Informe Ejecutivo 2: Unidad de Investigación y Exploración

Page 1

Unidad I+D para la Exploración y Explotación de Petróleo y Gas

INFORME EJECUTIVO 2

MODELAMIENTO GEOQUÍMICO 1D EN LAS CUENCAS DE AZUA, SAN JUAN, CIBAO Y ENRIQUILLO

RECONSTRUCCIÓN DE LA HISTORIA TERMAL DE LAS CUENCAS SEDIMENTARIAS DE LA REPÚBLICA DOMINICANA

PROYECTO DE INVESTIGACIÓN

2024 2

INFORME EJECUTIVO

MODELAMIENTO GEOQUÍMICO 1D EN LAS CUENCAS DE AZUA, SAN JUAN, CIBAO Y ENRIQUILLO

RECONSTRUCCIÓN DE LA HISTORIA TERMAL DE LAS CUENCAS SEDIMENTARIAS DE LA REPÚBLICA DOMINICANA

PROYECTO DE INVESTIGACIÓN

Unidad I+D para la Exploración y Explotación de Petróleo y Gas Refidomsa

2
2024

Responsables:

Ing. Gregorio Rosario, PhD. Subdirector Unidad I+D para la Exploración y Explotación de Petróleo y Gas - Refidomsa

Vera Cedeño Pérez

Ricardo Reynoso Villafaña Geólogos co-investigadores

Mario García González, PhD. Asesor Científico Exploración de Petróleo y Gas

Mauricio Vásquez Pinto Asesor en Modelos de Sistemas Petrolíferos

De esta edición

© Refinería Dominicana de Petróleo S. A.

2024

ISBN: 978-9945-8930-8-3

Impreso en Santo Domingo, República Dominicana

Lcda. Claudia Acra Vicerrectora Proyectos de Investigación, Vinculación e Internacionalización - UNPHU.

Rosill Rodríguez

Gian Caolo

Greylin Melo Soporte Administrativo

Sahira Doñé

Johnny Gregory Cedeño Asistentes de Investigación

Lcdo. José Eduardo Collado Diagramación y Diseño de Portada

4 ∙ Modelamiento Geoquímico 1D en las Cuencas de Azua, Cibao, Enriquillo
y San Juan

del modelo geoquímico 1D de la Cuenca de Azua

del modelo geoquímico 1D de la Cuenca del Cibao

del modelo geoquímico 1D de la Cuenca de Enriquillo

Refidomsa ∙ 5 Contenido 36 Resultados
54 Resultados
72 Resultados
90 Resultados
110 Conclusiones 111 Recomendaciones 112 Referencias 18 Metodología 18 Reconstrucción de la historia de enterramiento o subsidencia de las
sedimentarias 18 Reconstrucción
sedimentarias 19 Cálculo de la generación de petróleo 20 Trabajo de campo 24 Sistema petrolífero 26 Análisis geoquímicos en roca fuente: definición de parámetros 27 Cantidad de materia orgánica: carbono orgánico total (TOC) 29 Modelamiento geoquímico 01 02 04 03 05 INTRODUCCIÓN MÉTODOS
FUNDAMENTO TEÓRICO
7 Palabras del presidente 8 Perfil Unidad I+D 16 Resumen ejecutivo 15 Introducción 17 Objetivo general 17 Objetivos específicos
del modelo geoquímico 1D de la Cuenca de San Juan
cuencas
de la historia termal de las cuencas
RESULTADOS
CONCLUSIONES

Después de dos años de arduo trabajo, presentamos este informe con un alto valor científico, tecnológico y comercial, no sólo para nuestra empresa, sino también para atraer el desarrollo de la inversión y los negocios, nacionales e internacionales, en el sector de Petróleo y Gas en la República Dominicana. Por lo que demostramos que #EstamosCambiando.

PALABRAS DEL DR. LEONARDO AGUILERA

Presidente del Consejo de Administración

Refinería Dominicana de Petróleo (REFIDOMSA)

INVESTIGACIÓN

Y DESARROLLO

PARA LA EXPLORACIÓN Y EXPLOTACIÓN DE PETRÓLEO Y GAS

Un acontecimiento sin precedentes en la historia de la exploración y explotación de petróleo y gas en la República Dominicana ha sido la iniciativa y voluntad política del señor presidente de la República, Luis Abinader, en gestionar e impulsar la creación de la Unidad de Investigación y Desarrollo (I+D) para la exploración y explotación de petróleo y gas en la Refinería Dominicana de Petróleo (REFIDOMSA).

En enero de 2022 hicimos efectiva la creación de la Unidad I+D para responder al interés estratégico del Estado dominicano de determinar si en nuestro suelo y costas marinas existen hidrocarburos, ya sea petróleo o gas natural. En febrero de 2024 presentamos al país nuestro primer informe sobre análisis geoquímicos, petrofísicos y petrográficos en cuatro cuencas sedimentarias de la República Dominicana.

A partir de la integración e interpretación de estos datos, en abril de 2024 presentamos este nuevo informe para dar a conocer nuestros hallazgos sobre las condiciones a las que fue sometida la materia orgánica para alcanzar la ventana de generación de petróleo y/o gas en cuatro cuencas sedimentarias.

Este informe tiene alto valor científico, tecnológico y comercial, no sólo para Refidomsa y el gobierno dominicano, sino también para atraer el desarrollo de la inversión y los negocios, nacionales e internacionales, en el sector de petróleo y gas en la República Dominicana.

Agradecemos la motivación y el compromiso de nuestros investigadores y el equipo gerencial que colaboraron en la elaboración de este informe.

PERFIL CORPORATIVO

Unidad de Investigación y Desarrollo para la Exploración y Explotación del Petróleo y Gas

Historia:

En enero de 2022 surge la iniciativa del señor presidente de la República, Luis Abinader, y el presidente de la Refinería Dominicana de Petróleo, Dr. Leonardo Aguilera, de la creación de la Unidad I+D para la exploración y explotación de petróleo, en la Refinería Dominicana de Petróleo (REFIDOMSA).

Ésta se creó como un ente innovador basado en ciencia y tecnología para responder al interés estratégico del Estado dominicano de determinar si en nuestro suelo y costas marinas existen hidrocarburos, ya sea petróleo o gas natural.

Nuestra Unidad I+D encamina esfuerzos con centros de investigación y universidades, nacionales e internacionales, para fortalecer la infraestructura de conocimiento a los fines de atraer la inversión en la exploración y explotación de petróleo y gas, destacándose reuniones técnicas de cooperación y proyectos conjuntos con Argentina, Bolivia, Canadá, China, Colombia, Brasil, Ecuador, Estados Unidos, Guyana, Surinam, entre otros.

Gobernanza:

Tenemos una estructura organizativa pionera, dinámica, abierta y de base tecnológica, que nos impulsa a promover planes, programas y proyectos de investigación y desarrollo para la exploración y explotación de petróleo y gas en la República Dominicana.

Visión:

Ser el líder en la exploración y explotación de petróleo y gas, con tecnologías de punta y servicios globales para una República Dominicana más eficiente, competitiva y sostenible.

Misión:

Crear información de alto valor científico, tecnológico y comercial para atraer el desarrollo de la inversión y los negocios, nacionales e internacionales en el sector de petróleo y gas, mejorando los niveles de seguridad energética y oferta exportadora de la República Dominicana.

8 ∙ Modelamiento Geoquímico 1D en las Cuencas de Azua, Cibao, Enriquillo y
San Juan

ESTRUCTURA ORGANIZACIONAL

Febrero, 2024

COORDINADOR GENERAL

Gestionar fuentes de financiamiento y cooperación

Liderar proyectos de investigación y desarrollo

Planes de negocios y comercialización

Promoción del desarrollo de la industria petrolera

GEOINFORMACIÓN

Investigaciones y creación de valor comercial

Proyectos de tecnologías de información

Planes estratégicos y operativos

Base de datos, informes y documentos técnicos

GEOCIENCIAS

Campañas de muestreo, sondeos e investigaciones

Estudios cuencas sedimentarias on-shore, off-shore

Integración y análisis base de datos hidrocarburos Áreas con potencial hidrocarburíferas

GEOLOGÍA DE PETRÓLEO

Localización de depósitos de petróleo y gas

Administración de perforaciones exploratorias

Estimación de reservas en áreas prospectivas

Seguridad, salud y medioambiente

PROYECTOS Y COOPERACIÓN INTERINSTITUCIONAL

Formulación y seguimiento de proyectos

Fuentes de financiación y cooperación

Planes estratégicos y operativos

Alianzas y acuerdos

GEOFÍSICA DEL PETRÓLEO

Campañas de sísmica 1D, 2D y 3D

Integración y visualización de datos

Estadística, mapas e informes técnicos

Requerimientos de calidad de datos

GEOQUÍMICA DEL PETRÓLEO

Análisis y caracterización geoquímica

Requerimientos de calidad de datos

Modelado geoquímico 1D, 2D y 3D

Estadística, mapas e informes técnicos

Refidomsa ∙ 9

Resumen ejecutivo

Este documento presenta los resultados de la modelación geoquímica 1D de cuatro cuencas sedimentarias de la República Dominicana: Cuenca de Azua, Cuenca del Cibao, Cuenca de Enriquillo y Cuenca de San Juan. Para la creación de estos modelos geoquímicos se utilizó información publicada en la literatura y los resultados de los análisis geoquímicos de 100 muestras superficiales de roca. La construcción del marco estratigráfico se basó en la información presente en Carvajal-Arenas et al. (2020); Gorosabel (2020); Mann y Lawrence (1991); y, Mann y Pierce, (2021).

Para la creación de cada uno de los modelos de las cuencas en estudio, se seleccionó un pozo con la información estratigráfica más completa disponible. Los pozos seleccionados se presentan a continuación: (1) para la Cuenca de Azua se seleccionó el pozo Maleno DT1, (2) para la Cuenca del Cibao se seleccionó el pozo Licey #1, (3) para la Cuenca de Enriquillo se seleccionó el pozo Charco Largo #1 y (4) para la Cuenca de San Juan, se seleccionó el pozo Candelón #1.

Una vez establecido el marco estratigráfico de cada una de las cuencas con sus respectivos pozos, se procedió a crear el marco geológico correspondiente a las condiciones de paleo-profundidad, temperatura superficial promedio y de flujo de calor con la información disponible en Carvajal-Arenas et al. (2020); Nason y Lee (1964); y, Von Herzen et al. (1970).

Los resultados del modelo geoquímico 1D de la Cuenca de Azua indican que las rocas fuente de las formaciones Trinchera y Sombrerito, consistentes en calizas

de ambiente marino, alcanzaron profundidades y temperaturas suficientes en el Mioceno Inferior para llegar al punto de ventana de generación de petróleo reflejado por los datos de reflectancia de vitrinita (0.99 %Ro promedio) utilizados para la calibración del modelo.

Respecto a la Cuenca del Cibao, los resultados del modelo geoquímico indican que las calizas de ambiente marino de la Formación Trinchera alcanzaron profundidades y temperaturas suficientes para llegar a la ventana de generación de petróleo entre el Mioceno Inferior y el Mioceno Medio como lo indican los datos de reflectancia de vitrinita (1.21 %Ro promedio) utilizados para la calibración del modelo.

En la Cuenca de Enriquillo, los resultados del modelo geoquímico muestran que las calizas de la Formación Trinchera y la Formación Sombrerito alcanzaron la ventana de generación de petróleo entre el Mioceno Superior y el Plioceno. Sin embargo, no se poseen datos de calibración de reflectancia de vitrinita (%Ro) para dar mayor soporte a los resultados obtenidos. Por lo tanto, se recomienda obtener muestras de roca de estas formaciones localizadas en esta cuenca para realizar los respectivos análisis geoquímicos que permitan calibrar futuros modelos. Adicionalmente, en el pozo Charco Largo #1, utilizado para el modelo de la Cuenca de Enriquillo, se ha reportado la presencia de un cuerpo intrusivo volcánico tipo Diorita. Este tipo de evento intrusivo muy posiblemente afectó considerablemente la madurez termal de la materia orgánica presente en las inmediaciones de las rocas afectadas por el evento.

El modelo presentado refleja en cierta forma esta afectación, pero se requieren

10 ∙ Modelamiento Geoquímico 1D en las Cuencas de Azua, Cibao, Enriquillo y San
Juan

estudios de mayor detalle para concluir de forma certera el alcance de esta afectación.

Finalmente, en la Cuenca de San Juan, los resultados del modelo muestran que las calizas de las formaciones Sombrerito y Trinchera entraron en ventana de generación de petróleo y gas en el Mioceno Inferior como lo indican los datos de reflectancia de vitrinita en dos muestras (1.56 %Ro promedio y 2.32 %Ro promedio) usados para la calibración del modelo.

En resumen, las calizas pertenecientes a las formaciones Sombrerito y Trinchera son las rocas con el mejor potencial de generación de hidrocarburos en las cuatro cuencas analizadas, donde la historia de subsidencia, temperatura y datos de madurez termal reflejan dicha conclusión. Tres de los cuatro modelos poseen calibración con datos de reflectancia de vitrinita (%Ro) tomados en muestras de campo. El riesgo exploratorio por madurez ter- mal inicialmente contemplado es bajo, ya que los resultados de los modelos geoquímicos calibrados indican que las formaciones Sombrerito y

Trinchera alcanzaron temperaturas suficientes para entrar en la ventana o fase de generación de petróleo. Asimismo, estos modelos explican la presencia de los rezumaderos de petróleo y gas encontrados en la Cuenca de Azua, como también las manifestaciones de hidrocarburos reportados en la mayoría de los pozos exploratorios perforados en las cuatro cuencas antes mencionadas en la República Dominicana. Este resultado es alentador para continuar con los trabajos de exploración de hidrocarburos.

Se recomienda tomar muestras de roca de las formaciones Trinchera y Sombrerito en la Cuenca de Enriquillo, preferiblemente muestras de núcleos de pozo para evitar el factor de alteración por intemperismo, para poder calibrar futuros modelos geoquímicos a realizar. Adicionalmente, se recomienda realizar un análisis sedimentológico y estratigráfico a detalle de muestras de pozo para conocer con certeza factores importantes como espesores, características petrofísicas, geoquímicas y litológicas, esto con el fin de elaborar modelos geoquímicos mejor ajustados y calibrados.

Refidomsa ∙ 11
Ilustración 1. Trabajos de campo para colección de muestra de rocas. Fotografía: Gregorio Rosario.

1. Mapa de ubicación de pozos utilizados para la creación de los modelos geoquímicos 1D en las cuencas en estudio.

Modelamiento Geoquímico 1D en las Cuencas de Azua, Cibao, Enriquillo y San Juan

12 ∙
Figura
Refidomsa ∙ 13
Ilustración 2. Camino de acceso a corte de roca sedimentaria en la formación Las Guayabas. Fotografía: Gregorio Rosario.

INTRODUCCIÓN

1. Introducción

El presente informe expone los resultados, discusiones y conclusiones obtenidos a partir de la elaboración de modelos geoquímicos en una dimensión (1D) de cuatro cuencas sedimentarias de la República Dominicana: Cuenca de Azua, Cuenca del Cibao, Cuenca de Enriquillo y Cuenca de San Juan. Los datos geoquímicos utilizados para la creación de los modelos fueron obtenidos a partir de los resultados de análisis geoquímicos de laboratorio de 100 muestras superficiales de roca. La información geológica, estratigráfica y geofísica del área de estudio fue obtenida a partir de la literatura publicada por múltiples autores, incluyendo Carvajal-Arenas et al. (2020); Gorosabel (2020); Mann y Lawrence (1991); y, Mann y Pierce, (2021).

El equipo de investigación estuvo conformado por expertos de la Unidad de I+D para la Exploración y Explotación de Petróleo y Gas, la Universidad Nacional Pedro Henríquez Ureña (UNPHU) y la Universidad Industrial de Santander (UIS) de Colombia. Los datos que se proveen en este informe se basan en muestras físicas que están en custodia de la Unidad de Investigación y Desarrollo de Refidomsa; por consiguiente, los resultados aquí presentados podrían ser validados y corroborados por compañías petroleras interesadas en exploración y explotación de hidrocarburos en la República Dominicana.

Ilustración 3. Banco automatizado para estudios de muestra de pozos petrolíferos. Fotografía: Gregorio Rosario.

16 ∙ Modelamiento Geoquímico 1D en las Cuencas de Azua, Cibao, Enriquillo y San Juan

1.1. Objetivos

1.1.1. Objetivo general

Elaborar modelos geoquímicos 1D para las cuencas de Azua, Cibao, Enriquillo y San Juan, con base en la información geológica publicada y en resultados de análisis geoquímicos de 100 muestras superficiales de rocas.

1.1.2. Objetivos específicos

• Reconstruir la historia de subsidencia en un pozo de las cuencas de Azua, San Juan, Cibao y Enriquillo, con base en información estratigráfica publicada.

• Reconstruir la historia termal de las cuencas de Azua, San Juan, Cibao y Enriquillo, indicando las temperaturas del subsuelo que alcanzaron las formaciones generadoras en cada cuenca.

• Elaborar el modelo geoquímico 1D de cada pozo seleccionado en cada cuenca en estudio para obtener el diagrama de generación de hidrocarburos, representados por los diagramas de tasa de transformación de la materia orgánica (TR) y diagrama de reflectancia de vitrinita (%Ro).

Refidomsa ∙ 17

2. Metodología

En esta sección se presenta la metodología de investigación aplicada para el modelamiento geoquímico 1D en cuatro cuencas sedimentarias en la República Dominicana. El modelamiento geoquímico 1D se realizó utilizando la licencia del software PetroMod de Schlumberger, disponible en el College of Engineering y Mines de la Universidad de Dakota del Norte en Gry Forks, Estados Unidos. La construcción de los modelos geoquímicos de generación de hidrocarburos sigue el procedimiento general explicado por Welte, D.H., Horsfield, B., Baker, D.R. (1997) y Barker C, (1996), que consiste en:

2.1. Reconstrucción de la historia de enterramiento o subsidencia de la cuenca sedimentaria

La reconstrucción de la historia de enterramiento o subsidencia de la cuenca sedimentaria se realizó con base en la información estratigráfica del pozo seleccionado, la cual incluye los siguientes parámetros: espesor, litologías y edades del tope de cada una de las formaciones presentes en el pozo seleccionado. Esta información fue tomada de la lite-

ratura publicada por Carvajal-Arenas et al., (2020); Gorosabel, (2020); Mann & Lawrence, (1991); Mann & Pierce, (2021).

2.2. Reconstrucción de la historia termal de la cuenca sedimentaria

La reconstrucción de la historia termal de la cuenca sedimentaria se realizó con base en la historia de subsidencia mencionada en el paso anterior. Para este fin se tuvieron en cuenta los siguientes parámetros: a) flujo de calor en la cuenca sedimentaria a través del tiempo geológico y b) litología, porosidad y conductividad térmica de las diferentes capas o formaciones presentes en el registro estratigráfico del pozo seleccionado (espesores de cada formación). Estos parámetros son incluidos en la ecuación de transferencia de flujo de calor de Fourier (1):

o TB = TS + q+ ∑ (Δλ)

n-1

(%Ro) utilizados para todos los modelos geoquímicos fueron obtenidos a partir en la cuenca del Caribe Norte, que para el área de estudio se encuentra entre 60-70 mW/m² según Carvajal-Arenas, et al., (2020), y Nason, et al., (1964).

18 ∙ Modelamiento Geoquímico 1D en las Cuencas de
Azua,
Cibao,
Enriquillo
y San Juan
Δ
x
Figura 2. Roca caliza Neiba de la Cuenca de San Juan.

y (2) la temperatura superficial promedio en donde Tb es la temperatura (en grados Kelvin) del fondo del pozo o de una formación; Ts es la temperatura (en grados Kelvin) del pozo o de la formación; q es el flujo de calor en mW/m², el cual puede ser variable o relativamente constante dependiendo de la historia tectónica de la cuenca sedimentaria; Δx es la variación del espesor (en metros, m) de la formación, a través de la subsidencia de la cuenca sedimentaria; Δλ es la variación de la conductividad térmica de la formación que depende a su vez de la litología y porosidad de la roca sedimentaria.

2.3. Cálculo de la generación de petróleo

El cálculo de la generación de petróleo se realizó a partir de la materia orgánica presente en la formación generadora. Este cálculo se basó en la cinética de generación, dependiendo del tipo de materia orgánica o querógeno presente en la formación generadora según la siguiente ecuación:

K (dx/dt) = A*eEa/RT

donde: K= es la tasa de reacción con respecto al tiempo en moles por millones de años (moles/m.y); A = es el factor de frecuencia pre exponencial en minutos (min-1 ): Ea = es la energía de activación (kJ/mol), que corresponde a la mínima energía requerida para que el querógeno genere o produzca petróleo a una temperatura T específica: T = temperatura de reacción; y R es la constante universal de los gases en (kJ/mole-˚K).

La información geoquímica que tiene en cuenta el software PetroMod incluye: cantidad de carbono orgánico total (%TOC), índice de hidrógeno (IH) y la cinética de transformación de la materia orgánica. Esta consiste, esencialmente, en la energía necesaria para transformar diferentes tipos de materia orgánica en petróleo y gas. Para este estudio se utilizó la cinética propuesta por Pepper y Corvi (1995) para querógenos tipo II-S con alto contenido de azufre por tratarse de rocas fuente de hidrocarburos formadas en ambiente marino.

Posteriormente, se incluyen los parámetros del marco geológico regional como son: (1) el flujo de calor en el Caribe Norte que se obtuvieron del software PetroMod;

Refidomsa ∙ 19
Ilustración 4. Cantera de calizas y margas en la formación Neiba. Fotografía: Gregorio Rosario.

y (3) las paleo-profundidades de cada formación geológica reportada en el pozo objeto de estudio. Estos datos fueron tomados de la literatura publicada en Carvajal-Arenas et al., (2020); Nason y Lee, (1964); y Von Herzen et al., (1970).

Finalmente, se incluyeron los datos de calibración de los modelos de temperatura y de los modelos de maduración termal, utilizando datos de temperaturas de fondo (BHT) de pozos exploratorios y datos de reflectancia de vitrinita (%Ro) que deben ir atados a un pozo en cada uno de los modelos. De esta forma, se utilizaron los siguientes pozos: (1) para la Cuenca de Azua, el pozo Maleno DT1; (2) para la Cuenca del Cibao, el pozo Licey #1; (3) para la Cuenca de Enriquillo, el pozo Charco Largo #1; y, (4) para la Cuenca de San Juan, el pozo Candelón #1.

Cabe resaltar que los datos de calibración de reflectancia de vitrinita de las muestras de campo, fueron recolectadas por el equipo de investigación. Estas muestras fueron analizadas e interpretadas por el equipo del Laboratorio de Geología del Petróleo de la Universidad Industrial de Santander, Colombia. Estos datos son de vital importancia, ya que dan soporte a los resultados obtenidos en los diferentes modelos de las cuencas en estudio.

2.4. Trabajo de campo

El trabajo de campo inició con una visita técnica a los pozos petroleros de Maleno e Higuerito en la provincia de Azua, liderada por el presidente de Refidomsa, Dr. Leonardo Aguilera, y el Dr. Armando Zamora, de la Agencia Nacional de Hidrocarburos de Colombia. Se planificó y ejecutó con el siguiente equipo de

20 ∙ Modelamiento Geoquímico 1D en las Cuencas de Azua, Cibao, Enriquillo
y San Juan
Figura 3. Caliza cristalizada de la Cuenca de San Juan.

expertos: Ing. Ramón Cruz, director; Dr. Gregorio Rosario, subdirector; Dr. Mario García, asesor internacional; geóloga Tania Palmera, asesora internacional; geólogo Ricardo Villafaña, coinvestigador; y geóloga Vera Cedeño, coinvestigadora.

Esta labor de muestreo en campo se llevó a cabo en las cuencas de Azua, San Juan, Cibao y Enriquillo, con el fin de muestrear rocas de afloramientos con características de roca fuente, roca reservorio y roca sello. Un total de 100 muestras fueron analizadas e interpretadas por el equipo del Laboratorio de Geología del Petróleo de la Universidad Industrial de Santander (UIS), Bucaramanga, Colombia.

Una vez toda la información se encuentra en el modelo, se procede a la generación de resultados que corresponden principalmente al diagrama de subsi-

dencia, historia termal, diagrama de maduración y transformación de la materia orgánica y diagrama de reflectancia de vitrinita (%Ro).

Las limitaciones que se encontraron en la creación de los modelos, en especial para la Cuenca de Enriquillo, fueron la falta de datos de calibración con temperatura de fondo de pozo corregidas (BHT) y datos de reflectancia de vitrinita (%Ro). A pesar de que se tomaron muestras de campo por parte del equipo de investigación, no fue posible obtener resultados geoquímicos para calibrar los modelos en esta cuenca.

Ilustración 5. Facilidades de los laboratorios de la UIS, Colombia. Fotografía: Gregorio Rosario.

Refidomsa ∙ 21
Ilustración 6. Zona costera, bahía de Ocoa. Fotografía: Gregorio Rosario.

FUNDAMENTO TEÓRICO

3. Fundamento teórico

3.1. Sistema petrolífero

La exploración de los hidrocarburos se realiza con el siguiente proceso: a) identificación de la(s) cuenca(s) sedimentaria(s); b) identificación del posible sistema petrolífero presente en la cuenca; c) determinación de las áreas prospectivas (plays); y d) determinación de los prospectos de petróleo y/o gas en cada cuenca (Perrodon, 1992; Magoon y Dow, 1994) (ver Figura 4). Véase el ejemplo de caliza tableada de la Cuenca de San Juan en la Figura 5.

CUENCA SEDIMENTARIA

SISTEMA PETROLÍFERO

Económicamente no importante

Económicamente muy importante PLAY

PROSPECTO

Figura 4. Elementos requeridos para la determinación de un prospecto efectivo. Tomado y adaptado de Magoon y Dow (1994).

24 ∙ Modelamiento Geoquímico 1D en las Cuencas de Azua, Cibao, Enriquillo y San Juan
Figura 5. Caliza tableada de la Cuenca de San Juan.

El estudio de la cuenca sedimentaria permite establecer la secuencia estratigráfica y su estilo estructural. Mientras que el sistema petrolífero evidencia la relación genética estrecha entre la roca fuente y las acumulaciones de hidrocarburos (líquido o gas) presentes en el sistema (Figura 4). Por su parte, el play y el prospecto muestran el potencial exploratorio para las reservas comerciales de petróleo y gas no descubiertas (Figura 4). En donde, el play puede contener uno o más prospectos; mientras, el prospecto señala una trampa potencial, la cual deberá ser evaluada para determinar si efectivamente posee las cantidades comerciales de hidrocarburos requeridas para una explotación efectiva y eficaz (Figura 4) (Perrodon, 1992; Magoon y Dow, 1994).

El término sistema petrolífero (petroleum system) fue usado por primera vez por Perrodon (1992). Sin embargo, fueron Magoon y Dow (1994) quienes introdujeron el término oil system, basados en el concepto de correlación existente entre el crudo y la roca fuente

Las definiciones de los elementos que conforman un sistema petrolífero son las siguientes:

• Roca Fuente: Son las rocas que poseen un contenido de materia orgánica suficiente que, luego de ser sometidas a un calentamiento durante un tiempo determinado, alcanzan la madurez termal requerida para generar hidrocarburos (García et al., 2009). Las rocas fuente tienen la capacidad de generar y expulsar hidrocarburos para formar acumulaciones comerciales de petróleo y gas (Hunt, 1996).

• Roca Reservorio: Son las rocas cuya porosidad y permeabilidad permiten tanto el almacenaje de hidrocarburos como su circulación en el medio poroso (García et al., 2009).

• Roca Sello: Son las rocas cuya baja permeabilidad detiene la migración del hidrocarburo en las trampas donde se ha acumulado (García et al., 2009).

• Roca sobrecarga: Es la secuencia de rocas que suprayace a la roca fuente, la cual contribuye a que se generen las condiciones necesarias para la generación de hidrocarburos a partir de la materia orgánica contenida en la roca fuente (García et al., 2009).

• Trampa: Es el elemento geológico básico para la acumulación de hidrocarburos. Este constituye el factor más crítico para establecer un prospecto efectivo, ya que cierra el ciclo generación-migraciónacumulación de hidrocarburos (García et al., 2009).

Refidomsa ∙ 25
Ilustración 7. Cantera de calizas y margas en la formación Neiba. Fotografía: Gregorio Rosario.

3.1.1. Análisis geoquímicos en roca fuente: definición

de parámetros

La capacidad de una roca fuente para generar petróleo y gas está controlada por tres factores principales: cantidad, calidad y grado de evolución térmica de la materia orgánica (Tissot y Welte, 1984). Los dos primeros factores, a su vez, están controlados por características propias del ambiente de depósito, tales como: la productividad biológica, el nivel de preservación, la tasa de sedimentación de la materia orgánica y el tamaño de grano de los sedimentos (Demaison y Moore, 1980). Por su parte, el parámetro de madurez termal se refiere a la temperatura máxima a la cual estuvo expuesta la roca fuente en una cuenca sedimentaria.

3.1.2

. Cantidad de materia orgánica: carbono orgánico total (TOC)

El carbono orgánico total es una medida de la riqueza orgánica de las rocas sedimentarias (Figura 5) (Jarvie, 1991). Sin embargo, el porcentaje de carbono orgánico total no es por sí solo un indicador del potencial de una roca para generar hidrocarburos. Los constituyentes del carbono en el TOC son los siguientes: la materia orgánica extraíble (EOM), el potencial remanente para generar hidrocarburos y el carbono no reactivo, el cual no posee potencial para producir hidrocarburo (Figura 5) (Espitalie, 1982).

MUESTRA DE SEDIMIENTO

GAS/ ACEITE

CARBONO EOM

CARBONO ORGÁNICO

KERÓGENO

CARBONO CONVERTIBLE

CARBONO ORGÁNICO TOTAL

CARBONO RESIDUAL

El análisis del contenido de materia orgánica total (TOC) se expresa en porcentaje peso/peso (p/p) y de acuerdo con este porcentaje se puede clasificar

de forma cualitativa el potencial de la roca fuente, tal y como se evidencia en la Tabla 1.

26 ∙ Modelamiento Geoquímico 1D en las Cuencas de Azua, Cibao, Enriquillo y San Juan
Figura 6. Distribución del carbono orgánico en una muestra de sedimento. Tomado y adaptado de Jarvie (1991).

3.1.3. Calidad de materia orgánica: índice de hidrógeno (IH)

El índice de hidrógeno es la cantidad de hidrocarburos generados tras el craqueo termal de la materia orgánica no volátil por unidad de TOC. Este resultado muestra si la roca fuente contiene aceite, aceite y gas, gas o un potencial limitado de hidrocarburos, es decir, el IH es un indicador de la cantidad de hidrógeno disponible en el querógeno, en donde

Tabla 1. Clasificación cualitativa del potencial de una roca fuente de acuerdo con el % TOC, según Peters y Cassa (1994).

Potencial Materia Orgánica

Clasificación cualitativa

Pobre Regular Buena Muy Buena Excelente

- 1,0

- 2,0

- 4,0

altos valores de IH indican alto potencial para generar hidrocarburos líquidos (Jarvie, 1991; Peters y Cassa, 1994).

La Tabla 2 muestra la clasificación del tipo de querógeno presente en la roca fuente de acuerdo con los valores de IH obtenidos en el análisis Rock Eval, así como el tipo de producto esperado según el tipo de querógeno.

Tabla 2. Clasificación de la calidad de la materia orgánica de acuerdo con el contenido de IH y el tipo de producto esperado, según Peters y Cassa (1994).

Calidad de la Materia Orgánica

IH (mgHC/gTOC) Tipo de querógeno

< 50

50 -200

200 - 300

300 - 600

Tipo de producto

>600 IV III II / III II I Gas Gas y petróleo Petróleo Petróleo

Ilustración 8. Planificación de trabajo de campo en Barahona. Fotografía: Gregorio Rosario.

Refidomsa ∙ 27
<0,5 0,5
1,0
2,0
>
% TOC (p/p)
4,0

3.1.4. Grado de madurez termal de la materia orgánica: temperatura máxima (Tmax) y reflectancia de vitrinita (Ro)

El grado de evolución térmica de la materia orgánica en una roca fuente puede ser establecido mediante los siguientes dos parámetros: la temperatura máxima (Tmax) obtenida en el análisis Rock Eval y el análisis de reflectancia de vitrinita (Ro).

El Tmax es la temperatura del horno de pirolisis durante el craqueo del querógeno o durante la generación máxima que ocurre en el pico S2 y se expresa en °C. Esta temperatura máxima (Tmax) es un parámetro de madurez termal del querógeno.

La Tabla 3 contiene la clasificación del estado de madurez termal de la roca fuente de acuerdo con los rangos de temperatura máxima (Tmax) y porcentaje de reflectancia de vitrinita (Ro).

Tabla 3. Clasificación del grado de evolución térmica de una roca fuente de acuerdo con los parámetros de Tmax (°C) y %Ro, según Peters y Cassa (1994).

Clasificación cualitativa Tmax (°C)

Inmadurez

Madura

Temprana

Pico de generación

Final de generación

Sobremadura

El análisis de reflectancia de vitrinita (Ro) es la técnica más usada para estudiar la madurez termal de una roca, dado que el maceral de vitrinita aumenta su reflectividad en la medida que aumenta su madurez termal. El bitumen sólido también aumenta su reflectividad con el incremento de la temperatura a la cual estuvo expuesta la roca. Este análisis se lleva a cabo en un microscopio de luz

< 435

435 -445 445-450 450-470

> 470

%Ro

0,20 - 0,60

0,60 -0,65

0,65 - 0,90

0,90 - 1,35

> 1,35

reflejada y se expresa como porcentaje de luz reflejada con las siglas %Ro para vitrinita y %BRo para bitumen.

La Tabla 3 también contiene los rangos de madurez termal de la roca fuente de acuerdo con el %Ro establecido en el análisis petrográfico.

28 ∙ Modelamiento Geoquímico 1D en las Cuencas de Azua, Cibao, Enriquillo y San
Juan
Madurez Termal

3.2. Modelamiento geoquímico

A continuación, se presentan los conceptos básicos necesarios para entender el proceso del modelamiento geoquímico de cuencas sedimentarias:

Modelo geoquímico: Es un conjunto de principios, ecuaciones matemáticas y suposiciones que se utilizan para describir y predecir el comportamiento de los elementos químicos en la Tierra. Este incluye las variables de tiempo, temperatura y cinética de las reacciones químicas de transformación de querógeno en petróleo, y las reacciones de transformación de petróleo en gas. Se ilustra mediante un diagrama de maduración o transformación de la materia orgánica en función del tiempo geológico.

Marco estratigráfico: Este involucra la integración de observaciones de campo y registros de pozos, la descripción de las facies sedimentarias, la reconstrucción de ambientes sedimentarios, la identificación de los topes de las secuencias sedimentarias y la determinación de las formaciones geológicas presentes en una cuenca con su orden cronológico de acumulación.

Paleo-profundidad: Se refiere a la profundidad de un ambiente marino lacustre o fluvial en el cual se depositaron las rocas sedimentarias en el pasado geológico. Algunos de los métodos utilizados para estimar la paleo-profundidad incluyen: estudios de sedimentología, análisis de fósiles, estructuras sedimentarias y modelado paleogeográfico.

Ventana de generación: La ventana de generación de petróleo y la ventana de generación de gas se refieren a las condiciones de temperatura, profundidad y presión en las cuales una formación geológica rica en materia orgánica se transforma químicamente en hidrocarburos. Esta transformación ocurre sólo dentro de un rango específico de temperaturas y presiones.

Intrusivo volcánico: Es una formación geológica que se forma cuando el magma proveniente del manto terrestre se abre paso hacia la superficie, pero no logra salir a través de erupciones volcánicas; en su lugar, se enfría y se solidifica dentro de la corteza terrestre. Este proceso da lugar a la formación de cuerpos intrusivos que están compuestos por rocas ígneas. Algunos ejemplos de intrusivos volcánicos incluyen: batolitos, diques, sills y necks, entre otros.

Refidomsa ∙ 29
Figura 7. Roca caliza de la Cuenca de Enriquillo.

Modelo de maduración termal: Este modelo considera cómo la temperatura y el tiempo afectan la descomposición de la materia orgánica y su conversión en hidrocarburos. Este modelo es fundamental para comprender la formación y la migración de hidrocarburos, como el petróleo y el gas natural.

Potencial de generación de hidrocarburos: Se refiere a la capacidad de una formación geológica para producir y liberar hidrocarburos, como petróleo y gas natural, bajo condiciones específicas de temperatura, presión y composición de la roca. Este potencial depende de varios factores clave: tipo y cantidad de materia orgánica, maduración térmica, presión y condiciones de entierro e historia geológica.

Riesgo exploratorio: Describe la incertidumbre y el potencial de fracaso asociado con la exploración de nuevas áreas o yacimientos en busca de reservas de hidrocarburos. Asimismo, el riesgo exploratorio evalúa los procesos de generación, migración, acumulación y preservación de petróleo y/o gas en una

cuenca sedimentaria. Además, se consideran factores como la complejidad geológica, datos sísmicos y de perforaciones anteriores, factores económicos y regulatorios, e innovaciones tecnológicas.

Análisis sedimentológico: Es el estudio detallado de las características físicas, químicas y biológicas de los sedimentos. Este análisis proporciona información crucial sobre la historia geológica y ambiental de una determinada área, así como sobre los procesos que han contribuido a la formación y deposición de los sedimentos. El análisis sedimentológico de una roca sedimentaria incluye los siguientes aspectos: composición mineralógica, textura de los sedimentos, estratigrafía, estructuras sedimentarias, contenido orgánico y geoquímica.

Análisis estratigráfico:

Se enfoca en el estudio de la disposición, la naturaleza y la secuencia de las capas de rocas sedimentarias en la corteza terrestre. Es una herramienta que nos permite comprender la evolución de la Tierra a lo largo de millones de años. Al-

gunos aspectos importantes del análisis estratigráfico incluyen: identificación de estratos, secuencia estratigráfica, principios estratigráficos, bioestratigrafía, paleografía y modelado e interpretación.

Ilustración 9. Trabajo de campo en Sabana de la Mar. Fotografía: Gregorio Rosario.

Reconstrucción de la historia termal: Consiste en estudiar las condiciones de temperatura a las cuales han estado expuestas rocas o formaciones geológicas a lo largo del tiempo geológico. Se puede ilustrar a través del diagrama de historia termal que incluye una curva de la variación de la temperatura en el tiempo geológico. Algunos métodos y técnicas utilizados para la reconstrucción de la historia termal incluyen: análisis de flui-

30 ∙ Modelamiento Geoquímico 1D en las Cuencas de Azua, Cibao, Enriquillo y
San Juan

dos, datación radiométrica, termo-cronología, modelado numérico y estudios geotérmicos.

Diagrama de subsidencia: Consiste en un diagrama de espesores de formaciones y profundidad de enterramiento en función del tiempo geológico. Este diagrama incluye correcciones del espesor de las formaciones por compactación, paleo-profundidad de cada formación y espesor erosionado por eventos de levantamiento en las orogenias.

Diagrama de reflectancia de vitrinita (%Ro): Ilustra la variación de la reflectancia de vitrinita en función de la profundidad a la cual se encuentran las rocas o formaciones geológicas. La vitrinita es un componente orgánico presente en las

rocas sedimentarias que es sensible a la temperatura y la presión, útil para estimar el grado de maduración térmica de los sedimentos y la generación potencial de hidrocarburos. La reflectancia se expresa como un porcentaje, donde un valor bajo (%Ro bajo) indica una maduración térmica mínima, mientras que un valor alto (%Ro alto) indica una maduración térmica significativa.

Diagrama de la historia termal: Es una representación gráfica que muestra la evolución de la temperatura en una región o en un yacimiento a lo largo del tiempo geológico. Generalmente, muestra la temperatura en función de la profundidad geológica, lo que proporciona una visión de cómo la temperatura ha variado a diferentes profundidades a lo largo del tiempo en una región específica. La construcción de un diagrama de historia termal incluye: datos de pozos de exploración, datos geofísicos y modelado numérico.

Diagrama de maduración y transformación de la materia orgánica: Es una representación gráfica que muestra cómo cambia la materia orgánica a medida que se somete a diferentes condiciones de temperatura y presión a lo largo del tiempo geológico. Puede mostrar varios parámetros importantes, como: contenido de carbono orgánico, tipo de materia orgánica, maduración térmica, y generación de hidrocarburos.

Refidomsa ∙ 31
Ilustración 10. Trabajo de Campo en Sabana de la Mar. Fotografía: Gregorio Rosario.

CUENCAS SEDIMENTARIAS

DE LA REPÚBLICA DOMINICANA

RESULTADOS

4. Resultados

En esta sección se presentan los resultados del modelamiento geoquímico en una dimensión (1D) de cuatro cuencas sedimentarias de la República Dominicana: Cuenca de Azua, Cuenca del Cibao, Cuenca de Enriquillo y Cuenca de San Juan.

A continuación, se presentan el diagrama de subsidencia, historia termal, diagrama de maduración y transformación de la materia orgánica y diagrama de reflectancia de vitrinita (%Ro) para cada cuenca en estudio, seguido de una breve interpretación de los resultados.

34 ∙ Modelamiento Geoquímico 1D en las Cuencas de Azua, Cibao, Enriquillo y
San Juan
Refidomsa ∙ 35
Ilustración 12. Facilidades de laboratorio en la UIS, Colombia. Fotografía: Gregorio Rosario.

Cuenca de Azua

La Cuenca de Azua cuenta con una orientación noroeste-sureste, la cual fue rellenada por una potente serie sedimentaria neógena de carácter somerizante que evolucionó desde facies típicamente marinas (formaciones Sombrerito, Trinchera y Quita Coraza) a facies de ambientes continentales (Fms. Arroyo Blanco y Vía). No obstante, esta serie aflora de forma discontinua al quedar oculta bajo un extenso sistema de abanicos aluviales.

36 ∙ Modelamiento Geoquímico 1D en las Cuencas de Azua, Cibao, Enriquillo y
San Juan

La Cuenca de Azua se encuentra al suroeste de la cordillera Central a modo de piedemonte suavemente inclinado hacia el sur hasta enlazar con el litoral del mar Caribe. En contraposición con los sistemas montañosos limítrofes, esta constituye una espectacular

planicie en la que sobresalen pequeñas lomas más abundantes hacia el oeste.

Refidomsa ∙ 37

4.1. Modelo geoquímico 1D: Cuenca de Azua

Esta subsección se inicia con la presentación de las condiciones de paleo-profundidad, temperatura de superficie promedio y flujo de calor utilizados del pozo Maleno DT-1 para el modelamiento geoquímico.

Posteriormente, se presentan los resultados del modelamiento geoquímico 1D de la Cuenca de Azua, incluyendo: diagrama de subsidencia, diagrama de historia termal, diagrama de transformación de la materia orgánica, diagrama de subsidencia con los datos de madurez termal y diagrama de reflectancia de vitrinita (%Ro).

Finalmente, esta subsección termina con una presentación de las consideraciones generales a tomar en cuenta en el modelamiento geoquímico 1D de la Cuenca de Azua, a saber: datos de calibración, riesgo geológico y una breve discusión de los resultados.

La figura 8 muestra la construcción de la columna estratigráfica del pozo Maleno DT-1 de la Cuenca de Azua. Esta representa la siguiente información de izquierda a derecha: Columna Layer con los nombres de cada formación geológica, tope o profundidad del tope de cada formación en metros, base o pro-

Figura 8. Columna estratigráfica del pozo Maleno DT-1 usado para el modelo geoquímico 1D de la Cuenca de Azua.

38 ∙ Modelamiento Geoquímico 1D en las Cuencas de Azua, Cibao, Enriquillo y San
Juan

fundidad de la base de cada formación, espesor erosionado en metros, edad de depositación de la base de cada formación en millones de años (Ma), edad de culminación de la deposición del techo de cada formación geológica en Ma, edad del inicio de la erosión, edad del fin del periodo erosivo, litología de cada formación geológica, PSE parámetro del sistema petrolífero, TOC contenido total de materia orgánica en la formación o roca fuente, HI índice de hidrógeno de la roca o formación fuente de hidrocarburos.

En esta figura 8 se puede observar que las rocas generadoras propuestas son las calizas de las formaciones Sombrerito y Trinchera de edad Eoceno-Oligoceno (~45 a ~30 Ma) a Mioceno Inferior (~20 Ma).

Refidomsa ∙ 39

Condiciones de paleoprofundidad, temperatura de superficie promedio y flujo de calor

La figura 9 muestra las condiciones de paleo-profundidad, temperatura de superficie promedio y flujo de calor (60-70 mW/m²) para la Cuenca de Azua.

La figura 9A muestra los valores de las condiciones de paleo-profundidad a través del tiempo geológico. La figura 3B (SWI) presenta la variación de la temperatura superficial en el tiempo geológico, en grados celcius. La figura 3C muestra la variación del flujo de calor (60-70 mW/m²) para la Cuenca de Azua. Estos datos fueron tomados a partir de la literatura publicada por Carvajal-Arenas et al., (2020); Nason y Lee, (1964); y Von Herzen et al., (1970).

40 ∙ Modelamiento Geoquímico 1D en las Cuencas de Azua, Cibao, Enriquillo y
San Juan
Flujo de calor [mW/m^2] Temperatura [℃] Profundidad [m]

Paleo-profundidad del Agua, Cuenca de Azua

Figura 9. Condiciones de paleo-profundidad, temperatura de superficie promedio y flujo de calor (60-70 mW/m²) para la Cuenca de Azua.

Refidomsa ∙ 41
Temperatura SWI, Cuenca de Azua Flujo de Calor, Cuenca de Azua Tiempo [Ma] Tiempo [Ma] Tiempo [Ma]

En la figura 10 se muestra el diagrama de subsidencia (enterramiento) para la Cuenca de Azua.

En este diagrama, nótese que las formaciones generadoras Trinchera y Sombrerito alcanzaron profundidades superiores a los 3,000 metros durante el Mioceno Medio (~14 Ma). Posteriormente, se observa un levantamiento de la Cuenca de Azua en el Mioceno superior hasta el Plioceno y, finalmente, un enterramiento o subsidencia de la cuenca a partir del Plioceno hasta el tiempo presente.

42 ∙ Modelamiento Geoquímico 1D en las Cuencas de Azua, Cibao, Enriquillo y
San Juan
Historia de enterramiento Cuenca de Azua Profundidad [m]

10. Diagrama de subsidencia para la Cuenca de Azua en tiempo geológico (M.a) en función de la profundidad (m).

Refidomsa ∙ 43
Figura Tiempo [Ma]

La figura 11 presenta el diagrama de historia termal para la Cuenca de Azua. En este diagrama se puede observar que las rocas de las formaciones Trinchera y Sombrerito fueron sometidas a temperaturas suficientes para alcanzar la ventana de generación de petróleo y de gas (~171 ℃) a profundidades superiores a los 3,000 metros durante el Mioceno Medio (~14 Ma).

La escala de color muestra la variación de la temperatura (℃) de cada formación a través del tiempo geológico a diferentes profundidades (m).

Este diagrama es generado por el software PetroMod con base en la ecuación de transferencia de calor de Fourier, explicada previamente en el fundamento teórico que utiliza el fluido de calor de la figura 9 y las conductividades térmicas de cada formación que fueron calculadas con base en la información de la composición litológica de cada formación geológica involucradas en el pozo Maleno DT-1.

44 ∙ Modelamiento Geoquímico 1D en las Cuencas de Azua, Cibao, Enriquillo y
San Juan
Diagrama de historia termal Cuenca de Azua Profundidad [m]

[Ma]

Figura 11. Diagrama de historia termal para la Cuenca de Azua en tiempo geológico (Ma) en función de la temperatura (℃) del subsuelo a diferentes profundidades (m).

Refidomsa ∙ 45
Tiempo

Temperatura

Cuenca de Azua

La figura 12 presenta el diagrama de historia termal de la Cuenca de Azua. A través de este diagrama se pueden observar los datos de calibración de temperatura de fondo de pozo corregidos (BHT) para el pozo Maleno DT-1 (tomados de Gorosabel, 2020). La calibración entre el modelo y los datos de temperatura es de aceptable a buena.

Al igual que la figura 11, la temperatura del subsuelo ilustrada en esta figura fue calculada con base en la ecuación de transferencia de calor indicada en el fundamento teórico.

Ilustración 13. Trabajo de campo para toma de muestras. Fotografía: Gregorio Rosario.

de Azua, Cibao, Enriquillo y San

46 ∙ Modelamiento
Geoquímico 1D en las Cuencas
Juan

Temperatura, Cuenca de Azua

Temperatura [℃]

Profundidad [m]

Figura 12. Diagrama de historia termal de la Cuenca de Azua en temperatura (℃) en función de la profundidad de enterramiento (m).

Refidomsa ∙ 47

de

La figura 13 muestra el diagrama de transformación de la materia orgánica para la Cuenca de Azua.

En este diagrama se puede observar que la mayor parte de la materia orgánica presente en las formaciones Sombrerito y Trinchera ha sido transformada en petróleo y gas a partir del Mioceno Medio (~14 Ma).

El diagrama de la figura 13 incorpora los datos de paleo-profundidad mencionados en la tabla de la figura 9, y corresponden a las profundidades del medio de depósito de la plataforma calcárea marina en la que se formaron las calizas de las formaciones Sombrerito y Trinchera. El cálculo de la tasa de transformación de querógeno a petróleo y gas se lleva a cabo en las formaciones generadoras, las cuales durante el enterramiento de la cuenca son expuestas a altas temperaturas que permiten la degradación termal del querógeno a petróleo y gas.

48 ∙ Modelamiento Geoquímico 1D en las Cuencas de Azua, Cibao, Enriquillo y San Juan
Transformación materia orgánica Cuenca de Azua Profundidad [m]
Refidomsa ∙ 49
Figura 13. Diagrama de transformación de la materia orgánica (TR ALL) para las formaciones generadoras de la Cuenca de Azua. Tiempo [Ma]

La figura 14 muestra el diagrama de subsidencia (enterramiento) con los datos de madurez termal. La figura ilustra la variación de la reflectancia de vitrinita a través del tiempo geológico a diferentes profundidades de enterramiento de cada formación.

En este diagrama se observa que las calizas de las formaciones Trinchera y Sombrerito entraron en ventana de generación de petróleo (%Ro > 0.8) durante el Mioceno Medio (~14 Ma).

Este diagrama es el resultado de calcular la reflectancia de vitrinita por medio del software PetroMod a través del tiempo geológico, indicando que las formaciones generadoras Sombrerito y Trinchera están en la ventana de generación de petróleo y gas condensado.

50 ∙ Modelamiento Geoquímico 1D en las Cuencas de Azua, Cibao, Enriquillo y
San Juan
Historia de enterramiento con madurez termal Cuenca de Azua Profundidad [m]

14. Diagrama de subsidencia con los datos de madurez termal de la Cuenca de Azua.

Refidomsa ∙ 51
Figura Tiempo [Ma]

Reflectancia de vitrinita

Cuenca de Azua

Finalmente, la figura 15 presenta el diagrama de reflectancia de vitrinita (%Ro). Este diagrama indica que se presenta una buena correspondencia entre la Ro calculada y los datos de Ro obtenidos a partir del análisis geoquímico de las muestras de campo recolectadas y analizadas por el equipo de investigación.

En este diagrama se refleja una muy buena a excelente calibración entre el modelo y los datos de madurez termal.

En suma, este resultado corrobora que las formaciones Trinchera y Sombrerito han generado hidrocarburos en la Cuenca de Azua.

Reflectancia de Vitrinita, Cuenca de Azua

Reflectancia de Vitrinita [%Ro]

52 ∙ Modelamiento Geoquímico 1D en las Cuencas de Azua, Cibao, Enriquillo y San
Juan
Figura 15. Diagrama de reflectancia de vitrinita (%Ro) calculada con el software PetroMod en función de la profundidad de enterramiento (m). Profundidad [m]

Consideraciones generales:

Datos de calibración

El modelo geoquímico 1D de la Cuenca de Azua presenta una buena calibración con los datos de temperatura de fondo de pozo corregidos (BHT) tomados de la literatura y una muy buena a excelente calibración con los datos geoquímicos de reflectancia de vitrinita obtenidos a partir de los trabajos de campo y los resultados de los análisis de laboratorio del equipo de investigación de la Unidad I+D de Refidomsa, Universidad Nacional Pedro Henríquez Ureña (UNPHU) y la Universidad Industrial de Santander (UIS), Bucaramanga, Santander, Colombia.

Riesgo geológico

El riesgo geológico asociado a las condiciones necesarias para la existencia de una roca generadora de petróleo y gas en la Cuenca de Azua es bajo, considerando los resultados de los modelos geoquímicos calibrados para las rocas de las formaciones Sombrerito y Trinchera en el área de estudio.

Discusión

El modelo refleja que la Formación Trinchera alcanzó la ventana de generación de petróleo a ~2,200 metros de profundidad durante el Mioceno Inferior. La Formación Sombrerito alcanzó la ventana de generación de petróleo a ~2,100 metros de profundidad durante el Mioceno Inferior y en la parte basal de la formación alcanzó la ventana de generación de gas a ~4,000 metros de profundidad durante el Mioceno Medio.

Refidomsa ∙ 53
Figura 16. Alternancia rítmica de lutitas calizas de la Cuenca de Azua.

Cuenca del Cibao

La Cuenca del Cibao se encuentra rellena por una potente sucesión de sedimentos terciarios marinos a deltaicos correspondientes al grupo Yaque.

De dicho grupo están representadas todas las formaciones con sucesivamente el conglomerado Bulla, la Formación Cercado, la Formación Gurabo y la Formación Mao. Estas formaciones con varios cambios de sedimen-

54 ∙ Modelamiento Geoquímico 1D en las Cuencas de Azua, Cibao, Enriquillo y
San Juan

tación continental deltaica marina profunda a coralinas. En la mitad oriental, estos depósitos están ocultos por una capa de sedimentos arcillosos endorreicos pleistocenos (Unidad de Licey al Medio).

Refidomsa ∙ 55

4.2. Modelo geoquímico 1D: Cuenca del Cibao

En esta subsección se inicia con la presentación de las condiciones de paleo-profundidad, temperatura de superficie promedio y flujo de calor utilizados del pozo Licey #1 para el modelamiento geoquímico de la Cuenca del Cibao. Posteriormente, se presentan los resultados del modelamiento geoquímico 1D de la Cuenca del Cibao, incluyendo: diagrama de subsidencia, diagrama de historia termal, diagrama de transformación de la materia orgánica, diagrama de subsidencia con los datos de madurez termal y diagrama de reflectancia de vitrinita (%Ro).

Finalmente, esta subsección termina con una presentación de las consideraciones generales a tomar en cuenta en el modelamiento geoquímico 1D de la Cuenca del Cibao, a saber: datos de calibración, riesgo geológico y una breve discusión de los resultados.

La figura 17 muestra la construcción de la columna estratigráfica del pozo Licey #1 de la Cuenca del Cibao. Esta representa la siguiente información de izquierda a derecha: Columna Layer con los nombres de cada formación geológica; tope o profundidad del tope de cada formación en metros; base o pro-

Figura 17. Columna estratigráfica del pozo Licey #1 usado para el modelo geoquímico 1D de la Cuenca del Cibao.

56 ∙ Modelamiento Geoquímico 1D en las Cuencas de Azua, Cibao, Enriquillo y San
Juan

fundidad de la base de cada formación; espesor erosionado en metros; edad de depositación de la base de cada formación en millones de años (Ma); edad de culminación de la deposición del techo de cada formación geológica en Ma; edad del inicio de la erosión; edad del fin del periodo erosivo; litología de cada formación geológica; PSE parámetro del sistema petrolífero; TOC contenido total de materia orgánica en la formación o roca fuente; HI índice de hidrógeno de la roca o formación fuente de hidrocarburos.

En esta figura 17 se puede observar que las rocas generadoras propuestas son las calizas de la Formación Trinchera de edad Mioceno Inferior (~20 Ma).

Refidomsa ∙ 57

Condiciones de paleoprofundidad, temperatura de superficie promedio y flujo de calor

La figura 18 muestra las condiciones de paleo-profundidad, temperatura de superficie promedio y flujo de calor (60-70 mW/m²) para la Cuenca del Cibao. La figura 18A muestra los valores de las condiciones de paleoprofundidad a través del tiempo geológico.

La figura 18B (SWI) presenta la variación de la temperatura superficial en el tiempo geológico, en grados centígrados. La figura 11C muestra la variación del flujo de calor (60-70 mW/m²) para la Cuenca del Cibao. Estos datos fueron tomados a partir de la literatura publicada por Carvajal-Arenas et al., (2020); Nason y Lee, (1964); y Von Herzen et al., (1970).

58 ∙ Modelamiento Geoquímico 1D en las Cuencas de Azua, Cibao, Enriquillo y
San Juan
Flujo de calor [mW/m^2] Temperatura [℃] Profundidad [m]

Paleo-profundidad del Agua, Cuenca del Cibao

Figura 18. Condiciones de paleo-profundidad, temperatura de superficie promedio y flujo de calor (60-70 mW/m²) para la Cuenca del Cibao.

Refidomsa ∙ 59
Temperatura SWI, Cuenca del Cibao Flujo de Calor, Cuenca del Cibao Tiempo [Ma] Tiempo [Ma] Tiempo [Ma]

En la figura 19 se muestra el diagrama de subsidencia (enterramiento) para la Cuenca del Cibao.

En este diagrama, nótese que las rocas generadoras de la Formación Trinchera alcanzaron profundidades superiores a los 3,000 metros durante el Mioceno Medio (~14 Ma).

60 ∙ Modelamiento Geoquímico 1D en las Cuencas de Azua,
Enriquillo
Cibao,
y
San Juan Historia de enterramiento Cuenca del Cibao Profundidad [m]
Refidomsa ∙ 61
Figura 19. Diagrama de subsidencia para la Cuenca del Cibao. Tiempo [Ma]

A continuación, la figura 20 presenta el diagrama de historia termal para la Cuenca del Cibao. En este diagrama se puede observar que las rocas de la Formación Trinchera fueron sometidas a temperaturas suficientes para alcanzar la ventana de generación de petróleo y de gas (~15 ℃) a profundidades superiores a los 3,000 metros durante el Mioceno Medio (~14 Ma).

La escala de color muestra la variación de la temperatura de cada formación a través del tiempo geológico a diferentes profundidades.

62 ∙ Modelamiento Geoquímico 1D en las Cuencas de Azua, Cibao, Enriquillo y
San Juan Diagrama de historia termal Cuenca del Cibao Profundidad [m]
Refidomsa ∙ 63
Figura 20. Diagrama de historia termal en tiempo geológico (Ma) en función de la temperatura (℃) del subsuelo para la Cuenca del Cibao. Tiempo [Ma]

Temperatura Cuenca del Cibao

La figura 21 presenta el diagrama de historia termal de la Cuenca del Cibao. El pozo Licey #1 no posee datos de temperatura de fondo de pozo corregidos (BHT) en la literatura que permitan obtener una calibración de este modelo de historia termal.

La temperatura de fondo calculada para la base de la Formación Trinchera es de 170 ℃.

Ilustración 14. Facilidades de laboratorio de microscopía electrónica. Fotografía: Gregorio Rosario.

64 ∙ Modelamiento Geoquímico 1D en las Cuencas
de Azua, Cibao, Enriquillo y San
Juan

Temperatura, Cuenca del Cibao

Temperatura [℃]

Profundidad [m]

21. Diagrama de historia termal de temperatura (℃) en función de la profundidad (m) de la Cuenca del Cibao.

Refidomsa ∙ 65
Figura

de materia orgánica

La figura 22 muestra el diagrama de transformación de la materia orgánica para la Cuenca del Cibao.

En este diagrama se puede observar que la mayor parte de la materia orgánica presente en la Formación Trinchera ha sido transformada en petróleo y gas a partir del Mioceno Medio (~14 Ma).

66 ∙ Modelamiento Geoquímico 1D en las Cuencas de Azua, Cibao, Enriquillo y
San Juan Transformación Cuenca del Cibao Profundidad [m]
Refidomsa ∙ 67
Figura 22. Diagrama de transformación de la materia orgánica (TR_ALL) a través del tiempo geológico (Ma) para la Cuenca del Cibao. Tiempo [Ma]

Historia de enterramiento con madurez termal Cuenca del Cibao

La figura 23 muestra el diagrama de subsidencia (enterramiento) con los datos de madurez termal.

En este diagrama se observa que las calizas de la Formación Trinchera entraron en ventana de generación de petróleo (%Ro > 0.8) durante el Mioceno Medio (~14 Ma). También se puede observar que la base de la Formación Trinchera entra en ventana de generación de gas (%Ro > 1.3) a partir del Plioceno (~5 Ma).

68 ∙ Modelamiento Geoquímico 1D en las Cuencas de Azua, Cibao, Enriquillo y
San Juan Profundidad [m]

Figura 23. Diagrama de subsidencia con los datos de madurez termal en reflectancia de vitrinita en función de la profundidad (m) de la Cuenca del Cibao.

Refidomsa ∙ 69
Tiempo [Ma]

Reflectancia de vitrinita Cuenca del Cibao

Finalmente, la figura 24 presenta el diagrama de reflectancia de vitrinita (%Ro). En este diagrama se pueden observar los datos de calibración obtenidos a partir del análisis geoquímico de las muestras de campo recolectadas y ana-

lizadas por el equipo de investigación. Se refleja una muy buena a excelente calibración entre el modelo y los datos de madurez termal.

Profundidad [m]

Reflectancia de Vitrinita, Cuenca del Cibao

Reflectancia de Vitrinita [%Ro]

Figura 24. Diagrama de reflectancia de vitrinita (%Ro) en función de la profundidad (m) de la Cuenca del Cibao.

70 ∙ Modelamiento Geoquímico 1D en las Cuencas de Azua, Cibao, Enriquillo y San
Juan

Consideraciones generales:

Datos de calibración

El modelo geoquímico 1D de la Cuenca del Cibao carece de calibración con los datos de temperatura de fondo de pozo corregidos (BHT) debido a que no están reportados en la literatura publicada, pero se posee una muy buena a excelente calibración con los datos geoquímicos de reflectancia de vitrinita obtenidos a partir de los trabajos de campo y resultados de los análisis de laboratorio del equipo de investigación de la Unidad I+D de Refidomsa, Universidad Nacional Pedro Henríquez Ureña (UNPHU) y la Universidad Industrial de Santander (UIS), Bucaramanga, Santander, Colombia.

Riesgo geológico

El riesgo geológico asociado a las condiciones necesarias para la existencia de una roca generadora de petróleo y gas en la Cuenca Cibao es bajo, considerando los resultados de los modelos geoquímicos calibrados para las rocas de la Formación Trinchera en el área de estudio.

Discusión

Las calizas de la Formación Trinchera alcanzaron la ventana de generación de petróleo a ~1,900 metros de profundidad durante el Mioceno Inferior y la ventana de generación de gas en la parte basal de la formación a ~3,700 metros de profundidad durante el Plioceno.

Refidomsa ∙ 71
Figura 25. Peridotita serpentinizada de la Cuenca del Cibao.

Cuenca de Enriquillo

La Cuenca de Enriquillo está rellenada por una potente serie sedimentaria neógena de carácter somerizante que evolucionó desde facies evaporíticas (Formación Angostura) hasta facies transicionales (Formación Las Salinas) e incluso arrecifales y continentales (Formación Jimaní del Pleistoceno) y depósitos superficiales del Holoceno.

72 ∙ Modelamiento Geoquímico 1D en las Cuencas de Azua, Cibao, Enriquillo y San
Juan

La cuenca de Enriquillo se trata de una espectacular planicie afectada por un clima semiárido debido al “efecto de sombra” que la cordillera Central y la sierra de Neiba ejercen sobre los frentes lluviosos procedentes del Norte y Noreste.

Con una orientación este-oeste, conecta las bahías de Neiba y Puerto Príncipe, estando flanqueada por la sierra de Bahoruco, al sur, y las de Neiba y Martín García, al norte.

Refidomsa ∙ 73

4.3. Modelo geoquímico 1D: Cuenca de Enriquillo

En esta subsección se inicia con la presentación de las condiciones de paleo-profundidad, temperatura de superficie promedio y flujo de calor utilizados del pozo Charco Largo #1 para el modelamiento geoquímico de la Cuenca de Enriquillo. Posteriormente, se presentan los resultados del modelamiento geoquímico 1D de la Cuenca de Enriquillo, incluyendo: diagrama de subsidencia, diagrama de historia termal, diagrama de transformación de la materia orgánica, diagrama de subsidencia con los datos de madurez termal y diagrama de reflectancia de vitrinita (%Ro). Finalmente, esta subsección termina con una

presentación de las consideraciones generales a tomar en cuenta en el modelamiento geoquímico 1D de la Cuenca de Enriquillo, a saber: datos de calibración, riesgo geológico y una breve discusión de los resultados.

La figura 26 muestra la construcción de la columna estratigráfica del pozo Charco Largo #1 de la Cuenca de Enriquillo. Esta representa la siguiente información de izquierda a derecha: Columna Layer con los nombres de cada formación geológica, tope o profundidad del tope de cada formación en metros, base o profundidad de la base de cada formación,

Figura 26. Columna estratigráfica del pozo Charco Largo #1 usado para el modelo geoquímico 1D de la Cuenca de Enriquillo.

74 ∙ Modelamiento Geoquímico 1D en las Cuencas de Azua, Cibao, Enriquillo y San
Juan

espesor erosionado en metros, edad de depósito de la base de cada formación en millones de años (Ma), edad de culminación de la deposición del techo de cada formación geológica en Ma, edad del inicio de la erosión, edad del fin del periodo erosivo, litología de cada formación geológica; PSE parámetro del sistema petrolífero; TOC contenido total de materia orgánica en la formación o roca fuente; HI índice de hidrógeno de la roca o formación fuente de hidrocarburos.

En esta figura 26 se puede observar que las rocas generadoras propuestas son las calizas de las formaciones Sombrerito y Trinchera de edad Eoceno-Oligoceno (~40 a ~30 Ma) y Mioceno Inferior (~20 Ma).

Refidomsa ∙ 75

Condiciones de paleoprofundidad, temperatura de superficie promedio y flujo de calor

La figura 27 muestra las condiciones de paleo-profundidad, temperatura de superficie promedio y flujo de calor (60-70 mW/m²) para la Cuenca de Enriquillo. La figura 19A muestra los valores de las condiciones de paleo-profundidad a través del tiempo geológico.

La figura 27B (SWI) presenta la variación de la temperatura superficial en el tiempo geológico, en grados centígrados. La figura 27C muestra la variación del flujo de calor (60-70 mW/m²) para la Cuenca de Enriquillo. Estos datos fueron tomados a partir de la literatura publicada por Carvajal-Arenas et al., (2020); Nason y Lee, (1964); y Von Herzen et al., (1970).

76 ∙ Modelamiento Geoquímico 1D en las Cuencas de Azua, Cibao, Enriquillo y
San Juan
Flujo de calor [mW/m^2] Temperatura [℃] Profundidad [m]

Paleo-profundidad del Agua, Cuenca de Enriquillo

Temperatura SWI, Cuenca de Enriquillo

Figura 27. Condiciones de paleo-profundidad, temperatura de superficie promedio y flujo de calor (60-70 mW/m²) para la Cuenca de Enriquillo.

Refidomsa ∙ 77
Flujo de Calor, Cuenca de Enriquillo Tiempo [Ma] Tiempo [Ma] Tiempo [Ma]

En la figura 28 se muestra el diagrama de subsidencia (enterramiento) para la Cuenca de Enriquillo.

En este diagrama, nótese que las formaciones generadoras Trinchera y Sombrerito alcanzaron profundidades superiores a los 4,000 metros en el Plioceno (~5 Ma). Asimismo, en esta cuenca las formaciones Trinchera y Sombrerito alcanzaron las mayores profundidades en relación a las demás cuencas estudiadas.

78 ∙ Modelamiento Geoquímico 1D en las Cuencas de Azua, Cibao, Enriquillo y
San Juan Historia de enterramiento Cuenca de Enriquillo Profundidad [m]
Refidomsa ∙ 79
Figura 28. Diagrama de subsidencia de variación de la profundidad de enterramiento (m) en función del tiempo geológico (Ma) para la Cuenca de Enriquillo. Tiempo [Ma]

A continuación, la figura 29 presenta el diagrama de historia termal para la Cuenca de Enriquillo, en tiempo geológico, en función de la temperatura del subsuelo en grados centígrados.

En este diagrama se puede observar que las rocas de las formaciones Trinchera y Sombrerito alcanzaron las temperaturas suficientes para alcanzar la ventana de generación de petróleo y de gas (~160 ℃) a profundidades superiores a los 4,000 metros durante el Plioceno (~5 Ma).

La escala de color muestra la variación de la temperatura de cada formación a través del tiempo geológico a diferentes profundidades.

80 ∙ Modelamiento Geoquímico 1D en las Cuencas de Azua, Cibao, Enriquillo y
San Juan Diagrama de historia termal Cuenca de Enriquillo Profundidad [m]

29. Diagrama de historia termal de temperatura en función de la profundidad (m) a través del tiempo geológico (Ma) para la Cuenca de Enriquillo.

Refidomsa ∙ 81
Figura Tiempo [Ma]

Temperatura Cuenca de Enriquillo

La figura 30 presenta el diagrama de historia termal de la Cuenca de Enriquillo.

El pozo Charco Largo #1 no posee en la literatura datos de temperatura de fon-

do de pozo corregidos (BHT) que permitan obtener una calibración de este modelo de historia termal.

Ilustración 15. Afloramiento de lutitas, areniscas y calizas estratificadas, con estratos milimétricos de calcita. Fotografía: Gregorio Rosario.

82 ∙
Modelamiento
Geoquímico 1D en las Cuencas de Azua, Cibao, Enriquillo y San Juan

Temperatura, Cuenca de Enriquillo

Temperatura [℃]

Profundidad [m]

30. Diagrama de historia termal de temperatura (℃) en función de la profundidad (m) de la Cuenca de Enriquillo.

Refidomsa ∙ 83
Figura

A continuación, se presenta la figura 31 donde se muestra el diagrama de transformación de la materia orgánica a través del tiempo geológico para la Cuenca de Enriquillo.

En este diagrama, se puede observar en el modelo que la totalidad de la materia orgánica presente en las formaciones Trinchera y Sombrerito ha sido transformada en petróleo y gas a partir del Plioceno (~5 Ma). La escala de colores ilustra el porcentaje de transformación de querógeno a petróleo y gas.

84 ∙ Modelamiento Geoquímico 1D en las Cuencas de Azua, Cibao, Enriquillo y
San Juan
Transformación de materia orgánica Cuenca de Enriquillo Profundidad [m]

31. Diagrama de transformación de la materia orgánica (TR_ALL) a través del tiempo geológico (Ma) para la Cuenca de Enriquillo.

Refidomsa ∙ 85
Figura Tiempo [Ma]

Historia de Enterramiento con madurez termal Cuenca de Enriquillo

La figura 32 muestra el diagrama de subsidencia (enterramiento) con los datos de madurez termal. En este diagrama se observa que las calizas de las formaciones Trinchera y Sombrerito entraron en ventana de generación de petróleo y gas en el Mioceno Medio.

En el modelo se observa el efecto del cuerpo ígneo intrusivo en la madurez termal de las rocas a partir del Mioceno Medio (~14 Ma). Sin embargo, se requieren estudios y datos adicionales de mayor detalle que permitan mejorar y calibrar el modelo.

86 ∙ Modelamiento Geoquímico 1D en las Cuencas de Azua, Cibao, Enriquillo y
San Juan
Profundidad [m]
Refidomsa ∙ 87
Figura 32. Diagrama de subsidencia con los datos de madurez termal en función del tiempo geológico (Ma) para la Cuenca de Enriquillo. Tiempo [Ma]

Reflectancia de vitrinita Cuenca de Enriquillo

Finalmente, la figura 33 presenta el diagrama de reflectancia de vitrinita (%Ro) en función de la profundidad.

En este modelo no se poseen datos de calibración de reflectancia de vitrinita. El modelo muestra el efecto de calenta-

miento del dique volcánico (de composición Diorita) sobre la madurez termal, el cual incrementó la madurez de las rocas generadoras en contacto con las rocas volcánicas de forma considerable.

Profundidad [m]

Reflectancia de Vitrinita, Cuenca de Enriquillo

Reflectancia de Vitrinita [%Ro]

Figura 33. Diagrama de reflectancia de vitrinita (%Ro) en función de la profundidad (m) para la Cuenca de Enriquillo.

88 ∙ Modelamiento Geoquímico 1D en las Cuencas de Azua, Cibao, Enriquillo y San
Juan
.

Consideraciones generales:

Datos de calibración

El modelo geoquímico 1D de la Cuenca de Enriquillo carece de calibración con los datos de temperatura de fondo de pozo corregidos (BHT) debido a que no están reportados en la literatura publicada y tampoco se posee calibración con datos geoquímicos de reflectancia de vitrinita. A pesar de que se obtuvieron muestras de campo por parte del equipo de investigación, no fue posible obtener datos geoquímicos para esta cuenca. Sin embargo, este modelo es consistente con el obtenido en las otras cuencas estudiadas.

Riesgo geológico

El riesgo geológico asociado a las condiciones necesarias para la existencia de una roca generadora de petróleo y gas en la Cuenca de Enriquillo es bajo, considerando los resultados de los modelos geoquímicos para las rocas de las formaciones Trinchera y Sombrerito en el área de estudio.

Discusión

En la Cuenca de Enriquillo los resultados del modelo geoquímico muestran que las calizas de las formaciones Trinchera y Sombrerito alcanzaron la ventana de generación de petróleo a ~3,000 metros de profundidad durante el Mioceno Superior – Plioceno. Los modelos de Ro y de Tr indican que la base de la Formación Sombrerito está en la ventana de generación de gas.

Es importante considerar que el evento intrusivo ígneo puede afectar la madurez termal de las rocas generadoras cercanas, elevando su madurez hasta alcanzar los puntos de ventana de gas, pero se requieren estudios adicionales de mayor detalle para determinar el alcance real de esta afectación.

Refidomsa ∙ 89
Figura 34. Roca caliza de la Cuenca de Enriquillo.

Cuenca de San Juan

La Cuenca de San Juan tiene un relleno que se produjo a través de una potente serie iniciada bajo un régimen marino que evolucionó hacia ambientes continentales, sucesión integrada de muro a techo por los materiales

detríticos de la Formación Trinchera (Mioceno Superior-Plioceno), las margas de la Formación Quita Coraza y los conjuntos detríticos de las Formación Arroyo Blanco y Arroyo Seco (Plioceno-Pleistoceno).

90 ∙ Modelamiento Geoquímico 1D en las Cuencas de Azua, Cibao, Enriquillo y
San Juan

La Cuenca de San Juan es una depresión con la orientación noroeste-sureste que constituye la prolongación suroriental de la Llanura Central de Haití. Se encuentra flanqueada por la cordillera Central (al noreste) y la sierra de Neiba (al suroeste), mostrando una ligera inclinación hacia el sureste, de forma que el río Yaque del Sur recoge la mayor parte de los drenajes de la región.

Refidomsa ∙ 91

4.4. Modelo geoquímico 1D: Cuenca de San Juan

En esta subsección se inicia con la presentación de las condiciones de paleo-profundidad, temperatura de superficie promedio y flujo de calor utilizados del pozo Candelón #1 para el modelamiento geoquímico de la Cuenca de San Juan. Posteriormente, se presentan los resultados del modelamiento geoquímico 1D de la Cuenca de San Juan, incluyendo: diagrama de subsidencia, diagrama de historia termal, diagrama de transformación de la materia orgánica, diagrama de subsidencia con los datos de madurez termal y diagrama de reflectancia de vitrinita (%Ro).

Finalmente, esta subsección termina con una presentación de las consideraciones generales a tomar en cuenta en el modelamiento geoquímico 1D de la Cuenca de San Juan, a saber: datos de calibración, riesgo geológico y una breve discusión de los resultados.

La figura 35 muestra la construcción de la columna estratigráfica del pozo Candelón #1 de la Cuenca de San Juan. Esta representa la siguiente información de izquierda a derecha: Columna Layer con los nombres de cada formación geológica; tope o profundidad del tope de cada formación en metros; base o pro-

Figura 35. Columna estratigráfica del pozo Candelón #1 usado para el modelo geoquímico 1D de la Cuenca de San Juan.

92 ∙ Modelamiento Geoquímico 1D en las Cuencas de Azua, Cibao, Enriquillo y San
Juan

fundidad de la base de cada formación; espesor erosionado en metros; edad de depositación de la base de cada formación en millones de años (Ma); edad de culminación de la deposición del techo de cada formación geológica en Ma; edad del inicio de la erosión; edad del fin del periodo erosivo; litología de cada formación geológica; PSE parámetro del sistema petrolífero; TOC contenido total de materia orgánica en la formación o roca fuente; HI índice de hidrógeno de la roca o formación fuente de hidrocarburos.

En esta figura 35 se puede observar que las rocas generadoras propuestas son las calizas de las formaciones Sombrerito y Trinchera de edad Eoceno-Oligoceno (~40 a ~30 Ma) y Mioceno Inferior (~20 Ma).

Refidomsa ∙ 93

Condiciones de paleoprofundidad, temperatura de superficie promedio y flujo de calor

La figura 36 muestra las condiciones de paleo-profundidad, temperatura de superficie promedio y flujo de calor (60-70 mW/m²) para la Cuenca de San Juan. La figura 27A muestra los valores de las condiciones de paleo-profundidad a través del tiempo geológico.

La figura 36B (SWI) presenta la variación de la temperatura superficial en el tiempo geológico, en grados centígrados. La figura 36C muestra la variación del flujo de calor (60-70 mW/m²) para la Cuenca de Enriquillo. Estos datos fueron tomados a partir de la literatura publicada por Carvajal-Arenas et al., (2020); Nason y Lee, (1964); y Von Herzen et al., (1970).

94 ∙ Modelamiento Geoquímico 1D en las Cuencas de Azua, Cibao, Enriquillo y
San Juan
Flujo de calor [mW/m^2] Temperatura [℃] Profundidad [m]

Paleo-profundidad

Figura 36. Condiciones de paleo-profundidad, temperatura de superficie promedio y flujo de calor (60-70 mW/m²) para la Cuenca de San Juan.

Refidomsa ∙ 95
del Agua, Cuenca de San Juan Temperatura SWI, Cuenca de San Juan Flujo de Calor, Cuenca de San Juan Tiempo [Ma] Tiempo [Ma] Tiempo [Ma]

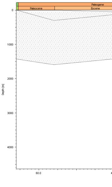
En la figura 37 se muestra el diagrama de subsidencia (enterramiento) para la Cuenca de San Juan.

En este diagrama, se observa que las formaciones generadoras Trinchera y Sombrerito alcanzaron profundidades superiores a los 4,000 metros en el Plioceno (~5 Ma). En el límite entre el Oligoceno y el Mioceno se presentó una alta tasa de subsidencia, como lo ilustra la gráfica.

96 ∙ Modelamiento Geoquímico 1D en las Cuencas de Azua, Cibao, Enriquillo y
San Juan Historia de enterramiento Cuenca de San Juan Profundidad [m]

37. Diagrama de subsidencia de tiempo geológico (Ma) en función de la profundidad (m) para la Cuenca de San Juan.

Refidomsa ∙ 97
Figura Tiempo [Ma]

A continuación, la figura 38 presenta el diagrama de historia termal para la Cuenca de San Juan, en tiempo geológico, en función de la temperatura del subsuelo en grados centígrados.

En este diagrama se puede observar que las rocas de las formaciones Trinchera y Sombrerito fueron sometidas a temperaturas suficientes para alcanzar la ventana de generación de gas (~190 ℃) a profundidades superiores a los 4,000 metros durante el Plioceno (~5 Ma). La escala de color muestra la variación de la temperatura de cada formación a través del tiempo geológico a diferentes profundidades.

98 ∙ Modelamiento Geoquímico 1D en las Cuencas de Azua, Cibao, Enriquillo y
San Juan
Diagrama de historia termal Cuenca de San Juan Profundidad [m]
Refidomsa ∙ 99
Figura 38. Diagrama de historia termal en tiempo geológico (Ma) en función de la temperatura (℃) del subsuelo para la Cuenca del Cibao. Tiempo [Ma]

Temperatura

Cuenca de San Juan

La figura 39 presenta el diagrama de historia termal de la Cuenca de San Juan para el pozo Candelón #1. En el diagrama se muestra un dato de temperatura de fondo de pozo corregido (BHT) que fue usado para la calibración del modelo.

Se puede concluir que el dato de temperatura BHT no fue correctamente registrado debido a la circulación del lodo en el pozo, lo cual causa un enfriamiento de las rocas perforadas.

Ilustración 16. Afloramiento de lutitas y areniscas estratificadas. Fotografía: Gregorio Rosario.

Azua, Cibao, Enriquillo y San

100 ∙
Modelamiento Geoquímico 1D en las Cuencas de
Juan

Profundidad [m]

Temperatura, Cuenca de San Juan

Temperatura [℃]

39. Diagrama de historia termal de temperatura en función de la profundidad (m) de la Cuenca de San Juan.

Refidomsa ∙ 101
Figura

Transformación de materia orgánica

La figura 40 muestra el diagrama de transformación de la materia orgánica a través del tiempo geológico para la Cuenca de San Juan.

En este diagrama se puede observar que la materia orgánica presente en la Formación Sombrerito ha sido transformada en hidrocarburos alcanzando la fase de gas en el Plioceno (~5 Ma). La escala de colores ilustra el porcentaje de transformación de querógeno a petróleo y gas.

102 ∙ Modelamiento Geoquímico 1D en las Cuencas de Azua, Cibao, Enriquillo y
San Juan
Cuenca de San Juan Profundidad [m]

40. Diagrama de transformación de la materia orgánica (TR ALL) para las formaciones generadoras de la Cuenca de San Juan.

Refidomsa ∙ 103
Figura Tiempo [Ma]

Historia de enterramiento con madurez termal Cuenca de San Juan

La figura 41 muestra el diagrama de subsidencia (enterramiento) con los datos de madurez termal.

En este diagrama se observa que las calizas de las formaciones Trinchera y Sombrerito entraron en ventana de generación de petróleo (%Ro > 0.8) durante el Mioceno Medio (~14 Ma) y entraron en ventana de generación de gas (%Ro > 1.3) a partir del Mioceno Superior (~7 Ma) al Plioceno (~5 Ma).

104 ∙ Modelamiento Geoquímico 1D en las Cuencas de Azua, Cibao, Enriquillo y
San Juan
Profundidad [m]

41. Diagrama de subsidencia con los datos de madurez termal en tiempo geológico (Ma) en función de la madurez termal en profundidad (m) de la Cuenca de San Juan.

Refidomsa ∙ 105
Figura Tiempo [Ma]

Reflectancia de vitrinita

Cuenca de San Juan

Finalmente, la figura 42 presenta el diagrama de reflectancia de vitrinita (%Ro) en función de la profundidad.

Aquí se puede observar que los datos de calibración obtenidos a partir del análisis geoquímico de las muestras de

campo indican una muy buena a excelente calibración entre el modelo y los datos calculados de madurez termal para la Cuenca de San Juan.

Profundidad [m]

Reflectancia de Vitrinita, Cuenca de San Juan

Reflectancia de Vitrinita [%Ro]

Figura 42. Diagrama de reflectancia de vitrinita (%Ro) en función de la profundidad (m) para la Cuenca de San Juan.

106 ∙ Modelamiento Geoquímico 1D en las Cuencas de Azua, Cibao, Enriquillo y San Juan

Consideraciones generales:

Datos de calibración

El modelo geoquímico 1D de la Cuenca de San Juan presenta una moderada a baja calibración con los datos de temperatura de fondo de pozo corregidos (BHT) a partir de la literatura existente. Esto puede ocurrir por muchos factores, incluyendo la metodología de toma del dato de temperatura en pozo. Al no poseer informes detallados de completamiento del pozo, la confiabilidad de este dato es baja. En contraste, se observa una muy buena a excelente calibración con los datos geoquímicos de reflectancia de vitrinita obtenidos a partir de los trabajos de campo y resultados de los análisis de laboratorio del equipo de investigación de la Unidad I+D de Refidomsa, Universidad Nacional Pedro Henríquez Ureña (UNPHU) y la Universidad Industrial de Santander (UIS), Bucaramanga, Santander, Colombia. Esto nos lleva a concluir que, efectivamente, el dato de temperatura de pozo carece de confiabilidad a la hora de calibrar el modelo geoquímico.

Riesgo geológico

El riesgo geológico asociado a las condiciones necesarias para la existencia de una roca generadora de petróleo y gas en la Cuenca de San Juan es bajo, considerando los resultados de los modelos geoquímicos calibrados para las rocas de las formaciones Sombrerito y Trinchera en el área de estudio.

Discusión

Las calizas de la Formación Trinchera alcanzaron la ventana de generación de petróleo a ~1,800 metros de profundidad durante el Mioceno Inferior y la ventana de generación de gas a ~3,200 metros de profundidad durante el Mioceno Superior. La Formación Sombrerito alcanzó la ventana de generación de petróleo a ~1,800 metros de profundidad durante el Mioceno Inferior y la ventana de generación de gas a ~3,500 metros de profundidad durante el Mioceno Medio.

Refidomsa ∙ 107
Figura 43. Caliza Micritica de la Cuenca de San Juan.

CONCLUSIONES

5. Conclusiones

Las rocas de las formaciones Trinchera y Sombrerito, consistentes en calizas de ambiente marino de la Cuenca de Azua alcanzaron profundidades y temperaturas suficientes en el Mioceno Inferior para entrar en la ventana de generación de petróleo. Esto evidenciado por los datos de reflectancia de vitrinita (0.99 %Ro promedio). Asimismo, el modelo geoquímico 1D presenta una buena calibración con los datos de temperatura de fondo de pozo corregidos (BHT) y una muy buena a excelente calibración con los datos geoquímicos de reflectancia de vitrinita obtenidos a partir de los trabajos de campo y resultados de los análisis de laboratorio del equipo de investigación de la Unidad I+D de Refidomsa, Universidad Nacional Pedro Henríquez Ureña (UNPHU) y la Universidad Industrial de Santander (UIS), Bucaramanga, Santander, Colombia.

Las calizas de la Formación Trinchera en la Cuenca del Cibao alcanzaron profundidades y temperaturas suficientes para entrar en la ventana de generación de petróleo y gas entre el Mioceno Inferior al Mioceno Medio. Según lo observado en los datos de reflectancia de vitrinita (1.21 %Ro promedio), el modelo geoquímico 1D presenta muy buena calibración con los datos geoquímicos obtenidos a partir de los resultados de los análisis de laboratorio.

Para la Cuenca de Enriquillo, los resultados del modelo geoquímico 1D muestran que las calizas de las formaciones Trinchera y Sombrerito alcanzaron la ventana de generación de petróleo entre el Mioceno Superior y el Plioceno. Sin embargo, no se poseen datos de calibración de reflectancia de vitrinita (%Ro) para dar mayor soporte a los resultados

obtenidos. No obstante, este modelo es consistente con los modelos geoquímicos 1D obtenidos en las otras cuencas estudiadas.

Respecto a la Cuenca de Enriquillo, el pozo Charco Largo #1 utilizado para el modelo geoquímico 1D ha reportado la presencia de un cuerpo intrusivo volcánico de composición Diorita. Estos tipos de eventos intrusivos afectan considerablemente la madurez termal de la materia orgánica presente en las inmediaciones de las rocas en contacto con las rocas volcánicas, como se indica en el modelo de maduración termal presentado en este estudio. Sin embargo, se requieren estudios y datos adicionales de mayor detalle que permitan mejorar y calibrar el modelo geoquímico.

Para la Cuenca de San Juan, las formaciones Sombrerito y Trinchera entraron en ventana de generación de petróleo y gas en el Mioceno Inferior como lo indican los datos de reflectancia de vitrinita en dos muestras (1.56 %Ro promedio y 2.32 %Ro promedio). El modelo presenta una moderada a baja calibración con el dato de temperatura de fondo de pozo corregido (BHT), pero una muy buena a excelente calibración con los datos de reflectancia de vitrinita (%Ro) obtenidos a partir de los resultados de los análisis de laboratorio.

Es importante resaltar que los resultados de las reconstrucciones de la historia termal y de los modelos geoquímicos de generación de hidrocarburos en cada una de las cuatro cuencas (Azua, San Juan, Cibao y Enriquillo) indican que las formaciones generadoras Trinchera y Sombrerito de Mioceno Inferior alcanzaron temperaturas suficientes para haber generado petróleo y gas. Estos resultados están basados en los modelos geo-

110 ∙ Modelamiento Geoquímico 1D en las Cuencas de Azua, Cibao, Enriquillo y San Juan

químicos calibrados en tres cuencas, indicando que el riesgo exploratorio por condiciones de generación es bajo. Asimismo, es importante resaltar que estos resultados son muy alentadores para continuar con trabajos de investigación y exploración de petróleo y gas en la República Dominicana.

Recomendaciones

• Se recomienda obtener muestras de roca de las Formaciones Trinchera y Sombrerito localizadas en la Cuenca Enriquillo para realizar los respectivos análisis geoquímicos que permitan calibrar futuros modelos.

• Se recomienda realizar estudios sedimentológicos, estratigráficos y geoquímicos de mayor detalle para concluir de forma certera el alcance del efecto de los cuerpos ígneos intrusivos en la maduración de la materia orgánica y flujo de calor a nivel local.

• Se recomienda analizar muestras de pozo para reflectancia de vitrinita, pirólisis Rock-Eval y TOC, con el propósito de tener un mejor conocimiento que permita realizar nuevas calibraciones a los modelos de generación de hidrocarburos aquí presentados.

Refidomsa ∙ 111

Referencias

Barker C., 1996, Thermal modelling of petroleum generation: theory y applications. Development of Petroleum Science, 45. Elsevier.

Carvajal-Arenas, L. C., Torrado, L., Mann, P., & English, J. (2020). Basin modeling of Late Cretaceous / Mio-Pliocene (.) petroleum system of the deep-water eastern Colombian Basin y South Caribbean Deformed Belt. Marine y Petroleum Geology, 121. https://doi.org/10.1016/j.marpetgeo.2020.104511

García González, M., Palmera, T., Rosario Michel, G. (2023). Interpretación de Resultados de Análisis Geoquímicos, Petrofísicos y Petrográficos. Contrato: Reconstrucción de la Historia Termal de Las Cuencas Sedimentarias de República Dominicana, Grado de Maduración Termal de las Formaciones Generadoras de Hidrocarburos, Evaluación y Cuantificación de las Reservas Potenciales de Petróleo y Gas. Informe Interno Refinería Dominicana de Petróleo S.A. (Refidomsa).

Gorosabel, J. M. (2020). Evolución tectono-sedimentaria de la cuenca de San Pedro (República Dominicana) y su potencial de hidrocarburos Tectono-sedimentary evolution of the San Pedro basin (Dominican Republic) y its hydrocarbon potential.

Mann, P., & Lawrence, S. R. (1991). Petroleum Potential of Southern Hispaniola. Journal of Petroleum Geology, 14(3), 291–308.

Mann, P., & Pierce, S. (2021). Stratigraphy y structure of regionally-isolated hydrocarbon occurrences in the Azua Basin, south-central Dominican Republic (Northeastern Caribbean). Geological Society Special Publication, 504(1), 437–478. https://doi.org/10.1144/SP504-2019241

Nason, R., & Lee, W. H. K. (1964). HeatFlow Measurements in the North Atlantic, Caribbean, y Mediterranean. Journal of Geophysical Research, 69(22), 4875–4883.

Pepper, A. S., & Corvi, P. J. (1995). Simple kinetic models of petroleum formation. Part I: oil y gas generation from kerogen. Marine y Petroleum Geology, 12(3), 291–319.

von Herzen, R. P., Simmons, G., & Folinsbee, A. (1970). Heat flow between the Caribbean Sea y the Mid- Atlantic ridge. Journal of Geophysical Research, 75(11), 1973–1984. https://doi.org/10.1029/ jb075i011p01973

Welte, D.H., Horfield, B., y D.R. Baker eds., 1997, Petroleum y Basin Evolution. Springer, 535 p.

112 ∙ Modelamiento Geoquímico 1D en las Cuencas de Azua, Cibao, Enriquillo y San
Juan

Ilustración

18. Cantera de calizas y margas en la formación Neiba. Fotografía: Gregorio Rosario.

Refidomsa Unidad de Investigación y Desarrollo para la Exploración y Explotación de Petróleo y Gas

Av. Enrique Jiménez Moya, No. 32, 4to Piso, Santo Domingo, República Dominicana.

Apartado Postal 1439

Teléfono: (809) 533-1127 Fax: (809) 535-8704

114 ∙ Modelamiento Geoquímico 1D
en las Cuencas de Azua, Cibao, Enriquillo y San Juan

Gregorio Rosario Michel es ingeniero con doctorado en ciencias en la Universidad Católica de Lovaina (KU LEUVEN), Bélgica. Investigador senior en materia energética y gobernanza de tecnologías geoespaciales.

Gregorio Rosario es ingeniero electromecánico mención electrónica de la Universidad Autónoma de Santo Domingo (2001), con grado de maestría en telecomunicaciones de esta misma universidad (2003). El Sr. Rosario ha obtenido el título de máster en geotecnologías cartográficas aplicadas a la ingeniería y la arquitectura en la Universidad de Salamanca, España (2009). En el 2013, finalizó el máster en geomática en la National Cheng Kung University, Taiwán. En el 2023 obtuvo el título de doctor en ciencias en el instituto de gobernanza pública de la Universidad KU LEUVEN, Bélgica.

En materia energética, su línea de investigación está orientada a la explotación de bases de datos espaciales masivos para la exploración minera y la prospección de recursos petróleo y gas. En relación con las tecnologías geoespaciales, ha liderado proyectos de investigación y desarrollo sobre el análisis espacial de residuos aceitosos en el gran Santo Domingo, identificación de requerimientos de usuarios, valor socioeconómico de los datos y análisis multiactor multicriterio para la gobernanza de las infraestructuras de datos espaciales en el Caribe.

El Dr. Gregorio Rosario se desempeña como subdirector de la Unidad de Investigación y Desarrollo para la Exploración y Explotación de Petróleo y Gas de la Refinería Dominicana de Petróleo (REFIDOMSA). Docente de Fotogrametría y Cartografía en la Escuela de Agrimensura, Facultad de Ingeniería y Arquitectura, Universidad Autónoma de Santo Domingo.

Unidad I+D para la Exploración y Explotación de Petróleo y Gas

Turn static files into dynamic content formats.

Create a flipbook
Issuu converts static files into: digital portfolios, online yearbooks, online catalogs, digital photo albums and more. Sign up and create your flipbook.