RotoWorld 4, 2022

Page 55

Children Sleep Better

WHAT CAN ROTATIONAL MOULDING LEARN FROM THE IMPACT ROBOTICS IS HAVING IN MANUFACTURING?

Mark P. McCourt, Alex J. Pritchard, Mark P. Kearns, Hangtian Zhou, and Peter J. Martin

CREEP STUDIES ON ROTOMOULDED MATERIALS

Pozhil S.N., Sachin D. Waigaonkar, and Vikas V. Chaudhari

How
Conversion of the
Bed to Plastics is Helping
George Bailey, President zPods
zPod’s
Capsule
Autistic
The only booster your company needs. 623.551.9897 Powder King LLC • 4178 N Vision Way, Units 120-225 Bldg. 2 • Anthem AZ 85086 • www.powder-king.com sales@powder-king.com

CONTENTS

FEATURES

COVER STORY

30

How zPod’s Conversion of the Capsule Bed to Plastics is Helping Autistic Children Sleep Better George Bailey, President zPods

A team of entrepreneurs and plastics experts rallies around the special needs community.

27

What can Rotational Moulding Learn from the Impact Robotics is having in Manufacturing?

Mark P. McCourt, Alex J. Pritchard, Mark P. Kearns, Hangtian Zhou, and Peter J. Martin

Polymer Processing Research Centre, School of Mechanical & Aerospace Engineering, Queen’s University, Belfast, Northern Ireland

By 2025, the time spent on current tasks at work by humans and machines will be equal.

50

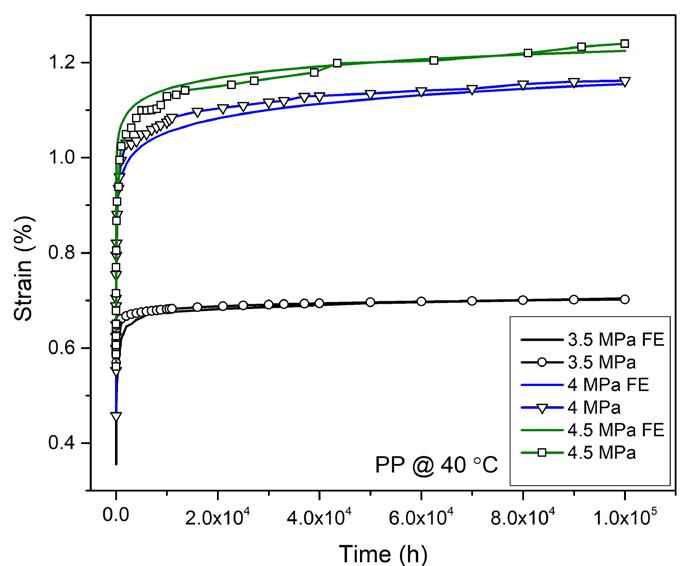
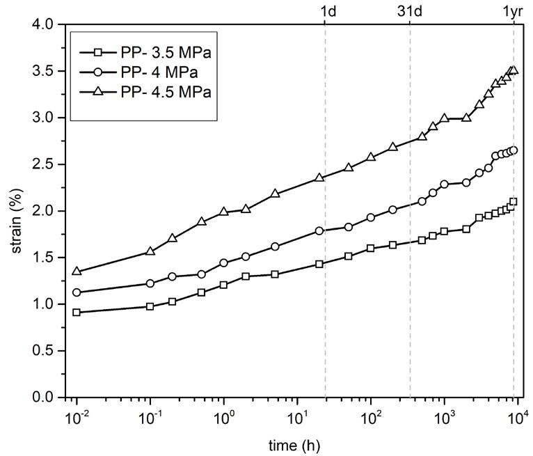
Creep Studies on Rotomoulded Materials

Pozhil S.N., Sachin D. Waigonkar, and Vikas V. Chaudhari Department of Mechanical Engineering, BITS-Pilani KK Birla Goa Campus, Goa, India

Presenting a comparative analysis of the creep behaviour of PP with two commercially used hexene (C6) and butene (C4) grades of LLDPE to understand the long-term performance of products made out of these materials.

4 ROTOWORLD® ISSUE 4 • 2022
www.rotoworldmag.com 5 RotoSpeed Advantages www.ferryindustries.com • sales@ferryindustries.com Ph: +1.330.920.9200 • Fx: +1.330.920.4200 • 4445 Allen Rd, Stow, OH 44224 USA © 2022 Ferry Industries, Inc Carousels 24 Models Rocking Ovens 5 Models Work Platforms Fixed & Moving Mixers 11 Models Dispensing Systems In-Line Shuttles 10+ Models In-Stock Machines ➲ Proven Performance ➲ Lowest Cost of Ownership ➲ Highest Productivity, Durability ➲ Remote Ethernet Machine Suppor t ➲ Automated Systems & Solutions ➲ Global Sales & Full-Service Suppor t Team ➲ Over 1,400 Machines in Over 60 Countries ➲ Engineering, Manufacturing & Suppor t from the U.S.A. ➲ Energy-Smar t Machines, Fastest Oven Temp Recover y ➲ Leader in Process Control Systems; RotoCure , IRT & RotoLog ➲ Carousel Mold Swing Areas to 239” (6m) & Arm Weight Capacities to 12,000 lbs (5443 kg) When Performance Counts...

CONTENTS

DEPARTMENTS

8 From the Publisher

Susan Gibson, JSJ Productions, Inc.

Designing to Meet the Needs of Children with Autism and other Special Needs

12 Global Contributing Editors

Global Contributors, Department Contributors, and Issue Contributors

16 Upfront

Industry News, Trends, and Products

36 Leadership

Kim Harrison, Cutting Edge PR Stakeholder feedback is crucial for setting direction

40 Graphically Speaking

Jim Crawshaw, PSI

Branding with Graphics - Design Guide (Section 2)

42 Roto Around the World

Ian Hansen, RotaConsult

FORTLEV – a Rotomoulding giant - 100% Brazilian

45 At Issue

Martin Coles, Matrix Polymers

Automation and Improving Working Conditions for Production Operators – Can We Afford Not To Do It?

46 ARM Report

ARM 2022 Annual Meeting in Atlanta

55 Design Comment

Michael Paloian, Integrated Design Systems, Inc.

Great Design: The Key to Making BIG BUCKS

56 ARMO News

ARMA | ARM-CE | ARMSA | BPF | IT-RO | NORDIC ARM | StAR

ARMA visits the Roto Industry

60 Global Calendar

62

6 ROTOWORLD® ISSUE 4 • 2022
Advertisers’ Index

FROM THE PUBLISHER

Designing to Meet the Needs of Children with Autism and other Special Needs

The prevalence of autism spectrum disorder (ASD) in the United States has risen steadily since researchers first began tracking it in 2000. Some say the rise in this rate has sparked fears of an autism epidemic. But experts say the bulk of the increase stems from a growing awareness of autism and changes to the condition’s diagnostic criteria. Globally, it is estimated that 1 out of every 100 people are diagnosed with ASD.

According to the Centers for Disease Control and Prevention (CDC), about 1% of the world’s population has been diagnosed with autism – that is over 75,000,000 people. This may seem like a large number, and it is, but autism spectrum disorder features a wide range of symptoms and levels of severity. However, among many if not most, children diagnosed with autism also suffer sensory processing issues. This spectrum of issues can present enormous challenges for the children affected, as well as for the parents caring for them. One of these issues is the inability to sleep through the night. Many parents of children with autism report their child rarely sleeps through the night, and consequently neither do they. The new zPods bed featured inside addresses the issue of children with special needs being unable to get a good night’s sleep.

It has been my pleasure to follow the development of this very exciting and beneficial product for the autism and special needs community. The zPods concept was started by a group of people, some with children diagnosed with autism, and some just very aware of the challenges of the special needs community. zPods are a rotomolded and fully enclosed capsule bed intended to bring comfort, a sense of security, and address a myriad of sensory processing issues allowing a child to get a good night’s sleep and function at their best. It is exciting to see the success stories already stacking up and sleeping issues for these children being resolved. This is an important product for the special needs market, and I want to congratulate George and his partners for this exciting and worthwhile product.

While the issue of autism is close to home for me, I realize that many in our industry are affected in one way or another with similar situations. Several of you have discussed with me the importance of hiring people with disabilities to work in your companies and even getting them involved in product development as often they can share important insights to help achieve greater product success stories. I hope to provide more of these types of success stories developed through rotational molding in the future. If you have one such story, please reach out to me!

As we enter the fall season and get back to meeting in person on a regular basis, it is exciting to see what products are being developed and coming to market in our industry.

I hope you enjoy this issue!

Sincerely,

8 ROTOWORLD® ISSUE 4 • 2022

Hitting the Mark When

Counts

Throughout a fluctuating economy, Jerico has maintained our high standards while adding a third manufacturing facility to better serve you! With resilience, ingenuity, and resolve, we developed new sustainable compounds, and adhesion compounds—then blended vibrant

creative & strategic sourcing

into both to emphasize their

continue to focus on hitting the mark through

improvements and the pursuit of excellence in all aspects of our business!

www.rotoworldmag.com 9
Customized Scheduling FLEXIBILITY COMMITMENT
It
colors
versatility. We
continuous
info@jericoplastic.com Proudly Supporting the Association of Rotational Molders! Family-Owned and Operated Since 1997 Committed to Excellence in Rotational Molding Phone (330) 334-5244 Fax (330) 334-9123 JericoPlastic.com info@jericoplastic.com

Publisher & Editor

Susan D. Gibson President - JSJ Productions, Inc. susan@jsjproductionsinc.com

Technical Editor

Alvin Spence PhD MEng aspence@centroinc.com

Process Editor

Paul Nugent PhD MEng paul@paulnugent.com

Design Editor

Michael Paloian President - Integrated Design Systems, Inc. paloian@idsys.com

Global Contributing Editors

Celal Beysel Chairman - Floteks Plastik beysel@superonline.com

Martin Coles Matrix Polymers martin.coles@matrixpolymers.com

Adam Covington Ferry Industries acovington@ferryindustries.com

Mark Kearns Moulding Research Manager m.kearns@qub.ac.uk

Ravi Mehra Managing Director - Norstar International LLC maramehra@aol.com

Advertising and Art Production

Marketing/Advertising Director Jennifer Gibson Hebert Vice President, JSJ Productions, Inc. jennifer@jsjproductionsinc.com

Chief Art Director Anya Wilcox JSJ Productions, Inc. awilcox@designintersection.com

Circulation & Distribution Administration

Sheryl Bjorn JSJ Productions, Inc. sheryl@jsjproductionsinc.com

Editing & Translations

Suzanne Ketron | Oliver Wandres | Sheryl Bjorn

Website & Online Technology

Jason Cooper JSJ Productions, Inc. jason@bound.by

RotoWorld ® is a JSJ Productions, Inc. Trade Publication JSJ Productions, Inc. 625 West Market Street, Salinas, CA 93901 Phone: (512) 894.4106; Fax (512) 858.0486

Email: rotoworldmag@rotoworldmag.com and Website: www.rotoworldmag.com

Subscriptions One-year subscription (six issues), print or digital, $60 US, $90 Canada/Mexico, $135 All Other Countries.

To subscribe or to submit change of address information, call us at (512) 894.4106; fax us at (512) 858.0486; visit us online at www.rotoworldmag.com; or email us at sheryl@jsjproductionsinc.com.

You may also write to RotoWorld ® Subscriptions, JSJ Productions, Inc., 625 West Market Street, Salinas, CA 93901

Advertising For information on advertising, please contact Advertising Director Jennifer Gibson Hebert, JSJ Productions, Inc.

Email Jennifer Gibson at jennifer@jsjproductionsinc.com

Letters We welcome letters about our contents. Write Letters to the Editor, JSJ Productions, Inc., 625 West Market Street, Salinas, CA 93901 512.894.4106 phone 512.858.0486 fax, or Email susan@jsjproductionsinc.com.

Editorial Queries We consider unsolicited contributions. Send manuscript submissions as email attachment to Susan Gibson at susan@jsjproductionsinc.com.

JSJ Productions, Inc. bears no responsibility for claim or factual data represented in contributed articles.

Postmaster Send changes of address to RotoWorld®, JSJ Productions, Inc., 625 West Market Street, Salinas, CA 93901 RotoWorld® is a JSJ Productions, Inc. independently owned, bi-monthly trade magazine for the international rotational molding and plastics design industries. JSJ Productions, Inc. owns all copyrights on articles published herein unless ownership is otherwise stated. Reproduction of this magazine, in whole or in part, without the express written permission of the publisher is not permitted.

10 ROTOWORLD® ISSUE 4 • 2022
Exper ts In Rotomoulding Materials To lear n more about our products & material solutions get in touch at sales@matrixpolymers.com matrixpolymers.com • Polyethylene Granules UK | Poland | Australia | New Zealand | Malaysia & Powders • Ancillary Products • Polypropylene Granules & Powders • Polyamide Powders • Crosslink Polyethylene • Dedicated Technical Services S upport Team • Multi-lingual Customer Service • 5 P roduction Sites across 3 Continents Global supplier of raw materials to the rotational moulding industry

CONTRIBUTING

EDITORS

Paul Nugent

Paul is a consultant who travels extensively across six continents assisting clients in many roles from training to expert witnessing.

He received his Eng. degree in Aeronautical Engineering and Ph.D. in Mechanical Engineering from Queen’s University of Belfast. Paul developed the Rotolog system, the first complete computer simulation (RotoSim), and authored a book entitled Rotational Molding: A Practical Guide paul@paulnugent.com

CONTRIBUTING EDITOR

Celal Beysel

Celal is Chairman of Floteks Plastik, the pioneer and innovative leader of the rotational molding industry in Turkey and a Global Contributing Editor for RotoWorld® magazine. Being an ARM member for more than 20 years, he has made many presentations at ARM meetings in various countries. He is also active in business and political organizations in his country. Celal has authored numerous articles published in various newspapers and magazines about politics, plastics, rotomolding, and innovation. beysel@superonline.com

Alvin Spence

Alvin Spence is Vice President Engineering at Centro, Inc., North Liberty, Iowa. He provides leadership for Centro’s product development team and quality resources. Alvin received his Bachelor’s degree in Mechanical & Industrial Engineering and PhD from Queen’s University Belfast. aspence@centroinc.com

Michael Paloian

Michael is President of Integrated Design Systems, Inc., Great Neck, New York. Over the past 25 years, Mike has developed a broad range of plastic products utilizing various processing methods including rotational molding. Mike’s B.S. degree in Plastics Engineering and Masters in Industrial Design, combined with his extensive experience, has formed the basis for his branded and unique insights into the field of plastics part design. paloian@idsys.com

Martin Coles

Martin Coles, CEO of Matrix Polymers co-founded the business 30 years ago and is the company’s largest shareholder. Shortly after graduating from London University, he began his career in the plastics industry working for a major Italian petrochemical and soon became passionate about the unique world of rotomoulding. Matrix Polymers are experts in rotomoulding materials and have become a global supplier with compounding and grinding plants in the UK, Poland, Australia, New Zealand, and Malaysia. The company sells more than $150 million of rotomoulding materials each year and has 230 employees. martin.coles@matrixpolymers.com

PROCESS EDITOR DESIGN EDITOR CONTRIBUTING EDITOR TECHNICAL EDITOR Roelf van der Wijk
12 ROTOWORLD® ISSUE 4 • 2022 VOLUME XVII, ISSUE 2022 performance innovate with confidence leading Accomplish support and expert MATTER WWW.ROTOWORLDMAG .COM AN INVESTIGATION INTO ROTATIONAL MOULDING RECYCLING OF POLYETHYLENE USING RECYCLATE Sibele Piedade Cestari, Queen’s University Belfast 2021 ROTOPLAS & ARM FALL MEETING Susan Gibson, JSJ Productions, Inc. EMPATHY IS THE MOST IMPORTANT LEADERSHIP SKILL ACCORDING TO RESEARCH Tracy Brower, Contributor Forbes Fast Co. Street Delivering proven performance you can innovate with confidence olding ap begin qu lity dependability olyethylene supply. day nd innovations that help leading rotomolders omplex designs reality. Accomplish with PRINTED MATTER AUSTIN, TX ROTOWORLD MANUFACTURING DRU LAWS & TOM MURDOUGH INDUCTED INTO THE ARM HALL OF FAME Delivering proven performance so you can innovate with confidence olding begin lity dependability olyethylene resin supply. Start day with roducts nd that help leading rotomolders technology PRINTED MATTER PRIORITY MAIL WWW.ROTOWORLDMAG .COM VOLUME XVIII, ISSUE 2022 STAR ROTOCON’22 CONTINUED SUCCESS S.B. Zaman, StAR Executive Director
Salinas, CA 93901 USA Delivering proven performance so you can innovate with confidence help leading bring omplex designs reality. Accomplish eliable upply etwork, responsive sales support and expert technology MATTER ROTOWORLD PRODUCTS THE POLYAMIDE PRESENCE, FROM TRADITIONAL FUEL TANKS TO HYDROGEN STORAGE A look at the present and into the future VOLUME XVIII, ISSUE 2022

CONTRIBUTING EDITORS

Adam Covington

Adam Covington is President of Ferry Industries, Inc. in Akron, Ohio

U.S.A. Covington has been with Ferry Industries for over 11 years, advanced through the manufacturing, engineering, sales, and service positions within the company and was appointed President in 2019. Adam strives to find solutions for customer’s needs and advance machine technology for the rotomolding industry. He is a graduate of Ohio University’s Russ College of Engineering and Technology with a Bachelor’s degree in Industrial Technology. acovington@ferryindustries.com

Mark Kearns

Mark Kearns is the Rotational Moulding Research Manager of the Polymer Processing Research Centre at Queen’s University of Belfast. He is a Chartered Chemical Engineer with a M. Phil Degree in Rotational Moulding. Mark manages rotational moulding research and development projects for companies across Europe, Australasia, and North America. M.Kearns@qub.ac.uk

Rob Miller

Rob Miller is Owner/President, Wittmann Battenfeld Canada Inc. Rotoload. Rob started in the plastics pneumatic conveying industry in 1986. He has spent his entire career developing, engineering, and designing all types of catalog, standard, and custom pneumatic conveying systems for the plastics industry. He started in the rotational molding industry in 2013, has enjoyed learning the idiosyncrasies of the industry and market, and most of all meeting the people and building relationships for the future. Rob.Miller@wittmann-group.ca

Ravi Mehra

Ravi Mehra has been associated with the rotational molding industry since the early 1970’s. He is a Past President of ARM – Association of Rotational Molders, and has been inducted into the ARM Hall of Fame. He is the Founding Chairman of StAR – the rotational moulding Trade Association of India. He was the Chairman of ARMO – Affiliation of Rotational Moulding Organizations from 2012 to 2014. Ravi consults internationally with companies in the rotational moulding arena to help their global strategy, facilitate technology tie-ups, and business alliances. maramehra@aol.com

Ian Hansen

Ian Hansen has over 30 years of experience in the rotational moulding industry and has presented to conferences around the world on the subject of quality, safety, and tank design standards. Rotomoulders around the globe have problems from time to time. Rota Consult delivers production solutions so rotomoulders can improve productivity and profitability, without wasting more of their valuable time. ianhansenconsult@gmail.com, www.ianhansenconsult.com

Jim Crawshaw

Jim is the General Manager of PSI Brand, the permanent graphics for plastics division of their family business, Polymer Systems International in New Zealand. Starting out as an engineer and rotomoulding operator, the past 20 years has involved leading a team, developing graphic systems to service global brands, and assisting rotomoulders decorate their plastic products to deliver long-lasting brand experiences. jim@psibrand.com

CONTRIBUTING EDITOR CONTRIBUTING EDITOR CONTRIBUTING EDITOR DEPARTMENT EDITOR DEPARTMENT EDITOR DEPARTMENT EDITOR
www.rotoworldmag.com 13

ISSUE CONTRIBUTING EDITORS

Vikas Chaudhari

Dr. Vikas Chaudhari is working as Assistant Professor in the Mechanical Engineering Department at BITS Pilani, K K Birla Goa Campus. He has over 18 years of teaching experience. His research areas are Fracture Mechanics & Material Testing and Characterization (Metals, Polymers, Polymeric Composites, and 3-D Printed Plastics). He has received grants from Goa State Biodiversity Board (GSBB), John Deere (Pune), and Indian Space Research Organization (ISRO) for the projects related with material development and material characterization. Presently he is Chairman of The Indian Institute of Metals (IIM) Goa Chapter (from Nov-2021). He is a life time member of Indian Society for Technical Education (ISTE). vikas@goa.bits-pilani.ac.in

Sachin Waigaonkar

Dr. Sachin Waigaonkar is working as Associate Professor in Department of Mechanical Engineering at BITS Pilani K K Birla Goa Campus. He has over 22 years of teaching experience. His key research areas include Rotational Moulding of Plastics, Structure-PropertyProcessibility studies on Polymeric materials, Fiber Reinforced Composites (FRPs), and Analysis of Material Processing Techniques. He is closely working with StAR and has established the Rotational Moulding Center for Education and Research (RMCER), which is joint venture between BITS and StAR. He has been actively involved with the Rotational Moulding Industry addressing different aspects of Rotational Moulding Process and Products. sdw@goa.bits-pilani.ac.inc

Peter Martin

Dr. Peter Martin is a Reader in Advanced Materials, a Chartered Engineer, and a Fellow of the Institution of Mechanical Engineers. He is Director of the Polymer Processing Research Centre at Queen’s University, Belfast. To date he has supervised more than 30 PhD students in polymer processing and he has published around 200 research papers.

P.J.Martin@qub.ac.uk

Pozhil

Pozhil is a Ph.D. student from the Mechanical Engineering Department at BITS Pilani University in GOA. His research focuses on investigating the creep behaviour and fracture mechanics of rotationally moulded polypropylene and polyethylene. Pozhil has obtained Bachelor’s and Master’s degrees in Mechanical Engineering from Anna University, Chennai. He is an active participant in StAR conferences and has been involved in various research activities and consultancy projects.

p20170013@goa.bits-pilani.ac.in

Alex Pritchard

Dr. Alex Pritchard is a postdoctoral researcher at the Polymer Processing Research Centre at Queen’s University, Belfast. He is currently working on the development of Type IV H2 Tanks. Alex received his Master’s degree in Product Design Engineering and PhD (on rotationally moulded foams) from QUB. a.pritchard@qub.ac.uk

Mark McCourt

Dr. Mark McCourt has been involved in commercial rotational moulding research and development projects for 20 years at Queen’s University, carrying out R&D projects and onsite training for small, medium, and multinational companies across the island of Ireland, UK, Europe, Asia, and North America. Mark’s particular area of expertise is in the research and development of new materials and processes relating to the rotational moulding industry. m.mccourt@qub.ac.uk

14 ROTOWORLD® ISSUE 4 • 2022

UPFRONT

Hangtian Zhou

Hangtian Zhou is a PhD student at Queen’s University, Belfast. His research involves robot based rotational moulding. Prior to this Hangtian was working in the aviation industry as CNC machining Engineer and Lean Engineer. Hangtian received his Master’s Degree in Manufacturing Technology and Management from Cranfield University. hangtian.zhou@qub.ac.uk

George Bailey

George Bailey is the “President Sleep Talker” of zPods, a Saint Louis startup and recipient of an Arch Grants award that is developing sensory-friendly beds for high-energy children, including those with autism. He also sits on the board of directors for Autism Speaks St. Louis and is engaged in his community and church. George obtained his JD from Washington University in St. Louis School of Law, his MA in TESOL (Teaching English to Speakers of Other Languages), and his BA in Chinese from Brigham Young University. He is fluent in Mandarin Chinese, German, and Danish. George and his wife have five children, two of which are blessed with autism.

www.rotoworldmag.com 15

UPFRONT

Circular Economy Forum at K 2022

The Circular Economy Forum will again be held at K 2022, The World’s No. 1 Trade Fair for Plastics & Rubber, from October 19 – 26, 2022 at the fairgrounds in Düsseldorf, Germany. In the open-air area between Halls 10 and 16, the VDMA (German Engineering Federation) as organizer and 13 of its member companies will demonstrate the importance of technology in the implementation of the circular economy in the plastics industry. The participating companies are all represented at the Circular Economy Forum in addition to their stands in the exhibition halls.

Arburg, Coperion, Engel, Erema, Kurtz-Ersa, Lindner, R-Cycle, and Vecoplan are taking part with own pavilions while Battenfeld Cincinnati, Leonhard Kurz, Plasmatreat, Sumitomo (SHI) Demag, and Wittmann Battenfeld will exhibit at the joint stand of the Forum. With machines running, visitors can see how plastic waste is converted into high-quality regranulates or how recyclates are processed into attractive, highly functional, and recyclable products through various processing methods.

The Circular Economy Forum addresses all three key themes of K 2022 – Circular Economy – Climate Protection – Digitalization. After all, high tech is also required to optimize manufacturing processes and make them ever more efficient – in addition to the recycling of plastic products, it also helps reduce CO2. Both approaches are not conceivable without digitalization. Digital product passports and globally applicable traceability standards, for example, are only made possible by digitalization. The networking of all components in the production line is considered the prerequisite for process optimization. For data exchange between machines, the VDMA has initiated a showcase that makes

the live data of integrated machines visible based on OPC UA, at the VDMA Dome and accessible via smartphone.

The VDMA Dome at the center of the Forum will once again serve as an information point and meeting place. It will also provide an overview of important technology-relevant process steps in the plastic circular economy. With “The Machine” installation, nearly 40 companies with over 50 contributions will present their technology highlights for circular economy. Technologies range from sorting, shredding, washing and regranulating, and material handling to the most important converting processes (injection molding, extrusion, blow molding, foaming, and additive manufacturing) as well as downstream process steps such as ultrasonic welding, surface treatment and thermoforming.

For further information on visiting or exhibiting at K 2022, contact Messe Düsseldorf North America; Telephone: (312) 781-5180; E-mail: info@mdna.com; Visit www.k-online. comand; www.mdna.com; Follow us on twitter at http://twitter.com/mdnachicago.

VDMA and 13 member companies present the latest technologies for circular economy in the plastics industry at K 2022
16 ROTOWORLD® ISSUE 4 • 2022

UPFRONT

Wavin Acquires Bow Plumbing Group

MONTREAL, CANADA — Wavin, a global solutions leader for the building and infrastructure industry and an Orbia business, announced recently that it has acquired Bow Plumbing Group, a leading Montreal-based manufacturer of plastic pipes and fittings for the North American residential and commercial construction industry. Wavin’s investment in the Bow Plumbing Group strengthens and extends its presence in this important market to serve customers and stakeholders with efficient, end-toend solutions for water management.

Solving global water challenges

As Wavin expands its product portfolio, Bow’s reputation for excellence in plastic pipes and fittings will complement Wavin’s full spectrum of offerings for drinking water, wastewater, and rainwater management. Wavin product applications range from residential plumbing systems to urban and semi-urban climate resilience and water management systems.

By combining Bow’s commercial reach and deep understanding of the North American market with Wavin’s global footprint and innovation capabilities, this acquisition will propel the Wavin business on its growth journey and drive the future of sustainable

urban and residential development.

Said Sameer Bharadwaj, CEO of Orbia, “North America is experiencing increased demand for solutions that ensure urban resilience: a critical area of focus at Orbia. This investment will provide us with local presence and know-how, expanded capacity and a strong customer base for our end-to-end water management offerings that advance life around the world. We welcome Bow to the Orbia family and look forward to their contributions to our success.”

Maarten Roef, President of Orbia Building and Infrastructure (Wavin) said, “We are working together for the long-term to provide safe and efficient water supplies, better hygiene and sanitation, and improved building performance and help North America’s cities become climate resilient. The Bow acquisition brings us one step closer to supporting major cities worldwide to become more livable, lovable, and sustainable.”

Gilles Cyr, former CEO of Bow Plumbing Group and General Manager of Wavin’s new business in Canada, said, “I am delighted with this leap forward. Wavin and Bow both stand for high-quality products and customer-centricity. By now being part of Orbia we will push innovation in the North American market further together.”

www.rotoworldmag.com 17

UPFRONT

Road2K: AMN DPI for the first time at the MAAG Group booth at K-2022

OBERGLATT, SWITZERLAND

— MAAG Group acquired the French tool manufacturer AMN DPI (AMN), thus continuing its growth as an integrated supplier of systems for the plastics industry.

For the first time, a complete AMN Central Injection System (CIS) consisting of a 1500 mm diameter die plate with a central water injection and sword shaped knives will be displayed at the K-Show (Recycling Hall 9, Stand A02). CIS was designed to improve pellet cooling and ejection and is an effective solution for high melt index or peroxided polymers.

MAAG Group systems play a key role in the plastics circular economy. Along with keeping post-industrial and post-consumer waste in the value chain, we provide technologies that target the efficient use of resources, an additional factor in sustainability. In this context, the products of the globally positioned AMN complement the MAAG Group portfolio and

Plastimagen Mexico 2023

provide additional value to customers for all polyolefin applications.

Die plates are the heart of the underwater pelletizing system; necessary to produce high quality and consistent pellets. Over many years, the unique technologies of AMN die plates have demonstrated their performance and longevity in many applications, especially for high-capacity underwater pelletizers.

Visit us at the K show and let us show you how the AMN perforated plates combined with the other products in the range complete the MAAG portfolio.

Read more information, especially about our appearance at the K-2022, in the monthly updated Road2K News on our website: https://maag.com/de/ maag-news/

MEXICO CITY, MEXICO —

PLASTIMAGEN® MÉXICO 2023 will take place on November 7-10 at Centro Citibanamex in Mexico City. Plastimagen presents together with the National Association of the Plastic Industry – ANIPAC and Tarsus México the educational program aimed at the plastic community, with the participation of recognized experts who will share and talk with you about experiences, success stories, tips, and technologies that will support your development and production. If you and your company are involved in plastic processes, this is the time and place to be present.

The program is completely renewed in this edition, and it is a great opportunity to make valuable connections between experts and colleagues, with new experiences and a theme specially selected for this sector.

For more information go to conferencias@tarsus. mx or call+ 52 55 1087 1650 Ext. 1109.

18 ROTOWORLD® ISSUE 4 • 2022

UPFRONT

2022 Size and Impact Report: Plastics Moves to 6th Largest U.S. Manufacturing Industry

WASHINGTON, D.C., USA — The Plastics Industry Association (PLASTICS) unveiled its 2022 Size and Impact report, the association’s flagship annual analysis of the plastics industry’s contribution to the U.S. economy. Dr. Perc Pineda, Chief Economist at PLASTICS, presented an overview of the report’s findings during an online Executive Briefing provided to PLASTICS members and members of the press.

Highlights shared during today’s briefing include:

• The U.S. plastics industry accounts for nearly a million jobs (999,100); when suppliers to the plastics industry are included, that number rises to 1.5 million.

• Plastics manufacturing employment grew 3.2% from 2020 to 2021, more than twice the growth of manufacturing as a whole (1.5%).

“Today’s report shows that the plastics industry, while previously eighth is now the sixth largest manufacturing industry in the U.S,” said Matt Seaholm, President, and CEO of PLASTICS. “Plain and simple, these numbers show that the PLASTICS industry is growing and will continue to do so as part of a circular economy.”

“Plastic is remarkable - It saves energy by being lightweight. It saves resources by being efficient to manufacture and transport, and it saves lives through protective gear, medical devices, and so much more. The PLASTICS industry is proud of our people and our products.”

“The plastics industry continues to develop new technologies that improve the manufacturing process to include more recycled content, less material, design for recyclability, and improved performance to better protect things like food and beverages, greatly reducing waste,” concluded Seaholm.

Issue

• U.S. plastics shipments totaled $468.0 billion for 2021; when suppliers to the plastics industry are included, shipments totaled $600.4 billion.

The Plastics Industry Association (PLASTICS) is the only organization that supports the entire plastics supply chain, representing nearly one million workers in the $468 billion U.S. industry.

AZ: 177,8x122,276 + 3mm Coated FOGRA39 PDF/X-1a:2003

www.rotoworldmag.com 19
Rotoworld Magazin
4/2022
hd-kunststoffe.com HD ECO TECH® MICROGRANULES for all rotational moulding & coating applications. H ECO TECH® Do you want to talk about MICROPELLETS? Ask for Carlos during K-Fair 2022 at GRAFE Booth A63 in Hall 6. K - The World‘s No. 1 Trade Fair for Plastics and Rubber 19 .10. - 26.10.2022 in Düsseldorf, Germany. Come visit us @ GRAFE Booth A 63 in Hall 6! HD Kunststoffe GmbH is a 100% subsidiary of GRAFE

UPFRONT

sensXPERT Enables Plastics Manufacturers to Increase their Production Efficiency by up to 30%

SELB, GERMANY— NETZSCH Process Intelligence, a corporate venture of NETZSCH Group (Germany), has announced the launch of sensXPERT, a technology business designed to deliver significant productivity and quality benefits to processors in the plastics industry through data-driven manufacturing solutions. The integrated approach builds on the Group’s 50+ years of know-how in the fields of material science and sensor technology.

sensXPERT combines real-time material data from the mold with advanced machine learning software to analyze the material behavior. The smart technology enables continuous process optimization for up to 30 percent increase in production efficiency. Its technological advanced in-mold sensors provide real-time insights and transparency to react to material deviations and eliminate scrap. While allowing a dynamic and adaptive production, thus maximizing throughput, sensXPERT ensures direct in-process quality control of each single molded part.

“There is a growing need for digital technology solutions in the plastics processing industry to meet the challenges of tighter cost control, total quality assurance and enhanced sustainability,” says Dr. Alexander Chaloupka, Managing Director & CTO for sensXPERT. “By using the artificial intelligence of our machine learning software to evaluate critical material, machine and process data, we help our customers optimize their manufacturing efficiency in real time, eliminating the need for time and labor consuming retroactive adjustments.”

At the heart of sensXPERT’s manufacturing solutions, an Edge Device integrates the hardware and software for machine learning models designed to capture even the slightest deviation of material and process parameters. Based on measuring data collected from high-precision in-mold sensors, smart machine learning algorithms are applied to simulate, predict and analyze the actual material behavior on each individual machine. The learning models are trained with key parameters, including standard material and experimental data, such as glass transition temperature, pressure and required degree of curing, and are then continuously fine-tuned depending on the in-situ data measured over time.

sensXPERT lives a ‘customer-centric’ approach enabling plastic processors to have full manufacturing transparency. Next to seamless third-party sensor integrations, the company realized the potential to further link and connect production machines and molds with material science. The result is an exponential output increase that is immediately utilizable. True to the sensXPERT motto: Turning data into quality!

“Industry 4.0 stakeholders need real-time answers to what is happening in their manufacturing processes,” adds Cornelia Beyer, Managing Director & CEO of sensXPERT. “Our unique approach unlocks the potential of fully data-driven productivity, delivering immediate quality and efficiency benefits to our customers in the plastics processing industry.”

Continuous process optimization driven by real-time sensor-based machine, mold and material data
Industry 4.0 stakeholders need real-time answers to what is happening in their manufacturing processes.
“sensXPERT combines realtime material data from the mold with advanced machine learning software to analyze the material behavior.”
20 ROTOWORLD® ISSUE 4 • 2022

UPFRONT

An invitation to reimagine the future.

StAR takes this opportunity to invite its esteemed members and the global Rotomoulding Industry to join us at StAR’s 19th Annual Conference which is taking place from 28th to 30th January, 2023 at Hotel Crown Plaza, New Delhi, India.

The COVID-19 crisis, despite its many sad implications, is exactly what we needed to galvanise us, to draw us together as one global community, to see more clearly what we are collectively capable of achieving, and to bring into focus what needs to be done globally to secure our future on this planet.

StAR has lined up an extensive programme, where global rotomoulding gurus will share their knowledge on how they foresee the future of Rotomoulding and will share their guru mantras on building a successful rotomoulding community. It’s not just an opportunity to meet your industry friends but to also network with colleagues from the ever-expanding Rotomoulding fraternity.

Globally the Rotomoulding Industry has been critically affected, or at least disrupted for a while. Our usual way of being has changed – irreversibly and forever, maybe for the better. A search for different answers has begun and a new kind of normal has quickly taken shape and this conference is StAR’s effort to ignite that enthusiasm and passion to take the Rotomoulding Industry TOGETHER TOWARDS TOMORROW

2.6 Rotoline Machine Adds Horsepower

GRASSIE, ONTARIO, CANADA — Agri-Plastics, a global leader in rotomolding plastic products has seen significant growth over the past six months. Additional manufacturing horsepower is needed to accommodate the growing plastic production demand for our existing and new customers that are coming on board. We have two rotomolding facilities – one in Sidney, Nebraska and the other in Grassie, Ontario.

We are excited to add a new Rotoline 2.6 Carousel Machine in our Canadian Plant. This new independent 3-arm machine will give additional capacity and allows us to expand our growth in the eastern portion of North America. This will be the 8th rotomolding machine in Ontario.

“This new addition will be one of many as we plan on adding more new equipment at both locations over the next 12 months,” states Darren VanBuuren, CEO and President of Agri-Plastics Custom Rotomolding. “We are looking forward to expanding our manufacturing footprint in North America.” There are now 17

total machines between the U.S. and Canada plants.

Have a plastic product idea? Do you need help with manufacturing, finishing, or warehousing? Let Agri-Plastics Custom Rotomolding help! Our mission is to develop and test products through hands-on experience. Our mission is to offer the best quality plastic products by designing solutions that meet customer expectations while establishing a worldwide reputation for reliability and durability. We make a wide range of products in the Agricultural, Recreational, Environmental, Garden, Industrial, and Medical industries. In addition to manufacturing rotomolded plastic products, we offer additional services such as 3D/3M CAD design, Finishing and Assembly, Packaging, Warehousing, Quality Assurance, and Robotics/CNC Trimming.

If you are interested in learning more about Agri-Plastics Custom Rotomolding, visit our website at apcustommolding.com. You can also contact us at info@apcustommolding.com or call us at 1-888-231-3575.

www.rotoworldmag.com 21

UPFRONT

Focus on sustainable technologies for recycling and the circular economy

OBERGLATT, SWITZERLAND — From solutions for mechanical and chemical recycling, to energy and resource efficiency, optimized machinery for manufacturing, processing, and conditioning plastics. At K-2022, in hall 9, on booth A02, the MAAG Group will be presenting its latest innovations in integrated solutions for the plastics industry.

Leading recycling solutions

At the heart of our mechanical recycling portfolio is the highperformance melt filter from Ettlinger. The continuous-operation machines are specially designed for highly contaminated postconsumer recycling applications. The ERF and ECO series can deliver throughputs of up to 10 t/h depending on the application.

The newly developed extrex⁶ recycling pump ensures reliable extrusion in the recycling process. The extrex⁶ features an optimized geometry that, in many cases, eliminates the need for an upstream protective filter, saving space and reducing the energy required for heating and drive power. Like all MAAG pumps, extrex⁶ is designed to meet the high demands of everyday operation.

PEARLO underwater pelletizers guarantee high-quality spherical pellets. The newly developed PEARLO XXL, with over 40 t/h capacity, marks the launch of the next generation of processoptimized machines. Its high level of automation enables start-up and shutdown at the push of a button. With its optimized cutting tools users can expect maximized production times and minimized downtime and waste.

Pellet drying has also been optimized with the new eXso 320+. With its compact space-saving design, it achieves significantly higher outputs of up to 8,200 kg/h with a smaller footprint. Fewer wear parts mean less downtime and necessary stocking levels. eXso 320+ is designed to be used in a wide range of pelletizing applications.

Top-quality machines for virgin polymers

The AMN precision die plates for underwater pelletizers are designed to meet the needs of polyolefin production, ensuring long service life, and easy maintenance. Throughputs greater than 40 t/h can be achieved using the AMN die plates and the newly designed PEARLO XXL.

Another new product that MAAG will be presenting at K-2022 is the ContiNeo filter. ContiNeo combines the advantages of a single-bolt screen changer with those of a continuous dual-piston screen changer with backflush functionality. ContiNeo is ideal for extrusion processes requiring low pressure fluctuations and fully automatic operation in a small space.

Flexible pelletizing for compounding and master batch applications

The EBG semi-automatic single-belt pelletizing system is designed for compounding water-sensitive, highly filled, and/or brittle products. The tested and proven PRIMO S dry-cut pelletizer has been upgraded and is now quieter in addition to offering maximum efficiency and flexibility. The JSG pelletizing system will also be on show at K-2022. The fully automatic system is suitable for compounding applications up to 9 t/h. Flexible cooling lengths allow processing of a wide range of materials, and broken strands are automatically rethreaded.

Service and after-sales based on personal commitment and know-how

Service from MAAG means: Support around the clock, worldwide, in person or remotely. In addition to MAAG Group service and support, customers can find information and sign up to the recently launched “myMAAG” e-shop, which offers custom and plant-specific spares and consumable parts at the click of a mouse, any time 24/7.

The new rotomoulding products were also present in Milan, as well as the latest collections presented years ago.

• Faz sunbed and pots

• Vineyard daybed

• Venus

• Suave

• Faz bar

Check out all our news from Salone del Mobile 2022 on our website: https://bit.ly/3u4Hprh #myvondom #FazCollection #VineyardCollection #VenusCollection #SuaveCollection # MarcelWanders # RamónEsteve #furnituredesign #SaloneDelMobile # SalonedelMobile2022 #daybed #planters #sunbed #sunlounger #outdoorsofa #design #outdoordesign #outdoorfurniture #Vondom

VONDOM Designer Furniture | Da Vinci Lifestyle’s Contracts Division Leverages on Stellar Relationships with Over 200 High End Designer Furniture Brands to Fashion Furniture Brands Around the Globe. With an Extensive Range of Products from Furniture, Lighting, Kitchens, Office Systems, Bath & Sanitary, to Flooring, decoratives & Materials. Our Contracts Team offers creative and bespoke solutions to briefs to manage the process from conceptualization to completion. Our Logistics Networks worldwide ensures deliveries and installations are kept within timeline requirements that are crucial for architects, interior designers, and property owners for residential, commercial, and hospitality projects. For more information, contact us for product quotations or queries.

22 ROTOWORLD® ISSUE 4 • 2022

UPFRONT

Tank Holding Acquires Semco Plastic Company, Inc.

Tank Holding, North America’s largest rotational molder, has acquired Missouri based blow and injection molder Semco Plastic Company, Inc. effective May 9, 2022. Semco manufactures a variety of high volume custom and proprietary products serving the recreational, commercial, outdoor, engine, and other industries. Products such as OEM fuel tanks, portable fuel containers, equipment components, refuse containers, backboards, and more are designed, tooled, manufactured, assembled, packaged, and shipped utilizing turnkey solutions and services to a diverse customer base with the experience and capability to produce high quality molded products out of a single facility.

“The acquisition of Semco is consistent with our strategy to invest into adjacent plastic processing technologies while continuing to demonstrate our commitment to provide our customers further capabilities. We believe there is tremendous opportunity for us to utilize blow molding to expand our proprietary product offering while also complementing our commitment to custom molding. The addition of blow molding and injection molding capabilities to our vast rotational molding network provides us with the unique position to offer more plastic molding options to our valued customers. Semco, with its successful seventy-five year history and continuous investment in equipment and capability, delivers the competency and scale we desired to enter into these complementary molding technologies,” said Greg Wade, CEO of Tank Holding.

The Semco acquisition provides synergy opportunities with Tank Holding’s core business along with several recent acquisitions, including six last year and Dutchland this year which were focused on custom molding and proprietary products. These market leading brands and multiple molding capabilities provide the industry with the broadest product portfolio and the largest footprint of manufacturing facilities.

“Semco has been in our family for four generations and we

have built a great business with great people. We’re proud of our significant investments in the business with modern technology and building expansions to keep up with growth and offer competitive value to our customers. As we reached a family decision to sell the business, we quickly concluded that Tank Holding, with its resources and strategy to invest in molding, was the best partner to purchase the business and continue the growth for our employees and customers,” said Chuck Voelkel, CEO of Semco.

The Semco announcement represents Tank Holding’s 19th acquisition in the past three years and further enhances the company’s penetration into custom molding.

Besides being a world leader in the design and manufacturing of polyethylene tank and container products, Tank Holding also maintains major market positions with many other proprietary products, including intermediate bulk containers, insulated material handling bins, laundry and linen carts, refuse containers, specialty pallets, and custom products.

Tank Holding, which includes the brands of Norwesco, Snyder Industries, Bonar Plastics, Bushman, Chem-tainer, Meese, Stratis Pallets, and Dura-Cast, owned by Olympus Partners and the management team, currently operates 42 manufacturing plant locations and employs over 1,700 people throughout North America, prior to the Semco acquisition.

Olympus Partners is a private equity firm focused on providing equity capital for middle market management buyouts and for growing companies. Olympus manages in excess of $8.5 billion mainly on behalf of corporate pension funds, endowment funds, and state-sponsored retirement programs.

Founded in 1988, Olympus is an active, long-term investor across a broad range of industries including business services, food services, consumer products, healthcare services, financial services, industrial services, and manufacturing.

Flexahopper’s New CEO Adriana Mercader

ALBERTA, CANADA — Flexahopper

Plastics named Adriana Mercader, MBA, the new CEO of the Alberta-based rotational molding company. Adriana joined Flexahopper Plastics in 2009 as Director of Marketing, advancing to Corporate Vice-President in 2015.

Since taking a leading role at Flexahopper, Adriana has helped guide the company into new growth markets and has been instrumental in the development of a strong team culture. As a principled leader, she’s driven to create an innovative,

collaborative, and inclusive work environment.

Passionate about her community, Adriana serves on several industry boards and is involved in social projects across Southern Alberta. Flexahopper President Bill Spenceley said, “We’re very pleased to see Adriana take on this new role and I look forward to focusing on my primary role of leading the R&D and innovative developments within our company.”

For more information go to https://www.flexahopper.com.

www.rotoworldmag.com 23

UPFRONT

K 2022: Online Ticket shop now open!

MyOrganizer – your ideal tool for preparing for the trade fair Travel and Accommodation Services

Tickets for K 2022, The World’s No.1 Trade Fair for Plastics & Rubber, from 19 to 26 October are now available from the ticket shop at www.konline.com. The eTicket can either be printed out or scanned directly from your smartphone display at the entrance to the trade fair – giving you direct access into the halls without too much of wait. Day tickets cost EUR 55 while three-day tickets are EUR 120. Pupils and students pay EUR 15 for a day ticket.

With the MyOrganizer function, any visitor can already put together those exhibitors of interest to them in just a few steps and thus precisely prepare their own route through the exhibition halls. After registering in the ticket shop, visitors can use MyOrganizer with a personal login or without registering. This login enables convenient use of the tool on different devices (smartphone, PC) over a longer period of time. Once compiled, the list can be adjusted or supplemented any time it is called up.

If you are still looking for accommodation for K 2022, the best option is to use the service offered by BCD Travel Solutions. This

long-standing trade fair partner boasts the best overview of available hotels in Düsseldorf and the region during the world’s largest trade fair for the plastics and rubber industry and they can assist with specific bookings. Similarly, flights and train tickets can also be booked via BCD Travel Solutions. You can also enjoy a comfortable stay on one of the KD hotel ships that will be anchored in the heart of the city, not far from the exhibition grounds for K 2022.

Bus and train tickets for local public transport can be purchased easily using the eezy app according to the check-in/check-out principle. Car parking tickets can also be bought in advance for your convenience. For more information on how to get here go to: www.k-online.com/2772.

K Basics:

K was first organised by Messe Düsseldorf in 1952, and is held every three years. The last K in 2019 recorded 3,330 exhibitors from 63 countries on 177,000 m² net exhibition space, and 224,116 trade visitors, 73% of whom came from abroad. Further information at www.k-online.com.

NPE2021 Exhibitor Fees Will Be Applied to NPE2024

We would like to first express our heartfelt gratitude for your patience, understanding, and support as we worked through the complexities of having to cancel NPE2021. Without our exhibitors, there is no NPE, and it was necessary for us to take the time to carefully address those complexities to best serve our stakeholders’ interests and to ensure that NPE remains a strong avenue for showcasing your products and services in the future.

The PLASTICS Board of Directors authorized that the current balance of payments made on a company’s account for NPE2021 exhibit space are to be applied as a non-refundable credit to the company’s account for NPE2024 exhibit space.

• The exhibit space timeline for NPE2024: The Plastics Show is as follows: August 2022: NPE2024 Exhibit space Application &

Contract Opens

• December 2, 2022: Deadline for submission of NPE2024 exhibit space application and deposit for Space Draw Lottery eligibility

• December 7, 2022: NPE2024 Space Draw Lottery (determines the booth selection order for the Space Draw)

• First Quarter of 2023: NPE2024 Space Draw

• May 6–10, 2024: NPE2024: The Plastics Show Open

Please contact exhibit@npe.org if you have questions or need additional information.

Best regards, NPE Show Management/

You can also enjoy a comfortable stay on one of the KD hotel ships that will be anchored in the heart of the city, not far from the exhibition grounds for K 2022.
24 ROTOWORLD® ISSUE 4 • 2022

UPFRONT

RadiciGroup Acquisition of Ester Industries Ltd. Completed

The goal is to strengthen presence and market share in the Indian market

The acquisition closing is now completed. RadiciGroup High Performance Polymers acquired the Engineering Plastics business of the Indian company Ester Industries Ltd.

Last May, RadiciGroup announced this important action aimed at strengthening its internationalization strategy, with an investment of around 35 million euros: the transaction allows RadiciGroup – in India since 2006 – to further reinforce its local presence through the acquisition of one of the main and historic players on the Indian market.

For RadiciGroup this is a significant industrial investment in which Ester Industries Ltd sells its newly built production plant in the city of Halol (Gujarat), West of India: compound lines, R&D laboratories, customers/suppliers contracts, as well as its leading brand ESTOPLAST which

» ROTOLOAD™ is the ONLY solution to ALL of your powder resin handling needs.

» ROTOLOAD™ is the ONLY comprehensive line of powder resin conveying and weighing equipment, specifically designed to meet the demands of the Rotational Mol ding Industry.

» ROTOLOAD™ uses vacuum to load your material, hold it above your process machine, and dispense, quickly and accurately. In addition it is the ONLY solution to the question of how to reduce under and overweight parts, mess, downtime and resin loss.

includes different types of compounds used primarily in the Electrical/Electronic and Telecommunications markets.

Ester Industries Ltd - one of the leading Indian producers of polyester films, engineering plastics, and special polymers – has seen in RadiciGroup the ideal partner to follow up on its consolidated experience in the engineering polymers business, in order to focus on a business the Indian firm intends to continue and strengthen.

The new production site, under construction, will become operational at the beginning of 2023, following the various transfers of tangible and intangible assets. As a result of the acquisition, the Group aims to achieve total annual sales in the Indian market of more than EUR 50 million.

ROTOLOAD™ powder weighing & dispensing systems

Manufactured by Wittmann Battenfeld Canada Inc.: 35 Leek Crescent | Richmond Hill, ON L4B 4C2
The new production site, under construction, will become operational at the beginning of 2023.
www.rotoworldmag.com 25

UPFRONT

Developing the cutting-edge technology needed to feed billions of people and build vital infrastructure requires individuals with a wide range of unique talent and experiences. That’s why recruiting and developing the right combination of people is imperative to John Deere’s strategy and at the core of its values.

Johane Domersant

As leader of global talent acquisition and diversity, equity, and inclusion (DEI) strategies at John Deere, Johane Domersant plays a key role in recruiting top-tier talent.

“We have to be an organization whose workforce represents and reflects the world in which we operate and can help solve the myriad of challenges that impact people and our planet,” Domersant said. “The best way to drive innovation to the fullest extent is to ensure we have broad representation of different backgrounds and perspectives in the room because the reality is that diverse companies operate at a faster pace, drive unique solutions, and do so at a higher profit margin. They just do.”

Leaving our comfort zone

Born in Haiti, Domersant came to the US at age 15. After finishing school and earning her degree she practiced law for 14 years and was a leader in global labor and employment at a Fortune 500 company for nearly a decade before coming to John Deere in 2021.

A trial lawyer at heart, Domersant said she didn’t see herself moving into a role like the one she has now until she spoke with senior leaders at John Deere and learned about the company’s strategic goals around recruiting world-class talent and fostering a workplace culture where people of different backgrounds and experiences belong and thrive. After speaking with them, Domersant saw opportunity in the challenge.

“What I am asked to do is push this global enterprise outside of its comfort zone as it relates to developing various strategies, whether it’s on the talent acquisition side or the DEI side,” Domersant explained. “Sometimes being someone who has an outsider’s perspective really helps lay the groundwork for why we should have different strategies and different thought processes.

“I found that to be incredibly astute, particularly from an organization that is very much built from within to really open its aperture to bring in folks who have differing viewpoints and may not necessarily have the perspective of practitioners, but the perspective of leaders who lead strategy and change.”

Putting Strategy Into Action

Delivering on its promise to grow its technological abilities requires the company to build and retain a strong talent base that goes beyond its traditional recruiting network. Everything—from

Data-driven insights become more powerful when used as an engine for change.

processes to data—must be turned on its head and reviewed.

“We’re a very engineering and data-centric organization,” Domersant said. “Data-driven insights become more powerful when used as an engine for change. We have committed to analyzing our entire employee experience through the lens of diversity, equity, and inclusion. With these insights we can transparently drive change around where we are and where we need to be.”

What makes us different?

While John Deere will always be committed to its hard-iron roots, Domersant said, it has also become a cutting-edge technology company helping lead the way when it comes to autonomous vehicles, electronic propulsion, and many other initiatives that exhibit the company’s commitment to sustainability. But this is all made possible by our talent.

“Our technological advancements take center stage, but our people—that’s the secret sauce to what makes us a differentiated organization,” Domersant said. “To make rapid progress, we recognize we need to expand our external talent expertise to complement our ever-dynamic workforce.”

Johane Domersant explains why recruiting and developing diverse talent is a key ingredient to John Deere’s secret sauce
— Johane Domerssanat
26 ROTOWORLD® ISSUE 4 • 2022

What can Rotational Moulding Learn from the Impact Robotics is having in Manufacturing?

Today industrial robots are an essential part of many manufacturing processes across a wide range of market sectors. The use of robotics in industry brings a number of benefits including process consistency, improvements in productivity, quality and yield, high levels of flexibility, with one of the main advantages being that they can free humans from dirty or hazardous working environments. Whether it is part-handling, assembly, machine-tending, welding, cutting or gluing, robots are playing an increasingly important role in our manufacturing facilities and we will continue to see increased use of robotics during the course of our lives. According to the “The Future of Jobs” report1 published by the World Economic Forum in late 2020, 43% percent of businesses surveyed indicate that they are set to reduce their workforce due to technology integration, 41% plan to expand their use of contractors for task-specialized work and 34% plan to expand their workforce due to technology integration. By 2025, the time spent on current tasks at work by humans and machines will be equal. As the demand for automation has increased, so the capabilities of robots have developed with greater accuracy and speed to improve production rates. The development of robotics has made it possible to carry out tasks of greater complexity, ranging from laying up sheets of carbon fibre, mould polishing and fruit picking, to conducting medical procedures.

The use of Robotics in Plastic Processing

With regards to polymer processing in general, robotics is already heavily used within the injection moulding industry, with the most common application being machine tending. This is where robots are used to unload finished parts from the machine, performing these highly repetitive tasks 24/7, thus saving on manual labour and the risk of injuries resulting in improved product consistency and production capacity. To assist the robots in this task, they are usually equipped with pneumatic grippers, which can ensure the careful handling of the moulded parts to avoid damage. One such example of machine tending is the system developed by Robomotion GmbH, used at Gindele GmbH in Pforzheim, Germany to assist in the demoulding process for sustainable plastic cutlery.

In addition to machine tending in the injection moulding industry, robots can also be used to add the required number of inserts to mouldings. Inserts can also be particularly problematic in rotational moulding, leading to a high quantity of defective parts due to operators either failing to place the correct number of inserts into the mould or adding the wrong insert. Another area for robotic automation is in-mould labelling and decorating; a process for labelling or decorating plastic during the injection

moulding cycle. An automated in-mould labelling/decorating process uses robots to load pre-printed labels or decorated film directly into the open plastic injection mould. Labels or decorations are then permanently encapsulated within the injection moulded parts and become an integral part of the final product. A robot with a custom designed ‘end of arm tool’ allows precise and consistent positioning of the label on the product with high stability. Further uses of robotics are in over-moulding applications where two or more separately moulded parts are combined to produce one part. For example, a thermoplastic hairbrush with rubberised grips on the handle. Clever use of robotics ensures the process can be automated to quickly manipulate the movement and placement of parts. Robotic technology can also play a significant role for plastic injection moulding post-moulding processes. A robotic trimming cell provides superior repeatability when compared with a human performing the same task and it increases flexibility by performing multiple operations. We have already seen this technology developed by Rock Lake Robotics (rocklakerobotics.com) to carry out secondary finishing on rotomoulded parts.

Robotics in Rotational Moulding

Within rotational moulding the use of robotics has seen many innovative developments in recent years. We are already very familiar with the latest electrically heated machines that use robotic technology at their core. The use of electrical heating also provides the advantage of being much more thermally efficient than conventional oven heating of moulds2. Thanks to the agile movements and actions of the robot, fully automated production including loading of materials and demoulding of the produced part are possible.

Two advanced rotational moulding systems currently on the market are the AMS Robomould Machine from Belgium and the Persico Smart Machine from Italy. The Persico Smart Machine utilises direct heating of the mould via electrical heating elements. This machine provides accurate temperature control with 42 individual heating zones. Each zone has the ability to vary the wall thickness of the part in that specific area of the mould. The Smart Machine also allows for the use of pressure and vacuum during the cycle. Cooling is performed by fans integrated within the machine. The Persico Smart machine can be set up in a manner that it can use additional robots for machine tending such as the loading and unloading of moulds, machining of parts and powder dispensing to create a highly automated system.

The Robomould system from AMS uses a 6-axis robot to rotate the mould. The mould is heated electronically with heating

www.rotoworldmag.com 27

elements applied to the mould. The advantages of this system are that there is a reduction in floor space compared to other machines such as carousel machines. The machine control means that the production cycle is fully automated, working to temperature points set by the operator for heating and cooling cycles while also providing process data which can be used for quality control and traceability of products.

Rotational Moulding Research using Robotics at QUB

QUB has recently installed the ARMAC (Advanced Rotational Moulding Automation Cell) in Belfast, as shown in Figure 1. This is a state-of-the-art rotational moulding cell using the AMS Robomould system for the moulding of parts. The major advantage of electrical heating is that it allows the close integration of a variety of sensors and cameras in very close proximity to the mould to allow research into advanced monitoring of the process. This would be much more difficult to achieve if the mould was placed in a conventionally heated gas oven, requiring the protection of the equipment from the harsh operating environment.

using vacuum suction cups to lift the graphic and place on the surface of the mould. An early concept of EOAT to complete this task is shown in Figure 2. The applicator tool for the graphic is attached to the EOAT at right angles to the vacuum suction cups. Once the graphic is in place, the robot will position the EOAT to allow pressure to be applied to the graphic using the applicator tool. This work is being conducted with PSI Brand and Mold In Graphics, with the support of ARM Australia and ARM-CE.

A key feature of the cell is the addition of a secondary robot to be used as a service robot for the rotational moulding process to investigate replacement of manual tasks such as in the area of mould preparation. Tasks such as the addition of release agents, inspection and cleaning of mould flanges all have the potential for automation and robotics could provide a viable option for these tasks.

One area in particular which leads to a large number of scrap parts is in the incorrect placement of in-mould graphics. The consistent application that can be offered by a robot can make the process more repetitive and avoid part rejection due to misapplication. While the process of applying a graphic is relatively straightforward for a human operator, there are some challenges for robotic application. The application of the graphics can be carried out using the robot with an end of arm tooling (EOAT)

Another key area of future research for QUB is in the use of robotics to automate the quality control process e.g. examining part thickness and warpage of a moulded part. One such area for

Figure 1: ARMAC at QUB Figure 2: Vacuum suction end of arm tooling on service robot Figure 3: Ultrasonic probe attachment on service robot
28 ROTOWORLD® ISSUE 4 • 2022

automation would be to employ robots to carry out ultrasonic testing on moulded parts. An ultrasonic sound wave may be transmitted through any material that behaves in an elastic manner, propagating effectively in most structural materials, but are dissipated or reflected by flaws in the material. This makes this method particularly useful for tasks such as weld inspection, which is used to provided quantitative information regarding the thickness of the material, depth of an indicated flaw, and the size of the flaw3. Examples of A-scan ultrasound testing are commonly used in the rotational moulding process as a quality control tool for checking the wall thickness, degree of cure and warpage of mouldings3,4. QUB has previously carried out experiments using a high temperature ultrasonic probe to measure the real time build-up of the polymer layers on the tool wall. Figure 3 shows the typical setup where the ultrasonic probe is used as a quality control tool to measure specific areas within a moulded part.

A vision system has been purchased which will provide the opportunity to incorporate mould and part inspection into the cell.

quality and reliability of the rotational moulding process. The authors would like to acknowledge the support of EU INTERREG VA Programme in the development of the ARMAC and the generous contribution of ARM-CE and ARM Australasia in the work developing a rotational moulding robotic service arm.

References

1. https://www3.weforum.org/docs/WEF_Future_of_Jobs_2020. pdf.

2. Mark P. McCourt, Mark P. Kearns, David C. Aleman, Alex J. Pritchard, and Peter J. Martin. Rotational Moulding using an Electrically Heated Mould. In PMI 2018 - International Conference on Polymers and Moulds.

3. Innovations, 1–5, 2018. Baldev Raj, T Jayakumar, and M Thavasimuthu. Ultrasonic Testing. In Practical Non-Destructive Testing, 93–111. Alpha Science International Ltd, third edition, 2007.

4. F. P.C. Gomes and M.R. Thompson. Nondestructive Evaluation

How zPod’s Conversion of the Capsule Bed to Plastics is Helping Autistic Children Sleep Better

In June this year, the team had just completed the molds on the new design for zPods beds—capsule beds that allow for children with autism and other special needs to fully enclose themselves when sleeping so that they can better relax at night. Having completed the first shots of the different bed components, the team assembled one of the beds in an available space in one of its factories. They were joined in their work by the zPods team, which had traveled from Saint Louis, Missouri to witness the completed project.

The bed had a futuristic look, particularly when the environmental control features, (i.e. the speakers, mirror, lighting system, and fans) were plugged in. That being the case, the display caught a lot of attention from employees as they walked by. While Tom Haglin, owner LINDAR, Avantech & Tri-Ven, and some of the other teammates explained to folks what they were looking at—not everyone was aware what all the new molds were for—the employees started to become very excited. That’s when it hit Tom how meaningful this new project was.

“When the zPods team was there, we brought all the employees in, and there was a sense from the team that we would be positively impacting the lives of families around the world,” Tom said. “I had

A Team of Entrepreneurs and Plastics Experts Rallies Around the Special Needs Community

30 ROTOWORLD® ISSUE 4 • 2022

Saxman Solutions. Scott, a 42-year veteran in rotomolding, had been consulting with Tom about ways for the owner of LINDAR to break barriers in the plastics industry. Scott’s eyes were open for fresh ideas.

A friend of Scott’s, whom he had helped secure a sales management position, told Scott about a group of guys in Saint Louis who were doing something unique in sleep through their startup zPods. Using capsule bed technology that they had been sourcing from China, they helped a 13-year-old girl with schizophrenia and autism make the jump from four hours of sleep a

The zPods concept resonated with Scott, at least in part, because the oldest grandchild of his good friend was autistic. He had been following the autism community for a while and knew a bit about some of the challenges that families of autistic children face. Given his interest in autism and solving problems, he asked for an introduction to Gary Kellmann, one of the co-founders of zPods.

Gary started zPods together with friends Jeff Wade and George Bailey after bringing a container of China-sourced capsule beds to the United States. The initial purchase had nothing to do with autism. In fact, another friend of Gary’s, located in Orlando, Florida, was developing a spaceship-themed rental space and needed beds that looked convincing in a space age setting. The sleek and futuristic appearance of the capsule beds seemed to work.

Single bed zPod
32

Half the container went to Florida to be used in the rental property. Then the zPods team took the remaining half of the beds and set them up in a showroom in Saint Louis so that their friends could see the cool new beds and give feedback about where a business based on the beds could possibly focus. The team received plenty of enthusiastic feedback. Among the applications being thrown about were airports, microhotels, FEMA relief, truck stops, and corporate nap pods. But none of the suggestions seemed to stick or feel right. However, one idea kept on coming up: using the beds as a sensory getaway for autistic children.

As one of the co-founders, I initially balked at the suggestion. I was the father of four (now five), and two of my children had been diagnosed with autism, one severely so. I just couldn’t see how the bed would serve a useful purpose for these kids, and I was worried that we would just be preying on the hopes and fears of parents like myself who have enough to worry about as it is. But the suggestion kept coming up, so I decided to make a deep dive into the idea to see if there was any actual substance to it.

I started talking with other parents and experts in the field about the need for a getaway or an enclosed sleeping space at bedtime. I was surprised at what I was finding. Virtually all the family members and specialists that I talked with said that we should take the idea of helping autistic children seriously. Anecdotally, people

started sharing experiences about children sleeping in closets or under the bed but not sleeping much. These kids and patients had a strong preference for LED lighting as a tool for self-soothing. Or when friends would come and visit, their children would run off to find a nook to hide in.

The research that I was reading seemed to further support an application in the autism community. Up to 80% of children with autism have a chronic sleep disorder. And this loss of sleep is widely thought to be driven by an underlying sensory processing disorder. Children with sensory processing disorders often describe feeling overloaded or dysregulated because of the lack of an ability to properly filter their surroundings. Given that up to 90% of autistic children also have a sensory processing disorder, this theory of the underlying causes of sleep loss makes sense.

The capsule bed seemed to be a perfect solution for this kind of overwhelming sensory distraction. The zPods could provide children with a place to escape from chaos in their environments.

www.rotoworldmag.com 33

Sleep resources for families affected by autism suggested creating the ideal sleep environment for these children. Their sleep spaces needed to be dark, cool, void of distractions, and as quiet as possible.

The zPods made all of these requirements achievable and could be modified over time to improve on these features.

All that being said, nothing was more convincing for the zPods team than the first case study with Natalie. Watching her dramatic and immediate improvement in sleep with just the right sleep environment convinced the team that we needed to persist in this exciting direction. Even as Natalie has continued to report sleeping well in her bed over two and a half years later, the zPods team has worked with around 70 families since that first trial. Many of these families have shared their success stories with zPods.

Since all of the co-founders of zPods are fathers, our own children got to share in the fun. My oldest son Joseph is autistic and would bounce around his room late into the night. I started to see that with the zPod bed my wife and I had more time together in the evening because Joseph was settling more easily. Although Joseph’s sleep loss was never as severe as Natalie’s in the first case study, Joseph was sleeping around two hours more than usual.

Neither Gary nor Jeff have children with autism, but they were also seeing exciting results.

Gary reported having an easier time getting his youngest child to sleep in his own room rather than co-sleeping in Gary’s bedroom. Jeff’s son, who complained about being afraid of monsters, felt safe now and was getting more sleep. These developments encouraged the team because it gave them a sense of the beds’ broader application and appeal to children at large.

Within the autism community, a small number of families started reporting to zPods that they were able to tap state funding sources, like disability waiver programs, to get the beds paid for in their states, like California, Massachusetts, Minnesota, Missouri, and Ohio. Seeing these parents’ success, the zPods team knew that it would be in our best interest, and in the best interest of the families we were serving, to get the beds covered by insurance. zPods is now working on organizing clinical trials to provide the data necessary to make the case that a substantial number of children in the autism community could benefit from having a sensory getaway for a sleep space.

With all these exciting developments, there was one big challenge for the startup to confront—the team needed to rethink production of the beds. With soaring shipping costs and lags in the supply chain, we knew that it could no longer source from China. zPods was also experiencing losses due to damage done to beds while being shipped. Many of the parts were just too fragile. Also, the amount of steel being used in the frame of the original model made the beds extraordinarily heavy. The zPods team was starting to reimagine the design and manufacturing of the beds. That’s when Gary Kellmann and Scott Saxman started talking about onshoring zPods to the United States and finding a local partner.

Scott suggested that Gary talk with Tom Haglin at LINDAR. The introduction was the perfect fit. Tom had all the resources necessary to bring about the reimagining of the zPods design and manufacturing process. And the bed would be converted from a steel frame with plastic siding to an entirely plastic structure, reducing the weight by about half, while allowing for the bed to be far more modular than the original model.

All three of Tom’s businesses have played a role in making the creation of the Gen 2 zPods beds possible. LINDAR designed and provided thermoforming for the doors. Avantech designed and manufactured all the tools. Last, TRI-VEN performed all the rotomolding and final assembly. The three companies continue to act in concert to fulfill orders that have been growing for the autism-oriented sleep solution.

Randy Georges, design engineer and model maker at Avantech, was one of the employees that became really excited about the company’s focus on helping the special needs community. “I feel very fortunate to be involved with the zPods mission,” Randy said. “My wife teaches at Lincoln Education Center [a local institution that focuses on educating children with special needs], and I have drawn on her experience with special education to understand better the needs of those with autism.”

34 ROTOWORLD® ISSUE 4 • 2022

Randy continued, “When I first brought this concept up at home, I was overwhelmed with the amount of information and enthusiasm that my wife and her colleagues had to share with me. Teachers see firsthand what a good night of sleep can do for a student. My wife shared that ‘many times students are heavily medicated for many reasons (lack of sleep being one) and a zPod could help with this.’ I am very fortunate to be part of something that has such a worthwhile purpose. It is very rewarding to be involved in something that can positively impact families and is definitely worth bragging about. Having George Bailey’s passion is infectious and it is clear that everyone involved with zPods is engaged at a higher level.”

Another employee, Jayme Laughton, project manager at LINDAR Corporation, shared his own experience. “We have some friends from church who have an autistic son who is 18 years old. I spoke with them about their experiences with him growing up. At night, he likes to be close to his parents and sleep in close quarters, like a pillow fort. His parents thought the zPods idea was great and are excited to see the product.” Jayme added, “I am personally excited to be a part of this project to help provide comfort to those that are autistic, and their families, to give them a better life. It is also great to bring a product stateside, especially to our community.”

On that last note about what zPods means for Baxter, MN where all the businesses involved are situated, Tom Haglin agrees. “As word gets out locally, we’re excited to show people what we’re doing, even in our community.”

NATALIE

FROM SLEEPING IN HER CLOSET TO FLOURISHING IN HER ZPODS BED

Natalie was diagnosed with autism and schizophrenia. Before getting her zPods bed, Natalie slept in her closet and constantly woke up scared. She’d ring her private doorbell for her mom, Leah, who would then come and comfort her throughout the night. Leah was exhausted and open to anything that could help Natalie find better sleep and a more comfortable safe space. With her zPod, Natalie sleeping over 10 hours a night on average, and both she and Leah get much better sleep.

DAWSON

A SAFE HAVEN FOR A CHILD (AND FAMILY) IN DISTRESS

At a very young age, Dawson was diagnosed with childhood-onset schizophrenia, dissociative identity disorder, and autism spectrum unspecified. For nearly all his life, Dawson had been sleeping only two hours a night. Most nights he’d be completely awake and his parents had to invest a lot of time making sure he was comfortable. For Dawson to get even the smallest amount of rest, he required up to four sleep medications. He’d fall asleep in school, often hallucinated, and wouldn’t really show affection to his parents or siblings. His parents had exhausted all options as his behavior was becoming very challenging around the family—especially when exhibiting anger and discontent. Sometimes even slamming plates at the dinner table. Or he would just be emotionless with fatigue. It was getting to the point where there was consideration of having him committed to a residential institution to seek additional help and support.

“Well, we have some interesting news. So many amazing things have happened since getting his new bed and starting his zPods adventure,” reported Dawson’s family.

LEADERSHIP

Stakeholder feedback is crucial for setting direction

Inequality leading to major disruption

Findings from the highly respected annual Edelman Trust Barometer surveys over 20 years pointed to community trust around the world being spurred by economic growth. However, the conclusion in 2020 is that community trust continued to be maintained in Asia and the Middle East, but not in developed markets, where income inequality is now the more important factor. Many respondents in every developed market do not believe they will be better off in five years’ time, and more than half of respondents globally believe that capitalism in its current form is now doing more harm than good in the world.

Income and wealth inequality has become a key cause of unrest in many western countries as statistics reveal the rich have gotten richer and the lives of most others have not improved much. For example:

• Income inequality in the United States in 2019 hit its highest level in more than 50 years, according to US Census Bureau data published in September 2019, even as the nation’s poverty and unemployment rates were at historic lows.

• According to a study by the US Economic Policy Institute, CEO pay rose about 1,000% between 1978 and 2017 in 2017 dollars. The Standard & Poor’s 500, by contrast, rose 637%, while the typical worker’s salary increased all of 11.2%. The average American worker’s wages were flat in real terms from 2000 through 2018 before picking up in 2019.

• Nobel Prize-winning economist Paul Krugman observed in The New York Times on 24 November 2011 that in the 25 years to 2005 the inflation-adjusted, after-tax income of Americans in the middle of the income distribution rose 21% while the income of the top 0.1 percent rose by 400%.

In recent years, employees have seen CEO salary packages skyrocket. For instance, in Australia in 2018, the highest paid CEO was paid 435 times the average wage. The chart below reveals the huge differences in pay between CEOs and average workers in a range of countries shown on page 34.

Company profits have risen sharply at the same time, but the pay of workers has stagnated during this period, and many jobs

have been lost in traditional industries.

PR publisher Paul Holmes quotes Christopher Storck, head of a large German consultancy and professor of communication management and strategy at a Berlin university: “Business leaders have to reconnect with society again. Companies must create value for all stakeholders. They must establish and maintain mutually beneficial relationships with all individuals, groups, and communities who provide resources that the organization wants to deploy in its value creation process.”

Holmes also quotes Richard Edelman, head of Edelman, the largest PR firm in the world: “It is time for business to move beyond words to action if it wishes to restore trust. In the absence of trust and credibility, anything companies have to say will be treated with skepticism, if not downright hostility. Only actions will matter. When people trust nobody, they will turn to anybody.”

Top-down management inefficient and unsatisfying to workers

Uncertain economic conditions, unpredicted business challenges, and pressure for organizations to be more agile has led to further uncertainty for business leaders. Most business leaders work through all this in the traditional way – by managing from the top down. Many of them don’t understand that their employees are the most important stakeholders of all. Organizational

36 ROTOWORLD® ISSUE 4 • 2022

LEADERSHIP

managers need to work on managing their workforces in a more enlightened way.

However, 64% of employees surveyed in a CEB survey of 6,686 employees in 2016 said their bosses persist in a top-down approach that lowers workers’ level of trust and confidence in their leaders. Workers say they hesitate and wait for direction before changing their work methods. They report that they are doing too much unproductive work and they tend to resist change.

Genuine dialogue vital CEB consultants conclude that the organization should push decisionmaking and accountability closer to the frontline. Management should use a two-way conversation strategy, not just a communication strategy. The best leaders engage employees in a dialogue rather than increase the volume of communication delivered to them, i.e. they should listen with more respect.

In their 2016 survey, the CEB consultants found two-way communication makes employees less anxious (29% compared with the top-down-telling approach causing anxiety among 51%), increases employee hope (35% compared with 17%), reduces employee anger (5% compared with 24%), and builds organizational pride (59% compared with 27%).

One very clear thing is that governments and companies in recent years haven’t been listening enough to their constituents –their stakeholders. The recent upheavals are a result of this.

Alon Feuerwerker, head of the political practice at Brazilian firm FSB, says: “In a world with easy access to multiple sources of information, it is not enough to repeat the message…you need to dialogue and interact to obtain attention and trust from those affected. You need to avoid arrogance.” Social media is only a partial solution to enable people to feel their views are being taken seriously and acted upon.

Companies also need to recognize that as the credibility of mainstream media declines – third-party endorsement from that source has weakened, and companies need to learn to use new channels that involves genuine interaction with their stakeholders.

Within organizations, due employee recognition is one way to increase satisfaction and engagement, but management needs to approach this activity with authenticity and respect to their employee stakeholders. The worst thing is to use employee recognition to increase worker productivity at minimal cost. Employees will see through fake management attitudes and will

respond negatively. The core of employee recognition is genuine two-way interaction between the organization and its employees.

Avoid the ‘post office’ method

Communicators need to minimize the one-way communication mentality. Management consultant and former Harvard University fellow Elizabeth Doty says the approach of too many organizations is based on an outdated mental model: “It’s a model best described as a ‘post office.’” They view themselves as the sender of a message, and others as the receivers.” These leaders are preoccupied with their own message, which leaves them ignorant about the larger context and the views of their stakeholders.

Effective listening to stakeholders should be built into organizational behavior

In a 2013 paper on organizational listening, Australian communication professor Jim Macnamara said, “Other than for strategic planning and targeting purposes, organizations listen to stakeholders sporadically, often in token ways, and sometimes not at all.” A stakeholder is any person, group, or organization who can place a claim on an organization’s attention, resources, or output, or is affected by that output. They have a stake in the organization, something at risk, and therefore something to gain or lose because of corporate activity.

In his pilot study, Macnamara found the job descriptions of heads of communication and public relations “contained no reference to functions related to listening, such as systematically collecting and evaluating feedback, doing formative research, or

Ratio between CEO and average worker pay in 2018, by country
www.rotoworldmag.com 37

LEADERSHIP

responding to stakeholder opinion or concerns…there was no mention of changing organization behavior to meet stakeholders or publics’ concerns…only reference to achieving organizational concerns, interests and objectives…the only function that seems to make any sustained effort to listen and respond directly to publics or stakeholders is customer relations.” Check your management and communicator’s job descriptions. To what extent is a listening or intelligence role apparent?

The intent should be to explore issues or opportunities together with stakeholders. This two-way dialogue is powerful for creating breakthroughs. Professor James Grunig’s concept of symmetric two-way communication returns – taught to all PR students as the perfect model! This model recognizes that others have something worthwhile to say and we should be willing to listen.

Develop one-on-one listening skills

Strong face-to-face listening skills can make a critical difference to the performance of senior executives, but few are able to cultivate these skills because they are more intent on pushing their own preconceptions than absorbing the perspectives of others. This matters because listening is the surest, most efficient way for

senior executive to come to the judgments they must make.

A useful formula incorporating some key recommendations by former McKinsey consultant Bernard Ferrari in his article “The executive’s guide to better listening” are:

1. Slow down. If others find you stressed, overloaded, or distracted, they will avoid disrupting your preoccupations. By being respectful to the presence of staff, you will create the opportunity for people to come to you with new information, questions, and ideas.

2. Show respect by a willingness to be influenced. Create time and listen with an open mind.

3. Keep quiet. Try to follow the 80/20 rule – allow the other person to speak 80% of the time rather than trying to speak over and past them. Ask open-ended questions to encourage the other person to think through solutions.

4. Challenge assumptions. We must be prepared to challenge long held and cherished assumptions, as in item 2 above. Ferrari quotes the title of a book written by highly successful baseball coach Earl Weaver: It’s What You Learn After You Know It All That Counts.

5. Summarize and ask for commitment to the next move.

38 ROTOWORLD® ISSUE 4 • 2022
www.rotoworldmag.com 39 Family-Owned and Operated Since 1997 Committed to Excellence in Rotational Molding Proudly Supporting the Association of Rotational Molders! Some Things Just Stick J-Bond Call or Click Today (330) 730-1140 info@jericoplas tic.com Functionalized Polyethelyne Resin J-Bond was developed for adhering Polyurethane foam to Polyethylene. It provides outstanding adhesive properties by forming a bond between itself and the insulating foam. It’s not as natural as our friend here sticking to a tree, but J-Bond is about to make a huge impact in the world of demanding foamed applications like coolers! Stick with Jerico quality custom compounds! PE and foam are not among these things. Introducing Phone (330) 334-5244 Fax (330) 334-9123 JericoPlastic.com info@jericoplastic.com

Graphically speaking

Branding with Graphics – Design Guide (Section 2)

Starting up a new branding project requires great preparation. We would like to share the knowledge gained through the previous 20+ years of experience, and have prepared a guide broken into 5 essential sections.

In Section 1 - Product design and mold detail, we covered surface textures, product shape and thickness, brand positioning, and purpose along with plastic types and molding processes. In Section 2 we help you choose the correct graphic type to best suit your branding project.

Good luck on your project!

SECTION 2: Choosing graphic types

End-use application

Start with end in mind, will this product be used outdoors or indoors, positioned horizontal or vertical, will it face direct or partial sunlight, is it subjected to abrasion, immersed in saltwater, splashed with petrochemicals, require pressure washing regularly, or not at all. All graphics are not created equal, so we have provided a quick chart to see which type best suits your application below.

Graphic Constructions

Constructions will differ based on the supplier, so the below are examples PSI Brand offer.

1. INMOULD ORIGINAL Printed on an opaque polyolefin substrate, this easy peel & stick construction can also be clearcut or die-cut to give edge definition. Supplied on a transfer sheet and precoated pressure-sensitive adhesive.

2. INMOULD X-TREME Printed on a naturally transparent polyolefin film, with similar attributes to the Original version, with the added benefit of improved abrasion and flame resistance.

3. POSTMOULD. Printed opaque polyolefin substrate, supplied on a transfer sheet for heat-transfer application, provides excellent adhesion to most plastics.

4. HI-TAC VINYL DECAL. Printed onto a clear or white vinyl substrate, this pressure sensitive adhesive decal offers superior adhesion to most low-energy surfaces such as plastic.

As with any supplier, PSI Brand graphic systems are unique. You should treat each new graphic as a R&D project, especially if you have used a graphics from a previous supplier, and allow extra time for operators to adopt new methods.

Colour options and UV stability

In printing and graphics, corporate colours are called spot-colours and are determined by quoting PANTONETM colour matching

40 ROTOWORLD® ISSUE 4 • 2022
Sun & UV Snow & Ice Abrasion¹ Marine Petrochemicals² Pressure-wash In-Mold Excellent Excellent Excellent Excellent Excellent Excellent Post-Mold Excellent Excellent Fair Fair Fair Fair Vinyl Decal Excellent Excellent Fair Fair Fair Fair ¹Beach sand, brush type foliage 2 Petrol, Diesel, Ag-chemicals

system numbers. Spot colours provide long-life expectancy, we say the ‘for life of the part’. We recommend your own testing in the specific elements. PSI Brand has tested to 8000 hours in a QUV Weatherometer, a testing unit that mimics extreme outdoor environments, and have seen graphics last over 20 years in some instances.

Digital print technology has become more mainstream, providing photo-quality finish, suited also for consecutive and variable data such as serial numbers, barcodes, or QR codes. Screen spot-print colour technology so far outperforms digital print technology for outdoor fade resistance, however as this technology improves, PSI expects this performance gap to close.

Transparency and opacity

Does your brand require a level of transparency, i.e. liquid level indicator or back-lit part such as lamps or roading bollard? If so, PSI Brand recommends their unique INMOULD X-Treme Type for this application as the natural film construction is transparent. If your branding is of corporate nature, and required 100% accuracy across many part colours, it may need to be necessary to add a White back-print to ensure colour consistency.

Special features

When does your brand require that x-factor? The little known, yet available special finishes that makes your brand recognizable.

Fluorescents for hi-visual effect are available yet are not recommended for outdoor applications as any fluorescent pigment does not support long-term fade resistance.

Reflective additives are also available, like that used in road marking on lane guides suitable for outdoors.

Metallics such as silver and gold effects, offer extra bling factor and are most readily available.

Conductive inks are used for specialist applications such as creating antennas for PSID™, an RFID electronic tracking system for plastics.

Finish strong… typically graphics are finished with a Satin coating, which provides a plastic-type appearance, however a Matte is recommended for a military-type, extra low-sheen finish. Alternatively, a Gloss finish will provide a super-smooth, mirrorlike finish.

Adhesives available for in-mould types from PSI Brand include their standard, cleanable adhesive, and PTACTM, peel-off type. Standard adhesive is the most popular type, as it’s well suited for a wide range of temperatures and mold surface types. While this leaves a residue that requires post-cleaning, secondary finishing processes are easily adopted. PTACTM is a more rigid adhesive, therefore less suited for curved or textured mold surfaces, and may prematurely release from hotter molds where application temperatures exceed 40°C (104°F). Post-mould heat-transfer graphics are pre-coated with a positioning adhesive, which activates with heat. This adhesive is not the bonding agent, rather just used as assist transfer onto an oxidized surface. 7-Year Decals feature a hi-tack adhesive, designed specifically to bond to lowenergy surfaces over time.

In summary

Not all graphics are created equal, so we hope you found this guide to choosing graphic types useful in maximising your branding opportunities. To see more on Steps 1 through to 5 in the complete guide, please visit our website at www.psibrand.com/ design-guide.

www.rotoworldmag.com 41

FORTLEV - A ROTOMOULDING GIANT – 100% BRAZILIAN

Fortlev is the number one manufacturer of water tanks in Brazil, making thousands of tanks a day. This scale is not surprising when you consider Brazil has a population of about 215 million and is the 5th largest country in the world.

The Fortlev success story began in 1989, in Viana, a city in the Greater Vitória Metropolitan Region, in Espírito Santo, Brazil, with the manufacture of Fibre Reinforced Plastic (FRP) water tanks.

weight. This is how the company name Fortlev came into being, from the Portuguese words “forte” (strong) and “leve” (light).

In 1998, Fortlev innovated and launched their blue polyethylene water (box) tank range, again using a material that provided strength, flexibility, and safety for water storage. Of course, they manufactured these water tanks using the rotational moulding process. Fortlev began to dominate the national water storage market as cement tanks were quickly replaced by FRP and PE tanks.

In 2005, to keep up with growing customer demand they opened a second factory in the state of Bahia, which gave Fortlev direct access to the growing tank market of the arid northeast region of Brazil. Fortlev invested in new technology when they built a plant in Bahia to melt compound and pulverise their own polyethylene raw materials, which enabled them to exercise control over its entire rotomoulding production process.

In 2005 Fortlev, established its own sheetmetal mould fabrication plant to eliminate the long lead times for new moulds. This investment in plant and skilled tradesmen not only reduced lead times it also reduced the costs involved for new moulds and the maintenance of existing moulds. They currently have more than 1,000 moulds in operation.

The desire of Fortlev to continue to innovate was demonstrated in 2007 when Fortlev, in partnership with Braskem, the local polyethylene producer, travelled to Australia. Australia was seen as a model for the development of innovative water storage solutions.

Compared to the cement tanks available in the market the FRP tanks were considered durable and strong, while being light in Fortlev facilities in Brazil ROTO around the world Ian Hansen, RotaConsult
42 ROTOWORLD® ISSUE 4 • 2022
Before (FRP tanks) and After (PE tanks)

Braskem developed a special C6 grade of polyethylene for Fortlev to mould a novel underground water tank in partnership with an Australian rotomoulder.

Over the years, in addition to having the factory in the state of Espírito Santo, seven more factories were strategically installed in six Brazilian states: Bahia, Santa Catarina, São Paulo, Pernambuco, Goiás, and Amazonas. The objective was to guarantee the daily supply of its products to the more than 60,000 points of sale throughout the country. Today Fortlev has 8 factories that serve 100% of Brazilian municipalities, with more than 30,000 delivery trips per year.

Since their 13,000km odyssey to Australia, Fortlev has continued to invest in people’s skills through engagement with the global rotomoulding community, and sending key employees to rotomoulding conferences around the world in order to keep

up with industry developments. They have also taken advantage of the Rototour factory tours organised by ARMA during the last decade, which has taken many Fortlev staff into more than 50 rotomoulding factories in Europe, United Kingdom, China, Australia, India, and South Africa.

10 years ago they invested in micro-pellet technology in order to achieve competitive cost advantages; eliminating the requirement for pulverisers and reducing labour. This also delivered a reduction in warehousing space and transport costs around Brazil to their

growing number of rotomoulding plants. Today the volume of rotomoulding PE manufactured is >6,000Mt per month. Or >70,000Mt (>160 million lbs) per annum.

Fabrication of sheet metal moulds One of many delivery trips in Brazil Rototour of Germany & Poland, organised by ARMA, with Fortlev team members joining other moulders from around the world. Ferry 5.0m carousel and 500L tanks
www.rotoworldmag.com 43

Fortlev operates over 50 rotomoulding machines throughout Brazil, mainly in shuttle and carousel configurations. Rotomoulding is known as a labour-intensive process, but Fortlev is moving to

sheets and PVC pipes and connections, along with becoming the largest distributor of solar panels in Brazil.

With a diversified portfolio of products, Fortlev dominates the Brazilian market. Fortlev use rotational moulding to produce different types of products, from small to large capacity tanks (up to 30,000L or 8,000USG) for water storage, industrial tank applications storing specialty chemicals, and domestic septic tanks.

Continued investment in technology and innovation over the past two decades has rewarded the company making it one of the largest independently owned water tank manufacturers in the world.

more automation. New technology has been introduced to minimise labour with the introduction of some high volume Rotoline CR5.20 carousel machines featuring automated mould opening and closing, in addition to on-line part weight control.

During recent years Fortlev have made substantial investments to improve their moulding operations, including technology for safety and more accurate weighing of materials. They use the latest technology to run a centralised industrial management and monitoring system for both its information technology (IT) and operational technology (OT) networks. This provides real-time data from within the manufacturing operation, including weight of material, power, and gas consumption.

Although water storage solutions remain Fortlev’s main focus, the company has diversified into the manufacture of PVC roof

ROTO around the world Rotoline CR5.20, with automated powder dispensing and semi-automated loading & unloading of parts Rotoline TQ50DC fully automatic multi-layer machine
“During recent years Fortlev has made substantial investments to improve their moulding operations, including technology for safety and more accurate weighing of materials.”
44 ROTOWORLD® ISSUE 4 • 2022

AT ISSUE

Automation and Improving Working Conditions for Production Operators – Can We Afford Not To Do It?

The rotomoulding industry is faced with many challenges, and one of the most universal is the shortage of skilled, reliable, and hardworking, shop-floor employees.

Worldwide, there is a combination of full employment, rapid wage inflation, and a fickle workforce who can choose what they want to do.

This represents a particular problem for rotomoulding, as the work is often very physical and the working conditions can be relatively unpleasant.

For the same money, why would you want to work in a hot, sticky, and noisy factory when you can work behind the counter in an air-conditioned shop, drive a forklift in a clean, quiet warehouse, or even work from home?

Manufacturing in general isn’t perceived as “sexy” these days, and if you add the word “plastics” to the mix, then we’re facing an uphill battle to attract and retain the right people.

So it is incumbent on all of us to try to make the job as attractive as we can, and this means making working conditions as attractive as possible and reducing heavy manual and repetitive work.

There are lots of innovations out there and it’s worth moulders investing some time in finding out what labour-saving devices are available and investigating what processes can be automated.

As a manufacturer of rotomoulding powders, we are very familiar with many of the issues our customers face. We perform a large amount of manual handling of bags of material - usually 20 kg (44 lbs) and 25 kg (55 lbs) bags - and

some of our staff have been injured from repetitive heavy lifting.

It was discovered that there is a tool called a “Vacuum Lifter” that allows our production staff to pick up and move bags of polymer with minimal physical effort. We initially trialed this system in our factory in the UK to prove the concept and then invested in several more units.

Automating the movement and delivery of the powder around the facility and directly to the oven is another laboursaving process that can be implemented in a ROTO facility. The ROTOLOADTM powder weighing, and dispensing system is a proven device that we have come across. Wittman Battenfeld, Canada has developed the ROTOLOADTM, a purpose-designed device. By using this ROTOLOADTM system, moulders can measure out-shot weights accurately. They can also deliver the powder directly into a mixer or directly into the mould without manually weighing or lifting. Besides preventing repetitive strain injuries, the system ensures that shot weights are consistent and accurate. In addition to improving product quality, this will make the production operator’s job much easier.

Finally, I would like to mention the growing trend for rotomoulders to adopt more automated nonconventional rotomoulding techniques. This will significantly reduce and might even eliminate the role of the production worker. AMS and Persico have developed automated systems that do not require conventional ovens and can run without manual intervention, which have mostly been pioneered in Europe. Roto Evolution in Germany has also developed a robotised system of production cells.

The problem of labour shortages and costs will only continue to worsen. Our industry must continue to invest and find effective ways to improve the lives of our production workers. Do we have any choice?

www.rotoworldmag.com 45

ARM REPORT

Serving the Rotational Molding Industry Worldwide for Over 40 Years

The mission of the Association of Rotational Molders is to promote, educate, and inspire the rotomolding industry. For more information, visit ARM’s website at www.rotomolding.org or contact the Association at 630-942-6589 or info@rotomolding.org.

2022 ARM Annual Meeting

By the time you read this, we may be a week or two away from the ARM Annual Meeting. I encourage you to make a point of being at the meeting.

When I joined the industry 30 years ago, I did not know much about rotational molding or any of the people involved in the industry including suppliers, other molders, or educators. Joining ARM and attending meetings allowed me to fast track my indoctrination to rotomolding.

At meetings, everyone was so welcoming and eager to learn about me and share their thoughts and ideas. It truly was a wonderful and informative experience and has created lifelong friendships.

One of the main benefits of attending is the efficiency of the meeting process. In one place over a couple days, you are exposed to, and engaged with, a tremendous collective of brainpower throughout the entire industry. What a special and efficient way to learn!

“One of the main benefits of attending is the efficiency of the meeting process.”

Our Forums and Programs Committee, which is made up of rotomolders and suppliers like you, organizes a schedule of education sessions for the benefit of the entire industry. In addition to this, there is so much you can learn from the suppliers in our exhibit hall and from attendees you might meet over drinks. The convention starts before you’ve done anything on the official schedule.

I encourage you to attend the upcoming ARM Annual Meeting in Atlanta this November. You won’t regret it.

Matt Bushman 2022 President, Association of Rotational Molding President, Plasticraft Corporation

46 ROTOWORLD® ISSUE 4 • 2022

ARM REPORT

ARM 2022 Annual Meeting

We are excited to announce that registration is now open for the 2022 ARM Annual Meeting, November 6-9 at the Westin Peachtree Plaza in Atlanta, GA.

Our schedule of technical content as well as networking opportunities continues to grow in 2022. Here is a snapshot of the schedule:

Sunday, November 6

Committee Meetings

Full Day Seminars (Roto 101 in English and Spanish)

National Center for Human and Civil Rights Tour

Monday, November 7

Committee Meetings

Half Day Seminars (Advanced Rotomolding and Design Case Studies)

Keynote Speaker (Scott Daly of Focus3)

Exhibit Hall and Reception

Tuesday, November 8

General Sessions

Spouse Tour Workshops

Awards Dinner

Wednesday, November 9

General Sessions

Truist Park (Atlanta Braves) Tour

Program and Speakers

Details on each session are available through ARM’s email newsletter and on our website at https://bit.ly/RotoATL

Sunday Seminars

• Introduction to Rotational Molding Dru Laws, BYU-I

• Introduction to Rotational Molding in Spanish Operadora Miraplastek

Monday Seminars

• Advanced Rotomolding Dr. Nick Henwood, ARM Technical Director

• Design for Rotomolding Michael Paloian, Integrated Design Systems

Keynote

• Critical decision making for producing exceptional results

Scott Daly

Tuesday General Sessions

• Sustainability in Roto Martin Coles, Matrix Polymers

www.rotoworldmag.com 47

THE FOLLOWING COMPANIES ARE EXHIBITING

Avantech AXEL Plastics Brunk Celanese Chem-Trend Diversified Dow Entec ExxonMobil Chemical Ferry Gulf View Plastics Ingenia Jerico Lone Star Chemical LyondellBasell Lyten M. Holland McCann Plastics McLube Release Agents Mosaic Muehlstein Nexeo Plastics Norstar Aluminum Molds Nova Optimax Plastic LLC

Orenda Automation Technologies Inc Persico SPA Powder King Precision Products Enterprises LLC PSI Brand Quantum Polymers Rock Lake Robotics Rotaloc Roto Polymers

RotoEdge Pro (a system & product of SmaK Plastics) Rotoline Solvay Stoner

STP Rotomachinery TeknorApex Trademark Wittmann Battenfeld Canada Inc. Xcelerant

• Energy Efficiency

Rotoline

• Rotomoldable Acetal with Low Fuel Permeation and High Impact

Celanese

• Consumer Insights on Plastics and Sustainability Eugene Tabone NOVA Chemicals

ARM REPORT

• Case Study: 2021 Product of the Year-Rowdy Hound Rishi Saran, RotoDynamics

Workshops

• Development of a New Family of Rotomolding Materials Dr. Nick Henwood ARM Technical Director

• Defining Automation through our 3D Philosophy with Beer Lisa Greentree, Wittmann Battenfeld Canada Inc

• Cool Aide Case Study

Process Optimization Committee

• What’s Your Problem in English Sandy Scaccia (Norstar) and Jon Ratzlaff (ChevronPhillips)

• What’s Your Problem in Spanish RotoPolymers

• Determining Your True Cost Stephen Osborn

• Five Factors Affecting Employee Retention in Rotational Molding Dr. Paula Orcutt

Wednesday General Sessions

• Enhance Competitive Advantage through Smart Product Design Erik Tribelhorn (Agri-Inject) and Tom Innis (Xcelerant Growth Partners)

• SMART-Hydrogen Cells

Persico

• Case Study: Driving Business Success through New Materials Dustin Turgeon, NOVA Chemicals

• Where Energy Goes in the Roto Process Gareth McDowell, 493K

• Optimizing mold clamping

JS Engineered Services

• 3D Graphene for Various Composite Applications Lyten

• Developments with Pressurized Gas Tanks Celal Beysel, Floteks

Special Events

• National Center for Human and Civil Rights Tour

November 6 – 12pm

• Spouse Food and Art Tour

November 8 – 10:45am-2:15pm

• Truist Park Tour (Home of the 2021 World Series Champion Atlanta Braves)

November 9 – 12pm-4pm

Don’t miss the Annual Meeting in Atlanta. Learn more and register at https://bit.ly/RotoATL

48 ROTOWORLD® ISSUE 4 • 2022

ARM REPORT

The Benefits of Membership

Train your employees, reduce scrap, connect with customers, learn from experts and peers. This is what comes with membership and the return on your investment is tremendous.

Complimentary Registration for the 2022 Annual Meeting

Provided for one employee for each new member company. This is your free entry to the world’s preeminent rotomolding meeting, held once every three years.

Sales Inquiry Notifications

We review sales leads typically from companies seeking molders – and email them to our member companies. We actively advertise for leads on behalf of our members.

Sample Operator Instructions

An 80+ page document calling out the highlights of nine company’s operator instructions. Also more than 700 documents and presentations from past Annual Meetings.

Immediate Free Access to more than 100+ on-demand webinars

Topics range from Determining Your True Cost to Proper Sampling Techniques. Twenty new titles were added in 2022.

Immediate Free Access to ARM’s classic training video library

Includes programs on curing, venting, and good manufacturing practices. All videos include Spanish subtitles.

Free Access to Troubleshooting Calls

These moderated teleconferences are conducted every six weeks (eight

per year) and allow you to troubleshoot your process and discuss HR issues with other molders, suppliers, and rotomolding experts.

Networking with Industry Peers

The greatest ARM benefit: Informal learning at a coffee break could revolutionize your process or reduce your expenses by tens of thousands of dollars. We hear it from members again and again.

Awards and Awareness

Showcase your company in our online member directory and through awards including Safety Award, Product Competition, and more.

Discounted Registration to all ARM Meetings

Includes regional meetings, the in-depth Hands-On Rotomolding Workshop at Penn College, and our Executive Forum which will be held in Italy.

Rotolink

Our twice weekly e-newsletter shares important industry news.

Annual Meeting

The premier event for rotomolders, their suppliers, designers and educators. Programming includes professional and industry speakers, valuable networking, group workshops, and exhibition.

To apply for membership, please visit www.rotomolding.org

www.rotoworldmag.com 49

Creep Studies on Rotomoulded Materials

The rotational moulding industry is looking to increase its utility spectrum from simple hollow products for storage purposes to complex engineered products used in structural and automobile applications. As such applications require satisfactory performance of products for several decades, consideration of their creep performance in design is extremely important. Creep is the time-dependent behaviour of polymers under constant stress that causes changes in the dimension of a product and can adversely affect the product to resist loads leading to their premature failure. Unlike metals, most of the polymers used in rotational moulding can fail due to creep at stresses less than the ultimate strength, even at room temperature. Of late, Polypropylene (PP) is looked upon as a preferred choice of material for such products, apart from the conventional high density (HDPE) and linear low-density polyethylene (LLDPE) grade materials, mainly due to its excellent static mechanical properties. This study presents a comparative analysis of the creep behaviour of PP with two commercially used hexene (C6) and butene (C4) grades of LLDPE to understand the long-term performance of products made out of these materials. For this purpose, accelerated creep testing using the stepped isothermal method (SIM) was carried out at three commonly used stress levels of 3.5, 4 and 4.5 MPa and the creep behaviour was predicted at reference temperatures of 25ºC, 40ºC and 60ºC. To compare and validate these findings, conventional creep experiments were performed for up to one year and the creep behaviour was extrapolated using Findley’s equation. This study was further extended to develop a creep model using the Norton Bailey law to predict the primary and secondary creep stages. This model can efficiently predict the creep behaviour in a shorter time and thus can be used in the design of engineered products where creep failure may be a concern.

Material and Methods

A rotationally mouldable grade of PP under the trade name RMPP141 supplied by PSD Rotoworx, Australia was used for the experimentation. Two commercially used hexene (C6) and butene (C4) grade LLDPE, generally used for domestic and engineering

applications, were chosen for comparison and they are designated as LLDPE 1 and LLDPE 2 in this investigation. The material properties are listed in Table 1.

Rotational moulding of the samples was carried out on a PRD BSE400 Minibiaxial Roto machine having an electrically heated oven. Mouldings with a nominal wall thickness of 3mm were made from a 171 mm steel cube mould. The oven temperature was set to 300ºC and to ensure proper curing of the samples, the Internal Air Temperature (IAT) within the mould was monitored. A Peak Internal Air Temperature (PIAT) of 195ºC for LLDPE 1 and LLDPE 2 and 220ºC for PP was considered as an indicator for optimal curing[1,2]

Accelerated Creep Testing

The SIM accelerated creep tests were performed on a TA Instruments Q800 DMA in Creep-TTS mode, using a typical three-point bending configuration. The flexural characteristics are of paramount importance for the rotationally moulded products being used in engineering and structural applications. Moreover, the material is subjected to both tensile and compressive forces in a three-point bending configuration. Hence, this configuration was preferred for creep testing. SIM is an alteration of the conventional time-temperature superposition (TTS) principle, wherein a single specimen is subjected to different temperatures at the same load[3,4]. Before the accelerated creep test, a stress sweep was performed on the PP and the two LLDPE samples to determine the linear viscoelastic range. Based on this test, three different stress levels of 3.5, 4 and 4.5 MPa were chosen. Generally, rotationally moulded products are designed to function at these stress levels.

Conventional Creep Experiment

Flexural creep experiments were performed over one year at 25ºC, 40ºC and 60ºC using a six-station dead weight loading setup. Specimens of dimensions identical to the accelerated creep were prepared and preconditioned in the test environment for 48 hours prior to the test. An electronically heated oven with an accuracy of ±1ºC was used when performing tests at elevated temperatures.

Pozhil S. N., Sachin D. Waigaonkar, and Vikas V. Chaudhari Department of Mechanical Engineering, BITS-Pilani KK Birla Goa Campus, Goa, India
50 ROTOWORLD® ISSUE 4 • 2022
Table 1: Material properties Material Code MFI (g/10min) Density (g/cm3) Flexural Modulus (MPa) Propylene-ethylene block copolymer PP 11 0.900 1,100 Ethylene-1-hexene copolymer LLDPE 1 3.2 0.939 750 Ethylene-1-butene copolymer LLDPE 2 4.5 0.936 600

Results and Discussions

Analysis of SIM-TTS data

Though the present study consists of three stress levels, the raw strain data generated from the SIM-TTS experiment at a representative stress of 4 MPa and 40ºC, as shown in Fig. 1, is presented here. The variation of strain to the applied constant stress with the increase in temperature levels is recorded and based on the calculated shift factors, a creep master curve is generated at 40ºC. By following a similar procedure, the creep behaviour up to 100 years was predicted using SIM TTS and creep curves were generated at 3.5, 4, and 4.5 MPa. These are shown in Figs. 2, 3 and

Figure 2: Creep response at 25º C (a) 3.5 MPa (b) 4 MPa (c) 4.5 MPa

Figure 3: Creep response at 40 º C (a) 3.5 MPa (b) 4 MPa (c) 4.5 MPa

4 respectively. It can be seen that PP shows a higher resistance to creep at the applied loads and at all selected temperature levels. At 60ºC, only PP showed creep resistance, while LLDPE 1 and LLDPE2 showed excessive creep deformation to the applied load beyond the scale of the plots and their creep predictions are not included in the results.

Figure 4: Creep response of PP at 60 º C

Figure 1: SIM-TTS experiments of PP at 4 MPa
www.rotoworldmag.com 51

Conventional Creep Test Results

The creep response of the materials under investigation using a dead weight loading setup is plotted in Figs. 5, 6 and 7. Tests carried out at 25ºC and 40ºC did not result in any failure of the specimens and the strain values were also within the recommended strain, as prescribed in ASTM D-2990[5]. For the test carried out at 60ºC, only PP showed resistance to the applied load, while LLDPE 1 and LLDPE 2 deformed excessively and failed before 1,000 hours.

accelerated creep test offers only a snapshot of the ageing and does not reflect on the continuous ageing process happening during the long-term test. During such tests, the continuous ageing with the application of load increases the polymer’s stiffness with increasing time[6]. Therefore, the creep predictions are found to be less when compared with SIM master curves.

Figure 5: Creep response at 25º C (a) 3.5 MPa (b) 4 MPa (c) 4.5 MPa

Figure 6: Creep response at 40 º C (a) 3.5 MPa (b) 4 MPa (c) 4.5 MPa

Extrapolation by Findley’s Equation

For comparing the two creep methods, the results of the conventional long-term creep were extrapolated for a decade using Findley’s equation. According to the equation, the creep strain (εc) is expressed as:

Where ε0 is the instantaneous strain, m is both stress and temperature-dependent constant and n is the temperaturedependent material constant. The constants used for extrapolating the experimental data are listed in Table 2. The plot comparing the creep strains obtained by different creep methods for PP at 4 MPa and 40ºC is shown in Fig. 8. The SIM-TTS creep curves match the actual creep data. The extrapolated results show a slight divergence from the curves obtained using SIM and this is presumed to be the effects of physical ageing. The short-term

Figure 7: Creep response of PP at 60 º C

52 ROTOWORLD® ISSUE 4 • 2022
ε c = ε 0 +mtn (1)

Sample Stress

PP 3.5 0.0026 0.00035 0.1595 0.0035 0.00038 0.1842 0.0097 0.00232 0.2060

4 0.0038 0.00105 0.0055 0.00095 0.0122 0.00220

4.5 0.0048 0.00078 0.0058 0.00063 0.0155 0.00425

LLDPE 1 3.5 0.0041 0.0032 0.2463 0.0062 0.00237 0.2429

4 0.0055 0.00286 0.0083 0.00289

4.5 0.0051 0.00211 0.0092 0.00374

LLDPE 2 3.5 0.004 0.00163 0.2571 0.0092 0.00194 0.1999

4 0.0056 0.00163 0.0099 0.00463

4.5 0.0058 0.00278 0.0107 0.00630

Creep Modelling

After conducting the experimental creep studies, a model is developed for its applicability in the design of rotomoulded products. Since the primary and secondary creep stages are the focus of this research, the Norton Bailey law was used to predict the creep strain. According to this law, creep is expressed as:

Where A, n and m are the constants that depend upon the material and temperature but are independent of applied stress. The Noton Bailey law has the versatility of being applied in simulation software. The commercial finite element method (FEM) codes use the time hardening model to implement the law with the following equation:

As all the creep tests in this research are conducted at a constant temperature, the exponential term is constant. Thus, the coefficients with relation to Eq. (3) are calculated as:

Table 3 shows the coefficients of the time hardening model of all materials used in this investigation.

Determining Coefficients for Time Hardening Model

From the results of the conventional flexural creep test conducted at different stress levels and temperatures, the material constants n and m of Eq.(2) are obtained by doing a linear regression analysis[7]. In order to implement the Norton Bailey law to the time hardening model as in Eq.(3), the obtained material constants are partially differentiated with respect to time and the strain rate is determined as:

LLDPE

LLDPE

0.00322 1.1373 -0.9710

0.00419 1.4001 -0.9869

0.02210 1.5239 -0.8711

0.02125 1.6769 -0.8076

0.01065 2.4071 -0.7836

0.04301 1.3768 -0.7602

0.00177 2.8937 -0.7521

Finite Element Modelling

In order to mimic the conventional creep test, a three-dimensional finite element model was created in ABAQUS-Standard 2016. The specimen was applied with linear hexahedral 8-node C3D8R elements. The material properties in Table 1 and the coefficients

www.rotoworldmag.com 53
(MPa) 25ºC Ԑ 0 m n 40 ºC Ԑ 0 m n 60 ºC Ԑ 0 m n
Table 2: Constants of Findley’s equation Figure 8: Extrapolation by Findley’s equation ε cr = Aσn tm (2) ε= c1σ c2 tc3e (3) . -c4 T c1e = A x m (4)T c2=n (5) c3=m-1 (6) ε= 0.00322 σ 1.1373 t -0.9710 for PP @25ºC (7) . ε= 0.00419 σ 1.4001 t -0.9869 for PP @40ºC (8) . ε= 0.02210 σ 1.5239 t -0.8711 for PP @60ºC (9) . Table 3: Constants for the time hardening model Material Temperature c1 c2 c3 PP 25º C
40 º C
60 º C
1 25º C
40 º C
2 25º C
40 º C
-c4

in Table 3 were applied to the model. The Von-Mises stress distribution of 4 MPa stress at 40ºC after 100,000 hours, i.e. 11.41 years, is shown in Fig. 9. Fig. 10 shows the comparison of the creep model with experimental results of PP at 40ºC. The creep curves from the model show good agreement with the actual creep data. This model can be used to predict the creep behaviour of these polymers at different stress levels without the need for experiments and can be used in the design of parts and components where failure due to creep may be a concern.

rotomouldable grade of PP even at higher temperatures.

• Accelerated creep testing was compared with conventional creep testing data, wherein Findley’s equation was used to extrapolate the data obtained from the conventional creep test. It was found that the predictions of SIM accelerated creep tests were in agreement with the conventional creep test data. This application of accelerated creep testing can save significant time and efforts to predict long-term performance of rotomoulded products.

The creep model which was developed matches closely with the experimental predictions. Thus this model can be used to predict the creep behaviour of the polymers in a shorter time and hence can be effectively used in the design of engineered rotationally moulded products.

Acknowledgments

This article is based on the original article written by the authors under the title “Creep behaviour of rotomouldable grade materials: A comparative study” published in the Polymer Degradation and Stability Journal (Volume199, 2022) https://doi.org/10.1016/j. polymdegradstab.2022.109904.

Figure

Conclusions

The Creep behaviour of rotationally moulded plastics plays an important role in the design of engineered products as their service life is expected to be over several decades. However, it is often ignored by moulders during the product design stage mainly due to the longer testing times and lack of comparative information about different rotomouldable grade materials. In this investigation, the creep behaviour of three commercial grades of materials used in rotational moulding is evaluated for their creep performance and the important conclusions that can be drawn out of the study are as follows:

• PP shows higher resistance to creep at all the applied loads and temperatures. At 60ºC, LLDPE 1 and LLDPE 2 failed within 1,000 hours of testing, while the creep behaviour of PP was predicted up to 100 years. This shows the applicability of a

The authors express their sincere thanks to PSD Rotoworx, Australia for providing rotomouldable grade PP for this research. The authors thank GreenAge Industries, India for their help with the rotomoulding experiments. The authors also acknowledge Society of Asian Rotomoulders (StAR) for their valuable support to carry out this work.

References

1. R. Kent, “Processing quality management,” Qual. Manag. Plast. Process., pp. 293–336, 2016, doi: 10.1016/b978-0-08-1020821.50010-1.

2. M. J. Oliveira, M. C. Cramez, and R. J. Crawford, “Structureproperties relationships in rotationally moulded polyethylene,” J. Mater. Sci., vol. 31, no. 9, pp. 2227–2240, 1996, doi: 10.1007/ BF01152932.

3. J. S. Thornton, J. N. Paulson, and D. Sandri, “Conventional and stepped isothermal methods for characterizing long term creep strength of polyester geogrids,” in Proceedings of the 6th International Conference on Geosynthetics, 1998, pp. 691–698.

4. V. Grebneva, K. Utkina, M. Sabri, and O. Stolyarov, “Application of Stepped Isothermal Method for Prediction the Creep Behavior of Extruded Polypropylene Geogrid,” Appl. Mech. Mater., vol. 725–726, pp. 611–616, 2015, doi: 10.4028/ www.scientific.net/amm.725-726.611.

5. “ASTM-D2990-Standard Test Methods for Tensile, Compressive, and Flexural Creep and CreepRupture of Plastics.” 2001.

6. F. Achereiner, K. Engelsing, M. Bastian, and P. Heidemeyer, “Accelerated creep testing of polymers using the stepped isothermal method,” Polym. Test., vol. 32, no. 3, pp. 447–454, 2013, doi: 10.1016/j.polymertesting.2013.01.014.

7. M. J. Dropik, D. H. Johnson, D. E. Roth, and P. State-erie, “Developing an ANSYS Creep Model for Polypropylene from Experimental Data,” Strain, pp. 161–173, 2002.

54 ROTOWORLD® ISSUE 4 • 2022
9: Von-Mises stress distribution of 4 MPa at 40 º C after 100,000 hours Figure 10: Comparison of the creep model of PP at 40 º C with experimental results

COMMENT

A great design is simply a well-thought-out plan for a new product. It requires a broad range of considerations including aesthetics, engineering, manufacturing, marketing, user requirements, material science, cost, application requirements, and distribution. Comprehensive product design programs usually require a team of people to provide important information within each of these areas of specialty. All this information is usually compiled within a set of product specifications interpreted by one or more designers and engineers into a physical product. The process must be well managed to be completed within a reasonable schedule. Wellmanaged projects include good managers and a team of proficient contributors. There is no place for infighting or politics; however, many projects are plagued with these problems.

Great designs are developed by highly creative designers and skilled engineers who share a common vision usually provided by a visionary in the company. Creative designers can interpret the verbal concept into a range of innovative visual representations that retain the essence of the original thought plus introduce many new and exciting enhancements. Developing these concepts requires imagination, talent, artistry, and basic knowledge of how the product will be manufactured. These designers are usually industrial designers who are focused on the end user and propose designs that appeal to the needs of the end user. This perspective is very different from those of engineers who are focused on functionality, performance, and reliability. Together, these two mindsets can generate great designs if they are well managed and their focus remains constant.

Industrial designers often provide the magic that can inspire an entire development team. After the seed has been planted, a strong engineering team can synergistically collaborate with the industrial designers to transform the concept into a real product. This critical translation is an essential step for any successful product. Engineers must creatively integrate the design intent with real-world parameters. Rotationally molded parts require extensive

knowledge of the molding process, tooling, secondary operations, and a wide variety of resins. This vast body of knowledge requires engineers to invest many years in learning the business and all its benefits as well as limitations. Application of this knowledge with technical proficiency and creative insight translates into great innovative designs.

A solid engineering team can enhance a great concept by consolidating parts, simplifying assembly, improving performance, increasing reliability, and eliminating costly mistakes during production startup. Well-engineered products that look great and are optimized for the end user provide high value which translates into high profits. Products such as these are manufactured costeffectively. They are manufactured with high quality and they are optimized for the end user. These are the essential ingredients for a successful product, provided it is marketed well.

I hope this short but informative editorial has enlightened you on the importance of good design and how it will affect your bottom line. There is undoubtedly a direct correlation between profitable products and well-designed ones. Fortunately, the rotational molding industry is realizing this simple equation as demonstrated by the constant introduction of innovative new products every year. There is no limit to where this trend will lead

Contact me at paloian@idsys.com if you want to drop me a line.

www.rotoworldmag.com 55 Great Design: The Key to Making BIG BUCKS

ARMA Visits the Roto Industry

The ARMA Board believe it is important for ARMA to spend time with the industry, through factory visits, workshops, or the conference. One of the objectives from our Strategic Plan was for the CEO, Michelle Rose, to visit members and supporters where possible once Australia and New Zealand opened.

Through July and August over 30 factories were visited in New Zealand and Australia, with further visits planned in New South Wales and Tasmania in the coming months. Combined with the attendance of the Rotomould Conference of over 120 moulders and suppliers and ARMA is well on its way to achieving its goal.

These visits provide an opportune time to discuss the issues that are happening within companies, along with any wins and successes. Much of the rotational moulding industry is very busy, and this has been constant over the last few years. However, this has been accompanied by increased costs for practically everything, including energy, transportation, materials, and labour. And then there is the conversation with customers as price increases are subsequently passed on. While this is occurring globally, and in a variety of industries, it can feel isolating within a business.

After so long, it was great to tour factories, see what products are developing, what new initiatives have been put in place, and generally talk all things “roto”.

It also provided an opportunity to discuss ARMA agenda topics that could benefit our members and supporters, such as the energy buying group, available marketing & technical information, and all the Operation Clean Sweep and recycling-related projects.

With a board planning session for our subcommittees and our next strategic planning session, the future of ARMA and what the industry believes we should be working on for safety and the environment was also discussed.

As Jason Walker from ARM Ltd in New Zealand commented: “After all this time it was great to see ARMA and Michelle back in New Zealand, as valuable as online meetings are, nothing beats an in person visit. A face-to-face meeting enables you to get updates from ARMA, and for me to communicate back the issues we face and the successes we have had at ARM. I also look forward to catching up with everyone again at the Rotomould conference this year!”

And a pearl of wisdom from Grant Palling of Matrix Polymers: “It was great to see Michelle Rose in person at our facility in Brisbane. It never fails to surprise me how unforeseen insights are gained from face-to-face meetings. Catching up with Michelle was no exception and we’re already working on actions to come out of the catch up.”

ARMA in Factory Training Program in Action

With major issues around skill shortages, the ARMA In-Factory Training provided staff at several sites in Australia and New Zealand with training and knowledge in the areas that were needed, specific to each business.

The training included multiple sites within businesses as well as extended training sessions. We also have two local businesses bring their staff together in one location for the training, and to network with other factory floor workers.

Ian Hansen, with over 35 years of rotational moulding experience provided training around topics such as: Introduction

ARMA | ARM-CE | ARMSA | BPF | IT-RO | NORDIC ARM | StAR ASSOCIATION OF ROTATIONAL MOULDERS AUSTRALASIA LTD • ARMA ARMA Visit with members Q Tank in Queensland Ian Hansen providing training to the teams from Gyro Plastics & Stallion Plastics in New Zealand
ARMO NEWS
56 ROTOWORLD® ISSUE 4 • 2022

ARMO NEWS

to Rotational Moulding, what happens inside the mould during the process, optimal cure/cook assessment, moulds, parting lines, flanges, pry points, faster cooling, shrinkage & warpage, mould release application, specialised accessories, maintenance, and troubleshooting.

As part of the visit, ARMA also assisted companies with a site audit or self-audit with suggestions on what was required to

prevent pellet and powder loss to our waterways as part of the Operation Clean Sweep program. This will assist the ARMA Environment Group towards its goal of 100% of our members to be pledged by the end of 2023.

We encourage all parts of the industry to put in place practices to keep plastics out of the marine environment, and ARMA is taking a proactive approach to help the industry to adopt best practices under this international program by assisting with the process and have seen a good uptake from both the factory and training visits.

ARMA WEBINARS

ARMA recently hosted a webinar with Michael Paloian of Integrated Design in the US. Michael presented on Advanced Techniques in Rotational Moulding. During the webinar he talked about how to begin with an idea, developing it into a concept, start up, how to test and validate a design, and the production release. While the time differences made it difficult for a lot of live attendees the recording has had a great deal of interest and provided value to the industry.

If you are interested in presenting to the industry in this part of the world, we are always looking for interesting and innovative speakers and topics. Reach out to ARMA at info@ rotationalmoulding.com

Latest Resources for Members on Energy

Given the need to focus all efforts on reducing the cost of energy, members are advised there is available a free copy of the standard BSI ISO 50005 on energy management for small-to -medium enterprise companies (SME’s). BEIS has sponsored 100,000 free copies of the BS ISO 50005 standard to help SME’s ‘to develop a practical, low cost-approach to energy management to reduce energy consumption, energy bills, and greenhouse gas emissions’.

Energy management systems are systematic tools that support businesses in managing their energy usage. The BS ISO 50005 standard is designed through a phased/staged implementation approach to make it manageable for SME’s with small resource and capacity. Download your free copy.

Discover how you can lower your energy use and cut your energy bills at the third edition of ‘Controlling Energy Use in Plastics Processing’ by industry expert, Dr. Robin Kent of Tangram, which will be incredibly useful to all members - especially those who are worried about the energy crisis. Dr. Robin Kent will walk you through all aspects of the plastics manufacturing process, showing energy saving techniques at each stage.

The BPF put on an event: Meet the Energy Consultant on the 15th September 2022. This was an opportunity to have an online consultation with LG Energy Group from the comfort of your office, during a pre-arranged 20-minute consultation in which you can discuss your questions and energy issues with Energy Consultant: Richard White. Richard has over a decade of energy industry experience and was brought into LGE as our Solutions Strategy Manager, bringing with him a wealth of experience across the energy spectrum.

Please also note that BPF Director General, Philip Law, recently wrote to BEIS Secretary of State Kwasi Kwarteng to underline the issues caused by the massive escalator in energy prices on the plastics sector. He has requested that the Secretary of State address 5 key potential interventions in the energy market. He also passed on the latest findings of the BPF Business Conditions Survey and underlined the fact that many companies are having difficulties passing energy costs on down the supply chain.

We will continue to support members in a time of increasing energy costs in any way we can.

BRITISH PLASTICS FEDERATION ROTATIONAL MOULDING GROUP • BPF Michelle Rose, ARMA CEO catching up with Lester Ferry from Global Rotomoulding Great to see the ARMA Safety Posters in the majority of factories visited!
www.rotoworldmag.com 57

New Enthusiasm at First Post-COVID StAR In-Person Regional Meet

The first in-person StAR Regional Meet since the long pandemic disruption was held at the southern India city of Coimbatore on 30th July, ’22.

The Regional Meet cum Tabletops show was based on the highly relevant theme in present times of Custom Moulding vs Tanks; Emerging Roto Opportunities in a Changing Scenario.

The excitement among participants of meeting each other after the long break was very much in the air as presentations and interactions threw up many new ideas to find solutions to the fresh challenges. Going for qualitative changes in production and marketing techniques seemed to be a way forward to spur growth and development that the industry had sorely missed out on

during pandemic times.

The interesting topics built around the theme presented by well-known speakers along with Tabletop displays kept alive attendees interest right through the meet.

• What is Rotomoulding – a unique solution

By S N Pozhil, BITS – Pilani, Goa

• The Art of Choosing the Best Rotomoulding Material for our need

• Importance of Branding – Enhance product value by permanent branding

SOCIETY OF ASIAN ROTOMOULDERS • StAR Attendees Table Top S N Pozhil, BITS Pilani Goa S Padmanabhan Brilsol Ravikumar, Roots Multiclean Umakant Savadekar, Phychem Technologies
ARMO NEWS 58 ROTOWORLD® ISSUE 4 • 2022

SOCIETY OF ASIAN ROTOMOULDERS • StAR

At the Welcome to the third regional meet of StAR at Coimbatore and the first physical StAR event since the onslaught of the pandemic, the ideal location of the city for entire South India, and its technology orientation was pointed out as very conducive to renew industry promotion activities of StAR.

35 attendees from 16 companies, 10 of whom were Rotomoulders who were present on the occasion, introduced themselves along with their business profiles which laid the ground for networking.

• New Materials: New Applications

By Venkit Mahadevan, PolyLink India, Daman

• Rotational Moulding Process – Quality Control

By Umakant Savadekar, Phychem Technologies, Nashik

• Smart Manufacturing and Innovation

By R Ravikumar, Roots Multiclean, Coimbatore

• StAR ’23 Delhi Conference; Together Towards Tomorrow

By S B Zaman, StAR Exec Director

Association of Rotational Moulders Australasia Inc.

Tel: +61 (0) 7 3812 1450 www.rotationalmoulding.com

CEO: Michelle Rose

Cheif Executive Officer: Michelle Rose michellerose@rotationalmoulding.com

Association of Rotational Moulders Southern Africa

PO Box 6966

Birchleigh 1621 Gauteng, South Africa

Tel: +27 82 772 3769

Fax +27 12 541 1738

Chairman: Grant Heroldt info@armsa.co.za www.armsa.co.za

A break for Tea / Coffee midway through the presentations and Cocktails & Dinner at the end proved to be good networking opportunities.

Apart from regular interactions between speakers and audience during presentations, the latter part of the presentation by Umakant Savadekar took the shape of a busy Trouble Shooting session.

Tabletop displays done by Roots Multiclean and Greenage Industries attracted considerable attention.

Special thanks were offered to the sponsors at the meet; Roots Multiclean and Greenage Industries. Ideal Polytecnalogies was thanked for a smaller sponsorship.

Association of Rotational Moulding (Central Europe) e.V. (ARM-CE)

MAUS GmbH - Rotationsgießformen

Am Viehweg 9 - D-76229 Karlsruhe Amtsgericht Mannheim, HRB 103433

Tel.: +49 (0) 7 21 / 9 48 74 12

Fax: +49 (0) 7 21 / 9 48 74 44

Mr. Oliver Wandres, ARM-CE Chairman info@rotational-moulding.de www.rotational-moulding.de

British Plastics Federation

Rotational Moulding Group

6 Bath Place

Rivington Street London EC2A 3JE

United Kingdom

Tel: 020 7457 5000

Fax: 020 7457 5045

Chairman: Mr. Philip Maddox PhilipM@LeafieldEnv.com

IT-RO Italia Rotazionale Katia Zoppetti Via E. Brigatti 12 20152 Milano (MI) Italy

Tel: +039 348 7652560 www.it-ro.it

Society of Asian Rotomoulders (StAR) 40/145, Ground Floor, Chittaranjan Park New Delhi 110019

Tel: + 91-11-41630157

Fax: +91-11-41634952 Mob: + 91- 9810305356 sb.zaman@staraisa.org arnacz@satyam.net.in www.starasia.org

The Nordic Association of Rotational Moulders

Executive Board Chairman: Mr. Ronny Ervik ul. Zielona 8, 61-851 Poznan, Poland

Tel: +48 607-126-004

Fax: +48 61-858-8611 info@rotomoulding-europe.org www.nordicarm.org

Ravi Kadivar, Greenage Industries and SB Zaman, StAR Executive Director Venkit Mahadevan, PolymerLink India
www.rotoworldmag.com 59 ARMO NEWS

OCTOBER 11-12,

GLOBAL CALENDAR

OCTOBER 19-26, 2022

12TH ANNUAL NORDIC ARM CONFERENCE

Clarion Hotel Copenhagen Airport Copenhagen, Denmark www.nordicarm.org

NOVEMBER 6-9, 2022

ARM ANNUAL MEETING

Westin Peachtree Plaza Atlanta, Georgia rotomolding.org

K – SHOW Fairgrounds Düsseldorf, Germany www.k-online.com

JANUARY 28-30, 2023

19TH ANNUAL STAR CONFERENCE

Hotel Crown Plaza New Delhi, India starasia.org

60 ROTOWORLD® ISSUE 4 • 2022
2022

MARCH

2023 ARM EXECUTIVE FORUM Omni La Costa, Carlsbad, CA rotomolding.org

GLOBAL CALENDAR

SEPTEMBER

2023 ARM ANNUAL MEETING Marriott Kansas City rotomolding.org

NPE

Orange Country Convention Center Orlando,

npe.org

www.rotoworldmag.com 61
2024
FL
MAY 6-10, 2024
27-30, 2023
20-22, 2023 PLASTIMAGEN Banamex Mexico Mexico City, Mexico NOVEMBER 7-10, 2023

INDEX

19 GRAFE Advanced Polymers GmbH Waldecker Straße 21 99444 Blankenhain GERMANY +49 (36459) 45-287 mobile +49 151 16 34 20 44 manfred.fischer@grafe.com www.grafe.com

17 Diversified Mold & Castings 19800 Miles Road Warrensville Hts., OH 44128-4118 USA 216.663.1814 | 888.642.1222 info@diversifiedmolds.com www.diversifiedmolds.com

64 ExxonMobil Chemical Co. PO Box 96126 West Springs Calgary, Alberta Canada, T3H 0L3 800.668.0177 kevin.c.jamieson@exxonmobil.com https://www.exxonmobilchemical.com /en/products-and-services/ polyethylene

5 Ferry Industries, Inc. 4445 Allen Road Stow, OH 44224-1093 USA 330.920.9200 sales@ferryindustries.com www.ferryindustries.com

9, 39 Jerico Plastic Industries, Inc. 7970 Boneta Road Wadsworth, OH 44281 USA 330.334.5244

Minerva Plant: 330.868.4600 steve@jericoplastic.com www.jericoplastic.com

11 Matrix Polymers

The Priory Orchard Hill Little Billing Northhampton, NN9 9AG United Kingdom +44.1604.789100 sales@matrixpolymers.com www.matrixpolymers.com

7 OREX Rotomoulding SP. Z O.O. Cieszyriska 6, 43-520 CHYBIE Poland +48 32 440 83 15 magda.wantola@orex.pl www.orex-rotomoulding.com

15 PSI Brand 16 Thames Street Napier 4110 New Zealand +64 6-834 4808 sales@psibrand.com www.psibrand.com

29 Poliplast S.p.A.

Via Carrali, 8 24020 Casnigo (BG) Italy +39.035.724145 info@poliplastspa.com www.poliplastspa.com

3 Powder King, LLC 41780 N. Vision Way Unit 120 Bldg. 2 Anthem, AZ 85086 USA 623.551.9897 sales@powder-king.com www.powder-king.com

2 Roto Polymers 26210 Emery Road, Suite 202 Cleveland, OH 44128 USA 1.844.POLIMER (1.844.765.4637) info@rotopolymers.com www.rotopolymers.com

63 Rotomachinery Group Via Crosa, 53 28065 Cerano (NO) Italy +39.0321.772021 polivinil@polivinil.com www.rotomachinerygroup.com

38 VMP, Inc. 24830 Avenue Tibbitts Valencia, CA 91355-3404 USA 888.4.VMP.INC 661.294.9934 info@vmpinc.com www.vmpinc.com

25 Wittmann Battenfeld Canada Inc. / ROTOLOADTM 35 Leek Crescent Richmond Hill, ON L4B 4C2, Canada 905.887.5355 Toll Free: 1.888.466.8266 info@wittmann-group.ca www.wittmann-group.ca

ADVERTISERS’
62 ROTOWORLD® ISSUE 4 • 2022

625 West Market Street Salinas, CA 93901 USA

Delivering proven performance so you can innovate with confidence.

Your rotational molding capabilities begin with the quality and dependability of your polyethylene resin supply. Start your day with PE products and process innovations that help leading rotomolders bring their most complex designs to reality. Accomplish more with our reliable supply network, responsive sales support and expert technology team

Learn more about how we can work together to grow your business

© 2016 Exxon Mobil Corporation. All rights reserved. ExxonMobil, the ExxonMobil ogo the interlocking “X” device and all product names herein are trademarks of Exxon Mobil Corporation.
PRINTED MATTER PRIORITY MAIL INTERNATIONAL U.S. POSTAGE PAID AUSTIN, TX PERMIT NO. 2515

Turn static files into dynamic content formats.

Create a flipbook
Issuu converts static files into: digital portfolios, online yearbooks, online catalogs, digital photo albums and more. Sign up and create your flipbook.