no. 14, p. 357.
Li, P., Cai, M., Miao, S., Li, Y., Sun, L., Wang, J., Gorjian, M. 2024. Accurate measurement techniques and prediction approaches for the in-situ rock stress. Scientific Reports, 14(1), p.13226.
Li, P., Liu, Y., Cai, M., Miao, S., Li, Y., Hu, Y., Gorjian, M. 2025. The Overcoring Technique for Precise Measurement of In-Situ Rock Stress at Great Depths: Challenges and Solutions. Engineering, vol. 46, pp. 9–15.
Li, X., Gong, F., Tao, M., Dong, L., Du, K., Ma, C., Zhou, Z., Yin, T. 2017. Failure mechanism and coupled static-dynamic loading theory in deep hardrock mining: a review. Journal of Rock Mechanics and Geotechnical Engineering, vol. 9, no. 4, pp. 767–782.
Lin, H., Oh, J., Masoumi, H., Canbulat, I., Zhang, C., Dou, L. 2018. A review of in-situ stress measurement techniques. Proceedings of the 2018 Coal Operators’ Conference, February 7, vol. 9, pp. 95–102.
Liu, L., Han, Y., Li, J., Xu, H., Wang, B. 2018. GPR detection of underground void based on low-rank and sparse representation. 2018 17th International Conference on Ground Penetrating Radar (GPR), Rapperswil, 2018, pp. 1–4. https://doi.org/10.1109/ ICGPR.2018.8441686
Ljunggren, C., Chang, Y., Janson, T., Christiansson, R. 2003. An overview of rock stress measurement methods. International Journal of Rock Mechanics and Mining Sciences, vol. 40, nos. 7-8, pp. 975–989.
Lualdi, M., Zanzi, L. 2004. 2D and 3D experiments to explore the potential benefit of GPR investigations in planning the mining activity of a limestone quarry. Proceedings of the Tenth International Conference on Grounds Penetrating Radar, June 2004. GPR 2004, pp. 613–616. IEEE.
Luo, S., Gong, F. 2023. Evaluation of energy storage and release potentials of highly stressed rock pillar from rockburst control perspectives. International Journal of Rock Mechanics and Mining Sciences, vol. 163, p. 105324.
Ma, X., Westman, E., Counter, D., Malek, F., Slaker, B. 2020. Passive seismic imaging of stress evolution with mining-induced seismicity at hardrock deep mines. Rock Mechanics and Rock Engineering, vol. 53, no. 6, pp. 2789–2804.
Ma, X., Westman, E., Slaker, B., Thibodeau, D., Counter, D. 2018. The b-value evolution of mining-induced seismicity and mainshock occurrences at hardrock mines. International Journal of Rock Mechanics and Mining Sciences, vol. 104, pp. 64–70.
Malan, D.F., Vogler, U.W., Drescher, K. 1997. Time-dependent behaviour of hardrock in deep level gold mines. Journal of the Southern African Institute of Mining and Metallurgy, vol. 97, no. 3, pp. 135–147.
Małkowski, P., Niedbalski, Z. 2020. A comprehensive geomechanical method for the assessment of rockburst hazards in underground mining. International Journal of Mining Science and Technology, vol. 30, no. 3, pp. 345–355.
Mazaira, A., Konicek, P. 2015. Intense rockburst impacts in deep underground construction and their prevention. Canadian Geotechnical Journal, vol. 52, no. 10, pp. 1426–1439.
McMahon, T. 1988. Rockburst research and the Coeur d'Alene District (Vol. 9186). US Department of the Interior, Bureau of Mines.
Mendecki, A.J. ed. 1996. Seismic monitoring in mines. Springer Science & Business Media.
Mendecki, A.J., Lynch, R.A., Malovichko, D.A. 2010. Routine microseismic monitoring in mines. Australian Earthquake Engineering Soc., Annual Conference, Perth, Australia, November 2010, pp. 1–33.
Mertuszka, P., Szumny, M., Fuławka, K., Kondoł, P. 2022. Novel approach for the destress blasting in hardrock underground copper mines. Journal of Sustainable Mining, vol. 21.
Miao, S., Konicek, P., Pan, P.Z., Mitri, H. 2022. Numerical modelling of destress blasting–A state-of-the-art review. Journal of Sustainable Mining, vol. 21, no. 4, pp. 278–297.
Minney, D.S., Naismith, W.A. 1993. Quantitative analysis of seismic activity associated with the extraction of a remnant pillar in a moderately deep level gold mine. Rockbursts and Seismicity in Mines, vol. 93, pp. 95–100.
Mitri, H.S, Tang, B., Simon, R. 1999. FE modelling of mininginduced energy release and storage rates. Journal of the Southern African Institute of Mining and Metallurgy, vol. 99, no. 2, pp. 103–110.
Mitri, H.S. 2022. Destress Blasting. ISRM Commission on Deep Mining. Internet. https://www.youtube.com/watch?v=4Pc9W_ EqHK0 Accessed 18 March 2022.
Mitri, H.S., Hassani, F.P., Kebbe, R. 1993. A strain energy approach for the prediction of rockburst potential in underground hardrock mines. Proc., 1st Canadian Symp. Numerical Modelling Applications in Mining and Geomechanics, May 1993, pp. 228–239). McGill Univ., Montréal.
Modisha, S., Zvarivadza, T. 2015. A review of preconditioning and its influence on mining conditions with particular emphasis on health and safety. Proceedings of the 24th International Mining Congress and Exhibition of Turkey–IMCET, vol. 15, pp. 113–122.
Momayez, M., Hassani, F.P., Hara, A., Sadri, A. 1996. Application of GPR in Canadian mines. CIM(Canadian Mining and Metallurgical) Bulletin, vol. 89, 1001), pp. 107–110.
Moradipour, M., Hojat, A., Ranjbar, H., Nasab, S.K., Roodposhti, H.R., Daneshpajouh, S. 2015. Application of geophysical methods to determine subsurface acid saturated zones of heap No. 3 at Sarcheshmeh copper mine, Iran. 2015 8th International Workshop on Advanced Ground Penetrating Radar (IWAGPR), Florence, pp. 1–4. https://doi.org/10.1109/ IWAGPR.2015.7292630
Mowrey, G.L., Ganoe, C.W., Monaghan, W.D. 1995. A radar-based highwall rib-thickness monitoring system. Transactions-Society for Mining Metallurgy and Exploration Incorporated, vol. 298, pp. 1865–1869.
Murray, W., Lewis, C., Yang, Z., Pollock, J. 1996. Development of high resolution GPR hardware in the frequency range 300 MHz-3.5 GHz. Proceedings of the 6th International Conference on Ground Penetrating Radar, September 1996 (GPR,’96), pp. 509–510.
Noon, D.A. 1996. Stepped-frequency radar design and signal processing enhances ground penetrating radar performance, PhD thesis, Department of Electrical & Computer Engineering, University of Queensland and Cooperative Research Centre for Sensor Signal and Information Processing.
O’Donnell, J.D.P. 1999. The development and application of destressing techniques in the mines of INCO Limited. Citeseer, Sudbury. MSc Thesis. Laurentian University, Sudbury, Canada.
Ortlepp, W.D. 1983. ‘The mechanics and control of rockbursts’, Rock Mechanics in Mining Practice, Budavari (ed.). Southern African Institute of Mining and Metallurgy, pp. 257–282.
Papadopoulos, D., Benardos, A. 2021. Enhancing machine learning algorithms to assess rockburst phenomena. Geotechnical and Geological Engineering, vol. 39, no. 8, pp. 5787–5809.
Peng, P., He, Z., Wang, L., Jiang, Y. 2020. Microseismic records classification using capsule network with limited training samples in underground mining. Scientific Reports, vol. 10, no. 1, p. 13925.
Potvin, Y., Hudyma, M.R. 2001. Seismic monitoring in highly mechanised hardrock mines in Canada and Australia. The Fifth International Symposium on Rockburst and Seismicity in Mines, South African Institute of Mining and Metallurgy, January 2001, pp. 267–280.
Qiu, S., Feng, X., Zhang, C., Xiang, T. 2014. Estimation of rockburst wall-rock velocity invoked by slab flexure sources in deep tunnels. Canadian Geotechnical Journal, vol. 51, no. 5, pp. 520–539.
Rahimi, B., Sharifzadeh, M., Feng, X.T. 2020. Ground behaviour analysis, support system design and construction strategies in deep hardrock mining–Justified in Western Australian's mines. Journal of Rock Mechanics and Geotechnical Engineering, vol. 12, no. 1, pp. 1–20.
Ralston, J.C., Hainsworth, D.W. 1999. Application of ground penetrating radar for coal depth measurement. 1999 IEEE International Conference on Acoustics, Speech, and Signal Processing. Proceedings. ICASSP99, March 1999 (Cat. No. 99CH36258), vol. 4, pp. 2275–2278. IEEE.
Ralston, J.C., Strange, A.D. 2015. An industrial application of ground penetrating radar for coal mining horizon sensing. 2015 International Symposium on Antennas and Propagation, November 2015 (ISAP), pp. 1–4. IEEE.
Ralston, J.C., Hainsworth, D.W., Reid, D.C., Anderson, D.L., McPhee, R.J. 2001. Recent advances in remote coal mining machine sensing, guidance, and teleoperation. Robotica, vol. 19, no. 5, pp. 513–526.
Rapetsoa, M.K., Manzi, M.S.D., Sihoyiya, M., Malehmir, A., James, I., Socco, L.V., Lepine, J., Colombero, C., Valeshin, O., Durrheim, R.J. 2025. Advanced seismic acquisition techniques
in South African mines: Insights from the FUTURE project. Journal of the Southern African Institute of Mining and Metallurgy, vol. 125, no. 1, pp.25–32.
Reutechmining. 2017. SSP Sub Surface Profiler (Ground Penetration Radar) manual and other documents. Online. https://www. reutechmining.com/ssp/. Accessed: 07/07/2019.
Rojas Perez, C., Wei, W., Gilvesy, A., Borysenko, F.J., Mitri, H.S. 2024. Rockburst assessment and control: a case study of a deep sill pillar recovery. Deep Mining 2024: Proceedings of the 10th International Conference on Deep and High Stress Mining, September 2024, pp. 659–672. Australian Centre for Geomechanics.
Roux, A.J.A., Leeman, E.R., Denkhaus, H.G. 1957. Destressing: a means of ameliorating rockburst conditions. Part I: the concept of destressing and the results obtained from its applications. Journal of the Southern African Institute of Mining and Metallurgy, vol. 57, pp. 101–119.
Saharan, M.R. 2004. Dynamic modelling of rock fracturing by destress blasting. PhD Thesis. McGill University, Montreal, Canada.
Sainoki, A., Emad, M.Z., Mitri, H.S. 2017. Study on the efficiency of destress blasting in deep mine drift development. Canadian Geotechnical Journal, vol. 54, no. 4, pp. 518–528.
Sainoki, A., Mitri, H.S., Chinnasane, D., Schwartzkopff, A.K. 2019. Quantitative energy-based evaluation of the intensity of mining-induced seismic activity in a fractured rockmass. Rock Mechanics and Rock Engineering, vol. 52, pp. 4651–4667.
Sainoki, A., Mitri, H.S., Yao, M., Chinnasane, D. 2016. Discontinuum modelling approach for stress analysis at a seismic source: case study. Rock Mechanics and Rock Engineering, vol. 49, pp. 4749–4765.
Salamon, M.D.G. 1970. Stability, instability and design of pillar workings. International Journal of Rock Mechanics and Mining Sciences and Geomechanics Abstracts, November 1970, vol. 7, no. 6, pp. 613–631. Pergamon.
Salamon, M.D.G. 1974. Rock mechanics of underground excavations, Advances in Rock Mechanics. Proceedings of 3rd congress of the International Society for Rock Mechanics National Academy of Sciences, Washington, DC, Denver, pp. 951–1099.
Salamon, M.D.G.1984. Energy considerations in rock mechanics: fundamental results. Journal of the Southern African Institute of Mining and Metallurgy, vol. 84, no. 8, pp. 233–246.
Salamon, M.G. 1983. Rockburst hazard and the fight for its alleviation in South African gold mines. Rockbursts: prediction and control. Symposium, pp. 11–36.
Sampson-Forsythe, A., Andrieux, P., Brummer, R. 2002. Report on the Destress Blast of 24 December 2001 in 42-1-1620 Stope, 080 Access, Fraser Copper Mine. Report to Fraser Mine, Falconbridge Ltd.
Sengani, F., Amponsah-Dacosta, F. 2018. The application of the face-perpendicular preconditioning technique for de-stressing seismically active geological structures. Mining Technology, vol. 127, no. 4, pp. 241–255.
Sengani, F., Zvarivadza, T. 2017. Review of pre-conditioning practice in mechanised deep to ultra deep level gold mining. 26th International Symposium on Mine Planning and Equipment Selection (MPES2017). 29–31 August 2017, Luleå, Sweden.
of
Southern African Institute of Mining and Metallurgy
Sengani, F., Zvarivadza, T. 2018a. Borehole periscope observations of rock fracturing ahead of the preconditioned mining faces in a deep level gold mine. ISRM International Conference on Advances in Rock Mechanics-TuniRock, March 2018, pp. ISRMTUNIROCK. ISRM.
Sengani, F., Zvarivadza, T. 2018b. The development and optimization of face-perpendicular preconditioning technique for development ends. Rock Dynamics and Applications 3, pp. 349–354. CRC Press.
Sengani, F. 2020a. Characterisation of rock fracturing ahead of the preconditioned mining faces in a hardrock mining. Arabian Journal of Geosciences, vol. 13, no. 14, p. 670.
Sengani, F. 2020b. The use of ground Penetrating Radar to distinguish between seismic and non-seismic hazards in hardrock mining. Tunnelling and Underground Space Technology, vol. 103, p. 103470. https://doi.org/10.1016/j. tust.2020.103470
Sengani, F., Zvarivadza, T., Adoko, A.C. 2019. Comparison of two adopted face perpendicular preconditioning techniques. Mining Technology, vol. 128, no. 1, pp. 21–38.
Shi, X., Cheng, D., Song Z., Wang, C. 2018. A Real-time Method For Landmine Detection Using Vehicle Array GPR. 2018 17th International Conference on Ground Penetrating Radar (GPR), Rapperswil, 2018, pp. 1–4. https://doi.org/10.1109/ ICGPR.2018.8441584
Shnorhokian, S., Ahmed, S. 2024a. 3D Modelling of Destress Slots at a Scandinavian Mine. Rock Mechanics and Rock Engineering, pp. 1–24.
Shnorhokian, S., Ahmed, S. 2024b. Mechanisms and Measurements of Destressing in Underground Mines: A State-of-the-Art Review. Mining, Metallurgy and Exploration, pp. 1–47.
Shnorhokian, S., Mitri, H. 2022. Quantifying the influence of variations in rockmass properties on stope stability. Journal of Sustainable Mining, vol. 21, no. 4, p. 331.
Shnorhokian, S., MacNeil, B., Mitri, H.S. 2018. Volumetric analysis of rockmass instability around haulage drifts in underground mines. Journal of Rock Mechanics and Geotechnical Engineering, vol. 10, no. 1, pp.60–71.
Shnorhokian, S., Mitri, H.S., Moreau-Verlaan, L. 2014 September. Analysis of microseismic cluster locations based on the evolution of mining-induced stresses. Deep Mining 2014: Proceedings of the Seventh International Conference on Deep and High Stress Mining, September 2014, pp. 709–722. Australian Centre for Geomechanics.
Shnorhokian, S., Mitri, H.S., Moreau-Verlaan, L. 2015. Stability assessment of stope sequence scenarios in a diminishing ore pillar. International Journal of Rock Mechanics and Mining Sciences, vol. 74, pp. 103–118.
Simser, B.P. 2019. Rockburst management in Canadian hardrock mines. Journal of Rock Mechanics and Geotechnical Engineering, vol. 11, no. 5, pp. 1036–1043.
Sirait, B., Wattimena, R.K., Widodo, N.P. 2013. Rockburst prediction of a cut and fill mine by using energy balance and induced stress. Procedia Earth and Planetary Science, vol. 6, pp. 426–434.
Starfield, A.M., Cundall, P.A. 1988. Towards a methodology for rock mechanics modelling. International Journal of Rock Mechanics and Mining Sciences and Geomechanics Abstracts, June 1988, vol. 25, no. 3, pp. 99–106. Pergamon.
Sui, Z., Yang, L., Xu, J., Li, C., Chen, T., Ding, C. 2025. Stress interaction and crack penetration mechanism between slit charge blasting holes in high in-situ stress rockmass. Journal of Geophysics and Engineering, p. gxaf019.
Swan, G., Li, C.C. 2023. Hardrock burst mechanisms and management strategies. Geohazard Mechanics, vol. 1, no. 1, pp. 18–31.
Tajduś, A., Flisiak, J., Cała, M. 1997. Estimation of rockburst hazard basing on 3D stress field analysis. Ratio, vol. 1, no. 2, p. 1–6.
Tang, B., Mitri, H. 2001. Numerical modelling of rock preconditioning by destress blasting. Proceedings of the Institution of Civil Engineers-Ground Improvement, vol. 5, no. 2, pp. 57–67.
Tang, B. 2000. Rockburst control using destress blasting. PhD Thesis McGill University, Montreal, Canada.
Thebethe, Z. 2018. Assessing preconditioning effectiveness using ground penetrating radar mapping. MSc Thesis. University of the Witwatersrand, Johannesburg, South Africa.
Toper, A.Z, Kabongo, K.K, Stewart, R.D., Daehnke, A. 2000. The mechanism, optimisation and effects of preconditioning. Journal of the Southern African Institute of Mining and Metallurgy, vol. 100, no. 1, pp. 7–15.
Toper, A.Z. 2002. Destressing/preconditioning to control rockbursts in South African deep level gold mines. International Seminar on Deep and High-Stress Mining. Australian Centre for Geomechanics, November 2002. Perth.
Toper, A.Z. 2003. The effect of blasting on the rockmass for designing the most effective preconditioning blasts in deep level gold mines. Doctoral Thesis. University of the Witwatersrand).
Toper, A.Z., Grodner, M., Stewart, R.D., Lightfoot, N. 1997. Preconditioning: A rockburst control technique. Rockbursts and Seismicity in Mines, pp. 267–272.
Toper, A.Z., Janse van Rensburg, A.L., Milev, A.M., Grodner, M.W., Noble, B.R. 2003. Criteria for preconditioning at varying stoping widths in different geotechnical areas. SIMRAC Project number: GAP, 811.
Toper, A.Z., Kabongo, K.K., Stewart, R.D., Daehnke, A. 1999. The mechanism, optimisation and effects of preconditioning. 6th International Symposium for Rock Fragmentation by Blasting Van Schoor, M., Nkosi, Z., Magweregwede, F., Kgarume, T. 2022. Deep Level Gold and Platinum Mining: The Application of Geophysics in South Africa. Springer Nature
Vennes, I., Mitri, H. 2017. Geomechanical effects of stress shadow created by large-scale destress blasting. Journal of Rock Mechanics and Geotechnical Engineering, vol. 9, no. 6, pp. 1085–1093.
Vennes, I., Mitri, H. 2022. Panel destressing strategies for remnant pillar extraction. Journal of Sustainable Mining, 21.
Vennes, I., Mitri, H.S. 2016. Large-scale panel destress blasting parametric study. 3rd International Symposium on Mine Safety Science and Engineering, November 2016, pp. 65–70.
Vennes, I. 2019. Improved Ore Recovery in Burst Prone Ground using Destress Blasting (Doctoral dissertation, McGill University).
Vennes, I., Mitri, H., Chinnasane, D.R., Yao, M. 2020. Large-scale destress blasting for seismicity control in hardrock mines: a case study. International Journal of Mining Science and Technology, vol. 30, 2, pp. 141–149.
Verma, R.K., Nguyen, G.D., Karakus, M., Taheri, A. 2024. A size‐dependent energy‐based strain burst criterion. International Journal for Numerical and Analytical Methods in Geomechanics, vol. 48, no. 12, pp. 3186–3209.
Wagner, H. 2019. Deep mining: a rock engineering challenge. Rock Mechanics and Rock Engineering, vol. 52, pp. 1417–1446.
Walsh, J.B. 1977. Energy changes due to mining. International Journal of Rock Mechanics and Mining Sciences and Geomechanics Abstracts, January 1977, vol. 14, no. 1, pp. 25–33. Pergamon.
Wang, Y., Li, W., Lee, P.K.K. 1998. Method of fuzzy comprehensive evaluations for rockburst prediction. Chinese Journal of Rock Mechanics and Engineering, vol. 17, no. 5, pp. 493–501 (in Chinese). As cited in Cai, M., 2016. Prediction and prevention of rockburst in metal mines–A case study of Sanshandao gold mine. Journal of Rock Mechanics and Geotechnical Engineering, 8(2), pp.204-211.
Wang, C., Si, G., Zhang, C., Cao, A., Canbulat, I. 2021. A statistical method to assess the data integrity and reliability of seismic monitoring systems in underground mines. Rock Mechanics and Rock Engineering, vol. 54, no. 11, pp. 5885–5901.
Wang, C., Si, G., Zhang, C., Cao, A., Canbulat, I. 2022. Ground motion characteristics and their cumulative impacts to burst risks in underground coal mines. Geomechanics and Geophysics for Geo-Energy and Geo-Resources, vol. 8, no. 1, pp.1–18.
Watson, J., Canbulat, I., Zhang, C., Wei, C. 2025. Energies within rockmass and the associated dynamic rock failures. Rock Mechanics and Rock Engineering, pp. 1–24.
Wattimena, R.K., Sirait, B., Widodo, N.P., Matsui, K. 2012. Evaluation of rockburst potential in a cut-and-fill mine using energy balance. International Journal of the JCRM, vol. 8, no. 1, pp. 19–23.
Wesseloo, J. 2018. The spatial assessment of the current seismic hazard state for hardrock underground mines. Rock Mechanics and Rock Engineering, vol. 51, no. 6, pp. 1839–1862.
Wu, T., Liu, Z., Yan, S. 2024. Detection and Monitoring of MiningInduced Seismicity Based on Machine Learning and Template Matching: A Case Study from Dongchuan Copper Mine, China. Sensors, vol. 24, no. 22, p. 7312.
Xu, H., Apel, D.B., Wang, J., Wei, C., Skrzypkowski, K. 2022. Investigation and stability assessment of three sill pillar recovery schemes in a hard rock mine. Energies, vol. 15, no. 10, p. 3797.
Yao, M., Chinnasane, D.R., Sampson-Forsythe, A. 2019. De-Stress Blasting Strategy: Case Studies for Mining in Highly Stressed Sill Pillars at Vale's Ontario Operations. ARMA US Rock
Mechanics/Geomechanics Symposium, June 2019, pp. ARMA2019. ARMA.
Yuan, W., Liu, S., Zhao, Q., Deng, L., Lu, Q., Pan, L., Li, Z. 2023. Application of Ground-Penetrating Radar with the Logging Data Constraint in the Detection of Fractured Rockmass in Dazu Rock Carvings, Chongqing, China. Remote Sensing, vol. 15, no 18, p. 4452.
Zhang, C., Canbulat, I., Hebblewhite, B., Ward, C.R. 2017. Assessing coal burst phenomena in mining and insights into directions for future research. International Journal of Coal Geology, vol. 179, pp. 28–44.
Zhang, M., Hu, X., Huang, H., Chen, G., Gao, S., Liu, C., Tian, L. 2021. Mechanism and prevention and control of mine earthquake in thick and hardrock strata considering the horizontal stress evolution of stope. Shock and Vibration, 2021.
Zhang, Q., Zhang, X.P., Liu, Q., Pan, Y., Chi, J., Qiu, J., Yin, X. 2023a. Microseismic Monitoring and Rockburst Characteristics in a Deep-Buried Tunnel Excavated by TBM. Rock Mechanics and Rock Engineering, pp. 1–14.
Zhang, X., Yan, P., Lu, W., Pan, X., Liu, X., Zhu, J., Huang, S. 2023b. Energy release and damage characteristics induced by fracture planes in face destress blasting. International Journal of Impact Engineering, vol. 173, p. 104485.
Zhao, J.S., Jiang, Q., Lu, J.F., Chen, B.R., Pei, S.F., Wang, Z.L. 2022. Rock fracturing observation based on microseismic monitoring and borehole imaging: In-situ investigation in a large underground cavern under high geostress. Tunnelling and Underground Space Technology, vol. 126, p. 104549.
Zhao, Z., Ma, W., Fu, X., Yuan, J. 2019. Energy theory and application of rocks. Arabian Journal of Geosciences, 12, pp. 1–26.
Zhou, J., Li, X., Mitri, H.S. 2018. Evaluation method of rockburst: state-of-the-art literature review. Tunnelling and Underground Space Technology, vol. 81, pp. 632–659.
Zou, X., Wang, C., Song, H. 2021. Applications of high‐resolution borehole image rapid synthesis method for the refined detection of in‐suit rockmass structural features during deep buried geotechnical engineering. International Journal for Numerical and Analytical Methods in Geomechanics, vol. 45, no. 17, pp. 2565–2580.
Zvarivadza, T., Sengani, F. 2018. Practice of face-perpendicular preconditioning for safe remnant extraction. Rock Dynamics and Applications 3, pp. 355–359. CRC Press.
Zvarivadza, T. 2023. A conceptual study on the prediction of destress blasting efficiency using geostatistical approaches. ISRM Congress, October 2023 (pp. ISRM-15CONGRESS). ISRM.
Zvarivadza, T., Onifade, M., Dayo-Olupona, O., Said, K.O., Githiria, J.M., Genc, B., Celik, T. 2024. On the impact of Industrial Internet of Things (IIoT)-mining sector perspectives. International Journal of Mining, Reclamation and Environment, vol. 38, no. 10, pp. 771–809. u

Affiliation:
1A&B Global Mining, South Africa
2University of Johannesburg, South Africa
Correspondence to:
S.M. Rupprecht
Email: rupprecht.steven@gmail.com
Dates:
Received: 26 May 2023
Revised: 29 Jan. 2025
Accepted: 13 May 2025
Published: June 2025
How to cite:
Mapeta, T., Rupprecht, S.M. 2025. Guide memoire: The principles of reasonable prospects for eventual economic extraction. Journal of the Southern African Institute of Mining and Metallurgy, vol. 125, no. 6, pp. 299–306
DOI ID:
https://doi.org/10.17159/2411-9717/2826/2025
ORCiD:
S.M. Rupprecht
http://orcid.org/0000-0003-2462-2819
by T. Mapeta1, S.M. Rupprecht2
Abstract
Discussions on reasonable prospects for eventual economic extraction (RPEEE) include the CRIRSCO 2019 reporting template, JORC 2012, SAMREC 2016, CIM 2019 Guideline, and Regulation SK-1300. These reporting codes all conform to the principles of reasonable prospects for eventual economic extraction. To demonstrate that all mineral resources align with the RPEEE principles, the Competent Person is responsible for endorsing the mineral resource estimate. Moreover, establishing mineral resources and RPEEE requires technical input from numerous technical specialists, such as mining and geotechnical engineers, metallurgical engineers, social and environmental specialists, financial and governmental practitioners, and more. The aim is to improve the transparency of the disclosure of mineral resources and guarantee the investor or potential investor that the reporting of mineral resources is based on reliable technical, economic, environmental, social, and other relevant factors.
This paper discusses the important protocols and definitions in some international reporting codes for the purposes of developing a guide memoire that will assist the Competent Person to interpret, establish and apply RPEEE appropriately and easily.
Keywords reasonable prospect for eventual economic extraction (RPEEE), Competent Person, reporting codes, mineral resources
Introduction
The world’s main national reporting organisations (NRO), the JORC Code (Australia), the CIM Definition Standards (Canada), the SAMREC Code (South Africa), and other international reporting codes (CRIRSCO-based codes) all conform to the principles of reasonable prospects for eventual economic extraction (RPEEE) as one of the principal criteria for defining a mineral resource. Definitions vary slightly, but the responsibility is undoubtedly on the Competent Person endorsing the mineral resource estimate to demonstrate that all reported mineral resources align with the RPEEE principles. This paper will discuss the important protocols and definitions in some international reporting codes to develop a guide memoire establishing RPEEE that will assist the Competent Person to easily interpret and apply RPEEE correctly. In addition, the paper will consider recent trends in international reporting of mineral resources, such as the Security Exchange Commission’s (SEC) Technical Report Summary filings (SK-1300) and the current rise of importance in environmental, social and governance (ESG) when declaring a mineral resource.
Once geological data, e.g., geological model, mineralisation model, and estimation domains, have been collected and identified, it does not necessarily convert the exploration result into a mineral resource. The level of confidence in the data generated during mineral exploration and mineral resource development is influenced by quality assurance and quality control (QA/QC), an essential process that is a requirement in the Committee for Mineral Reserves International Reporting Standards (CRIRSCO)based International Reporting Codes for Mineral Resource estimation and reporting. To enhance the confidence level in the data collected, QA/QC must ensure precise, accurate, representative, and reliable results of the geoscientific knowledge (Gan et al., 2022). With good standards, working procedures, QA/ QC, and management, reliable information can be produced, which is fundamental for estimating a mineral resource.
To classify a deposit as a mineral resource, the Competent Person must establish that RPEEE exists by estimating or interpreting key geological characteristics from specific geological evidence and other technical information (i.e., modifying factors). This requires an analysis based on specific geological evidence and technical inputs to establish RPEEE. This analysis must be conducted to an appropriate standard and, importantly, more exact than required to disclose exploration results. This level of diligence is critical due to the importance investors are likely to place on the mineral resource estimate (SEC, 2018).
Determining a mineral resource is not merely an inventory of all mineralisation drilled or sampled.
A Mineral Resource is instead a reasonable estimate of mineralisation, taking into account relevant factors such as mining method, cut-off grade, likely mining dimensions, location or continuity, which, with the assumed and justifiable technical and economic conditions, is likely to, in whole or in part, become economically extractable (SAMREC, 2016).
In addition, the Competent Person must consider modifying factors to consider geological information, technical, and economic aspects. The establishment of RPEEE demands an “initial assessment” (preliminary assessment), not simply an inventory of mineralised material above a stated cut-off grade. Although the inputs to estimating the cut-off grade cover some technical and economic aspects, i.e., on- and off-mine costs, recovery and metal price, the cut-off grade doesn’t incorporate all relevant factors to establish RPEEE – for example, infrastructure, legal, environmental, social, and governmental inputs.
The authors concur that an initial assessment is sufficient to declare a mineral resource. In the past, some have proposed that a Preliminary Economic Assessment (PEA) or Scoping Study should be the level of evaluation to establish mineral resources. An initial assessment considers the geological and technical factors but doesn’t need to go into as much detail as a PEA or Scoping Study. The concept of initial assessment is discussed in more detail further on in this paper.
Unfortunately, for some projects, the establishment of RPEEE falls below the best practice of completing an initial assessment, as incorrect protocols have been implemented. Glacken (2019), in his survey, states that of 37 mineral resource statements reported to the Australian Securities Exchange between May and June 2019, only 11% of the open pit mineral resources statements reported applied an economic pit constraint and that 90% of the underground mineral resources were reported in the absence of any constraint except a cut-off grade. Glacken also found It concerning that the flexibility afforded to Competent Persons in choosing a commodity price for reporting and determining a cut-off grade is sometimes misleading. In some instances, a less than meticulous application was applied when determining RPEEE.
According to the CRIRSCO International Reporting Template (2019), the term RPEEE implies a judgement (albeit preliminary) by the Competent Person in respect of all modifying factors, which are considered insufficient in technical and economic detail to demonstrate at the time of reporting that extraction is reasonably justified, i.e., a mineral reserve (Anglo American Mineral Resource Report, 2021). In other words, a mineral resource is not an inventory of all mineralisation drilled or sampled (Lock, 2020). It is a realistic inventory of mineralisation, which, under assumed and
justifiable technical and economic conditions, may, in whole or in part, become economically extractable (SAMREC, 2016).
Secondly, any material assumptions in determining the RPEEE should be clearly stated, discussed, and justified in the Public Report (CRIRSCO, 2019). Additionally, as preparing a mineral resource estimate is often repetitive, periodically reviewing the assumptions is fundamental as more current and detailed information becomes available (CIM, 2019).
The Joint Ore Reserves Committee (JORC) was established in 1971; it outlines minimum standards, recommendations, and guidelines for Public Reporting in Australasia of exploration results, mineral resources, and ore reserves. It defines the following (JORC, 2012):
➤ A mineral resource is a concentration or occurrence of solid material of economic interest in or on the Earth’s crust in such form, grade (or quality), and quantity that there are RPEEE.
➤ A mineral resource must not include portions of a deposit that does not have RPEEE. The basis for the reasonable prospects assumption is always a material matter. The Competent Person must explicitly disclose and discuss it within the Public Report using the criteria listed in Table 1 for guidance. The introduction of the Table 1 declaration in the JORC allows the reader to be aware of the RPEEE constraints, or lack thereof (Glacken, 2019). The reasonable prospects disclosure must also discuss the technical and economic inputs used to estimate the cut-off grade.
➤ Where untested practices are applied in determining reasonable prospects, the Competent Person in the Public Report must justify using the proposed practices for reporting the mineral resource.
When reviewing the JORC Code (2012), one notes the absence of reference to modify factors, with the JORC Code only referencing Table 1. However, the JORC Code defines the terms ‘eventual’ and ‘reasonable’ clearly and concisely.
The SAMREC Code (2016) provides the following guidance to Competent Persons. RPEEE should be demonstrated by applying appropriate consideration of the potential viability of the mineral resources. Such a consideration should include a reasoned assessment of the geological, mining engineering, processing, metallurgical, legal, infrastructural, environmental, marketing, socio-political, and economic assumptions (modifying factors) which, in the opinion of the Competent Person, are likely to influence the prospect of economic extraction. All issues listed in Table 1 of the SAMREC Code, under RPEEE, should be discussed appropriately for the specific investigation. The determination of RPEEE should be based on the principle of reasonableness and should be justifiable and defendable.
The Canadian Institute of Mining (CIM) 2019 Mineral Resource and Mineral Reserve Best Practice Guidelines are based on wellestablished estimation and mine planning principles and are designed to provide general guidance for best professional practices in preparing mineral resource and mineral reserve estimates (CIM, 2019).
Although these guidelines are neither intended to be prescriptive, nor to provide detailed and exhaustive instructions, they are very informative about the requirements to estimate a mineral resource.
The 2019 Mineral Resource and Mineral Reserve Best Practice Guidelines focus on geological aspects and include other areas to be considered, like factors significant to potential technical feasibility and economic viability. These factors consist of such items as:
➤ The size and legal conditions of the land tenure; is it sufficient to support the declaration of a mineral resource.
➤ The extraction selectivity for the mining methods under consideration relative to the size and geometries of the interpreted mineralisation.
➤ The processing method under consideration, the expected recovery from the mineralised material to a commercially marketable product, and the proposed production volume.
➤ The price/value of the product and the market for the product at that price.
➤ The factors significant to cut-off grades or values (e.g., process recovery, smelter payability, treatment charges, operating costs, royalties, and metal price) used for reporting the mineral resource estimates.
➤ Developing a conceptual operating scenario should be considered early in the mineral resource estimation process. This initial view is formed by Competent Persons based on their judgement and experience. This initial conceptual operating scenario may evolve as new information becomes available. The guideline stresses the use of consultation with colleagues, i.e., technical specialists.
The level of work (initial assessment) to support the declaration of a mineral resource should not be regarded as a scoping study.
Still, an initial assessment promotes the requirement to investigate beyond just geology and highlights that mineral resources require inputs from other technical specialists and consideration of the modifying factors.
The United States Security Exchange Commission (SEC) proposed a revision to its disclosure requirements in June 2016. The amendments aim to provide investors with a broader understanding of a registrant's mining properties, which should assist investors in making more informed investment decisions (Rupprecht, 2020).
The following points summarise the revision:
➤ Reasonable prospects of economic extraction based on initial assessment:
• The SEC believes that reasonable prospects for economic extraction will occur over a timeline. Thus, the requirement of ‘eventual” is removed from RPEEE, and instead, reasonable prospects of economic extraction are required. This means that reasonable prospects for a mineral resource’s economic extraction do not require the extraction to occur immediately. Rather, one would expect it to occur over a temporal period, which will vary depending on the mineral or commodity being mined.
• Requires a qualified person to apply relevant technical and economic factors likely to influence the prospect of economic extraction, rather than all modifying factors, when determining mineral resources.
Initial asssessment (also a scoping study)
The SEC (SK-1300) proposes that a registrant’s disclosure of mineral resources must be based upon a qualified person’s “initial assessment” supporting the determination of mineral resources. The SK-1300 regulation defines an “initial assessment” as a preliminary technical and economic study of the economic potential of all or parts of mineralisation to support the disclosure of mineral resources. This requirement is more onerous than the international reporting codes, as the S-K 1300’s initial assessment represents the equivalent of a scoping Study, which is above the level of study required by the CRIRSCO-based codes.
The initial assessment must be prepared and justified by a qualified person. It must include appropriate assessments of reasonably assumed modifying factors and any other relevant operational factors necessary to demonstrate that there are reasonable prospects for economic extraction at the time of reporting. When reporting a mineral resource, the Competent Person should try to identify mineralised material that has “reasonable prospects” but may not be a mineral reserve (Gossan, Smith, 2007).
SK 1300 – commentary
The SK-1300 regulation requires a qualified person to apply relevant technical and economic factors likely to influence the reasonable prospect of economic extraction. An initial assessment considering all the modifying factors should be conducted to determine a mineral resource.
It may be beneficial for the International Reporting Codes to adopt the requirement of an initial assessment to support the declaration of the mineral resource estimate. However, further guidance is required to define initial assessment as a technical study that is less than the requirements of a PEA or Scoping Study (Unlike the definition used in the SK-1300 regulations).
SK-1300 definition leaves out eventual
Previously mining property disclosures were reported in accordance with the requirements of the SEC’s Industry Guide 7. On October 31, 2018, the SEC adopted amendments to modernise the property disclosure requirements for mining registrants. The amendments consolidate the SEC’s mining property disclosure requirements by relocating them to a new subpart of Regulation SK-1300 (Subpart 1300) (SK-1300).
SK-1300 applies to all mining (hard rock and brine) and royalty companies listed on the US stock exchange. The SK-1300 amendments aim to ensure investors know how to make informed decisions about material mining properties (Parson, Sullivan, 2019).
Notably, the SK-1300 definition leaves out ‘eventual’ from the RPEEE classification. The important question is though: Should the International Reporting Codes also consider omitting it without losing the significance and meaning of the RPEEE protocol? As stated in SEC (2018):
…one expects that reasonable prospects for a Mineral Resource’s economic extraction will occur over a temporal period, depending on the mineral or commodity being mined. Under the final rules, the Qualified Person will choose the appropriate period when determining whether mineral resources exist and, if the property is material, must explain its choice in the technical report summary.
General discussion
The phrase ‘reasonable prospects for eventual economic extraction’
suggests an initial assessment by the Competent Person regarding all matters likely to influence the prospect of economic extraction, including the approximate mining parameters. Considering the parameters, the principle should be reasonable (not conservative or overly optimistic). The Competent Person estimating the mineral resource should attempt to identify and consider all material aspects that impact RPEEE (Gosson, Smith, 2007).
Importantly, a mineral resource is not just an inventory of all mineralisation drilled or sampled. It is a realistic inventory of mineralisation which, under assumed and justifiable technical, economic, and development conditions, might, in whole or in part, become economically extractable. The economic potential requirement is often demonstrated by selecting an appropriate cut-off grade (or value). “A time-honoured concept that remains unchanged” (Pressacco et al., 2021).
Interpreting ‘eventual’ in this context may differ depending on the commodity or mineral (Lock, 2020). For instance, for some minerals or commodities, it may be reasonable to predict ‘eventual economic extraction’ as covering over 50 years. Yet, for most smaller deposits, the application of the concept would normally be limited to much shorter periods. In all cases, the Competent Person should disclose and discuss the considered time frame.
Others could argue that the word ‘eventual’ in the RPEEE definition is redundant and could be omitted, as in the SK-1300 Regulation. The reason is that every mineral resource may not be mined immediately but at a particular time when it is economic or when conditions are most favourable. Hence, the term ‘eventual’ stands for every commodity under assessment.
The importance of ESG for mineral reporting
The environmental, social and governance (ESG) issues have become relevant due to the increasing global awareness of human impacts on our planet.
Under the SAMREC Code, ESG issues are considered a fundamental contributor to modifying factors that play an important role in determining the RPEEE for mineral resources. Investors want to understand how companies integrate ESG aspects into their businesses, and this evidence needs to impact all aspects of the business, including geological processes and activities. However, more and more investors have noted an increasing dissatisfaction with the ESG information presented by companies (Steele-Schober, 2021). A number of companies have been scrutinised for their ESG position, for example, Glencore is being questioned for their long-term commitment to coal (Burton, 2023).
The South African guideline for reporting environmental, social, and governance parameters (SAMESG Guideline) supports the SAMCODES by providing information for authors of public reports on applying the ESG considerations throughout the geological reporting process (SAMESG Committee, 2017).
In the SAMREC Code (2016), the guidelines highlight the consideration of modifying factors and elaborate on the terms 'reasonable’ and 'eventual’.
The assumptions used to test for ‘reasonable prospects’ should be even-handed and within known/assumed tolerances or have examples of precedence. These assumptions should be applied at an appropriate scale and may differ from those used for determining mineral reserves and should be appropriate to the definition of mineral resources in terms of precision, accuracy, degree of confidence, and variability. Where untested practices are applied in the determination of ‘reasonable prospects’, the use of the proposed
practices for reporting the mineral resource should be justified by the Competent Person in the Public Report. Interpreting the word ‘eventual’ in this context of RPEEE may vary depending on the commodity, mineral involved, or legal tenure. For example, for many occurrences of coal, iron ore, bauxite, and other bulk minerals or commodities, it may be reasonable to envisage a life of mine of 50 years or more. However, for other deposits, application of the concept may be restricted to a life of mine of perhaps 20 to 30 years and frequently much shorter periods.
To define ‘eventual’, the Competent Person might consider the following questions: What will the resource metal price be 30 years from now? Will there be adequate infrastructure to support the project? How will power be generated? Are there any social or environmental issues that could impede the extraction of the mineralised material? The Competent Person has to deal with such questions, even at an early stage of the process (Dixon, n.d.).
Although the CRIRSCO-based international reporting codes use “eventual”, it is notable that the SK-1300 regulation has chosen to remove “eventual” from RPEEE. The SK-1300 regulation excludes “eventual” as it expects a qualified person to consider relevant technical and economic factors likely to influence the prospect of economic extraction, including the pricing for the resource that could be based on forward-looking price forecasts, when determining whether mineral resources exist. [The SK-1300 regulation] believes it is clear from the definition of mineral resource that the reasonable prospects for economic extract will occur over a timeline.
The SK-1300 regulation allows the qualified person to choose the appropriate period when determining whether mineral resources exist and must explain the choice in the technical report summary.
Finally, a ‘mineral resource’ is a concentration or occurrence of material of economic interest in or on the Earth’s crust in such form, quality, and quantity that there are RPEEE. A mineral resource's location, quantity, grade, continuity, and other geological characteristics are known, estimated or interpreted from specific geological evidence and knowledge. Mineral resources are subdivided, in order of increasing geological confidence, into Inferred, Indicated and Measured categories (Dixon, 2022).
As determined by the SK-1300 regulation, an initial assessment requires an initial assessment for mineral resource disclosure. An “initial assessment” should be viewed as a preliminary technical and economic study of the economic potential of all or parts of mineralisation to support the disclosure of mineral resources. At the time of reporting, the initial assessment must assess the modifying factors and any other material factors necessary to demonstrate RPEEE and the reporting of mineral resources. A key premise of the initial assessment is that it is neither a scoping study nor a PEA; but is solely used to support the disclosure of a mineral resource and not to determine whether to proceed with further work leading to the preparation of a prefeasibility study (SEC, 2018).
Based on the protocols and definitions discussed in the aforementioned section, this paper provides the best guidelines for the Competent Person to determine and report on RPEEE. These guidelines aim to provide guidance and clarity for Competent Persons determining RPEEE and represent the best current

Consideration of mining, metallurgical, processing, infrastructural, economic, marketing,
reporting practice knowledge. The guidelines are motivated by the desire to provide the industry with technical practices to aid the understanding and implementation of RPEEE.
The Competent Person declaring mineral resources is typically a mineral resource estimations specialist with a geology background. However, this may not always be the case. When determining RPEEE and estimating mineral resources, the Competent Person relies on geoscientific knowledge to report the in situ mineralisation estimate. Historically, RPEEE may have been determined by the Competent Person alone by applying a cut-off grade. However, over time the determination of RPEEE requires the consideration of the modifying factors, albeit on a high level. This implies that the determination of the mineral resource requires the Competent Person to rely on technical specialists to guide the consideration of the modifying factors. Noting that the Competent Person should demonstrate RPEEE by applying the appropriate modifying factors to establish the potential viability of mineral resources (SAMREC, 2016). Furthermore, the Competent Person must discuss on an if-not-why-not basis all of the RPEEE considerations listed in Table 1 at the level appropriate for the specific investigation (SAMREC, 2016).
Site visits are a requirement to be undertaken by a Competent Person. This is, without a doubt, best practice and assists the Competent Person in fully appreciating the technical expectations of the assignment. There are numerous examples where mineral resources or RPEEE were determined only to discover later that infrastructure, ownership, or environmental issues eliminated the prospects of developing the mineral property. For example, a large township situated over a near surface deposit and an international power line located in the centre of a proposed open pit – both situations that negated RPEEE.
The Competent Person’s estimated cut-off grade is based on assumed costs for surface or underground operations, metallurgical recoveries, and commodity prices based on a reasonable basis. Estimating a cut-off grade is important and utilises several technical factors to estimate the cut-off grade. However, RPEEE rely on more than just a cut-off grade. Other factors must also be considered.
The authors concur that determining the cut-off grade is an important consideration in establishing a mineral resource, and best practice demands that technical specialists are used to providing technical inputs to the cut-off estimation. Nevertheless, in conjunction with other technical specialists, the Competent Person must consider the other modifying factors to establish RPEEE.
Investors must realise that the cut-off grade estimation for RPEEE is preliminary. As further information is gathered, i.e., variations of rock characteristics, mining methods, metallurgical and processing methods, etc., the mineral resource model may necessitate more than one cut-off grade for different deposit areas.
The Competent Person must be transparent when reporting all the inputs used to estimate the cut-off grade used to determine RPEEE, i.e., the mineral resource.
Applying modifying factors to support RPEEE
When determining the existence of a mineral resource, the Competent Person must conclude that there are RPEEE based on an initial assessment that the Competent Person should conduct by qualitatively applying the modifying factors and other relevant technical and economic factors. Best practice would require technical specialists in the specific areas to provide the Competent Person with insight into factors used to establish the RPEEE. The authors would contend that the days of estimating mineral resources solely by a single Competent Person are gone. Investors are entitled to the mineral resource being potentially viable and that all modifying factors have been properly and thoroughly considered.
The modifying factors to be considered during the initial assessment are as follows:
➤ Mining
➤ Metallurgical
➤ Processing
➤ Economic
➤ Marketing
➤ Legal
➤ Infrastructure
➤ Environmental
➤ Social
➤ Governmental.
Mining
A mining method should be considered before building the geological model and grade tonnage estimate. The mineral resource geologist should obtain the assistance of a mining engineer to determine the mining method and technical implications of such mining method and equipment selection. Establishing a reasonable estimate of the mining method and associated costs is critical in determining the cut-off grade and establishing RPEEE.
For surface mining, understanding geotechnical and hydrological data will determine the slope inclination; they, in turn, will inform the outline of the pit shell and influence the stripping ratio and cost of mining.
Underground mining methods may be more difficult to determine, especially for inferred mineral resources, where the geological information may be limited. The resource geologist must appreciate that the changes to the geology, structure, dip, thickness, and volume of mineralisation, etc., of the deposit can impact the mining method, hence mining operating costs.
The more effort spent considering the mining aspects, the more robust the estimation of RPEEE.
Including metallurgical test work during the exploration, the process must be considered necessary to enable the Competent Person to determine a mineral resource. Assumptions based on neighbouring operations are poor practice. Just as determining the density of the mineralised material is critical in mineral resource estimations, so too should the determination of the recovery be conducted, if only preliminary.
Infrastructure
Infrastructure can be important in determining RPEEE. Certain infrastructure aspects may be a fatal flaw in establishing a mineral resource. Accessibility of port infrastructure, cost of access to deposit, haulage roads, and the availability of power and water must be considered. Again, the assistance of the technical specialist will ensure incorrect assumptions are not made when trying to establish RPEEE.
Based on forward-looking pricing forecasts, when estimating mineral prices, the Competent Person must use a price assumption that is current as of the end of the registrant’s most recently completed fiscal year, for each commodity that provides a reasonable and justifiable basis for establishing the prospects for economic extraction of mineral resources.
The practice of omitting commodity prices and/or costs from a public report is no longer the best practice. Recent guidelines, such as the SK-1300, require price and cost disclosure as a foundation for good reporting practices. A description of the methodology used to determine the prices and/or costs should be disclosed. Such disclosure should be in a form that helps the investor to form an opinion of the prices and/or costs used, and whether the inputs are reasonable views of future prices and/or costs.
Legal
The legal status of the property must be investigated. The resource geologist cannot assume that legal aspects are complete. A documentation review is essential to ensure no servitudes or other existing impairments. The authors have seen projects negatively impacted due to not having the mining right to the property, the mineral resource materially reduced due to an infrastructural servitude through the centre of the project, or access to the mineralisation denied due to previous military operations, i.e., deposit located on a defunct artillery range.
Environmental, social, and governmental
Environmental, social, and governmental (governance) (ESG) issues have become paramount over the past few years. In a survey conducted by CRIRSCO, 90% of respondents (national reporting organisations (NROs) that responded), agreed that modifications to existing and new definitions are required to provide clarity on ESG and to accommodate increased ESG integration (SAIMM, 2020). Technical reports should include, among other matters: the results of environmental studies, such as environmental baseline studies or impact assessments; requirements and plans for waste and tailings disposal; project permitting requirements; plans, negotiations, and agreements with local individuals or groups; and mine closure plans, including remediation and reclamation plans, and the associated costs. The technical report must also include the Competent Person’s opinion on the adequacy of current plans to address any issues related to environmental compliance, social and community issues, and permitting and legal compliance.
A Competent Person should consider mine reclamation and closure plans when conducting an initial assessment. In addition, when considering RPEEE the Competent Person needs to be confident that no concerns related to closure are present that could prevent the project from being developed.
Regardless of the approach or procedures, the Competent Person must ensure that all mineral resource statements satisfy the RPEEE requirement.
Preparing a geologically sound interpretation that honours the sample data and the controls on mineralisation is an important activity when preparing a mineral resource estimate.
For mineral resources amenable to open pit mining methods, RPEEE should consider not only an economic limit (such as the cut-off grade or value) but technical requirements (such as slope angles). At a minimum, the constraints can be addressed by creating constraining surfaces (pit shells) using commercial software packages or manual methods. The constraining surfaces can then be used with other criteria to determine RPEEE and prepare mineral resource statements.
Best practice includes identifying and ranking risks associated with each input of the mineral resource estimate. Any material assumptions made in determining RPEEE should be clearly stated, discussed, and justified in the technical report.
The JORC Code, the CIM Definition Standards, the SAMREC Code, and other International Reporting Codes refer to the principles of RPEEE as one of the essential criteria for defining a mineral resource. The Competent Person is responsible for demonstrating that all mineral resources align with the RPEEE principles. This isn’t always the case, with some mineral resource declarations failing to provide sufficient information to support RPEEE.
Notably, the CRIRSCO template and the international reporting codes1 support the consideration of modifying factors to establish RPEEE. A scoping study is:
… an order of magnitude technical and economic study of the potential viability of mineral resources that includes appropriate assessments of realistically assumed modifying factors together with any other relevant operational factors that are necessary to demonstrate at the time of reporting that progress to a Pre-Feasibility Study can be reasonably justified.
The SK-1300 regulation requires an ‘initial assessment’ for determining mineral resources. Although the SK-1300’s definition of an initial assessment is nebulous, its final rule equates an initial assessment to a PEA/scoping study closely resembling an NI43-101F1 technical report (SEC, 2018). An initial assessment is associated with an accuracy of 50%, which is less accurate than most
1The SK-1300 proposing release explained that an “initial assessment is not a scoping or conceptual study as defined in some of the CRIRSCO-based codes or a preliminary economic assessment as defined in Canada’s NI 43-101.621. The purpose of an initial evaluation is narrower than those studies as it would be done solely to support the disclosure of mineral resources and not to determine whether to proceed with further work to prepare a prefeasibility study for mineral reserve determination.’’
scoping studies, which have an associated accuracy of ~30% to 50% (Rupprecht, 2004); ~25% to 50% (CRIRSCO, 2019); +35% OPEX and +50% CAPEX (SME, 2017).
The guide memoire for disclosing RPEEE is intended to make it possible for the Competent Person to consider all relevant factors. The authors contend that the declaration of mineral resources requires an initial assessment of the relevant technical and economic factors, i.e., modifying factors that are likely to influence the reasonable prospects of (eventual) economic extraction; noting that an initial assessment cannot be used as the basis for disclosing mineral reserves (SEC, 2018). Although the initial assessment is preliminary, the Competent Person, in association with other technical specialists, must consider all the modifying factors.
The concept that mineral resource reporting is solely the responsibility of the Mineral Resource Geologist is no longer valid. Establishing mineral resources and RPEEE requires technical input from numerous role players, such as mining and geotechnical engineers, metallurgical engineers, social and environmental specialists, financial and governmental practitioners; noting that this list is not exhaustive.
The CRIRSCO-based international reporting codes should consider the migration of RPEEE to include initial assessments. These initial assessments do not need to be long or onerous but should contain sufficient detail to demonstrate that all modifying factors have been adequately considered.
The basis of this recommendation is to improve the transparency of the disclosure of mineral resources and provide the investor with greater assurance that the reporting of mineral resources is based on reliable technical, economic, environmental, social, and other relevant factors.
References
Anglo American plc. 2021. Ore reserves and Mineral Resources Report. 2021. https://www.angloamerican.com/~/media/ Files/A/Anglo-American-Group-v5/PLC/investors/annualreporting/2022/aa-ore-reserves-and-mineral-resourcesreport-2021.pdf [accessed 08 November 2022].
Burton, M. 2023. Big investors ask Glencore to justify thermal coal development. https//www.reuters.com/business/sustainablebusiness/big-investors-ask-glencore-justify-thermal-coaldevelopment-2023-01-05 [accessed 01 May 2023].
CIM Mineral Resource & Mineral Reserve Committee. 2019. CIM Estimation of Mineral Resources and Mineral Reserves Best Practice Guidelines. https://mrmr.cim.org/en/best-practices/ estimation-of-mineral-resources-mineral-reserves [accessed 07 December 2022].
Committee for Mineral Reserves International Reporting Standards (CRIRSCO). 2019. International Reporting Template for the public reporting of Exploration Results, Mineral Resources and Mineral Reserves. Committee for Mineral Reserves International Reporting Standards, Council of Mining and Metallurgical Institutions (CMMI).
Dixon, R. Reasonable Prospects for Eventual Economic Extraction. SRK News Issue Mineral Resource Estimation. https://www. srk.com/en/publications/reasonable-prospects-for-eventualeconomic-extraction-rpeee [accessed 12 November 2022].
Gan, S., Birrell, L., Robbertze, D., Zhao, B., Van Niekerk, E., Ncubi, L. 2022. Quality control in tailings resource exploration at Havelock Mine, Eswatini. Journal of the Southern African Institute of Mining and Metallurgy, vol. 122, no. 7, pp. 347–62. https://mrmr.cim.org/en/best-practices/estimation-of-mineralresources-mineral-reserves
Glacken, I.M. 2019. The highly vexed issue of reasonable prospects for eventual economic extraction (RPEEE) narrowing the range of practice. Proceedings Mining Geology 2019, pp. 2635.
Gossan, G., Smith, L. 2007. Reasonable Prospects for Economic Extraction. Canadian Institute of Mining, Metallurgy and Petroleum, Montreal. https://mrmr.cim.org/en/library/ magazine-articles/reasonable-prospects-for-economicextraction [accessed 10 November 2022].
JORC. 2012. Australasian Code for Reporting of Exploration Results, Mineral Resources and Ore Reserves (The JORC Code), JORC, Carlton South.
Lock, N. 2020. RPEEE (Reasonable Prospects for Eventual Economic Extraction): The critical core to the SAMREC Code. 2020. The Southern African Institute of Mining and Metallurgy, vol. 120, no. 12, p 498.
Mineral Resources and Mineral Reserves (The SAMREC Code). 2016. The South African Code for The Reporting of Exploration Results. https://www.samcode.co.za [accessed 07 December 2022].
Parson, B., Sullivan, M. 2019. Investment Implications of The U.S. SEC's Rule S-K 1300. https://www.srk.com/en/publications/ investment-implications-of-the-us-secs-rule-s-k-1300 [accessed 08 November 2022].
Pressacco, R., Evans. L., Postle, J. 2021. Reasonable Prospects and Mineral Resource Statements. Presentation to the Professional Geoscientists Ontario.
Rupprecht, S. 2004. Establishing the feasibility of your proposed mining venture. Proceedings of the International Platinum Conference ‘Platinum Adding Value’. The South African Institute of Mining and Metallurgy, pp. 243–247. Securities and Exchange Commission. 2018. Final Rule: Modernization of Property Disclosures for Mining Registrants (sec.gov). https:// www.sec.gov/rules/final/2018/33-10570.pdf [accessed 07 December 2022].
Rupprecht, S.M. 2020. Future trends in the international Reporting Codes based on SEC's Regulations SK-1300. Journal of the Southern African Institute of Mining and Metallurgy, vol. 120, no. 12, pp. 659–664.
SEC. 2018. Modernization of Property Disclosure for Mining Registrants. https:// www.sec.gov/corpfin/secg-modernizationproperty-disclosures-mining- registrants
Steele-Schober, T. 2021. The Importance of ESG for Mineral Reporting. Journal of the Southern African Institute of Mining and Metallurgy, vol. 121, no. 6, pp. 8–11.
The South African Environmental, Social and Governance Committee (SAMESG) Committee. 2017. The South African guideline for the reporting of environmental, social and governance parameters within the solid minerals and oil and gas industries. Version 2.0. u

DATE : 4 AUGUST – 3 OCTOBER 2025 | ONLINE

Minerals and metals are essential to modern living and are critical to the development of the low-carbon economy. Many countries in Africa are well-endowed with mineral resources that could be used to drive economic growth and improve the quality of human life across the continent. However, the extraction and primary beneficiation of these resources also poses a number of challenges and risks, frequently referred to as Environmental, Social and Governance (ESG) risks, which need to be addressed in order to ensure that mineral resource development is consistent with the principles of sustainability.
This course sets out to develop a broad-based understanding of both the current and future challenges and opportunities associated with the minerals sector and its contribution to sustainable development, particularly in the context of the African continent.
More specifically the course aims to:
• Create an awareness of how mining is contributing to Sustainable Development. What is mining’s role as an agent of development?
• Develop an understanding of the positive and negative impacts of mining along the value chain (from exploration to post mine closure & end use of products)
• Introduce methods to design, deliver and evaluate socio-economic opportunities and environmental stewardship around a mine
• Reflect on the stakeholder engagement, partnerships and critical collaborations necessary to achieve sustainability in the minerals sector
• Assess the role, challenges and opportunities of the Artisanal and Small-scale Mining (ASM) sector in Africa
•Critique current best practices and new frontiers in the context of sustainable development of mineral resources
•Explore the role players in the minerals sector – their responsibilities and current responses
•Provide an overview of the mechanisms in place to monitor and evaluate sustainable development.
This course targets professionals from across a spectrum of disciplines who are actively engaged in the minerals sector in a variety of areas e.g. geologists, engineers, economists, planners, strategists, lawyers, regulators, health professionals, safety specialists, environmental officers, social scientists etc. The course is designed to cater for candidates with a diverse level of experience (from interns to senior managers and decision-makers) and is considered particularly beneficial for professionals within the private and public sectors, with at least a national diploma (or equivalent). Candidates should be proficient in English.
FOR FURTHER INFORMATION, CONTACT:
Gugu Charlie, Conferences and Events Coordinator
E-mail: gugu@saimm.co.za
Tel:011 538 0238
Web: www.saimm.co.za
= 0.1 points per hour attended

Affiliation:
1Anglo American Platinum, Rustenburg Base Metal Refiners, Rustenburg, South Africa
2Anglo Corporate Services South Africa (Pty)
Limited, Johannesburg, South Africa
3Department of Materials Science and Metallurgical Engineering, University of Pretoria, Pretoria, South Africa
Correspondence to: K. Naidoo
Email: kalin.naidoo@angloamerican.com
Dates:
Received: 9 Jan. 2025
Revised: 2 Apr. 2025
Accepted: 5 May 2025
Published: June 2025
How to cite:
Naidoo, K., Pelser, M., Hagemann, J., Sole, K.C. 2025. Improving performance at Rustenburg Base Metals Refiners copper tankhouse: Operational review and embracing fundamentals. Journal of the Southern African Institute of Mining and Metallurgy, vol. 125, no. 6, pp. 307–316
DOI ID:
https://doi.org/10.17159/2411-9717/3641/2025
ORCiD:
K. Naidoo
http://orcid.org/0009-0006-7119-7068
M. Pelser
http://orcid.org/0009-0007-7174-1294
J. Hagemann
http://orcid.org/0009-0000-2926-2117
K.C. Sole
http://orcid.org/0000-0003-4707-1060
by K. Naidoo1, M. Pelser1, J. Hagemann2, K.C. Sole3
Abstract
The copper tankhouse at Rustenburg Base Metals Refinery is an essential component of the Anglo American Platinum value chain. The tankhouse uses starter-sheet technology that was adopted in the 1980s, so dependence on manually intensive labour and overall operational excellence has a significant impact on process performance. An efficient, stable, and sustainable electrowinning process contributes to minimising energy consumption and reducing operational costs, and enables improved product quality and increased throughput. Historic performance of this tankhouse has often been suboptimum over prolonged periods. An in-depth operational review of performance from 2018–2024 was carried out to understand challenges, risks, and high-impact factors that contribute to poor performance. Implementation of adherence to fundamental operational basics identified from global best practice, such as the frequency and quality of cell cleaning and maintenance, preventing backlogged harvesting or maintenance, preserving cell-top furniture conditions and integrity of electrodes, preventing short circuits and poor current distribution, and maintaining a high level of operational discipline, has since contributed to an era of exceptional performance. Root-cause analysis fault trees pertaining to poor current efficiency and high scrap rate are summarised. Current efficiency has significantly improved since 2021, now consistently exceeding 88%. The copper scrap rate, previously believed to be limited to a minimum of 4%, achieved a historic monthly low record of 2.06% in 2023. Chemical and physical quality has considerably improved, and cathodes exhibit minimal morphological defects.
Keywords
Rustenburg Base Metal Refiners, copper, electrowinning, starter-sheet operation, current efficiency, scrap rate
The Anglo American Platinum (AAP) Rustenburg Base Metals Refinery (RBMR) forms a crucial and enabling part of the platinum value chain in the hydrometallurgical processing of platinum-group metals (PGM) and base metals (BM) to final marketable product form. The RBMR process and developments since its inception in 1981 are well documented by Hofirek and Halton (1990), Hofirek and Kerfoot (1992), Hofirek and Nofal (1995), and Bryson et al. (2008). The main feedstock to RBMR, which comprises the magnetic concentrator plant (MCP) and base metal refinery (BMR), is Waterval converter matte (WCM) derived from the upstream pyrometallurgical converter process that is based on Ausmelt technology. To achieve the required PGM upgrades and BM recovery from the mined ore, AAP uniquely makes use of a slow-cooling process followed by magnetic separation, as opposed to whole matte leaching (Hoosen et al., 2018). The crushed WCM entering the MCP undergoes several milling, magnetic separation, and leaching stages to recover high-grade material that forms the feedstock (final concentrate; FICO) to the precious metals refinery (PMR). The non-magnetic portion, also referred to as nickel copper matte (NCM), together with the magnetic concentrate leach solution (pressure vessel liquor; PVL), is processed at the BMR to produce final nickel, copper, cobalt sulfate, and sodium sulfate products. NCM typically comprises ~ 42% Ni, ~ 28% Cu, ~ 2% Fe, and ~ 23% S, with copper being the second most abundant element (Bryson et al., 2008).
A simplified illustration of the input, outputs, and processing plants of RBMR is presented in Figure 1. The BMR comprises typical hydrometallurgical processes pertaining to leaching (atmospheric, oxidative, and non-oxidative), solution purification (precipitation, solvent extraction, and ion exchange), and metal recovery (electrowinning (EW), precipitation, crystallisation).
Since commissioning of the original flowsheet, key refining capacity expansions have taken place to increase throughput, improve efficiency, and create a safer processing environment for the operation. By


2024, the RBMR had undergone two significant expansion projects in its 43-year existence. In 1993, AAP expanded the operation to produce 21 kt/a nickel cathode from the original design of 19 kt/a. The initial design of 12 kt/a copper cathode remained unchanged. In 2011, an increase in platinum processing throughput necessitated an associated increase in key BM outputs and consequent expansion of BMR. This resulted in significant changes to the leaching and purification stages of the refinery, together with construction of a state-of-the-art modernised nickel EW tankhouse, which increased nickel production capacity to 32.4 kt/a from 21 kt/a and copper production to 20.6 kt/a from 12 kt/a.
The RBMR copper tankhouse is currently one of the few remaining copper EW starter-sheet operations in the world. According to the global copper EW survey of 2022, approximately 75% of operations surveyed made use of permanent cathode technology (Sole et al., 2022). Most larger-capacity operations employ permanent cathodes, which decrease labour intensity and allow for significant automation. Being a starter-sheet operation with technology that was adopted in the 1980s, the dependency on manual labour to execute activities is crucial in ensuring that the BMR plant purpose and performance measures are satisfactorily met.
Prior to the 2011 expansion, RBMR operated a combined nickel and copper EW tankhouse. This original tankhouse consisted of
three EW bays (West, Centre, and East), each with a dedicated rectifier. Two bays (Centre and East) were used for nickel EW and one bay (West) was used for copper EW. The expansion necessitated construction of a new nickel tankhouse and the old tankhouse became dedicated to copper EW. Copper production capacity was increased by converting Centre Bay from nickel to copper EW cells, whilst East Bay was decommissioned. Current copper EW operation employs the West and Centre Bays.
Following leaching and purification, in which the BM are dissolved into solution and primary impurities removed, the copper solution, known as copper advance (CuAdv), is fed to the copper tankhouse. A direct EW process is employed, where the feed to the tankhouse originates directly from the leach, i.e., there is no intermediate solvent-extraction step, which is typical of most modern copper hydrometallurgical flowsheets. The electrolyte fed into the cells comprises fresh CuAdv mixed with the recirculating copper spent electrolyte (CuSP) stream. The volumetric flow is controlled via advanced process control, with the primary aim of managing inventory volume between the copper tankhouse and leaching plant. The copper feed electrolyte is passed through a Scheibler polishing filter to reduce any residual solids content, then fed to the banks of individual cells via multiple carousel feeding systems. Figure 2 illustrates the high-level process flow of the copper tankhouse.
In addition to plating out copper from solution to cathodes, the copper tankhouse is essential for the associated generation of sulfuric acid and cupric ions (Cu2+) that are returned to the leaching plant as CuSP; thus, not all copper in the feed to the tankhouse is plated to final cathode. The cupric ions and acid present in the CuSP are utilised in the primary leach stage and the acid is used in the secondary leach stage. Performance and running of the tankhouse are consequently necessary for operation of the leach circuit.
In comparison with the other RBMR and PMR products, copper contributes only a small percentage of production and revenue to AAP. As a consequence, copper EW was traditionally regarded as a sacrificial process within the refinery, and considered the ‘Cinderella’ tankhouse. Since 2020, however, a concerted operational effort has been made to improve its performance to world-class standards for a starter-sheet operation. This was done by reviewing operational strategies, using prior industry experience, consulting global best practice, and fundamentally going ‘back to basics’ as tools to guide improvements in production and quality. This article describes the achievements and outcomes of these interventions.
Review of process
Tankhouse capacity, performance, and operability, in both its previous and current states, are highly dependent on operational excellence. The journey towards improving plant operability and cathode quality in a labour-intensive environment was not easy. Operational discipline, consistency, and ensuring that the basics required for an EW operation from all levels of work are performed and monitored, were essential to seeing change. An operational review of the tankhouse for the 2018–2024 period, detailing production output, plant current efficiency, production quality, and operational challenges, is presented.
Copper production
The copper tankhouse has transitioned from an era of being unable to consistently achieve production targets, due to various operational challenges, to now sustainably producing copper at the desired quality. Monthly and annual cumulative production are shown in Figure 3.
The nameplate capacity equivalent of the copper tankhouse is 20.6 kt/a, based on the RBMR feed Ni:Cu ratio in WCM of 1.57 and
nickel tankhouse design capacity of 32.4 kt/a. Although nameplate production has not been reached, owing to low feed availability, the copper tankhouse has produced > 10 kt/a for the past six years, except for events in 2020 primarily related to the global pandemic. The 2020 period presented multiple challenges in the tankhouse environment to preserve equipment and place the operation in care and maintenance. Following resumption of normal operation, significant challenges were experienced in the journey to achieve desired production and quality targets. In the past six years, the tankhouse produced the highest monthly copper production of 1305 t in August 2024.
The target current efficiency for the starter-sheet tankhouse is 88%. Figure 4 illustrates the tankhouse operational current efficiency. Prior to 2021, target current efficiency was seldom achieved. This was due to various challenges, including poor quality of cell maintenance, deteriorated cell-top furniture, impurities in feed electrolyte, poor current distribution, backlogged and inadequate cell cleaning and maintenance strategies, and overarching inferior operational discipline. Poor adherence to anode-replacement lifecycles and no close visibility of anode ages resulted in the use of depleted Pb–6%Sb anodes, where thicknesses were described as ‘paper-thin’. The operation consequently incurred increased operational expenditure to purchase large batches of new anodes for improved performance from late 2019. Challenges along the journey, from learnings in plant experience to improved performance, are summarised in the fault tree depicted in Figure 5. Following recovery from the 2020 period, the tankhouse managed to consistently achieve monthly current efficiencies exceeding 88%, and sometimes 90%. This is attributed to improved operational discipline and a focus on basics. Deviations from target current efficiency in late 2022 to early 2023 were attributed to a brief period of high Fe in the copper circuit (where the chemical impact—current consumption attributed to the oxidation–reduction cycling of the Fe(II)/Fe(III) couple in the electrolyte—was exacerbated by the physical impact of cathode straps breaking), followed by a period of low copper concentrations in electrolyte emanating from the leach plant. Frequent plant stop/starts and a higher frequency of running on trickle current during this period



further affected continuous plant run time and performance. Breakthroughs of selenium and tellurium to the tankhouse in December 2022 to January 2023 also contributed to poor current efficiencies and poor cathode quality. The annual plant shutdown takes place in February, so March of each year typically results in lower current efficiencies as the operation ramps up and stabilises.
The maximum operational current densities are 220 A/m2 and 140 A/m2 for West Bay and Centre Bay, respectively, as limited by the respective rectifier inputs of 13 kA and 16.5 kA. The RBMR copper tankhouse is regarded as a low current density, high‘bite’ operation compared with other operations, which typically operate at 300–450 A/m2 (Sole et al., 2022). RBMR also has a lower cathode specific flowrate compared with most operations. The applied current input to the tankhouse is a function of the copper concentration of the feed electrolyte and the Cu2+ and H2SO4
concentrations in the CuSP required for the upstream leach plant. The difference in copper concentration between the feed and spent electrolytes (ΔCu) is a function of the number of cells online at the tankhouse. It is not ideal to consistently operate at maximum applied current; minimising and smoothing of rectifier set-point movements are desired when these can be accommodated.
Achieving good quality final copper product is significantly related to the operational activities required to maintain good current efficiency. From the various challenges outlined prior to 2021, significant improvements to the high-impact factors of cell cleaning and maintenance, improved fault checking and rectification, cell electrolyte-level compliance, and feed checks, significantly contributed to achieving good copper quality.
Scrap rate
Copper cathode at RBMR is marketed as Rustenburg (RTB) Grade, based on both physical and chemical properties. Copper cathodes are classified as Grade 1 (meet chemical specification and have good surface quality), Grade 2 (meet chemical specification and have fair surface quality), and Grade 3 (meet chemical specification and have low surface quality). A comparison of the chemical specification of RTB Grade copper with London Metal Exchange (LME) Grade A is shown in Table 1. Copper that does not meet this specification is classified as B Grade (poor surface quality, with excessive nodulation and dendrite growth), PQ Grade (poor quality; mossy copper), or scrap (off-cuts and scrap starter sheets, which are inherent to starter-sheet technology). Cathodes that have fallen into cells and recovered during cell cleaning and maintenance contribute to scrap production.
The scrap rate is defined as the percentage of all non-RTB Grade copper to total copper production. This includes all copper produced and available to market other than RTB Grades 1, 2, and 3. The events of 2020 resulted in high scrap rates, owing to challenges in timeous harvesting, producing poor quality starter sheets, and backlogged cell maintenance. Prior to 2023, the target maximum scrap rate (upper specification limit: USL) was 12%. This target was decreased to 10% in early 2023, as consistent, stable, and capable product quality performance was attained. A significant change was the implementation of an energy-based harvest calculator, implemented in 2021, that informed production teams when cells were due for harvesting, based on current accumulation. The harvest calculator tracks individual cells using data retrieved from the online supervisory control and data acquisition (SCADA) system. The use of Faraday’s law informs target cathode mass accumulation, which dictates the harvest time of a cell. This informs the production teams exactly when cathodes need to be
harvested, or when rectifiers need to be limited for cells that cannot be harvested due to labour constraints or equipment breakdowns, where potential overplating and high current accumulation then become a safety risk. Prior to the use of the energy-based harvest calculator, production teams would harvest cells based on the number of days that a cell had been online, which did not accurately consider plating current or downtime. Furthermore, work shifts were assigned specific cells for which they were responsible—any challenge regarding labour or cell maintenance that prevented on-time harvesting was detrimental. Late harvesting of cathodes resulted in excessive nodular and dendrite growth that affected morphological appearance, and thus, physical quality. Starter cells were more severely affected when harvested late, because these sheets proved too thick and heavy for preparation into starter cathodes and were consequently graded as scrap. Cathodes that were harvested too early resulted in a light off-specification product, which had to be regraded because it did not meet market requirements.
A key sustainability imperative to good quality starter-sheet production is the supply of sufficiently stocked and available buffed titanium blanks. The use of titanium blanks in the starter cells at the tankhouse is a historic artefact. The conditional exchange of blanks from starter cells is important due to the formation of an insulating titanium hydride layer along the edges of the blanks that causes poor plating along the blade surface. This results in undersized starter sheets that cannot be used in the starter preparation process and are ultimately unsuitable for use as starter cathodes in production cells. Poor edge-strip application on blanks and/or failures of edge strips, due to solution ingress or wear, causes copper to fully plate around the edges of the blanks and form nodules at the corners of the blanks, making manual stripping difficult. A new H-type removable edge strip was implemented in 2022, which
significantly improved edge strip failure rates and made startersheet stripping easier. These new edge strips, coupled with the conditional exchange of titanium blanks, led to the production of pristine, on-specification starter sheets, and a reduction in scrap. Implementation of process interlocks on key equipment, such as rectifiers, also prevents poor quality copper. One such interlock implemented is the instantaneous ramping down of rectifiers to trickle current if a cell bank within a bay does not receive any feed. This prevents the production of mossy copper, which is caused by low copper concentrations in the EW cells (in this case, owing to no fresh feed and depleting electrolyte copper concentration) and running at higher applied currents to reduce the copper from the electrolyte to cathode product. The evolution of scrap-rate improvement is illustrated in Figure 6.
The exceptional trend of consistently improving scrap rates from 2020 substantially digressed in late 2022 to early 2023, with the highest monthly scrap rate of 63.40% recorded in February 2023. The poor performance in December 2022, which carried over to January 2023, was attributed to breakthrough of selenium and tellurium to the tankhouse, owing to inadequate upstream removal of these elements. The higher levels of these impurities reporting to the electrolyte (> 45 mg/L Se, Te; target of < 25 mg/L in feed) affected an entire plating cycle, where cathodes failed on both
chemical (> 150 ppm Se, Te; target of < 50 ppm in cathode) and physical (black powdery deposit) specifications. Although the initial upstream cause was corrected, cathodes that were in the plating cycle then passed on physical specification but failed on chemical specification due to already-plated selenium compounds in cathode, causing this impurity excursion to impact several plating cycles.
Following the February 2023 annual shutdown, an entire plating cycle produced mossy copper. This was attributed to a depletion of copper in the CuSP, owing to operating at higher trickle currents during the tankhouse shutdown. Owing to shutdown maintenance on the feeding circuit, the cells could not be topped up with fresh feed. The trade-off required between preserving the protective oxide coating of the lead-alloy anodes in sulfate-based solution by application of a trickle current and depleting of copper in the CuSP became glaringly apparent. A shutdown current calculator was subsequently developed that considers the minimum current required for anode preservation. This initiative, together with strict cell sampling campaigns during shutdowns to inform rectifier set points, led to an acceptably low scrap rate of 8.42% during the February 2024 shutdown.
Improvements and causes in scrap-rate performance from plant learnings and experience are summarised in the fault tree depicted in Figure 7.


The RBMR copper grade has significantly improved since 2018, coming from an era of frequently producing poor-quality copper and excessive scrap. The improvements, metrics, and a focus on basics in the EW environment have translated to a period of best performance in the history of the tankhouse. Production targets at
good quality are consistently achieved, with a record low scrap rate of 2.06% in December 2023. Figure 8 illustrates the evolution of copper production grading from the tankhouse since 2018. The improvements in production quality are depicted in Figures 9 to 11, where smooth copper with minimal nodulation and dendrite growth can be seen, in comparison with poor-quality






copper with excessive nodulation that was routinely produced in the past. Figure 12 compares the typical RBMR mossy copper quality that was produced prior to implementation of the aforementioned operational improvements with the current quality sold to market.
Cathode analysis
Final cathode quality analyses for the main impurities (selenium, tellurium, iron, lead, sulfur, and nickel) and copper purity are shown in Figure 13. Today, RBMR consistently achieves > 99.9% copper purity. The effects of the selenium and tellurium breakthroughs manifest as spikes in these assays, causing the cathodes to fail on chemical specification. Notable improvements in cathode impurity levels are evident from late 2021 with respect to variation in the data, particularly for iron, lead, sulfur, and nickel.
Conclusions
Targeted operational interventions, informed by global best practice and grounding to fundamentals, coupled with the development of quantitative decision-making tools, have yielded significant improvements in production, efficiency, and quality at the RBMR copper starter-sheet operation. These directly reflect the tankhouse operational strategy and discipline. The main achievements are summarised in the following:
➤ The RBMR copper tankhouse has produced more than 10 kt/a of copper cathode since 2018, except for the year 2020, during which production declined owing to the Covid-19 pandemic and associated operational interruptions.
➤ Improvements in adherence to basic operational practices and key sustainability measures, such as the frequency and quality of cell cleaning and maintenance, prevention of backlogged and inadequate maintenance strategies, preserving acceptable cell-top furniture conditions, integrity of electrodes, preventing poor current distribution, and operational discipline, significantly contributed to an era of great performance.
➤ The high-impact factor of cell cleaning and maintenance has contributed to improved performance of EW cells. Ensuring that maintenance schedules are diligently completed contributes to higher current efficiencies.
➤ The use of an energy-based harvest calculator has allowed for timeous harvesting of production.
➤ H-type edge strips on starter blanks have resulted in the production of good quality starter sheets.
➤ Current efficiency significantly improved from 2021, consistently achieving monthly efficiencies exceeding 88%, with a highest monthly value of 91%.
➤ A historic monthly low record copper scrap rate of 2.06% was achieved in December 2023, which was previously believed to be limited to a minimum of 4%.
➤ Physical quality has improved considerably, with minimal dendrite growth, mossy copper, and reduction in excessive nodulation.
➤ Final cathode analyses for the main impurities (Se, Te, Fe, Pb, S, and Ni) have shown notable improvements with respect to variation in the data since 2021, particularly for Fe, Pb, S, and Ni. Cathode exceeding 99.9% purity is consistently produced.
➤ The RBMR copper tankhouse operation has achieved performance stability and capability consistent with the target production and quality measures.
The authors thank the management of Anglo American Platinum for permission to publish this paper. The tankhouse improvements are a direct result of the discipline, dedication, and persistent efforts in execution from the operational teams and their support of the vision for the created work environment and workforce culture. In particular, the authors would like to acknowledge the contributions of the copper tankhouse management and supervisory teams for their interest, implementation, and knowledge share of key sustainability measures in the tankhouse.
CRediT author statement
KN: Methodology, investigation, analysis, visualisation, validation, project administration, writing - original draft preparation; MP: Supervision, resources; JH: Conceptualisation, funding acquisition; KCS: Supervision, writing – review and editing.




References
Bryson, L., Hofirek, Z., Collins, M., Stiksma, J., Berezowsky, R. 2008. New matte leaching developments at Anglo Platinum’s base metal refinery. In: Young, C.A., Taylor, P.R., Anderson, C.G., Choi, Y. (Eds.). Hydrometallurgy 2008: Proceedings of the Sixth International Symposium, Society for Mining, Metallurgy and Exploration, Littleton, CO. pp. 570–579.
Hoosen, A., Sichone, M., Rambiyana, I. 2018. Improvements to the Anglo Converting Process (ACP) tap-block management. Journal of the Southern African Institute of Mining and Metallurgy, vol. 118, pp. 49–56.
Hofirek, Z., Halton, P. 1990. Production of high quality electrowon nickel at Rustenburg Base Metals Refiners (Pty.) Ltd. Proceedings of the International Symposium on Electrometallurgical Plant
Practice, Canadian Institute of Mining, Metallurgy and Petroleum, Montreal. pp. 233–251.
Hofirek, Z., Kerfoot, D. 1992. The chemistry of the nickelcopper matte leach and its application to process control and optimisation. Hydrometallurgy, vol. 29, 357–381.
Hofirek, Z., Nofal, P. 1995. Pressure leach capacity expansion using oxygen-enriched air at RBMR (Pty) Ltd. Hydrometallurgy, vol. 39, pp. 91–116.
Sole, K.C., Moats, M.S., Lillo, A., Steeples, J., Yañez, H., Parker, J. 2022. Copper electrowinning: 2022 global survey of tankhouse operating practice and performance. Proceedings of Copper–Cobre 2022, Electrometallurgy Volume. Gecamin, Santiago. pp. 28–39. u



BACKGROUND AROUND THE THEME
• Focus on sustainability and innovation

Package 1:
• Inclusivity and job creation
Naming Right (P1)
• Focus on sustainability and innovation
Package 2:
Package 1:
(Limited to 1 Sponsor)
• Aligns to the Mining Indaba theme
• Inclusivity and job creation
• Beyond mining
Delegate Bags (P2) (Limited to 1 Sponsor)
Naming Right (P1) (Limited to 1 Sponsor)
• Aligns to the Mining Indaba theme
THE EVENTS FOR THE MONTH:
• Beyond mining
Package 2: Delegate Bags (P2) (Limited to 1 Sponsor)
Career and Leadership Conference: 18 October 2025, University of Johannesburg.
THE EVENTS FOR THE MONTH:
Topic: Future proofing African Mining, Today as a young professional!
Career and Leadership Conference: 18 October 2025, University of Johannesburg.
Topic: Future proofing African Mining, Today as a young professional!
The career and leadership conference invites professionals in the mining industry to presentation and panel discussions on the given topic and allow attendees to pose question and tackle issues faced in the industry. The objective is to prepare students for the corporate environment and allow those already in corporate to bridge the gap and have a platform to receive career guidance from the industry leaders and peers.
Student Colloquium: 21 october 2025 Mintek, Randburg, Johannesburg.
The career and leadership conference invites professionals in the mining industry to presentation and panel discussions on the given topic and allow attendees to pose question and tackle issues faced in the industry. The objective is to prepare students for the corporate environment and allow those already in corporate to bridge the gap and have a platform to receive career guidance from the industry leaders and peers.
Topic: Adapting the African Mining industry to changing global trends to ensure long term sustainability.
Student Colloquium: 21 october 2025 Mintek, Randburg, Johannesburg.
The Southern African Institute of Mining and Metallurgy has been organizing and presenting the annual Student Colloquium since 2002, to afford the best final-year mining and metallurgical students an opportunity to present their final year projects to an audience of mining and metallurgical industry experts. Students are given an opportunity and platform to showcase their best research and innovation that contributes to advancing the mining and minerals industry to greater heights
Topic: Adapting the African Mining industry to changing global trends to ensure long term sustainability. The Southern African Institute of Mining and Metallurgy has been organizing and presenting the annual Student Colloquium since 2002, to afford the best final-year mining and metallurgical students an opportunity to present their final year projects to an audience of mining and metallurgical industry experts. Students are given an opportunity and platform to showcase their best research and innovation that contributes to advancing the mining and minerals industry to greater heights
YPC Student Debate presented by the SAIMM Johannesburg Branch: 23 October 2025, DRA head offices. Topic: Does mining provide additional value apart from only extracting resources within communities.
YPC Student Debate presented by the SAIMM Johannesburg Branch: 23 October 2025, DRA head offices.
Topic: Does mining provide additional value apart from only extracting resources within communities.
Debate Topics: Fostering innovation, infrastructure development and economic growth across various sectors.
Debate Topics: Fostering innovation, infrastructure development and economic growth across various sectors.
The Johannesburg Branch in partnership with the Young Professionals Council is proud to present the Student Debate featuring The University of Johannesburg and University of the Witwatersrand. This event will provide a stage for students from The University of Johannesburg and University of the Witwatersrand, within the minerals discipline to present compelling arguments on industry relevant themes.
The Johannesburg Branch in partnership with the Young Professionals Council is proud to present the Student Debate featuring The University of Johannesburg and University of the Witwatersrand. This event will provide a stage for students from The University of Johannesburg and University of the Witwatersrand, within the minerals discipline to present compelling arguments on industry relevant themes.
FOR FURTHER INFORMATION CONTACT:
Gugu Charlie, Conference and Events Coordinator
E-mail: gugu@saimm.co.za
Tel: +27 11 538-0238 Web: www.saimm.co.za

Affiliation:
1Division of Mining and Geotechnical Engineering, Luleå University of Technology, Sweden
2Institute of Innovation, Science and Sustainability, Federation University Australia, Australia
3School of Mining Engineering, Faculty of Engineering and the Built Environment, University of the Witwatersrand, South Africa
Correspondence to:
B. Genc
Email: bekir.genc@wits.ac.za
Dates:
Received: 6 Mar. 2025
Revised: 21 Apr. 2025
Accepted: 2 May 2025
Published: June 2025
How to cite:
Zvarivadza, T., Yi, C., Dineva, S., Onifade, M., Khandelwal, M., Genc. B. 2025. Reflections on destress blasting for deep level hardrock mining: Key considerations for successful application of the techniques. Journal of the Southern African Institute of Mining and Metallurgy, vol. 125, no. 6, pp. 317–338
DOI ID:
https://doi.org/10.17159/2411-9717/3686/2025
ORCiD:
T. Zvarivadza
http://orcid.org/0000-0003-1014-0405
C. Yi
http://orcid.org/0000-0002-5872-5173
S. Dineva
http://orcid.org/0000-0001-9419-2207
M. Onifade
http://orcid.org/0000-0001-9933-266X
M. Khandelwal
http://orcid.org/0000-0003-0368-3188
B. Genc
http://orcid.org/0000-0002-3943-5103
by T. Zvarivadza1, C. Yi1, S. Dineva1, M. Onifade2, M. Khandelwal2, B. Genc3
Abstract
Deep hardrock mines worldwide increasingly face rockbursts as mining depths increase. These events result from the accumulation and sudden release of stress, causing rockmass damage and posing major safety and operational challenges. This paper focuses on destress blasting as a critical strategy to mitigate rockburst hazards. Although limited practical experience exists in Swedish deep hardrock mines, international case studies demonstrate that, when well implemented, destress blasting redistributes peak stresses by promoting controlled fracturing around mining excavations. The success of such techniques is highly dependent on site-specific factors such as stress regime, rockmass brittleness, structural geology, and blast layout. Although destress blasting is especially effective in massive, brittle rock under high stress, typical conditions for strainburst prone environments, its design cannot rely solely on numerical models. Simulations can offer preliminary evaluation of stress redistribution trends and guide early design assessments but their current limitations, including sensitivity to input data and simplified fracture mechanics, mean they are best used as supplementary tools rather than final decision-makers. Field trials, supported by microseismic analysis and fracture mapping, remain essential for validation. The study critically synthesises international experiences and presents a structured framework for destress blasting design, offering practical and academic perspectives aligned with Swedish geological conditions to support safer and more efficient application in deep hardrock mines.
Keywords
destress blasting, hardrock mining, rockbursts management, numerical modelling, energy balance, seismicity
As mining goes deeper, the overburden rockmass imposes higher stress on the underground excavations. It is natural for the high stresses in the rockmass to seek redistribution as underground excavations are established. This results in the violent rockmass failure (rockburst). Rockbursts have several undesirable effects on the mine. This includes fatalities, injuries, loss of mining equipment, closure of productive sections of the mine, costs related to failed rockmass clean up, force majeure as well as social and political implications, among many others.
Different approaches can be used to contain rockbursts. As noted by Saharan (2004), these include varying mining methods, preconditioning of the ground (destress drilling, destress blasting, and water infusion) and implementation of rock support (backfilling or rock reinforcement). The focus of this study is the use of destress blasting as a rockburst control measure. Destress blasting has been used to reduce the rockburst potential of the rock surrounding mining excavations. Besides the technical benefits of addressing the aforementioned rockburst challenges, Harling (1965) (cited in Blake et al., 1998) noted that destressing has a positive psychological effect on the mining personnel as they feel a sense of safety due to the extra mile walked by management to implement underground mine safety measures such as destressing.
This paper analyses the different destress blasting techniques, which have been practised in the past with a view to indicate shortcomings and suggest possible improvements. This study is crucial in the development of suitable destress blasting designs for deep level hardrock mining conditions in Sweden. This study reflects on several aspects which are critical in developing the most suitable destress blasting design for given geotechnical and geological conditions. These aspects include stress regime, rockmass properties, blast borehole dimensions and spacing, explosives properties and initiation, and mining sequence. Issues such as destress blasting theory, destress blasting layouts, destress blasting design, evaluation of destress blasting design, and destress blasting modelling are covered in this study.
Destress blasting, as postulated by Roux et al. (1957), is premised on the observation that fractured rockmass zone ahead of a mining face offers pathways for stress release, enabling the transfer of peak stress concentration from the immediate vicinity of the mining face into the mining solid. Therefore, the destress blasting holes incorporated in a normal mining blast round are meant to extend the existing rock fractures and establish a well-connected fracture network for stress release. The most used explosive type in the past studies to achieve this fracturing effect is ammonium nitrate fuel oil (ANFO), due to its propensity to produce enormous amounts of gas with low shock to the rockmass. The use of ANFO in destress blasting is not merely for convenience but is technically justified based on its energy characteristics. ANFO has a relatively low detonation velocity (VOD of about 3200 m/s – 4000 m/s), as indicated in Table 5, and produces high gas volumes, which enhances heave energy. This energy form is effective for mobilising existing joints and promoting tensile fracturing in brittle, massive rockmasses, key mechanisms for stress relief in strainburst-prone environments (Toper et al., 1997). ANFO has been used historically in several deep mining operations (Kabongo, 1995; Widodo et al., 2019) due to its ability to induce distributed damage zones while limiting near-field shock and overbreak. Higher VOD explosives, such as emulsions, however, produce more shock energy and are better suited for initiating fractures in intact or confined zones with limited preexisting weaknesses (Drover, Villaescusa, 2019). The choice between high and low VOD explosives should be governed by the rockmass conditions and the intended fracture mechanism. Although ANFO remains widely used due to its effectiveness in generating tensile damage, emerging approaches such as mixed explosive loading and decoupling strategies offer promising alternatives to optimise fracture propagation and improve destress blast performance.
Upon implementation of a destress blasting design, different practical methods can be used to evaluate its effectiveness, the most used in practice being deformation monitoring and seismic activity monitoring before and after destress blasting. Other useful approaches for practical evaluation of destress blasting design include fracture frequency monitoring through ground penetrating radar, borehole periscope, and physical assessment of drillcore from the mining face. Achieving the most suitable destress blasting design is more of an art than a science, as the design needs to be fine-tuned and updated to account for actual prevailing ground conditions. The beauty of stress management strategies devised from practical observations (empirical) is that they can account for aspects which are difficult or impossible to account for in analytical and numerical simulations. Starfield and Cundall (1988) concur with this observation by noting that ‘rock mechanics models fall into the class of ‘‘data-limited problems’’; one seldom knows enough about a rockmass to model it unambiguously’.
Rockburst source mechanisms and rockburst damage mechanisms
Ortlepp and Stacey (1994) argued that while it is of little significance to comprehend a seismic source in order to design effective rockburst control measures, it is critical to distinguish seismicity from rockburst as the two are not necessarily the same. To differentiate the two, Potvin et al. (2000) provide the following definitions:
Seismic event:
‘‘A transient vibration or stress wave caused by an inelastic deformation in a rockmass. The deformation may be in
the form of physical displacement, intact rock cracking or rockmass degradation. Seismic events are a normal response of a rockmass to stress readjustments near an excavation.’’
Note that there are also many events which occur at a certain distance from the excavation, especially the fault-slip events.
Rockbursts:
Seismic events that cause significant physical damage to excavations. Damage can vary in intensity from minor rock spalling to catastrophic rockmass fracturing. The dynamic nature of rockburst damage means that there is the potential for extensive damage to or complete destruction of supported and unsupported underground excavations.
Source mechanism versus damage mechanism
Wang et al. (2022b) explained that the source mechanism in rock bursting is the triggering factor inducing rockbursts. They note that the damage mechanism is the rock failure mode (rock ejection, rock bulking, rockfall, rock buckling, shear displacement) caused by the rockburst. Wang et al. (2022b) noted that the rockburst damage mechanism research is crucial to understanding the onset, development, and extension of rock failure types encountered in the rockmasses due to rockbursts. Rockbursts are classified into five types, as follow: strainburst, buckling, face crush/pillar burst, shear rupture, fault-slip burst (Ortlepp, Stacey, 1994; Ortlepp, 1997; Kaiser, Cai, 2012).
Kaiser and Cai (2012) noted that buckling can be considered as strainbursting and shear rupturing can be considered as fault-slip bursting. This reduces the rockburst types to three, as explained by Kaiser and Cai (2012):
➤ Strainburst –
‘‘Violent release of stored energy at the mining face. This is due to tangential stress (σ1) accumulating in the excavation face and a soft loading environment created by the rockmass around the fracturing rock. The released energy does not come from the seismic source but emanates from the failing rock and its surrounding rockmass. Failure of the rockmass typically occurs when the induced stress acting on the rockmass is greater than the rockmass strength.’’
➤ Pillar burst –
‘‘Core of pillar fails violently, or the entire pillar breaks down. Associated with deep level mining where ratio of extraction is high, imposing significant stress on pillars.’’
➤ Fault-slip burst
–
‘‘Dynamic slip down an already existing fault or a new shear rupture. Slippage is due to shear stress along the fault being more than the fault shear strength. Many factors can reduce the shear strength of the fault, these include water ingress, reduction of clamping stress, reduced coefficient of friction, and reduced fault waviness, among others.’’
Strainburst is considered to be the most common rockburst damage mechanism in civil engineering excavations (Ortlepp, Stacey,1994; Zhang et al., 2012; Cai, 2013). Strainburst type is most associated with deep underground mine drifting and therefore, key to understand when developing effective and efficient destress blasting designs. It is vitally important to understand rockburst damage mechanisms in order to select the most appropriate rockburst control measure. Different rockburst damage mechanisms, together with their associated severity of damage, and needed support function are illustrated in Figure 1.

Table 1
Key rockburst damage influential factors (Kaiser, Cai, 2012)
Seismic event Geology
Event magnitude In situ stress
Rate of seismic energy release Rock type
Distance to seismic source
Bedding
Geological structures (dykes, faults, and shears)
Strainburst Pillar burst
Mining induced Dynamically induced
Geotechnical Mining
Rock strength Mining induced static and dynamic stresses
Joint fabric Excavation span
Rock brittleness
Mining induced Dynamically induced
Extraction ratio
Mining stiffness
Excavation sequence (stress-path), blasting
Installed rock support system
Backfill
Production rate
Fault-slip burst
Dynamically induced. Can initiate strainburst and pillar burst at remote locations from the seismic source
- Dynamically induced rockburst occurs when a stress wave propagates to the rockburst point from a seismic source which is remotely located
Rockburst damage emanates from several different factors, of which the main ones are summarised in Table 1.
Relevance of rockburst mechanisms to destress blasting applications
As can be noted from the preceding discussion, rockburst phenomena include a range of failure mechanisms. The focus of this study is specifically on those burst types where energy is released from the intact rockmass surrounding excavations, primarily under high stress and brittle failure conditions. The mechanisms most relevant to the application of destress blasting in this context are strainbursts, which manifest as sudden, violent spalling or ejection of rock in response to excavation induced stress redistribution. Kaiser et al. (2016), classify both strainbursts and facebursts as manifestations of energy release due to excessive tangential stresses in brittle rock. Although facebursts are typically associated with development headings or advancing stopes, and strainbursts occur in tunnel sidewalls or roof zones, both share a common underlying mechanism; the rapid accumulation and release of strain energy from over-stressed, low-ductility rock volumes. In this study destress blasting is therefore examined primarily as a method
for mitigating strainburst type behaviour in brittle, hig stiffness rockmasses. Strainbursting is most prevalent in hard, massive rock units with high compressive strength, low preexisting fracturing, and minimal capacity for inelastic deformation (Diederichs, 2018, Askaripour et al., 2022; Waqar et al., 2023). These conditions promote stress concentration near excavation boundaries, where even small excavation advances can trigger violent failure. Swedish deep hardrock mines, developed in competent granitic and metavolcanic lithologies, exhibit these geomechanical conditions, making strainburst mitigation highly relevant. This paper focuses on destress blasting as a preconditioning method intended to reduce the potential for strainburst initiation by locally altering the stress field and initiating controlled fracturing. The evaluation techniques, modelling approaches, and monitoring methods discussed in the paper are all directed toward understanding and mitigating this specific class of rockburst hazard.
Scope, objectives and contributions of the study
This study presents a comprehensive technical analysis of destress blasting as a critical tool for managing rockbursts in deep level mining. It systematically explores the theoretical underpinnings,
practical applications, and challenges associated with destress blasting, while emphasising its significance in Sweden’s deep hardrock mines, where practical experience with the technique remains limited. The study aims to consolidate knowledge on destress blasting by integrating global experiences to inform Swedish mining operations. It identifies destress blasting as a proactive stress management technique that facilitates stress redistribution away from excavation zones, thereby mitigating the risk of rockbursts. The paper discusses various key parameters influencing the success of destress blasting, including stress regime, rockmass properties, borehole dimensions, explosive selection, and blast initiation sequence. It highlights the necessity of numerical modelling to optimise blast designs before field trials, given the high costs and impracticality of extensive experimental permutations in real mining conditions.
One of the key contributions of this study lies in addressing the lack of extensive field experience with destress blasting in Swedish deep level mines. While other mining regions, such as South Africa and Canada, have documented applications of the technique, its implementation in Sweden has been sparse. The paper systematically examines case studies from various international mining operations and assesses their relevance to Sweden’s geological conditions. The study also identifies gaps in the fundamental understanding of destress blasting mechanisms. As an example, there remains uncertainty regarding whether destress blasting merely extends preexisting fractures or actively generates new ones. This distinction has crucial implications for blast design, particularly in massive, low fracture rockmasses. The study also underscores the need for integrating geostatistical methods and machine learning approaches into numerical modelling frameworks to better predict and optimise destress blasting outcomes. The novelty of this study lies in its multi-dimensional evaluation of destress blasting, bridging theoretical, numerical, and empirical perspectives. The research emphasises a structured approach to destress blasting design, incorporating engineering design principles, cost considerations, and technological advancements such as seismic monitoring and ground penetrating radar (GPR) for real-time effectiveness evaluation. It provides a structured methodology to refine the application of this technique in the deep hardrwock mining industry of Sweden while contributing to broader advancements in underground mining safety and efficiency.
Destress blasting theory and practice
The concept of destressing was coined by Roux et al. (1957) in
South Africa, as they grappled with the challenge of rock bursts in the deep mines of South Africa (Roux et al., 1958). They noted that destressing created a good network of fractures around the mining rockmass, thereby aiding stress release and reducing the burst potential of the rockmass. Vannes et al. (2020) described destress blasting as a rockburst control technique where highly stressed rock is blasted to reduce the local stress and stiffness of the rock, thereby reducing its burst proneness. Destressing is meant to migrate the peak stress in the rockmass from the immediate excavation face to further into the rockmass, thereby reducing the propensity of the rockmass surrounding the excavation to burst. This phenomenon is illustrated by Sainoki et al. (2017) after Tang (2000) in Figure 2.
Drover et al. (2018) gave an alternative description of destress blasting as a construction technique in deep tunnels, whereby explosives are used to fracture the rock in such a way that strain energy is dissipated from the rockmass, with minimal deformation Topper et al. (2003) proposed that the mechanism underlying successful destress blasting is not solely the generation of fractures in the rockmass, but rather the subsequent mobilisation or removal of the crushed and fractured zone through routine mining activities such as face advance or stope development. They emphasised that if the blasted material remains confined, such as in an unmined pillar or static region, the surrounding stress field is not meaningfully relieved, despite the presence of damage. The rockmass must be physically disturbed or displaced instead, to enable effective stress redistribution and energy dissipation. This conceptual model highlights the critical importance of integrating destress blasting within the ongoing mining cycle, ensuring that preconditioned zones are mobilised in a timely manner. It also reinforces the need to coordinate blasting geometry, timing, and excavation sequencing to fully realise the benefits of destress techniques in deep level hardrock environments. Dissecting the descriptions of destressing from several researchers, it can be noted that there are different aspects which affect the implementation of the techniques. The aspects include in situ stress, explosive properties, rockmass properties, blast holes design and layout, blast timing etc. Many authors have expressed their opinions on the mechanism of destress blasting and how it works. The works of these authors are covered in different sections of this paper.
Destress blasting versus preconditioning
Circumventing the complexity of semantics can be a gargantuan task, which can fling researchers into a vortex of concept misperception, hence the need to bring clarity on the meaning of

the two terms – destress blasting and preconditioning. Reflecting on the works of Rojas et al. (2017) and Rahimi et al. (2020), Gonzalez et al. (2022) note that:
‘‘Preconditioning techniques have been widely applied to decrease the seismic hazard on a large scale (hydraulic fracturing) by altering a significant volume of rock or on a local scale (destress blasting) by modifying the rockmass immediately in the excavation vicinity.’’ Yao et al. (2019) define destress blasting as a ‘‘rockburst control technique, which involves the application of explosive energy to highly stressed zones to reduce the local stress and stiffness of the rock, hence diminishing the potential for rockburst.’’
Effectively, preconditioning in underground stress management is the practice of proactively implementing measures ahead of time to bring ground conditions to the desired stable state before further excavation or mining operations are undertaken. For mining development drifting, this entails putting the mining excavation face in a stable state of stress before a blasting round is set off, that is incorporating destress blasting holes in the normal production holes to transfer the high state of stress from the immediate vicinity of the mining face, further into the rockmass. Destress blasting is, therefore, one of many ways of preconditioning the rockmass, paving way for safe mining operations. Miao et al. (2022) buttressed this observation by pointing out that:
‘‘…destress blasting has been applied to numerous mining conditions to precondition highly stressed rockmass to mitigate the risk of rockburst occurrence in deep mines as well as in deep underground constructions.’’
Hashemi and Katsabanis (2021) also explicitly highlighted this observation in their study on ‘‘Tunnel face preconditioning using destress blasting in deep underground excavations.’’
Figure 3 illustrates the benefit of destress blasting as a means of preconditioning tunnel face, lowering the peak stress in the immediate vicinity of the tunnelling face.
Figure 4 highlights how a zone of a mining tunnel is preconditioned for future safe blasting through destress blasting, together with a section view of the layout of destress blasting boreholes on the mining face.
This view on preconditioning and destress blasting is seconded by other authoritative researchers (notable experts) including Saharan (2004); Larsson (2004a); Larsson (2004b); Toper et al. (1998); Blake et al. (1998); Toper et al. (1997). Following this train

of thought, it can be noted that destress blasting can also be used as a technique to reduce or transfer the stresses in already highly stressed areas using a large number of explosives, in contrast with the traditional approach. This still falls within the realm of preconditioning since the overall goal is to proactively implement measures ahead of time to bring ground conditions to the desired stable state before further excavation or mining operations are undertaken.
Destress blasting – influence of fracture mechanics and geology
In the context of confined blasting, various researchers have extensively explored the mechanics and effectiveness of controlled blasting techniques, especially in applications where precision and fracture management are crucial, such as destress blasting in underground mining. Understanding the interaction between single and multiple blast holes, the mechanics of fracture propagation, and the influence of dynamic loading and geological factors is critical in getting to grips with how destress blasting functions effectively in real mine environments.

Single hole blasting mechanics and fracture generation
Research on single-hole confined blasting has shed light on how fractures initiate and propagate in rock around a blast hole. The mechanics of single blasting events, as described by several studies, involve the rapid release of energy upon detonation, causing high-pressure gases to expand within the borehole. This results in the generation of tensile and compressive stresses around the hole, leading to the formation of radial and hoop fractures. These fractures emanate from the blast hole, extending outward and creating zones of weakened rock. The confined nature of the blast controls the fracture pattern and size, allowing engineers to manage and predict the extent of rock breakage. Studies such as those by Dotto and Pourrahimian (2024), and Hajibagherpour et al. (2020) have demonstrated that the fracture characteristics are influenced by factors like the blast energy, hole diameter, and rock properties.
Interaction between multiple blast holes
The use of multiple blast holes introduces an additional layer of complexity, as the interaction between blast induced stresses from adjacent holes can significantly alter fracture patterns. Researchers have shown that when blast holes are placed in close proximity, the overlapping stress fields can cause more extensive fracturing compared to single-hole blasts (Kutter, Fairhurst, 1971; Rossmanith et al., 1997; Rossmanith, 2002, Yi et al., 2016; He, Yang, 2019). The interaction between pressure waves generated by each blast hole leads to constructive interference, amplifying the intensity of stress waves and promoting additional fracturing between holes. This concept, sometimes referred to as ‘blast synergy’, has been crucial for understanding how to optimise hole spacing and blast timing in destress blasting applications. The understanding of how fractures generated by multiple holes interact and propagate in various rock types, provides a basis for designing efficient destress blasting patterns in real mine scenarios.
Fracture propagation and destress blasting in mine drifts
The mechanics of fracture propagation around blast holes are central to the effectiveness of destress blasting in mine drifts. Destress blasting works by inducing controlled fracturing in highly stressed rock zones, thereby relieving accumulated stress and reducing the risk of violent failure. In practical mining environments, the fractures generated by destress blasting create pathways for stress redistribution, weakening the rockmass in a controlled manner. Mining practitioners can achieve a stressrelieved zone, effectively preconditioning the rockmass to withstand ongoing mining activities without sudden failures through strategically positioning blast holes and carefully managing the energy release. The application of destress blasting has shown to be effective in creating a buffer zone around critical excavation areas, such as tunnels and stopes. The effectiveness of destress blasting in reducing the likelihood of rockbursts is significantly influenced by the design parameters, including blast hole spacing, charge weight, and blast sequence (Konicek et al., 2011; Konicek, 2018; Miao et al., 2022). Properly designed destress blasting ensures that fractures do not compromise the overall stability of the drift, instead forming a protective fractured shell around the excavation that dissipates highstress concentrations.
Role of dynamic loading and geological conditions in destress blasting
The role of dynamic loading in destress blasting has been highlighted by researchers like Brummer et al. (1990), who emphasised that the impact of dynamic forces on rock fracturing
is substantial in high-stress environments. Dynamic loading refers to the instantaneous application of stress from the blast, which not only generates fractures but also accelerates stress redistribution around the blast zone. The work by Brummer et al . (2000) has shown that dynamic loading is critical in cases where rapid and extensive fracturing is desired, as it facilitates the formation of microfractures and increases rock permeability around the blast zone. This process allows for the controlled release of stress, minimising the chances of uncontrolled rockbursts or sudden ground failures in deep mining operations. Geological conditions, including the inherent properties of the rockmass, joints, and preexisting fracture networks, also play a crucial role in the effectiveness of destress blasting. However, it is important to note that destress blasting is generally most effective in massive, brittle rockmasses prone to strainbursting. In highly jointed or intensely prefractured ground, the natural discontinuities can already accommodate stress redistribution through deformation, making destress blasting unnecessary or less effective. Widely spaced discontinuities in otherwise competent rock may influence fracture propagation and energy dissipation, requiring careful consideration in blast design. This highlights the need for site-specific geological assessment when determining the appropriateness and expected effectiveness of destress blasting. Hard and brittle rocks with fewer natural fractures may require higher energy blasts to achieve the desired fracture propagation, whereas softer rocks with more jointing may respond to lower energy blasts. The orientation of geological structures, such as faults and bedding planes, influences how fractures propagate (Aliabadian et al., 2014; Agrawal et al., 2022). The alignment of fractures with preexisting structural features can significantly alter the outcome of destress blasting, often necessitating adjustments in blast design to accommodate geological variability.
The integration of theoretical and experimental observations from confined blasting studies into practical applications has led to optimised destress blasting techniques in mining. Several challenges remain though, especially in adapting these models to complex underground environments where dynamic loading and geological heterogeneity can impact blast effectiveness. Real-time monitoring of rockmass response during and after blasting, including the use of microseismic sensors and displacement meters, has been instrumental in assessing the success of destress blasting in realworld applications. It is important to tailor blasting techniques to specific mine conditions. The spacing of blast holes, charge size, and sequence of blasts etc., need to be adjusted based on site-specific factors such as depth, rock type, and existing stress fields. Without these considerations, destress blasting may not achieve its intended purpose and could potentially destabilise the surrounding rockmass rather than relieve stress.
Several researchers have implemented destress blasting around the world, presenting an opportunity to learn how destress blasting performs in different designs and layouts. A Canadian deep hardrock mine case study for destress blasting is presented by Sainoki et al. (2017), as shown in Figure 5. The blast design utilises six destress blasting holes: two on the bottom corners, two on mid height of the drift, and two on the top corners of the drift.
Toper et al. (2003) reported on the observed performance of several destress blast (preconditioning) practical implementations in different South African mines, but predominantly at Mponeng mine

(deepest mine in the world, operating at 3.16 km to 3.84 km below ground surface (NS Energy, 2020). These trials were carried out in narrow tabular stopes, which are mined with jack hammers. While the stope layout is significantly different from tunnels, the objectives and destress blast pattern are essentially the same. The height of the stopes is only 1.0 m, so the face blastholes are only 1.0 m long. The destress/preconditioning holes are longer than the face blastholes. The field investigations by Toper et al. (2003) included both face perpendicular and face parallel preconditioning strategies, with a refined comparison of their operational performance and geotechnical impact. The face perpendicular preconditioning design was noted for its logistical simplicity and reduced drilling complexity. This layout mirrored the geometric orientation typical of tunnel-based destress blasts, which is precedent in deep level tabular mining. The operational benefits include improved drilling accuracy, better control over burden dimensions, and enhanced workplace safety due to minimised exposure to unsupported hangingwall conditions during drilling and charging. The analysis of ground response monitoring data and seismological outputs suggested that face parallel configurations, although more complex to implement, may deliver slightly superior results in terms of energy dissipation and local stress redistribution. It is important to note that the marginally reduced effectiveness of the face perpendicular layout, likely due to reduced fracture propagation along the plane of maximum stress anisotropy, must be weighed against its consistent operational execution. The face perpendicular design efficiently redirected explosive energy orthogonal to the stope face, facilitating controlled fracturing and preconditioning of the face zone. This makes it a practical compromise for large-scale implementation. The face perpendicular layout effectively serves as a variant of tunnel destress blasting but tailored for stope geometries. The orientation aligns explosive induced fractures along structurally favourable planes and enhances preconditioning through stress shadowing and controlled dilation ahead of the mining face. This balance between technical effectiveness and logistical feasibility underpins its selection as the preferred field method in many deep level stoping contexts explored in the study by Toper et al. (2003).
As noted by Toper et al. (2003), when implemented correctly, preconditioning makes the work environment safe by shielding the mining faces from possible facebursts. The layout adopted for the face perpendicular preconditioning in the field studies is shown in Figure 6. The cross section ahead of the mining face showing positions of production and preconditioning holes is shown in Figure 7. It is important to note that, over and above other properties related to the rockmass and explosives, stemming plays a critical role in the success of destress blasting. The goal should be to direct most of the generated explosives gas and energy towards the mining face, with little to none lost into the mining opening due to stemming leakages.
Toper et al. (2003) thoroughly articulate the influence of stemming on the performance of preconditioning blasts. While stemming is conventionally understood to function as a mechanical barrier that prevents premature gas venting, thereby enhancing energy confinement and rock breakage, Topper et al. (2003) offered a deeper mechanistic view on its geomechanical implications, particularly for destress blasting. They postulated that effective destress blasting is not merely a function of high energy release but critically depends on the ability of the explosive event to mobilise and displace the crushed rockmass generated during the blast.



This hypothesis introduces a key distinction: without sufficient development or advance of the mining face, confined destress blasts may fail to induce meaningful stress relief, as the crushed material remains locked in place and continues to bear load. Energy transfer from the blast to the surrounding rockmass becomes inefficient as a result, and desired seismic and mechanical outcomes (e.g., stress shedding and fracturing) are not achieved. The role of the stemming therefore extends beyond containing gas pressure, it must complement the broader blast design to ensure adequate rockmass mobilisation. This necessitates precise timing, optimal explosive distribution, and careful matching of stemming length to burden dimensions. The effectiveness of preconditioning is greatly enhanced when stemming supports the full mobilisation of fragmented rock, allowing stress transfer and dilation to propagate effectively away from the blast source. This conceptual model implies that destress blasts confined within undeveloped headings (i.e., without sufficient free face or void) are inherently less effective, as the induced crushed zone lacks the necessary kinematic freedom to enable stress redistribution. Stemming must be viewed not only as an energy-retaining feature but also as a catalyst for mobilising the fragmented zone, an aspect that redefines best practices in deep level mining destress strategies. This understanding reinforces the criticality of coordinated blast sequencing and void management in achieving successful preconditioning outcomes.
Toper et al. (2003) noted that, while destress blasting has undisputed technical merit, its benefits may not be sufficiently recognised if those responsible to implement it do not have sufficient appreciation of the value of destress blasting. The human factor needs to be appropriately taken into account since some of those responsible for implementing the destress blasting approach may feel it is unnecessary extra work to drill destressing blast holes over and above the production holes. Due to the culture of giving bonuses for meeting production targets, some of the miners may be tempted to cut corners and not implement destress blasting in the desired manner in pursuit of earning bonuses. An appreciation by the miners that destress blasting actually enhances safety and reduces mining costs in the long run due to elimination or minimisation of the need to address negative rockburst consequences, incentivises the miners to implement the destress design appropriately.
Drover et al. (2018) presented a conceptual study on the most suitable destress design to be adopted, considering factors such as the strength of rock, geological structures, and the stress regime existing in the rockmass. They adopted the Hybrid Stress Blasting Model (HSBM) (Onederra et al., 2013). The HSBM was used to simulate the destress blasting outcome of different destress blast layouts by doing an iterative sensitivity analysis of different parameters affecting destress blasting. The model can give the optimum destress blast design to adopt after considering different scenarios. The HSBM gives the associated damage zones associated with the chosen blast design. Figure 8 shows a conceptual layout of the production and destressing holes adopted by Drover et al. (2018) in their study, where a distance of at least 0.75 m is maintained between the destressing holes and the opening boundary. This is meant to ensure that the excavation is not over broken. An effective destress blast design should result in a good network of fractures established within a row of drill holes and across columns of drill holes. It is noted from the study that destress blasting should aim for the rockmass to fail in shear, since it is the best failure mechanism to release accumulated strain energy in the rockmass (Saharan, Mitri, 2011). “This mechanism requires that a fracture plane or series of fracture planes exist at a sufficient angle of incidence with respect to the azimuth and plunge of the major principal stress”. (Drover et al., 2018).
All destressing charges are offset from the excavation perimeter by at least 0.75 m
The layout adopted by Drover et al. (2018) in the HSBM model is presented in Figure 9.
Sengani et al. (2019) showed the benefit of face perpendicular preconditioning in deep level gold mining in South Africa. They showed the effectiveness of adopting a destress blast design where five preconditioning holes are incorporated in the usual blast design to relieve stress ahead of the mining face and migrate it further into the rockmass. The layout of the design is presented in Figure 10.
Special highlights on the Swedish mining industry experience of destress blasting
Larsson (2004b) reports that destress blasting has been adopted in Swedish mines, notably Näsliden, Laisval, Malmberget, and Kristineberg mines. Näsliden and Laisval mines are no longer operational as they have been closed. Larsson (2004b) noted




that Krauland and Söder (1988) summarise the destress blasting practised at Boliden mines until 1998. Following here is a summary of Larsson (2004b) discussion on destress blasting in Swedish mines:
Näsliden mine
Destress blasting was first attempted at the cut and fill mine in 1978 to manage extensive stopes roof spalling due to high horizontal stresses experienced at the mine. The main goals of the destress blasting were to quantify the effectiveness of cut and fill stope destressing through a slot place correctly and determining the most appropriate explosive that can satisfactorily crush the rock surrounding a blasthole. Numerical models with the set-up shown in Figure 11 were run to simulate this problem.
Field tries were contacted in one of the stopes, but the destressing was not successful. This was due to the low VOD of the
explosive and the placement of the slot in ductile chlorite. This field study highlights immensely important aspects, which should never be taken for granted in destress blasting design, that is accounting for explosive properties and rockmass properties.
Due to occurrences of rockbursts and intensive stope roof spalling in another stope as a result of the high horizontal stresses, destress blasting was attempted in 1988. This entailed blasting together the production round with destress blasting holes. The effect of destress blasting (stoppage of rockbursts and reduced stope roof spalling) was only noticed after the fourth blasting round. This shows that a certain number of destress blasting rounds may need to be developed before the effect of destress blasting is evident.
Laisvall mine
The approximately 220m (from Engberg, 1989) deep room and pillar mine (with a tabular, sub-horizontal orebody) had high

horizontal stresses, regardless of its shallow depth. The gravitational vertical stress was about 6 MPa at the depth of appriximately 220m, yet the horizontal stresses ranged from 20MPa to 25MPa, giving a k-ratio (virgin horizontal stress to virgin vertical stress) ranging from 3.3 to 4.2. Due to spalling roof failure caused by the high horizontal stresses, destress blasting (with a layout shown in Figure 12) was decided on and implemented to address this challenge.
The production round was blasted together with the destress blasting boreholes of which the bottom part (0.6m to 0.7m) had been charged with 1 kg of explosives per blasthole. The blasted area was drilled to assess the rock fracturing effect of destress blasting and indicated that a 2 m to 2.25 m width and 1.5 m height cracked zone had been created as a result of destress blasting, highlighting the significance of physical drill core assessment as one of the practical means to evaluate destress blasting effectiveness in the practical field.
Two areas, one where destress blasting had been performed and the other where destress blasting was not done, were investigated through roof damage mapping to assess the effect of destress blasting. The damage area and failure depth were less pronounced in the area where destress blasting was performed, compared to the

blasting modelling and practical trials
(a) sloping roof profile
(b) roof churching sketch (c) sketch of modelled mining drift and 2.7 m high slot, (d) adopted destress blasting layout for mine trials (section view), (e) adopted destress blasting layout for mine trials (plan view). (Larsson (2004b) after Borg (1988))
area without destress blasting, showing the effectiveness of destress blasting in controlling roof stresses. It is of significant value to future development and implementation of destress blasting designs to note that, in the Laisvall mine case study, destress blasting was not effective in a few places where it was not implemented according to plan, leading to increased roof damage in these areas.
The Malmberget mine is one of the deep hardrock mines of Sweden, with the main level located at a depth of 815 m in 1985. The drifting of the main level was severely impacted and slowed down by seismic events. Spalling was experienced in the transportation drift roof due to severe seismic activities, extending the excavation height by 4 m and producing a sloping roof (see Figure 13). Numerical modelling was done to select the appropriate destress blasting design to attempt at the mine. The model tested a 2.7 m high slot (Figure 13c) with simulation parameters given in Table 2. Isotropic, elastic, and non-dynamic conditions were assumed in the model.
Results from numerical modelling showed that the slot effectively reduced roof centre stresses; with the use of a slot, which is high, long, and soft proving to be the most effective. The goal of destressing was to redistribute the excavation boundary stresses and transfer them further into the solid, eliminating or reducing excavation rock boundary damage. Trials of destress blasting were done with a view to increase the rate of drifting and also create a stable mining excavation using the layout shown in Figures 13 (d) and (e).
Note that only three holes were ultimately used after a few rounds of destress blasting. This decision was taken to avoid

Note that the destress holes are drilled on the sidewall abutment with the configuration illustrated in Figure 12
Table 2
Parameters used for destress blasting design and numerical modelling at Malmberget mine (after Larsson, 2004b)
Parameter
Mining depth (m) 815
Roof spalling depth (m) 4
Uniaxial compressive strength of rocks (MPa) 194 (aplite); 178 (Leptite)
Slot height (m) 1 or 2.7
Slot length (m) 4
Young's modulus (E) - slot (GPa) 12 to 28
Young's modulus (E) – rock surrounding slot (GPa) 40
Hole spacing (m) 1
excessive damage to the excavation boundary rock, hence the labelling of one of the holes as Hole 0, since it was later not used. The same layout of the destress blasting holes was used on both sides of the drift. The destress blasting trial was observed to have been successful since seismicity and spalling overbreak reduced remarkably in all sections where destress blasting was implemented. It is interesting to note, from this practical case study, that seismicity was observed to correlate with geology, with high seismic event occurrences noted in high UCS rock types at the mine, aplite (194 MPa) and red leptite (178 MPa), leading to high roof overbreak. This goes to show the need to accurately account for a wide range of parameters influencing destress blasting to achieve the most appropriate design, tailor-made for the prevailing geotechnical and geological conditions at the mine to be destressed.
Destress blasting design
No single approach in terms of the actual parameter values is applicable everywhere. It should be noted that, while literature gives the fundamental considerations in designing destress blasting, it would be necessary for each mine to devise its own actual parameter values depending on the rockmass conditions and stress prevailing at the mine as well as the type of explosives to be used. Hence, the need to practically investigate the best destress designs for deep mines of Sweden. Andrieux and Hadjigeorgiou (2008) noted that: “Irrespective of the scale at which it is carried out, destressing with explosives is still largely a trial-and-error procedure based on past—and usually site-specific—experience.” Mitri (2018) observed that the design of effective destress blast is more aligned to art than engineering science due to a wide range of available information and paucity of destressing programmes, which are described in detail. He also notes that the lack of design or analysis method, specifically for destress design, complicates the development of an effective destress blast, calling for the artistic trial and error approach. Table 3 presents the destress blasthole parameters for the study done by Sainoki et al. (2017).
Andrieux and Hadjigeorgiou (2008) presented properties needed for evaluating rockmass destressability, as shown in Table 4. It is important to note that this work was based on creating destress slots with long, large diameter holes to create a destress shadow. The techniques are used to destress larger volumes, and
Table 3
Destress blasthole parameters used in a Canadian deep mine drift (Sainoki et al., 2017)
Parameter
Drift advance
m (6ft)
Number of destress blast holes 6
Blast hole diameter
m (0.33ft)
Face hole length 2.44 m (8ft)
Corner hole length 3.66 m (12 ft)
Charge length 0.6 m (2ft)
Charge diameter 0.1 m (0.33ft) Explosive type
Charge density
VOD
Priming method
Stemming
g/cc
4700 m/s
Emulsion with bottom priming
Drill cuttings throughout the length of hole
therefore different from tunnel face and stope face, and destress blast configurations, which have a very localised destressing effect (Toper et al., 2003). This example is presented in the following to illustrate some of the properties needed for evaluating rockmass destressability; aspects applicable to tunnel face and stope face destress blasting. Rockmass destressability parameters should be interpreted with respect to the scale and objective of the destress blasting method.
Explosives considerations
Explosives used for destressing the rockmass play an important role in the development of new fractures and extension of the existing fractures. It has been noted in explosives engineering that explosives, like ammonium nitrate fuel oil (ANFO), which produces much gas on detonation, are more desirable in destress blasts. The released pressurised gas can open further preexisting fractures and develop new ones, creating a conducive environment for the release of built-up stress in the immediate vicinity of the mining face. ANFO consists of ammonium nitrate (94%) and fuel oil (6%) (Louw et al., 1993). It should be noted, however, that ANFO is soluble and performs badly in wet conditions. The alternative to use in wet conditions is emulsion. Explosive selection is critical in achieving desired fracture behaviour and energy distribution during destress blasting. Different explosive formulations vary in their detonation velocity, energy partitioning (shock vs. heave), and compatibility with environmental factors such as moisture. ANFO is widely used due to its simplicity and gas-generating properties, but its poor water resistance limits application in wet or saturated boreholes. Emulsion-based and slurry explosives provide better confinement and water resistance, making them suitable for deeper or more saturated conditions. Cartridge and PETN-based charges, though costlier, offer precision in controlled blasting applications. Table
Table 4
Properties needed for evaluating the destressability of a rockmass (Andrieux, Hadjigeorgiou, 2008)
Properties
Density of the targeted rock (massive sulphides)
Young’s modulus of the intact rock material
Unconfined compressive strength (UCS) of the intact rock material
Rock mass rating of the massive sulphides
component at the time of the destress blast
σ3 component at the time of the destress blast
incidence of the blast with respect to the σ1 component
of blasting rings in the destress blast
Unloaded toe length in the blastholesc
Unloaded collar length in the blastholes
of inert stemming materiale
of the explosive product
weight strength of the explosive agent
aAs estimated with 3DEC numerical stress simulations (Brummer et al., 2000).
bCorrected to account for the geometrical shape of the blast (dumped rings on the north side).
cUse zero for non-breakthrough holes.
dMinimum value – eventually irrelevant since already yielding the maximum confinement rating of 2. eAdd 50% confinement if stemming material is used.
5 provides a comparative overview of commonly used explosives, aiding practitioners in selecting appropriate products based on site-specific requirements and performance goals. It summarises key properties relevant to mining and destress blasting, such as VOD, gas energy characteristics, water resistance, application context, limitations, and supporting literature. The table serves as a practical reference for aligning explosive selection with specific geotechnical and operational conditions.
An understanding of explosives’ properties suitable for destress blasting is instrumental in the successful implementation of a chosen destress blast design. The explosives should be able to initiate crack growth, resulting in a network of rock fracturing ahead of the mining face, which aids stress release. The blasting formulae presented in Equations 1 to 6 by Ouchterlony et al. (2002) are crucial in incorporating a feasible, effective blast design in the destress blast layout. However, it is important to note that the effect of high in situ stress is not considered for the calculation of crack length and suitable adjustments of the equations are necessary in high in situ stress environments.






Where:
ρe is density of explosive (kg/m3), γ is the adiabatic expansion exponent, D is velocity of detonation (m/s), KIC is fracture toughness (Pa.m0.5), c is P-wave velocity in rock (m/s).
Of course, these equations can be incorporated in blast simulation computer software for ease of analysis and investigation of many different blast designs, a task cumbersome when executed by hand calculation. Be that as it may, it is important to understand
Table 5
Comparative characteristics of explosives commonly used in mining applications
ANFO 3200–4000
High gas volume, low shock energy. Produces strong heave useful for joint mobilisation.
Emulsion 4000–5500
Water gel / slurry
4000–5200
Cartridge explosives
5000–7000
Poor – degrades in moisture.
PETN-based charges 7000–8300
Balanced shock and gas energy. Produces uniform energy release under high confinement.
Moderate energy. Performs well in wet holes with moderate confinement.
High shock energy. Delivers focused energy in controlled blasting applications.
Very high detonation velocity and strong shock energy.
Excellent – water resistant.
Dry boreholes in competent rock. Common for general blasting and where tensile breakage is preferred.
Wet or highly confined conditions, especially where deeper fracture propagation is required.
Excellent –designed for wet use.
Good if casing is intact.
Saturated boreholes or deep stopes where charge integrity must be maintained.
Presplit blasting, contour blasting, and situations needing high precision or small charge volumes.
Low to moderate. Specialised applications such as preconditioning in tight geometries or precise charge control.
Ineffective in wet holes. Low shock energy limits use in high-confinement scenarios.
More expensive. Requires specialised pumping or loading systems.
Shorter shelf life. Can be sensitive to storage conditions.
Cost-prohibitive for bulk use. Limited to small-diameter applications.
High sensitivity. Risk of overbreak and safety constraints in handling.
Dick et al., 1982; Toper et al., 2003; ISEE, 2011.
ISEE, 2011; Agrawal, Mishra, 2018; Kramarczyk et al., 2022.
Frost, Zhang, 2009; ISEE, 2011; Nikolczuk et al., 2019.
ISEE, 2011; Mesec et al., 2015; Meyer et al., 2016
ISEE, 2011; Dreger, Gupta, 2013; Anderson et al., 2022.
Heavy ANFO 3500–4500
Enhanced gas energy compared to ANFO. Some added shock energy.
Emulsion blends 4200–6000
Customisable energy profile. Combines gas and shock effects effectively.
the background chemistry and physics concerning blast design from first principles in order to use the software properly. When it comes to numerical modelling; experts note that models solve equations while people solve problems. This emphasises the need to understand engineering problems from first principles for one to be able to prescribe sound engineering solutions informed by numerical modelling results.
Moderate – partial water tolerance.
Blasting in mildly damp conditions or where better coupling is needed without switching to emulsions.
Good to excellent (formulationdependent)
Sites with mixed conditions –wetness, high confinement, or mixed rock types.
Still moisturesensitive. Requires good mixing and borehole preparation.
Requires controlled on-site mixing and careful handling.
ISEE, 2011; Mesec et al., 2015; Žganec et al., 2016.
ISEE, 2011; Mishra et al., 2017; Balakrishnan et al., 2019.
Some blast simulation computer software, which can be used for practical blast design are presented in Table 6.
In general, the more advanced software is able to provide more accurate simulations of blast fragmentation and throw but can also be more computationally expensive. The choice of software will depend on the specific needs of the project. For simple problems, relatively easy-to-use software like BLASTX, FOIL, or AUTODYN may be sufficient. For more complex problems, more advanced software like LS-DYNA, CTH, SHARC, or HSBM may be needed. Table A1 in the Appendix presents a summary of some of the key parameters to consider in order to have a suitable destress
Table 6
Some of the computer simulation software for practical blast design (modified from Mortar et al. (2016) after Ngo (2007))
Software Ability Author/Vendor Rock discontinuities simulation Blast prediction capacity
LS-DYNA Structural response+ CFD (couple analysis)
BLASTX Blast prediction, CFD code
CTH Blast prediction, CFD code
Livermore Software Technology Corporation (LSTC)
SAIC
Sandia National Laboratories
FEFLO Blast prediction, CFD code SAIC
FOIL Blast prediction, CFD code Applied Research Associates, Waterways Experiment Station
SHARC Blast prediction, CFD code Applied Research Associates, Inc
ALE3D Couple analysis Lawrence Livermore National Laboratory (LLNL)
Air3D Blast prediction, CFD code Royal Military of Science College, Cranfield University
CONWEP Blast prediction (empirical)
AUTODYN Structural response+ CFD (couple analysis)
ABAQUS Structural response+ CFD (couple analysis)
Blo-up Structural response+ CFD (couple analysis)
US Army Waterways Experiment Station
Century Dynamics
Can simulate rock discontinuities using a variety of methods, including explicit modelling, implicit modelling, and hybrid modelling.
Can account for the effects of rock discontinuities on fragmentation and throw but does not explicitly model the discontinuities themselves.
Can account for the effects of rock discontinuities on the blast wave propagation but does not explicitly model the discontinuities themselves.
Can account for the effects of rock discontinuities on the blast wave propagation but does not explicitly model the discontinuities themselves.
Can account for the effects of rock discontinuities on fragmentation and throw by using empirical models.
Can account for the effects of rock discontinuities on the blast wave propagation and fragmentation process.
Can account for the effects of rock discontinuities by using interface elements.
Can account for the effects of air blast on the ground surface but does not explicitly model the rock material.
Can account for the effects of rock discontinuities by using empirical models.
Can account for the effects of rock discontinuities by using interface elements.
ABAQUS Inc
Itasca Consulting Group
Can account for the effects of rock discontinuities by using interface elements.
Can account for the effects of rock discontinuities explicitly, including their influence on wave propagation, fragmentation, and burden movement.
blasting design. Several case studies, as observed from the following authors are included in the table: Fuławka et al., 2022a; Hashemi, Katsabanis, 2021; Sengani et al., 2019; Baranowski et al., 2019; Drover et al., 2018; Sainoki et al., 2017; Andrieux, Hadjigeorgiou, 2008; Saharan (2004) (Strathcona Mine); Toper et al., 2003; Toper, 2003; Malmberget Mine in the year 1985 (Larsson, 2004b). The table has footnotes highlighting some points to note from it.
Powerful and versatile tool for blast design but can be computationally expensive for large and complex problems.
May not be as accurate as more advanced software for complex problems.
Is a powerful tool for simulating largescale blasts but can be computationally expensive.
Has the potential to be a valuable tool for simulating blasts in fluidised beds.
May not be as accurate as more advanced software for complex problems.
Has the potential to be a powerful tool for blast design in complex geological conditions.
Is a powerful tool for simulating complex fluid-solid interaction problems but can be computationally expensive.
Is a powerful tool for simulating air blast effects on structures and people
May not be as accurate as more advanced software for complex problems.
Is a powerful tool for simulating complex problems but can be computationally expensive.
Is a powerful tool for simulating complex problems but can be computationally expensive.
Can handle complex geological conditions and intricate discontinuities.
Design principles for a robust and reliable destress blast design
A well-structured process is essential for developing an effective destress blasting design that balances safety and cost. Bieniawski (1993) outlined six fundamental design principles and a ten-stage flow process, which, though general, offer a useful foundation for
structuring destress blasting design. These principles stress the need for clear problem definition, critical in convincing all stakeholders of the value of destress blasting, especially as it involves additional drilling and cost. The design must be informed by adequate site characterisation and evaluated through a combination of empirical, analytical, and numerical methods to improve reliability. Of note, Bieniawski (1993) and Stacey and Hadjigeorgiou (2022) highlight the value of simple, implementable, and adaptable designs. Stacey and Hadjigeorgiou’s quantified value-created process (QVP) builds on these principles to promote mine designs that maximise safety and economic return. Together, they guide the optimisation of destress blasting strategies tailored to specific geotechnical conditions.
Evaluating the effectiveness of a destress blasting design is crucial for ensuring its success in mitigating rockbursts and managing stresses in deep level hardrock mining. Several approaches exist for this assessment, each targeting specific aspects of rock behaviour before and after blasting. These methods include numerical modelling, rock fracture monitoring, rockburst prediction criteria, and seismic monitoring. Each of these methods offer unique perspectives into the performance of destress blasting. A combination of numerical modelling, empirical observations, predictive indices, and seismic data provides a comprehensive evaluation, minimising uncertainties and ensuring the successful application of destress blasting in deep mining environments. Zvarivadza et al. (2025) present a detailed coverage of destress blasting performance evaluation.
Numerical modelling plays a critical role in assessing destress blasting efficiency by simulating stress redistribution, energy dissipation, and fracture propagation. Two primary modelling approaches are used: static and dynamic simulations. Static models adjust rockmass properties to represent post-blasting conditions, while dynamic models simulate real-time fracturing processes. Note that traditional numerical models may oversimplify the extent of stress relief by assuming uniform damage zones, leading to overly optimistic predictions. A more refined approach evaluates the contribution of each blast hole separately to yield results that better reflect ground conditions (Sainoki et al., 2017). Parameters such as the fragmentation factor (α), Poisson’s ratio changes, and stress dissipation factor (β) serve as quantitative indicators of blasting effectiveness. This is especially so since field testing of multiple designs is impractical due to high costs. Numerical modelling helps identify the most promising configurations before implementation.
Numerical modelling offers valuable feedback on stress redistribution, energy dissipation, and fracture development trends, but it remains a complementary tool rather than a substitute for field validation in destress blasting. Current modelling capabilities, though increasingly sophisticated, still face challenges in accurately replicating the complex dynamic responses of brittle rockmasses under high stress, especially where preexisting fractures, geological variability, and blast-induced damage mechanisms are difficult to parameterise. Numerical simulations, as such, are best used to guide preliminary design configurations and to understand the sensitivity of blast performance to different parameters. Field trials remain essential for validating predicted outcomes, calibrating models, and refining design strategies. This iterative approach, where numerical modelling informs field implementation, and field data in turn
improves modelling accuracy, offers the most reliable path for optimising destress blasting in deep mining environments. This study acknowledges that, while modelling supports design decision making, empirical evidence and site-specific calibration continue to underpin robust destress blasting evaluation.
While numerical modelling plays a critical role in evaluating destress blasting, its reliability is highly sensitive to uncertainties in input parameters such as rockmass strength, elastic modulus, and stress field anisotropy. These parameters often exhibit spatial variability that deterministic models cannot capture effectively. To address this, probabilistic modelling approaches, such as the Monte Carlo simulation, Latin Hypercube sampling, or stochastic finite element methods, should be considered. These techniques allow for quantification of uncertainty and sensitivity analysis, offering a more robust framework for assessing design performance. Incorporating geostatistical data and performing multiple realisations can improve the confidence and realism of destress blasting simulations, especially in heterogeneous, high-stress environments.
Rock fracture monitoring
Assessing the extent of fracturing induced by destress blasting is vital for understanding its effectiveness. Ground penetrating radar (GPR) provides a non-destructive means to detect and map fractures in the rockmass, offering high-resolution, real-time imaging of subsurface conditions. Its depth penetration, however, can be limited in highly conductive environments, and its accuracy is influenced by surface roughness and geological variability. Borehole periscopes offer a complementary method by providing direct visual observations of fractures inside drill holes. This approach allows for detailed inspections of fracture orientations and densities, but its effectiveness is constrained by limited coverage and the risk of equipment damage in deep underground settings. Drill core analysis, another viable method, involves collecting and examining core samples to identify changes in fracture patterns post-blasting. This technique provides high-quality geological information but is time-consuming and spatially limited.
Rockburst prediction criteria
Energy balance analysis provides a theoretical framework for evaluating destress blasting performance by analysing the redistribution and dissipation of energy within the rockmass. Three key criteria: strain energy storage coefficient (F), brittle shear ratio (BSR), and Burst Potential Index (BPI), quantify rockburst proneness based on stress and energy considerations. The strain energy storage coefficient measures the ratio of stored to dissipated energy in a rock sample. A decrease in F post-blasting suggests successful energy dissipation, reducing rockburst risk. BSR evaluates the stress-to-strength ratio in the rockmass, with lower values indicating reduced potential for brittle failure. BPI, in a similar manner, compares stored energy to the critical energy capacity of the rock. A BPI greater than 100% signifies a high likelihood of strain bursting. These indices help in optimising blasting parameters and ensuring stress relief in hazardous zones.
Adopting Salamon’s study (1984), Sedlák (1997) describes the basic energy balance due to mining as presented in Equations 7 and 8.

Where:
Wt is the change in potential energy of the rockmass.
Um is the stored strain energy in the mined material.
Uc is the increase in strain energy in the surrounding rock.
Wr is the energy released.
In the context of destress blasting, the system includes additional energy terms related to explosive input and induced fracturing. The energy balance is then extended, as presented in Equation 8.

Where:
Um1 is the stored strain energy before destressing.
Um2 is the stored strain energy after destressing.
We is the energy of the explosive.
Wf is the energy consumed in rock fracturing. Wk is the seismic energy released.
This formulation allows rock engineering practitioners to assess how much of the explosive energy is used for productive fracture propagation (Wf) and how much is lost as seismic radiation (Wk). Effective destress blasting should ideally maximise Wf while limiting unwanted seismic release. These Equations support evaluating destress designs by comparing input energies to observable outcomes, such as reductions in modulus, energy release rates, or seismic activity, thereby offering a valuable analytical tool for blast optimisation and model calibration in high-stress mining environments.
Seismic monitoring
Microseismic analysis provides real-time data on stress redistribution following destress blasting. Seismic event monitoring tracks the location, frequency, and magnitude of induced seismicity before and after blasting. A significant reduction in seismic activity post-blasting indicates successful stress dissipation. Seismic moment magnitude and energy release assessments further quantify the extent of stress redistribution. In addition to these parameters, changes in seismic source mechanisms, such as shifts from tensile to shear-dominated failure modes, can provide further insight into how the rockmass responds to destress blasting. Drover and Villaescusa (2019) present a comprehensive evaluation of destress blasting performance using seismic monitoring, including the interpretation of source mechanisms and their implications for destress blasting effectiveness. Given the unpredictable nature of rockbursts, seismic monitoring is an essential tool for validating numerical predictions and fracture assessments, ensuring that destress blasting effectively reduces the risk of violent failure.
Discussion and concluding remarks
This study considered the concept of destress blasting as a stress and rockburst management tool, with particular focus on deep level hardrock mining. It is evident from the previous studies dating back to 1957 up to the current studies (2025) that destress blasting significantly contributes to rockburst management in deep level mining. Its usefulness is confined to the blasting round and some local short distance ahead of the mining face. In the practice of destress blasting, it is therefore mandatory to continuously incorporate the destress blasting holes with each mining round, lest the stabilising influence from the previous blasting round is lost. Comprehension of rockburst source mechanisms and rockburst damage mechanisms is crucial in the management of rockbursts, including destress blasting approach. The theory and practice of destress blasting was covered to highlight the need for a holistic
understanding of the mechanism of destress blasting and how it can be used successfully to manage rockburst challenges in mining. To bring clarity to the discussion, the terms destress blasting and preconditioning were clarified. It was noted that destressing is effectively one of the many ways of preconditioning the rockmass to a desired state in a bid to manage rockbursts, which would potentially happen in future blasting rounds. Several practical case studies on destress blasting, including the Swedish experience were covered, culminating in the development of the summary table in Appendix A presenting some of the key parameters to consider for successful destress blasting design.
To ensure that all steps needed to derive a robust destress blast design for any mining conditions, engineering design principles, and cost considerations as postulated by Bieniawski Bieniawski (1993) and, Stacey and Hadjigeorgiou (2022), respectively, were covered and should be a hallmark of any destress blasting design approach. As several aspects related to stress regime, rockmass properties, blast borehole dimensions and spacing, explosives properties and initiation, as well as mining sequence, influence the effectiveness of a destress blasting design; it is critical that these are adequately accounted for in the destress blasting design. It is clear that several iterations of numerical models would need to be run before the most suitable destress blasting is chosen for practical test in the deep level mine. Numerical modelling has proved to be a vital and invaluable tool aiding destress blasting design. Numerical models need to be carefully calibrated using field destress blasting observations for their results to be reliable. No numerical model can account for all aspects influencing destress blasting design, hence the need to continuously fine-tune a design based on practical field observations (accounting for prevailing geological and geotechnical conditions) and numerical modelling results.
Evaluation of the destress blasting efficiency is fundamental to the successful application of the technique. The two most used destress blasting evaluation methods are microseismic monitoring (assessment of seismic source parameters – seismic energy release, and moment magnitude) and deformation monitoring. These are already implemented in Sweden’s deep hardrock mines for other mining purposes and would easily be adopted for destress blasting implementation in the mines.
It is vitally important that the value of destress blasting is correctly and adequately explained to mining personnel, operators in particular, for them to understand that drilling the destress blasting holes over and above the normal production holes is not a waste of time hampering them from missing production targets. Destress blasting enhances safety and can improve the availability of production areas by reducing the frequency of strainburst type events in massive, brittle rockmasses. Although effective in managing strainbursts, destress blasting has limited influence on large-scale shear type rockbursts caused by fault slip or dynamic rupture. These larger seismic events are more effectively controlled through appropriate mining layouts, sequencing, and by taking structural features such as faults and dykes into account. An exception is the work by Andrieux and Hadjigeorgiou (2008), where large-volume slot destress blasts were used to create a stress shadow that contributed to mitigating shear-type seismicity. It can be noted that when correctly applied in suitable conditions, destress blasting contributes to improved operational safety and reduced unplanned downtime by lowering the occurrence of damaging localised dynamic failures. This also psychologically boosts operators’ morale and enhances productivity, dealing with the psychological effect of unsecure attachment and negative reinforcement bias in mining production.
Limitations of current studies and suggested further studies to inform destress blasting strategies in Sweden’s deep level hardrock mines
➤ Rockmass variability is a fundamental consideration in rock engineering, but its relevance to destress blasting must be viewed through the lens of specific failure mechanisms. Strainbursts, including face bursts, predominantly occur in massive, brittle rockmasses with high GSI values and elevated in situ stress. These are the typical conditions under which destress blasting is applied. In such settings, stiffness contrasts, often caused by geological intrusions, can amplify local stress concentrations, increasing the likelihood and severity of strainbursts. Rocks with higher stiffness bear more load than their surroundings and are thus more prone to bursting. In jointed or laminated rockmasses, on the other hand, the presence of natural discontinuities allows the ground to deform more readily, and failure is usually non-violent. In cases of severe alteration or intense jointing, squeezing behaviour dominates, and destress blasting is generally not required. It is vitally important to note that, although rockmass variability is a key design input, its significance to destress blasting lies in identifying conditions where brittle failure under high stress is likely, reinforcing the need for sitespecific assessment.
➤ Rockbursting is a challenge which can be explained by the concept of energy balance - looking at the energy supplied to the rockmass, energy used for rock failure and the energy dissipated. Management of this energy can lead to effective rockburst management. The concept of energy balance has not been fully explored in destress blasting design numerical modelling; it is suggested that this approach be pursued. This could be practically achieved by integrating energy tracking capabilities into numerical codes, such as calculating stored strain energy pre- and post-blast, evaluating fracture energy consumption, and comparing these to explosive input. Hybrid FEM-DEM platforms, as an example, could simulate energy redistribution during blasting to assess Wf, Wk, and Um terms in Equation 8. Calibration could be supported by microseismic monitoring and stress remeasurement. Applying such models could help identify designs that maximise fracture energy absorption, while minimising seismic release, improving safety and efficiency.
➤ Accounting for geological and geotechnical variability remains a significant challenge in numerical modelling for destress blasting design. While the role of large-scale variability has been discussed in relation to burst-prone conditions, localised stiffness contrasts (such as those introduced by intrusions) also play a critical role by concentrating stress and increasing strainburst potential. Although spatial geological variability has been successfully represented in other rock engineering applications using geostatistical methods like kriging, such techniques have not yet been widely applied to destress blasting design. Incorporating these tools could enhance our ability to map stiffness contrasts and high-risk zones, leading to more targeted and effective preconditioning strategies. This presents an important opportunity for future research, also see Zvarivadza (2023).
Some destress blasting studies argue that no new fractures are created in destress blasting, but only extension of existing fractures. Toper et al., 2003 postulate that:
‘‘While it has been found that no new fracture sets are generated as a result of preconditioning, regular detailed fracture mapping should reveal that fractures with favourable orientations are enhanced and re-mobilised when preconditioning is used.’’
Furthermore, Scoble et al., (1987), state that: ‘‘The only evidence of destress blasting creating new fractures was in close proximity to blast holes; fracturing appeared predominantly to be related to preexisting discontinuities.’’
The mechanism of new fracture creation during destress blasting remains a key topic in rock mechanics. Shnorhokian and Ahmed (2024) identify two dominant interpretations: the generation of new fractures and the reactivation of existing ones. In North American and coal mining contexts, the creation of new fractures is widely accepted as it softens the rockmass, lowers stiffness, and redistributes stress (Blake, 1972; Board, Fairhurst, 1983; Hedley, 1992; Andrieux, Hadjigeorgiou, 2008). Supporting this, field studies show a post-blast fracture density increases of 15% – 100% and modulus reductions of up to 95% (Shnorhokian, Ahmed, 2024). While fracture creation is widely observed, local geology and design conditions influence whether fracture generation or reactivation predominates (Shnorhokian, Ahmed, 2024). As can be noted from the works of other researchers, it is not always the case that no new fractures are created in destress blasting. In massive rockmass conditions, where there may not be fractures intersecting the destress blasthole, the explosive high gas (from ANFO) will not be able to penetrate the rockmass to extend the existing fractures if no new fractures are created by the blasting. This has signifficant implications on the destress blast design and numerical modelling of destress blasting. This area of study still needs to be developed further.
➤ With the fourth industrial revolution springing into the mix of mining technology, aspects such as machine learning and artificial intelligence can be used to evaluate destress blasting implementation results related to deformation monitoring, seismic monitoring, and fracture frequency monitoring to continuously optimise the destress blasting design. Machine learning is credited with the ability to detect patterns in large data sets to predict future patterns, which can be a way of forecasting destress blasting performance.
➤ Blasting induced crack length is a key parameter in rock fragmentation studies and also holds potential in evaluating destress blasting efficiency. While the primary objective in destress blasting is indeed to create a crushed and fractured zone that can be mobilised by subsequent development blasting, as noted by researchers like Toper et al. (2003), the extent and connectivity of radial cracks surrounding the crushed core are critical for enabling effective stress redistribution. Studying minimum crack length thresholds could help quantify the development of a continuous fracture network that facilitates energy dissipation and deformation control. Such an approach could complement traditional measures of destress effectiveness by offering a physical parameter linked to fracture propagation. Further investigation into the role of crack length, alongside crushing and mobilisation mechanisms, could enhance an understanding of the overall destressing process and inform both design evaluation and numerical model calibration.
➤ While destress blasting is indubitably effective in managing rockburst challenges at a local scale, calling for the implementation of the strategy with each blasting round for the destressing efficiency not to be lost, it needs to be complemented with hydraulic fracturing of the rockmass to achieve regional stability of the mine. Studies on the combination of destress blasting and hydraulic fracturing to manage rockburst challenges have not been conducted and need to be explored.
Acknowledgements
The authors gratefully acknowledge the financial support from the Strategic Innovation Programme for the Swedish Mining and Metal Producing Industry (STRIM), which is a joint investment from VINNOVA (The Swedish Governmental Agency for Innovation Systems), the Swedish Energy Agency and Formas, with additional in-kind contribution from Zinkgruvan Mining AB, LKAB, and Boliden (Ref. No.: 2020-04459).
References
Agrawal, A., Choudhary, B.S., Murthy, V.M.S.R., Murmu, S. 2022. Impact of bedding planes, delay interval and firing orientation on blast induced ground vibration in production blasting with controlling strategies. Measurement, 202, p. 111887.
Agrawal, H., Mishra, A.K. 2018. A study on influence of density and viscosity of emulsion explosive on its detonation velocity. Model Meas Control C, vol. 78, no. 03, pp. 316–336.
Aliabadian, Z., Sharafisafa, M., Mortazavi, A., Maarefvand, P. 2014. Wave and fracture propagation in continuum and faulted rockmasses: distinct element modeling. Arabian Journal of Geosciences, vol. 7, pp. 5021–5035.
Anderson, E.K., Chiquete, C., Chicas, R.I., Jackson, S.I. 2022. Detonation Performance Experiments, Modeling, and Scaling Analysis for Pentaerythritol Tetranitrate (PETN) High Explosive. Propellants, Explosives, Pyrotechnics, vol. 47, no. 9, p. e202200069.
Andrieux, P., Hadjigeorgiou, J. 2008. The destressability index methodology for the assessment of the likelihood of success of a large-scale confined destress blast in an underground mine pillar. International Journal of Rock Mechanics and Mining Sciences, vol. 45, no. 3, pp. 407–421.
Askaripour, M., Saeidi, A., Rouleau, A., Mercier-Langevin, P. 2022. Rockburst in underground excavations: A review of mechanism, classification, and prediction methods. Underground Space, vol. 7, no. 4, pp. 577–607.
Balakrishnan, V., Pradhan, M., Dhekne, P.Y. 2019. Field investigation in the detonation behavior of emulsion explosive column induced with air gaps. Mining Science, vol. 26, pp. 55–68.
Baranowski, P., Damaziak, K., Mazurkiewicz, Ł., Mertuszka, P., Pytel, W., Małachowski, J., Pałac-Walko, B., Jones, T. 2019. Destress blasting of rockmass: multiscale modelling and simulation. Shock and Vibration, 2019.
Bieniawski, Z.T. 1993. Principles and methodology of design for excavations in geologic media. Research in Engineering Design, vol. 5, no. 1, pp. 49–58.
Blake, W. 1972. Destressing test at the Galena mine, Wallace, Idaho. Trans Soc Min Eng AIME, vol. 252, pp. 294–299.
Blake, W., Board, M., Brummer, R. 1998. Destress blasting practices - a review of the literature and current industrial practice.
Report from the Itasca Consulting Group and Richard Brummer Associates to CAMIRO, Mining Division, Sudbury, Ont., Canada.
Board, M.P., Fairhurst, C. 1983. Rockburst control through destressing-a case example. In Rockbursts: prediction and control. Symposium. London. Institute of Mining and Metallurgy, pp. 91–101.
Borg, T. 1988. Ortdrivning med avlastningssprängning; Bergmekanisk uppföljning på 815m nivån i Malmberget. Report BeFo 331:1/88, SveDeFo 1989:1 (In Swedish).
Brummer, R., Mortazavi, A., Andrieux, P., Simser B. 2000. Destress blasting: a monitored field trial at Brunswick Mine. Report to Canadian Mining Industry Research Organisation, Mining Division. 120 pp.
Brummer, R.K., Rorke, A.J., Fairhurst, C. 1990. Case studies of large rockbursts in South African gold mines. Rockbursts and Seismicity in Mines, pp. 323–329.
Cai, M. 2013. Principles of rock support in burst-prone ground. Tunnelling and Underground Space Technology, vol. 36, pp. 46–56.
Dick, R.A., Fletcher, L.R., D'Andrea, D.V. 1982. Explosives and blasting procedures manual (No. 8925). US Department of the Interior, Bureau of Mines.
Diederichs, M.S. 2018. Early assessment of dynamic rupture hazard for rockburst risk management in deep tunnel projects. Journal of the Southern African Institute of Mining and Metallurgy, vol. 118, no. 3, pp. 193–204.
Dotto, M.S., Pourrahimian, Y. 2024. The influence of explosive and rockmass properties on blast damage in a single-hole blasting. Mining, vol. 4, no. 1, pp. 168–188.
Dreger, Z.A., Gupta, Y.M. 2013. High pressure–high temperature polymorphism and decomposition of pentaerythritol tetranitrate (PETN). The Journal of Physical Chemistry A, vol. 117, no. 25, pp. 5306–5313.
Drover, C., Villaescusa, E. 2019. A comparison of seismic response to conventional and face destress blasting during deep tunnel development. Journal of Rock Mechanics and Geotechnical Engineering, vol. 11, no. 5, pp. 965–978.
Drover, C., Villaescusa, E., Onederra, I. 2018. Face destressing blast design for hardrock tunnelling at great depth. Tunnelling and Underground Space Technology, vol. 80, pp. 257–268.
Engberg, H. 1989. Avlastningssprängningar i Laisvallgruvan – En fältstudie. Master’s Thesis 1989:189 E, Luleå University of Technology, Luleå (In Swedish).
Frost, D.L., Zhang, F. 2009. Slurry detonation. Heterogeneous Detonation, Shock Wave Science and Technology Reference Library, vol. 4, pp. 169–216.
Fuławka, K., Mertuszka, P., Pytel, W., Szumny, M., Jones, T. 2022a. Seismic evaluation of the destress blasting efficiency. Journal of Rock Mechanics and Geotechnical Engineering.
Gonzalez, F.J., Vallejos, J.A., Rojas, E., Landeros, P. 2022. Evaluation of the seismic rockmass response to mining and the impact of preconditioning using an epidemic type aftershock model. International Journal of Rock Mechanics and Mining Sciences, vol. 150, p. 104975.
Hajibagherpour, A.R., Mansouri, H., Bahaaddini, M. 2020. Numerical modelling of the fractured zones around a blasthole. Computers and Geotechnics, vol. 123, p. 103535.
Harling, J. 1965. Report on Long Hole Destressing in the Kirkland Lake Camp. Unpublished Report to Ontario Mine Association (cited in Blake et al., 1998).
Hashemi, A.S., Katsabanis, P. 2021. Tunnel face preconditioning using destress blasting in deep underground excavations. Tunnelling and Underground Space Technology, vol. 117, p. 104126.
He, C., Yang, J. 2019. Experimental and numerical investigations of dynamic failure process in rock under blast loading. Tunnelling and Underground Space Technology, vol. 83, pp. 552–564.
Hedley, D.G.F. 1992. Rockburst handbook for Ontario hardrock mines. CANMET Special Report SP92-1E. Energy, Mines and resources. Canada Center for Mineral and Energy Technology, Toronto, Ontario.
ISEE. 2011. Blasters' Handbook. International Society of Explosive Engineers, 18th ed, Cleveland.
Kabongo, K.K. 1995. Low-density ammonium nitrate fuel oil to improve gold recovery. Journal of the Southern African Institute of Mining and Metallurgy, vol. 95, no. 1, pp. 1–6.
Kaiser, P.K., Cai, M. 2012. Design of rock support system under rockburst condition. Journal of Rock Mechanics and Geotechnical Engineering, vol. 4, no. 3, pp. 215–227.
Kaiser, P.K., McCreath, D.R., Tannant, D.D. 1996. Canadian rockburst support handbook. Geomechanics Research Center, Laurentian University.
Konicek, P. 2018. Destressing. Rockburst, pp. 453–471. ButterworthHeinemann.
Konicek, P., Konecny, P. Ptacek, J. 2011. October. Destress rock blasting as a rockburst control technique. ISRM Congress, pp. ISRM-12CONGRESS). ISRM.
Kramarczyk, B., Suda, K., Kowalik, P., Swiatek, K., Jaszcz, K., Jarosz, T. 2022. Emulsion explosives: a tutorial review and highlight of recent progress. Materials, vol. 15, no. 14, p. 4952.
Krauland, N., Söder, P.E. 1988. Bergstabilisering genom avlastningssprängning – erfarenheter från Bolidens gruvor. Proc Bergmekanikdag 1988, BeFo. (In Swedish).
Kutter, H.K., Fairhurst, C. 1971. May. On the fracture process in blasting. International Journal of Rock Mechanics and Mining Sciences and Geomechanics Abstracts, vol. 8, no. 3, pp. 181–202. Pergamon.
Larsson, K. 2004a. Mining Induced Seismicity in Sweden. Licentiate Thesis. Luleå University of Technology, Luleå, Sweden.
Larsson, K. 2004b. Seismicity in mines: a review. Technical Report. Luleå University of Technology, Luleå, Sweden.
Louw, M.J., Sarracino, R.S., Vather, S.M. 1993. A comparison of the theoretical and measured velocities of detonation for selected explosives. Journal of the Southern African Institute of Mining and Metallurgy, vol. 93, no. 6, pp. 147–153.
Mesec, J., Žganec, S., Kovač, I. 2015. In-hole velocity of detonation (VOD) measurements as a framework for the selection type of explosive. International Journal of Mining Science and Technology, vol. 25, no. 4, pp. 675–680.
Meyer, R., Köhler, J., Homburg, A. 2016. Explosives. John Wiley & Sons.
Miao, S., Konicek, P., Pan, P.Z., Mitri, H. 2022. Numerical modelling of destress blasting–A state-of-the-art review. Journal of Sustainable Mining, vol. 21, no. 4, pp. 278–297.
Mishra, A., Rout, M., Singh, D.R., Jana, S. 2017. Influence of density of emulsion explosives on its velocity of detonation and fragmentation of blasted muckpile. Current Science, pp. 602–608.
Ngo, T.D., Mendis, P.A., Gupta, A., Ramsay, J. 2007. Blast Loading and Blast Effects on Structures – An Overview. Electronic Journal of Structural Engineering, vol. 7, p. 76.
Nikolczuk, K., Maranda, A., Mertuszka, P., Fuławka, K., Wilk, Z., Koślik, P. 2019. Measurements of the VOD of selected mining explosives and novel “Green Explosives” using the continuous method. Central European Journal of Energetic Materials, vol. 16, no. 3, pp. 468–481.
NS Energy. 2021. Mponeng Gold Mine. Online. https://www. nsenergybusiness.com/projects/mponeng-gold-mine/?cf-view. Accessed 27 January 2025.
Onederra, I.A., Furtney, J.K., Sellers, E., Iverson, S. 2013. Modelling blast induced damage from a fully coupled explosive charge. International Journal of Rock Mechanics and Mining Sciences, vol. 58, pp. 73–84.
Ortlepp, W.D., Stacey, T.R. 1994. Rockburst mechanisms in tunnels and shafts. Tunnelling and Underground Space Technology, vol. 9, no. 1, pp. 59–65.
Ortlepp, W.D. 1997. Rock fracture and rockbursts: an illustrative study, vol. 9. South African Institute of Mining and Metallurgy
Ouchterlony, F., Olsson, M., Bergqvist, I. 2002. Towards new Swedish recommendations for cautious perimeter blasting. Fragblast, vol. 6, no. 2, pp. 235–261.
Potvin, Y., Hudyma, M., Jewell, R.J. 2000. November. Rockburst and seismic activity in underground Australian mines-an introduction to a new research project. ISRM International Symposium. OnePetro.
Rahimi, B., Sharifzadeh, M., Feng, X.T. 2020. Ground behaviour analysis, support system design and construction strategies in deep hardrock mining–Justified in Western Australian's mines. Journal of Rock Mechanics and Geotechnical Engineering, vol. 12, no. 1, pp. 1–20.
Rojas, E., Landeros, P., Vallejos, J. 2017. Hydraulic fracturing applied to tunnel development at El Teniente mine. Proceedings of the 9th International Symposium on Rockbursts and Seismicity in Mines, pp. 236–242. University of Chile, Santiago.
Rossmanith, H.P. 2002. The use of Lagrange diagrams in precise initiation blasting. Part I: two interacting blastholes. Fragblast, vol. 6, no. 1, pp. 104–136.
Rossmanith, H.P., Daehnke, A., Nasmillner, R.E.K., Kouzniak, N., Ohtsu, M., Uenishi, K. 1997. Fracture mechanics applications to drilling and blasting. Fatigue and Fracture of Engineering Materials and Structures, vol. 20, no. 11, pp. 1617–1636.
Roux, A.J.A., Leeman, E.R., Denkhaus, H.G. 1958. De-stressing: a means of ameliorating rockburst conditions: Part I: The concept of de-stressing and the results obtained from its application, by AJA Roux, ER Leeman and HG Denkhaus, published in the Journal, October, 1957: author's reply to discussion. Journal of the Southern African Institute of Mining and Metallurgy, vol. 59, no. 1, pp. 66–68.
Roux, A.J.A., Leeman, E.R., Denkhaus, H.G. 1957. Destressing: a means of ameliorating rockburst conditions. Part I: the concept of destressing and the results obtained from its applications. Journal of the Southern African Institute of Mining and Metallurgy, vol. 57, pp. 101–119.
Saharan, M.R., Mitri, H. 2011. Destress blasting as a mines safety tool: some fundamental challenges for successful applications. Procedia Engineering, vol. 26, pp. 37–47.
Saharan, M.R. 2004. Dynamic modelling of rock fracturing by destress blasting. PhD Thesis. McGill University, Montreal, Canada.
Sainoki, A., Emad, M.Z., Mitri, H.S. 2017. Study on the efficiency of destress blasting in deep mine drift development. Canadian Geotechnical Journal, vol. 54, no. 4, pp. 518–528.
Salamon, M.D.G. 1984. Energy considerations in rock mechanics: fundamental results. Journal of the Southern African Institute of Mining and Metallurgy, vol. 84, no. 8, pp. 233–246.
Scoble, M.J., Cullen, M., Makuch, A. 1987. June. Experimental studies of factors relating to destress blasting. ARMA US Rock Mechanics/Geomechanics Symposium, pp. ARMA-87. ARMA.
Sedlák, V. 1997. Energy evaluation of de-stress blasting. Acta Montan. Slovaca, vol. 2, no. 2, p. 11.
Sengani, F., Zvarivadza, T., Adoko, A.C. 2019. Comparison of two adopted face perpendicular preconditioning techniques. Mining Technology, vol 128, no. 1, pp. 21–38.
Shnorhokian, S., Ahmed, S. 2024. Mechanisms and Measurements of Destressing in Underground Mines: A State-of-the-Art Review. Mining, Metallurgy and Exploration, vol. 41, no. 6, pp. 2959–3005.
Stacey, T.R., Hadjigeorgiou, J. 2022. Quantified Value-created Process (QVP)-A value-based process for mine design and operating decisions. Journal of the Southern African Institute of Mining and Metallurgy, vol. 122, no. 2, pp. 73–82.
Starfield, A.M., Cundall, P.A. 1988. Towards a methodology for rock mechanics modelling. International Journal of Rock Mechanics and Mining Sciences and Geomechanics Abstracts, vol. 25, no. 3, pp. 99–106. Pergamon.
Tang, B. 2000. Rockburst control using destress blasting. PhD Thesis McGill University, Montreal, Canada.
Toper, A. Z., Grodner, M., Stewart, R. D., Lightfoot, N. 1997. Preconditioning: A rockburst control technique. Proceedings of the 4th International Symposium Rockbursts and Seismicity in Mines/ Krákow/ 11-14 August 1997, Gibowicz and Lasocki (eds.), Rotterdam: A.A. Balkema, pp. 267–272.
Toper, A. Z., Stewart, R. D., Kullmann, D. H., Grodner, M., Lightfoot, N., Janse van Rensburg, A. L., Longmore, P. J. 1998. Develop and implement preconditioning techniques to control face ejection rockbursts for safer mining in seismically hazardous areas. Draft of final project report project number GAP 336, Safety in Mines Research Advisory Committee, Rock Engineering Programme, CSIR Division of Mining Technology.
Toper, A.Z. 2003. The effect of blasting on the rockmass for designing the most effective preconditioning blasts in deep level gold mines. Doctoral Thesis. University of the Witwatersrand.
Toper, A.Z., Janse van Rensburg, A.L., Milev, A.M., Grodner, M.W., Noble, B.R. 2003. Criteria for preconditioning at varying stoping widths in different geotechnical areas. SIMRAC Project number: GAP, 811.
Vennes, I., Mitri, H., Chinnasane, D.R., Yao, M. 2020. Large-scale destress blasting for seismicity control in hardrock mines: a case study. International Journal of Mining Science and Technology, vol. 30, no. 2, pp. 141–149.
Walsh, J.B. 1977. January. Energy changes due to mining. International Journal of Rock Mechanics and Mining Sciences and Geomechanics Abstracts, vol. 14, no. 1, pp. 25–33. Pergamon.
Wang, J., Apel, D.B., Dyczko, A., Walentek, A., Prusek, S., Xu, H., Wei, C. 2022. Analysis of the damage mechanism of strainbursts by a global-local modeling approach. Journal of Rock Mechanics and Geotechnical Engineering
Waqar, M.F., Guo, S., Qi, S. 2023. A comprehensive review of mechanisms, predictive techniques, and control strategies of rockburst. Applied Sciences, vol. 13, no. 6, p. 3950.
Widodo, S., Anwar, H., Syafitri, N.A. 2019. August. Comparative analysis of ANFO and emulsion application on overbreak and underbreak at blasting development activity in underground Deep Mill Level Zone (DMLZ) PT Freeport Indonesia. IOP Conference Series: Earth and Environmental Science, vol. 279, Nno. 1, p. 012001. IOP Publishing.
Yao, M., Chinnasane, D.R., Sampson-Forsythe, A. 2019. June. De-Stress Blasting Strategy: Case Studies for Mining in Highly Stressed Sill Pillars at Vale's Ontario Operations. 53rd US Rock Mechanics/Geomechanics Symposium. OnePetro.
Yi, C., Johansson, D., Nyberg, U., Beyglou, A. 2016. Stress wave interaction between two adjacent blast holes. Rock Mechanics and Rock Engineering, vol. 49, pp. 1803–1812.
Žganec, S., Bohanek, V., Dobrilović, M. 2016. Influence of a Primer on the Velocity of Detonation of ANFO and Heavy ANFO Blends. Central European Journal of Energetic Materials, vol. 13, no. 3, pp. 694–704.
Zhang, C., Feng, X.T., Zhou, H., Qiu, S., Wu, W. 2012. Case histories of four extremely intense rockbursts in deep tunnels. Rock Mechanics and Rock Engineering, vol. 45, no. 3, pp. 275–288.
Zvarivadza, T. 2023. A conceptual study on the prediction of destress blasting efficiency using geostatistical approaches. 15th International ISRM Congress and 72nd Geomechanics Colloquium 2023, Salzburg, Austria, October 9-14, pp. 487–492. Austrian Society for Geomechanics.
Zvarivadza, T., Yi, C., Dineva, S., Onifade, M., Khandelwal, M., Genc, B. 2025. Evaluating destress blasting for rock fracture and rockburst prediction in deep level hardrock mining. Journal of the Southern African Institute of Mining and Metallurgy, vol. 125, no. 6, pp. 273–298. u
Table A1: Destress blasting design parameters for different case studies
Priming method Emulsion with bottom priming
Stemming material Drill cuttings throughout the length of hole Inert stemming material Clay, bentonit, angular sand or a combination of these
Jones-Wilkins-Lee (JWL)
Table A1: Destress blasting design parameters for different case studies (continued)
D is depth below surface.
a Estimated using 3DEC (Brummer et al , 2000).
* Values from Andrews (2020).
Note: Bulk modulus and shear modulus can easily be calculated from E and ν.
All the parameters listed in Table A1 are fundamentally important in illustrating that no particular destress blasting case accounted for all the parameters, highlighting the importance of practical tests (empirical observations - fine-tuning the destress blasting design from these observations helps in accounting for parameters, which are next to impossible to account for in numerical modelling) for any mine intending to implement destress blasting, the practical observations from the tests work hand-in-hand with numerical modelling to achieve the most suitable destress blasting design.
All the parameters listed in Table A1 are fundamentally important in illustrating that no particular destress blasting case accounted for all the parameters, highlighting the importance of practical tests (empirical observations - fine-tuning the destress blasting design from these observations helps in accounting for parameters, which are next to impossible to account for in numerical modelling) for any mine intending to implement destress blasting, the practical observations from the tests work hand-in-hand with numerical modelling to achieve the most suitable destress blasting design.
¤ Fuławka et al. ( 2022a) is a case study on destress blasting efficiency evaluation using seismic monitoring. It does not provide the destress blasting parameters used in the study. The case is included here for readers who need to pursue this case study by contacting the authors directly.
¤ Fuławka et al. ( 2022a) is a case study on destress blasting efficiency evaluation using seismic monitoring. It does not provide the destress blasting parameters used in the study. The case is included here for readers who need to pursue this case study by contacting the authors directly.

Affiliation: CSIR, South Africa
Correspondence to: S. Khan
Email: skhan2@csir.co.za
Dates:
Received: 9 Jan. 2024
Revised: 3 Feb. 2025
Accepted: 4 Apr. 2025
Published: June 2025
How to cite:
Khan, S., Auret, M. 2025. Towards mine modernisation: Digitisation of foundational supervisory leadership development training. Journal of the Southern African Institute of Mining and Metallurgy, vol. 125, no. 6, pp. 339–346
DOI ID:
https://doi.org/10.17159/2411-9717/3239/2025
ORCiD: S. Khan
http://orcid.org/0000-0002-6362-5361
M. Auret
http://orcid.org/0009-0001-1574-0082
by S. Khan, M. Auret
Abstract
Due to the modernisation of mines, traditional training methods may be supplemented to support the upskilling of supervisors in mines. A project was initiated by the SAMERDI SATCAP programme to demonstrate the “art of possibility” through a modern training methodology. Two exemplar digital supervisory leadership development modules for underground gold and platinum-group metal conventional and modernising mines, were developed for potential uptake by the mining industry. These exemplar modules were exhibited on a digital platform, towards leading and driving mining modernisation. The research adopted a mixed method approach that included a literature review, a review of an existing supervisory leadership development programme, data gathering, a pilot study, and stakeholder validation workshops. The research supported the development of exemplar digitised modules. The two digitised modules were showcased to the industry for potential adoption. Training slides, a facilitator guide, and a training video were developed for ease of use by industry. The training modules are generic and not specific to a particular mine. They may be used by multi-commodity mines, including gold and platinum-group metals, as ‘stand-alone’ modules. They are customisable, through consultation with relevant service providers for specific working environments. The findings indicated that both the traditional classroom training and the new digitised online learning solution offer advantages for supervisory leadership development. Digital learning is not a new concept for supervisors at mines and modern training methods are well-supported by supervisors in the industry. A ‘modernised’ training solution may consider a ‘blended’ learning approach that combines traditional training with digital methods.
Keywords digital training, leadership, leadership development, mine modernisation, supervisors, efficiency, scrap rate.
Introduction
To get the mining industry back on track towards becoming more healthy, safe and productive, the challenges facing the mining industry need to be revisited. One such challenge is the transition to a modernised mining industry, which includes the consideration of skills development to support a modern workforce. These challenges can be addressed through technological innovation and implementation, improving skills, and ultimately improving work conditions, thus reducing exposure to mine health and safety hazards – collectively alluding to mine modernisation. The socio-economic role of mines can also be revisited to ensure broader development of the communities in which they operate (Goodman et al., 2019).
Traditional classroom-based training methodologies versus modern immersive learning experiences needed to be reviewed to assess their respective efficiencies and effectiveness in modernising mining environments. The Successful Application of Technology Centred Around People (SATCAP) programme commissioned a study investigating an engaging learning method for selected supervisory leadership development modules to support mining modernisation, with delivery through a digital platform. The intent was to assist in upskilling supervisors to change mindsets, and drive and lead mining modernisation. SATCAP focuses on the effects, impacts, and challenges of mining modernisation on people in the mining sector and is part of the South African Mining Extraction, Research, Development and Innovation (SAMERDI) strategy of the Mandela Mining Precinct (MMP).
Through this study, an existing supervisory leadership development programme was reviewed to identify gaps and make recommendations for addressing such gaps through the development of exemplar modules for potential use by the industry. With the advent of mine modernisation, the role of traditional training may need to be reassessed in relation to modernised training approaches to support a modern workforce for modern mining. A modern training method may support the transition to mine
modernisation and upskilling of supervisors. This study focused on supervisory leadership development as supervisors are a crucial link between management and mine workers. They lead teams and are key drivers of change in mining modernisation. To ensure that mine supervisors remain relevant with respect to leadership skills for a modernised mine, this project was commissioned. Two exemplar digital supervisory leadership development modules for underground gold and platinum group metals (PGM) conventional and modernising mines were developed for potential uptake by the mining industry. This paper is based on a SATCAP Work Package 2.1 study report titled “Final Report – Foundational Supervisory Leadership Development Training”, dated February 2022 (Auret et al., 2022).
Aim and objectives
The aim of this project was to demonstrate the “art of possibility” by supporting the development of supervisors in mining modernisation through exemplar leadership development modules in a digital format.
A mini literature review was undertaken to understand key supervisory leadership development concepts, including the role of supervisors in mining modernisation, and skills, competencies, and qualities required to drive mining modernisation.
Developing leaders and supervisors to lead and drive change Leadership development is crucial for businesses to remain relevant, especially since the advent of the Fourth Industrial Revolution (4IR). Hence, leadership development and mine modernisation should be aligned. Organisations, including mining companies, need to keep up with evolving technology automation, and modernisation in general, which subsequently necessitates the upskilling of workers and supervisors (Get Smarter, 2019).
Successful leaders need to exhibit crucial skills such as effective communication, collaboration and commitment. Through effective communication, buy-in can be achieved from a team. A good leader encourages a team to break their silos and work collaboratively towards a common goal. Commitment to one’s beliefs and organisational values is also key to supporting a team and successfully working towards a common goal (Centre for Creative Leadership, 2023).
The key competency for successful leadership is for leaders to guide a process from beginning to end. Leaders need to initiate, strategise, and execute towards a common goal. Good leaders are able to understand the need for change or a process for the desired outcome and can communicate it to their team. Strategising, planning, and defining a plan of action to achieve a goal is critical to achieving successful outcomes. Additionally, the execution of the plan by assigning resources to tasks is of equal importance in achieving a desired common goal (Centre for Creative Leadership, 2023).
Supervisors in mining companies are a crucial link between higher management and the workers (Weule, 2016). They have numerous responsibilities that include problem solving and decision-making, managing people and their performances, achieving production and ensuring safety, communicating, mentoring and coaching, planning and organising. They are also responsible for translating business (and modernisation) requirements to operational behaviours (Weule, 2016). Supervisors may be deemed to be the key drivers of change in mine
modernisation as they are the link between mine management and the mine workers. Supervisors have the responsibility of formulating methodologies to implement change (Berkeley University of California, 2021), and are therefore required to possess the necessary skills, competencies, and qualities.
Supervisory leadership development modules can be addressed through technological innovation and implementation, improving skills, and ultimately improving work conditions, thus reducing exposure to mine health and safety hazards. The socio-economic role of mines can be revisited to ensure broader development of the communities in which they operate (Goodman et al., 2019).
This research study adopted a mixed methods approach. The objectives of the study were achieved by conducting a mini literature review (as summarised in the previous section), data gathering through interviews and surveys, development of the digitised training solution, a pilot study, and review and validation of the digitised training modules through an online exhibition.
Data gathering and digitisation of modules
Data was gathered through the following activities:
➤ A desktop review of an existing supervisory leadership development programme and a subsequent interview with the training provider;
➤ Circulating of survey questionnaires to mining companies;
➤ Conducting a pilot study of the digitised modules;
➤ Hosting of an exhibition and stakeholder validation session.
Each of these data gathering activities are further discussed in the following subsections. Digitisation of two modules was undertaken prior to the pilot study.
Desktop review
Existing ‘as-is’ foundational supervisory leadership development training modules were sourced from a relevant leadership training service provider and were reviewed. Data was gathered through a subsequent interview with the training service provider. The ‘as-is’ review enabled the identification of gaps that should be considered when developing modern training methods. Some of the assessment criteria included the training solution’s applicability to gold and PGM mines, accreditation and certification, and customisability, amongst other criteria.
Mines survey
Survey questionnaires were submitted to five mining companies to assess the training methodologies used and preferred by the mine employees (Table 1). The participants were required to indicate their answers with “often”, “sometimes”, or “never.” Survey responses were received from a total of 25 participants (12 training managers, 12 training facilitators, and 1 trainee).
Pilot study
The pilot study enabled the research team to gain an understanding of the challenges, effects, and impact of implementing the digital learning method aimed at upskilling and reskilling supervisors. The objectives of the pilot study were:
➤ To compare the impacts of traditional classroom-based training to the modernised digitised training solution.
➤ To qualitatively evaluate participant attention, experience, time application, and overall impact on learning based on participant feedback.
Table 1
Survey questionnaire presented to mine employees
1. What commodity is mined by your operation/company? (gold / platinum / multi-commodity).
2. In terms of your role, you are a? (training manager / facilitator or trainer / trainee).
3. Does your company make use of virtual reality (VR) training methodology?
4. Does your company make use of augmented reality (AR) training methodology?
5. Does your company make use of e-learning methodology?
6. Does your company rely on classroom-based learning?
7. Does your company rely on a blended training approach?
8. Does your company do leadership development via digital platforms?
9. Do you prefer to use digital (VR, AR) and classroom-based training as a blended approach?
10. Does your company make use of external providers’ on-line training offerings for senior employees?
11. Would you consider using VR methodology for miners’ training?
12. Would you consider using AR methodology for RDOs’ training?
13. Would you prefer opensource applications be used in the design of digital (AR/VR) training solutions?
14. Does your company do digital literacy skills training for semi-skilled employees?
15. Does your company do digital literacy skills training for skilled employees?
16. Do you think that simulated training, VR or AR training methodologies may not allow for the physical and environmental contexts to be accommodated (e.g., weight of the drill)?
17. Does the IT/systems requirements around digital (VR, AR) training solutions hinder implementation?
18. Is the cost to use a digital (AR,VR) training solution more than the cost to deliver classroom-based learning?
19. Do you think that a digital (VR/AR) training solution offers return on investment to the company?
20. Does your company use VR training methodology for safety training?
21. Does your company use AR training methodology for safety training?
22. Does your company use a blended training methodology for safety training?
23. In your view, do you think that training should be modernised, through implementation of modern training technologies/methodologies?
24. Is integration of the digital (AR/VR) training solution with the existing IT systems on the mine a concern?
25. Is the limited ‘shelf – life/lifespan’ of a sourced VR/AR training solution a concern?
The participants of the pilot study were employees of a multicommodity mining company. The participants were divided into two groups: Group 1 underwent the traditional classroom training and Group 2 underwent the self-paced online digitised learning. The sample size of each group was between 11 and 15. Each group comprised three engineering foremen, two engineering artisans, one engineering manager, two internal trainers, with three observers in Group 1, and seven observers in Group 2. The impacts of the two training methods were observed by the researchers and video recorded. The participants provided feedback before and after the pilot study. The digitised solution was reviewed and revised, based on the outcomes of the pilot study.
Exhibition and validation session
A virtual SATCAP exhibition and stakeholder validation session was held in January 2022 to demonstrate the digitised training solution and solicit feedback. A total of 87 stakeholders attended the exhibition, which included representatives from the MMP, Mining Qualifications Authority (MQA), Mining Equipment Manufacturers of South Africa (MEMSA), Mine Health and Safety Council (MHSC), collaboration partners, unions, consultants, Minerals Council South Africa (MCSA), and mining companies. The exhibition included a panel discussion, a demonstration of the solution, and a portal where the industry could access the relevant
digitised modules and project files. Stakeholders provided inputs and comments for validation of the suggested modules.
Desktop review: An existing supervisory leadership development training solution
The review included an existing programme comprising seven modules that gold and PGM mines currently use. Of the modules listed in the following, the study only digitised the first two training modules:
i. Your role as a management leader (digitised module);
ii. A systems approach to management (digitised module);
iii. Supervisory work of leading;
iv. Supervisory work of planning;
v. Supervisory work of organising;
vi. Supervisory work of controlling; vii. Problem-solving, solution development, and action planning. The results of the ‘as-is’ review is shown in Table 2.
In conjunction with the tabulated findings, the review further advised that the existing solution is effective but could be enhanced with aspects of digitisation to offer a more modern training mode. This digitisation could enable self-learning, support refresher training, and reduce classroom time, thus offering more flexibility. A
Table 2
Results from review of existing training solution
Assessment aspect Finding
Mode of training
Duration of training
Content retention
Applicability to gold and PGM mines
Customisability
Accreditation
Recognition
Other
Traditional classroom-based.
Several days. Could impact on productivity of the core business at mines.
Could be reduced when classroom training ends.
Training has been delivered at various gold and PGM mines.
Training content, examples and case studies are customised to meet client requirements and specific work environments.
NQF level 4 skills programme aligned to six unit standards with 36 credits and is Sector Education and Training Authority (SETA) accredited.
Internationally recognised.
The training offers assessments, personal development, and practical assignments to enable continuous learning and embedment of the skills.
digital training platform could enable the accessibility of content at the mine working environment. The review also revealed that some key modules that support leading and driving modernisation were lacking. Current modules focused on planning, organising, leading, and controlling. The recommendation was that the training solution be supplemented with additional content and hence, informed the design of two additional modules to support supervisors’ development to lead and drive mining modernisation in this study.
The survey results were analysed quantitatively using percentage distributions and response frequency, as shown in Table 3. The results were grouped according to the group of participants based on their designation: training managers, facilitators, and trainees.
The majority of the participants were from PGM mines – 58% training managers and 50% facilitators. Only one participant from the ‘trainees’ group responded to the survey from the ‘trainees’ group, and therefore, the results from this group may not be an accurate representation. This participant belonged to a multicommodity mine. The trainee participant responded to questions 1 to 10 only, as the remainder of the survey questions did not apply to a trainee. The responses received from the training managers and facilitators groups were similar. The fundamental difference between these two groups was the response received to question 3: “Does your company make use of virtual reality (VR) training methodology?” A total of 88% of the training managers responded that they “sometimes” use VR training, while 67% of the facilitators indicated that they “often” use VR training methodologies. The trainee indicated that they have never used VR training.
Based on the overall survey results, it was found that more than 50% of the participants’ companies often use e-learning methodologies. This implies that e-learning or digital learning is not a new concept to supervisors in the mining industry. More than 50% of the participants supported the implementation of modern training methods or elements of modernisation. The results also suggested that blended learning is the preferred approach by the mine employees.
The development process of the two ‘modernised’ digitised training modules entailed the following:
i. The content for the Foundational Supervisory Leadership Programme was supplied by the training provider in a Microsoft PowerPoint format.
ii. The digital training developer created a new storyline for the content for a self-paced learning journey by including step-by-step instructions, character-driven narration, and new mining-related template design and graphics.
iii. The assessments, activities, and knowledge quizzes were customised for the new digitised modules, which enabled a self-paced learning journey.
iv. The digitised modules were piloted to assess the usability, effectiveness, quality, and applicability to the mining industry.
v. Final revisions were made, and user guidelines were created for transfer to the industry.
Most of the current content in the existing solution, which is effective for supervisory leadership development, was included in the digitised modules. Additional content was added, and changes were made to ensure that the solution meets the mining industry's requirements within a modernisation context. The digitised training solution enabled self-paced learning and aimed to enhance the learning experience and ensure a positive impact on knowledge. The methodology used media-rich content that included:
i. Character creation - to enhance diversity and inclusion.
ii. Real-time assessments - to personalise the learning experience.
iii. Gamified tasks - to track learner input.
iv. Motion graphics, video and voiceovers - for improved understanding.
Additional content (including the characters and storyline) in the digitised modules accounted for approximately 25% – 30% of the enhancements made to the ‘as-is’ solution. An example of the content ‘before’, versus the ‘after’ digitisation, is shown in Figure 1 and Figure 2, respectively.
Some of the pilot study's findings corresponded with those from the review of the existing solution. The pilot study revealed that the duration of classroom training may pose an issue for mines, due
Table 3
Summary of mines survey results
Designator Percentage distribution of participants per commodity
Training managers

Facilitators/Trainers

Trainee

to loss of time spent on the core business. Furthermore, learning retention may be minimised when the classroom training ends, resulting in a lack of application at the workplace.
The digitised training method created an efficient and engaging learning experience that enabled self-paced learning and offered ease of access to supervisors. A downside pointed out by participants, was that they missed the face-to-face interaction with a facilitator and other participants. The use of technology also posed a challenge to some of the older participants, who were not as proficient in using technology as younger participants. Traditional classroom training and the new digitised online learning solution offer advantages for supervisory leadership development.
The advantages and disadvantages of the digitised solution, as revealed by the pilot study, are presented in Table 4.
Reviews and validation: Demonstration of digitised modules
The two digitised modules were demonstrated at the stakeholder validation session to solicit industry inputs. The industry
Survey results



participants reviewed the modules, and comments were received. The demonstration and exhibition of the training modules showcased the following:
i. The training context is showcased through an overview video.
ii. Project aim, objectives, and methodology.
iii. Key observations on the current realities within the mining industry.
iv. Importance of supervisory leadership development.
v. The supervisory leadership development modules and topics.
vi. Learning methods to be used in the digitised solution.
vii. The ‘look and feel’ of the digitised modules showcased through a demo video.
viii. Delivery options include self-paced learning and blended learning solutions.
Input obtained from the stakeholders included aspects relating to transfer to industry and customisability of the modules.
A mindset shift is necessary when an individual assumes a supervisory role. The realisation that my success is no longer depended on my individual efforts, but on the collective efforts of others. This sets in motion the journal towards becoming an enabler rather than a executor (doer).
Individual contributors achieve results through their own efforts

Supervisors/managers achieve results through and with others
EXECUTIVE
SUPERVISOR MANAGER
INDIVIDUAL CONTRIBUTOR

Table 4
MOVING FROM AN EXECUTOR TO AN ENABLER
An EXECUTOR is someone responsible for executing or following through on an assigned task or duty
An ENABLER is a person or thing that makes something possible
As self-led team members, our role is to execute our duties, BUT when we have the responsibility of leading OTHERS, we are no longer executing... We are now ENABLING others to perform well.
Advantages and disadvantages of the digitised solution
Advantages
Efficient – saves time
Engaging learning experience
Enabled self-pace learning
LEADERS ACHIEVING RESULTS THROUGH AND WITH OTHERS
INDIVIDUAL CONTRIBUTOR MANAGER
i i i i i
Disadvantages
Lack of face-to-face interaction with facilitator and other participants.
Technological challenges (for older participants and those not proficient in the use of technology).
The strength of Wi-Fi, the learning management system (LMS), or hardware used may be limiting factors if not set up for specific working environments.
Ease of access to supervisors –
Offers new opportunities such as self-reflection that could enhance the learning experience –
Transfer to industry: Training products
The outputs transferred to the industry included:
i. Two digitised training modules;
ii. Training slides;
iii. A facilitator guide;
iv. Training videos;
v. A final report;
vi. Access to the above items is available through the MMP website.
The two digitised modules provide an introduction and the basic principles for supervisors to lead and drive mining
modernisation. The modules are generic and not specific to a particular mine. They can be used by multi-commodity mines, including gold and PGM, as ‘stand-alone’ modules. They are customisable (through consultation with relevant service providers) for specific working environments and the level of learners. These modules showcased the art of possibility and were not meant to replace an entire leadership training programme for supervisors.
Three of the seven modules were digitised, two of which were made available to the industry, which were:
i. Module 1 – Your role in mining modernisation.
ii. Module 2 – A system’s approach.
The details pertaining to the two modules are presented in Table 5 and Table 6.
An example of the digitised module content is shown in Figure 3.
The training pack offered is in Microsoft PowerPoint format and can be used by the facilitator in the classroom in conjunction with the Facilitator Guide. The Facilitator Guide assists with the preparation and facilitation of the programme. It includes additional content, explanations, and timing guidelines to help the facilitator during the programme. The two training videos were a user guide to assist with navigating the digital modules and a video of the training provider’s facilitator facilitating Module 1 of the ‘asis’ programme.
Conclusion and recommendations
Based on the research findings, traditional classroom training and the new digitised online learning solution offer advantages for supervisory leadership development. Digital learning is not a new concept for supervisors at mines and modern training methods are well-supported by supervisors in the industry. A ‘modernised’ training solution may consider a ‘blended’ learning approach that
Table 5
Module 1 (‘Your role in modernisation’) sections and topics
Secrtion 1
Section 2
The concept of leadership Becoming an effective leader
The definition of leadership A leader’s role in a team.
combines traditional training with digital methods. The mine’s transition to modern training methods will be informed by their needs, specific contexts, modernisation strategy, and stakeholder inclusion. For customisation of the digital modules, reputable and accredited training providers may be consulted for further guidance.
The authors would like to thank the Mandela Mining Precinct for funding this project through the Minerals Council South Africa and the Department of Science, Technology and Innovation. We want to extend immense gratitude to Dr Sherin Ramparsad, Successful Application of Technologies Centred Around People Programme Manager, for her guidance, and the Successful Application of Technologies Centred Around People interns for conducting the mine surveys. We also thank the collaboration partners: WinWin Consulting International for developing the digital solution, Louis Allen for their contributions to development, pilot testing, and validation, and Chanel Ramluckan (HDSA student) for her contribution to the literature review. Finally, we are grateful to the mining industry, stakeholders, and individuals who participated in this project at all levels.
Section 3
Self-awareness: key to effective leadership
Section 4
The importance of effective leadership
The importance of self-awareness. Mining modernisation – a case for change.
Moving from executor to enabler Team development stages. How you view others. Supervisors as a driver for change.
A leader’s sphere of influence
Effective leadership
Leadership behaviours.
How we develop into effective leaders.
Table 6
Module 2 (‘A system’s approach’) sections and topics
Section 1
System approach
Systems thinking
Input-throughput-output process
The importance of diversity and inclusion.
Section 2
The management system of the existing solution.
The needs, results, and work model.
Understanding stakeholder needs.
Classification of results.
Classification of work.
The management gap.
The management wheel.
Applying the management system.


“THE ROLE OF A LEADER IS NOT TO COME UP WITH ALL THE GREAT IDEAS, THE ROLE OF A LEADER IS TO CREATE AN ENVIRONMENT IN WHICH

References
Auret, M., Khan, S., Woolmington, S., Matsaung, T., Motsoari, G., De Kock, N., Ramluckan, C. 2022. Final Report - Foundational Supervisory Leadership Development Training. Johannesburg: Mandela Mining Precinct.
Berkeley University of California. 2021. Berkeley People and Culture Retrieved October 5, 2021. https://hr.berkeley.edu/node/3818
Centre for Creative Leadership. 2023. How to Be a Successful Change Leader. Retrieved November 10, 2023. https://www. ccl.org/articles/leading-effectively-articles/successful-changeleader/
Get Smarter. 2019. The importance of developing leadership skills in an ever-changing workplace, February 27. Retrieved October 4, 2021, from Get Smarter: https://www.getsmarter.com/ blog/employee-development/the-importance-of-developingleadership-skills-in-an-ever-changing-workplace/
Goodman, S., Rajagopaul, A., Cassim, Z. 2019 Putting the shine back into South African mining - A path to competitiveness and growth, February 2019. Johannesburg: McKinsey & Company.
Weule, D. 2016. Shift Handover Excellence - The overlooked key to safety and production performance. Australia. u
25-26 June 2025 — 4TH Digital Transformation in Mining Conference 2025
Putting digital technologies to work
Glenburn Lodge and Spa, Muldersdrift
Contact: Gugu Charlie
Tel: 011 538-0238
E-mail: gugu@saimm.co.za
Website: http://www.saimm.co.za
21-25 July 2025 — AfriRock 2025
Pioneering Progress: The Future of Rock Engineering
Sun City, South Africa
Contact: Gugu Charlie Tel: 011 538-0238
E-mail: gugu@saimm.co.za
Website: http://www.saimm.co.za
18-19 August 2025 — 13TH International Heavy Minerals Conference 2025
Sun City Resort, Rustenburg, South Africa
Contact: Gugu Charlie Tel: 011 538-0238
E-mail: gugu@saimm.co.za
Website: http://www.saimm.co.za
1-3 October 2025 — International Mineral Asset Valuation Conference 2025
Navigating Mineral Asset Valuations in an Uncertain Future
The Maslow Hotel, Sandton
Contact: Gugu Charlie Tel: 011 538-0238
E-mail: gugu@saimm.co.za
Website: http://www.saimm.co.za
13-16 October 2025 — Geometallurgy Conference 2025 Future-Ready Geometallurgy: Trusted Data, Advanced Tools, Smarter Decisions
Glenburn Lodge and Spa, Muldersdrift
Contact: Gugu Charlie Tel: 011 538-0238
E-mail: gugu@saimm.co.za
Website: http://www.saimm.co.za
21 October 2025 — 21ST Annual Student Colloquium 2025
Adapting the African Mining industry to changing global trends to ensure long term sustainability. Mintek, Randburg, Johannesburg
Contact: Gugu Charlie Tel: 011 538-0238
E-mail: gugu@saimm.co.za
Website: http://www.saimm.co.za
27-29 October 2025 — 9TH International PGM Conference 2025
PGM - Enabling a cleaner world
Sun City, Rustenburg, South Africa
Contact: Gugu Charlie Tel: 011 538-0238
E-mail: gugu@saimm.co.za
Website: http://www.saimm.co.za
30-31 October 2025 — 8TH Young Professionals Conference 2025
Mintek, Randburg, Johannesburg
Contact: Gugu Charlie
Tel: 011 538-0238
E-mail: gugu@saimm.co.za
Website: http://www.saimm.co.za
16-22 November 2025 — The 12TH International Copper Conference (Copper 2025)
Phoenix, Arizona, USA
Website: https://www.extractionmeeting.org/ Extraction2025/Extraction2025/Copper2025/default.aspx
19-21 November 2025 — MineSafe Hybrid Conference 2025
Safe Mines, Healthy Lives, and Sustainable Futures
Emperors Palace Convention Centre
Contact: Camielah Jardine
Tel: 011 538-0237
E-mail: camielah@saimm.co.za
Website: http://www.saimm.co.za
3-4 March 2026 — Tailings 2026—Where to Now?
Indaba Hotel, Spa and Conference Centre, Fourways
Contact: Gugu Charlie
Tel: 011 538-0238
E-mail: gugu@saimm.co.za
Website: http://www.saimm.co.za
26-28 May 2026 — SAIMM Pyrometallurgy International Conference 2026
CSIR International Convention Centre, South Africa
Contact: Gugu Charlie Tel: 011 538-0238
E-mail: gugu@saimm.co.za
Website: http://www.saimm.co.za
19-20 August 2026 — SAIMM Uranium Conference 2026
Swakopmund Hotel and Entertainment Centre, Swakopmund, Namibia
Contact: Gugu Charlie
Tel: 011 538-0238
E-mail: gugu@saimm.co.za
Website: http://www.saimm.co.za
24-25 June 2026 — Mine-Impacted Water Conference 2026
Mintek, Randburg, Johannesburg
Contact: Gugu Charlie
Tel: 011 538-0238
E-mail: gugu@saimm.co.za
Website: http://www.saimm.co.za
22-25 September 2026 — XIX International Society for Mine Surveying Congress 2026
Century City, Cape Town
Contact: Gugu Charlie
Tel: 011 538-0238
E-mail: gugu@saimm.co.za
Website: http://www.saimm.co.za
18-22 October 2026 — XXXII International Mineral Processing Congress 2026
Cape Town, South Africa
Contact: Gugu Charlie
Tel: 011 538-0238
E-mail: gugu@saimm.co.za
Website: http://www.saimm.co.za
The following organizations have been admitted to the Institute as Company Affiliates
acQuire Technology Solutions
AECI Mining Chemicals, a division of AECI Mining Ltd
African Pegmatite
Allied Furnace Consultants
AMIRA International Africa (Pty) Ltd
Anglogold Ashanti Ltd
Anton Paar Southern Africa
Arcus Gibb (Pty) Ltd
Becker Mining (Pty) Ltd
Bluhm Burton Engineering Pty Ltd
Buraaq Mining Services (Pty) Ltd
Caledonia Mining South Africa
Carbocraft (Pty) Ltd
Castle Lead Works
CIGroup ACE Pty Ltd
DDP Specialty Products South Africa (Pty) Ltd
De-Tect Unit Inspection (Pty) Ltd
Digby Wells and Associates
EHL Consulting Engineers (Pty) Ltd
Elbroc Mining Products (Pty) Ltd
Epiroc South Africa (Pty) Ltd
Ex Mente Technologies (Pty) Ltd
Exxaro Resources Limited
FLSmidth Minerals (Pty) Ltd
G H H Mining Machines (Pty) Ltd
Geobrugg Southern Africa (Pty) Ltd
Glencore
Gravitas Minerals (Pty) Ltd
Hatch (Pty) Ltd
Herrenknecht AG
Impala Platinum Holdings Limited
IMS Engineering (Pty) Ltd
Ingwenya Mineral Processing
Ivanhoe Mines SA
Malvern Panalytical (Pty) Ltd
Maptek (Pty) Ltd
Mech-Industries (Pty) Ltd
Micromine Africa (Pty) Ltd
Minearc South Africa (Pty) Ltd
Minerals Council of South Africa
MineRP Holding (Pty) Ltd
Mining Projection Concepts (Pty) Ltd
Mintek
MLB Investments CC
Modular Mining Systems Africa (Pty) Ltd
Murray & Roberts Cementation (Pty) Ltd
Paterson & Cooke Consulting Engineers (Pty) Ltd
Pump and Abrasion Technologies (PTY) Ltd
Redpath Mining (South Africa) (Pty) Ltd
Rosond (Pty) Ltd
Roytec Global (Pty) Ltd
Rustenburg Platinum Mines Limited - Union
Salene Mining (Pty) Ltd
Schauenburg (Pty) Ltd
Sebotka (Pty) Ltd
SENET (Pty) Ltd
Sibanye Gold Limited
Sound Mining Solution (Pty) Ltd
SRK Consulting SA (Pty) Ltd
StageFright Edutainment
Tomra (Pty) Ltd
Trans-Caledon Tunnel Authority
Ukwazi Mining Solutions (Pty) Ltd
VBKOM Consulting Engineers
Weir Minerals Africa
ZUTARI (Pty) Ltd

VENUE: CENTURY CITY, CAPE TOWN
22-24 SEPTEMBER 2026 – CONFERENCE
25 SEPTEMBER 2026 – TECHNICAL VISITS
Hosted by Institute of Mine Surveyors of Southern Africa and the International Society of Mine Surveying.


The International Society of Mine Surveyors (ISM) holds its congress every three years, uniting global mine surveying professionals. South Africa will host the XIX ISM Congress in 2026 in Cape Town, focusing on all aspects of mine surveying.
A specialised field within mining science, mine surveying involves measurements, calculations, and mapping throughout the mining lifecycle, including:
• Planning and controlling mine operations for safety and efficiency.
• Evaluating mineral reserves and economic viability.
• Managing mineral rights and mining cartography.
• Assessing mining impacts on land and geology.
• Supporting environmental and rehabilitation efforts.
The 2026 Congress will showcase ISM’s six commissions and feature key topics such as:
• Mineral & Geology Studies – Understanding deposit structure and characteristics.
• Resource Assessment & Economics – Evaluating reserves and feasibility.
• Mineral Property Management – Handling acquisitions, sales, and leases.
• Mine Operations – Optimising planning and control.
• Rock & Ground Movements – Studying subsidence and mitigation.
• Environmental Rehabilitation – Ensuring responsible land restoration.
This global event will foster collaboration, innovation, and knowledge sharing, advancing the mine surveying profession.
ECSA Validated CPD Activity, Credits = 0.1 points per hour attended.SAGC Validated Activity.
Gugu
Charlie, Conference coordinator
FOR FURTHER INFORMATION, CONTACT: E-mail: gugu@saimm.co.za Tel: +27 11 538 0238, Web: www.saimm.co.za
MARCH 2026 CONFERENCE
3-4 MARCH 2026 – CONFERENCE | 5 MARCH 2026 – TECHNICAL VISIT
Indaba Hotel, Spa and Conference Centre, Fourways
ECSA and SACNASP Accredited

Supported by SAIEG In partnership with MMMA and SAICE



The SAIMM is proud to announce its upcoming 2026 conference on Tailings. Since the inaugural event, which raised the profile of tailings management and fostered collaboration among industry stakeholders, and the subsequent conference that focused on embracing the Global Industry Standard on Tailings Management (GISTM), the field has seen significant progress. We’ve deepened our understanding of GISTM requirements, advanced geotechnical knowledge of tailings dams, engaged more stakeholders, and made strides toward improved safety through GISTM compliance.
However, despite these achievements, tailings dam failures persist, signalling that there is still much work to be done and lessons to learn. As we look to the future, the 2026 conference will ask: Where to now? In a world of new standards, evolving expectations, and emerging possibilities, what opportunities lie ahead? What residual risks need addressing? How can we further reduce, reclaim, or reuse tailings? How can we accelerate the adoption of new technologies and set a new benchmark for the industry? What impacts, once considered acceptable, are no longer tolerable, and how can we best manage them?
Join us in 2026 to explore these critical questions and engage in meaningful discussions with key role players in the tailings industry.
For further information contact:
Gugu Charlie, Conferences and Events Co-ordinator E-mail: gugu@saimm.co.za | Tel: +27

