REFRINOTICIAS AL AIRE México, USA & Latinoamérica · Octubre 2025

Page 1


l desarrollo industrial en México se refleja en este último cuarto del año frente a un panorama internacional, marcado por la decisión del presidente de Estados Unidos, Donald Trump, de imponer aranceles recíprocos a muchos países, esto al contrario de lo que muchos podrían pensar acelera el interés de empresas globales por instalar o ampliar sus centros de producción en México. En este contexto, el norte de nuestro país encabezado por la ciudad de Monterrey y sus municipios circundantes, Saltillo y el municipio de Ramos Arizpe y otras regiones como la Laguna y San Luís Potosí se posicionan como grandes alternativas para modernos y avanzados centros de manufactura, con claras ventajas competitivas como ubicaciones privilegiadas y la mejor mano de obra en Latinoamérica.

En este contexto cabe mencionar que los parques industriales modernos ofrecen ventajas competitivas como infraestructura robusta y servicios integrados, ubicaciones estratégicas conectadas a grandes centros logísticos y de distribución, el acceso a mano de obra calificada a precios atractivos lo que fomenta el desarrollo económico local a través de la generación de miles de empleos trayendo inversiones y un decidido apoyo a la innovación y el desarrollo de nuevos productos, procesos y sistemas.

Esto se hizo patente en la reciente edición de AHR Expo México 2025 el evento más grande e importante de todo Latinoamérica para las industrias del control de temperatura HVACR donde varios de los mayores fabricantes globales de estas importantes industrias mostraron sus modernos centros de producción a clientes e invitados reafirmando porque México es un referente del avance industrial en la actualidad.

DIRECTOR GENERAL

ROBERTO ROJAS JUAREZ direccion@refrinoticias.com

STAFF EDITORIAL

DIRECTOR EDITORIAL

Roberto Rojas Damas cord.editorial@refrinoticias.com

GERENTE ADMINISTRATIVA

Martha Damas

ASISTENTE ADMINISTRATIVO

Rocio Rojas

ARTE Y DISEÑO

Mónica Sánchez

SUSCRIPCIONES

Rocio Rojas info@refrinoticias.com

ASISTENTE DE FOTOGRAFIA

Mónica Sánchez

COORDINACIÓN E-MEDIA

Roberto Rojas Damas

EDITOR RESPONSABLE

Roberto Rojas Juárez

ARCHIVO FOTOGRÁFICO

123RF, DREAMSTIME, FOTOLIA, ISTOCK BY GETTY IMAGES, SHUTTERSTOCK, ARCHIVO REFRINOTICIAS AL AIRE, ARCHIVO BURÓ DE MERCADOTECNIA DEL CENTRO.

VENTAS PUBLICIDAD

BURÓ DE MERCADOTECNIA DEL CENTRO, S.A. MEXICO: (+52) 5557404476, WHATSAPP: (+52) 5543560334 cord.editorial@refrinoticias.com

INDUSTRIAS HVAC/R: NOTICIAS, PROMOCIONES, VIDEOS Y MÁS. REFRINOTICIAS AL AIRE ORGANO INFORMATIVO DE LA REFRIGERACIÓN, AIRE ACONDICIONADO, CALEFACCIÓN Y VENTILACIÓN HVAC/R. PERIODICIDAD MENSUAL. NUMERO DE CERTIFICADO DE RESERVA OTORGADO POR EL INSTITUTO NACIONAL

PERMISO NUMERO: PP09-0052, CARACTERISTICAS: 228551512, REGISTRO POSTAL IMPRESOS AUTORIZADO POR SEPOMEX. LA EDITORIAL EXIME SU RESPONSABILIDAD SOBRE EL DETERIORO O DAÑOS QUE PUEDA SUFRIR EL MATERIAL MECANICO O ELECTRONICO PROPORCIONADO POR EL CLIENTE PARA EL USO O LA ELABORACIÓN DE ARTICULOS O ANUNCIOS PUBLICITARIOS EN REFRINOTICIAS AL AIRE, POR LO QUE NO PROCEDERA RECLAMO ALGUNO EN SU DEVOLUCIÓN AL RESPECTO. LOS ANUNCIOS, LISTADOS Y DEMAS DATOS COMERCIALES CONTENIDOS EN ESTA PUBLICACIÓN SON UNICAMENTE DE CARACTER INFORMATIVO Y EL EDITOR NO ASUME NINGUNA RESPONSABILIDAD RESPECTO DE ELLOS, ASI MISMO EL EDITOR NO SE RESPONSABILIZA POR LA CONFIBILIDAD, CALIDAD, VERACIDAD O CUALQUIER OFERTA, PROMOCIÓN O CARACTERISTICA DE LOS PRODUCTOS Y SERVICIOS ANUNCIADOS, EL CONTENIDO DE LOS ANUNCIOS ES RESPONSABILIDAD EXCLUSIVA DEL ANUNCIANTE. LA TARDÍA CIRCULACIÓN DE ESTA PUBLICACIÓN NO AFECTA PARA SU ENTREGA POR TRATARSE DE UNA FUENTE DE INFORMACIÓN TÉCNICA CULTURAL QUE POR CAUSAS DE FUERZA MAYOR PUEDE SER SUSCEPTIBLE EN DÍAS DE RETRASO. EL CONTENIDO DE LOS ARTÍCULOS EN ESTA PUBLICACIÓN TODOS SON DE CARACTER CULTURAL INFORMATIVO. LAS OPINIONES EXPRESADAS EN LOS ARTÍCULOS FIRMADOS SON LAS DE LOS AUTORES Y NO REFLEJAN NECESARIAMENTE LOS PUNTOS DE VISTA DE REFRINOTICIAS AL AIRE O DE LA EDITORIAL. EN REFRINOTICIAS AL AIRE NO RENTAMOS NI VENDEMOS BAJO NINGUNA CIRCUNSTANCIA NUESTRAS BASES DE DATOS. SUS DATOS DE ENTREGA SON ESTRICTAMENTE CONFIDENCIALES Y ESTAN PROTEGIDOS BAJO NUESTRO AVISO DE PRIVACIDAD VIGENTE CONSULTABLE EN: WWW. REFRINOTICIAS.COM. DOMICILIO DE LA PUBLICACIÓN: PLAYA REVOLCADERO 222, COL. REFORMA IZTACCIHUATL NORTE, C.P. 08810, CDMX. IMPRESO EN: GRUPO IMPRESOR CONDOR, AZAFRAN 40, COL. GRANJAS MÉXICO, C.P. 08400, CDMX. DISTRIBUIDOR: OFICINA RECEPTORA SEPOMEX HIGUERA 23 INT. BARRIO LA CONCEPCIÓN, COYOACAN, C.P. 04020, CDMX.

LOS COMUNICADOS DE PRENSA DEBERAN SER ENVIADOS A: ROBERTO ROJAS DAMAS (DIRECTOR EDITORIAL) AL CORREO: cord.editorial@refrinoticias.com

REGISTRO ANTE CORREOS DE MÉXICO (ANTERIORMENTE SEPOMEX) COMO PUBLICACIÓN PERIODICA: PP09-0052

® RESERVADOS TODOS LOS DERECHOS ESTRICTAMENTE PROHIBIDA LA REPRODUCCIÓN O TRANSMISIÓN TOTAL O PARCIAL DEL MATERIAL ÉDITORIAL O GRÁFICO AQUÍ PUBLICADO POR CUALQUIER MEDIO ELECTRONICO, MECÁNICO Ó QUIMICO.

PUBLICACIÓN MENSUAL DESDE 1986 DE:

BURO DE MERCADOTECNIA DEL CENTRO, S.A. www.refrinoticias.com ISSN

SUMARIO

Estudio del Técnico

Casos de Éxito

Máquina

Noticias USA - Canadá

Danfoss México

Inaugura una Importante Ampliación de su Planta en Monterrey

Danfoss México celebró la inauguración de su planta ampliada en Monterrey, México, una decisión impulsada por la creciente demanda de equipos HVAC confiables y energéticamente eficientes en los mercados de Norteamérica y Latinoamérica. Esta ampliación también forma parte importante de la estrategia LEAP 2030 de Danfoss, cuyo objetivo es reducir los plazos de entrega y fortalecer aún más las cadenas de suministro para sus clientes en todos los mercados.

Gerresheimer y Cryoinfra

Inauguran la Primera Planta de Hidrógeno Verde en México

Las compañías Gerresheimer y Cryoinfra inauguraron en la Ciudad de Querétaro la primera planta de hidrógeno verde en México. Con una inversión de 100 millones de pesos, esta nueva planta producirá energía limpia para su proceso industrial, de acuerdo con información del gobierno estatal.

La inversión multimillonaria duplica la producción e incorpora tres nuevas líneas de productos a la planta actual. A principios de 2026, la planta ampliada albergará la producción de sensores, intercambiadores de calor de microcanales, compresores scroll grandes y medianos, y compresores semiherméticos BOCK. Esto permitirá a Danfoss Climate Solutions brindar un mejor servicio a sus clientes norteamericanos con cadenas de suministro más cortas.

Autoridades locales, entre ellas el alcalde de Apodaca, César Garza Arredondo, y el embajador de Dinamarca en México, Kim Højlund Christensen, así como clientes y empleados de Danfoss, estuvieron presentes cuando el director ejecutivo de Danfoss, Kim Fausing, y Kristian Strand, director de Danfoss Climate Solutions, junto con el resto del equipo directivo de Danfoss, celebraron este hito con una ceremonia de inauguración en la fábrica. Emmanuel Loo, secretario interino de Economía del estado de Nuevo León, dirigió unas palabras durante la ceremonia.

“La ampliación de nuestra planta en Monterrey refleja nuestra ambición, como parte de nuestra estrategia LEAP 2030, de ser el socio tecnológico preferido de nuestros clientes y ofrecerles soluciones cerca de sus mercados”, declaró Kristian Strand, presidente de Danfoss Climate Solutions. “Esta inversión estratégica nos acerca a nuestros clientes en Estados Unidos y aumenta nuestra capacidad para satisfacer rápidamente sus necesidades”.

La fábrica, con certificación LEED Plata, incluye un laboratorio de compresores recientemente ampliado, cuyo tamaño se ha duplicado de 500 a 1000 metros cuadrados. También alberga dos nuevos calorímetros para validar el rendimiento hasta 175 kW (50 toneladas), lo que garantiza pruebas fiables incluso para las aplicaciones más exigentes. Cuatro sistemas avanzados de prueba de vida útil garantizan aún más la fiabilidad a largo plazo de los compresores en una amplia gama de capacidades, y un sistema de prueba de rotura con certificación UL subraya nuestro compromiso con los más altos estándares de seguridad. Lo más importante es que la planta está preparada para el futuro: equipada para respaldar la producción de compresores scroll de última generación y diseñada para crecer al ritmo de las necesidades cambiantes de nuestros clientes.

A la inauguración que se llevo a cabo en el marco del Día Internacional del Hidrógeno el pasado 8 de octubre, asistió el gobernador del estado Mauricio Kuri, el subdirector regional de Cryoinfra en el Bajío, Fernando Trejo Álvarez, el director general de Gerresheimer en Querétaro, José Antonio Vega López, el secretario de Desarrollo Sustentable (Sedesu) del estado, Marco Antonio Del Prete Tercero, entre otros invitados. www.gerresheimer.com

DEACERO

Inaugura Nueva Planta de Reciclaje

DEACERO inauguró en Chihuahua su nueva planta de reciclaje con una inversión de 250 millones de pesos y generará 1,540 empleos entre directos e indirectos

El evento de inauguración contó con la participación de autoridades locales como el Presidente Municipal de Ciudad Juárez, Mtro. Cruz Pérez Cuéllar y la Directora General de Desarrollo Económico de Ciudad Juárez, Mtra. Tania Maldonado Garduño. Por parte de Grupo DEACERO participó el Ing. Sergio Antonio Orozco Morales, Director de Operaciones de Patios; el Ing. Rodolfo Fernández, Director de Abastecimiento de Materia Prima; el Ing. Jaime Treviño Cantú, Director Comercial de Materia Prima de la Zona Norte y el Lic. Edgar G. Torres Flores, Subdirector de Asuntos Corporativos.

En cuanto a la labor de la nueva planta, el Ing. Sergio Antonio Orozco Morales, Director de Operaciones de Patios, aseguró que se instalará una trituradora de chatarra, y que se procesará materia prima para la posterior producción de varilla y alambrón como principales insumos provenientes de la planta.

Para cerrar el evento, DEACERO entregó un reconocimiento al alcalde, Mtro. Cruz Pérez Cuéllar, quien agradeció la participación de los presentes y celebró la inversión realizada en Juárez.

Además, la nueva instalación generará 1,540 empleos entre directos e indirectos que beneficiarán a la población de Ciudad Juárez. Esta Planta fortalece las capacidades productivas del Grupo, mismo que ya cuenta con patios de reciclaje en zonas como Mexicali, Mérida, Tlalnepantla, Guadalajara, Tultitlán, así como en San Antonio y Corpus Christi en Estados Unidos. www.deacero.com www.danfoss.com

AoFrio

Inaugura su Innovation Center en Querétaro, México

La empresa neozelandesa AoFrio, inauguró su Innovation Center y nuevas oficinas corporativas en Querétaro, consolidando su apuesta por el talento mexicano y su compromiso con el desarrollo tecnológico e industrial de la región.

La ceremonia de apertura contó con la presencia del equipo ejecutivo global de AoFrio, encabezado por Greg Balla, CEO, Genevieve Clark, VP de Producto Global, y Gabriel Villalobos, VP de Finanzas y Operaciones para América. También asistieron destacadas autoridades e invitados institucionales, entre ellos: Excelentísima Sra. Sarah Ireland, Embajadora de Nueva Zelanda en México; Ing. Marco Antonio del Prete, Secretario de Desarrollo Sustentable del Estado de Querétaro; Mtra. Liliana San Martín Castillo, Secretaria del Trabajo del Estado de Querétaro; Dra. Paloma Palacios, representante del Gobierno del Poder Ejecutivo del Estado de Querétaro; Arq. Juan Manuel Guerrero Palma, Secretario de Desarrollo Sustentable del Municipio de El Marqués; Erika Gonzalez Maciel, Coordinadora de Relaciones Internacionales e Innovación Gubernamental del Estado de Querétaro.

Durante el evento, los representantes coincidieron en el papel de Querétaro como ecosistema ejemplar para la atracción de inversión extranjera y la generación de empleos especializados en innovación y tecnología. El nuevo centro representa una inversión estratégica de AoFrio en México, concebida para fortalecer su presencia en América Latina y acelerar la creación de soluciones inteligentes desde el corazón del país. Este espacio se convertirá en un punto de encuentro entre ingeniería, innovación y desarrollo humano, donde equipos locales colaborarán estrechamente con especialistas de Nueva Zelanda y otras regiones para impulsar tecnologías que optimicen el desempeño energético y operativo de la refrigeración comercial.

Tras el corte de listón, los asistentes recorrieron las nuevas instalaciones del centro, que incluyen una un showroom de tecnología IoT y un laboratorio de desarrollo con cabina de pruebas de temperatura para simular condiciones ambientales controladas. El evento contó también con la participación del equipo de AoFrio México, quienes subrayaron que este nuevo Innovation Center no solo impulsa la colaboración y la creatividad, sino que acelera el desarrollo de soluciones tecnológicas diseñadas para generar valor, eficiencia y nuevas oportunidades de negocio en toda América.

www.aofrio.com

NOTICIAS USA-CANADÁ

DriSteem Inicia Capacitación Intermedia en Ventas para Representantes de Norteamérica

Hitachi Nueva Fábrica Global de IA Basada en NVIDIA

DriSteem, empresa de Madison Air y fabricante de soluciones de humidificación, refrigeración evaporativa y tratamiento de agua, organizó recientemente su programa de Capacitación Intermedia en Ventas en el Centro de Capacitación DriSteem en Eden Prairie, Minnesota, dando la bienvenida a representantes de toda Norteamérica.

La corporación japonesa Hitachi, Ltd. (TSE:6501) dió a conocer la creación de su nueva Fábrica Global de Inteligencia Artificial, construida sobre la arquitectura NVIDIA AI Factory, diseñada para acelerar el desarrollo e implementación de soluciones de IA Física, es decir, sistemas capaces de interactuar con el mundo real a gran escala.

Este programa refleja el compromiso continuo de DriSteem con el desarrollo de su red de ventas a través de experiencias de aprendizaje prácticas y significativas. Diseñada para profesionales con conocimientos previos del producto, la capacitación se basa en esa base para profundizar la comprensión, fortalecer la confianza y reforzar los valores de la empresa: excelencia técnica y un servicio al cliente excepcional.

www.dristeem.com

Estados Unidos y Canadá

Unidad Móvil de Capacitación en

Inicia Nueva Gira

La compañia Danfoss, anunció el regreso de su Unidad Móvil de Capacitación (UMC) a Norteamérica en 2025. La UMC ofrece capacitación práctica en sistemas de refrigeración sostenible transcríticos, ayudando a fabricantes de equipos originales (OEM), contratistas y minoristas a alcanzar sus objetivos de sostenibilidad y cumplir con los requisitos normativos.

Equipada con sistemas en funcionamiento y estaciones de capacitación, la UMC ofrece experiencias inmersivas diseñadas para generar confianza y conocimientos especializados. Las sesiones de capacitación se imparten directamente en las instalaciones del cliente, eliminando los costos y la complejidad de los viajes y proporcionando entornos de aprendizaje reales.

La UMC recorrerá las principales regiones de Estados Unidos en el cuarto trimestre de 2025 y Canadá en el primer trimestre de 2026, con paradas organizadas por fabricantes, OEM, contratistas y minoristas líderes, comenzando con la Conferencia FMI Energy & Store Development del 6 al 9 de octubre de 2025 en San Diego, California.

www.danfoss.com

La estrategia aprovecha la experiencia de Hitachi en Tecnología Operativa (OT) y la combina con el poder de cómputo acelerado y software de NVIDIA, dando lugar a una infraestructura que permitirá crear aplicaciones disruptivas para sectores que son estratégicos en México, como el automotriz, energético, manufacturero, transporte y movilidad, además de infraestructura social y salud.

El anuncio se basa en las recientes declaraciones sobre la alianza Hitachi-NVIDIA que hiciera Toshiaki Tokunaga, Presidente y CEO de Hitachi, Ltd., quien afirma que la corporación nipona acelerará aún más su innovación en IA.

Tokunaga especificó que, a través de las capacidades de las tecnologías NVIDIA para acelerar el razonamiento de la IA y la IA Física, se aumenta el desarrollo de gemelos digitales y la optimización de activos físicos (incluida la infraestructura social), a la vez que se desbloquean nuevas posibilidades, tales como la mejora de la productividad en todos los sectores productivos a nivel mundial.

El lanzamiento de la Fábrica de IA representa un paso esencial hacia la visión de Lumada 3.0, el modelo operativo de Hitachi que busca resolver problemas de negocio y sociales a través de la transformación digital (DX) y la transformación ecológica (GX). Lumada integra el profundo conocimiento tecnológico y de industria de Hitachi con IA avanzada, para convertir datos en valor, reducir costos e impulsar la eficiencia operativa.

“Esta colaboración estratégica con NVIDIA se está convirtiendo en el motor que nos permitirá resolver los retos más complejos del mundo real, impulsando la innovación social”, afirmó Jun Abe, Gerente General de la División de Sistemas y Servicios Digitales de Hitachi.

Hitachi se distingue por su capacidad única para integrar IT, OT y hardware, lo que le permite ofrecer desde diseño técnico hasta consultoría y servicios digitales, transformando el mercado de la IA industrial con soluciones de alto impacto.

La IA Física va más allá del análisis de datos. Son tecnologías que perciben, razonan y actúan directamente sobre entornos físicos. Algunas de sus aplicaciones más relevantes incluyen: Robótica avanzada, Vehículos autónomos, Gemelos digitales, Mantenimiento predictivo, Materiales inteligentes, Aplicaciones en salud, hospitalidad y comercio.

La “Hitachi AI Factory” tendrá presencia en Estados Unidos, Europa y Japón, con infraestructura interconectada que garantiza baja latencia y colaboración global. Esto permitirá que ingenieros de todo el mundo trabajen en conjunto para desarrollar soluciones que también llegarán a Latinoamérica y México, donde Hitachi ya participa en industrias clave.

www.hitachi.com

Diversified Heat Transfer

Anuncia Nuevo Representante de Ventas en Georgia

La empresa Diversified Heat Transfer, Inc. (DHT), empresa norteamericana de ingeniería y fabricación de equipos de transferencia de calor y tecnología de calderas eléctricas (a través de su marca Sussman Electric Boilers), anunció una alianza estratégica con la empresa Hoffman Hydronics. La empresa ha sido designada como representante exclusivo de DHT en el estado norteamericano de Georgia.

Hoffman Hydronics se especializa en brindar soluciones integrales de climatización hidrónica y equipos de plomería de ingeniería para los sectores comercial, institucional e industrial. Esta alianza permitirá que ingenieros y administradores de instalaciones en todo el estado de Georgia tengan acceso a la línea completa de productos de DHT, incluyendo las calderas eléctricas Sussman, así como a su línea completa de calentadores de agua e intercambiadores de calor.

“Nos complace dar la bienvenida a Hoffman Hydronics a la familia DHT”, declaró Chris Bove, Gerente Nacional de Ventas de DHT. “Su amplia experiencia en sistemas hidrónicos, su compromiso con un servicio al cliente excepcional y su presencia consolidada en el mercado de Georgia los convierten en el socio ideal para expandir nuestra presencia”, agregó.

Por su parte Ian Barnard, gerente de ventas de Hoffman en Georgia, declaró: “La alianza con DHT y Sussman aporta un valor significativo a nuestra cartera de productos. En el mercado actual, en constante evolución, nuestros clientes buscan cada vez más soluciones de calefacción de alta eficiencia y cero emisiones, y la fiabilidad y la ingeniería avanzada de los productos superiores de DHT nos permitirán atender mejor los objetivos de descarbonización y eficiencia de nuestros clientes”.

Hoffman Hydronics es reconocida en la región por ofrecer productos de los principales fabricantes de equipos y sistemas HVAC, que abarcan desde bombas y sistemas de bombeo hasta calderas, calentadores de agua y productos de vapor. El equipo de Hoffman Hydronics Atlanta ahora representará la gama completa de calderas eléctricas Sussman, incluyendo la compacta serie EWx, y las extensas líneas de productos de calentadores de agua e intercambiadores de calor de DHT en todo Georgia.

www.dhtnet.com

Argentina

WEG Impulsa su Oferta con Tecnología de Marathon

La compañia WEG anunció que ha fortalecido su presencia en el mercado argentino con el suministro estratégico de 112 alternadores pancake para las torres de iluminación de Sumar Servicios Industriales S.R.L. El proyecto marca la exitosa integración de la línea de alternadores de Marathon, empresa adquirida por WEG en 2024, ampliando la oferta de soluciones de alta eficiencia para la generación de energía.

Reconocidos por su diseño compacto y ligero, los alternadores pancake son ideales para aplicaciones en torres de iluminación que exigen robustez y rendimiento, como en obras de construcción, minería, petróleo y gas, eventos al aire libre y operaciones de emergencia. Con una potencia de 2 kW, 220 V, 50 Hz y 4 polos, los equipos garantizan una fuente de energía fiable y compacta.

www.weg.net

Full Gauge Controls

Instituto Biológico de Campinas

Adopta Tecnología de Precisión

El Instituto Biológico (IB) de Campinas, en Brasil, ha modernizado todo su sistema de aire acondicionado con tecnología del fabricante brasileño Full Gauge Controls. El proyecto, ejecutado en colaboración con la empresa DN Refrigeração, dirigido por el técnico Cláudio Torres, cliente de Full Gauge desde hace más de 28 años, garantiza monitorización remota y total fiabilidad para entornos científicos de alta exigencia.

Con 93 años de historia y más de 380 proyectos en marcha, el Instituto mantiene su Centro de Investigación Avanzada en Protección Fitosanitaria y Sanidad Animal en el interior del estado de São Paulo, donde se desarrollan bioinsumos microbiológicos para el control biológico de diversas plagas agrícolas.

www.fullgauge.com

La rutina de investigación se basa en temperaturas estrictamente controladas, especialmente en una biofábrica con siete salas blancas y cámaras frigoríficas que albergan colecciones de hongos y nematodos, una de las cuales tiene más de cuatro décadas de antigüedad y debe mantenerse permanentemente a 15 °C. El desafío del control climático se agravó cuando el enfriador central comenzó a fallar y las habitaciones se enfriaron excesivamente durante el invierno, lo que favoreció la aparición de moho. Para solucionar el problema, DN Refrigeração implementó un conjunto de controladores Full Gauge integrados con Sitrad, un sistema que permite la gestión en tiempo real a través de internet y emite alertas automáticas. El equipo instalado incluye modelos como el MT530E Super, el MT543E Log y el TC-900E Log, así como módulos de comunicación y un Sitrad In Box que centraliza la información.

Noticias USA - Canadá NOTICIAS ESPAÑA & EUROPA

SODECA

Recibe en España Certificado

Residuo Cero de AENOR

La empresa SODECA, especializada en ventilación industrial, evacuación de humos, presurización de escaleras, ventilación para túneles y mejora de la calidad del aire interior, ha recibido el Certificado Residuo Cero por parte de la entidad española AENOR.

Este reconocimiento, pionero en el ámbito de la ventilación industrial en España y que convierte a SODECA en la primera empresa en obtener este certificado, acredita que la compañía valoriza el 99.92% de los residuos generados en su actividad.

Durante el acto, el Director de la sede de Cataluña de AENOR, el Sr. Jordi Martín, destacó la importancia de esta certificación para las empresas.

www.sodeca.com

SPX Cooling Technologies

Se Une a Eurovent como Miembro Correspondiente

Eurovent anunció que la empresa SPX Cooling Technologies, fabricante de torres de refrigeración, enfriadores de fluidos, condensadores evaporativos e intercambiadores de calor enfriados por aire, se ha unido a Eurovent como Miembro.

Fundada en 1924, SPX Cooling Technologies diseña, fabrica y ofrece servicios para una amplia gama de productos de refrigeración bajo las reconocidas marcas Marley, Recold y SGS Refrigeration. Sus soluciones dan servicio a los mercados de climatización, refrigeración de procesos, generación de energía e industria en todo el mundo. Con su incorporación a Eurovent, SPX Cooling Technologies refuerza su vínculo con el sector europeo de climatización y refrigeración y demuestra su compromiso con el avance de la eficiencia energética.

Tras la aprobación de su membresía por parte del Consejo de Administración de Eurovent durante la Cumbre de Eurovent en Praga, Darek Sikorski, Gerente de Soporte de Ventas de SPX Cooling Technologies, declaró: “Nos enorgullece confirmar nuestra membresía en Eurovent. SPX se compromete a apoyar a Eurovent para promover el conocimiento y el crecimiento de las tecnologías de refrigeración en Europa”.

Hoy como miembro correspondiente de la asociación, la empresa SPX Cooling Technologies tendrá la oportunidad de participar en los grupos de trabajo y debates políticos de Eurovent, aportando su amplia experiencia técnica para apoyar la labor que la asociación lleva a cabo en el desarrollo de normas y la promoción regulatoria a nivel europeo.

www.eurovent.eu

Noticias USA - Canadá

SECCIÓN EN COLABORACIÓN CON JARN Ltd.

Veck

Evoluciona de Productor de Unidades Terminales a Proveedor de Soluciones de Sistemas (Segunda Parte)

La visita a la línea de producción ofreció una visión detallada de todo el proceso, desde el mecanizado de componentes hasta el ensamblaje final. El taller está equipado con maquinaria de última generación y cada etapa, desde el procesamiento de la materia prima hasta el ensamblaje del producto terminado, se lleva a cabo cumpliendo con estrictos estándares. Durante la fase de control de calidad de entrada (CCE), cada lote de materias primas y componentes se somete a una inspección exhaustiva para garantizar la calidad desde el principio. Además, cada unidad debe superar múltiples pruebas rigurosas antes de salir de fábrica para asegurar una entrega fiable y de alta calidad.

El concepto de responsabilidad ambiental está presente en todas las operaciones de la fábrica de Zhenjiang. En cada etapa del diseño y la fabricación de productos, la empresa prioriza la eficiencia energética, la reducción del consumo y la prevención de la contaminación. Durante la producción, se promueve activamente el uso de refrigerantes ecológicos y se implementan mejoras en los procesos para reducir el consumo de energía y las emisiones, demostrando así un firme compromiso con los principios de la fabricación sostenible.

En 2024, Veck amplió su cartera de equipos principales, logrando avances innovadores en enfriadoras centrífugas con cojinetes de gas y sistemas VRF, que se han convertido en nuevos motores de crecimiento para la empresa.

Su enfriadora centrífuga con cojinetes de gas, desarrollada internamente, debutó con gran éxito en la Exposición de Refrigeración de China (CR 2025).

En colaboración con XecaTurbo, Veck lanzó con éxito una estructura patentada de cojinetes de gas de presión dinámica con derechos de propiedad intelectual independientes. Esta enfriadora centrífuga inverter con cojinetes de gas de presión dinámica y tecnología de inteligencia artificial (IA) fue reconocida por su excepcional eficiencia energética e innovación tecnológica, e incluida en el «Catálogo de Tecnologías para la Conservación de Energía, la Reducción de Carbono y la Protección Ambiental 2024», publicado en la reunión anual de la Asociación China de Refrigeración (CAR). Actualmente se considera un referente para la transformación verde en el sector.

Asimismo, Veck completó con éxito su proyecto de expansión de producción de sistemas VRF, garantizando una rápida respuesta al mercado y fortaleciendo su capacidad de entrega.

En cuanto a la integración de plataformas, Veck presentó Hanjiang Flow, una plataforma inteligente basada en sistemas ciberfísicos (CPS) que integra tecnología, servicio al cliente, operaciones y mantenimiento, mejorando tanto la experiencia del usuario como el valor del sistema.

Para desarrollar estas tecnologías innovadoras, Veck otorga gran importancia a la investigación y el desarrollo (I+D), logrando avances continuos en áreas como cojinetes de gas, control de inverters e integración de la tecnología del Internet de las Cosas (IoT). El centro de I+D de Veck cuenta con laboratorios acreditados a nivel nacional para garantizar la calidad y la fiabilidad del desarrollo de productos. Veck posee numerosas patentes nacionales y está certificada como empresa de alta tecnología, además de haber recibido múltiples premios de organismos gubernamentales e industriales.

En el ámbito comercial, Veck cuenta con un equipo profesional de preventa que ofrece soluciones personalizadas y optimización técnica a sus clientes. Su amplia red de servicio posventa abarca más de 30 provincias, municipios y regiones autónomas de toda China. Todo el personal de servicio recibe una formación rigurosa para garantizar una asistencia eficien-

te y profesional, brindando a los clientes total tranquilidad.

Además, Veck está expandiendo activamente su presencia en el mercado global mediante una estrategia de doble marca: «Veck» para el mercado nacional y «Frimec» para los mercados internacionales, con el fin de potenciar su influencia. La empresa ya ha exportado productos a regiones como el Sudeste Asiático y Oriente Medio. Su enfriador de tornillo refrigerado por aire, desarrollado internamente, ha sido certificado por el Instituto de Aire Acondicionado, Calefacción y Refrigeración (AHRI) de Estados Unidos. Veck también está impulsando su internacionalización mediante la creación conjunta de una nueva fábrica con socios indonesios. Asimismo, en febrero de 2025, Veck presentó una gama de productos innovadores en el evento Climate World 2025 en Rusia, incluyendo una unidad de tratamiento de aire (UTA) mural para centros de datos y un enfriador scroll refrigerado por aire integrado con capacidad de refrigeración gratuita.

“Si no me dedicara a fabricar aires acondicionados, sin duda sería arquitecto”, afirmó Yuan Hui, fundador y presidente de Veck, en una entrevista con JARN. Este profundo compromiso con la visión artística se refleja en cada producto Veck. Gracias a Veck, los clientes en diversas partes del mundo pueden experimentar la filosofía de la empresa: “Crear productos de clase mundial a través de la belleza”.

Quienes visiten Shanghái están invitados a conocer personalmente la fábrica de Veck en Zhenjiang y descubrir sus modernas instalaciones. www.ejarn.com

La fábrica de Veck en Zhenjiang adopta tecnología de vanguardia.
Enfriador centrífugo Veck con cojinetes de gas en CR 2025
Yuan Hui, fundador y presidente de Veck (izquierda), en el momento de la entrevista con JARN.

ESTUDIO DEL TÉCNICO HVAC/R

EL VOLUMEN DE CONTROL

EN DISPOSITIVOS DE PROCESOS ABIERTOS

SEGUNDA PARTE

En el caso de las turbinas vemos que es un dispositivo en el que se produce trabajo debido al paso de un gas o líquido a través de un conjunto de álabes unidos a un eje por el cual el sistema lo cede al exterior.

En la mayor parte de las aplicaciones, un gas o un vapor sobrecalentado entra en la turbina y se expande hasta una presión menor, produciendo trabajo, como lo vemos en la figura 2.

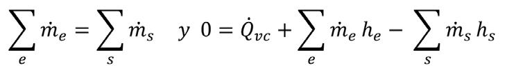
En muchos casos, la variación de energía potencial entre la entrada y la salida es despreciable. Así mismo, la variación de energía cinética es despreciable comparada con la variación de entalpía. Inicialmente podemos suponer que el proceso que se verifica en la turbina es adiabático por lo que tampoco se considerá calor atravesando el volumen de control. Teniendo en cuenta estas consideraciones el balance de energía quedará:

Para el caso de los compresores son dispositivos que realizan trabajo sobre un gas que los atraviesa (figura 3) para aumentar su presión. Las bombas realizan la misma función, pero sobre un líquido.

Las simplificaciones que se pueden hacer son similares a las hechas para las turbinas, por lo que el balance quedaría:

En el caso de los dispositivos de estrangulación, vemos que en ocasiones se desea producir una disminución importante de presión de manera simple. Esto se consigue introduciendo una resistencia al paso del flujo de fluido, por ejemplo, mediante una válvula parcialmente cerrada. Un dispositivo que realice esta función se denomina dispositivo de estrangulación. A diferencia de las turbinas, se produce una disminución de presión sin producir ningún trabajo.

La reducción de presión en el fluido va acompañada de una importante disminución de la temperatura, por lo que se utilizan válvulas de expansión en los sistemas de refrigeración.

Las válvulas de estrangulamiento son dispositivos pequeños por lo que el intercambio de calor puede suponerse nulo, así como las variaciones de energía cinética y potencial pueden despreciarse. El balance de energía queda como:

Por lo que a este tipo de dispositivos se le suele denominar isoentálpicos. Las cámaras de mezcla en aplicaciones de mezcla de dos fluidos en diferentes condiciones suelen ser frecuentes. El dispositivo donde se realiza este proceso se denomina cámara de mezcla, aunque no tiene por qué ser necesariamente una cámara, pues, por ejemplo, la mezcla de un agua fría con un agua caliente puede producirse en una unión en T. Las cámaras de mezcla suelen estar bien aisladas o la cantidad de calor que pueden intercambiar es muy pequeña, por lo que ese término se desprecia. Tampoco se produce ningún trabajo y las variaciones de energía cinética y potencial son despreciables. En estas condiciones, las ecuaciones de balance de masas y de energía quedarán:

Por ejemplo, un tipo de cámara de mezcla son los llamados calentadores abiertos de centrales térmicas con ciclo de vapor. Por último, en los intercambiadores de calor dos fluidos en movimiento intercambian energía en forma de calor sin mezclarse. El calor se transfiere del fluido caliente al frío a través de la pared que los separa. Existen diferentes tipos de intercambiadores, como el que se muestran en la figura 4. A las cámaras de mezcla se les llama también intercambiadores de calor de contacto directo. Los balances de masa y energía quedarían:

En la mayoría de las ocasiones la transferencia de calor desde la superficie externa del intercambiador es lo suficientemente pequeña como para despreciarla.

Figura 2. Turbina de flujo axial.
Figura 3. Ejemplos de tipos de compresores.
Figura 4. Ejemplos de intercambiador de calor.

CASOS DE ÉXITO

ETECCIÓN PRECISA DE DNIVEL

EN RECIPIENTES DE ALMACENAMIENTO Y PROCESO DONDE PRECISIÓN, SEGURIDAD Y EFICIENCIA SON IMPORTANTES

En muchos sectores, como la Alimentación, la Química o la Farmacéutica, la precisión es uno de los requisitos clave en las operaciones de producción diarias. La medición fiable del nivel de llenado desempeña un papel decisivo, ya sea para evitar el llenado excesivo, para garantizar la disponibilidad de material en los procesos de dosificación o para el control continuo de los procesos.

MÉTODOS DE MEDICIÓN TRADICIONALES

En la práctica se utilizan diversos principios de medición, desde sensores de radar y microondas hasta métodos ultrasónicos y capacitivos, pasando por sistemas hidrostáticos u ópticos. Sin embargo, muchas de estas tecnologías sólo registran un valor de medición indirecto -como la distancia a la superficie o la presión en el fondo del recipiente- a partir del cual se calcula el nivel de llenado. Esto conlleva inevitablemente incertidumbres, por ejemplo en caso de formación de espuma o puentes, conos de vertido desiguales, apelmazamiento o densidad variable. La experiencia industrial, por ejemplo en la empresa química Solvay Fluor en Frankfurt, también muestra los límites prácticos de los sistemas convencionales. Allí, los métodos de medición sin contacto dieron resultados insatisfactorios, ya que los cambios de temperatura y densidad mermaban gravemente la precisión. La solución sólo se encontró reequipando la serie de células de carga PanCake® de Minebea Intec, que permitió una medición precisa y fiable del nivel de llenado por peso, con una desviación máxima de sólo el 1.1 %, frente a alrededor del 2.5 % anterior.

MEDICIÓN GRAVIMÉTRICA

A diferencia de todos los demás métodos, la medición gravimétrica de nivel no mide una señal de proceso derivada, sino que mide la masa. Células de carga como PanCake® o Inteco® registran el peso de todo el contenedor, incluido su contenido - independientemente de las propiedades del material, los cambios de densidad o los factores de forma. El resultado es una medición precisa y lineal en todo el rango de llenado, incluso con medios difíciles como líquidos viscosos, materiales a granel o productos químicos agresivos.

FIABILIDAD DEL PROCESO Y RENTABILIDAD

La célula de carga PanCake® se ha desarrollado especialmente para el reequipamiento y la integración en sistemas existentes. Puede instalarse rápidamente y sin cambios estructurales en el contenedor, una clara ventaja frente a alternativas como la tecnología de radar o ultrasónica.

CONTROL DE NIVEL INCLUSO EN CONDICIONES EXTREMAS

Ya sea en atmósferas potencialmente explosivas o a temperaturas muy fluctuantes: los sistemas de pesaje gravimétrico que utilizan sensores como la célula de carga PanCake®están certificados para condiciones extremas (ATEX, IECEx) y ofrecen la máxima seguridad. En sectores como el de las industrias químicas, donde se utilizan medios tóxicos, altamente inflamables o particularmente viscosos, esto supone una ventaja decisiva. En Solvay Fluor, la introducción de las células de carga PanCake® no sólo ha mejorado la seguridad del proceso, sino que también ha hecho que todo el proceso de medición de nivel sea más eficiente.

PREPARADOS PARA EL FUTURO GRACIAS A LA INTEGRACIÓN DIGITAL

Otra ventaja de los sistemas gravimétricos es su conectividad digital. La electrónica de pesaje moderna, puede integrarse fácilmente en los sistemas de control existentes, ya sea a través de interfaces analógicas o de estándares digitales como ProfiNet, Ethernet/IP o Modbus.

LA MASA ES LA VERDADERA REFERENCIA

Los requisitos de la medición de nivel moderna son cada vez mayores, al igual que la complejidad de los procesos industriales. Métodos como el radar o los ultrasonidos alcanzan rápidamente sus límites. Los sistemas gravimétricos, en cambio, ofrecen una solución objetiva, precisa y económica, independientemente de los medios, las formas de los recipientes o las condiciones ambientales.

PANORAMA

Ya sea en silos, depósitos o contenedores de proceso, la detección precisa de los niveles de llenado es crucial para que los procesos de producción sean estables, seguros y económicos. Sin embargo, muchos métodos de medición habituales alcanzan rápidamente sus límites en la práctica. Este artículo técnico compara tecnologías consolidadas como el radar, los ultrasonidos o los sensores capacitivos con el método gravimétrico, y muestra por qué la tecnología de pesaje es superior allí donde realmente importa.

nZEB

LOS EDIFICIOS DE CONSUMO DE ENERGÍA

CASI NULO

La sustentabilidad en edificios mediante el consumo de energía cuyo desempeño se basa en un balance energético muy bajo al ser muy eficientes energéticamente obteniendo una parte significativa de la energía que consumen de fuentes renovables.

AUTOMATIZACIÓN

El consumo de energía en los edificios modernos es un factor fundamental en su funcionamiento y su desempeño se basa en un balance energético muy bajo al ser muy eficientes energéticamente obteniendo una parte significativa de la energía que consumen sus fuentes renovables.

La reducción energética en este tipo de edificios se logra mediante estrategias de diseño bioclimático, aislamiento térmico de alto rendimiento, uso de instalaciones eficientes y obtención de la energía de fuentes renovables.

Los puntos por tratar para proceder a una mejora en la eficiencia energética en los edificios son:

• Mejorar la envolvente del edificio para reducir la demanda energética mediante un aumento de la calidad de los materiales y de los diseños arquitectónicos.

• Optimizar el rendimiento de los distintos sistemas que componen la iluminación

• Mejorar el rendimiento de las instalaciones de calefacción, ACS, ventilación, aire acondicionado y sistemas HVAC, trabajando con mejores rendimientos y minimizar el consumo.

• Emplear energías renovables.

• Integrar las tecnologías inteligentes en la información y comunicación (TIC).

Para clasificar un edificio como ecológico o verde debemos tener en cuenta los siguientes aspectos: consumo de energía, consumo de agua, uso de suelo como valor ecológico, uso de materiales escasos, emisiones atmosféricas y de otro tipo e impacto ecológico.

Mediante un análisis de ciclo de vida del edificio podemos llegar a predecir las consecuencias ambientales derivadas dentro del sector de la edificación.

Se han utilizado diferentes términos para caracterizar los edificios con consumo de energía muy baja, con el objetivo de energía o emisiones «cero». Estos edificios se caracterizan porque cualquier energía consumida dentro del edificio es generada por fuentes de energía renovables producidas en el lugar.

Suelen ser edificios altamente eficientes y utilizan, en el transcurso de un año, tecnologías renovables para producir tanta energía como la que consumirían de las fuentes de energía fósil.

En la mayoría de los países las políticas de sostenibilidad están dirigidas a conseguir tipos de edificios con las características de energía cero (ZEB, Zero Energy Buildings), en lugar de edificios carbono cero. La diferencia entre un edificio ZEB y nZEB es:

• Edificio de consumo neto de energía igual a cero (NZE Net Zero Energy).

• Edificio de consumo de energía casi nulo (nZEB, Nearly Zero Energy Building).

El término «neto cero» se utiliza, a menudo, para tener en cuenta que el consumo de energía del edificio es un balance de energía entre la energía consumida y la energía generada y exportada por energías renovables in situ del edificio durante algún periodo (generalmente un año).

Actualmente las industrias de construcción y energía buscan crear nuevos edificios nZEB por las siguientes razones importantes:

• Mejora en la seguridad de abastecimiento de la energía, al reducir drásticamente el consumo de energía primaria.

• Reducción de las emisiones de gases de efecto invernadero.

• Disminución de las acciones que favorecen el cambio climático.

• Aumento del crecimiento económico, al aumentar la demanda de empleos en sectores relacionados con la construcción y la energía.

La definición de un edificio nZEB, muestra el hecho de que la integración de energía renovable y las medidas de eficiencias energéticas en un edificio van unidas.

En el caso de los sistemas HVAC, la eficiencia energética se establece partiendo de la cantidad de energía real, calculada o consumida anualmente, para satisfacer las distintas necesidades; esto es, la energía necesaria para la calefacción, ACS, ventilación y aire acondicionado del edificio, manteniendo las condiciones de confort térmico y de calidad del aire.

BENEFICIOS DE UN EDIFICIO NZEB

Los beneficios que otorgan los edificios sostenibles diseñados desde cero durante el desarrollo de todo su ciclo de vida son:

Beneficios medioambientales:

• Protección de los ecosistemas.

• Mejora de la calidad del aire y del agua.

• Reducción de los residuos sólidos.

• Ahorro en el consumo de energía y en recursos naturales.

• Aprovechamiento de fuentes de energía renovable.

Beneficios económicos:

• Reducción de los costos del ciclo de vida del edificio.

• Incremento entre un 15% y un 20% del valor del edificio en caso de venta o de alquiler respecto a un edificio convencional.

• Mejora de la productividad y de la satisfacción de los empleados.

Beneficios de calidad del aire, IAQ y confort térmico:

• Mejora de los ambientes acústicos, térmicos y atmosféricos.

• Aumento del bienestar y confort de los ocupantes.

Actualmente con el desarrollo de los materiales tecnologías y sistemas más eficientes se a conseguido contener el sobrecosto en el desarrollo de un edificio sostenible contra uno común con solo 10% de diferencia.

Los estudios realizados demuestran que los edificios sostenibles nZEB no necesariamente son más costosos que los edificios convencionales, si desde el comienzo se integran en el desarrollo de las estrategias económicas, ambientales y una adecuada gestión de los recursos.

La inversión inicial es un edificio representa solo el 20% de los costos totales en su vida útil. Los principales costos están relacionados con el consumo de energía de operación, el mantenimiento, la demolición y el reciclado.

Además, hay que tener presente como criterio económico de inversión de edificios nZEB el bienestar, la productividad y la salud de las personas, ya que, según ASHRAE, pueden aportar altos beneficios económicos en los costos de ciclo de vida del edificio.

CARACTERÍSTICAS DE LOS EDIFICIOS NZEB

Los requisitos o características que debe tener un edificio nZEB para poder considerarse sostenible se muestran en la Figura 1.

Debe ser respetuoso con el entorno en el que esté situado, cuidando los aspectos medioambientales como el uso de materiales reciclables, la racionalización del consumo de agua, la gestión de los residuos que se originen en el propio edificio, la movilidad sostenible y la integración de cubiertas ajardinadas.

Un edificio nZEB tiene que ser eficiente energéticamente y para ello, debe diseñarse con el objetivo de una elevada reducción de la demanda energética. Es importante el grado de aislamiento de su envoltura, la reducción de puentes térmicos, la acumulación térmica, el factor de forma, la orientación espacial, los huecos de fachada, los vidrios de baja emisividad radiante, los filtros solares, las fachadas ventiladas, etcétera.

También es importante que todas las soluciones bioclimáticas pasivas estén integradas en el propio edificio.

AUTOMATIZACIÓN

Debe utilizar energías renovables que sean respetuosas con el medioambiente, evitando producir emisiones de CO2 a la atmósfera y además, generar energía de autoconsumo para el propio edificio. Así, es muy interesante la energía solar eléctrica como la fotovoltaica PV o la térmica para producir ACS en el edificio o también, el frío solar para el aire acondicionado, la biomasa como fuente de energía para la calefacción, las bombas de calor en modo calefacción y siempre que esta tecnología supere una eficiencia estacional COP para las máquinas bombas de calor mayor que 2.5, ya sea con aire o con agua.

El diseño de edificios nZEB debe contemplar una elevada calidad del aire IAQ, reduciendo los contaminantes interiores del edificio y logrando un grado de salud recomendable para los ocupantes. Para ello, es importante dimensionar adecuadamente un nivel de ventilación mínimo al que las normativas internacionales aconsejan.

En Europa la ventilación en edificios es obligatoria para edificios no residenciales. En viviendas, puede ser ventilación natural o hibrida. Debe contar con una iluminación natural y artificial muy eficiente, así como un grado de asilamiento acústico para generar en conjunto una mejor calidad de vida a sus ocupantes.

Otro aspecto significativo en el diseño de edificios nZEB es lograr un confort térmico adecuado según las normativas.

Por otra parte, para que los edificios nZEB logren un ahorro de energía muy alto, es necesario diseñar instalaciones de calefacción, ACS, ventilación y aire acondicionado, HVAC muy eficientes. Para ello, actualmente en el mercado existen equipos HVAC con eficiencias energéticas muy elevadas.

Los edificios nZEB deben contemplar como requisitos el etiquetado de certificación energética, siendo obviamente clase A y como necesarias, otras certificaciones de sostenibilidad donde se completa, no solo el criterio energético sino también, el criterio medioambiental. Estamos refiriéndonos a certificaciones como LEED.

Este tipo de edificios deben de llevar integrados diversos equipos de recuperación energética instalados en los sistemas de calefacción, ventilación y aire acondicionado. Los recuperadores de energía son muy útiles por el elevado ahorro energético que se obtiene en los procesos térmicos producidos en el edificio. Estos pueden ser recuperadores sensibles o entálpicos, así como el free cooling para el aire

acondicionado. Por último, otra característica muy relevante de los edificios nZEB es la integración de los sistemas de información y comunicación IoT en el edificio, junto con redes eléctricas, smart grid.

Todos los edificios nZEB deben llevar incorporado un sistema de gestión de las instalaciones y equipos del edificio. Por consiguiente, estos edificios estarán monitorizados con sensores y medidores inteligentes conectados, que permiten medir las variables físicas de todos los procesos que se desarrollan en el edificio. Además, constaran de reguladores y controladores automáticos para optimizar los procesos de calefacción, ventilación y aire acondicionado.

Normalmente, estos edificios llevan incorporados sistemas que permiten la visión y gestión de todos los datos medidos, parámetros de seguridad, encendido o apagado de los equipos, así como el cálculo de diversos indicadores de eficiencia energética, económicos y medioambientales conectados online con mediciones en tiempo real lo que permite optimizar el mantenimiento y control preventivo y correctivo en el edificio por parte del personal de servicio.

Figura 1. Características de un edificio nZEB sostenible

AHR EXPO MÉXICO 2025

SE REALIZÓ EN LA CIUDAD DE MONTERREY, NUEVO LEÓN

CON INFORMACIÓN E IMAGENES DE: REFRINOTICIAS AL AIRE Y EXPOSICIONES INDUSTRIALES DE MÉXICO.

La AHR Expo México se ha consolidado como el evento más importante de todo Latinoamérica para las industrias HVACR.

Del 23 al 25 de septiembre se realizó la 18ª edición de AHR Expo México® el evento más importante en Latinoamérica de las industrias de calefacción, ventilación, acondicionamiento de aire y refrigeración (HVACR por sus siglas en inglés), en la ciudad de Monterrey, Nuevo León, consolidándose como la más grande en la historia de este gran evento, superando todas las expectativas y dejando cifras históricas para la industria HVACR en Latinoamérica.

El 23 de septiembre al medio día se realizó el tradicional corte de listón inaugural de AHR Expo México 2025, marcando el inicio del evento, en esta importante ceremonia que se realizó en el acceso principal de CINTERMEX, participaron invitados de honor entre quienes estuvieron: Betsabé Rocha, Secretaria de Economía de Nuevo León; Melissa A. Bishop, Cónsul General de Estados Unidos en Monterrey; Rachel Duran, Principal Commercial Officer del Servicio Comercial de los Estados Unidos en México; César H. Cadena, Presidente del Clúster Energético de Nuevo León; Rodrigo Garza Tijerina, Presidente de CMIC Nuevo León; Kathia Guajardo Bosques, Presidenta de CANIRAC; Héctor Villarreal Muraira, Director General de CANACO Monterrey; Sarah E. Maston, Presidenta electa de ASHRAE USA; Paula Segovia Jiménez, Presidenta de ASHRAE Capítulo Monterrey; Jeff Littletown, presidente de ASHRAE; Henry Hwong, Senior Vice President of Global Services de AHRI; Lisette Sierra, Directora General de Cintermex; Cheryl Merchant, CEO de Taco Comfort; y Jeff Stevens, Presidente de International Exposition Company empresa organizadora del evento.

AHR Expo México 2025 se realizó en la Ciudad de Monterrey, Nuevo León.
Miles de asistentes se dieron cita en esta edición de AHR Expo México.

Al término de la ceremonia del corte del listón inaugural y la toma de la fotografía oficial, Alejandro Guerra, Director General de AHR Expo México 2025, encabezó el recorrido oficial por el piso de exhibición dando paso a los miles de asistentes que se dieron cita en este gran evento.

Durante los tres días que duro el evento en el centro de exposiciones Cintermex se vivieron grandes momentos e historias para recordar en un ambiente lleno de camaradería y buenos negocios entre nuevas tecnologías y gente que cada día se esfuerza por hacer mejor su trabajo llevando al mercado sus nuevos desarrollos, trabajo en equipo y calidad que hacen la vida diaria más confortable más segura con alimentos perfectamente conservados, ambientes con la temperatura ideal, procesos industriales precisos y una cadena de frío que nos permite vivir la vida como la conocemos hoy en día.

Corte del listón inaugural de AHR Expo México 2025.
Air-Care de México.
Equipos de Refrigeración Cuitláhuac visitando el stand de Haften. Rypsa.

En este marco se reunieron más de 17,000 visitantes provenientes de México y más de 30 países, quienes tuvieron la oportunidad de conocer las últimas innovaciones presentadas por casi 550 expositores de más de 1,200 marcas líderes, provenientes de 30 países como Alemania, Brasil, Canadá, Chile, China, Colombia, España, Francia, India, Italia, Estados Unidos, entre otros, en un espacio de 27 mil metros cuadrados de piso de exhibición, lo que representa un récord para este evento que se traduce en más de 13,500 m² de equipo, maquinaria y servicios para el sector HVACR, cabe mencionar que en esta ocasión la expo regresó a donde todo comenzó en 1997: la ciudad de Monterrey,

Durante tres días el evento ofreció a los asistentes seis teatros de nuevas tecnologías, el mejorado Programa de Matchmaking (Encuentro de Negocios B2B) donde se impulsó la generación de negocios, se concretaron más de 250 citas, además de miles de nuevas conexiones profesionales, alianzas estratégicas y lanzamientos de producto con líderes de la industria, además de recibir capacitación personalizada para optimizar sus procesos, instalaciones o servicios.

Por otra parte, la agenda académica liderada por ASHRAE Capítulo Monterrey estuvo presente con más de 60 conferencias técnicas de alto nivel con temas relacionados a la calidad del aire, ahorro de energía y sistemas sustentables, ofreciendo conferencias, paneles y capacitaciones con expertos del sector, incentivando el intercambio de conocimiento y abordando el futuro de la industria HVACR en la región de México y Latinoamérica con el resto del mundo.

Por su parte el excelente programa de podcast reunió a importantes influencers de la industria quienes presentaron temas de ingeniería que tuvieron al público interesado en cada uno de ellos.

Con estos impresionantes resultados AHR Expo México se ha consolidado como el evento más importante de todo Latinoamérica para conocer las últimas tendencias y tecnologías disponibles en la industria HVACR.

Quimobásicos.
Refrinoticias Al Aire.
AHR EXPO MEXICO 2025 EN CIFRAS:
Dunham Bush.
Tecumseh.
Johnson Controls.
Full Gauge Controls.
Yellow Jacket.
Adesa.
m2
Armstrong Fluid Technologies.
Ecochillers.
Güntner de México.
Grupo Tecsir.
Castel.
Belimo.
Reliable Controls.
Air Quality De México. Danfoss.

LENNOX FACTORY TOUR EN EL MARCO DE AHR EXPO MÉXICO 2025

En el marco de AHR Expo México 2025 la empresa Lennox organizó el Lennox Factory Tour el cual fue todo un éxito. En esta ocasión grupos de distribuidores y clientes destacados del fabricante Lennox visitaron las plantas de manufactura Lennox Comercial y Residencial en la ciudad de Saltillo, Coahuila, donde conocieron de primera mano los avanzados procesos de fabricación de los equipos más innovadores con calidad y tecnología excepcional impulsando al mercado HVAC.

En estas visitas Lennox recibió a más de 20 clientes de más de 8 países de Latinoamérica, donde vivieron de primera mano la innovación y los procesos que impulsan todo lo que realiza Lennox.

Este evento estuvo lleno de aprendizaje, conexión e inspiración. Los grupos de clientes quedaron impresionados no solo con el compromiso de Lennox hacia la calidad e innovación, sino también con la manera en que los valores de Excelencia y Respeto cobran vida en cada paso de fabricación que aplica Lennox.

Al término del tour por las plantas de fabricación Lennox deleito a sus invitados con una comida buffet donde sus directivos agradecieron a todos sus clientes que los acompañaron, a los socios de medios y, a los equipos de las plantas Lennox, cuyo esfuerzo y pasión hicieron posible este gran evento.

LENNOX RESIDENCIAL

Cabe mencionar que las plantas de Lennox se encuentran en la región de Saltillo, Coahuila, ubicadas en el municipio de Ramos Arizpe, en la zona industrial cercana a la ciudad y al aeropuerto Internacional Plan de Guadalupe.

LENNOX COMERCIAL
Grupo de invitados al final del factory tour.
Foto del recuerdo al terminar el tour por la planta de equipo residencial.
Grupo de invitados al llegar a planta de equipo comercial.
Bienvenida a la planta de residencial. Factory tour por la planta de residencial. Factory tour por la planta de comercial. Comida a los invitados al final del tour.

ASHRAE CAPÍTULO

MONTERREY PARTICIPÓ EN AHR EXPO MÉXICO

2025

Del 23 al 25 de septiembre, ASHRAE Capítulo Monterrey organizó, en el marco de la AHR Expo México 2025, el Programa de Conferencias Técnicas 2025, que contó con más de 60 conferencias, 4 paneles, una certificación NAFA y la participación de más de 80 conferencistas.

DEVELACIÓN DE LA MONEDA CONMEMORATIVA

DEL ING. DONALD HAY SOULE

Este ambicioso proyecto no habría sido posible sin el compromiso y esfuerzo de líderes voluntarios que, desde hace más de un año, trabajaron en la organización. La coordinación general estuvo a cargo del Ing. Armando Berman Rosales, quien ha desempeñado este rol en varias ediciones de la expo. También merece reconocimiento el apoyo del Capítulo hermano de Guadalajara, que colaboró activamente en diversas tareas durante los tres días del evento. Por supuesto, sin nuestros patrocinadores y aliados estratégicos, la realización de estas conferencias no hubiera sido posible.

CONFERENCIA DEL ING. PEDRO GARZA CAMPA

Componentes y Aplicaciones HVAC Durante el último día del programa, se impartieron múltiples conferencias, destacando la Conferencia #43: Componentes y Aplicaciones HVAC para Climatización y Confort de Espacios, presentada por el Ing. Pedro Garza Campa, representante de ASHRAE Monterrey. La ponencia fue introducida por el Lic. Pedro Garza Zúñiga, líder del Comité de Comunicaciones de ASHRAE Monterrey y tercera generación de la familia Garza dentro de la industria HVAC y del capítulo.

El Ing. Garza Campa, expresidente del capítulo 2009-2010, es ampliamente reconocido por su experiencia en educación continua y confort de espacios. Su plática contó con la asistencia de más de 45 participantes en la Sala D y ofreció un enfoque práctico y enriquecedor para profesionales de la industria.

El cierre del programa en Cintermex fue marcado por un momento muy especial: la develación de la sexta moneda del Cuadro de Honor de Expresidentes de ASHRAE Capítulo Monterrey, entregada al Ing. Donald Hay Soule (2003-2004). Familiares, expresidentes y líderes de la industria se reunieron para presenciar este emotivo reconocimiento.

El Ing. Hay recibió la moneda de manos de sus hijas, la Lic. Jeanette y la Ing. Jacqueline Hay, líderes del Comité de Research Promotion, en medio de anécdotas y recuerdos compartidos por los presentes.

En su mensaje de agradecimiento, el expresidente destacó la importancia de su familia y compartió con orgullo que sus hijos representan ya la segunda generación involucrada en la industria HVAC, cerrando la ceremonia con un momento de gran inspiración para todos los asistentes.

EN MONTERREY

BITZER

CELEBRÓ CON CLIENTES Y AMIGOS SUS PRIMEROS 20 AÑOS

La empresa BITZER México llevó a cabo una gran celebración por su 20 aniversario en México, en esta ocasión el evento BITZER Experience tuvo lugar la noche del 22 de septiembre del 2025 en las elegantes instalaciones del Club Industrial en la ciudad de Monterrey, Nuevo León.

EN MÉXICO

El Ing. Miguel Ángel Villalobos director de BITZER México al frente de su gran equipo de colaboradores recibieron a clientes y amigos invitados de la empresa que se dieron cita y se mostraron entusiasmados por este aniversario deseando muchos años más de éxitos. El momento memorable llego cuando el Ing. Villalobos dedicó un mensaje donde agradeció a clientes, amigos, socios comerciales, colaboradores y asistentes a esta celebración y a todos quienes han contribuido para que BITZER México llegue a este 20 aniversario como un líder en el mercado de la refrigeración, enseguida el Ing. Villalobos partió el pastel de celebración y refrendo el compromiso de la empresa en México.

GRUPO TECSIR

PRESENTÓ LA PRIMERA BOMBA DE CALOR DE ULTRA ALTA TEMPERATURA EN MÉXICO

EEXPOSITORES E INVITADOS DISFRUTARON

DEL CÓCTEL

DE BIENVENIDA ORGANIZADO POR AHR EXPO MÉXICO 2025

n el marco de la AHR Expo México 2025, Grupo TECSIR llevó a cabo el lanzamiento oficial de su Co-Therm Ultra High Temperature Heat Pump (UHTHP), una innovación tecnológica única en el país que representa un avance decisivo hacia la transición energética en los procesos industriales. El evento se realizó el 24 de septiembre en la planta de producción de la empresa, donde se dieron cita tomadores de decisión y líderes de la industria HVACR para presenciar pruebas en vivo que demostraron la capacidad de la máquina para alcanzar temperaturas superiores a 100 °C y, al mismo tiempo, generar agua helada a 7 °C gracias a un avanzado sistema de recuperación de calor.

A diferencia de las bombas de calor tradicionales que únicamente producen agua caliente, la Co-Therm hace honor a su nombre al entregar simultáneamente dos temperaturas: agua fría y agua caliente. Este principio de operación le permite atender de forma integral necesidades industriales que van desde calefacción y generación de vapor hasta procesos de enfriamiento, todo con un mismo equipo. El resultado es una solución más versátil y eficiente que sustituye la función de varios sistemas convencionales.

La Co-Therm UHTHP, desarrollada en México, se distingue de calderas o boilers porque no depende de combustibles fósiles como gas o diésel, sino que opera mediante electricidad y un ciclo termodinámico de compresión de vapor altamente optimizado. Su diseño incorpora intercambiadores de calor de alta eficiencia, válvulas electrónicas de control de precisión y refrigerantes de bajo impacto ambiental, lo que le permite ofrecer agua caliente, vapor y climatización de manera simultánea. El principio diferencial de esta tecnología radica en su capacidad para aprovechar energía residual y maximizar la eficiencia, elevando el coeficiente de desempeño (COP) y reduciendo significativamente el consumo eléctrico frente a sistemas tradicionales. El impacto de esta innovación en la industria es inmediato: sectores como el alimentario, farmacéutico, químico, textil y hotelero encuentran en esta bomba de calor una alternativa competitiva que no solo reduce los costos de operación, sino que también elimina emisiones directas de CO₂ al prescindir de combustibles fósiles. Su retorno de inversión resulta atractivo para aplicaciones de alta demanda térmica y coloca a las empresas en una ruta de sostenibilidad alineada con los objetivos de descarbonización.

La ocasión no podía ser mejor, expositores, invitados y directivos de AHR Expo México 2025 se dieron cita la noche del 23 de

tados que disfrutaron de excelentes bebidas y canapés en una velada donde los directivos de AHR Expo México encabezados por Geoff Stevens, Jeff Stevens, Mark Stevens y Alejandro Guerra Arizpe acompañado de sus colaboradores recibieron a cada uno de los invitados.

septiembre ofreciendo una fiesta cóctel para los expositores en el salón La Terraza de Cintermex donde todos disfrutaron de un espectáculo de primer nivel con un mentalista que realizó una interesante presentación ante la mirada atenta de cientos de invi-

Durante la presentación, el Ing. Donald J. Hay, Director General de Grupo TECSIR, resaltó el trabajo de ingeniería detrás de esta patente, mientras que la Lic. Jeanette Hay, Directora Adjunta, fue la encargada de anunciar oficialmente su lanzamiento. Las pruebas en vivo confirmaron no solo la estabilidad del sistema para llegar a temperaturas superiores a los 100 °C, sino también la confiabilidad operativa y la robustez de un equipo diseñado para exigencias industriales de gran escala.

La fiesta se extendió desde temprana hora de la noche hasta bien entrada la madrugada donde REFRINOTICIAS

AL AIRE estuvo presente en el cóctel con un Magazine Photo Booth donde los invitados disfrutaron tomando memorables fotografías para el recuerdo perdurable del momento.

ANFIR REALIZÓ EL TERCER FORO DE

SUSTENTABILIDAD ANFIR 2025

EN EL MARCO DE AHR EXPO MÉXICO 2025

En el marco de AHR EXPO México 2025 la Asociación Nacional de Fabricantes para la Industria de la Refrigeración ANFIR realizó su Tercer Foro de Sustentabilidad el 25 de septiembre de 2025 en el centro de exposiciones Cintermex en Monterrey, Nuevo León.

En esta ocasión el evento se centró en la refrigeración sustentable y abordó temas como el medio ambiente y cambio climático, la economía circular en el sector industrial, la reducción de emisiones de gases refrigerantes y el papel de la ciencia y tecnología en la sustentabilidad, así como el panel de Refrigeracion Sustentable.

El evento dió inicio con la bienvenida a los invitados por parte del presidente y vicepresidente de ANFIR, Ingenieros Miguel Ángel Villalobos y Andrés Cruz, respectivamente, participaron empresas socias de ANFIR, la empresa OXXO, la Universidad Autónoma de Nuevo León. Al finalizar se tuvo una mesa con un panel magistral donde líderes de la industria discutieron temas relevantes para el desarrollo sustentable de la industria de la refrigeración en México.

El programa del foro dió inicio con el primer tema presentado por el Dr. Daniel Pacheco Rojas de la IPCC “Medio Ambiente y Cambio Climático ¿Qué está pasando? Enseguida el Dr. Azael Martínez de la Cruz presentó el tema “Sustentabilidad. Un Reto para la Ciencia y la Tecnología”. Al término siguió el tema “Sustentabilidad y Nuestro Compromiso por un Futuro más Verde” presentado por el Lic. Alejandro Lomas de la empresa Güntner de México, al termino los ingenieros Angela Barragán y José E. Benavides de la empresa OXXO presentaron el tema “Estrategia de Reducción de Emisiones en los Gases Refrigerantes”, por último, la Ing. Cristina Sánchez de la empresa Imbera presentó “Transformando el Futuro: Economía Circular en el Sector de la Refrigeración Industrial.”

Al terminar las conferencias se realizó el Panel Magistral de Refrigeración Sustentable con la participación de los Ingenieros Miguel Ángel Villalobos de la empresa Bitzer, Ing. Sony Martínez de la empresa Danfoss, Ing. Michael Schmid de la empresa Güntner, Ing. Alonso Amor de la empresa Copeland e Ing. Andrés Cruz de la empresa Güntner quien fungió como moderador.

Cabe mencionar que el Tercer Foro de Sustentabilidad ANFIR además de ser presencial se transmitió en vivo y por su relevancia la Escuela Superior de Ingeniería Mecánica y Eléctrica Azcapotzalco ESIME, perteneciente al Instituto Politécnico Nacional IPN proyectó en vivo el foro en el auditorio de la institución donde un gran número de estudiantes y docentes pudieron disfrutar de las conferencias y panel del evento a distancia, así como también otras instituciones pudieron verlo de manera virtual.

Debido a que fue todo un éxito este tercer foro, ya estamos planeando el realizar el cuarto foro de Sustentabilidad ANFIR en septiembre de 2026, donde esperamos la entusiasta participación de los Socios ANFIR, la Industria y la Academia para exponer los temas mas relevantes de la Refrigeracion Sustentable.

Vista general de la audiencia del 3er. Foro de Sustentabilidad ANFIR.
De izq. a der. Ings. Alonso Amor, Miguel Villalobos, Michael Schmid, Sony Martínez y Andrés Cruz.
Ing. Michael Schmid (Güntner de México) recibiendo su reconocimiento. Ing. Alonso Amor (Copeland) recibiendo su reconocimiento.
Ing. Miguel Villalobos (Bitzer México) recibiendo su reconocimiento.
Ing. Sony Martínez (Danfoss Industries) recibiendo su reconocimiento.
Dr. Daniel Pacheco (Consultora IPCC) recibiendo su reconocimiento.
Mtra. Cristina Sánchez (Imbera) recibiendo su reconocimiento.
Dr. Azael Martínez (UANL) recibiendo su reconocimiento
Lic. Alejandro Lomas (Güntner de México) recibiendo su reconocimiento.
Ings. Angela Barragán y José Benavides (Oxxo) recibiendo su reconocimiento.
Bienvenida como nuevo socio al Lic. Luís Manuel Ballesteros Noriega (MER).

DE LA NUEVA SUCURSAL DE REFRIGERACIÓN LOZANO EN SALTILLO, COAHUILA

Transcurría

el año 2019 y REFRIGERACIÓN LO-

ZANO realizaba la inauguración de su nueva sucursal en la ciudad de Satillo, Coahuila, celebrando también su cuarta Expo Refrigeración Lozano 2019 donde fabricantes de la industria de refrigeración se dieron cita para capacitar a clientes.

En esta ocasión para REFRIGERACIÓN LOZANO no solo fué proveer grandes productos de refrigeración ya que además se dio a la tarea de capacitar a todos los técnicos no solo los encargados de mantenimiento de supermercados, hoteles, hospitales, maquiladoras, minas, embotelladoras,

NOTICIAS BREVES

LA COMPAÑIA TECUMSEH ENTRA EN UNA NUEVA ERA CON UNA NUEVA IDENTIDAD DE MARCA

La compañía Tecumseh, fabricante de sistemas de refrigeración comercial durante más de 90 años, presentó el pasado 9 de septiembre su nueva identidad de marca. En un comunicado la compañía detalló que este cambio marca el inicio de una transformación diseñada para impulsarla hacia una nueva etapa de crecimiento, innovación y una presencia internacional más sólida.

La identidad renovada no es solo un cambio visual: es la primera señal visible de una empresa en movimiento. Refleja la determinación de Tecumseh de ir más allá de su imagen tradi-

FULL GAUGE CONTROLS Y CLIMTEK ANUNCIAN UNA IMPORTANTE ACTUALIZACIÓN DE LA PRIMERA PLATAFORMA DE SOPORTE TÉCNICO BASADA EN IA DE LA INDUSTRIA HVACR

Las compañías Full Gauge Controls y Climtek, una división de Trimac Inc., anunciaron el pasado 10 de septiembre una importante actualización de la primera plataforma de soporte técnico basada en IA de la industria HVACR.

cional de fiabilidad y solidez, proyectando una mentalidad dinámica y ambiciosa que se adapta al ritmo de la industria actual.

En el corazón de este cambio se encuentran un nuevo logotipo y eslogan: «Impulsando la vida cotidiana, en todas partes». Juntos, expresan la energía renovada de Tecumseh, combinando la fuerza de su legado con una visión de futuro que conecta tanto a nivel global como personal.

La nueva identidad de Tecumseh se basa en tres valores que guían su transformación:

Ambición e Innovación: superar los límites de la tecnología para ofrecer soluciones más inteligentes y eficientes.

En este contexto las compañías detallaron que el asistente técnico basado en IA ha prestado servicio a técnicos, personal de servicio, ingenieros, socios de canal y usuarios finales de todo el mundo desde su lanzamiento piloto hace dos años. Con este lanzamiento anunciado, la plataforma se convierte en un asistente de soporte multimedia totalmente integrado, accesible directamente desde el sitio web de Full Gauge Controls y la próxima aplicación móvil FG Finder,

lecherías, y un sin número de industrias para que estas empresas se vieran beneficiadas en el conocimiento de las nuevas tecnologías además de los técnicos independientes que van a hogares a realizar reparaciones y a los pequeños comercios que también son beneficiados por técnicos capacitados.

En esta expo los clientes en un solo día interactúaron con proveedores viendo los nuevos productos, externando sus inquietudes, realizando pruebas, además para equipar aún más a sus clientes en esta ocasión se llevó a cabo la rifa de un auto último modelo cuyo feliz ganador fue el Sr. Luis Guardiola.

Conexión Humana: fomentar la confianza y la proximidad mediante la colaboración con clientes y socios de todo el mundo.

Excelencia y Compromiso: buscar la mejora continua con determinación y espíritu de superación.

Con operaciones en mercados consolidados y emergentes refuerza sus ambiciones internacionales bajo esta nueva identidad. El objetivo de la compañía es estar más cerca de sus clientes en todo el mundo forjando alianzas a largo plazo y comprendiendo las necesidades locales. El cambio de marca refleja la confianza para expandir su presencia global y competir a un nivel superior, manteniéndose fiel a su historia y a su experiencia de confianza.

que estará disponible en su versión mejorada.

En el comunicado la compañía declara que esta nueva identidad marca la renovación más significativa en las nueve décadas de historia de Tecumseh, más que un logotipo, es un símbolo de transformación que refleja vitalidad, movimiento y la alianza entre tecnología y humanidad, señala una empresa lista para tomar medidas audaces y adaptarse a las cambiantes demandas de la industria de la refrigeración.

ESCANEÉ PARA MÁS NOTICIAS DE LA INDUSTRIA HVACR

Invierno

Mantenerse

Alleima Reduce Emisiones de CO2 Dando Innovación y Mayor Valor
EDICIÓN 8 / VOLUMEN 1 / OCTUBRE 2025 Durante el

Estimados Lectores...

El sector manufacturero en México es uno de los pilares de la economía nacional y también uno de los más expuestos a las consecuencias de la inestabilidad eléctrica. De acuerdo con la Comisión Nacional para el Uso Eficiente de la Energía (CONUEE), este sector consume más de 1,782 petajoules al año, lo que equivale al 31% de toda la energía final del país y al 64% del consumo industrial.

Esa dependencia convierte a la electricidad en un insumo vital, pero también en un riesgo constante para la operación de las plantas productivas. Una sola interrupción puede generar pérdidas millonarias, al grado de que el Consejo Nacional de la Industria Maquiladora y Manufacturera de Exportación estima que una hora sin energía cuesta hasta 200 millones de dólares.

Durante el Invierno, Como Mantenerse Caliente Sin Encender la Calefacción.

Imagen: Dreamstime.

El problema no se limita a la continuidad del suministro. Durante la última década, las tarifas eléctricas industriales han tenido incrementos sostenidos que impactan directamente en los márgenes de las empresas. El cargo por demanda pasó de entre 150 y 170 pesos por kWH en 2014 a más de 280–310 pesos en 2024, un alza cercana al 87%. La tarifa por energía también ha alcanzado picos históricos, llegando hasta 2.60 pesos por kWh en 2022. Para un sector intensivo en consumo eléctrico como el manufacturero, estas variaciones significan un costo creciente que compromete su competitividad frente a mercados internacionales.

El almacenamiento de energía en baterías se perfila como una herramienta estratégica para mitigar pérdidas y dar certidumbre financiera a las operaciones. Según Bloomberg NEF, la capacidad instalada de BESS en el mundo alcanzó los 86.7 GWh en el primer semestre de 2025, lo que representa un crecimiento interanual del 54%. Para las plantas manufactureras, contar con esta tecnología significa asegurar la continuidad de la producción, estabilizar la calidad del suministro eléctrico, proteger maquinaria de precisión y reducir costos mediante una gestión más eficiente de la energía..

Con información de: Quartux. El Editor.

EDICIÓN 8 · VOLUMEN 1 ·

DIRECTORIO

DIRECCION GENERAL

ROBERTO ROJAS JUAREZ

DIRECTOR EDITORIAL

ROBERTO ROJAS DAMAS

ADMINISTRACIÓN

MARTHA D ARAUJO

DISEÑO

MONICA SANCHEZ

PUBLICIDAD

REFRINOTICIAS AL AIRE

MEXICO: (+52) 55 5740 4476 55 5740 4497

cord.editorial@refrinoticias.com

OFICINAS GENERALES

BURO DE MERCADOTECNIA DEL CENTRO, S.A. Playa Revolcadero 222 Col. Reforma Iztaccihuatl Norte 08810, CIUDAD DE MEXICO

MEXICO: +52 555 740 4476 555 740 4497

www.refrinoticias.com/natural

Propuestas de envío de artículos por email: cord.editorial@refrinoticias.com

REFRINOTICIAS natural

COMUNICACIÓN DE LAS TECNOLOGÍAS

NATURALES EN EL CONTROL DE LA TEMPERATURA Y SUSTENTABILIDAD

Publicado Mensualmente por:

© BURO DE MERCADOTECNIA DEL CENTRO, S.A.

A menos que se indique lo contrario en artículos y contenidos específicos. Registro en tramite.

Innovación y Mayor Valor para el Cliente a Medida que Alleima Reduce Emisiones de CO2

La empresa Alleima anunció que ha brindado innovación y mayor valor para el cliente a medida que reduce sus emisiones de CO2

Los objetivos de sostenibilidad de Alleima han sido revisados y validados por la iniciativa Science Based Targets (SBTi) y ahora están alineados con las últimas investigaciones climáticas. Estos objetivos implican que Alleima reducirá sus emisiones de CO2 de Alcance 1 y 2 en más del 54 % y las de Alcance 3 en un 28 % para 2030, tomando como base el año 2019. Alleima ya ha reducido sus emisiones de CO2 de Alcance 1 y 2 en un 41 %, muy por delante de lo previsto. Para continuar con este progreso, Alleima se centrará en diversas soluciones técnicas para la electrificación y la eficiencia energética, así como en el hidrógeno y el biogás. El aumento de las emisiones de CO2 y otros gases de efecto invernadero son los principales impulsores del cambio climático global. Para Alleima, la sostenibilidad es parte integral de sus operaciones, y sus objetivos de reducción de emisiones de GEI han sido validados por la SBTi, lo que confirma que los objetivos climáticos de la compañía cuentan con respaldo científico.

“Somos líderes en sostenibilidad en el sector, tanto por nuestra oferta de productos como por nuestra huella de carbono. Una reducida huella de carbono forma parte de nuestra oferta premium para nuestros clientes. Nuestras entregas se incluyen en las emisiones de Alcance 3 de nuestros clientes, y es a través de nuestros productos que podemos marcar una diferencia real para ellos. Garantizar que sigamos creando valor añadido para el cliente reduciendo aún más nuestras emisiones de CO2 es fundamental para alcanzar nuestros objetivos”, afirma Göran Björkman, CEO de Alleima.

Las emisiones de CO2 de Alleima ya son relativamente bajas gracias al uso de materiales reciclados y hornos de arco eléctrico en su producción de acero. De la reducción de más del 54 % que se pretende alcanzar para 2030, en comparación con 2019, la empresa ya ha reducido las emisiones en un 41 % (tercer trimestre de 2025) mediante el uso de electricidad libre de combustibles fósiles y biogás. La empresa ha avanzado de forma constante en la reducción de emisiones a lo largo de los años, con el objetivo de lograr cero emisiones netas a más tardar en 2050.

“Hemos avanzado mucho en la consecución de nuestros objetivos. El 97 % de la electricidad que se consume en todo el mundo ya no proviene de combustibles fósiles. Hemos invertido considerablemente en eficiencia energética y hemos sustituido el GLP por biogás en varias de nuestras instalaciones. Esto demuestra que asumimos nuestra responsabilidad, cumplimos nuestros ambiciosos objetivos y estamos comprometidos con la reducción de nuestras emisiones”, afirma Håkan Sundström, director de Sostenibilidad de Alleima.

La mayor parte de las emisiones de CO₂ de Alleima (aproximadamente el 80 % del total de las emisiones de la empresa) se produce en Sandviken, donde se ubica la acería, que incluye plantas de fundición, colada, laminación y forja.

Por ello, la empresa evalúa continuamente diversas soluciones técnicas para reducir sus emisiones mediante medidas como la electrificación, el biogás o el hidrógeno, lo que permitirá reducirlas a la mitad para 2030. Para la conversión de ciertos procesos de calefacción de combustibles fósiles a soluciones eléctricas, por ejemplo, Alleima colabora con expertos de su división Kanthal. Recientemente, se ha electrificado el calentamiento de los tubos de moldeo en la colada continua en colaboración con Kanthal, proveedor de soluciones de calefacción de alta tecnología.

“Tenemos un plan claro para el futuro, flexible y adaptable a la evolución y disponibilidad tecnológica. Además de la electrificación directa, utilizaremos biogás como complemento, sobre todo durante la transición a la electrificación, y el hidrógeno será la solución en casos puntuales. La estrecha colaboración con nuestros colegas de la división de Kanthal, expertos en calefacción eléctrica, es muy gratificante”, afirma Carl von Schantz, presidente de la división de Tubos.

Además de la validación SBTi, Alleima ha recibido recientemente una medalla de oro de EcoVadis, proveedor líder de evaluaciones de sostenibilidad. Este prestigioso reconocimiento a las prácticas empresariales sostenibles sitúa a Alleima entre el 5 % de las 150,000 empresas evaluadas en todo el mundo.

Climatización Inteligente

En un mundo donde la eficiencia energética y la gestión inteligente son cada vez más importantes, la climatización a través de sistemas de control inalámbrico se ha convertido en un factor diferencial para empresas, instalaciones y edificios de todo tipo. La marca DECACLIMA ha dado un paso más en esta evolución tecnológica desarrollando una plataforma “IoT” avanzada que transforma la forma en que se controlan y supervisan los sistemas de climatización.

La plataforma DCONTROL desarrollada por DECACLIMA permite monitorizar y controlar de forma remota todas las Unidades de Tratamiento de Aire (UTAs) desde un único entorno. Gracias a su diseño intuitivo y accesible desde cualquier dispositivo, el sistema ofrece una visión global y detallada del estado de las instalaciones, optimizando la operación y agilizando la toma de decisiones. Uno de sus elementos más diferenciales es el mapa interactivo, que permite localizar todas las UTAs instaladas y consultar su funcionamiento en tiempo real. Esta funcionalidad mejora la eficiencia operativa y permite actuar con rapidez ante cualquier incidencia. La conectividad IoT incorporada en esta plataforma asegura información precisa y continua sobre parámetros críticos como el consumo energético, temperatura, caudales o estado de los componentes. Este enfoque permite aplicar estrategias de mantenimiento preventivo y predictivo, minimizando fallos y reduciendo los costos asociados a reparaciones y paradas no

Durante el Invierno Como Mantenerse

Caliente sin Encender la Calefacción

Con el continuo aumento de los costos energéticos, encontrar maneras prácticas de mantenerse caliente sin depender en gran medida de la calefacción central es una prioridad inteligente y económica. Afortunadamente, mantener su hogar cálido y confortable este invierno no requiere grandes reformas ni aparatos costosos. La mayoría de las veces, puede mantenerse mucho más caliente con algunos hábitos diarios sencillos, algunas reparaciones caseras y aprovechando al máximo el calor que ya tiene.

Esta guía del experto en calefacción

Matthew Jenkins de MyJobQuote.co.uk, plataforma de información para profesionales en el Reino Unido, ofrece algunas estrategias prácticas y económicas, desde el uso de textiles sencillos hasta el mantenimiento básico del hogar, que le ayudarán a crear un ambiente más cálido y a reducir sus facturas de energía.

Aproveche sus Cortinas

La luz solar produce calor gratis, por lo que es importante aprovecharla al máximo siempre que sea posible. Abra las cortinas y deje que la luz del sol entre a raudales durante el día para aprovechar al máximo este calor gratuito. Cuando se ponga el sol, cierra las cortinas. Las cortinas actúan como una capa aislante adicional y ayudan a mantener el calor en la habitación. Asegúrate de que no haya huecos ni fugas para que el aire caliente se quede dentro y el aire frío fuera. Esto también puede ayudar a reducir la condensación.

Elimina las Corrientes de Aire

Los burletes son muy eficaces para mantener el calor en tu habitación. Aislar tú mismo las puertas, ventanas y grietas del suelo puede ayudarte a ahorrar dinero al año en la factura de la calefacción.

Puedes aislar tu casa fácilmente con un presupuesto muy bajo. Puedes comprar juntas de goma autoadhesivas para ventanas y puertas a un precio bastante económico. Los burletes también son bastante baratos. Por eso, es buena idea invertir en selladores y burletes antes de que lleguen los meses más fríos del invierno.

Refleja el Calor

Los reflectores de calor son ideales para que tu casa se sienta mucho más cálida. Puedes comprar reflectores para radiadores a un precio bastante económico. Además, son muy fáciles de instalar, así que podrás hacerlo tú mismo sin tener que gastar dinero en contratar a un profesional. Los reflectores para radiadores funcionan reflejando el calor del radiador hacia la habitación. Se colocan detrás del radiador, contra la pared. Esto ayuda a evitar que el calor se pierda a través de la pared y, en cambio, lo proyecta hacia adelante, haciendo que la habitación se sienta mucho más cálida.

Usa Alfombras

Es posible que tu habitación esté perdiendo mucho calor justo debajo de tus pies. Los suelos de madera, vinilo, piedra y laminados pueden enfriarse mucho en invierno. Si tu suelo es viejo o tiene muchas grietas o huecos, podrías estar perdiendo una cantidad significativa de calor a través del suelo. Una alfombra puede añadir un toque acogedor a la habitación y ayudar a mantener los pies calientes. También ayudará a reducir la cantidad de aire frío que entra y la cantidad de aire caliente que se escapa.

Aislamiento del Ático

Si su ático no está bien aislado, podría estar perdiendo mucho calor de su hogar. Los paneles o rollos de aislamiento para áticos pueden ser muy efectivos para minimizar la pérdida de calor a través del ático y el tejado. Si bien esto requiere una

inversión inicial, puede instalar el aislamiento usted mismo y ahorrar dinero. Aislar el ático es una inversión rentable a largo plazo, ya que ahorrará considerablemente en sus facturas de energía. Esto se debe a que se escapa menos aire caliente por el tejado y entra menos aire frío, lo que facilita calentar su hogar y lo mantiene caliente por más tiempo. Esto significa que no tendrá que usar la calefacción tanto tiempo y que su caldera no tendrá que trabajar tanto para mantener la temperatura deseada.

Abríguese por Capas

Usar capas finas de ropa durante el invierno no ayuda mucho a mantener la temperatura corporal. Lo mejor es usar varias capas de ropa y mangas largas para mantenerte lo más abrigado posible. No dudes en usar un gorro en casa. Las bufandas y las batas también son ideales para mantenerte caliente. Ten a mano mantas y cobijas para poder abrigarte bien y sentirte cómodo durante los meses más fríos.

Bebidas y Comidas

Calientes

La sopa es ideal para entrar en calor. Tomar bebidas calientes y comer comida caliente te ayudará a sentirte más abrigado por dentro y por fuera. Si tardas en terminar una bebida caliente, considera comprar una taza o vaso térmico, que mantendrá tus bebidas calientes por más tiempo para que puedas disfrutarlas a una temperatura agradable, incluso si solo las bebes a sorbos y con calma.

Bolsas de Agua Caliente

Las bolsas de agua caliente son una de las soluciones más económicas para el invierno. Puedes usar tu bolsa de agua caliente durante todo el día simplemente rellenándola con agua caliente periódicamente. Si la combinas con una manta, puedes crear un ambiente cálido y acogedor que te mantendrá abrigado todo el día.

Por: Matthew Jenkins
Con información e Imagenes de: MyJobQuote, Dreamstime

Si te preocupa usar bolsas de agua caliente, puedes optar por un calentador para microondas. Un peluche para microondas también te ayudará a sentirte abrigado y cómodo.

¡Muévete!

No es ningún secreto que tendemos a sentir mucho más frío cuando estamos sentados sin movernos. Una excelente manera de sentirnos más abrigados es simplemente movernos más. Levántate periódicamente y camina por la habitación o por tu casa para activar la circulación. Esto te ayudará a sentirte mucho más abrigado que si te quedaras sentado todo el día.

Añade Textiles

Ciertos textiles pueden ayudar a que una habitación se sienta mucho más cálida gracias a su efecto de capas. Si tienes mantas, son ideales para colocar sobre el sofá. Las cortinas también pueden ser muy útiles, ya que ayudan a bloquear el exterior, evitan las corrientes de aire, impiden que se escape el calor y, además, lucen muy bien en las ventanas. Los cojines también son perfectos para el sofá, ya que añaden capas adicionales y son ideales para relajarse. Asegúrate de añadir textiles sencillos a la sala de estar para que no se vea demasiado recargada.

Mueve tu Sofá

Colocar el sofá frente a un radiador puede parecer una buena idea. Sin embargo, esto solo hará que el sofá absorba la mayor parte del calor. Este calor podría utilizarse para calentar el salón. Aleja el sofá del radiador para que el aire caliente circule mejor por la habitación. Lo mismo ocurre con las cortinas o cualquier cosa que cubra el radiador. Intenta mantener los objetos alejados de los radiadores disponibles para aprovechar al máximo el calor.

Purga tus Radiadores

Es importante revisar los radiadores periódicamente para asegurar su correcto funcionamiento, sobre todo durante los meses más fríos del invierno, ya que podrías estar gastando más de lo necesario en la factura de la calefacción. Si encuentras zonas frías en los radiadores, puede que haya aire atrapado en su interior. El aire atrapado impide que el agua caliente circule correctamente

por el radiador, lo que hará que tarde mucho más en alcanzar la temperatura deseada. La mejor manera de eliminar las zonas frías es purgar los radiadores. Deberá abrir la válvula de purga con una llave para radiadores y dejar que escape el aire atrapado. Una vez hecho esto, el radiador se calentará correctamente, haciendo que su hogar se sienta mucho más cálido.

Consideraciones Finales

Como puede ver, mantener su hogar cálido no significa necesariamente subir

la calefacción. Combinando algunas tareas sencillas de mantenimiento (como purgar los radiadores y mover los muebles) con barreras aislantes económicas (como cortinas, alfombras y burletes), puede crear una defensa eficaz y multicapa contra el frío. Además, no olvide el poder del calor personal. Abríguese bien y disfrute de una bebida caliente o una bolsa de agua caliente: estos detalles marcan la diferencia. Implementar solo algunas de estas estrategias le ayudará a sentirse cálido y cómodo, a la vez que reduce significativamente su gasto energético este invierno.

Mantener su hogar cálido no significa necesariamente subir la calefacción. Combinando algunas tareas sencillas de mantenimiento (como purgar los radiadores y mover los muebles) con barreras aislantes económicas (como cortinas, alfombras y burletes), puede crear una defensa eficaz y multicapa contra el frío.

Tecnología

de Conversión de Hidrógeno en Calor de HYTING

Supera con Éxito 2,500 Horas de Pruebas de Durabilidad

La empresa de tecnología de calefacción por hidrógeno HYTING ha completado con éxito un programa de pruebas de durabilidad de 2,500 horas en su generador de calor de 10 kW, el HG10. Las pruebas comenzaron en enero de este año y finalizaron en julio: las 2,500 horas de funcionamiento registradas en el laboratorio durante este periodo representan 10 años de calefacción en condiciones reales de uso.

No se produjeron problemas ni fallos durante el programa de pruebas, y el posterior desmontaje e inspección de la unidad no mostraron un desgaste significativo en ningún componente, ni en absoluto en ninguna pieza crítica para la seguridad. El proceso catalítico sin llama patentado del HG10 genera calor de forma eficiente sin emisiones de CO₂, NOx ni partículas, lo que se validó mediante la medición continua de la calidad de los gases de escape.

Tim Hannig, fundador y director general de HYTING, declaró: “Los resultados de estas pruebas de durabilidad realizadas por terceros demuestran la larga vida útil y los bajos requisitos de mantenimiento inherentes a nuestros generadores de calor de hidrógeno. Además de probar su excepcional fiabilidad, también han demostrado su capacidad para generar cero emisiones, y por eso creemos que nuestra tecnología de hidrógeno puede desempeñar un papel fundamental en la descarbonización del sector de la calefacción”.

El HYTING HG10 forma parte de la gama modular de la empresa, con potencias de 10 a 50 kW por unidad (se prevé presentar una unidad de 150 kW para 2026). Son ideales para la calefacción de espacios en edificios industriales y comerciales, especialmente para cubrir las necesidades de calefacción máximas, y también resultan idóneos para la calefacción de procesos industriales de hasta 300 °C, así como para la calefacción de vehículos.

Productos Nuevos

AC SpeedStick WS-100

Marketair Inc., proveedor de componentes y accesorios para sistemas de climatización y refrigeración con sede en Edison, Nueva Jersey, presenta el AC SpeedStick, el interruptor de flotador de instalación más rápida del sector para proteger contra daños a la propiedad causados por el desbordamiento de condensado en unidades de tratamiento de aire mini-split/sin ductos. El AC SpeedStick WS-100 es también el primer interruptor de flotador electrónico del sector que ofrece conectividad a internet mediante Wi-Fi (opcional). El AC SpeedStick detecta una obstrucción en la línea de drenaje de condensado y apaga el sistema. www.acspeedstick.com

Presostato ANS2

Con la misma fiabilidad y durabilidad que el presostato NS2, la nueva serie ANS2 ofrece el mismo rendimiento probado en un diseño renovado que agiliza y simplifica el ajuste del punto de consigna. El punto de consigna se calibra girando la llave de la tapa de ajuste con una llave Allen y utilizando la escala para seleccionar el valor deseado. No se requiere PVG ni manómetro. Diseñado para ofrecer versatilidad, el ANS2 es ideal para sistemas HVAC residenciales y comerciales, equipos de cocina industrial (como campanas extractoras y freidoras), calefacción radiante exterior y calefacción de piscinas y spas. www.clevelandcontrols.com

Las pruebas de durabilidad de 2,500 horas constituyen el último hito clave en la hoja de ruta de industrialización de HYTING y siguen al establecimiento de una asociación estratégica de desarrollo con ebm-papst, una asociación de fabricación con Kampmann, la obtención de un primer cliente (Flusys) y la obtención de la certificación del Reglamento de Aparatos de Gas (GAR), lo que significa que los generadores de calor están totalmente certificados para su funcionamiento en pruebas de campo en el mercado europeo.

hyting.com

Puertas Rapidas Autorreparables

Las puertas rápidas autorreparables del fabricante Kavidoors ofrecen solución a la sectorización de zonas de trabajo con alto tránsito de personas y vehículos. Son ideales para interiores y temperaturas de hasta 0ºC. Su función autorreparable permite que la lona se desplace fuera de las guías tras un golpe, volviendo automáticamente a su posición original sin daño alguno. Su estructura se compone de Dintel aluminio anodizado o inoxidable con alto grado de estanqueidad con fijaciones de acero inoxidable, cuenta con lona de PVC – Nylon de 1 mm de espesor, es resistente al desgaste, a la abrasión, a la decoloración y cumplen con certificado ignífugo del tipo M2.

kavidoors.com

REFRINOTICIAS

GEA’S

HEADQUARTERS

UNITES MODERN WORKPLACE AND SUSTAINABILITY

WEG and Neoenergia Accelerate Energy Decarbonization in Fernando de Noronha, Brazil

Primetals Technologies 20-High Silicon Steel Mill Starts Up at LY Steel in Loudi, China

DriSteem Expands Adiatec High-Pressure System Capabilities

REFRINOTICIAS Magazine

A SUPPLEMENT TO REFRINOTICIAS AL AIRE MAGAZINE DEDICATED TO THE HVAC/R GLOBAL MARKETS

Staff

PUBLISHER

ROBERTO ROJAS JUAREZ

EDITORIAL

ROBERTO ROJAS DAMAS

ADMINISTRATION

MARTHA D ARAUJO

ART & DESIGN

MONICA SANCHEZ

ADVERTISING

REFRINOTICIAS AL AIRE

MEXICO: (+52) 55 5740 4476 55 5740 4497 cord.editorial@refrinoticias.com

PUBLISHING OFFICES

BURO DE MERCADOTECNIA DEL CENTRO, S.A. Playa Revolcadero 222 Col. Reforma Iztaccihuatl Norte 08810, MEXICO, D.F.

MEXICO: +52 555 740 44 76 555 740 44 97 Web site: www.refrinoticias.com/magazine

Article Submissions email proposal to: cord.editorial@refrinoticias.com

Table of Contents

DIGITAL EDITION

Get direct access to our electronic digital edition, access from the comfort of your computer, before anyone else receives the best overall information industry, plus you can download the digital edition, access hot links, keyword search, annotation, highlight and note making.

REFRINOTICIAS Magazine Supplement is

Published Monthly by BURO DE MERCADOTECNIA DEL CENTRO, S.A.

to the HVAC/R Global Markets.

This magazine is printed on paper from sustainable sources.

REFRINOTICIAS Magazine is published monthly by Buro de Mercadotecnia del Centro, S.A. As a supplement with REFRINOTICIAS AL AIRE a publication of Buro de Mercadotecnia del Centro, S.A. All rights reserved. Points of view expressed do not necessarily represent those of Buro de Mercadotecnia del Centro. The publisher reserves the right to accept or reject all advertising matter. The publisher assumes no liability for return or safety of unsolicited art, photographs or manscripts. Roberto Rojas Juarez, Publisher; Roberto Rojas Damas, Editor. Postmaster: Send address changes to REFRINOTICIAS Magazine, Playa Revolcadero 222 Col. Reforma Izztacihuatl Norte 08810, Mexico City. Email: cord.editorial@refrinoticias.com Printed and edited in Mexico. REFRINOTICAS Magazine does not assume and hereby disclaims any liability to any person for any loss or damage caused by errors or omissions in the material contained here in, regardless of whether such errors result from negligence,

or any other cause what so ever.

Asia & Oceania

Primetals Technologies, Limited, headquartered in London, United Kingdom, is a pioneer and world leader in the fields of engineering, plant building, and the provision of lifecycle services for the metals industry. The company offers a complete technology, product, and services portfolio that includes integrated electrics and automation, digitalization, and environmental solutions. This covers every step of the iron and steel production chain—from the raw materials to the finished product—and includes the latest rolling solutions for the nonferrous metals sector.

China

20-High Silicon Steel Mill from Primetals Technologies Starts Up at LY Steel in Loudi, China

Primetals Technologies’ split-type 20-high HZ mill has successfully started up at LY Steel in Loudi, Henan Province, rolling its first coil of high-quality silicon steel for new energy applications. Primetals Technologies supplied engineering, mechanical equipment, and commissioning services for the project.

The advanced HZ mill supports stable, large-scale production of ultra-thin, high-grade silicon steel. This new production line establishes a strong foundation for LY Steel in producing and developing high magnetic induction grain-oriented (GO) and highgrade non-grain-oriented (NGO) silicon steel. The HZ mill is an innovative split-housing ZR mill developed by Primetals Technologies, offering several advantages over conventional ZR mills. Its large gap opening allows for easier strip threading and smooth recovery after strip breakages. Flexible roll diameter configurations cover a wide range of production requirements, while the Double AS-U shape control system ensures stable rolling and improved productivity.

Europe & Africa

Additionally, the work rolls can be used throughout nearly the entire range without being limited by intermediate roll diameters, further enhancing operational flexibility.

LY Steel Electromagnetic Materials is a subsidiary of Liangang Group, specializing in the research, development, production, and sales of GO and NGO silicon steel products. Liangang is a major global processing base for high-end, heat-treated medium- and thin-gauge sheets, a leading domestic producer of GO and NGO silicon steel materials and finished products, and a comprehensive supplier of specialty steel in central and southern China.

The company is recognized as a National Enterprise Technology Center and as a “Green Factory” in Hunan Province, is listed in the Ministry of Industry and Information Technology’s 5G Factory List, and has received the industry’s highest number of “Excellent Awards.”

www.primetals.com

Safe Monitoring Group (SMG) is shaping the future of gas detection in Europe - building the leading group of manufacturers dedicated to protecting people, property, and the planet from the dangers of gas leaks. From industrial plants to commercial buildings, parking garages, tunnels, and public spaces, our mission is the same: to create safer environments everywhere. Through deep application expertise and advanced technology, SMG help its partners prevent risks, ensure compliance, and operate with confidence.

Safe Monitoring Group

Acquires ExOxTox Gasdetectie B.V., A Leading Gas Detection and Service Specialist in the Netherlands

Safe Monitoring Group AB (“Safe Monitoring Group”), a European leader in gas detection, monitoring, and safety technologies, has acquired ExOxTox Gasdetectie B.V. (“Ex-Ox-Tox”), a respected Dutch specialist in gas detection systems and service solutions.

This strategic acquisition marks another step in Safe Monitoring Group’s ongoing expansion across Europe, strengthening its sales and service network while reinforcing its commitment to protecting people, property, and the environment from hazardous gas leaks.

Founded in 1995 and based in NieuwVennep the Netherlands, Ex-Ox-Tox has built a strong reputation for its expertise in

gas detection across industrial, laboratory, and environmental applications. The company provides complete system design, installation, commissioning, and maintenance services, offering tailored safety solutions to its diverse customer base.

As part of Safe Monitoring Group, Ex-Ox-Tox will collaborate closely with other companies within the Group - including IGD, SAMON, CPC, Bieler+Lang, and Schick Gaswarnanlagen - to enhance shared strengths in Sales, Service, Marketing, and Technical Support.

This integration will bring greater value and an expanded portfolio of products and solutions to both existing and new customers across Europe.

www.safemonitoringgroup.com

Safe Monitoring Group has acquired 100% of the shares in Ex-Ox-Tox.

The process was completed in August 2025, with René van Maris continuing in his leadership role to ensure continuity and support the Group’s expansion plans in the region.

Brazil & Latin America

WEG and Neoenergia

Accelerate Energy Decarbonization in Fernando de Noronha, Brazil

WEG will be responsible for the complete supply of the photovoltaic system and the energy storage system for the Noronha Verde (Green Noronha) project, an initiative led by Neoenergia that will transform Fernando de Noronha into the first inhabited oceanic island in Latin America to achieve 100% renewable energy generation. In addition to supplying the equipment, WEG will execute the entire technical and operational scope of the project, from system delivery to the commissioning required to ensure full integrated operation.

Middle East

Riyadh

Founded in 1961, WEG is a global electro-electronic equipment company, operating in the capital goods sector a with focus on electric motors, gearboxes and drives and controls, energy generation and transformers, electrification products and systems, automation and digitalization. WEG stands out in innovation by constantly developing solutions to meet the major trends in energy efficiency, renewable energy and electric mobility.

The initiative is part of the Mais por Noronha Program and involves the Federal Government, through the Ministry of Mines and Energy, and the Government of the State of Pernambuco. Announced today at the Forte Nossa Senhora dos Remédios, the project will receive more than 30,000 solar panels with a generation capacity of 22 MWp, along with an advanced Battery Energy Storage System (BESS) with 49 MWh, ensuring continuous clean energy supply at night or during periods of low solar incidence.

Licensed by the Pernambuco State Environmental Agency (CPRH), with approval from ICMBio, the federal conservation authority, the project will be executed in two phases: the first to begin operations by May 2026, and the second in 2027.

During the project launch ceremony, the first Floating Photovoltaic Solar Plant in the archipelago was also inaugurated, installed on the Xaréu Reservoir. The project included WEG’s complete photovoltaic system. With an investment of R$ 10 million, through Neoenergia Per-

www.weg.net

FII9 Concludes; the Prosperity Era Unlocked With Over USD50 Bn of Investments and Deals

Organized by the Future Investment Initiative (FII) Institute, the ninth edition of the Future Investment Initiative flagship conference, FII9, held 27–30 October 2025 in Riyadh under the theme “The Key to Prosperity: Unlocking New Frontiers of Growth”, has concluded with record breaking numbers and impact. The landmark gathering of global capital, innovation, and diplomacy has delivered major commitments, record-breaking participation, and a clear signal of a new era in global partnership.

Over 9,000 delegates attended the conference, including more than 600 media and 2,000 membership participants, marking the event’s largest turnout to date.

nambuco’s Energy Efficiency Program (regulated by ANEEL), the floating plant has a capacity of 622 kWp and is expected to generate 1,083 MWh/year, enough to supply about 30% of the energy consumption of Compesa and avoid 717 tons of CO₂ emissions annually. The launch of the project that will decarbonize Fernando de Noronha comes at a strategic moment for Brazil, on the eve of COP30.

The FII Institute is a global nonprofit foundation with an investment arm and one agenda: Impact on Humanity. Through its THINK, XCHANGE, and ACT pillars, the Institute fosters great ideas, empowers innovators, and invests in scalable solutions across critical sectors including AI and robotics, sustainability, healthcare, and education.

More than 650 speakers, 250 sessions, and 20 heads of state joined the event, reflecting its pronounced geopolitical reach.

The event convened participants from around 90 countries, encompassing government ministers, global CEOs, investors, and tech entrepreneurs. FII9 saw more than USD 50 billion in signed agreements and investment pledges. The deals spanned artificial intelligence, advanced technology, renewable energy and infrastructure.

Among the major announcements:

• Renewable energy partnerships between ACWA Power, Aramco, and global utilities to expand low-carbon generation capacity.

• AI and data-infrastructure projects involving HUMAIN, Qualcomm, Blackstone, and Saudi technology entities, supporting the creation of sovereign compute and AI-training facilities.

The Public Investment Fund (PIF), headed by its Governor H.E. Yasir Al-Rumayyan, reaffirmed that the FII platform has now enabled over USD 250 billion in cumulative deals since inception, reinforcing Saudi Arabia’s ambition as a global investment hub.

North America

New System Envelope

Energy Transfer Station (SE-ETS) Offers Load Ranges Up To 840 Tons

Armstrong Fluid Technology has introduced a fully modular energy transfer system integrated with Armstrong’s Envelope platform for optimized selection and operation. Featuring heat load ranges from 56 to 840 tons, the new System Envelope - Energy Transfer Station (SE-ETS) uses a modular, packaged design to reduce lead-time, provide the lowest first cost, and reduce pump energy use by up to 50%.

Optimization of performance starts at the selection stage, with comprehensive system performance maps that deliver the best possible selection based on requirements for temperature, redundancy, flow and pressure. Patented, predictive algorithms for heat transfer controls, Sensorless pumping and Envelope technology work together to deliver reliable performance and enhanced system efficiencies. Integrated controls support demandbased operation and integrate seamlessly with BAS systems.

Other system features include:

• Factory assembly and testing of the complete packaged solution

• Modules can be arranged in multiple configurations within the mechanical room to fit the available space

• During periods of low demand, the new fouling detection capability activates automatic self-cleaning for uninterrupted operation

• Units are delivered as separate modules that fit through mechanical room doorways and are easily placed and connected on site

Announcing the new solution, Brent Ross, Global Director, Product Management not ed, “These new energy transfer stations will change the way HVAC systems are sized, selected and op erated, resulting in significant savings. Everyone involved in a project, includ ing contractors, en gineers, developers and mainte nance professionals will benefit from the design innovations.”

With over 1200 employees worldwide, operating eight manufacturing facilities on four continents, Armstrong Fluid Technology is known around the world as a leader and innovator in the design, engineering and manufacturing of intelligent fluid-flow equipment.

Danfoss To Showcase

Reliable, Energy-Efficient Solutions For Data Centers at SuperComputing 2025

Danfoss will exhibit its broad portfolio of technologies that increase data center uptime and reliability at SuperComputing 2025, November 18-20, in St. Louis, Missouri. At booth 2237, Danfoss will showcase its high-performance HVAC components, fluid conveyance products for liquid cooling systems, variable frequency drives, and other power distribution solutions under the theme, “You run the data. We keep it cool.”

Data centers are under pressure to increase their energy efficiency, all while uptime and scalability grow ever more critical. Danfoss is uniquely positioned to offer white space and gray space solutions that help its customers achieve more energy-efficient, reliable, and sustainable operations. The company offers technologies for facility and server cooling, power distribution, and heat reuse and recovery. Key products on display will include:

• Liquid cooling solutions, including couplings, hoses, and valve trains. Danfoss Hansen® FD83 Quick Disconnect Couplings offer reliable, leak-free operation and simple maintenance, while Boston by Danfoss Royal™ EHW194 EPDM Hose provides superior flexibility and kink resistance to simplify installation and maintenance. CoolTrain™, a smart valve train offering plug-and-play connection between coolant piping and server racks, optimizes liquid cooling solution flow for maximum energy efficiency while minimizing the risk of leaks

• HVAC solutions such as the Danfoss Turbocor® TGS380 Compressor, which delivers superior performance and low sound levels in a compact footprint. It features zero performance degradation over the life of the compressor and unmatched energy efficiency at full and partial loads.

• Motor control and power conversion solutions, including variable frequency drives, harmonic mitigation, and system modules. Danfoss VFDs ensure optimal performance, increased uptime, and exceptional efficiency for low-PUE data centers. Low- and ultra-low-harmonic solutions, along with the Danfoss Advanced Active Filter AAF 007, reliably manage harmonics in critical environments. iC7 Liquidcooled System Modules provide efficient energy conversion for power distribution, battery energy storage, and fuel cells.

www.danfoss.com

DriSteem Expands

Adiatec® High-Pressure System Capabilities with Industry’s Only Seismic Certification

DriSteem, a Madison Air company, proudly announces that its Adiatec® highpressure atomization system is the industry’s only high-pressure humidification solution to hold OSHPD Special Seismic Certification Preapproval (OSP). Verified through rigorous third-party testing by Pre Compliance, the Adiatec system is now approved for use in facilities governed by stringent seismic regulations.

Adiatec meets both the International Building Code (IBC) and California Health Care Access and Information (HCAI) requirements. Its OSP certification streamlines the design and inspection process, reducing project complexity.

www.dristeem.com

GEA’S NEW HEADQUARTERS UNITES MODERN WORKPLACE AND SUSTAINABILITY

The international technology company GEA today moved into its new corporate headquarters at Ulmenstr. 99 in the new “maxfrei” urban district in Düsseldorf-Derendorf. GEA previously occupied three buildings in Düsseldorf’s Airport City. Bringing all central functions and parts of the divisional and country organizations under one roof marks an important step toward greater cross-functional collaboration, shorter distances, and a corporate culture built on dialogue, personal responsibility, and openness. The new headquarters represents a clear commitment to the city of Düsseldorf – one of Europe’s leading business locations. Its modern design supports frequent inperson exchanges, innovation, and new ways of working.

ARCHITECTURE FOR MODERN WORKING

The new building, designed by the architectural firm caspar.schmitzmorkramer, combines functionality with a highquality working environment. The building frames a green inner courtyard that serves as a quiet, light-filled retreat and a design link between the wings of the building. Flexible open-plan spaces, meeting areas, collaboration spaces and quiet rooms, inviting foyers, a canteen, and a communal roof terrace promote exchange and creativity.

“Our new corporate headquarters is a milestone for

GEA and at the same time an expression of our values. Here, we are shaping the future together: with openness, responsibility and a solution-oriented mindset. The new headquarters embodies modern work culture, fosters open dialogue among peers, and reflects our ambition as a global technology company to unite social responsibility with entrepreneurial success,” says GEA CEO Stefan Klebert.

ARCHITECTURAL INSPIRATION IN A FORWARD-LOOKING NEIGHBORHOOD

The new company headquarters is part of the striking ”maxfrei” development in a neighborhood with a unique history. Where the Ulmer Höh prison stood until 2012, a car-free, vibrant district has emerged with subsidized housing, a daycare center, public green spaces, and a strong commitment to sustainability. In 2021, “maxfrei” was honored with the prestigious polis Award for “Urban Land Recycling” as a prime example of successful transformation, social integration, and the preservation of cultural identity.

SUSTAINABLE THINKING – DOWN TO THE LAST DETAIL

The building meets the Efficiency House 55 standard and holds the international LEED Gold certificate – proof of its high energy efficiency and resource conservation.

With information and images by: GEA Group Aktiengesellschaft.
Image: GEA/Ansgar van Treeck.
A green rooftop retreat with panoramic views: The shared roof terrace creates a connection between the workplace and the neighborhood.

Measures include:

• Photovoltaic systems on intensively greened roofs

• District heating with more than 90% of heat sourced from waste-to-energy plants

• Rainwater management via retention areas

• Smart building technology with AIsupported consumption analysis

• Charging facilities are also available for bicycles and cargo bikes.

GEA alone has 40 exclusive e-charging points at its disposal – the underground car park is prepared for expansion to 160. Bicycles and cargo bikes can also be charged on site.

INTEGRATION INTO A LIVELY ENVIRONMENT

The urban quarter follows the 15-minute city concept: living, working, mobility, and amenities are all within walking distance. With its recesses, exposed concrete, natural stone, and wood veneer elements, the architecture of the headquarters fits seamlessly into the surrounding urban landscape – open to the city, with views of the historic chapel that forms the center of the quarter.

The mixed-use, green neighborhood was developed by a joint venture between HAMBURG TEAM and Arrow Global Germany. “The GEA headquarters transforms a historic location into a place of the future – open, connected, and helping to shape the city skyline. That’s exactly what good urban development is all about today,” says architect Anja Lohfink, project manager for the two “maxfrei” office buildings at HAMBURG TEAM.

“With our new headquarters, we are offering a very attractive environment for current and future GEA employees. We are convinced that our modern building in the lively ‘maxfrei’ district will further enhance our employer attractiveness and thus also contribute to GEA’s long-term success,” adds Stefan Klebert.

The new address:

GEA Group Aktiengesellschaft Ulmenstr. 99

40476 Düsseldorf, Germany

LEED Gold-certified building with a focus on sustainability, flexibility, and urban integration underscores GEA’s leadership in sustainability.
The new GEA headquarters in the “maxfrei” urban district in Düsseldorf-Derendorf –an architectural landmark in the heart of a lively neighborhood.

Turn static files into dynamic content formats.

Create a flipbook
Issuu converts static files into: digital portfolios, online yearbooks, online catalogs, digital photo albums and more. Sign up and create your flipbook.