
RIGENERAZIONE FUNZIONALE E ARCHITETTONICA
DELL’AMBITO URBANO DI PIAZZALE PAPA GIOVANNI XXIII
(CATTEDRALE DI CRISTO RE) E PIAZZA EUROPA, NELLA CITTÀ DELLA SPEZIA
STUDIO DI FATTIBILITÀ DOCUMENTO PRELIMINARE

![]()



Progettista: Arch. Sergio Beccarelli
Arch. Federico Mazza
Arch. Marco Bondani
Arch. Matteo Mascia
Arch. Roberto Gasparini
Arch. Luca Fornaciari
Arch. Michele Ascari
Arch. Sarah Rinaldi
Arch. Manuele Camorali
Dott. Elisa Bertuzzi
Geom. Michele Devincenzi
Geom. Andrea Passera
Prof. Ing. Luciano Messori
Ing. Giovanni Brianti
Geom. Adriano Figone

COMUNE DELLA SPEZIA
Vicesindaco: Arch. Cristiano Ruggia
Direttore del Dipartimento IV-Programmazione Territoriale: Arch. Emilio Erario
CONSIDERAZIONI INTRODUTTIVE E METODOLOGICHE
1. LE STRATEGIE SOSTENIBILI per la rigenerazione urbana e sociale
2. LA CONOSCENZA dello stato ambientale del contesto urbano di riferimento
3. GLI OBBIETTIVI attesi con l’attuazione del progetto di rigenerazione
4. GLI INDIRIZZI PROGETTUALI individuazione degli ambiti progettuali omogenei per operare la riqualificazione funzionale, architettonica, paesaggistica e delle relazioni urbane dell’area
Piazzale Papa Giovanni XXIII
Perché intervenire su questo specifico ambito?
La singolarità funzionale e insediativa dell’area può rappresentare una reale opportunità per attivare un processo di rigenerazione dell’intera Città, avente quali principali obbiettivi l’affermazione e la tutela dei valori identitari e culturali, la promozione dell’integrazione sociale e delle relazioni intergenerazionali. In sintesi, in questo specifico contesto urbano, è possibile creare il luogo ove la persona e la stessa comunità, nella consapevolezza della sacralità dell’area, possono abbracciare simbolicamente l’intero paesaggio sociale e fisico del Golfo e vivere un’esperienza di reale alleanza tra ragione e fede. Una pausa architettonica nel cuore della Città, un luogo per promuovere il rinnovamento e la rigenerazione individuale e collettiva.


L’ambito urbano della Città della Spezia, che si estende dal promontorio posto a monte di Piazzale Papa Giovanni XXIII fino a Viale Italia in prossimità del lungo mare, riveste un’importanza sicuramente strategica, in quanto unico per potenzialità di funzioni e di relazioni urbane e finanche per valore storico, sociale ed identitario.
Si tratta di un luogo che per la sua singolarità evocativa ed insediativa potrebbe rappresentare un efficace e convincente paradigma per avviare e conseguire la rigenerazione dell’intera Città, attraverso l’affermazione e la tutela dei valori identitari e culturali, la promozione dell’integrazione sociale e delle relazioni intergenerazionali.
L’ambito oggetto del presente studio è circoscritto a Piazzale Papa Giovanni XXIII, seppure le analisi e le valutazioni sviluppate in questa sede afferiscono necessariamente all’intero contesto urbano di riferimento.
L’area d’intervento è di proprietà della Diocesi di La Spezia; in essa si erge la Cattedrale di Cristo Re. Obbiettivo dell’Amministrazione Comunale della Spezia è la creazione, nel rispetto della sacralità del Tempio liturgico della Cattedrale, di un luogo unico, ove promuovere molteplici e qualificanti relazioni individuali e collettive ed altresì offrire, in ragione della sua giacitura e della sua elevazione morfologica, un abbraccio percettivo complessivo e profondo dell’intero Golfo. Il percorso di definizione delle strategie progettuali finalizzate al conseguimento di questo obbiettivo deve ovviamente trovare piena condivisione con la Diocesi e con l’intera comunità cattolica spezzina. Scopo del presente documento è delineare un primo quadro organico ed integrato di indirizzi progettuali per attivare una fase dialettica e di confronto tra la Diocesi di La Spezia e l’Amministrazione Comunale, al fine di verificare la possibilità di condividere un percorso operativo finalizzato a restituire questo spazio alla piena fruibilità pubblica, in quanto oggi esso non appare più in grado di interagire positivamente con la propria comunità di riferimento.
Quali potrebbero essere le azioni con cui conseguire la complessiva rigenerazione funzionale ed architettonica dei molteplici ambiti che costituiscono l’ampia ed articolata area urbana afferente a Piazzale Papa Giovanni XXIII?
Per rispondere a questa domanda occorre affidarsi ad un’attenta e doverosa riflessione rispetto all’intima relazione funzionale e simbolica che intercorre tra i luoghi stessi oggetto di potenziale riqualificazione e la Cattedrale di Cristo Re dei Secoli.
La Cattedrale venne progettata nel 1956, dall’architetto razionalista Adalberto Libera che si avvalse delle potenzialità offerte dalla posizione del sito sopraelevato sulla vasta piazza, oggi piazza Europa, per enfatizzare la monumentalità dell’edificio religioso. Alla morte di Libera, nel 1963, l’edificio non risultava ancora terminato. La prosecuzione del progetto venne affidata all’architetto spezzino Cesare Galeazzi che operò apportando alcune variazioni. Nel 1975 i lavori si conclusero e la Cattedrale venne solennemente consacrata e intitolata a “Cristo Re dei Secoli”.
Il disegno architettonico dell’imponente edificio è fortemente caratterizzato dalla sua pianta circolare e dal paramento esterno, a forma di “iperboloide”, chiuso e senza aperture.
L’ampio sagrato, in parte a giardino, è rivolto principalmente a monte e su di esso si aprono tre portali di accesso.
L’interno è caratterizzato da un’unica aula a pianta centrale che può contenere fino a 2.500 persone. L’interno riceve luce dall’occhio posto al centro dell’ampia cupola sostenuta da dodici poderose colonne simboleggianti gli Apostoli.
I 12 pilastri, sono realizzati in calcestruzzo armato del diametro di 1 m e di altezza pari a 8 m, sui cui si scarica il peso complessivo della copertura a tamburo, realizzata in calcestruzzo armato del diametro di 50 m.
Una seconda fonte di luce proviene da una vetrata lungo la fascia perimetrale della sala. La pavimentazione in marmo bianco e grigio, in leggero declivio, converge verso l’altare centrale in marmo bianco, mentre il presbiterio, pavimentato in marmo rosso, è leggermente sopraelevato.
La cripta è un ambiente a volta; in essa sono conservati il reliquiario di San Venerio e le tombe della mistica spezzina Itala Mela e dei primi vescovi della diocesi, monsignor Giovanni Costantini (vescovo dal 1929 al 1943) e monsignor Giuseppe Stella (1898-1989, vescovo dal 1943 al 1975); in un ambiente collegato alla sacrestia della cripta si trova anche la tomba del terzo vescovo, Mons. Siro Silvestri (1913-1997, vescovo dal 1975 al 1989). Nel piano inferiore alla cattedrale, si trova un ampio salone per conferenze. Il progetto della Cattedrale fu concepito pochi anni prima del Concilio Vaticano II, i cui lavori si estesero temporalmente dal 1962 al 1965, sotto i pontificati di Giovanni XXIII e Paolo VI. L’architettura della Chiesa risente in parte della mancata rispondenza ai nuovi canoni stabili dal Concilio ecumenico. L’impianto complessivo, infatti, si configura ancora in termini fortemente monumentali e l’area del sagrato non sembra capace di esprimere pienamente valori significativi, quali quello della “soglia”, dell’accoglienza e del rinvio, ovvero interpretare la funzione di tramite e di filtro (non di barriera) nel rapporto con il contesto urbano1. La riconoscibilità dell’edificio per il culto non è neppure contraddistinta da adeguate pause architettoniche (sagrato, giardino, cortile) contenenti elementi evocativi che orientino tematicamente e plasticamente allo spazio ecclesiale, così come espressamente indicato dai nuovi indirizzi ecumenici2. Ed ancora: “…Lo spazio interno di una chiesa ha certamente un’importanza prioritaria, dal momento che esso trascrive architettonicamente il mistero della Chiesa-popolo di Dio, pellegrino sulla terra e immagine della Chiesa nella sua pienezza. D’altra parte, una valida e concreta interpretazione dei rapporti interno-esterno ed edificio-contesto costituisce una delle acquisizioni più profonde della coscienza critica dell’architettura contemporanea. Il rapporto tra chiesa e quartiere ha valore qualificante rispetto a un ambiente urbano non di rado anonimo, che acquista fisionomia (e spesso anche denominazione) tramite questa presenza, capace di orientare e organizzare gli spazi esterni circostanti ed essere segno della istanza divina in mezzo agli uomini. Ciò significa che il complesso parrocchiale deve essere messo in relazione ed entrare in dialogo con il resto del territorio, deve anzi arricchirlo3 …”.
Sono molti, pertanto, gli spunti di riflessione che porterebbero ad auspicare la realizzazione, quanto prima, di un quadro complessivo di interventi, vocati sia a conseguire una maggiore rispondenza della stessa Cattedrale all’idea olistica di edificio cultuale ecclesiale così come delineato dal Concilio Vaticano II, sia a consentire la contemporanea risoluzione qualificante del relativo spazio urbano, oggi sostanzialmente privo di identità.
Le parole del “Sacrosanctum Concilium” al Cap. VII. (L’arte sacra e le sacre suppellettili) recitano testualmente:
“…La Chiesa non ha mai avuto uno stile d’arte suo proprio ma ha ammesso i moduli di ogni epoca secondo l’indole e le situazioni dei Popoli e secondo le esigenze dei vari Riti, producendo nel corso dei secoli un tesoro d’arte da tutelare con ogni cura. Anche l’arte dei nostri tempi, d’ogni popolo e paese, abbia nella Chiesa libertà operativa purché serva con la dovuta riverenza e il dovuto onore ai sacri edifici e ai sacri riti…”.
Questo preciso e puntuale indirizzo, declinabile anche nel caso specifico, esorta ad intervenire rispettando la sacralità dell’edificio per il culto, senza rinunciare ad una “libertà operativa”, in grado di contemplare, senza alcuna preclusione, un linguaggio architettonico e compositivo contemporaneo. Agire nel rispetto di questa specifica condizione operativa, consentirà di evitare l’affermarsi di soluzioni formali spesso orientate erroneamente alla ricerca di una rassicurante sociologia religiosa (la visibilità nella città, l’accoglienza universalistica…), ovvero di una più articolata psicologia religiosa (il silenzio, la trascendenza, la preghiera individuale…).
In una nota pastorale della Commissione episcopale per la Liturgia CEI a vent’anni dalla Costituzione Conciliare Sacrosanctum Concilium, è possibile leggere: “…Una chiesa è un luogo vivo per uomini vivi, essa vive della stessa loro vita. Creatività e conservazione, adattamento nella salvaguardia; sono questi i criteri che dovranno guidare i tentativi di quanti s’impegnano nella risistemazione di antichi spazi e ambiti per il culto, allo stesso modo che nella creazione di nuove strutture….”
Il passaggio dal significato delle parole al segno costruito, attraverso le nozioni di equità, equilibrio, dignità, socialità, opportunità, integrazione, vuole dare ordine a un luogo oggi colpevolmente inascoltato ma con grandi potenzialità per la città e per le persone. E’ questo lo spirito con cui è stato redatto questo studio, nella consapevolezza sia della complessità del tema e della scala territoriale dell’intervento, sia dell’eterogeneità delle varie istanze che convergono legittimamente sull’area oggetto di potenziale rigenerazione, sia della forte responsabilità sociale e culturale che deve essere assunta da chi avrà il compito di mediare la formulazione delle strategie per conseguire la migliore “Rigenerazione funzionale e architettonica dell’ambito urbano di Piazzale Papa Giovanni XXIII (Cattedrale di Cristo Re dei Secoli ) e Piazza Europa, nella Città della Spezia”.
Sergio Beccarelli
1 Da “La Progettazione di nuove Chiese - Parte Prima”. La chiesa come casa del popolo celebrante.
20 Il sagrato. E’ questa un’area molto importante da prevedere in quanto capace di esprimere valori significativi: quello della “soglia”, dell’accoglienza e del rinvio; per questo, si può anche prevedere che sia dotata di un porticato o di elementi similari. Talvolta può anche essere luogo di celebrazione, il che richiede che il sagrato sia riservato ad uso esclusivamente pedonale. Deve tuttavia mantenere la sua funzione di tramite e di filtro (non di barriera) nel rapporto con il contesto urbano.
2 Da “La Progettazione di nuove Chiese - Parte Seconda”. Il cantiere della Chiesa 24 La riconoscibilità della chiesa - Nella fase di ideazione di una chiesa, insieme a quella delle altre costruzioni ad essa collegate (ad esempio le opere pastorali), si fanno evidenti due esigenze prioritarie:
• La progettazione globale dell’area in cui la chiesa, pur dialogando con essi, non si deve confondere con gli altri edifici:
• La riconoscibilità dell’edificio per il culto che va assicurata non tanto attraverso segni aggiuntivi (insegne, luci, scritte) ma, nei limiti del possibile, attraverso adeguate pause architettoniche (sagrato, giardino, cortile) contenenti elementi evocativi che orientino tematicamente e plasticamente allo spazio ecclesiale, senza attardarsi dietro scenografie o allegorismi discutibili. Al riguardo un’attenta ricognizione storico-architettonica può offrire spunti e suggestioni da tener presenti, senza limitare la ricerca creativa di nuove soluzioni.
3 Da “La Progettazione di nuove Chiese. Parte Prima”. La chiesa come casa del popolo celebrante.
6 La chiesa nel contesto urbano
Il documento preliminare, sviluppato in questa sede, presenta un’articolazione argomentativa caratterizzata da specifiche sezioni di approfondimento, la cui sequenzialità espositiva consente di operare una puntuale valutazione dell’intero processo metodologico applicato nelle fasi di analisi e di formulazione di un primo quadro organico ed integrato d’indirizzi progettuali.
Più precisamente, la struttura metodologica, afferente al presente compendio tecnico, risulta articolata nelle seguenti quattro sezioni di approfondimento:
• Capitolo 1: “Le strategie sostenibili per la rigenerazione urbana e sociale”, viene indagato il concetto di rigenerazione che si intende applicare nel futuro sviluppo della Studio di Fattibilità per la definizione delle strategie progettuali. Sulla base della definizione di rigenerazione urbana si è cercato di identificare quali funzioni il luogo potrebbe ospitare in modo da cogliere quelle opportunità di sviluppo per la comunità locale che ad oggi non risultano completamente esaurite nell’assetto urbano attuale. Sono stati indagati alcuni aspetti relativi alle dinamiche sociali in atto quali i flussi crocieristici, l’indotto legato al turismo, l’offerta culturale della città.
• Capitolo 2: “La conoscenza dello stato ambientale del contesto urbano di riferimento” si apre con l’analisi del Piano Urbanistico Comunale (P.U.C.) e del sistema dei vincoli paesaggistici con cui gli indirizzi progettuali potrebbero interagire. Viene, poi, definita la caratterizzazione delle matrici ambientali biotiche, abiotiche, antropiche e degli ecosistemi, in cui si da riscontro delle principali caratteristiche morfologiche, della suscettibilità alle modificazioni, un inquadramento vegetazionale e climatico. Si passa, quindi, alla analisi del paesaggio e del contesto urbano e delle relazioni di intervisibilità in cui si inquadra l’ambito dal punto di vista storico e di relazioni percettiva da e verso l’ambito. Infine, verranno indagate le relazioni di mobilità e di accessibilità. Il capitolo si chiude con la puntuale descrizione dell’area di intervento attraverso un “report fotografico” eseguito con il sopralluogo del 03.12.2015;
• Capitolo 3: “Gli obbiettivi attesi con l’attuazione del progetto di rigenerazione”: vengono esplicitati gli obiettivi degli indirizzi progettuali, declinati sia ad un livello strategico che ad un livello specifico, calato cioè nella peculiarità dell’ambito di studio.
• Capitolo 4 “Gli indirizzi progettuali individuazione degli ambiti progettuali omogenei per operare la riqualificazione funzionale, architettonica, paesaggistica e delle relazioni urbane dell’area”: vengono definiti gli ambiti progettuali di intervento che risultano così suddivisi: ambito progettuale n.1: Piazzale Papa Giovanni XXIII – La porta urbana di Ponente; ambito progettuale n.2: Piazzale Papa Giovanni XXIII – Il sagrato del Golfo; ambito progettuale n.3: Piazzale Papa Giovanni XXIII – Il sagrato del Colle; ambito progettuale n.4: La risalita al Parco delle Mura.
LE STRATEGIE SOSTENIBILI per la rigenerazione urbana e sociale
Avvicinarsi alla tematica progettuale dello “Spazio Urbano” implica un approccio metodologico che non può limitarsi alla mera ricerca ed applicazione delle migliori risposte progettuali, gestionali e funzionali, ma che deve necessariamente affidarsi ad una nuova cultura del progetto nell’ottica di una trasformazione che fa acquisire allo spazio pubblico il significato che da sempre lo caratterizzava nella città storica: luogo di incontro, di socializzazione, di avvenimenti quotidiani, di riconoscibilità e di identità. Si tratta quindi di definire delle azioni volte a restituire al luogo dignità e senso in modo da stimolarne usi, appropriazioni e socialità e fornire le basi per una vita di “comunità”. L’antropologo Marc Augé attribuisce ad un luogo tre caratteristiche essenziali: essere identitario, in grado quindi di individuare l’identità di chi lo abita, essere relazionale, stabilendo una reciprocità dei rapporti tra gli individui funzionale ad una comune appartenenza, essere storico, mantenendo la consapevolezza delle proprie radici in chi lo abita. Le scelte progettuali devono, pertanto, favorire lo sviluppo di un’autentica operazione di rigenerazione urbana, la cui attuazione deve necessariamente confidare in un quadro organico ed integrato di azioni, anche partecipate, in grado di interagire efficacemente con gli ulteriori indirizzi progettuali programmati dall’Amministrazione Comunale o da altre realtà sociali, religiose, culturali e imprenditoriali attive sul territorio; sul modello di quanto sta avvenendo, con successo, in numerose città europee, indipendentemente dall’importanza territoriale e dall’incidenza demografica di riferimento. Il termine rigenerazione va qui inteso come qualificazione non solo fisica, ma anche culturale, sociale ed economica in modo da cogliere pienamente questa opportunità per la città, attualmente sofferente anche per mancanza di funzioni ed opportunità aggregative realmente efficaci a consolidarne la struttura sociale.
L’unione Europea riveste oggi un ruolo importante sul tema della rigenerazione urbana, come dimostra ad esempio la Dichiarazione di Toledo (2010), in cui si raccomanda esplicitamente ai governi dell’Unione di aumentare la vivibilità, l’attrattività, la competitività e la sostenibilità attraverso una serie di azioni come l’implementazione di strategie eco-efficienti (riuso aree libere o inutilizzate, “inverdimento”) e un’opportuna dotazione di spazi pubblici. Sul concetto di vivibilità è importante sottolineare come esso comprenda un ampio range di fattori, tra cui anche il benessere fisico e psicofisico. In particolare l’idea di Community Livability (vivibilità comunitaria) si riferisce alla qualità sociale e ambientale di un’area come percepita da chi la vive e considera aspetti quali: la sicurezza, il benessere, la qualità ambientale e delle interazioni sociali, l’opportunità per attività creative e di intrattenimento. Per raggiungere questi obbiettivi non è sufficiente il puro e semplice disegno urbano ma si necessita di approcci integrati e diretti ad intervenire non solo sullo spazio fisico, ma anche sulle questioni sociali ed economiche. In coerenza con le strategie comunitarie, è possibile riscontrare, anche nell’ambito delle politiche programmatiche per il governo del territorio regionali e provinciali, una forte coincidenza di obbiettivi. Ne è la prova il Piano Territoriale di Coordinamento Paesistico della Regione Liguria (PTCP), che individua, quale strategia regionale per la caratterizzazione di un luogo, la definizione di tre categorie di obiettivi, la cui natura risulta perfettamente coerente con gli indirizzi comunitari, e più precisamente:
• Fruizione: intesa come fruizione estetica, per la quale il territorio costituisce oggetto di contemplazione, e come fruizione attiva, per la quale esso è teatro di attività ludiche o ricreative.
• Identificazione: con due ordine di obiettivi, strettamente interdipendenti.
Quelli che hanno a che fare con l’identità del territorio, quale deriva dalla riconoscibilità dei suoi specifici caratteri riferibili sia al paesaggio naturale, sia ai segni che vi ha impresso l’uomo attraverso la storia e quelli che hanno a che fare con il senso di appartenenza che l’uomo prova nei confronti dell’ambiente nel quale vive, quando tale ambiente gli si presenta come accogliente e amichevole.
I processi di identificazione sono processi complessi che investono la sfera dei rapporti tra uomo e ambiente, e in particolare i meccanismi attraverso i quali una determinata comunità attribuisce un senso, un valore simbolico o affettivo, oltre che funzionale ed economico, ai luoghi.
Questo ha una forte relazione con la costruzione dell’identità del luogo e della sua riconoscibilità.
• Stabilità: Il ricorso al concetto di stabilità istituisce una precisa connessione tra la pianificazione paesistica e l’ecologia, attribuendo quindi una dimensione “ambientale”, in senso lato, alla nozione stessa del paesaggio. Questa nozione nella pianificazione paesistica, deve essere applicata al sistema uomo-ambiente, considerando l’attività dell’uomo come un fattore ecologico. A livello locale il nuovo assetto urbanistico del territorio spezzino suggerisce, per quanto possibile, di assecondare i processi di saturazione e trasformazione della zona urbanizzata nella logica della riqualificazione dei tessuti esistenti, calibrando ogni modalità trasformativa al perseguimento di migliori condizioni urbanistiche e ambientali.
L’immagine della Spezia, che si percepisce dagli obbiettivi nel Piano Urbanistico Comunale (PUC), è quella di una città che deve necessariamente “ri-fondarsi” sulla specificità delle risorse locali, valorizzate all’interno di un diverso modello di sviluppo con più vocazioni e specificità.
Per esempio quella di essere città di servizi. Servizi alle imprese, ma anche servizi alle persone, nel campo della formazione professionale, culturale, della ricettività, delle tecnologie, della logistica evoluta e dell’ambiente. Le strategie territoriali avanzate dal PUC, nella direzione dell’attenzione alle problematiche dello sviluppo sostenibile, promuovono politiche di rigenerazione ecologica della città e strategie di sviluppo qualitativo che sono strettamente legate al miglioramento della qualità della vita per tutti gli abitanti.
Risulta utile, ai fini della corretta definizione degli indirizzi progettuali, approfondire il tema della presenza nella città della Spezia di spazi ad uso pubblico, di attività ricettive e di servizi alla cultura anche con riferimento al tema del turismo e della fruibilità dei flussi turistici, peculiari di una città di mare. Analizzando il bacino di domanda potenziale di spazi a uso pubblico della Spezia possiamo notare come esso sia costituito dalla popolazione residente del comune, che registra una crescita demografica vissuta dalla popolazione della Spezia a partire dal 2001 e che attualmente si attesta sui 93.990 abitanti, ma anche dai turisti e dai visitatori che
fanno tappa sempre più numerosi. Una componente di questi ultimi in rapidissima crescita è costituita dai passeggeri delle navi da crociera in transito dal porto della città.
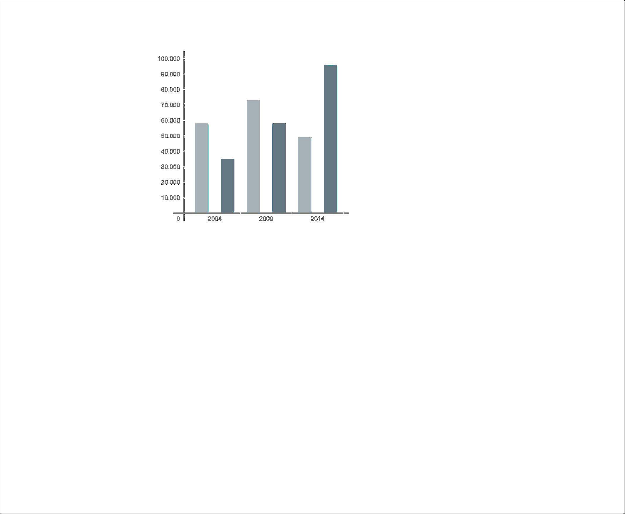
Il movimento turistico negli esercizi ricettivi della Spezia dal 2004 al 2014 ha visto un incremento sia degli arrivi, da 96.748 nel 2004 a 151.914 nel 2014, che delle presenze, da 187.143 nel 2004 a 286.821 nel 2014, registrando un netto aumento dei visitatori stranieri (35.747 arrivati nel 2004, 98.759 arrivati nel 2014) che rappresentano il 66,9% delle presenze totali. In particolare il porto della Spezia ha registrato nel 2014, una movimentazione di 483.564 passeggeri, circa il doppio dell’anno precedente (213.858 passeggeri), prevedendone 650.000 al 2015. L’afflusso turistico si concentra maggiormente nel periodo estivo (51,2%), seguito dai mesi che si susseguono da Novembre a Febbraio (34,3%) e infine dalla stagione “spalla” (14,5%).
Per quanto riguarda invece l’offerta delle strutture destinate all’arricchimento culturale extra-scolastico e allo svago della popolazione si può riscontrare come la città abbia un debito nei confronti della cultura e dello spettacolo e a tale proposito risulta emblematico come diversi spazi, siano stati soppiantati da altre attività (un supermercato, un parcheggio, una sala bingo). Si cita per importanza il Cinema Teatro Monteverdi demolito tra le molte polemiche dei cittadini.
Attualmente gli spazi più importanti dedicati all’incontro, alla relazione, alla socialità e alla cultura riguardano la sfera teatrale e quella musicale, tuttavia esiste una domanda almeno in parte inevasa di luoghi dove praticare tali discipline.
Analizzando lo stato della città è possibile riscontrare dal sito della Federazione Italiana Teatro Amatori che le compagnie teatrali della provincia della Spezia affiliate sono complessivamente 7.
Inoltre, sussiste una “Società dei concerti” fondata nel 1919 e rifondata nel 1969 che svolge diverse importanti attività sul territorio. In particolare la stagione invernale, il festival internazionale del jazz, il festival paganiniano di Carro e diversi concerti estivi (cui fa capo la rassegna I luoghi della Musica).
Il Festival internazionale di jazz, fondato nel 1969, è il più longevo festival jazz italiano; l’edizione del 2015 (25 giugno - 5 luglio) comprendeva 3 date a Porto Venere, una a Monterosso e 7 alla Spezia, dove erano in cartellone un totale di 14 esibizioni in vari punti della città (Palco della Musica, Teatro Civico, Porto Mirabello, Piazza Mentana, Auditorium della Marineria, BOSS Centro Allende, Fondazione Carispezia).
In più ,ogni anno, viene tenuta una rassegna di concerti estivi giunta alla XXI edizione: nel 2015 36 concerti in 16 comuni (location varie: nel 2015 a La Spezia il sagrato della Chiesa dei S.S. Giovanni e Agostino e il cortile interno di Palazzo Calderai).
L’ambito musicale è significativo per la città. L’insegnamento della musica inizia al Liceo Musicale Cardarelli e prosegue al Conservatorio di Musica Giacomo Puccini che attualmente ospita corsi di primo e secondo livello oltre a possedere una forte scuola di jazz.
Il Circolo Culturale G. Fantoni Lunigiana infine occupa un ruolo importante nella vita culturale cittadina.
Gli spazi ad oggi disponibili per svolgere tutte queste attività risultano troppo carenti e sono:
• il Teatro civico;
• il Centro culturale giovanile e multimediale Dialma Ruggiero con posizione piuttosto decentrata che ha una capienza di 150 posti e attualmente ospita una compagnia teatrale residente che organizza anche laboratori teatrali; una scuola di musica che organizza corsi di strumento, canto, coro; vari corsi di danza.
• la Sala Dante (210 posti);
• il Centro Salvador Allende (100 posti);
• l’Urban Center (50 posti);
• il Cinema Teatro Don Bosco (450 posti) che sorge nei locali dell’Istituto Salesiano ed è sede di una scuola di teatro e di una compagnia teatrale.
La scarsa caratterizzazione del sistema turistico e le poche opportunità offerte per l’intrattenimento e lo svago, più che punti deboli possono essere visti come lacune da colmare. La rigenerazione urbana può diventare quindi anche strategia per l’aumento di competitività intesa come accresciuta capacità di attrarre turismo, di inserirsi nel circuito dei convegni, delle mostre, degli eventi sportivi o dello spettacolo, sia musicale che teatrale.
MOVIMENTO TURISTICO NEGLI ESERCIZI RICETTIVI DELLA SPEZIA DAL 2004 AL 2014 (fonte: Provincia della Spezia)
RESIDENTE ALLA SPEZIA DAL 1951 AL 2015 (fonte: ISTAT)
A partire dal 2001 la popolazione residente alla Spezia ha registrato una crescita demografica e attualmente si attesta sui 93.990 abitanti

ANDAMENTO DEGLI ARRIVI NEGLI ESERCIZI RICETTIVI DELLA SPEZIA DAL 2004 AL 2014 PER PROVENIENZA DEI VISITATORI (fonte: Provincia della Spezia)

ARRIVI NEGLI ESERCIZI RICETTIVI DELLA SPEZIA AL 2014 PER PROVENIENZA DEI VISITATORI (fonte: nostre elaborazioni su dati della Provincia della Spezia)
I visitatori stranieri, (35.747 arrivati nel 2004, 98.759 arrivati nel 2014), costituiscono il 65% degli arrivi totali presso gli esercizi ricettivi della Spezia.
Il movimento turistico negli esercizi ricettivi della Spezia ha subito un incremento sia degli arrivi, da 96.748 nel 2004 a 151.914 nel 2014, sia delle presenze, da 187.143 nel 2004 a 286.821 nel 2014

NEGLI

RICETTIVI DELLA SPEZIA AL 2014 PER PROVENIENZA DEI VISITATORI (fonte: nostre elaborazioni su dati della Provincia della Spezia)
Il movimento turistico negli esercizi ricettivi della Spezia, dal 2004 al 2014, ha visto un incremento delle presenze di turisti stranieri, (71.794 nel 2004, 191.834 nel 2014),che rappresentano il 66,9% del totale.
2.1 ANALISI DEGLI STRUMENTI DI PIANIFICAZIONE E DEL SISTEMA DEI VINCOLI AMBIENTALI E PAESAGGISTICI DELLE TUTELE

1. Cattedrale di Cristo Re
2. Centro storico
3. Stazione F.S.
4. Castello di S.Giorgio
5. Futura interfaccia città-mare
6. Arsenale militare
7. Giardini pubblici
8. Porto commerciale
9. Ospedale S.Andrea
10. Tribunale
11. Stadio A.Picco
12. Porto Mirabello

Sistema dell’accessibilità territoriale e dei luoghi notevoli
L’ambito urbano d’interesse si colloca nel quadrante centrale della Città della Spezia e si sviluppa con una profondità territoriale che si estende dal promontorio posto a monte di Piazzale Papa Giovanni XXIII, fino a Piazza Europa, in prossimità del lungo mare, ove trovano altresì collocazione importanti polarità sociali, quali: il circolo velico e la Passeggiata Costantino Morin; quest’ultima collegata direttamente agli storici Giardini Pubblici. In questo specifico contesto insediativo si riscontra la presenza di un’estesa area portuale, anch’essa oggetto di un importante programma di riqualificazione, che prevede la promozione, in luogo dell’attuale destinazione commerciale, di una nuova funzione turistico-ricettiva, al fine di migliorare e potenziare
l’offerta di servizi nei confronti della sempre più incisiva domanda croceristica interessata ad accedere ed a fruire della Città e del territorio circostante. L’ambito riveste un’importanza sicuramente strategica, in quanto unico per potenzialità di funzioni e di relazioni urbane e finanche per valore sociale ed identitario. In esso trovano ubicazione e prossimità insediativa le principali architetture funzionali ai luoghi del governo e della rappresentanza civile, quali: le sedi del Municipio, della Provincia, della Regione, del Corpo Forestale dello Stato; sempre in questo contesto si afferma, con una particolare configurazione morfologica e simbolica, la Cattedrale di Cristo Re. L’area è altresì interessata da uno strategico e diffuso sistema di assi urbani funzionali sia al trasporto pubblico (ATC – Bike Sharing), che privato.
Il Piano Urbanistico Comunale in vigore dal 17.01.2007 a cui sono state apportate varianti con Delibera di C.C. n.3 del 22.01.2010 e con Delibera di C.C. n.35 del 10.10.2011 individua le aree di interesse come
• Zona a verde attrezzato, sportivo e di relazione con il mare (piazza Europa);
• Zone per l’istruzione e attrezzature civili e religiose (la Cattedrale e i luoghi per il culto);
• Servizi pubblici e di interesse urbano (il sagrato e aree di connessione);
• Tessuto ortogonale recente (gli spazi commerciali e ricettivi);
• Edifici isolati di valore storico, architettonico e/o documentario (la Cattedrale di Cristo Re).

Sono stati, inoltre, verificati i vincoli di natura paesaggistica ai sensi del D. Lgs 42/2004 e ss. mm. e ii. ed è stato possibile individuare il vincolo ai sensi dell’art. 142 comma a) “i territori costieri compresi in una fascia della profondità di 300 metri dalla linea di battigia, anche per i terreni elevati sul mare.” Tale vincolo impone, per qualsiasi azione di trasformazione, la necessità di acquisire specifica autorizzazione paesaggistica, come definito dall’art. 146 del D. Lgs 42/2004 e ss. mm. e ii., previa redazione della Relazione Paesaggistica ai sensi del DPCM 12/12/2005.

Il golfo della Spezia si presenta con una forma a ferro di cavallo, orientata in senso appenninico NW-SE, con dislivelli molto accentuati specialmente lungo i versanti orientale ed occidentale prospicienti il golfo. Specialmente il margine occidentale presenta dislivelli notevoli compresi tra i 500 ed i 700 metri sul livello del mare in pochi chilometri lineari, mentre per il versante orientale si registrano dislivelli medi dell’ordine dei 100 metri. Con un estensione approssimativa valutabile nell’ordine dei 25 km2 da Punta della Castagna a Punta di Maralunga, il golfo della Spezia rappresenta una importante incisione della linea di costa del Mar Ligure. La linea di costa si presenta notevolmente frastagliata con numerose incisioni di origine fluviale che spesso portano in affioramento i termini più antichi presenti nell’area. Le incisioni da modeste a profonde presentano orientazioni antiappenniniche SW-NE nel settore sud-occidentale, E-W in quello orientale e settentrionale ed appenniniche NW-SE nel settore nord orientale. Solamente nel settore settentrionale (centro urbano della Spezia) i dislivelli risultano più dolci con ampie depressioni orientate NW-SE (settore occidentale della città della Spezia) e WSW-ENE (settore orientale). Nonostante la notevole antropizzazione che ha interessato il territorio è ancora facilmente individuabile l’originaria linea di costa, profondamente incisa da un reticolo idrografico molto sviluppato, che comprende circa 30 bacini idrografici principali e numerosi sotto bacini caratterizzati da corsi d’acqua minori. Nonostante gli importanti processi erosionali che hanno interessato l’area, sono ancora ben visibili le orientazioni principali delle linee di cresta dei principali rilievi, che rappresentano le linee spartiacque dei reticoli idrografici.
Sotto il profilo geomorfologico, lo strumento urbanistico locale (PUC) articola il comune della Spezia in quattro sistemi:
1) le colline di Pitelli …
2) San Venerio - Mont’Albano - Castellazzo ...
3) il crinale di Portovenere …
4) le aree pianeggianti sulle quali la città ha impostato le sue fondamenta si articolano in tre bacini principali: il primo forma la piana del torrente Lagora, che raccoglie le acque provenienti da Biassa e dal bacino della Chiappa; il secondo è costituito dalla piana di Migliarina dove sfociano alcuni torrenti, l’Ora, il Cappelletto, le due Dorgie Vecchia e nuova; il terzo è il bacino di Melara con il canali che confluivano nella piana degli Stagnoni poi di Fossa Mastra, provenienti dalle colline di Pitelli e dal versante di San Venerio - Brigola. I suoli sono formati da depositi alluvionali terrazzati nella parte pedemontana, da depositi lacustri nelle zona degli Stagnoni e da depositi marini sulla linea litoranea.
La “Carta di zonizzazione e di suscettibilità d’uso del territorio” suddivide il territorio in classi di utilizzo che raggruppano aree omogenee per caratteristiche e problematiche geologico-tecniche. Il territorio comunale è stato suddiviso in tre tipologie di suscettibilità d’uso: ampia, condizionata, limitata, ad ognuna delle quali corrisponde un livello di pericolosità crescente. Dette tipologie sono ulteriormente suddivise in classi, a ciascuna delle quali sono attribuite determinate caratteristiche di suscettibilità d’uso , nello specifico delle aree in oggetto sono presenti le seguenti categorie: a) Suscettibilità d’uso ampia (A). Comprende le aree con un livello di pericolosità basso, con limitati condizionamenti di ordine geologico in senso

Carta geomorfologica
lato per interventi mediamente o notevolmente incidenti sull’attuale assetto; b) Suscettibilità d’uso condizionata (C). Comprende le zone cui è stato assegnato un livello di pericolosità medio, dove sono presenti situazioni geologico-tecniche affette da fenomeni di instabilità superficiale, o apparentemente stabili, sulle quali permangono dubbi, che dovranno essere chiariti a livello di indagine geognostica di supporto alla progettazione edilizia. La suscettibilità d’uso condizionata è stata distinta in quattro classi, di cui due ricadente nell’area oggetto di studio: aree con condizionamenti di ordine geologico in senso lato eliminabili con interventi di bassa difficoltà ed onerosità (C0); aree con condizionamenti di ordine geologico in senso lato eliminabili con interventi di medio-bassa difficoltà ed onerosità (C1).
Per quanto riguarda la grande potenzialità paesaggistica del Golfo e cioè la presenza e l’affaccio della città sul mare Ligure, l’ambiente marino ligure rappresenta una realtà estremamente diversificata e peculiare nel panorama mediterraneo. Il mar Ligure è un mare notoriamente “oligotrofico”, con acque cioè generalmente povere di sostanze nutrienti (nitrati, nitriti, fosfati), che sono alla base della catena alimentare e quindi della produttività di un mare: tale carenza è dovuta alla mancanza, come si è potuto dimostrare precedentemente, di grandi corsi d’acqua e spiega come quello Ligure rappresenti un mare in generale scarsamente pescoso. D’altra parte ciò garantisce un’elevata capacità di assorbimento e metabolizzazione degli apporti di sostanza organica (dovuta agli scarichi civili) senza i rischi di fenomeni di eutrofizzazione delle acque, così problematici in altre regioni.
Per meglio completare l’approfondimento circa il paesaggio naturale dell’ambito del Golfo della Spezia, è da sottolineare come l’assetto vegetazionale ed ecosistemico dell’ambito territoriale paesistico sia composto dai seguenti biotopi:
1) i boschi che rappresentano un ecosistema caratterizzato da ricche e articolate comunità viventi (biocentesi), influenzate e regolate da fattori ecologici naturali e indotti (biotopo). Il bosco climax tipico è quello di leccio che, tuttavia, come bosco puro, è riscontrabile solo in forme relittuali, mentre risulta assai più frequente in consociazione ad altre piante forestali e agrarie, segno che il territorio ha subito nutrite modificazioni. La maggior parte dei boschi sono di conifere, rappresentate da popolamenti di pinus pinaster (piante non autoctone introdotte dall’uomo) che, pur avendo una grande velocità di colonizzazione, non rappresentano mai un bosco durevole a causa dell’ estrema fragilità biologica. Gli esemplari di castagno sono perfettamente integrati nell’ ambiente e rappresentano il frutto di disseminazioni spontanee recenti e di immissioni passate a scopi agricoli, oggi abbandonate; 2) la macchia è rappresentata da formazioni vegetali a boscaglia sempreverde, fitte fino a diventare inestricabili, nelle quali predominano sufrittici, arbusti e piccoli alberi, in una associazione più o meno duratura di transizione a forme di climax diverse;
3) l’ambiente della costa a diretto contatto con il mare è di notevole importanza dal punto di vista biologico, per la rarità delle specie presenti. Le aree verdi urbane sono in parte riconducibili al verde privato (giardini e orti) e al verde stradale (filari di arredo stradale, aree di svincolo, rotonde...) ed in parte a spazi più ampi interessati da parchi di quartiere con funzione di socializzazione e fruizione ludico-sportiva.
L’attuale configurazione del verde urbano della città della Spezia è costituita da quattro principali nuclei: i giardini storici, il parco della Maggiolina, il parco di Gaggiola e il parco del Colombaio. Il parco della Maggiolina, frutto del piano Moroni, è la principale risorsa di verde urbano dell’area di levante e costituisce un cruciale elemento di connessione ambientale tra i tessuti del “Area Centrale” e il sistema della Piana di Migliarina.

Il parco si interrompe attualmente in corrispondenza di via del Canaletto, lungo una delicata “linea di contatto” tra l’insediamento urbano consolidato su maglia ortogonale e l’unità insediativa Canaletto-via Carducci, soglia oltre la quale è predominante l’immagine tipica del “non finto” periferico. Il parco di Gaggiola (parco della Rimembranza-anfiteatro di viale Alpi) e il parco del Colombaio sono i due elementi attualmente esistenti del “Parco delle Mura”, già configurato dal pre-vigente P.R.G.:
- come sistema di cintura ambientale tra tessuti urbani centrali e sistema extraurbano;
- come elemento di connessione verde delle unità insediative Centro Storico, Colli, Vicci-Quartiere Umbertino, Fossitermi-Scorza, Chiappa-Rebocco, Pegazzano-Buggi, ordito lungo il percorso tracciato dalle monumentali mura ottocentesche;
- come unificazione “alta” dei servizi della fascia collinare dal polo università-cattedrale-castello di S. Giorgio al polo parco del Colombaio-Stadio Comunale.
La città della Spezia gode di un clima temperato caldo, di tipo mediterraneo. L’azione mitigatrice del mar Ligure e dello scirocco proveniente dall’Africa garantiscono inverni miti, tuttavia non sono infrequenti le incursioni di aria fredda di origine balcanica proveniente dai valichi comunicanti con la Pianura Padana che si trovano alle spalle della città che fanno abbassare la temperatura anche sotto zero. La temperatura media del mese più freddo (gennaio) è di 7.6 °C. Le estati sono caratterizzate da temperature piuttosto elevate, con medie del mese più caldo (luglio) superiori ai 24 °C.
L’andamento delle precipitazioni risulta tipico del clima mediterraneo con una maggiore concentrazione in autunno/inverno dovuta all’azione di copertura degli Appennini. La media pluviometrica è di 1343 mm di pioggia annui. Il regime pluviometrico è di tipo sub-litoraneo appenninico, con picchi di massimi in autunno e in primavera, e minimi in estate e inverno. Periodi piovosi prolungati, soprattutto in autunno/inverno, si verificano frequentemente, ma non tutti gli anni, così come periodi siccitosi prolungati, soprattutto in estate, come è tipico del clima mediterraneo. Per quanto riguarda i venti, i dati registrati nelle centraline meteo riportano un comportamento anemologico tipico delle brezze con un cambiamento di direzione tra il giorno e la notte. Durante il giorno si presenta una direzionalità preferenziale del settore SSE indicando appunto la presenza di brezze di mare, mentre durante la notte aumentano i venti provenienti da Nord-Est con un piccolissima percentuale di venti provenienti da Sud.
Dal punto di vista acustico l’area oggetto di intervento risente del rumore di fondo urbano determinato principalmente dal traffico veicolare presente su via Vittorio Veneto, via Mazzini e viale Italia. La presenza del Colle risulta schermante rispetto alla sorgente ferroviaria ed in particolare all’area dedicata alla gestione dei vagoni merci. La posizione stessa della Cattedrale e del Sagrato, rialzata rispetto a Piazza Europa e proiettata verso il Colle, permette una separazione dell’area dall’influenza diretta delle sorgenti stradali circostanti, riducendone i livelli di immissione. L’attuale intervento di riqualificazione di Piazza Europa che prevede la costruzione di un parcheggio sotterraneo, contribuirà a fluidificare il traffico veicolare sulle principali arterie stradali circostanti, con un conseguente miglioramento del clima acustico dell’area.

L’area oggetto di studio è collocata in un punto strategico rispetto alla possibilità di collegare l’attuale lungo mare (Passeggiata Costantino Morin) e i Giardini Pubblici, con l’ambito paesaggistico naturale collinare, situato a monte di Piazzale Papa Giovanni XXIII e da cui parte la cinta murata di espansione.
Piazza Europa, attualmente oggetto di riqualificazione, può configurarsi come naturale ambito di collegamento tra i due settori sopra descritti Il sagrato della Cattedrale di Cristo Re e più in generale la piazza Papa
Ecosistema urbano
Giovanni XXIII può configurarsi come interfaccia tra le aree a verde pubblico, in quanto è collocata ad una quota intermedia tra la città, che si estende fino al mare, e la collina, che si propaga dall’entroterra.
La posizione della piazza e del sagrato si configura come naturale cerniera di collegamento delle aree sopra descritte ed è potenzialmente in grado di definire un nuovo sistema, tramite opportune opere di arredo e segnaletica integrata, in accordo anche con la recente riqualificazione degli spazi aperti in Piazza Europa.
Evoluzione storica della città
L’area oggetto di studio è collocata a Nord-Est del nucleo storico di fondazione della città murata, e di cui resta ben visibile l’antico tracciato della Via del Prione, che collegava la città con Genova. Luogo notevole, attualmente esistente, era il Castello San Giorgio, situato nel vertice nord orientale della cinta murata.
La figura 1 illustra lo sviluppo evolutivo della città, mettendo in evidenza la localizzazione, decentrata rispetto al centro urbano di fondazione, dell’ambito oggetto di studio ed il “Colle dei Cappuccini”. Il colle, che prendeva il proprio nome dall’omonimo convento, poi trasformato in baluardo difensivo nelle successive fasi storiche e anch’esso demolito, occupava l’area dell’attuale Piazza Europa, e consisteva di un’altura naturale, detta “Colle dei Cappuccini” (già “Ferrara” o “Ferara”), di circa 30 metri di altezza, e raggiungeva la linea di costa, costituendo un naturale ostacolo rispetto all’espansione urbana verso Levante.

immagine storica del colle dei Cappuccini
La demolizione, iniziata negli anni Venti del 1900 e conclusa nel decennio successivo, del Colle dei Cappuccini, consente lo sviluppo della città verso Est ed è proprio in luogo della precedente collina demolita che viene eretta, negli anni Settanta del Novecento la Basilica di Cristo Re, su progetto dell’ormai scomparso Adalberto Libera, dopo che il concorso di progettazione per la nuova cattedrale della città era stato abbandonato . Il progetto interpreta in chiave razionalistica la piazza come nodalità rappresentativa tra i due plessi urbani principali, quello storico e quello moderno. Il valore di “luogo altro” rispetto alla città, in virtù della sua posizione sopraelevata e a metà tra la quota della città bagnata dal mare e l’entroterra avvolto dalle alture collinari, si ritrova con vigore anche nella condizione attuale della Cattedrale che, quasi a voler ribadire la propria condizione di alterità e leggerezza, si solleva rispetto al suolo, lasciando quasi immaginare una possibile continuità tra le due quote.
Ad accentuare tale condizione di leggerezza si trova la finestratura a nastro, che cinge interamente il grande cilindro perimetrale, facendo entrare nella chiesa la luce in modo indiretto.


Osservando i disegni preparatori e gli studi preliminari di Adalbero Libera, si nota un tentativo, poi non realizzato, di collegare fisicamente e direttamente le due quote della città, a dimostrazione che già all’epoca era vivo il desiderio di mettere in contatto la quota bassa della piazza con la quota alta, ove si trovano gli accessi alla Cattedrale. La condizione attuale dimostra invece che, a causa di svariati motivi, tale collegamento diretto risulta poco o per nulla realizzato e, per tale ragione, esso costituisce nel presente studio un tema di estrema rilevanza ed attenzione.


Sezione longitudinale della Cattedrale di Cristo Re e del Piazzale
Ciò che si vuole qui sottolineare è la nascita, abbastanza recente, del comparto urbano di Piazza Europa e la sua definizione come nuovo centro urbano, dotato di una propria griglia stradale di fondazione e di cui esso costituisce il centro fisico e simbolico.
In tale area, infatti, a partire dal secolo scorso, come già ricordato sopra, si insediano gli edifici del potere civile e religioso, secondo la tradizione storica consolidata delle formazioni urbane, dotate di un centro di rappresentanza attorno al quale gravitano le funzioni residenziali e commerciali/produttive.
Dal punto di vista percettivo l’edificio della cattedrale, con la sua posizione elevata rispetto al piano campagna del porto e della viabilità principale, quale viale Italia, instaura relazioni di visibilità diretta con tutto il contesto urbano afferente a piazza Europa (punto di vista 1), viale Italia (punto di vista 2) e al lungo mare fino alla parte iniziale della passeggiata Morin (punto di vista 3) e al molo Italia..
Se ci poniamo ad una quota maggiore seguendo il tragitto definito da via dei Colli, la percezione appare limitata dalla presenza di edifici anche di altezze importanti, ma soprattutto dalla morfologia collinare (vedi punto di vista 4)
Se ci si pone alla quota della cattedrale la visuale può spaziare apertamente nell’ambito dell’intero golfo della Spezia e dei promontori che in esso si immergono in particolare sul lato di ponente verso Lerici.

aree con percezione completa
aree con percezione parziale


punto di vista fotografico n. 1

punto di vista fotografico n. 2

punto di vista fotografico n. 3

punto di vista fotografico n. 4









Sistema della mobilità pubblica
L’area oggetto di studio risulta servita da diverse linee del trasporto pubblico (ATC), che attraversano Piazza Europa, alla base delle due scale che conducono alla quota sopraelevata della Cattedrale, e che la collegano all’Ospedale Sant’Andrea, a Nord Est, e alla stazione Ferroviaria, collocata lungo la storica via del Prione, percorrendo verso Ovest la via Vittorio Veneto. Linee del trasporto pubblico corrono anche lungo via dei Colli, a ridosso di Piazzale Papa Giovanni XXIII, costituendo la modalità di accesso carrabile (anche del traffico privato) più agevole rispetto alla quota del piazzale soprastante.
L’area è anche servita da una postazione di bike sharing, che fa parte di una rete abbastanza capillare, che si estende su buona parte del territorio urbano, collocata in Piazza Europa.
Nella figura, emerge con forza il ruolo degli edifici pubblici a carattere laico e religioso, presenti diffusamente nell’area d’interesse.
Il Castello San Giorgio e la Cattedrale di Cristo Re, in ragione della loro posizione “di mezzo” tra la città, che si estende fino al mare, ed il territorio collinare, che da esso si irradia verso l’entroterra, presentano molteplici similarità insediative.
Come il Castello San Giorgio, la Cattedrale sigilla, in maniera “monumentale” tale scarto tra i due ambiti territoriali sopra descritti.
E’ per tale ragione che, anche dal punto di vista dell’accessibilità e delle relazioni urbane, l’area oggetto di studio appare, con chiarezza, un ottimo investimento su cui puntare per il rilancio della città intera, sfruttando, in modo sinergico, le peculiarità del sito e delle funzioni, esistenti e di nuovo insediamento, in esso collocate. La figura sintetizza ad un tempo la condizione attuale circa il livello di mobilità pubblica e le potenzialità implicite in alcune scelte che l’Amministrazione Comunale ha già operato e sta operando . E’ ipotizzabile l’implementazione di sistemi similari da impiegare anche nell’area oggetto di studio, al fine di costruire una rete integrata di sistemi alternativi per la mobilità sostenibile.
Sistema della mobilità privata
La cattedrale risulta accessibile dalla mobilità privata da due punti strategici: piazza Europa e via dei Colli.
La recente sistemazione di piazza Europa con la realizzazione del parcheggio interrato va a costituire il principale accesso alla cattedrale della mobilità privata che arriva sia da via Vittorio Veneto che da viale Mazzini, che troverebbe in quel sito il luogo privilegiato della sosta. L’accesso dalla parte più elevata dell’intera area che afferisce alla cattedrale, compreso il sagrato, avviene da via dei Colli che raccoglie tutta la mobilità automobilistica della porzione collinare della Spezia, anche attraverso l’immissione di via XXVII Marzo sulla stessa in prossimità di piazzale Papa Giovanni XXIII, attualmente luogo di sosta per le autovetture.
Flusso crocieristico
Secondo il rapporto Italian Cruise Watch 2014, nel 2015 i passeggeri croceristici movimentati nel Porto della Spezia nel 2015 sono stati circa 650.000, con un incremento di circa il 60% per cento rispetto al 2014. Sempre nel 2015, le toccate-nave nello stesso porto sono state più di 200, con un incremento di circa il 30% per cento rispetto all’anno precedente. Si tratta di un trend di crescita nettamente superiore a quello previsto per il numero complessivo di passeggeri crocieristici movimentati nei porti italiani (quasi 11 milioni, +6,3 per cento rispetto al 2014).
Questa ulteriore rapido sviluppo del traffico crocieristico nel Porto della Spezia rappresenterà la prosecuzione di un trend inaugurato nel 2013, quando con l’inaugurazione della nuova banchina passeggeri dal molo Garibaldi e la ristrutturazione dell’ex sede della dogana per l’accoglienza dei passeggeri, il porto della Spezia ha accolto con successo 214.000 passeggeri pari a un incremento del 325 per cento rispetto al 2012.
Vista la grande risposta riservata dal mercato a questo miglioramento dell’offerta di servizi destinati alle navi da crociera, oggi non più costrette a fermarsi in rada in assenza di un accosto a banchina, appare facilmente prevedibile che tale sviluppo avrà ricadute positive su tutti gli esercizi commerciali della città, in particolare quelli ricettivi e riservati all’accoglienza turistica.


ACCESSO MEZZI DI SOCCORSO AI LUOGHI PER IL CULTO 20%


ACCESSO PER PERSONE CON DIFFICOLTA’ MOTORIE E IPOVEDENTI AI LUOGHI PER IL CULTO 5%


ACCESSO PEDONALE AI LUOGHI PER IL CULTO 75%


Gli spazi pubblici oggetto della presente proposta garantiscono la connessione tra piazzale Papa Giovanni XXIII e piazza Europa di conseguenza risultano attraversati e percorsi, per lo più, da chi vuole usufruire delle funzioni che caratterizzano tali luoghi, che nello specifico si possono identificare con i luoghi per il culto e per le attività commerciali.
I luoghi per il culto attraggono fedeli in un orario compreso tra le 7.00 e le 19.30, funzionale allo svolgimento delle celebrazioni, da quelle mattutine fino a quelle serali e degli incontri dei parrocchiani. Occorre specificare, inoltre, che durante l’anno si presentano occasioni particolari del calendario liturgico per cui la frequentazione non è solo giornaliera ma anche serale, ci si riferisce, tra le altre, alle celebrazioni della Vigilia di Natale e del Sabato Santo che corrispondono ai momenti maggiormente significativi per i fedeli cristiani, e che pertanto attraggono un grande afflusso di persone.
Le attività commerciali presenti sotto il porticato di via Vittorio Veneto e prospicienti piazza Europa sono costituite da: 1 libreria, 1 profumeria, 4 negozi di abbigliamento, 1 agenzia immobiliare, 1 sportello bancario, 1 negozio telefonia, 1 ottico, 1 bar, tabacchi ricevitoria con dehors, 1 caffetteria - pasticceria con dehors. Occorre notare che tutti gli spazi commerciali risultano occupati e che tutte le attività insediate sono di buon livello qualitativo. Gli orari di frequentazione sono, di conseguenza, quelli dei negozi, all’incirca compresi tra le 9.00 e le 20.00
TIPOLOGIE DEGLI SPAZI PUBBLICI

Gli spazi pubblici afferenti agli ambiti di studio possono essere percorsi prevalentemente da utenti a piedi, si tratta infatti di aree a mobilità pedonale, anche se una quota dei percorsi risulta promiscua anche per i mezzi di soccorso che debbono accedere ai luoghi per il culto. Tali superficie risultano prevalentemente pavimentate con soluzioni cementizie; attualmente la connessione tra i vari livelli è possibile solo attraverso scale (tessuto connettivo verticale), non sono presenti soluzioni automatizzate o accessibili alle persone con difficoltà motorie e/o visive. La superficie residua è costituita da aree verdi con un numero limitato di alberature.























L’area oggetto di studio è collocata in un punto strategico rispetto ai collegamenti che si possono realizzare all’interno della città: possibilità di collegare l’attuale lungo mare (Passeggiata Costantino Morin) e i Giardini
Pubblici e collegamento tra la “città bassa” e la “città alta” tramite la cerniera naturale costituita dalla Cattedrale di Cristo Re. L’area che si estende dal promontorio posto a monte di Piazzale Papa Giovanni XXIII fino a Viale Italia in prossimità del lungo mare risulta infatti caratterizzata da una successione
articolata di dislivelli all’interno dei quali la chiesa risulta accessibile dalla mobilità privata da due punti strategici: Via Vittorio Veneto sul lato golfo e via dei Colli sul lato colle.
Il percorso pedonale inizia dal livello di Piazza Europa per poi attraversare la galleria a doppia altezza e giungere al sacrato prospiciente Piazzale Papa Giovanni XXIII ad oggi abbandonato e senza funzioni specifiche.

Piazza Europa, realizzata in seguito alla demolizione del colle dei cappuccini avvenuta negli anni ‘20 del ‘900 al fine di unire la città storica con i quartieri orientali, risulta attualmente oggetto di riqualificazione. È un luogo attorno al quale emergono edifici pubblici a carattere laico e religioso a cui l’Amministrazione attribuisce un valore altamente strategico. La costruzione di un parcheggio pubblico interrato, che rientra tra gli obbiettivi pluriennali di investimento della CCIAA della Spezia vedrà la realizzazione di oltre 250
posti auto candidandolo a diventare la principale porta di ingresso al centro storico della città. Alle sue spalle si eleva, con un notevole impatto visivo,
Cattedrale, simbolo religioso della vita cittadina.

Partendo dal porticato sul fronte stradale, tramite due portali e un sistema di rampe orientate parallelamente al sistema viabilistico che di fatto negano una relazione diretta tra i vari ambiti territoriali si raggiunge la quota del sagrato “lato golfo”.
L’accesso dalla parte più elevata dell’area avviene da via dei Colli che raccoglie tutta la mobilità automobilistica della porzione collinare della Spezia, anche attraverso l’immissione di via XXVII Marzo sulla stessa in prossimità di
piazzale Papa Giovanni XXIII. Sul lato ovest del sagrato , in parte a giardino, in parte pavimentato con materiali di scarso pregio, è collocata la sede dell’emittente regionale Tele Liguria Sud.
Una ripida rampa percorribile dalle autovetture per l’aggiunta di due scivoli collega questo livello con il sagrato “lato colle”. Il luogo di culto risulta protetto ma disconnesso urbanisticamente tramite una serie di recinzioni e cancelli.

La zona è servita da diverse linee automobilistiche del trasporto pubblico (ATC) e da una postazione di bike sharing, che fa parte di una rete abbastanza capillare, che si estende su buona parte del territorio urbano, collocata in Piazza Europa. La galleria di Via Veneto ospita numerosi esercizi commerciali caratterizzati da un offerta abbastanza ampia di servizi cui la comunità risponde in modo positivo ma incrociandosi senza entrare in relazione
Il porticato presenta una serie di pilastri a sezione rettangolare che si interrompono in corrispondenza dei varchi di accesso accostati ad un muro che funge da diaframma ostacolando una relazione diretta con l’area contigua alla Cattedrale di Cristo Re. Il percorso si snoda attraverso un sistema di ampie rampe di scale, colleganti la quota stradale di piazza Europa con la quota sopraelevata della cattedrale. Tali gradinate risultano poco fruibili e di non facile individuazione.

Le rampe di collegamento cha dalla quota di piazza Europa conducono alla zona del sagrato lato mare sono intervallate da una successione di spazi poco definiti e potenzialmente aggredibili dal traffico veicolare. Il percorso che l’ampia scalinata compie verso la Cattedrale è contrassegnato da numerosi cambi di direzione e attraversa spazi a terrazzo realizzati a

copertura di alcuni edifici sottostanti e della galleria di Via Vittorio Veneto. L’itinerario che attraversa il forte dislivello, dal mare alla collina, è protetto da una serie di parapetti e ringhiere disomogenei per materiale e conformazione che in parte fungono da salvaguardia all’edificio per il culto.



Dal sagrato “lato mare”, si gode di una splendida vista su Piazza Europa, sugli edifici che la circondano e sul mare. Tra le costruzioni spicca il palazzo comunale, in stile razionalista, caratterizzato da un’architettura massiccia appena alleggerita da un ampio porticato e da una torre angolare quadrata. I grandi spazi a servizio della Chiesa, in parte pavimentati, in parte a giardino, riversano in una condizione di abbandono; non si legge la struttura di un
percorso omogeneo e caratterizzante che stimoli alla sosta
contemplazione. Le aiuole a verde risultano essere poco curate e aggredite da vegetazione infestante.
Una piccola rampa conduce al primo dei tre portali di accesso Cattedrale
Cristo Re situati alla quota del sagrato “lato Colle”.

La Cattedrale venne progettata nel 1956, dall’architetto razionalista
Adalberto Libera che si avvalse delle potenzialità offerte dalla posizione del sito sopraelevato per enfatizzare la monumentalità dell’edificio religioso. Si erge alle spalle di Piazza Europa su un piano rialzato ed è raggiungibile a piedi dalla piazza tramite due scalinate e in auto dalla strada carrabile retrostante di Via dei Colli. La forma architettonica circolare, che ricorda il Popolo di Dio riunito attorno a Cristo, è di notevole impatto visivo e consente di contenere, nell’unica aula a pianta centrale, fino a 2500 persone.
Tutta la zona che affianca la Chiesa è invaso dal traffico veicolare e l’ampio sagrato rotondo, ad oggi di difficile definizione, non sembra capace di esprimere pienamente valori significativi, quali quello della “soglia”, dell’accoglienza e del rinvio, ovvero interpretare la funzione di tramite e di filtro (non di barriera) nel rapporto con il contesto urbano. Si può notare inoltre come anche lo spazio adiacente il sagrato risulti caratterizzato da aree a verde incolte e poco significative.

Il disegno del sagrato che si appoggia sulla collina, in autobloccanti in calcestruzzo, è ottenuto tramite la divisione dell’area circolare in comparti con diversi colori e da una circonferenza più piccola di colore bianco realizzata al suo interno. La qualità della pavimentazione risulta alterata dalla presenza di vegetazione spontanea che con il tempo si è formata lungo le linee di giunzione dei blocchetti.
Le relazioni spaziali sono le condizioni, da una parte, e il simbolo dall’altra delle relazioni umane. La scarsa caratterizzazione degli spazi può determinare situazioni di disagio come il senso di difficoltà alla frequentazione durante gli orari serali nonché una perdita nella fluidità e nelle interconnessioni spaziali e sociali che gli abitanti possono avere con la città.



Il versante che delimita a monte il sagrato della cattedrale (piazzale Papa Giovanni XXIII) risulta definito da un alto muro di contenimento in pietra. La parete, in buono stato di conservazione, risulta in parte invasa dalla vegetazione spontanea.
L’Amministrazione comunale ha avviato un progetto per recuperare e valorizzare la sovrastante cinta muraria e gli spazi ad essa connessi. Si chiamerà “Parco delle mura” è correrà tutto intorno al centro storico della città in continuità con una serie di programmi funzionali alla fruizione pubblica delle zone e delle strutture dei forti.
Nell’ area prospiciente, attualmente occupata dalla sosta di autoveicoli è prevista la realizzazione di una torre, dotata di scale, ascensore e passerella, per colmare un dislivello di circa 30 m e raggiungere la quota della prima caponiera del percorso delle mura storiche, secondo il progetto di riqualificazione proposto dall’Amministrazione comunale.


GLI OBBIETTIVI attesi con l’attuazione del progetto di rigenerazione
La fase di analisi ha potuto evidenziare, per il comparto urbano oggetto di studio, un quadro di criticità e di opportunità estremamente eterogeneo ed articolato.
Sulla base delle conoscenza acquisite è possibile confermare l’interesse sociale dell’area, che in relazione alla singolarità funzionale e insediativa, può rappresentare una reale opportunità per attivare un processo di rigenerazione dell’intera Città, avente quali principali obbiettivi l’affermazione e la tutela dei valori identitari e culturali, la promozione dell’integrazione sociale e delle relazioni intergenerazionali.
In questo specifico contesto urbano è possibile, infatti, creare il luogo ove la persona e la stessa comunità, nella consapevolezza della sacralità dell’area, possono abbracciare simbolicamente l’intero paesaggio sociale e fisico del Golfo e vivere un’esperienza di reale alleanza tra ragione e fede. Ciò premesso, le strategie progettuali dovranno essere informate ad un chiaro e puntuale quadro di obbiettivi, la cui natura può essere declinata in due differenti, seppure correlate, strategie attuative, e più precisamente:
• obbiettivi strategici: aventi la finalità di orientare le azioni progettuali per conseguire la migliore rigenerazione e riconfigurazione funzionale ed architettonica dell’area, nel rispetto della sacralità del luogo, dei valori identitari e culturali, della sostenibilità ambientale e sociale e nel pieno soddisfacimento dei bisogni dell’intera comunità, in termini di promozione di esperienze relazionali qualificanti e formative;
• obbiettivi specifici: la cui natura afferisce in primo luogo alla promozione e salvaguardia dei caratteri spaziali e funzionali dell’ambito complesso del sagrato della cattedrale di Cristo Re e del piazzale Papa Giovanni Paolo XXIII.
obbiettivi strategici
• configurazione di un luogo capace di garantire il concetto di sostenibilità, così come delineato dal protocollo di “Agenda 21”, fondata sul concetto duale di globale e locale, ove ad un pensiero globale corrisponde un’azione locale, ed in particolare:
- sostenibilità ambientale, intesa come capacità di mantenere nel tempo qualità e riproducibilità delle risorse naturali;
- sostenibilità economica, intesa come capacità di generare in modo duraturo reddito per il sostentamento della popolazione;
- sostenibilità sociale, intesa come capacità di garantire condizioni di benessere distribuite in modo equo nell’intera società;
- sostenibilità istituzionale, intesa come capacità di mantenere condizioni di stabilità, democrazia, partecipazione e giustizia;
• definizione di linee di sviluppo per la rigenerazione di Piazza Papa Giovanni XXIII, che garantiscano la sostenibilità progettuale, tecnica ed economica, degli interventi attraverso il rispetto delle linee
programmatiche urbanistiche, del rapporto con le preesistenze, nonché attraverso l’attenzione ai bisogni delle varie tipologie di utenze cittadine; interpretazione del luogo per il culto, considerato nel suo complesso, come tramite e filtro, e non barriera, nel rapporto con il contesto urbano, in coerenza con quanto espresso nel Concilio Vaticano II;
• rispetto della sacralità del Tempio liturgico della cattedrale, attraverso interventi progettuali rispettosi della storia e del valore sociale e religioso dell’edifico, senza tuttavia rinunciare ad una “libertà operativa” in grado di contemplare un linguaggio architettonico e compositivo contemporaneo;
obbiettivi specifici
• promozione di un rapporto dialettico tra il sagrato della cattedrale e la città, considerandolo quale fulcro urbano e snodo di un nuovo sistema di percorsi pubblici che sia luogo di incontri e di socializzazione;
• riconfigurazione degli spazi aperti con particolare attenzione alla caratterizzazione di Piazzale Papa Giovanni XXIII rispetto alle relazioni che tale luogo può instaurare sia lato Golfo che lato Colle;
• miglioramento della permeabilità urbana e definizione di un sistema di flussi razionali, efficienti e sicuri privi di barriere architettoniche, che permetta il collegamento di Piazza Europa con il Piazzale Giovanni XXIII senza soluzione di continuità;
• miglioramento dell’attrattività e della qualità sociale dell’ambito urbano complessivo del sagrato della cattedrale, ad oggi caratterizzato da alcuni episodi di degrado, attraverso la previsione di nuove funzioni catalizzatrici di flussi, quali attività commerciali e spazi dedicati alle attività culturali e sportive per la città e la comunità religiosa spezzina;
• valorizzazione delle potenzialità paesaggistiche attraverso la configurazione di spazi e luoghi di fruizione vedutistica di pregio, afferenti alle viste panoramiche lato Golfo e alle connessioni con il sistema storicoculturale delle mura cittadine lato Colle.
GLI INDIRIZZI PROGETTUALI individuazione degli ambiti progettuali omogenei per operare la riqualificazione funzionale, architettonica, paesaggistica e delle relazioni urbane dell’area
4.1 AMBITO PROGETTUALE N.1 - PIAZZALE PAPA GIOVANNI XXIII - LA PORTA URBANA DI PONENTE
4.2 AMBITO PROGETTUALE N.2 - PIAZZALE PAPA GIOVANNI XXIII - IL SAGRATO DEL GOLFO
4.3 AMBITO PROGETTUALE N.3 - PIAZZALE PAPA GIOVANNI XXIII - IL SAGRATO DEL COLLE
4.4 AMBITO PROGETTUALE N.4 - LA RISALITA AL PARCO DELLE

La riqualificazione funzionale, architettonica, paesaggistica e delle relazioni urbane dell’area della cattedrale di Cristo Re, viene perseguita in questo studio attraverso la suddivisione dell’area in 4 specifici ambiti progettuali. Ciascun ambito esprime potenzialità funzionali omogenee e un’organizzazione spaziale definita mediante caratteri urbani, morfologici e architettonici particolari e specifici.
1. L’area che si affaccia verso piazza Europa, a sud della cattedrale, presenta caratteristiche fisiche di scarsa qualità, oltre ad un uso degli spazi aperti poco definito.Il ridisegno degli spazi aperti, unitamente alla rifunzionalizzazione di alcuni locali che vi si affacciano, si può configurare come idoneo strumento per la riqualificazione.
2. Le rampe che collegano la quota stradale di piazza Europa con la quota sopraelevata della cattedrale risultano poco fruibili e di non facile individuazione.
Il ridisegno seppur parziale, degli accessi collocati sul fronte stradale, con l’eventuale inserimento di un dispositivo di movimentazione meccanizzata (scala mobile) si può configurare come soluzione migliorativa, che consentirebbe di collegare, in modo unitario le scale con le due rampe ad emiciclo.
3. L’attuale piazzale Papa Giovanni XXIII e le aree ad esso contigue risultano poco definite ed aggredite dal traffico veicolare privato.
Il ridisegno, anche parziale, degli spazi aperti con l’integrazione di nuovi alberi, si può configurare come soluzione migliorativa, sia in termini estetici sia in termini d’uso.
4. Il versante che delimita a monte il sagrato della cattedrale (piazzale Papa Giovanni XXIII) risulta definito da un alto muro in pietra. L’inserimento di un ascensore o di altro dispositivo di sollevamento meccanizzato potrebbe migliorare la fruizione degli spazi dei collegamenti tra gli stessi.



RIQUALIFICAZIONI GIÀ IN ATTO
INTERVENTI DI PROGETTO
AMBITO PROGETTUALE 1
AMBITO PROGETTUALE 2
AMBITO PROGETTUALE 3
AMBITO PROGETTUALE 4

L’ambito progettuale n.1 denominato Piazzale Papa Giovanni XXIII – La porta urbana di Ponente, corrisponde agli interventi relativi alla riqualificazione di via Vittorio Veneto nel tratto prospiciente Piazza Europa, alla riconfigurazione funzionale del relativo porticato e alla realizzazione di un vero e proprio portale di accesso al sagrato di Piazzale Papa Giovanni XXIII, capace di migliorare la permeabilità urbana e fruitiva tra l’ambito portuale della città e quello collinare. La strategia nel suo complesso permetterà di configurare uno spazio sicuro, presidiato e controllato destinato alla fruibilità pedonale, all’incontro e alla socializzazione, permettendo quindi una maggiore attrattività dell’ambito complessivo della cattedrale, ad oggi caratterizzato anche da episodi di degrado.
Gli indirizzi progettuali specifici per tale ambito prevedono: • riqualificazione della pavimentazione e degli arredi urbani della viabilità locale contigua a Piazza Europa e prospiciente il porticato della cattedrale
Tale strategia permetterà di incrementare e completare la qualità urbana di piazza Europa, integrando la viabilità esistente con il nuovo progetto di riqualifica urbana della piazza. L’ambito stradale di via Vittorio Veneto, interessato dall’intervento, viene interpretato e riconfigurato come spazio di vita e qualità urbana, capace, anche attraverso una differente pavimentazione e una maggiore qualità degli elementi di arredo, di richiamare l’importanza del luogo da esso servito e delle funzioni insediate. Data la peculiarità e l’importanza delle funzioni ospitate, nonché la presenza della piazza pedonale Europa in fase di riqualificazione, la viabilità interessata, in occasione di particolari eventi e momenti della vita della città della Spezia, attraverso un sistema di dissuasori di traffico a scomparsa, potrà divenire completamente pedonale e quindi integrarsi pienamente con il sistema pedonale e di socialità della piazza stessa.
• configurazione della porta urbana di Ponente
La strategia progettuale prevede la realizzazione di un sistema di collegamento verticale meccanizzato, capace di connettere senza soluzione di continuità Piazza Europa con il Piazzale Papa Giovanni XXXIII prospiciente la cattedrale. L’ambito di accesso alle scale mobili, ricavato attraverso la realizzazione di un apertura lungo il muro esistente, diviene quindi una vera e propria porta urbana di Ponente.
1. Piazzale Europa
2. Rampe di accesso al parcheggio interrato
3. Porta urbana di Ponente
4. Scala mobile porta di ponente -primo tratto
5. Ascensore
6. Portico esistente
7. Porticato superiore - piano ammezzato
8. Piazzetta aperta
9. Locali commerciali di nuova realizzazione - piano ammezzato
10. Percorso di servizio
11. Via Vittorio Veneto
12. Chiesa inferiore
13. Scale di risalita esistenti
14. Ampliamento pedonalizzazione piazza Europa
Attraverso tale elemento l’ambito urbano della città della Spezia si apre al contesto collinare, permettendo una maggiore permeabilità tra la “città bassa”, afferente il sistema prettamente urbano e marittimo, e la “città alta” afferente il sistema collinare. L’immaginario della porta vuole inoltre richiamare simbolicamente il sistema delle porte murarie della città medioevale della Spezia, ancora oggi presente in alcune testimonianze architettoniche, e a cui il sistema di collegamento verticale meccanizzato permette l’accesso.
• riconfigurazione architettonica e funzionale del porticato prospiciente Piazza Europa
La strategia progettuale prevede la riconfigurazione architettonica e funzionale del porticato prospiciente Piazza Europa, attraverso la realizzazione di un piano ammezzato fruibile e destinato ad ospitare attività commerciali e spazi di socialità e incontro. In particolare, si prevede la realizzazione di un mezzanino ad una quota pari a 7.15 m rispetto al piano strada.

Tale ambito sarà accessibile attraverso un sistema trasportatore-elevatore (scale mobili) lato ponente e da un sistema di collegamento verticale non meccanizzato lato levante; viene inoltre prevista la possibilità di accedere al mezzanino da parte dell’utenza con particolari difficoltà motorie e visive attraverso la fermata di un ascensore, che collegherà Piazza Europa con il piano relativo al sagrato della cattedrale (Piazzale Papa Giovanni XXIII). Il piano ammezzato sarà caratterizzato dalla presenza di alcune attività commerciali, ricavate attraverso la riconfigurazione architettonica dei vani esistenti, integrati e complementari al sistema commerciale localizzato al piano terra del porticato. A servizio dell’accessibilità di tali esercizi, viene configurato un sistema destinato all’attraversamento pedonale definito da un porticato coperto, con vista su Piazza Europa e conseguentemente con visuale paesaggistica e panoramica lato mare della città. Viene inoltre prevista sul piano ammezzato la realizzazione di un ampio spazio centrale aperto a servizio dell’utenza e delle attività insediate, caratterizzato dalla presenza di un sistema frangisole come copertura.

Vista dal porticato esistente verso il sistema di risalita con scale mobili


L’ambito progettuale n. 2 definito come Piazzale Papa Giovanni XXIII – Il sagrato del Golfo, corrisponde agli interventi relativi alla riconfigurazione spaziale e funzionale del sagrato della cattedrale, lato e vista Golfo. La strategia progettuale vuole configurare tale ambito come spazio di relazione urbana e socialità, portando la città della Spezia a riappropriarsi dal punto di vista funzionale e fruitivo di un luogo fino ad oggi abbandonato e non considerato quale parte viva della città. Il sagrato, afferente il Piazzale Papa Giovanni XXIII lato Golfo, ad oggi versa infatti in una condizione di parziale degrado e abbandono, non essendo insediate funzioni attrattive o percorsi di permeabilità urbana.
L’apertura del sagrato alla città permetterà di conseguenza l’apertura, sia dal punto di vista funzionale, urbano ma anche sociale ed evocativo, della stessa cattedrale al contesto cittadino di riferimento e quindi alla popolazione spezzina, sia essa credente o non credente, rispettando così anche dal punto di vista evocativo-architettonico la missione evangelizzatrice universale della Chiesa. Non solo, la riconfigurazione del piazzale Papa Giovanni XXIII lato Golfo, integrata con la riqualifica del sagrato lato colle, permetterà la definizione di un sistema spaziale caratterizzato da “pause architettoniche”, fisiche ed emotive, capaci di consentire la riconoscibilità percettiva dell’edificio religioso. La strategia progettuale prevede l’accessibilità diretta al sagrato attraverso un sistema di collegamento verticale meccanizzato, precedentemente descritto all’interno dell’ambito 1, e capace di stabilire una connessione urbana continua tra la Piazza Europa e il Piazzale Papa Giovanni XXIII, quindi tra città marittima e città collinare. Viene prevista la possibilità di accedere al sagrato anche da parte dell’utenza con particolari difficoltà motorie e visive attraverso la fermata di un ascensore, che collegherà Piazzale Papa Giovanni XXIII a Piazza Europa. Il sagrato viene inoltre collegato alla viabilità locale d’ambito attraverso una serie di percorsi pedonali specializzati. Il sagrato viene interpretato come una vera e propria piazza urbana caratterizzata da una sensibile pendenza verso sud, con un dislivello di circa 8 m. Tale dislivello viene superato attraverso la realizzazione di un sistema di gradinate, rampe e percorsi pedonali che permettono alle differenti tipologie di utenza di accedere con facilità alle varie parti del sagrato lato Golfo.
1. Scala mobile
2. Piazza urbana
3. Ascensore
4. Brise soleil di ombreggiatura della piazzetta aperta
5. Rampa carrabile dai mezzi di servizio/emergenza
6. Area gioco bimbi
7. Copertura verde
8. Rampa pedonale
9. Terrazza
10. Sagrato del golfo
11. Rampa per accesso mezzi di servizio/emergenza
12. Piantumazione alberature
13. Accesso pedonale/carrabile per mezzi di servio/emergenza
14. Cattedrale di Cristo Re
Di particolare evidenza, si sottolinea la definizione del sistema di gradinate e rampe lato ponente del sagrato, configurato dal punto di vista materico e architettonico quale segno visibile e ben riconoscibile dell’ambito progettuale. La configurazione architettonica della gradinata, attraverso l’alternanza di gradini, rampe e terrazzini, permette di definire un luogo che non sia solo di passaggio e attraversamento, ma anche di sosta e socialità La scelta materica e cromatica per tale sistema richiama i materiali e i colori
minerali della pietra, evocando in questo modo, sia per quanto riguarda le cromie che per la configurazione architettonica complessiva, il sistema collinare storico, denominato “Colle dei Cappuccini”, esistente al posto della cattedrale e del relativo sagrato fino agli anni ’20 del Novecento. Il sagrato viene dunque definito come luogo di attraversamento, di connessione urbana ma soprattutto di socialità, caratterizzato da una pluralità di funzioni insediate, volte tutte alla fruizione spaziale e visiva dei luoghi.

Attraverso la predisposizione di una terrazza panoramica lato golfo, il sagrato viene inoltre configurato quale luogo simbolico e identitario di fruibilità panoramica e visiva del paesaggio urbano sottostante e di quello marittimo di contesto.
A completare la riqualifica del sagrato, al fine di conferire una maggiore qualità urbana all’ambito, viene prevista la predisposizione di aree verdi di completamento del sistema esistente, con particolare attenzione alla realizzazione di una copertura verde per l’edificio dell’emittente regionale Tele Liguria Sud, nonché l’impianto di alcune nuove specie arboree di schermatura dei principali edifici esistenti e insistenti nell’area. Viene inoltre prevista, contiguamente al sistema di gradinate, la realizzazione di un’area a verde, destinata a parco intergenerazionale che permetta la fruizione e la socialità.
Si sottolinea come la soluzione proposta permetta l’incremento della superficie di spazio pubblico destinato ad area verde rispetto alle condizioni attuai, aumentando inoltre la dotazione arborea di circa 72 nuove unità.



1. Nuova struttura temporanea polivalente
2. Piazzale Giovanni XXIII
3. Alberature perimetrali esistenti
4. Messa in sicurezza attraversamento pedonale a raso
5. Parcheggio pluripiano esistente
6. Cattedrale di Cristo Re
L’ambito progettuale n. 3 definito come Piazzale Papa Giovanni XXIII – Il sagrato del Colle, corrisponde agli interventi relativi alla riconfigurazione spaziale e funzionale del sagrato della cattedrale, lato colle. La riconfigurazione del piazzale esistente lato colle vuole perseguire l’obiettivo principale di configurare uno spazio di socialità e incontro fino ad oggi poco utilizzato Non solo, al fine di realizzare uno spazio che sia realmente attrattivo per la popolazione spezzina e capace di dialogare architettonicamente e funzionalmente con la cattedrale, viene ipotizzata la realizzazione sul sagrato di una struttura polivalente e flessibile, capace di ospitare al suo interno eventi e momenti di accoglienza, socialità ed incontro tra le viarie realtà cittadine. La soluzione ipotizzata prevede la realizzazione di una struttura a forma circolare temporanea e polifunzionale, in cui poter insediare flessibilmente funzioni di natura ricreativa e sociale, quali aree sportive, sale conferenze multimediale a servizio della città e della vita religiosa della comunità spezzina, nonché spazi da adibire ad eventi e mostre. La scelta di ipotizzare uno spazio a servizio della cattedrale in cui poter insediare funzioni e tecnologie moderne e sperimentali, prende avvio dalle tendenze interne alla Chiesa Cattolica a rinnovare il proprio messaggio pastorale utilizzando strumenti multimediali e nuove tecnologie, in affiancamento alla tradizionale evangelizzazione. Durante il V° Convegno Ecclesiale Nazionale della Chiesa Italiana tenutosi a Firenze, il Santo Padre Francesco durante il suo intervento ha ribadito la necessità di uscire, di mettersi in cammino, di inaugurare sentieri nuovi, al fine di raggiungere un rinnovamento del linguaggio pastorale.
È stata evidenziata fortemente la necessità di un rinnovamento del linguaggio: nella liturgia, a partire dalle Messe domenicali, nella predicazione, nell’annuncio, con particolare attenzione ai linguaggi nuovi e più efficaci, più vicini alla vita della gente, capaci di raccogliere anche la sfida delle nuove tecnologie: pastorale digitale . La configurazione architettonica della struttura vuole evocare le forme semplici e leggere di una tenda, richiamando in questo modo il tema biblico
del tabernacolo (tabernaculum = tenda). La tenda infatti nell’Antica Scrittura è il luogo sacro per eccellenza: per gli ebrei era il luogo in cui venivano conservate e contenute le Tavole della Legge date da Dio a Mosè, per i Cristiani invece
tenda diventa il tabernacolo e cioè il sito in cui viene posta l’Ostia consacrata e quindi il corpo di Cristo. La tenda è nella tradizione ebraico-cristiana il solo luogo in cui il fedele può incontrare e fare esperienza del volto di Dio.

La forma architettonica della nuova struttura, vuole dunque evocare simbolicamente il tabernacolo e la funzione sacra della cattedrale ad essa prospiciente e collegata. La configurazione circolare della nuova struttura vuole inoltre richiamare le forme sia del piazzale sia della cattedrale. In questo modo la struttura dialogherà dal punto di vista formale ed architettonico con il contesto architettonico e paesaggistico di riferimento, permettendone quindi un corretto ed armonico inserimento. La configurazione temporanea della nuova struttura permetterà di verificare nel tempo la reale necessità delle funzioni insediate, arrivando alla sua configurazione permanente secondo due possibili opportunità progettuali: • realizzazione di una nuova struttura polivalente leggera e permanente
La prima soluzione ipotizzata prevede la realizzazione di una struttura a forma circolare in legno, leggera, permanente e polifunzionale, in cui poter insediare funzioni di natura ricreativa e sociale, quali teatro, sala conferenze a servizio della città e della vita religiosa della comunità spezzina, nonché spazi da adibire ad eventi culturali e mostre.





• realizzazione di una nuova struttura polivalente permanente parzialmente in ipogeo e sistemazione del Piazzale Papa Giovanni XXIII secondo il disegno dell’architetto Adalberto Libera
La terza soluzione prevede la realizzazione di una struttura permanente parzialmente in ipogeo, adibita ad attività culturali e sportive, quali teatro e sala conferenze multimediale, a servizio della città della Spezia e della vita comunitaria della parrocchia della Cattedrale. La piazza viene riconfigurata nella pavimentazione attraverso la definizione di trame e disegni capaci di richiamare il progetto storico degli anni ‘50 ad opera di Adalberto Libera, e caratterizzata da differenti tipi di verde e lucernari integrati. L’accesso al piano interrato viene previsto attraverso la predisposizione di un foro centrale che ospita ascensori e collegamenti verticali non meccanizzati.




L’ambito progettuale n. 4 definito come “La risalita al Parco delle Mura”, corrisponde agli interventi relativi alla connessione tra il piazzale Papa Giovanni XXIII e il futuro Parco delle Mura.
Il golfo della Spezia, ed il suo comune capoluogo, prescelto oltre 150 anni fa per ospitare la principale base navale militare nel nascente Regno d’Italia, ha sviluppato negli anni successivi ad esso e fino alla II Guerra Mondiale una interessante ed estesa rete di fortificazioni a sua difesa e controllo. La cosiddetta “cintura di sicurezza” della città è un patrimonio unico a livello nazionale, ma fino ad oggi del tutto dimenticato e trascurato: nella zona alle spalle della Cattedrale di Cristo Re fino al Parco del Colombaio dietro allo stadio “Alberto Picco”, passando per i colli, Porta Castellazzo, Piazzale Ferro e il Parco della Rimembranza, sono presenti numerose testimonianze di opere militari che se messe a sistema, come da disposizioni della pianificazione comunale, possono dare vita ad un vero e proprio parco: il Parco delle Mura L’area della cattedrale è un caposaldo di tale sistema e quindi vero e proprio ambito di accesso al futuro Parco delle Mura. L’ipotesi progettuale prevede la configurazione di un collegamento ipogeo scavato all’interno della collina prospiciente Piazzale Papa Giovanni XXIII. Tale tunnel conduce ad una struttura circolare verticale di risalita anch’essa in ipogeo, caratterizzata da due ascensori e da collegamenti verticali non meccanizzati. Tale struttura permetterà di raggiungere con facilità, in sicurezza e protezione la sommità del colle da cui poi diparte e si sviluppa il percorso delle Mure Storiche; al punto di arrivo viene prevista una balconata panoramica da cui poter godere della vista di pregio paesaggistico e vedutistico della città e dell’intero Golfo della Spezia.

DI
DIFFERENZIATO RISPETTO ALLE DIVERSE TIPOLOGIE DI UTENZA

ACCESSO PEDONALE AL PARCO DELLE MURA 29%


ACCESSO PEDONALE AI LUOGHI PER IL CULTO 26%

ACCESSO PEDONALE ALLA STRUTTURA POLIVALENTE TEMPORANEA 16%
DIAGRAMMA ORARIO DIFFERENZIATO RISPETTO ALLE DIVERSE TIPOLOGIE DI UTENZA




ACCESSO MEZZI DI SOCCORSO AI LUOGHI PER IL CULTO 10%
ACCESSO PER PERSONE CON DIFFICOLTA’ MOTORIE E IPOVEDENTI AI LUOGHI PER IL CULTO 19%
TIPOLOGIE DEGLI SPAZI PUBBLICI
AREE VERDI 29%
SUPERFICIE PAVIMENTATA A CEMENTO 62%
TESSUTO CONNETTIVO VERTICALE 6%
RAMPE PER PERSONE CON DIFFICOLTA’ MOTORIE E IPOVEDENTI 3%
ALBERATURE DI PROGETTO












SISTEMA DI ACCESSI DIFFERENZIATO RISPETTO ALLE DIVERSE TIPOLOGIE DI UTENZA RAFFRONTO STATO DI FATTO
ACCESSO MEZZI DI SOCCORSO AI LUOGHI PER IL CULTO 20%


ACCESSO PER PERSONE CON DIFFICOLTA’ MOTORIE E IPOVEDENTI AI LUOGHI PER IL CULTO 5%

ACCESSO PEDONALE AI LUOGHI PER IL CULTO 75%



DI PROGETTO
ACCESSO PEDONALE AL PARCO DELLE MURA 29%
ACCESSO PEDONALE ALLA STRUTTURA POLIVALENTE TEMPORANEA 16%




ACCESSO PEDONALE AI LUOGHI PER IL CULTO 26%


ACCESSO MEZZI DI SOCCORSO AI LUOGHI PER IL CULTO 10%
ACCESSO PER PERSONE CON DIFFICOLTA’ MOTORIE E IPOVEDENTI AI LUOGHI PER IL CULTO 19%

AREE VERDI
TESSUTO CONNETTIVO VERTICALE
RAMPE PER PERSONE CON DIFFICOLTA’ MOTORIE E IPOVEDENTI

SUPERFICIE PAVIMENTATA
AREE VERDI
TESSUTO CONNETTIVO VERTICALE
RAMPE PER PERSONE CON DIFFICOLTA’ MOTORIE E IPOVEDENTI





















Gli indirizzi progettuali precedentemente descritti, integrati tra di loro, miglioreranno notevolmente le condizioni di stato dei luoghi, con particolare riferimento ai temi della fruibilità e della configurazione funzionale degli spazi pubblici e collettivi. Le ipotesi delineate consentiranno la configurazione di un sistema di spazi pubblici vivace e fruibile da un maggior numero di tipologie di utenze per l’intero arco della giornata. Rispetto alle condizioni attuali, l’area della cattedrale vedrà gravitare al suo interno utenze tradizionali relative ai luoghi di culto e delle attività commerciali, con l’aggiunta, grazie alle nuove funzioni insediate sul Piazzala Papa Giovanni XXIII, di utenze relative agli eventi culturali e ai luoghi di relazione, svago e spazi aperti.






















SUPERFICIE PAVIMENTATA A CEMENTO










L’aumento dei flussi e delle tipologie di utenze nell’area ha reso necessario la riorganizzazione e riconfigurazione degli accessi, arrivando alla configurazione di un sistema capace di incrementare e differenziare l’accessibilità pedonale all’area; si sottolinea l’aumento di circa il 14% dell’accessibilità per l’utenza con particolari difficoltà visive e motorie.
La riconfigurazione architettonica e funzionale degli spazi pubblici consentirà dal punto di vista funzionale ed ambientale una diminuzione della superficie pavimenta a cemento e un incremento delle superfici destinate ad aree a verde, con relativo aumento delle alberature (+72 nuovi esemplari).

(CATTEDRALE DI CRISTO RE) E PIAZZA EUROPA, NELLA CITTÀ DELLA SPEZIA
STUDIO DI FATTIBILITÀ
DOCUMENTO PRELIMINARE
