LABORATORIO SPERIMENTALE STEAM
Techno logics

•Progetti STEAM
• Applicazioni Google
•Programmazione con il coding
• Robotica educativa
TANTE IDEE E ATTIVITÀ PRATICHE SPERIMENTATE IN CLASSE


![]()

•Progetti STEAM
• Applicazioni Google
•Programmazione con il coding
• Robotica educativa
TANTE IDEE E ATTIVITÀ PRATICHE SPERIMENTATE IN CLASSE


Coordinamento redazionale: Stefania Bigatti, Silvia Civerchia
Redazione: Nicola Giulioni, Alessandro Vigiani
Consulenza didattica: Vincenzo Bondanese, Germano Pettarin
Progetto grafico, impaginazione e copertina: Giorgio Lucarini
Referenze fotografiche: iStock, Shutterstock, Raffaello Libri
Coordinamento digitale: Paolo Giuliani
Redazione digitale: Silvia Di Loreto
Stampa: Gruppo Editoriale Raffaello
Il Gruppo Editoriale Raffaello mette a disposizione i propri libri di testo in formato digitale per gli studenti ipovedenti, non vedenti o con disturbi specifici di apprendimento.
L’attenzione e la cura necessarie per la realizzazione di un libro spesso non sono sufficienti a evitare completamente la presenza di sviste o di piccole imprecisioni. Invitiamo pertanto il lettore a segnalare le eventuali inesattezze riscontrate. Ci saranno utili per le future ristampe.
Tutti i diritti sono riservati.
© 2023
Raffaello Libri S.p.A. Via dell’Industria, 21 60037 - Monte San Vito (AN) www.raffaelloscuola.it info@grupporaffaello.it
È vietata la riproduzione dell’opera o di parti di essa con qualsiasi mezzo, comprese stampa, fotocopie e memorizzazione elettronica se non espressamente autorizzate dall’Editore.
Nel rispetto delle normative vigenti, le immagini che rappresentano marchi o prodotti commerciali hanno esclusivamente valenza didattica.
L’Editore è a disposizione degli aventi diritto con i quali non è stato possibile comunicare, nonché per eventuali omissioni o inesattezze nella citazione delle fonti.
Ristampa:
Viviamo in un mondo in cui il cambiamento accelera di giorno in giorno, tanto che nel prossimo futuro nasceranno professioni che oggi non esistono, utilizzeremo tecnologie che non sono ancora state inventate e dovremo trovare soluzioni a problemi che ancora non siamo in grado di immaginare.
In questa prospettiva nasce Laboratorio sperimentale STEAM, per fornirti, attraverso esperienze pratiche, competenze e strumenti digitali che possano far emergere il tuo potenziale e permetterti di avere un impatto determinante non solo sul tuo futuro, ma anche su quello degli altri.
Ma che cosa si intende con «STEAM»? Se ti guardi intorno, ti renderai conto che molti dei problemi che affliggono il nostro pianeta (pensa al riscaldamento globale o all’inquinamento dei mari) non possono essere spiegati da una singola disciplina (da un solo «punto di vista») perché dipendono da vari fattori, interconnessi fra loro. È da questa osservazione del mondo reale che nasce la didattica STEAM (acronimo di Science, Technology, Engineering, Arts, Mathematics), in cui concetti scientifici rigorosi vengono investigati alla luce delle loro connessioni con l’esperienza quotidiana.
Attraverso le attività proposte in questo volume, infatti, imparerai che gli strumenti digitali, se usati strategicamente, aiutano a sviluppare il pensiero critico, a comunicare efficacemente, a collaborare con gli altri e a sprigionare la creatività, tutte competenze essenziali per la crescita personale e professionale.
DIDATTICA INCLUSIVA
DIGITALE
L’offerta formativa è arricchita da strumenti e contenuti pensati per supportare e valorizzare i diversi bisogni educativi, consentendo la personalizzazione dell’apprendimento. L’obiettivo è quello di potenziare, stimolare e includere in modo efficace studentesse e studenti con un’offerta didattica ampia, variegata e di facile accessibilità.
ll QR code in alto presente in ogni doppia pagina consente l’accesso immediato agli strumenti inclusivi del testo:
• il testo liquido consente di modificare la dimensione del testo e il font;
• l’audiolettura, realizzata da speaker professionisti, facilita la comprensione del testo;
• il traduttore multilingue aiuta anche gli alunni e le alunne non italofone nella comprensione del testo;
• il dizionario permette di consolidare il lessico specifico.

Il box Tools panel indica i materiali da procurarsi e le risorse digitali a cui accedere per svolgere l’attività.
Ogni Attività si articola in vari Step numerati che scandiscono il lavoro in modo progressivo e graduale.
Le attività sono supportate da immagini e didascalie che concentrano l’attenzione sui passaggi da seguire.
Ogni Laboratorio si apre con un breve testo introduttivo che invita a cimentarsi nelle attività proposte. Il glossario fornisce una sintetica definizione dei termini della disciplina, evidenziati in rosso.
Il QR code nei box verdi rimandano a dei video tutorial utili per seguire passo dopo passo le attività proposte.

Attivando il Libro digitale, dopo la registrazione sul nostro portale, sarà possibile visualizzare tutti i materiali digitali aggiuntivi, reperibili o dal pulsante Risorse digitali in alto nella pagina in alta leggibilità, o dall’icona link presente sulle pagine del libro digitale.

I box Ho capito! e Osserva e rifletti invitano a soffermarsi attivamente sul contenuto del testo.
I QR code nei box lilla sono link diretti a siti, programmi e progetti avviati utili per svolgere le attività.










In questa prima Area imparerai ad applicare una serie di strumenti digitali ad attività entusiasmanti e coinvolgenti, in cui ti troverai ad assumere la prospettiva STEAM; comprenderai, infatti, che per sviluppare progetti innovativi è indispensabile che le diverse discipline diano il proprio contributo e interagiscano tra loro. Non dimenticare che, in ogni fase del lavoro, il confronto con gli altri rappresenterà un valido aiuto e ti permetterà di scoprire nuove idee, valutare diverse proposte e risolvere ogni problema che si potrebbe presentare. Iniziamo a progettare?

PREREQUISITI
• Conoscenza degli elementi di base di Tinkercad e Tinkercad Circuits vai all’Appendice 2, p. 108
• Utilizzo di Internet e della posta elettronica
Risorse multimediali dell’Area
Oltre ai video tutorial che ti guideranno nelle attività più complesse e a cui potrai accedere direttamente inquadrando i QR code nelle pagine, nel Libro digitale troverai anche:
• il link al progetto svolto del Laboratorio 2
Green Lab

In passato, per visualizzare dati in forma grafica, gli scienziati e le scienziate dovevano ricorrere necessariamente all’uso di «carta e penna». Oggi, nel mondo digitale, per rappresentare le informazioni abbiamo a disposizione strumenti molto più pratici ed efficaci, come le mappe interattive e le infografiche che imparerete a creare in questo laboratorio.
APPRENDIMENTO COOPERATIVO
Sapete che grazie agli strumenti STEAM è più facile affrontare la grande sfida dei 17 Obiettivi globali per uno sviluppo sostenibile individuati dall’Agenda 2030?
Tramite questa attività vediamo proprio come le competenze STEAM possono farci avvicinare ai contenuti dell’Agenda 2030.

TOOLS PANEL
Per questa attività vi serviranno:
I 17 Obiettivi di sviluppo sostenibile, dal sito: www.globalgoals.org/goals
Indirizzo di posta elettronica
Datawrapper, web app gratuita per realizzare grafici, mappe e tabelle interattive: www.datawrapper.de
Google Sites, web app gratuita per la creazione di siti web: www.sites.google.com
A piccoli gruppi, scegliete alcuni dei 17 obiettivi dell’Agenda 2030 e scrivete, per le varie materie di studio, uno o più argomenti che si possano collegare agli obiettivi scelti.
Confrontatevi ora con il resto della classe e con l’insegnante per individuare anche altri collegamenti: avreste mai pensato di trovare così tante connessioni tra discipline diverse riguardo a uno stesso tema?
Individuate nella vostra città (o provincia, o regione) enti, associazioni, scuole, servizi che potrebbero essere punti di riferimento per ogni obiettivo dell’Agenda 2030 scelto.
Realizzate quindi una mappa di localizzazione (o mappa interattiva) con l’applicazione web Datawrapper, ispirandovi all’esempio mostrato nella Figura 1.

Figura 1. Mappa di localizzazione degli Obiettivi dell’Agenda 2030 realizzata con Datawrapper.
Come fare? Inquadrate il QR code a lato per seguire i suggerimenti del Tutorial, che vi guiderà nei passaggi fondamentali.
Potrete infine scaricare la vostra mappa e pubblicarla su un sito web personale realizzato con Google Sites (vedi p. 36) per condividere il vostro lavoro con chi preferite.
Tutorial
Realizza una mappa interattiva


Immagina di voler promuovere un evento particolare sorvolando la regione Marche con un piccolo aereo da cui lascerai cadere dei volantini biodegradabili. Hai a disposizione solo due lanci di volantini: quali province sceglieresti pensando di voler raggiungere il maggior numero di persone possibile?
Per poter prendere una decisione, per prima cosa hai bisogno di conoscere i dati relativi alla popolazione della regione Marche, divisi per provincia.
Osserva e rifletti
Osserva la tabella, che mostra il numero di abitanti delle Marche per provincia (Figura 1), e il grafico che arricchisce le informazioni della tabella attraverso una rappresentazione visiva dei dati (Figura 2).
Alla luce di queste prime informazioni, indica le due province che ritieni più adatte per un lancio efficace.

Figura 1. Popolazione delle Marche per provincia. Fonte: Istat, 1/1/2022.

Figura 2. Rappresentazione grafica dei dati della tabella.

Estrarre informazioni utili alla risoluzione di un problema reale da un set (cioè un insieme) di dati non è un’operazione così semplice, in particolare quando si ha a disposizione una sola categoria di dati come, in questo caso, il numero di abitanti. Acquisendo nuove informazioni e una rappresentazione grafica più dettagliata, forse la scelta delle province su cui effettuare i due lanci di volantini potrebbe cambiare.

Osserva...
Osserva la mappa geografica delle province marchigiane (Figura 3) e la tabella con i dati relativi alla superficie territoriale e alla densità, (rapporto tra la popolazione e la superficie) di ciascuna provincia (Figura 4). Mettendo in relazione queste nuove categorie di dati con le precedenti, potrai estrarre informazioni più significative e fare una scelta più circostanziata.

...e rifletti
Figura 3. Mappa delle province delle Marche.

Figura 4. Popolazione, superficie e densità delle Marche per provincia. Fonte: Istat, 1/1/2022.
Ora che hai acquisito nuove informazioni, quali province sceglieresti?
La tua risposta è cambiata?
Immagina, ora, di voler partecipare a una fiera scientifica dove esporrai i risultati dell’attività appena svolta con una rappresentazione grafica che sia di impatto e originale. Non volendo ricorrere a soluzioni già viste come cartelloni colorati o presentazioni digitali, potresti optare per una rappresentazione tridimensionale dei dati, realizzando un’infografica 3D che potrai eventualmente stampare in tre dimensioni con una stampante 3D.
Inquadra il QR code in basso e segui il Tutorial che ti accompagnerà, passo dopo passo, nella realizzazione di un’infografica 3D della densità di popolazione delle province delle Marche come quella mostrata nella Figura 5
L’infografica 3D mette in evidenza le differenze di densità di popolazione della regione grazie alla diversa altezza di ogni unità provinciale. Le altezze sono proporzionali ai dati presentati nella Figura 4.


Per questa attività ti serviranno:
Gimp, software per l’elaborazione digitale delle immagini scaricabile gratuitamente da www.gimp.org
Inkscape, software di grafica vettoriale scaricabile gratuitamente da www.inkscape.org
Tinkercad, web app gratuita di modellazione tridimensionale (scoprila a pp. 108-109): www.tinkercad.com
Infografica
Tecnica che consiste nel rappresentare informazioni tramite grafici, diagrammi, tabelle e mappe, per rendere più efficace la loro trasmissione.



TOOLS PANEL
Per questa attività vi serviranno:
Indirizzo di posta elettronica
ArtSteps , web app gratuita per progettare ambienti espositivi: www.artsteps.com
Thingiverse, archivio digitale di oggetti tridimensionali: www.thingiverse.com
Applicazione web Tinkercad: www.tinkercad.com
Sketchfab, web app gratuita di modellazione tridimensionale: www.sketchfab.com
Pixabay, sito per la condivisione di foto libere da diritti d’autore: www.pixabay.com
Applicazione web Google Sites: www.sites.google.com

Pensate a quante volte in classe avete realizzato un disegno, un testo, un progetto digitale e avreste voluto mostrarlo anche al di fuori dell’aula. In questo laboratorio potrete esporre le vostre opere allestendo un ambiente virtuale... visitabile in tutto il mondo!
Dividetevi in piccoli gruppi e iniziate la vostra progettazione della mostra in realtà virtuale (VR) utilizzando la web app ArtSteps. Questa applicazione di facile utilizzo vi consentirà di progettare l’ambiente espositivo, personalizzare i pannelli interni dove collocare le opere, scegliere i contenuti della mostra e predisporre un percorso guidato per i visitatori. Gli step di questo laboratorio sono accompagnati da video tutorial accessibili tramite QR code che vi guideranno passo passo lungo tutta la progettazione. Ricordate, comunque, che la mostra che andrete ad allestire sarà completamente ideata e curata da voi, dalla scelta del tema a quella del titolo, fino alla selezione delle opere da esporre: date spazio alla creatività!
Per prima cosa accedete all’applicazione web www.artsteps.com ed effettuate la registrazione con un indirizzo di posta elettronica (anche scolastico). Una volta completata la procedura di registrazione, per avviare il progetto cliccate sul tasto verde Creare in alto a destra del vostro spazio on line: l’area di editing di ArtSteps si aprirà con la visualizzazione in prospettiva di una superficie quadrettata che rappresenta il pavimento dell’area espositiva (Figura 1).
Figura 1. L’area di editing di ArtSteps, con la superficie che ospiterà il museo virtuale.

In un ambiente virtuale 3D è innanzitutto importante conoscere come muoversi nello spazio. Ecco alcuni suggerimenti:
• tenendo premuto il tasto sinistro del mouse si attiva la funzione «orbita», con la quale è possibile ruotare la superficie di lavoro nello spazio attorno a un punto;
• mantenendo la pressione del tasto destro del mouse si attiva la funzione «pan» per scorrere verso destra/sinistra o avanti/indietro nel piano;
• ruotando la rotellina del mouse si gestisce lo zoom (in/out a seconda del verso di rotazione avanti/indietro). Prima di iniziare la costruzione dell’ambiente virtuale, disegnate nel foglio quadrettato qui sotto una bozza dello spazio espositivo da realizzare.
Il nostro museo


Tornate ora su ArtSteps e, con l’aiuto del Tutorial 1, tracciate le pareti e collocate gli ingressi e le uscite del vostro spazio espositivo (Figura 2): la possibilità di lavorare con «muri digitali» facilita eventuali modifiche degli spazi progettati su carta.

2. Costruzione dell’area espositiva.

1



Personalizza lo spazio espositivo

Attraverso la tavolozza dei colori di ArtSteps potrete cambiare la tinta delle pareti e del pavimento o inserire una texture, come illustrato nel Tutorial 2. La scelta di particolari colori e materiali permette di identificare spazi specifici della mostra in cui collocare contenuti diversi.
Nel pannello di sinistra scegliete la tinta o il materiale dalla tavolozza: il puntatore del mouse si trasformerà in un rullo virtuale che, a ogni clic, riempirà la superficie individuata con il materiale o il colore scelto. Ricordatevi di utilizzare la funzione «orbita» per ruotare la vista e tinteggiare tutti i lati dell’area espositiva. ArtSteps prevede anche la possibilità di scegliere temi-colore già preimpostati.
Per avere un’idea più realistica dello spazio virtuale che state allestendo, utilizzate lo strumento «First-person Camera» (icona con l’omino nella barra strumenti in alto al centro) per fare una «passeggiata» esplorativa all’interno della vostra sala espositiva (Figura 3).



Inizia la fase più divertente e creativa: l’allestimento del vostro museo virtuale con oggetti tridimensionali, immagini, testi, audio e video.
Seguite i video del Tutorial 3 per avere un quadro generale di tutte le possibilità offerte da ArtSteps per allestire un’installazione.
I quattro video vi mostreranno come:
1. importare un modello 3D gratuito dall’archivio digitale Thingiverse attraverso la modifica del formato con la web app di modellazione tridimensionale Tinkercad;
2. importare un modello 3D con delle texture colorate dalla piattaforma di condivisione di modelli 3D Sketchfab e importare immagini bidimensionali dal sito web per la condivisione di foto gratuite Pixabay;
3. importare un modello 3D dalla galleria di Tinkercad e aggiungere testi e audio; 4. creare un oggetto 3D con Tinkercad per l’inserimento in ArtSteps e aggiungere un video da Youtube.
Il vostro spazio espositivo è finalmente pronto per accogliere i visitatori. Poiché ci troviamo in un ambiente tridimensionale, orientarsi non è sempre semplice e i meno esperti potrebbero perdersi fra le stanze o trovarsi bloccati contro una parete! Per questo ArtSteps offre la possibilità di creare un percorso predefinito per «accompagnare» i visitatori fra le installazioni seguendo una possibile narrazione. Potrete programmare il tour seguendo dei semplici passaggi, illustrati nel Tutorial 4, e aggiungere informazioni a ogni installazione tramite l’inserimento di un file audio come audioguida delle opere.
La pianificazione del tour sarà inoltre un’occasione per effettuare un controllo generale di quanto realizzato e apportare le dovute modifiche (Figura 4).

Figura 4. Controllo dell’allestimento e regolazione dell’altezza degli espositori.
Quest’ultimo step vi permetterà di pubblicare il lavoro che avete realizzato e di invitare reali utenti del web a visitare il vostro museo virtuale. Seguite il Tutorial 5 per scoprire in particolare come inserire il tour del museo nelle pagine di un sito realizzato con Google Sites (vedi p. 36), una modalità che consente di limitare l’accesso alle sole persone con cui deciderete di condividere il vostro progetto.
I miei appunti
Tutorial 4

Crea un percorso guidato

Tutorial 5

Metti il museo online

Prima di iniziare
Ripassa pp. 262-266 del volume di Tecnologia.

Per questa attività ti serviranno:
Pacco batterie da 3V (2 pile AAA da 1,5V) con morsetti +/–
LED
Fili conduttori oppure
Applicazione web Tinkercad Circuits (scoprila a pp.110-112): www.tinkercad.com

Ogni giorno a casa utilizzi svariati elettrodomestici, accendi le luci nelle stanze, colleghi alle prese a muro dispositivi elettronici come tablet, computer o smartphone per ricaricare le loro batterie. Tutto questo è possibile grazie alla presenza di una serie di collegamenti che permettono il passaggio dell’elettricità: i circuiti elettrici. In questo laboratorio conoscerai dei circuiti molto particolari che, per la loro semplicità di utilizzo, ti aiuteranno a scoprire i concetti chiave del mondo dei circuiti in modo davvero divertente.
Con i componenti indicati nel Tools panel, prova a riprodurre le cinque diverse configurazioni presentate nella Figura 1, fino a trovare quella che permette alla lampadina di illuminarsi. Se non hai a disposizione i componenti indicati, puoi svolgere l’attività utilizzando l’applicazione web Tinkercad seguendo i passaggi illustrati nel Tutorial.
Figura 1. Cinque esempi di collegamento dei componenti di un circuito. Solo la configurazione 5 permette l’accensione della lampadina.
Tutorial

Simula un circuito


Osserva e rifletti
In Figura 1 avrai notato che l’unica configurazione che permette la corretta accensione della lampadina è la numero 5: ci troviamo, in questo caso, di fronte a un circuito elettrico. L’osservazione delle cinque configurazioni permette di individuare alcuni requisiti necessari affinché un circuito elettrico funzioni correttamente. Prova a elencare le caratteristiche che distinguono la configurazione 5 dalle altre.
La prima caratteristica che si nota nella configurazione 5 in Figura 1 è che il percorso tracciato dal collegamento tra i cavi, la pila e la lampadina non presenta interruzioni. Il circuito elettrico, infatti, è un percorso conduttivo chiuso che attraversa la lampadina (utilizzatore) e si estende dal terminale positivo al terminale negativo della pila (fonte di energia). Osserviamo ancora le prime quattro configurazioni: mentre nei casi 1 e 3 semplicemente non vi è continuità nel percorso conduttivo (manca il filo nero o parte di esso), nelle configurazioni
2 e 4 abbiamo un circuito conduttivo chiuso in cui, però, manca un ritorno al terminale negativo della batteria. Questo ci consente di individuare il secondo requisito del circuito elettrico: la presenza di una differenza di potenziale elettrico (ddp) fra le due estremità del circuito.
APPRENDIMENTO
COOPERATIVO
In questa attività sperimenterete un modo divertente e originale per comprendere il funzionamento dei circuiti elettrici. Dovrete letteralmente mettere le mani in pasta e realizzare dei circuiti «morbidi» (squishy circuits), cosiddetti perché costruiti con la plastilina, la pasta da gioco colorata da modellare che, come presto scoprirete, è un discreto conduttore elettrico, ovvero un materiale che consente il passaggio di cariche elettriche.
Dopo esservi procurati i materiali indicati nel Tools panel, con l’aiuto dell’insegnante costruite un circuito «morbido» chiuso come quello presentato nella Figura 2.
Per questa attività vi serviranno:

1 batteria rettangolare da 9V
2 cavi a coccodrillo
pasta modellabile conduttiva LED (Diodo a Emissione di Luce) blocchetto di pongo

Per prima cosa formate due palline con la plastilina, alle quali andrete a collegare la batteria, tramite i due cavi, e la lampadina LED. Il LED ha una polarità, ovvero un terminale più lungo chiamato anodo (+) e uno più corto detto catodo (–), identificato da un lato piatto sulla capsula del componente. Quando lo si collega in un circuito occorre rivolgere l’anodo verso il polo positivo della batteria e il catodo verso quello negativo: un semplice metodo per memorizzare il collegamento corretto del LED consiste nel ricordare che il terminale più lungo si collega verso il più della pila.


Provate a staccare un piedino del LED dal blocchetto di plastilina, come nella Figura 3. La lampadina si spegnerà poiché il circuito diventa aperto e, come osservato nella prima attività di questo laboratorio, viene meno una delle condizioni essenziali per ottenere un circuito elettrico, ovvero la continuità di collegamento fra i componenti. Senza questo importante requisito, la corrente elettrica non ha possibilità di fluire lungo il circuito, anche perché l’aria secca interposta fra la plastilina e il LED risulta essere un eccellente isolante elettrico, cioè impedisce il passaggio della corrente.
Ripristinate il circuito chiuso e avvicinate i due blocchetti di plastilina fino a farli toccare, come nella Figura 4. Noterete che il LED si è spento: riuscite a capire perché? Provate a riflettere insieme a partire dalle seguenti domande.

Osserva e rifletti
1. Il circuito è ancora un circuito chiuso oppure risulta aperto?
2. Tutti i componenti sono collegati correttamente?
3. Le cariche elettriche spinte dalla batteria stanno scorrendo lungo il circuito o hanno subito interruzioni?
4. Confrontate la Figura 4 con la Figura 2: le cariche elettriche hanno cambiato percorso?

Forse avrete intuito il motivo per cui il LED non si accende. Come abbiamo visto, la plastilina è un materiale conduttore e, nel momento in cui mettiamo a contatto i due blocchetti, le cariche elettriche trovano una «scorciatoia», evitando di percorrere il tratto più stretto e contorto dentro al LED. Le cariche elettriche in movimento, infatti, preferiscono i percorsi a minor resistenza, cioè, in parole più semplici, con meno ostacoli. Non essendo attraversato dalla corrente elettrica, il LED rimane spento: abbiamo ottenuto un tipo particolare di circuito chiuso, chiamato cortocircuito. I cortocircuiti possono rivelarsi pericolosi: spesso sono infatti causa di incendi ed esplosioni negli impianti domestici e industriali.
Aggiungete, ora, un blocchetto di pongo tra le due palline di plastilina, come nella Figura 5: questa volta il LED rimane acceso. Il pongo, al contrario della plastilina, è un materiale isolante e previene i cortocircuiti, permettendo alla corrente elettrica di fluire attraverso il LED.
Al contrario dei conduttori, i materiali isolanti (altri esempi sono la plastica, il vetro, la gomma) trattengono saldamente i propri elettroni nel corrispondente nucleo atomico e, anche in presenza di una significativa differenza di potenziale, non permettono il formarsi di una corrente elettrica
APPRENDIMENTO
COOPERATIVO
Nei circuiti le resistenze sono fra i componenti più diffusi e vengono principalmente impiegate allo scopo di limitare il flusso di elettroni che raggiunge le varie parti del circuito.
La resistenza che un materiale oppone al flusso della corrente è una proprietà che può essere investigata in maniera semplice attraverso la modellazione della pasta conduttiva dei circuiti «morbidi».
In questa attività andrete alla ricerca delle grandezze che regolano la resistenza elettrica di materiali «morbidi», fino a scoprire la seconda legge di Ohm.
In questo esperimento andrete a verificare e a mettere a confronto i valori di resistenza (R) della plastilina e del pongo, che, come avete sperimentato nell’Attività 2, sono rispettivamente un conduttore e un isolante.
Indagine
• Plastilina → conduttore
• Pongo → isolante
Quale materiale ha maggiore resistenza?
Formate due palline di volume simile, una con il pongo e una con la plastilina. Costruite, ora, un circuito con ciascuna pallina (Figura 6) e prendete appunti sui valori di resistenza rilevati. Questi valori possono essere misurati grazie all’impiego di un multimetro digitale (metodo quantitativo). Ricordate che l’unità di misura della resistenza è l’ohm (Ω). In alternativa, potete ricavare informazioni sulla resistenza dei due materiali valutando il grado di accensione di un LED inserito nel circuito (metodo qualitativo).
Risultati
Valori ricavati con il multimetro:
R pongo : Ω
Rplastilina: Ω

Per questa attività vi serviranno:
1 batteria da 9V
2 cavi a coccodrillo plastilina pongo
LED
1 righello se disponibile:
1 multimetro digitale
Osservazione del LED: pongo: plastilina:

Figura 6. A sinistra, circuito per ricavare i valori di resistenza dei due materiali attraverso un multimetro. A destra, circuito per l’analisi qualitativa della resistenza di pongo e plastilina (i due panetti vanno modellati in modo che abbiano lo stesso volume).

Se l’esperimento è andato a buon fine, avrete riscontrato una differenza sostanziale tra la resistenza dei due materiali, tramite il confronto dei valori oppure tramite la semplice osservazione a occhio nudo del LED: nel caso di un circuito modellato con la plastilina il LED si sarà illuminato, mentre usando il pongo il flusso di elettroni che raggiunge il LED non sarà stato sufficiente a garantire l’accensione. Come già visto nelle precedenti sperimentazioni con gli squishy circuit, in effetti, il pongo viene solitamente utilizzato come isolante e il dato di resistenza misurato in questa circostanza conferma la bontà di questa scelta.
Verificate, ora, i valori di resistenza di uno stesso materiale conduttore, che però presenta una sezione (S) di diverso diametro.
Aumentando il diametro del cavo conduttore, come varia la resistenza?
Per testare questo parametro modellate due «cavi» di plastilina di uguale lunghezza in modo che abbiano un diametro rispettivamente di 1 cm (A) e 0,5 cm (B) (Figura 7). Collegate ciascun cavo di plastilina in un circuito (come in Figura 6) e prendete appunti sui valori di resistenza misurati con il multimetro digitale. In alternativa, valutate la resistenza osservando il grado di accensione di un LED inserito nel circuito.

Valori ricavati con il multimetro:
Figura 7. Particolare di due circuiti «morbidi» con «cavi» di plastilina di uguale lunghezza e diverso diametro.
R del cavo con S di diametro 1 cm: ..................... Ω
R del cavo con S di diametro 0,5 cm: ................. Ω
Osservazione del LED: pongo: plastilina:
Esaminando i vostri risultati, dovreste concludere che un aumento del diametro del cavo conduttore facilita il passaggio degli elettroni determinando un abbassamento del valore di resistenza.
L’ultima prova consiste nel verificare i valori di resistenza di uno stesso materiale conduttore, che però presenta una diversa lunghezza (l).
Aumentando la lunghezza del cavo conduttore, come varia la resistenza?
Per testare questo parametro modellate due «cavi» di plastilina con uguale diametro e, realizzando uno dei due circuiti in Figura 6, misurate o valutate i valori di resistenza per cavi con lunghezza rispettivamente di 10 cm (C) e 5 cm (D) (Figura 8).

Figura 8. Particolare di due circuiti «morbidi» con «cavi» di plastilina di diametro uguale e lunghezza diversa.
Risultati
Valori ricavati con il multimetro:
R del cavo di l 10 cm: ........................... Ω
R del cavo di l 5 cm: ............................... Ω
Osservazione del LED: pongo: plastilina:
Esaminando i vostri risultati, dovreste concludere che un aumento della lunghezza comporta un aumento delle possibilità d’urto degli elettroni lungo il percorso e, pertanto, un aumento dei valori di resistenza elettrica.
Ricapitolando i dati ricavati nei nostri esperimenti:
1. la plastilina ha dimostrato una resistenza minore del pongo: la tendenza di un materiale a opporsi al passaggio della corrente elettrica prende il nome di resistività;
2. a parità di lunghezza, il cavo di plastilina con la sezione maggiore ha dimostrato una resistenza più bassa (rapporto di proporzionalità inversa);
3. a parità di sezione, il cavo di plastilina più lungo ha dimostrato una resistenza maggiore (rapporto di proporzionalità diretta).
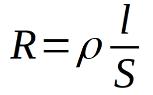
Tutti questi fattori sono definiti dalla seconda legge di Ohm, che afferma che la resistenza (R):
• aumenta o diminuisce in funzione della resistività del conduttore (ρ);
• è inversamente proporzionale alla sezione (S) del conduttore e direttamente proporzionale alla sua lunghezza (l). Tutto ciò è sintetizzato dalla seguente formula:


Da sempre l’umanità ha cercato in svariati modi di… prendere il volo! Un esempio fra tutti fu il grande Leonardo da Vinci che, attraverso l’osservazione del volo degli uccelli e della loro struttura anatomica, cercò di costruire una macchina volante. In questo laboratorio progetterete e costruirete un aliante, una macchina volante che non ha motore, ma risponde alle stesse leggi fisiche dell’aereo.
La spiegazione ci arriva dall’aerodinamica, scienza molto complessa che studia gli effetti dell’interazione di un corpo con l’aria.
Nella Figura 1 vediamo che su un aereo in volo agiscono due coppie di forze che si bilanciano orizzontalmente (spinta-resistenza) e verticalmente (portanza-forza peso): l’equilibrio si ottiene quando l’aereo vola a una velocità costante in assenza di perturbazioni.
Fra le quattro forze quella più interessante per il volo è la portanza, ovvero la spinta perpendicolare al moto dell’aereo che ne permette il sostegno in aria. La portanza si genera grazie alla curvatura e al posizionamento delle ali (Figura 2). La particolare sagoma dell’ala produce un complesso e distinto flusso di particelle d’aria nella parte superiore (dorso) e inferiore (ventre), con dei vortici che spingono l’aria verso il basso nella parte terminale. L’effetto complessivo è il formarsi di una depressione nel dorso dell’ala (come all’interno di un aspirapolvere in funzione) che letteralmente «risucchia» verso l’alto l’aereo, superando o eguagliando la sua forza peso e permettendone così il mantenimento in volo.

Forza
Qualunque causa che, agendo su un corpo, è in grado di modificarne lo stato di quiete (non movimento) o di moto (movimento).

Figura 1. Le coppie di forze in gioco nel volo di un aereo.
Figura 2. La particolare forma del profilo dell’ala genera la portanza, che consente all’aereo di mantenersi in volo.

Che cos’è la portanza e perché è importante nel volo di un aereo?
Ora che hai chiare le leggi fisiche che permettono all’aereo di volare, è il momento di costruire il tuo aliante. Inizierai progettando il tuo prototipo con il programma di modellazione 3D Tinkercad; successivamente potrai dare al tuo aliante una vera e propria forma utilizzando la stampante 3D della scuola.
Da quanto hai già letto, sai che il profilo dell’ala riveste un ruolo importante per definire la portanza dell’aliante, ma sarà anche l’esperienza a guidarti, ovvero dovrai progettare, provare e migliorare di volta in volta il tuo prototipo. Il momento del test di volo sarà fondamentale, perché riceverai informazioni essenziali per modificare al meglio il tuo lavoro (ricorda di documentare ogni fase sperimentale con video, foto e appunti).
Due sono i consigli importanti da tenere in considerazione:
• modifica una variabile alla volta: per esempio, in una prova potresti modificare solo il profilo dell’ala lasciando invariato tutto il resto, in un’altra potresti modificare solo la lunghezza dell’ala, poi solo il materiale (diminuisce la forza peso a vantaggio della portanza);
• collabora con gli altri: svolgendo in autonomia tutti i test potrebbe passare molto tempo prima di ottenere un prototipo funzionante; la condivisione dei risultati delle prove con la classe sarà un acceleratore mentale impressionante e vi farà vivere la sfida con il giusto spirito.
Forse ti starai chiedendo come sia possibile costruire un oggetto che sia in grado di volare senza uno studio approfondito dell’aerodinamica. Pensa che l’aereo dei fratelli Wright, che nel 1903 effettuarono il primo volo della storia, è stato progettato solo sulla base dell’esperienza, perché nessuno era ancora in grado di spiegare quale legge fisica permettesse agli aerei di mantenersi in volo.
Per aiutarti nella progettazione del tuo primo prototipo di aliante, puoi utilizzare il modello della Figura 3, ispirato a un aliante storico, il Colditz Cock (il «Gallo di Colditz»), costruito durante la Seconda guerra mondiale dai prigionieri di guerra britannici nel tentativo di fuga dal castello di Colditz, in Germania.
Dall’immagine potrai ricavare le opportune proporzioni fra le parti del velivolo. Ricorda che l’ingombro totale del prototipo dovrà avere dimensioni conformi al piano della stampante 3D che userai per poter ricavare il modello reale.
Figura 3. Modello di aliante ispirato allo storico velivolo della Seconda guerra mondiale Colditz Cock.
TOOLS PANEL
Per questa attività ti serviranno:

Applicazione web Tinkercad (scoprila a pp.108-109): www.tinkercad.com
Inkscape, software di grafica vettoriale scaricabile gratuitamente da www.inkscape.org
Indirizzo di posta elettronica
Stampante 3D


Una volta definite le dimensioni e le proporzioni del tuo aliante, puoi cominciare a realizzarne le varie parti utilizzando il programma di modellazione tridimensionale Tinkercad. Inizia assemblando il corpo centrale in figure primitive per la trasformazione 3D, secondo i passaggi illustrati nel Tutorial 1
In seguito, procedi con la modellazione delle ali. Il Tutorial 2 ti guiderà attraverso un metodo semplice ed efficace: disegna il profilo dell’ala in 2D con Inkscape e importalo poi su Tinkercad, dove potrai trasformarlo in un oggetto tridimensionale che andrà a comporre le ali del tuo aliante.
Tutorial 1
Assembla il corpo centrale


Il tuo aliante è ora pronto per prendere forma! Procedi all’esportazione del prototipo da Tinkercad e prepara la stampa 3D seguendo i passaggi illustrati nel Tutorial 3. Il materiale solitamente utilizzato per la stampa 3D è il PLA, un tipo di plastica biodegradabile.
Per sperimentare e verificare di volta in volta le capacità di volo del tuo aliante potresti testare ali di un materiale diverso, per esempio di cartone.
In questo caso, dovrai stampare una versione del tuo prototipo con sulla fusoliera un foro che potrà accogliere ali di diverso materiale e ampiezza per le prove di volo.
Guarda il Tutorial 4 che spiega come modificare il prototipo con Tinkercad per ottenere un’apertura in corrispondenza del blocco centrale della fusoliera.
Tutorial 2
Modella e inserisci le ali


Tutorial 3
Prepara la stampa 3D


Tutorial 4
Crea un foro nella fusoliera


APPRENDIMENTO
COOPERATIVO
Quando i vostri alianti vi soddisferanno, potrete dar vita a una vera e propria gara di volo. Concordate con l’insegnante le regole di lancio ed eventuali premi, ad esempio quello alla macchina volante più originale! Ognuno effettuerà più lanci del proprio aliante e registrerà la lunghezza del volo. Se invece lavorate in gruppi, ogni componente della squadra eseguirà un lancio e il risultato di ogni gruppo sarà dato dalla media dei lanci effettuati da tutti i componenti.
Registrate i dati ottenuti in una tabella e documentate con video e foto la sfida finale. A partire da questo materiale, insieme a quello raccolto in fase progettuale, potete realizzare una breve presentazione dell’attività da condividere e inserire nel sito della scuola.
Le discipline STEAM non potrebbero portare a termine i propri progetti senza l’informatica e i suoi strumenti sempre più evoluti, che velocizzano e semplificano il lavoro di studiosi e studiose. In questa Area esplorerai le applicazioni web che Google mette a disposizione dei suoi utenti: risorse utilissime non solo nella vita di tutti i giorni, ma anche in ambito STEAM, per comunicare dati, elaborare informazioni e integrare progetti in modo organizzato ed efficiente. Forse conosci già alcune di queste applicazioni, ma nei laboratori seguenti le utilizzerai in modo sorprendente e innovativo!

PREREQUISITI
• Conoscenza degli elementi di base degli editor di testi (in particolare qui utilizzerai Documenti Google)
• Conoscenza degli elementi di base degli editor di presentazioni (Presentazioni Google)
• Conoscenza degli elementi di base dei fogli di calcolo (Fogli Google)
• Utilizzo di Internet e della posta elettronica
Risorse multimediali dell’Area
Oltre ai video tutorial che ti guideranno nelle attività più complesse e a cui potrai accedere direttamente inquadrando i QR code nelle pagine, nel Libro digitale troverai anche:
• i materiali utilizzati per l’attività del Laboratorio 4;
• i materiali utilizzati per l’attività del Laboratorio 5
RAFFAELLO PLAYER è l’applicazione grazie alla quale puoi fruire dei libri digitali, in classe e a casa.
CONTENUTI DIGITALI INTERATTIVI
UTILIZZA CON I DEVICE

DIDATTICA INCLUSIVA
CONDIVIDI NELLA CLASSE VIRTUALE
CREA E PERSONALIZZA
DIDATTICA DIGITALE INTEGRATA
Per attivare il libro digitale, registrati al sito raffaellodigitale.it
Successivamente scarica, installa e avvia l’applicazione Raffaello Player: effettua il login, seleziona il testo da attivare e inserisci il codice di attivazione riportato sotto.
con COMPUTER, LIM
e SMART BOARD
Collegandoti a raffaellodigitale.it puoi scaricare l’applicazione.
Digitando raffaelloplayer.it puoi utilizzare l’applicazione senza effettuare nessuna installazione.
Ti serve aiuto?
Inquadra e installa. con TABLET e SMARTPHONE


Leggi le F.A.Q. o richiedi assistenza collegandoti all’indirizzo supporto.raffaellodigitale.it oppure scrivi una e-mail a supporto@raffaellodigitale.it
CODICE DI ATTIVAZIONE RISERVATO
Questo volume, sprovvisto del talloncino a fronte (o opportunamente punzonato o altrimenti contrassegnato), è da considerarsi copia di SAGGIO-CAMPIONE GRATUITO, fuori commercio (vendita e altri atti di disposizione vietati: art. 17, c. 2 L. 633/1941). Esente da I.V.A. (D.P.R. 26-10-1972, n° 633, art. 2 lett. d). Esente da bolla di accompagnamento (D.P.R. 6-10-1978, n° 627, art.4. n° 6).
Techno-Logics è un progetto pensato per accompagnare in modo coinvolgente studenti e insegnanti attraverso i percorsi e le logiche che caratterizzano questa disciplina: aggiornato sulle più attuali metodologie didattiche e sulla sperimentazione digitale in ottica STEAM, il corso si arricchisce di contenuti e spunti su sostenibilità ambientale, educazione civica e Agenda 2030. Particolare attenzione viene dedicata anche all’inclusività.
Il volume Laboratorio sperimentale STEAM consente di acquisire le conoscenze di base su coding, robotica e i più utili strumenti del web attraverso attività pratiche in chiave STEAM, divertenti e facili da seguire, grazie anche ai numerosi video tutorial che guidano passo passo e favoriscono la comprensione.
ISBN 978-88-472-4120-6
ISBN 978-88-472-4121-3
ISBN 978-88-472-4122-0
Con
30 video tutorial e 14 link diretti accessibili tramite
QR code
digitale)
Tecnologia (con Green Book) + Disegno + Tavole + Laboratorio sperimentale STEAM
Tecnologia (con Green Book) + Disegno + Laboratorio sperimentale STEAM
Tecnologia (con Green Book) + Disegno + Tavole
ISBN 978-88-472-4123-7 Tecnologia (con Green Book) + Disegno
ISBN 978-88-472-4127-5 Laboratorio sperimentale STEAM
ISBN 978-88-472-4124-4 Edizione compatta (con Green Book)
ISBN 978-88-472-4125-1 Edizione compatta (con Green Book) + Tavole
ISBN 978-88-472-4126-8 Volume Didattica inclusiva
Il corso è disponibile anche nella modalità di tipo c (solo digitale) su www.scuolabook.it
Risorse digitali
Contenuti e strumenti di condivisione, per la lezione in classe e a casa.
Alta leggibilità
Testo modificabile, dizionario integrato, servizio traduzione.

Audiobook
Audiolibro integrale curato da speaker professionisti.
QR code
Attivazione di risorse e strumenti tramite smartphone o tablet.
