The NLCS Journal of Pure and Applied Mathematics (Vol. 4, Issue 1, March 2024

Page 1

VOL. 4 | ISSUE 1 | 2024 MAR
THE NLCS JOURNAL OF URE AND PPLIED MATHEMATICS
P A

Volume4,Issue1

MathematicsSociety

MathematicsPublicationCCA

March2024

PureandAppliedMathematics
TheNLCSJejuJournalof

Credits

Firstofall,wewouldliketoexpressoursinceregratitudetothefollowingcontributorstoVolume4Issue1 ofNLCSJejuAnnualJournalofMathematics.

TheMathematics Society

Chair

EmmaChaeeunChung(12)

TerryTaehoonKim(12)

PublicityOfficer

DerekYejunYoo(11)

Secretary

SuhyukJeffCho(11)

JuneKim(12)

JeanKim(12)

Members

AshleySiyeonJung(9)

AustinTaehongHa(11)

ChloeNayeonKim(10)

CollinYoungjaeSeo(10)

DavidSeohaKim(9)

JamesChoisungPark(10)

JamesJiminLim(11)

JaydenJunseokLee(10)

JungseoPark(10)

LukeJungyoonHan(12)

LynnKim(10)

MaxMinjaeKo(10)

MinjaeKang(9)

PeterSeunghyeonKim(10)

RyanHanjinLee(11)

SeanTaehoonKim(11)

SeongminHong(11)

SiwoolUm(10)

TimofeiKudinov(11)

TonyXinhengLi(9)

LinkTeachers

MsDuyguBulut

MrWilliamHebbron

LATEXEditors&Managers

EmmaChaeeunChung(12)

DerekYejunYoo(11)

RyanHanjinLee(11)

JaydenJunseokLee(10)

AustinTaehongHa(11)

SeanTaehoonKim(11)

Also,wewouldliketothankthefollowingcontributorsthatarenotpartofthemathematicssocieties,but haveassistedusinvariousways.

MarketingDepartment forhelpinguswiththeprintingandpublicizingourjournal. MrTamlyn forcoordinatingsocietiesinourschool.

© CopyrightbytheNLCSJejuJournalofPureandAppliedMathematics FormattingbyEmmaChaeeunChung(’25)

EditedbytheJPAMEditingTeam

4

Editor’sNote

Thisisit:thefirstissueoftheJournalofPureandAppliedMathematics (JPAM)ofthe2023-2024academicyearisout!

FormembersoftheMathematicsSociety,ithasbeenanothermathematicallyenriching,unbelievablyeventful,andacademicallyfulfillingyear. Despitealltheupsanddowns,we’vebeenabletoproduceaninspiringfourth issueoftheschool’sofficialannualMathematicsJournal.Ourjournalshave beenlongregardedashigh-qualitypublicationswrittenbytheschool’smost enthusiasticstudentmathematiciansacrossadiverserangeofyeargroups, andwehopethisissuewillnotfailtomotivatestudents(andevenstaff!)to pursueorcontinuetheirjourneyinthebottomlessandfascinatingfieldof mathematicsyetagain.

Thisissueinparticularmaybeourmostambitiouspublicationupto thisdate.Over20studentwritershavecontributedtothisjournal,whomI wouldliketothankimmenselyfortheiroriginal,thought-provokingworks. Itisnoteasytoconductindividualresearchonanextra-curriculartopic,not tomentionmakeitdistinctivefromothers.Theyhaveworkedforanextensiveperiodofapproximately5months,somehowfindingthetimeamidst theirjam-packedacademicschedule,activelyacceptingthefeedbackfrom thesociety’sleadershipteam,andimprovingtheirarticlesinwayswecould notimagine.Welldone!

Itwouldbecriminaltoforgetoureditingteam,agroupoftirelessLatex expertswhohaveeditedandformattedevery.single.word.andequation. inthisjournal.Thiswasonlythesecondyearwerecruitedaformalteam ofeditors,andit’sgreattoseethataneditingteamisspeedingupthepublicationprocesstremendously.Workingbehindthescenesdoesn’talways comewithcompletecredit,andnonetheless,oureditingteamhasworked diligentlyandconsistentlywithoutcomplaints.They,infact,deservehuge creditfortheirmeticulouslabourandsleeplessenergy-drink-fuellednights. Itwaspersonallyagreatpleasuretoworkwiththem.Acosmicthankyou to:AustinHa,DerekYoo,HanjinLee,JaydenLee,andSeanKim.

Andabigthankyoutoourleadershipteam-Chairs,Secretary,and PublicityOfficer.Theyaretheoneswhoinitiatedthisprojectandmadeit happen.Overseeingtheprogressofthisprojectandofferingsupportforthe writers,theyhaveundoubtedlyplayedanintegral(mathpununintended) partinthispublication.

IwouldalsoliketoexpressmysinceregratitudetoMsBulutforoffering theMathematicsSocietyandJPAMunconditionalsupport.MsBuluthas themostcreativeideasandagenuinepassionformathsthatinspiresstudentseverywhere.ShehasdrivennotonlyJPAMbutalsotheMathsSociety towhereitisnow.

Additionally,thankyouAaronJoonseokKang(‘24)andJamesDaewoongKang(‘24),formerleadersoftheMathematicsSociety,fordeveloping astrongfoundationforJPAM,helpingwithediting,andasmoothhandover.

Lastbutnotleast,YOU,thereader!Youarethereasonwhywecreate JPAM.

Havefunreading!

EmmaChaeeunChung -ChairofAppliedMathematics, LeaderoftheJPAMEditingTeam

Contents PureMathematics8 1TypesofMean AshleySiyeonJung(Y9) 9 2BoundsontheRamseyNumbers AustinTaehongHa(Y11) 12 3Pascal’sTriangleandCombination ChloeNayeonKim(Y10) 14 4SetTheory CollinYoungjaeSeo(Y10) 16 5Paradoxes DavidSeohaKim(Y9) 19 6Howtosketchanyfunctionstepbystep DerekYejunYoo(Y11) 23 7MathematicsBehindRubik’sCube JamesChoisungPark(Y10)27 8EigenvaluesofCirculantMatrices JaydenJunseokLee(Y10) 30 9ForecastingHighDimensionalSpace MaxMinjaeKo(Y10) 33 10PappusLine PeterSeunghyeonKim(Y10)35 11PiApproximation RyanHanjinLee(Y11) 38 12DivisionbyZero SeanTaehoonKim(Y11) 43 13TwinPrimesConjecture SeongminHong(Y11) 51 14FourierSeriesanditsApplicationinAtomicorbitals TerryTaehoonKim(Y12) 54 AppliedMathematics57 7
15MathematicalAnalysisoftheMechanismoftheGlobalPositioningSystem(GPS) EmmaChaeeunChung(Y12)57 16KMPAlgorithm JamesJiminLim(Y11) 61 17Penney’sGame JeffSuhyukCho(Y11) 67 18BlockchainandHashFunction JungseoPark(Y10) 69 19MathematicalModelandSimulationofSIRModelforCovid-19OutbreakinKorea LukeJungyoonHan(Y12) 73 20LotteryMathematics LynnKim(Y10) 78 21ThePrisoner’sDilemmaandNashEquilibrium MinjaeKang(Y9) 81 22MathinMinecraft SiwoolUm(Y9) 83 23MathematicsinSudoku TimofeiKudinov(Y11) 86 24ProbabilityinBlackjack TonyXinhengLi(Y9) 88 8

TypesofMean

Siyeon(Ashley)Jung Year9

Email:syjung28@pupils.nlcsjeju.kr

Editor

RecommendedYearLevel:KS3andabove

Keywords:ArithmeticMean,GeometricMean

1IntroductiontoArithmeticmean

1.1Whatisanarithmeticmean?

Itisafundamentalconceptinstatisticsandmathematics, anditisbetterknownasanaverageofasetofnumbers. Itcanbecalculatedbydividingthesumofacollectionof numbers.Ifthisisrepresentedusingaformula,itis

Whennisthenumberofvaluesandaiisthedatasetvalues. Aistheaverage(arithmeticmean).

1.2Typicalrepresentation

Insteadofusingtheformula,thereisasimpleformula forarithmeticmeanofasetthatcontainstwovalues:

a+b 2

Thisisfurtherrelatedtoothertypesofmean,andcanbe convenientlyusedwhenonlyrequiringtwovariables.

1.3Usesofarithmeticmean

Thisconceptiswidelyusedineverydaylife;calculatingaveragespeedwhiledriving,orthebattingaverageofa baseballplayer.Whenthereareextremedifferences(range) betweenthevalues,arithmeticmeanishugelyinfluenced, andmayproduceunsuitableresultsthatmaynotbeableto representthecollectionofdata.

2IntroductiontoGeometricmean

2.1Whatisageometricmean?

Geometricmeanisnotasfrequentlyusedasthearithmeticmean,butitisanotherwaytorepresentagroupof

data.Infact,itisatypeofaveragethat,inasetofnnumbers,multipliesallthevaluesandfindsthenthrootofthe product.

Thisistherepresentationofageometricmeanwhereisthe geometricmean,nisthenumberofvaluesintheset,andxi isthevaluestoaverage.

2.2Typicalrepresentation

Whenthereare2valuesinaset,thegeometricmeanof thatsetcanberepresentedusingthisformula:

√ab

Thiscanbemanipulatedandappliedtoaninequalitythat willbefurtherdescribedlater.

2.3Usesofgeometricmean

Geometricmeanissuitableforrepresentingasetof growthfiguresbecauseitconsidersthecompoundingthat occursfromtimetotime.Thiscanbeappliedtousessuch aspopulationgrowth,financialinvestmentportfolio,theannualexpansionoftheeconomyandevencalculatingtherise andfallofstockmarketprices.Oneadvantageofgeometricmeanisthatitisnotheavilyinfluencedbytheeffectof extremevalues.

2.4Arithmetic-geometricmeaninequality 2.5Idea

TheideaoftheAM-GM(arithmeticmean-geometric mean)inequalityisthatthearithmeticmeanofasetofnumbersisalwaysgreaterorequaltothegeometricmeanofit. Thisarticlecontainstheproofofwhythisisso,typically whentherearetwovaluesinthesetofnumbers.

2.6Proofbyalgebraicmethod

Therepresentationoftheinequalityis

9

a+b 2 ≥ √ab

andthisisthealgebraicmethodtoprovethe inequality.

a+b

2 ≥ √ab

a + b ≥ 2√ab

(a + b)2 ≥ (2√ab)2

a2 + 2ab + b2√4ab

a2 2ab + b2√0

(a + b)2 ≥ 0

∴ a+b 2 ≥ √ab

Here,sinceaandbarerealnumbers,thefinalinequalityis true.ThereforetheAM-GMinequalityisalwaystrueaslong asthetwovaluesaandbarepositiverealnumbers.

2.7Proofbygeometricmethod

Thereisanotherproofthatusesacircleanditsradius. Beforewegettotheproof,readersshouldbefamiliarwith theconceptoftherelationshipbetweenthehypotenuseand theheightofarightangledtriangle.Imaginethataperpendicularline,representingtheheight,isdrawnfromtheright angletothehypotenuseinarightangletriangle.Inthissituation,theproductofthetwosections,dividedbytheheight, isequaltothesquareoftheheight.Usingthisapplication, letusproceedtothegeometricalproofoftheAM-GMinequality.

Thisisanimagefromamathematicalbookcalled “Proofswithoutwords”,writtenbyRogerB.Nelsen.

Source:Nelsen,R.B.,“Proofswithoutwords”

Asmentionedabove,thediameterofthesemicircleis AB,andsincetheinscribedangleofasemicircleisalways 90degrees,triangleABCisalwaysarighttriangle.Then, thesquareofCMisequaltotheproductofAMandBM, whichisab.Ifthisisrearranged,CMisequaltothesquare rootoftheproductofAMandBM(sincelengthispositive), whichis √ab.Becausethediameteris a + b,itisevident thattheradiusis a+b 2 .SincethelargestCMcanbeisthe radius, a+b 2 ≥ √ab istrue.Additionally,aslengthisalways apositivenumber,theinequalitysolelyistruewhenthetwo numbersarepositive.Theequalsigncomestruewhena=b, whichisalsowhenCMisequaltotheradius,andaandbare eachequaltothelengthsoftheradius.

3AM-GMInequalityinreal-lifecontext

3.1BasicQuestion question

Given x > 0, y > 0andxy=3,findtheminimumof 4x+3y.

solution

Since x > 0, y > 0,referringtotheAM-GMinequality, 4x + 3y ≥ 2√36 = 12(Theequalsignisappliedonlywhen 4x=3y)Hence,theminimumof4x+3yis12.

3.2AdvancedQuestion question

Usinga60cmwire,fourcongruentrectanglesare formedlikethediagrambelow.Findthemaximumareaof thelargestrectangleandthecorrespondinglength.

solution

Letthelengthandthewidthofthelargestrectanglebex cmandycmrespectively.Then,theareaofitwillbe xycm2 Sincethetotallengthofthewireis60cm,2x + 5y = 60

As x > 0and y > 0,usingtheAM-GMinequality, 2x + 5y ≥ 2√2x ∗ 5y = 2√10xy,60 ≥ sqrt10xy, 30 ≥ 10xy Hence,xy90(theequationistruewhen 2x=5y)Consequently,themaximumofthearea oftherectangleis90cm2.Theareaofthelargest rectangleisthebiggestwhen2x=5y,sosubstituting2x=5yinto2x+5y=60,2x+2x=60,x=15Thus, thelengthis15cmwhentheareaismaximum.

4Outro

4.1Conclusion

Inthispieceofarticle,youhavelearnedabout thetwomajortypesofmean,andtheequationthat canbeobtainedusingthetwo.Therewerereal lifeexamplesthatcouldhelpreadersunderstand howthesecanbeused.TheAM-GMinequalityis provenusingvariousmethods,i.e.,geometricand arithmetic,anditcanbemanipulatedforfurther usessuchascalculatingtheideallengthforaminimumprice,etc.

Iappreciateyoureadingthisarticlewithpatience.Ihopeyoulearnedsomethingthatinterestedyou,andperhapsyoucouldusethisopportunitytoexploremoreaboutthistopic.Ifyouwant

10

toresearchaboutthisfurther,Irecommendyou findthecorrelationbetweentheAM,GMandHM ofaset.HMistheharmonicmean,anditisnot asfrequentlyusedasAMandGM.However,it wouldbegreatandhighlyadvancedifyoucould provetherelationshipbetweenthethreetypesof mean.Remember,learningisatreasurethatwill followitsownereverywhere.Thankyou.

11

BoundsontheRamseynumbers

Taehong(Austin)Ha Year11

Email:thha26@pupils.nlcsjeju.kr

Editors

TaehongAustinHa, Emma(Chaeeun)Chung

RecommendedYearLevel:KS4,KS5

Keywords:Ramsey’stheorem,Ramsey’snumbers

1WhatisRamsay’stheoremandRamsay numbers?

Ramsay’stheoremstatesthatonewillfind monochromaticcliquesinanyedgelabellingofasufficientlylargecompletegraph.

Insimpleterms,itmeansthattherewillalwaysbe aminimumnumberofnodes(points)allinterconnected toeachotherthatacertainsetofnodesthatareall interconnectedwiththesamelabel(colourorstate).A ramseynumberistheminimumnumberthatthiscertainsizeofasetmustbepresent.

AfamousexampleofaRamsaynumberisR(3,3).

TheRfunctionistheramseyfunctionthatgeneratestheramseynumbergivenacertaininput.(Inthis article,wewillbeonlydiscussingtheramseynumber with2inputsbutpleasenotethatitcanextendtoany numberofinputs.)

Thefirst3representsthattherewillbeasetofthree nodesthatareallconnectedtoeachotherwithstate1 connections.(Atriangle)

Similarly,thesecond3representsasetofthree nodesthatareallconnectedtoeachotherwithstate 2connections.

ValueR(3,3)meanstheminimumsetofnodesthat hasatleastonetrianglewithallstate1connectionsor state2connections.

EvaluatingR(3,3)ismorewellknownastheparty problemphrasedas‘Ifyouthrowaparty,howmany peopleensuresthat3peopleknoweachotherornot knoweachother?”

Thevalueiselegantlyprovedtobe6.Here’sthe proof;

Sofor5nodes,theouterconnectionscanbe colouredinred(state1).Andthestarshapeddiagonals canbecolouredblue(state2).Therearenotriangles formed.

However,for6nodes,theremustbeatriangle. Imaginefromtheperspectiveofanode.Ofthe5nodes connectedtoit,theremustbeatleast3redconnects or3blueconnections.Takethemajority.Ofthe3 connections,the3othernodesmustbecolouredoppositecolourstoitsconnectwiththefirstnode.Thenan oppositecolouredtriangleformed.

Mymethod:Inthispaperweplantoestimatethe valueofR(5,5).

Firstthingsfirst,thelowerboundrequiresbrute forcingalgorithms.Sincetheonlywaytolookfor lowerboundsisfindingcounterexamples,thispaperwill mostlyfocusonfindingupperbounds.Wewilldiscuss brieflyaboutbruteforcingalgorithmslater.

Sofirst,letusfigureout(estimate)thevalueof R(n+1,n+1)whenR(n,n+1)isgiven.

Let’sputR(n,n+1)asanarbitraryvalueX.

SaywewanttotestforavalueX+Yandseeifit meetsR(n+1,n+1)

Fig.1
12

Intheperspectiveofanode,ifthereareatleast Xnodeswithstate1connections.Thenwecanensure thatthereisan+1sizedinterconnectedgraphsince thereiseitheransizedinterconnectedstate1graph whichwecanincludethefirstnodeorthereisan+1 sizedinterconnectednode.

Applyingsimilarlogic,ifthereareatleastX nodeswithstatetoconnections,wecanensurethere isan+1sizedinterconnectedgraphsinceR(n,n+1)and R(n+1,n)arethesameduetosymmetry.

Then,wecanconcludethatforgraphssized2X, theremustbean+1sizedinterconnectedgraphwitha singletypeofconnectionsinceoutof2X-1connections with1node,theremustbeatleastonestatewithat leastXconnections.Thenweputalooseupperbound onR(5,5)as2*R(4,5).Whichis50.

ThisproofcanbegeneralisedtoR(k+1,n+1)<= R(k,n+1)+R(k+1,n)usingthesamelogic.

WecantightentheupperboundofR(5,5)witha littlebitofelaborationonthislogic.

Ifwehave2X-1nodes,tonotimmediatelyensurefor theconditionstobemet,theremustbeX-1connections intheperspectiveofasinglenode.Andthisshould bealltrueforallnodes.Thisleadstobrute-forcingall again.However,wecanuseRamseynumberswithmore inputstopushthisboundarydrastically.

UsingtheknowledgethatR(4,5,24)is352366,we candraw2graphsGandHforR(4,5,24)andlabelK astheoverlappingregion.

Now,wecandefineaasalltheverticesthatare borderingHandbasalltheverticesthatarebordering G.

Thebiggraphasawholecanbedefinedas R(4,4,48).

Foreach K ∈ R(3, 5,d) with d ≤ 11 andforeachpair (G,a),(H,b)R(4,5,24,K).Bruteforceallthepossible

waysofglueingGandHwithK.

Sinceitisimpossibletoaddonevertexwhilestaying withinR(5,5),noneofthegraphsthatwerecreatedare subgraphsofR(5,5,48)

ThesestepsinturnprovethatR(5,5)islessthan orequalto48.

Thecounterexamplecanbedescribedasfollowing:

Arrange43pointsequallyspacedaroundacircle andlabelthemfrom0to42inclockwiseorderandin modulo43(sothatforallintegersa,thevertexaisthe sameasvertexa‘43).Foranytwodistinctverticesa, bwedefinethedistancebetweenthemasthelengthof theminorarcbetweenthevertices(wherewedefinethe minorarclengthbetweenadjacentverticestobe1).

Forallintegersisuchthat0<=i<=42,the5-tuple ofvertices(i,i+1,i+2,i+22,i+23)formsagraphsized5 inredcyclic(43).Thisyields43distinctred K5’s.

Thenextstepistodeletevertex0,producingacolored K42 withonly435=38red K5s.Finally,changethe followingedgesfromredtoblue:11←→32and j←→j+1 for j=4,5,6,7,13,14,15,16,23,24,30,33,39,40,41.

Onecanverifywithacomputerthatthiscoloring of K42 is K5-free.

Fig.2
13

Pascal’sTriangleandCombination

ChloeNayeonKim

Year10

Email:nkim27@pupils.nlcsjeju.kr

RecommendedYearLevel:KS4

Keywords:pascal’striangle,tetrahedral,binomial expansion

1Introduction

Mostmathematiciansnolongerexpandbinomial expansiononebyone.Theydon’tspendalongperiodoftimeexpandingmillionsofbrackets.Instead, theyusethesmartestandinnovativewaytosolvethe binomialexpansionproblem,whichisPascal’sTriangle.

2BackgroundInformation

ManypeoplemayhaveheardofBlaisePascal;a Frenchmathematicianandphysicistwhodiedinan earlyageof39.However,inspiteofhisyounglife, hewasasignificantfigureinthefieldofmathematics andphysics.Hewasthefoundationofthemoderntheoryofprobabilitiesaswell,formulatingwhatcameto beknownasPascal’sprincipleofpressure.Moreover, besidesthetheoriesthathediscovered,heinventedPascal’scalculator,mechanicalcalculator,addingmachine etc...Despitehismanyinventionsanddiscoveries, hisnameismostlywellknowntothemathematicians throughhistheoryofPascal’sTrianglethatpeopleused forcenturies.

3Method/Analysis

3.1HowtocreatePascal’striangle

Thissimplymaylooklikeaneatlyarrangedstackof numberstopeoplewhodon’tknowaboutit.However, itisactuallyamathematicaltreasuretrovethatwas highlyregardedinthehistoryofMathematics.Indian mathematicianscalledittheStaircaseofMouthMeru. InIran,it’stheKhayyamTriangle,andinChina,itis knownasYangHui’sTriangle.IntheWesternworld,it

iswellknownasPascal’sTriangle.ThisPascal’sTriangleisfullofpatternsandsecretsbehind.Thepattern underneaththistriangleisverysimple.Staringwith oneandimagininginvisiblezerosoneithersideofthe numberone.Addthemtogetherinpairs,andyouwill beabletogeneratethenextrow.Continueandkeep goingwiththisprocessoverandoveragainasthePascal’sTrianglegoesoninfinitely.Then,nowwehaveto knowwhatthesenumbersmean.So,eachrowcorrespondstothecoefficientofabinomialexpansionofthe form (x + y)n wherenisthenumberoftherowstart countingfrom0.Forexample,ifyoumakentobe3, andexpandit,youwillget

(x + y)(x + y)(x + y)

whichis:

Ifwelookcarefullyintoit,thecoefficient,ornumber infrontofthevariables,arethesameasthenumbers inthatrowofPascal’sTrianglewherethetriangle isaquickandsimplestwaytolookupallofthese coefficients.

3.2Power

Moreover,notwiththebinomialexpansion,butif youaddupthenumbersineachrowitwillalwaysbea

Figure1:Pascal’striangle
x 3 +3x 2 +3xy 2 + y 3
14

successivepowerof2.Forexample,row2,whenweadd upallofthenumbersitis4whereitis2tothepowerof 2.Inthesameway,thesumofthenumbersinrow5is 32,whichisalso2tothepowerof5,asshowninfigure2.

Also,lookinginadifferentway,let’stakeeachrow asanindividualnumberinsteadofahorizontalarrangementofonedigitnumbers.Forinstance,forrow2it is

(1 × 1)+(2 × 10)+(1 × 100)

whichequals121; 112 Anotherexample,forrow5,it willbe:

(1 × 1)+(5 × 10)+(10 × 100)

+(10 × 1000)+(5 × 10000)+(1 × 100000),

whichis 115 Inthiscase,itisnoticeablethatrown willresultas11tothepowerofn.

3.3Tetrahedral

Movingontotheaspectofgeometricapplications. Thediagonalsofthetriangleareimportant.Thefirst twodiagonalsaren’tsointerestingorcaptivatingasthey areallonesandthenthepositiveintegersarealsocalled naturalnumbersbutfromthethirddiagonal,itbecomes fascinating.Thenumbersonthethirddiagonalare knownasthetriangularnumbersbecauseifthenumbersarealltakenoutandstackthemup,theycanbe stackedupinequilateraltriangles.Thenextdiagonalis tobeknownastetrahedralnumbersbecausesimilarly, itcanbestackedupintotetrahedral.

3.4Sketchingalloddnumbers

Anothergeometricapplicationcanbeseenby shadingineveryoddnumber.Afterathousandrows, thefractalknownasSierpinski’sTriangleappears. Thisisveryusefulinthesenseofprobabilityand

calculationsinthedomainofcombinatorics.Sofor example,ifafamilycalledAislookingfor3girls and2boysastheirdreamchildren,inthebinomial expansion,itwillbasicallycorrespondto(boy+girl)5. Thenwhenwelookatrow5,itis1x5+5x4y+10x3y2 +10x2y3+5xy4+1y5wherethefirstrefersto5girls andthelastrefersto5boys.Butasthefamilywants 3girlsand2boys,theonethattheyarelookingforis 10x3y2.Tocalculatethepossibility,itwouldbe10out ofthesumofallthenumbersintherowwhichmeans 10/32being31.25%of3girlsand2boys.

4Conclusion

ThroughthediscoveryofPascal’sTriangle,itwas mucheasierforpeopletosolvebinomialexpansionsin ashorteramountoftime.

5Extension

Combination (nCr) isusedtocountthenumberof differentgroups/terms/collections/setsetc...that canbeformedusingrobjectsselectedfromndifferent objectsnotconsideringtheorder.Theformulaofcombinationis

nCr =(n!)/(n r)!(r!)

Thisisusefulinawaytosolvethebinomialexpansion problem.Thewayweusecombinationsinbinomialexpansionisfairlysimpleifweexactlyknowhowto.

Figure2:Pascal’striangleandthepowerof2 Figure3:TetrahedralinPascal’striangle Figure4:OddnumbersshadedinPascal’striangle
15

RecommendedYearLevel:KS4

Keywords:settheory,infinity

SetTheory

Youngjae(Collin)Seo Year10

Email:yjseo27@pupils.nlcsjeju.kr

Editor

Taehong(Austin)Ha

1Introduction

Intheworldofsettheory,wheremathematicsexploresinfinity,comparingthesizesofsetsisthecentral focus.Inthissense,settheorymaybeinterpretedas challengingthefundamentalsofmathematics,asitquestionsaverybasicbutcomplicatedconcept–theideaof infinity.ThisarticledivesintotheenigmaoftheContinuumHypothesis,firstsuggestedbyGeorgCantor,in thelate19thcentury.Thisarticleaimsforajourney throughthehistoryofsettheory,discussingCantor’s ideaofsets.SettheoryandContinuumHypothesis reachesthelimitofmodernmathematicalknowledge, wherefiguringoutthesizesofsetsmeetsapuzzlethat cannotberesolved.

3TheTheoryofTransfiniteNumbers

SettheorybeganwiththeworkofGeorgeCantor. In1874,GeorgeCantorprovedthatthesetofalgebraic numbersiscountable,meaningthattheyshowabijection(1to1correspondence)betweenthemselvesandthe setofnaturalnumbers.Thealgebraicnumbersreferto complexsolutionsofpolynomialequationsoftheform:

2KeyTerminologies/Definitions

1.Card(X):thenumberofelementsoftheset.

2.CardinalityofanemptysetisZero.

3.Countablesetsreferstothesetthatcanbe countedasasubsetofnaturalnumbersanduncountablesetsreferstothesetsthatcannotbeexpressedas asubsetofnaturalnumbers

4.Thecardinalityofsetsaredefinedtobethe same,whentheyshowaonetoonerelationship (bijection).

Wherethecoefficients ai areintegersand an isnon-zero. Givensuchanequation,letthisequation:

|+|a0|+n

beitsindex,k.Itisclearthatforeveryk>0there areonlyafinitenumberofequationsofindexk.Forinstance,thereareonly4equationsofindex3withstrictly positivean,namely X 2 =0,2X=0,X+1=0and X-1=0,whichhavesolutions0,1,and1.Itfollows thatforallk>0,therearefinitely-manysolutionsof equationsofindexk.Thus,wecanenumerateallalgebraicnumbersbyenumeratingallsolutionsofequations ofindex1,followedbyallnewsolutionsofequationsof index2,andsoon.

3.1ComparingtheSizesofIntegerandNatural number

Manystudentsbelievethattheintegerhasgreater cardinalitythanthenaturalnumber.Thismayseem obviousasintegerisasetthatcontainsthesetofnaturalnumbers.However,throughthefollowingfunction, itcanbeeasilyproventhatthecardinalityofnaturalnumbersandintegersarethesame,indicatingthat theyhavethesamenumberofelements,nonetheless, thefactthatthenaturalnumberisapartofinteger.

anXn+an 1Xn 1
+ + a1X+a0
an|+|an1
|
16

Throughthefunctionabovebijectionisshownbetweentheintegerandnaturalnumbers.Thestatement thattheirsizesofinfinityarethesame,hasbeenproven. Therefore,

card(N)=card(Z)

3.2ComparingtheSizesofNaturalNumbers andRationalNumbers

Inasimilarmanner,therationalnumbersarealso expectedtohavegreatercardinalitythanintegerand naturalnumbers.However,thisisalsoamisconception thatcanbedisapprovedofeasily.

Whenarrangedinthewaypresentedabove,bijectionexistsbuthowever,the1to1correspondence cannotbecheckedfully,asthefirstlinedoesnotend.

Byrearrangingthesetsinsuchamanner,presented above,wecancheckthebijectionbetweenthesetsdiagonally.Thefractionsorthevaluesthathavebeen countedcanberejectedintheprocess,andthisenablestocheckthecorrespondencethroughouttheset; notonlythefirstline.Thus,ithasalsobeenproven thatthesizeofrationalnumbersortheinfinityofrationalnumbersequalstheinfinityofNaturalnumbers. Thus:

card(N)=card(Q)

3.3ComparingtheSizesofNaturalNumbers andIrrationalNumbers

Accordingtothelogicpresentedin3.1and3.2,it mightbeobvioustothinkthatthenaturalnumbersand theirrationalnumbershavethesamecardinalityaswell (hereirrationalnumberreferstothewordthatcannot beexpressedinfractions).However,surprisingly,this isnotthecasefortheirrationalnumbers.

Bylookingatthenumberarrangementsabove,it iseasytobelievethatthenaturalnumbersandthe irrationalnumbersshowabijectionbetweenthem.

However,oncethenumbersarearrangedinsuch amannerandifdifferentdigitsarebroughtfrom thenumbersandiftheyaremadeintooneirrational number,1beingaddedoneverydigitbelowdecimal point,anumberthatdoesnotoverlapcanbemade. Thisproveshow,nonethelesstheamountofirrational numbercorrespondingtothenaturalnumber,there isalwaysanirrationalnumberthatcannotbecorresponded.Thusthisshowsthattheirrationalnumbers havegreatercardinalitythanthenaturalnumbers.As aresult,

17
card(n) = card(Qc) card(n)<card(Qc)

4CountabilityofInfinites

GeorgCantordefinesthesizeofthenaturalnumber ortheinfinityofnaturalnumbersascountable.Considerthefunction f(n)=n.Apparently,thisisaninjectivefunctionsinceforevery n ∈ S=N andthereisan f(n) inNaturalnumbers.SonaturalnumberswereconsideredcountablebyCantor.Duetothisthefollowing statementswereproved:

card(N)=countable ∞

card(Z)=countable ∞

card(Z)=countable ∞

However,therealnumbercannotbedefinedas countable,astherealnumbersaredefinedas

R=Q ∪Qc

Asshown,realnumbersconsistoftwodifferent numbers–rationalandirrationalnumbers.Although therationalnumbersarecountable,becausetheirrationalnumbersareuncountabletherealnumberscannot beconsideredascountable.Thus,

card(Z)=uncountable ∞

5SizesofInfinity:IntroducingAleph Cantor,whileinvestigatingandcomparingthesizes ofthesets,hewonderedwhetherthesizesofinfinitycan beexpressedassymbolsorcanbemeasured.Herethe introductiontoAlephtakesplace.

ThroughtheintroductionofAlephnull,expressing thesizesofinfinityasanexpressionbecamepossible. Basedonthecalculationofthenumberofsubsetsofa set,sizesofsetscouldbedetermined.

n(P(x))= 2n(x)

BytheusageofAleph,Cantordefinedthesmallest sizeofinfinityortheset,asAlephnull,whichisthesize andcardinalityofnaturalnumbers.

card(N)= ℵ0

Thusaccordingtothis,bydefiningthesizeofreal numbersasthenumberofsubsetsofnaturalnumber, thecardinalityofrealnumbercanbeexpressedasfollowing:

card(R)= 2ℵ0

6AbsoluteInfinity

Accordingtothelogicofthenumberofsubsets, utilisedondeterminingthecardinalityofrealnumbers, Cantorquestioned“Thenwhatisthebiggestcardinality?”

Asthiscontinuesthesizeofinfinitygrowsinfinitely bigger.Cantordefinesthisasabsoluteinfinity,whichis expressedasthesymbolOmega.

Defining Ω orfiguringoutanumericalvaluetois consideredamystery,tothecurrentunderstandingsof mathematics.

7ContinuumHypothesis

AlthoughCantorhadremovedmanybarriersbetweenhumanityandmathematics,thereisahypothesis whereitcouldnotbeprovennorbeproven.Although thissoundsawkward,thisisthetruth.

ℵ0 <x< 2ℵ0 2ℵ0 = ℵ1

ℵn+1 = 2ℵn

Thecontinuumhypothesis,suggestedbyCantor, statesthatthereisnosuchcardinalitybetweenthose twocardinalities.ThishypothesisisalsooneofGodel’s incompletenesstheorems,whichindicatesthatitcannotbeprovednordisproved.Regardlessofthehypothesisbeingrightorwrong,itdoesnotcauseanymathematicalparadoxesorproblems.Thereasonwhythis isnamedasacontinuumhypothesisisbecause,ifthere isnocardinalityexistingbetween ℵ0 <x< 2ℵ0 , 2ℵ0 is thenextsmallestcardinality.Andinthismanner,the cardinalityisbelievedtocontinueincreasinguntilthe absoluteinfinity().Thus,asitisbelievedtoincrease likeafunction,itisnamedastheContinuumHypothesis.

8Conclusion

Settheoryestablishesthebasicsandthefundamentalsofmathematics.Havinganinsightonsettheory givesabetterunderstandingofmathematics,notonlyas asubjecttakeninschool,butasanareaofstudy.However,althoughthesettheoryandCantor’sinsightreply tomanyquestions,thereisstillanareathatcannotbe understood,bythecurrentunderstandingofmathematics.ContinuumHypothesisiswherehumanityreaches theirlimit.AlthoughtheContinuumHypothesiswas provedthatitcannotbedisproved,thisarticlefirmly believesthatthereisacardinalityexistingbetweenthe sizeofnaturalnumbersandrealnumbers.Thisarticle alsobelievesthattheanswertothishypothesisisthe keytothefuture,whichwillsolvemysteriesofmathematicsandphysics.Solvingthis,isthemissionassigned bytheseniormathematicians,tothefuturegenerations.

ℵ0, 2ℵ0 , 22ℵ0 , 222ℵ0 ,........
18

RecommendedYearLevel:KS4

Paradoxes

Seoha(David)Kim Year9

Email:seohakim28@pupils.nlcsjeju.kr

Editor Taehong(Austin)Ha

Keywords:Paradox,thoughtexperiments,antimony anddialethia

1Introduction

AsthewriterofthenewspaperLittleJourneyonce said,“Lifeisaparadox”.FromwhenSocratesandhis contemporarieswerealivetothemodernInformation Paradox,paradoxesencompassvariousfields,radiatingtheirpresencetomankind,thequestionoftheir acknowledgementputaside.However,thefundamentalsregardingparadoxesarenotfrequentlydiscussed, whichwouldbethemainobjectiveofthisarticle.The vaguedefinitionofparadoxesconsistsofanystatement oranideathatcontradictsitself,commonlyaccepted knowledge,orotherseemingly“true”ideas.Themathematical(philosophical)wordconveysthesameideas, althoughtheyarelimitedtomore‘field-specific’ones.

3ThoughtExperiments(Gedankenexperiments)

2PatrickHughes’ThreeLawsofParadoxes

Someelementsareessentialwhilecreating(or analysing)aparadox:self-reference,contradiction,and viciouscircularity.Theliarparadoxisbothoverused andaperfectexampleofallthreeconstituents.The axiomoftheparadoxliesinitself,whichiscommonly theoriginofconfusion.Thisalsofitsnicelywitha clearthemeofcontradiction,sincethestatementistrue ifitisfalseandviceversa,thusresultinginanambiguousvalueofsomewherebetweentrueandfalse. Theultimateattribute,viciouscircularity,isquiteselfexplanatory;ifastatementistrue,thenitstrivestobe itsopposite,infinitelyregressing

Thisisthepartwhereitgets(arguably)themostintriguingandcomplex.Thereisanindistinguishablebarrierbetweenthoughtexperiments,philosophyandparadoxes,andthesebarriersarefrequentlydisregarded. Thoughtexperimentsgenerallyformamiddeepcontemplation,recreatingassumedworldsandaxioms.Ludwig Wittgenstein(b.1889,d.1951)isaprominentphilosopherwhotookontheuntouchedroadof“expressing pain”.Hiswordsareasfollows:

“Imagineaworldwhereeveryindividualisprovided withabeetleinabox.Anyinformationregarding morphologyorcharacteristicsistoberestrictedto anythinginsidetheirbox.Thiswouldsuggestthat conversationordescriptionwouldbemeaningless,as whatoneseeswoulddifferfromanother.”

Usingthesameconceptastheonethatcanbedepictedfromtheexperimentabove,itwouldbelogicalto statethatpaincannotbedescribedthroughanalogies. Painisanelementthatcannotbeconsideredrelatively.

Fig.1:AvisualrepresentationoftheLiarParadox
19

4Quine’sclassification

WillardQuine(b.1908d.2000),anotablephilosopherofthe20thcentury,categorisedparadoxesbased ontheir interiorandexterior absurdity.Twomainideas branchoffinhisclassification-veridicalandfalsidical paradoxes.Whenlogicfitsinneitherorbothcategories, itisdefinedasantimonyanddialetheiarespectively.

4.1Veridicalparadoxes

Veridicalparadoxesseemabsurd,yettheytend tocontraveneconceptions.Thisabsurdityoriginates mostlyfromhastyassumptionsorincorrectlyconceptualisingacertainoutcome.TheMontyHalldilemmais anabstractwayofvisualisingit

Inagameshow,youareaskedtochooseadoorout ofthree,twoofwhichconcealagoatandtheremaining withacar.Thenadoorwithagoatisdisclosed,and onceagain,youareaskedtoreconsideryourchoices.It iseitheryoustickorchange,itisessentialtomaximise profit.

Althoughthechancesofgettingacarwhenyoustick orchangedon’tseemtobeaffected,theprecedingtree diagramsignifiesotherwise.Changingyourchoiceresultsina 2 3 chanceofsuccess.

Surprisingly,thisparadoxlacksthehiddenrequirementofone;itsolelyreliesonsociety.Ifsocietydoesn’t haveaunifiedbeliefthattheresultsareunexpected,it losesitsidentityasaparadox.

MarilynvosSavant(b.1946a.77)fitsinthatcategory.Shearguedthatgiventwogoats,thealternative wouldbringinaconsequenceoftwocars.Thisexplanation,althoughacceptable,doesnotprovideappropriate evidenceforwhytheopposingargumentiscontradictory.

4.2Falsidicalparadoxes

Afalsidicalparadox,justasitsnameimplies,retainsitsqualityasaseeminglylookingandabsurdparadox.Itoftenconveysaxioms,whicharelogicallyproven concepts,toreachacertainconclusionthatisandseems absurd.Itisoftenthecasethataflawinreasoningis whatcausedthefallacy.

Arenownedexampleofafalsidicalparadoxwould be Curry’sParadox,wherearbitraryclaimsareusedto proveacertainassertionbothinfinitelyprovableand unprovablesimultaneously.Belowistheformalproof forthisparadox.

Writingoutthesemathematicalsymbolswould resultinthefollowing:

GiventhatXis“Thissentence”andYis“Germany bordersChina”,thesentenceinfinitelyreiterateswhilst returningtheanswerasY.

Theparadoxcanbedisprovedinthefollowingway:

∀A, ∃X,X = A

Thisisthestandardwayofdefiningunusedvariables.However,thisleadstothefollowing:

f(X → Y)=X → Y

Theproofdidnotbeginwiththisstatementand thereforeincorrectlyconcludedthewaysofdefiningY. Thiswastheideaofafalsidicalparadox,illustrated throughformalproof.

4.3Antimony&Dialetheia

Notethatthefollowingtwotopicsareofsevereambiguity.Antimonyanddialetheiaeachrefertoparadoxespossessingnoneorbothveridicalorfalsidical properties.Toelaborate,dialetheiacanbeconsidereda specialcaseofantimony,wherethenegationofacertain propositionisalsoasvalidastheformer.

heintroductionofanotherparadoxwillbenecessaryherefortheexplanationofthesenotions. TheGrelling–Nelsonparadoxintroducestwocrucial words,‘autological’and‘heterological’.Theyrefer toadjectivesthatdoanddonotdescribethemselves respectively.Althoughclassifyingthesewordsdoesn’t

20

seemlikeaproblem,multiplearisewhenputtingthe word‘heterological’in.

“Isheterologicalaheterologicalword?”

Bothcasesprovideawronganswer,successfully stayingoutoftherealmofbothveridicalandfalsidicalparadoxes.Iftheanswerisno,thenheterological wouldbeanautologicalword,meaningheterologicaldescribesitself.Thiscontradicts.Iftheanswerisyes, thenheterologicalisaheterologicalword,meaningthat heterologicaldoesn’tdescribeitself.Likewise,thisis contradictory.

Dialetheia,surprisingly,ismerelyabeliefthat therearecaseswhereboththenegationanditsreverse argumentarevalid.Noexamplesexistregardingthis topic,asthethesishasnotyetbeenverified.

5Implementation

Withalltheanalogiesandexplanationssettled,let usviewthereal-lifeapplicationsofparadoxes.

Assumeyouaretotravelxkm.Ifyouaretravellingatotaldistanceofxkm/h,commonsensereveals thefactthatitwilltakeexactlyonehourtoreachthe destination.

However,afractionofasecondlater,youarefaced withthesamesituationoftravellingalittlelessthan xkm.Assumethatyourspeeddecreaseslinearlyin correlationwiththedistanceleftyettotravel.

Fromthis,itcanbeconcludedthatyouwillalways betravelling.However,atanypointduringthejourney, itwasalsoshownthatonehourwillalwaysbeleftof thejourney.Ifbothaxiomsaretrue,astatementcan bemadehere:

Thetravellerwillneverreachtheirdestination.

Thiscontradictscommonknowledge,sincexwill alwaysbereasonablybig,andthetravellerwillalways beinastateofconstantmotion.Thetravellershould reachtheirdestinationatsomepoint.

Therearemultiplewaysthisparadoxcanbeproven logicallyincorrect.Theflawherecanbesolvedwiththe conceptoflimits.

Thesituationcanbecondensedtothefollowing equation,giventhatxisthetimetakenatacertain frame,yisthedistancetobetravelledandAisthe non-inclusivesetofallrealnumbersbetweentherange ofyand0.:

resultsinanerrorandcannotbecomputed.

6Conclusion

Withthis,thestoryoftherealmofparadoxescomes toanend,leavingbehindnothingbutambiguityand perplexity.Paradoxes,despitetheiranonymityamongst laymen,havetheirusageinlife;theyindicatethefact thatourphilosophicalnotionsandourwaysoffixed mindsetsareflawed.Thisarticleshouldhavehopefully providedreaderswithinsightintohowparadoxessettled theirplaceinreallife,supportingtheoriesandengaging learnerswithcriticalthinking.Itishopedthatallarein completeagreementthatparadoxesarethefoundation ofproofsandthattheyprovidetheinspirationforthe formulationofone.

7Appendix

Althoughthisequationcanbewrittenonhand,the ideaofinfinity,addedontosetAbeinguncountable,

Considerthetwotablesbelow.

Lookingatthetableabove,aswetravelthefirst metre,ittakes distance rate = 1m 100km/h =0 01 secondsuntil thespeedisthendepreciated.Thetablebelowillustratesthesameidea,onlythattheequationisslightly alteredinto 0 1m 100km/h =0 001 secondsbeforethespeed changes.Asthisprocessiscontinued,alimitequation canbeformed,asthemostpreciseversionofthisequationwouldbe 10−∞ 100km/h =0.01.Hencethefirstequation.

However,thiswasmerelythefirststep.Eachtime thedistanceisdecreased,thetimeittakesbeforethat minusculeamountofspeeddecreaseshastobecalculatedandaddedup.Thesummationsymbolcomes inhere,addingupallthevaluestobecomputed,and

f (x)= y∈A lim x→−∞ 10x y
f (x)= y∈A lim x→−∞ 10x y
21

changingthevalueofy,whichwilldecreaseagainbyan infinitesimalvalue.

Addingallthesevaluestogetherresultsinthefinal equationaforementioned.

22

Howtosketchanyfunctionstepbystep

Yejun(Derek)Yoo Year11

Email:yjyoo26@pupils.nlcsjeju.kr

Editor

Emma(Chaeeun)Chung

RecommendedYearLevel:KS4,KS5

Keywords:Functions,graphing,derivatives

1Introduction

Knowinghowtosketchafunctionisafundamental skillthathasbroadapplicationsinmathematics,science,engineering,andbeyond.Byacquiringsucha virtuewouldenableonetovisualiserelationshipsbetweenvariables.Accordingly,itnotonlyhelpsyouunderstandandcommunicatemathematicalideasbutalso fosterscriticalthinkingandproblem-solvingskillsthat arevaluableinmanyaspectsoflife.

Inthisjourneyfordiscovery,Iwouldliketocreateasystematicapproachtowardscreatingtheultimate “sketcher”.

Thisjournalwouldnotincludeanydifficultjargon orrequireanyknowledgeoutoftheIGCSEcurriculum. Yet,itwouldbedonesolelybymydiscoveries.

Theidealreaderofthisarticleshouldbeableto utilisebasicdifferentiation.

2Step-by-step

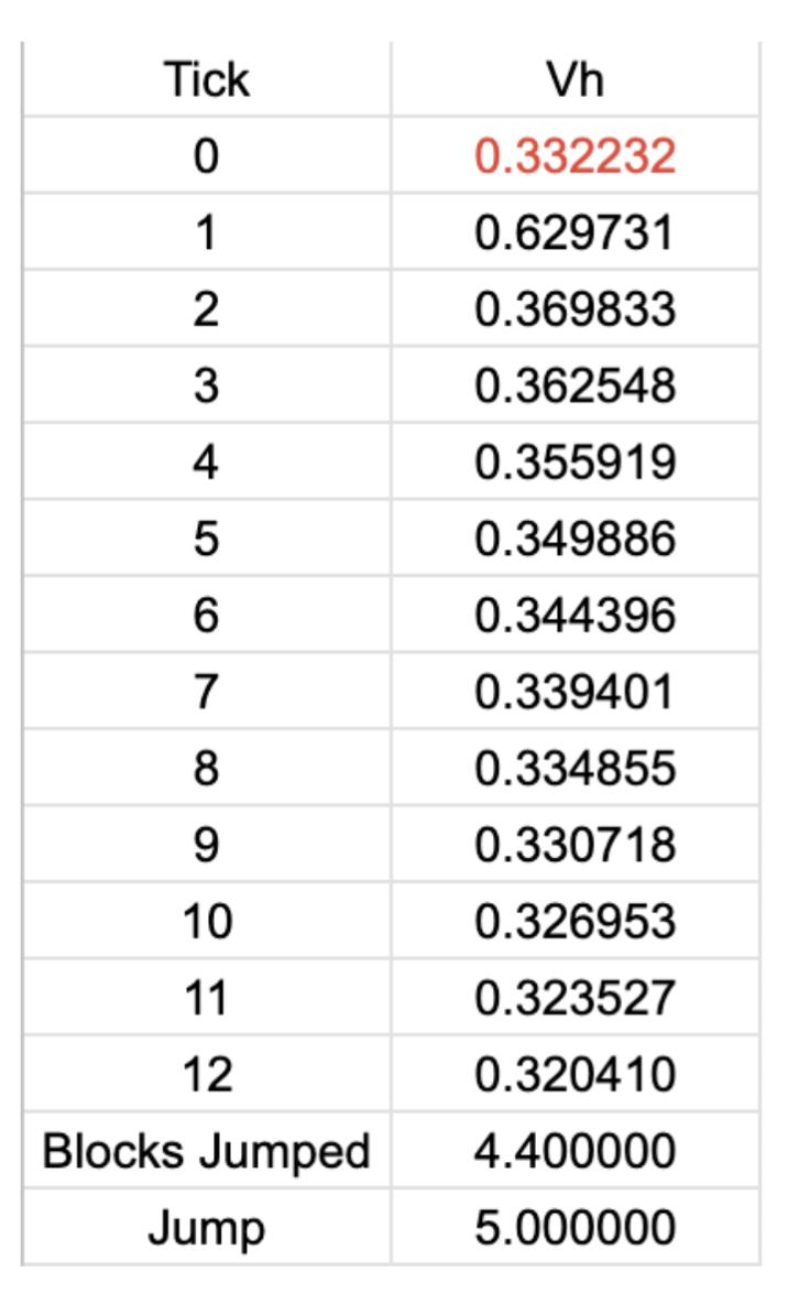
Astepbystepapproachwouldbeshownwithan example: y

2.1EndBehaviours

First,wewillhavetoimagineatypicalcartesian planeandimaginetheextremes:

Arigorouswaytodosowouldbeusinglimits,but inthiscaseitdoesnotseemnecessary.Asthexgets

bigger,thefirsttermxwouldincreaseincreasingly.Althoughthesecondtermwouldgetsmallerasxgetsbigger,itwouldstillbeaddingasmallbittothefirstterms. Therefore:

Similarly,thesamelogicapplieswhenxgetsinfinitely small.Making:

Atthisstage,onewouldimagineagraphcoming fromthethirdquatraintowardsthefirstquatrain.

2.2Checksforasymptotes

Afunctioncanhaveasymptotes,meaningthatthe functionmightinfinitelygetclosertoalinewithout touching.Theasymptotemightexistintheformofhorizontal,verticalandslant.Horizontalasymptotescan beeasilyfoundinthenextstep,butverticalasymptotes followthefollowingrule.

= x + 1 x (1)
x → +∞ and x →−∞ (2)
x →∞ : y →∞
(3)
x →−∞ : y →−∞
(4)
Fig.1:generalbehaviour
f (x)= axn + bxm + (5) 23

1. If n < m,thehorizontalasymptoteisthe x axis

2. If n=m,thehorizontalasymptoteis y = a b

3. If n>m,nohorizontalasymptote

Then,thepresenceofaslantasymptotecanbe determinedby:

If g(x) istheslantasymptote,

lim x→∞ f (x) g(x)

(6)

Forthisfunction,theslantasymptotecanbefound by:

lim x→∞ x + 1 x = x

(7)

Theequationrepresentsthatasxgetsbiggeror smaller,theincrementordecreaseof 1 x wouldbeinsignificantmakingtheequationtheoreticallygetting moresimilartoy=x.Inotherwords,theslantasymptotewouldbey=x.

2.3Checkdomain

Second,onewouldbelookingforvaluesofxwhere theyvalueisundefined.Inotherwords,whereaconstantorvariablehastobedividedby0.Inthiscase:

x =0: y = UND

(8)

Atthisstage,wecaninferthatatthispointthe graphwouldshowaverticalasymptoteorapiecewise graph.

2.4Derivatives

Third,onewouldusethefirstandsecondderivative ofthefunctiontoderivecriticalpoints,pointofinflection,andthegeneralshapeofthegraphbeingconcave upordown.

Thefollowingarethefirstandsecondderivativeof thefunctionwearetryingtosketch.

dy dx =1 1 x2

d2y

dx2 = 2 x3

(9)

Sincethevalueofthefirstderivativeindicatesthe gradientattheinstance,therootsofthefunctionare thecriticalpointsofthefunction.Inthiscase,x= ± 1wouldbethecriticalpointsofthegraph.Inother words,eachwouldbeeitherthemaximumorminimum point.

Atthispoint,Ifoundoutthatmakingatablewith suchinformationwouldbeeffective.Thefollowingstep illustratesthethoughtprocessoneshouldbeundertakingwhencreatingatable.

Fig.3

Likewise,thefirstrowshouldalwayscontainanegativeinfiniteandpositiveinfiniteoneachsideofthe imaginaryxaxis.Then,accordingtothepreviousstep, ifthefunctionhasanyundefineddomainorcritical point,additintheaxis(underlinedinthetable).

Then,asthegradientstayspositiveornegativeunlessitpassesacriticalpointwhichisalreadyindicated,

Fig.2:ThoughtProcess Fig.4 Fig.5
24

wecanlabelthegradientpositiveornegativethroughoutthedomain.

Ontopofthat,wesimilarlyaddthesameforthe secondderivative.

Finally,withalltheinformation,wecansuccessfully imaginetheshapeofthefunction:Thegraphwouldbe concavedownforxssmallerthan0andconcaveupfor xsbiggerthan0.

Ultimately,combiningtheinformationfromthetwo derivatives,wecandecideupontheshapeofeachpart ofthegraph.

2.5Labellingessentialinformation

Ageneralsketchfortheshapeandconcavityshould havebeendoneatthispoint.Inturn,atthisstep,one wouldsimplylabeltheso-called“essential”pointsofthe graph.

Foremost,ifanx-interceptispresent,onecanfind suchbysolvingtheequationwheref(x)is0.Considering therequiredknowledgeofdifferentiation,Iwillassume thereaderiscapableofsimplealgebra.

Similarly,ifany-interceptispresent,thecoordinatescanbefoundbyconsideringxas0.

Then,thecriticalpoints(stationarypoints)would belabelled.Thecriticalpointsarewherethefirst derivativeequal0.

Moreover,thepointswherethesecondderivatives equal0areusuallycalledthepointofinflection;insome cases,anundulationpointexists.

3PracticeFunctions

Thefollowingarethemostfrequentlyusedgraphs outofconvention.

Haveagoinsketching:

4Challenge

Nowlet’strytosketchthissomewhatchallenging function.Thestepswon’tbejustifiedorexplained;this

Fig.6 Fig.7 Fig.8 Fig.9
• y = e x x • y = 1nx x • y = e x +e x 2 • y = e x e x 2 • y = x 1 x • y = 1 1+x2 • y = 1 1 x2 • y = 1 1+x2 • y =sin x +cos x • y = x sin x • y =sin x + x
y = x2 + x +1 x2 x +1 (10)
25

sectiondemonstrateshowonecouldgainmomentum andideallyworkitoutintheirmind.

4.1EndBehaviours

Thiscanbeknownbysanity,buttoaddrigor:

4.2Checksforasymptotes

Ithasahorizontalasymptoteofy=1.Thisisdone usingtheformulamentionedinpart2.2.

4.3Checkdomain

Allvaluesof x correlatetoaspecific y value.The denominator x2 -x+1doesnothaveanyroots,inotherwordsnotallowingasituationdividing0.

4.4Derivatives

First,derivethederivatives.

Then,findzerosofthefirstderivativetobeinserted inthetable(underlined).

Repeatthestepsinpart2.d. Eventually,asketchlikesuchcanbeproduced.

x → +∞ : y → 1 x →−∞ : y → 1 (11)
lim x→+∞ x2 + x +1 x2 x +1 =lim x→+∞ 1+ 1 x + 1 x2 1 1 x + 1 x2 =1 (12)
{x : x ∈ R} (13)
f ′(x)= 2x2 +2 (x2 x +1)2 f ′(x)= 4 x3 +3x 1 (x2 x +1)3 (14)
2x2 +2 (x2 x +1)2 =0 x =1, 1 (15)
Fig.10
26
Fig.11

MathematicsBehindRubik’sCube

James(Choisung)Park Year10

Email:cspark27@pupils.nlcsjeju.kr

Editor

Emma(Chaeeun)Chung

RecommendedYearLevel:KS5

Keywords:Rubik’scube,grouptheory,combination permutation

1Introduction

Inventedin1974byaHungarianarchitect,Ernő Rubik,theRubik’sCubeisa3-dimensionalpuzzleconsistingof26uniqueminusculecubes,oftencalled“cubies”or“cubelets”.Thecubeisusedasatoywhere theaimistoreassemblethecubesothat9cubbieson eachfacedisplaythesamecolor.Inordertoefficiently accomplishsuchaim,awiderangeofpeopleattempted toinvestigatethemostefficientmethodtoreassemble thecube.Asaresult,notwithstandingthatnearlya halfdecadehaspassedsinceitsinvention,theintriguingquestionyetremains:whydoestheprobabilityof solvingitconvergeto1/12?

2Rubik’sCube

Rubik’sCubeismadeupof271x1x1cubes,often referredtoas"cubies"or“cubelets”:7centercubbies, whichdonotmove,12edgecubieseachwith2sides outward,and8cornercubieswith3sidesoutward.20 cubbiesfacingoutwardincludeconcealedinwardextensionsthatinterlockwiththeothercubes,allowingthem tomovetodifferentlocations.However,thecentercube ofeachofthesixfacesisasinglesquarefaçade,allsix ofwhichareaffixedtothecorecentercubbies.Such arrangementallowsothercubbiestofitintoandrotate around.

3Notation

Throughoutthepaper,thenotationsbelowwillbe usedtoindicatethespecificsides.

1. F(Front):Thesidefacingthepersonwhois currentlysolvingthecube.

2. B(Back):ThesidelocatedoppositetotheFside

3. U(Up):Thetopsurface,thesurfacefacingupwards D(Down):ThesidelocatedoppositetheUside, thebottomsideofthecube

4. L(Left):Thesideimmediatelytotheleftofyou whenlookingattheFside.

5. R(Right):Thesideimmediatelytotherightofyou whenlookingattheFside.

TheRubik’sCubeisdeeplyrootedingrouptheory,abranchofabstractalgebra.Thesetofallpossiblemovesonthecubeformsamathematicalstructure knownasagroup.Grouptheoryhelpsdescribethe cube’ssymmetriesandaidsinunderstandinghowits piecesmoveandinteractduringsolving.

Fig.1:SidesofaRubik’sCube
27

4PermutationGroups

Apermutationofcornerpiecesorvertexpiecesis oddifthetotalnumberofrotationsisodd,andeven ifthetotalnumberofrotationsiseven.Thisisfundamentaltounderstandingthemathematicalpropertiesof Rubik’sCubeandsimilarsequentialmovementpuzzles.

Thesmallestunitofrotationofthecubeisoneturn. Everypossiblepermutationofthecubecanberepresentedbyanexchangeofpieces.

8cornercubbiesthatcanbearrangedin8!ways, eachofwhichcanbearrangedin3orientations,giving 38possibilitiesforeachpermutationofthecornercubies.Thereare12edgepieceswhichcanbearrangedin 12!ways.Eachedgepiecehas2possibleorientations,so eachpermutationofedgepieceshas212arrangements. ButintheRubik’scube,only13ofthepermutations havetherotationsofthecornercubiescorrect.Only1 2ofthepermutationshavethesameedge-flippingorientationastheoriginalcube,andonly12ofthesehave thecorrectcubie-rearrangementparity,whichwillbe discussedlater.Thisgives

3

possiblecombinationsofthecube.

Itonlylooksatthepermutationanddoesnotcare aboutthedirectionalityofthepieces.Inconclusion, thepermutationofedgepiecesorvertexpiecesbecomes oddpermutationwhenthetotalnumberofrotationsis odd,andevenpermutationwhenthetotalnumberof rotationsiseven.Thisbecomesbasicknowledgewhen consideringthemathematicalpropertiesofaRubik’s Cubeorsimilarsequentialmovementpuzzle.Therefore, theminimumunitforrotatingacubeisonerotation. Allpossiblepermutationsofacubecanberepresented byexchangingpieces.

5OrientationofCubes

Demonstratingpropertiesrelatedtoorientationinvolvescoloringthespotsofeachpiece.Thecriterionfor apiecetobeconsideredorientedisthatitspink-colored sidealignswiththepink-coloredspotinthefigureon theleft.Assumingnoaxisrotation,asanyrotationis achievablewithafixedaxisandappropriateviewpoint adjustments,weassigneachpieceavalueof1ifitspink sidealignswiththepinksideinthereferencefigure, and-1ifitalignswiththegrayside.Observingthe figurerevealsthatU,D,R,L,F2,andB2rotations consistentlymaintaintheorientationofcornerpieces. However,FandBrotationsresultintheflipoforientationforsomecornerpieces.Notably,onlyaneven numberofcornerpiecesconsistentlyexhibitthecorrect orientation.Thisimpliesthatonlyanevennumberof cornerpieceswillconsistentlyhaveamisorientedstatus.Forinstance,considerF.Ifthefourcornerpieces

ontheFsidewereassigneda1,theywillbechanged to-1,andifassigneda-1,theywillbechangedto1. Eachofthefourcornerpiecesistherebymultipliedby -1.Multiplyingall12cornerpiecesbytheirassigned numbersconsistentlyyieldsaproductof1,maintaining aconstantstate.Sincetheproductwas1inthesolved state,itcanbeconcludedthatitwillalwaysbe1.Itis evidentthatonlyanevennumberofcornerpieceswill alwaysbeoriented,meaningonlyanevennumberofcornerpieceswillconsistentlybemisoriented.Therefore,if cornerpiecesareflipped,anevennumberofthemwill alwaysbeflipped.

6EvenandOddPermutations

Intheoriginalpermutationofndifferentthings,the stateformedbyexchanging2positionsanoddnumber oftimesiscalledanoddpermutation,andthestate formedbyexchanginganevennumberoftimesiscalled anevenpermutation.

Thisiscalledtheoddnessofthepermutation. Ifthenumberofpermutationsofnobjectsisn,the numberofevenandoddpermutationsisn/2.

Example) Originalpermutation:(1,2,3,4) Numberofpermutations=4!

Numberofevenandoddpermutations=4!/2 Oneexchange-(2,1,3,4)>oddpermutation

Threeexchanges-(2,3,4,1)>oddpermutation

Swaptwice-(2,3,1,4)>evenpermutation Swapfourtimes-(4,3,2,1)>evenpermutation

7Swapsand4-cycles

1. 1swap:swappingthepositionsof2pieceswitheach other.

2. 4-cycle:swappingthepositionsof4piecesoneby onetotheside.

3. A4-cyclecanberepresentedby3swaps:abcd → bacd → bcad → bcda

Lookingatthecornerpiecesalone,onerotationresultsinthree(odd)exchanges.Thesameistruefor thevertexpieces.Intheoriginalstate,anoddnumber of4-cycleswouldresultinanoddpermutation,andan evennumberofpermutationswouldresultinaneven permutation.However,sinceeachrotationisasingle applicationofthe4-cycletoeachofthecornerandvertexpieces,theresultisthatthepermutabilityofeachof thecornersandverticesisaligned,withanoddnumber ofrotationsresultinginanoddpermutationandaneven numberofrotationsresultinginanevenpermutation.

Ifeach90-degreerotationoftheouterlayerisa

2)
(1)
8 × 8! × 212 × 12! (3 × 2 ×
=43, 252, 003, 274, 489, 856, 000
28

rotation,thenanoddnumberofrotationsinthealigned statewillresultinanoddpermutation,andaneven numberofrotationswillresultinanevenpermutation. Thisistrueforcornersandvertices.

Becauseoddandevenpermutationsaredistinct,an oddpermutationcanalwaysbesolvedwithanoddnumberofrotationsandanevenpermutationcanalwaysbe solvedwithanevennumberofrotations.

29

EigenvaluesofCirculantMatrices

Junseok(Jayden)Lee

Year10

Email:jslee27@pupils.nlcsjeju.kr

Editor

Taehong(Austin)Ha

RecommendedYearLevel:KS4

Keywords:Eigenvalues,matrix,circulantmatrices

1Introduction

Theconceptofcirculantmatricescanbetracedback tothe19thcenturywhenmathematiciansbegan studyingmatricesandtheirproperties.However,the explicituseandidentificationofcirculantmatrices asadistinctclassemergedintheearly20thcentury, particularlywiththedevelopmentofmoderncomputationalmethodsandFourieranalysis.Thedefining characteristicofcirculantmatrices,whereeachrowis acyclicpermutationoftheoneabove,madethema naturalfitforproblemsinappliedmathematics,especiallythoseinvolvingperiodicityandsymmetry. Therealsurgeintheapplicationandunderstandingof circulantmatricescoincidedwiththedevelopmentof fastcomputationalalgorithmsinthemid-20thcentury. TheintroductionoftheFFTalgorithmbyCooleyand Tukeyin1965wasapivotalmoment.FFTmadeit computationallyfeasibletousecirculantmatricesin awiderangeofapplications,particularlyindigital signalprocessing,wheretheyareusedforefficientconvolutionandcorrelationcalculations.

Inparallel,thefieldofnumericallinearalgebrasaw agrowinginterestincirculantmatricesduetotheir uniquealgebraicproperties.TheirabilitytobediagonalizedeasilyusingdiscreteFouriertransforms, andthesimplicityincalculatingtheireigenvalues andeigenvectors,madethemanattractivesubjectof study.Thisinterestwasnotjusttheoretical;practical applicationsinimageprocessing,communications,and solvinglarge-scalelinearsystemsemergedassignificantareaswherecirculantmatricesprovidedefficient solutions.

Thelatterpartofthe20thcenturyandtheearly21st centurysawtheapplicationofcirculantmatricesextendintomoreadvancedfields.Inthesedomains,the propertiesofcirculantmatricesareleveragedtode-

velopnewalgorithmsandunderstandcomplexsystems.Thisperiodalsowitnessedadeepermathematicalexplorationofcirculantmatrices,linkingthem withothermathematicalconceptssuchasToeplitz matricesandgrouptheory.

2BackgroundKnowledge

Themathematicalexpressionforacirculantmatrix C ofsize n × n canbegivenas:

Aneigenvectorofacertainmatrixisanon-zerovectorthat,whenthematrixismultipliedbythisvector, resultsinavectorthatisascalarmultipleoftheoriginalvector.Thisscalarisknownastheeigenvalue. Insimpleterms,whenalineartransformationrepresentedbythematrixisappliedtotheeigenvector,it stretchesorshrinksthevectorbutdoesnotchangeits direction.

3Aims

Theaimofthisarticleistoprovideademonstration ofoneofthemostcommonwaysoffindingtheeigenvaluesofacertainmatrixthroughageneralisedapplicationofthemethodforacertaintypeofmatrix, whichis,inthiscase,acirculantone.

4Preliminaries

Throughoutthispaper,whileacirculantmatrix C of size n × n canbedefinedas:

C =         c0 cn 1 c2 c1 c1 c0 cn 1 c2 . c1 c0 . . cn 2 . . cn 1 cn 1 cn 2 ··· c1 c0        
30

forthesakeofsimplicity,wewilloccasionallyusethe matrix

Sincewewantnontrivialsolutions, (P λI) hastobe non-invertible,asotherwiseyouget x =(P λI) 1 × 0=0,whichisclearlyatrivialsolution.Thus,

where I istheIdentitymatrix:

Bysubstitutingweobtain:

instead,asallcirculantmatricesareinherentlysquare andcanalsoberepresentedentirelyfromitsfirstrow, sinceeachrowisacyclicshiftofthepreviousrowto theright.

Theterm ω =exp 2πi n willbeusedtorepresentthe n-throotofunity.

Theeigenvaluesofcirculantmatricesexhibitstructuredpatternsandcanbeefficientlycomputedusing theDiscreteFourierTransform(DFT).Foracirculantmatrix C,itseigenvaluesarecloselyrelatedtothe Fouriertransformofitsfirstrow.

Whencalculatingtheeigenvaluesofacirculantmatrix,wewillusematricesofsize 4 × 4 forsimplicity.

λ willbeusedtodenotetheeigenvaluesofbothcirculantandpermutationmatricesintheMainResults,as permutationmatriceswillbeusedpurelyforderiving theeigenvalueofthecirculant.

5Mainresults

5.1ProducingEigenvalues

Webeginwithaconcretemethodforfindingthe eigenvaluesofacirculantmatrix.

Let P beapermutationmatrixofsize 4:

If λ isusedtorepresenttheeigenvalueofthispermutationmatrix,thenwewantnontrivialsolutionsto thisequation:

Therefore:

Thismeansthatthereare4possibleeigenvaluesfor P : λ =1, 1,i, i

Assuch,itisknownthattheeigenvaluescanbegeneralizedbytherootsofunity ω:

Togeneralizethisconceptforapermutationmatrixof size5,let’sconsiderasimilarpattern.Apermutation matrixofsize5wouldbe:

C =          c0 cn 1 c2 c1 c1 c0 cn 1 . c2 . c1 c0 . cn 1 cn 2 c1 cn 1 cn 2 ··· c1 c0         
C = c0 cn 1 c2 c1
P =     0001 1000 0100 0010    
Px = λ⃗x ⇒ (P λI)⃗x = ⃗ 0
det(P λI)=0
I =     1000 0100 0010 0001    
    0001 1000 0100 0010     λI =0 ⇒ det     λ 001 1 λ 00 01 λ 0 001 λ     =0
λ4 1=0
λk = ω k 4 = e 2πki 4
P =       00001 10000 01000 00100 00010       31

Again,wewanttofindtheeigenvalues λ ofthismatrix.Asbefore,weusethecharacteristicequation det(P λI)=0,where I istheidentitymatrixofthe samesize.Forasize5matrix,theidentitymatrixis:

Notehowthisisnottheeigenvalueofthecirculant matrix,buttheeigenvaluesofapermutationmatrixof thesamesize.However,wecaneasilyfindtheeigenvaluesofacirculantmatrixbynotingthatacirculant matrixismadeofthesumofseparatepermutation matricesmultipliedbyitsvalue.

Consideringthefactthatrightmultiplicationbya permutationmatrixrearrangesthecolumns,theeigenvaluesofacirculantmatrix C are:

Substitutingtheseintotheequation,weget:

ormoresimply:

Thisleadstothematrix:

λ 0001 1 λ 000 01 λ 00 001

Tofindtheeigenvalues,wecalculatethedeterminant ofthismatrixandsetitequaltozero.Thiswillgive usanequationintermsof λ

Thedeterminantofacirculantmatrixlikethisone iseasiertocalculatethanageneralmatrix.Forthis 5x5permutationmatrix,thecharacteristicpolynomial turnsouttobe:

λ5 1=0

Thisequationimpliesthattheeigenvaluesof P arethe 5throotsofunity.Thesecanbeexpressedas:

Note λ isusedheretodenotetheeigenvaluesofacirculantmatrixratherthanapermutationmatrixas before.Thisispurelyforsimplicityasthereisnoneed foranyuseofpermutationmatricesfrombeyondthis point,and λ iscommonlyusedtodenoteeigenvalues.

6Conclusion

Thispaperhasexploredthepropertiesofcirculant matrices,particularlyinthecontextofeigenvalue computation.Theuniquestructureofcirculantmatrices,witheachrowbeingacyclicpermutationofthe precedingone,allowsforasimplifiedandefficientcalculationoftheireigenvalues.Wehavedemonstrated thisusingtherootsofunityforeasyrepresentation. Thesignificanceofcirculantmatricesextendsfarbeyondthetheoreticalrealm,asevidencedbytheirapplicationinvariousfieldslikedigitalsignalprocessing, imageprocessing,andlinearalgebra.Theabilityto easilycomputetheireigenvaluesisnotonlyofmathematicalinterestbutalsoofpracticalimportancein theseareas.

.Thesecorrespondto1, acomplexroot,itsconjugate,andtwomorecomplex rootsthatareconjugatesofeachother.

Apermutationmatrixofsize n × n haseigenvalues definedby:

λk = ω k n

I =      
     
10000 01000 00100 00010 00001
     
      λI =0
00001 10000 01000 00100 00010
     
λ 0
λ      
0001
λk = ω k 5 = e 2πki 5
k
, 1, 2, 3
1
2πi 5 ,e 4πi 5
6πi 5 , and e 8πi 5
for
=0
, 4.Therefore,theeigenvaluesare
,e
,e
λj = c0 +c1ωj +c2ω 2j + +cn 1ω(n 1)j ,j =0, 1,...,n 1
λj = n 1 k=0 ckωkj
32

ForecastingHighDimensionalSpace

Minjae(Max)Ko

Year10

Email:mjko27@pupils.nlcsjeju.kr

Editor

Junseok(Jayden)Lee

RecommendedYearLevel:KS3

Keywords:Dimensions,ThoughtExperiments, Tesseracts

1Introduction

Throughouthumanhistory,theimprovementoftechnologyhasgreatlyreliedonpeople’slongingtoexplore theunknownaspectsoftheworldanddiscovertheunrevealedtruthbeyondcurrentcomprehension.This ishowhumanitywasabletoconquerthisplanet,and significantlyenhanceourlife.

Now,humanityislookingforwardtochallengingand conqueringconceptsbeyondtheirknowledge,such asthebirthoftheuniverseorquantummechanics. Amongstthem,themostintriguingyetthemostincomprehensiblemaybethestudyofthefourthdimension.Thestudyofthisunfathomabletopicdatesback tothe18thcentury,andhasbeendevelopedovertime withthehopesofopeningnewpossibilitiesforgreat improvementofourtechnology.Thisjournalwillattempttoforeshadowthisdimensionofthebeyond.

2BackgroundKnowledge

Themostbasicunderstandingofthefourthdimension couldbeattainedbythecharacteristicsofthelower dimensions.Dimensionsinmathematicsreferstothe minimumnumberofcoordinatesrequiredtoidentify anypointswithinthespace.Eachdirectionshould beperpendiculartooneanothertobecomeadimension.Forexample,ourworldisthreedimensionalasit consistsofaminimumnumberofthreeaxes:xaxis, yaxis,andzaxis,orlength,width,andheightfor simplification.Alldimensionscurrentlyidentifiedall followthesamelogic.Thisindicatesanewdirection thatisperpendiculartoallthreeaxesofourdimension,whichiscompletelyincomprehensibletoourvery humanminds.Thus,thegeneralmethodcarriedout inordertoshapeourunderstandingofthefourthdi-

mensionistoconductasimulationonthelowerdimension,andapplyittothefourthdimension,just likethebook‘Flatland’thatwaspublishedin1884.In fact,thereisavisualisationofthefourthdimensional figuredevisedbythemathematicianHowardHinton backinthe19thcentury.

Thisisahypercube,oralsoknownasthetesseract. Itisafourthdimensionalanalogueofthecube,butit stillisn’ttheperfectdepiction.Itsdepictiononlylies withintheseconddimensionasoureyesperceivethe surroundingsasseconddimension.Yet,itisoneofthe farmostaccuratedepictionsthatpeoplewereableto comeupwith.

Thus,thisjournalwillbeusingthegeometriccharacteristicsofthedimensionstosimplyforecastthe fourthdimension.

3Aim

Theaimofthisjournalistovisualisethefourthdimensionasmuchaspossible.However,thisjournal maynotbeabletoprovidethemostsatisfyingoutcomeasthisdimensionisfarbeyondourperception, thusallowingonlyafewfragmentsoftheoriesfrom variousmathematiciansandscientists.Thus,instead ofexplainingtheentirefourthdimension,theultimateaimofthisjournalistoforeshadowthesights ofhigherdimensionalspace,suchastheshapeofour bodyfromthefourthdimensionandwhatitwouldbe liketobelivinginafourthdimensionalspace.

4Method

Inordertocarryoutthisforecast,Iwillplayaround withtheseveralthoughtexperiments,mostlybasedon thenobel‘Flatland’,andapplythesimulationstothe hypercube.Then,theconclusionwillbemodifiedso theforecastmaybeappliedtoourcomprehension.For example,basedonourunderstandingofdimensions, wecouldputourowneyestomuchlowerdimensions,

33

andtrytocomprehendthehigherdimensionswith ourlimitedcomprehensionofthelowerdimensions. Thehypercubewillprovidethegeneralpathofour simulations.

5Experiment

Imagineouruniverseasaflat,two-dimensionalspace withoutheightperception.Inthisscenario,wecan onlyseeaone-dimensionalline,similartohowour retinascapturetwo-dimensionalimageswithdepth. Despiterecognizingdepth,ourviewislimited.Introducingthetesseractconcept,droppingacubic shapeintoour2Dworldlooksextraordinary.Astwodimensionalbeings,westruggletofullyvisualisethe objectduetotheabsenceofthez-axis.Thisislike tryingtounderstandathree-dimensionalobjectusing onlyone-dimensionalfragments.Inahypotheticalscenariowherewe,as2Dbeings,gainaccesstothethird dimension,itwouldbecomparabletoobservingthe insidesofobjects,similartolookingatprokaryotesin reallife.

6DataAnalysis

Nowlet’sapplythisthoughtexperimenttothefourth dimension.Inthefourthdimension,thebeing’sperceptionswouldbedisplayedasthreedimensional.For instance,whatthe3Dprinterdoescanbedoneby merelydrawingonpaper,andthecomputerscreen willdisplaythreedimensionalobjectsthatyoucan actuallytouch.Ourownbodieswill–obviously–look verydifferent.Our4Dselveswillconsistofour3D selves,meaningthataninfiniteamountofourselves willbeconnectedbythefourthaxes.Thisiswhy tesseractappearstobeconstantlychangingitsshapes. Similarly,ourbodieswouldappeartobestretched out,probablyfromtheveryinsideofourcellstoour entireoutline.Thus,ourinsideandoutsidescanbe seenatthesametime.Notlimitedtoourownbodies, themajorityofobjectswillappeartobestretchedout endlessly,anditsshapeswillbesotwistedthatyou couldactuallyinteractwiththeitemsinsidetheobjectswithouttouchingtheobjectitself.Tosimplify, everysingleshapewillshowbothitsinteriorandexterior,whilebeingstretchedoutfromitssmallestform tothelargestform.

7Conclusion

Inconclusion,exploringthefourthdimensionposes challengestohumanperception.Inspiredbymathematicallogic,simulations,andvisualisationslikethe hypercube,thisjourneyforeseesthecomplexitiesof higherdimensions.Applyingathoughtexperiment tothefourthdimensionenvisionsperceptionsdisplayedinthreedimensions,transformingactionslike 3Dprintingintotangibleobjectsonascreen.Inthis

4Drealm,bodiesstretchinfinitely,revealinginteriors andexteriorssimultaneously.Thetesseractexemplifies theconstantshape-changingnatureof4Dentities.Everydayobjectsappeartwistedandstretched,allowing interactionwithouttouch.Thisconciseexploration providesinsightintotheextraordinarylandscapesof ahigher-dimensionalreality,pushingtheboundaries ofimagination,whileacknowledgingthespeculative natureofsuchvisualisations.

8Extension

Inextendingthisexploration,delvingintotherealm ofquantummechanicsandconsideringthephysicist’s perspectiveonthefourthdimensionastimeoffersa promisingavenueforfurtheranalysis.Theconceptualalignmentbetweenthecharacteristicsdescribed inthefourthdimensionandtheprinciplesgoverningthequantumworldraisesintriguingquestions abouttheinterconnectednatureofthesedomains. Byincorporatinginsightsfromquantummechanics, wemaydeepenourunderstandingofthefourthdimension,particularlyinrelationtotimeasadynamic component.Exploringhowquantumphenomenaand thetemporaldimensionintersectcouldunveilnovel perspectivesonthenatureofrealityandprovidea morecomprehensiveframeworkforvisualisinghigherdimensionalspaces.Thisinterdisciplinaryapproach, combiningthetheoreticalunderpinningsofthefourth dimensionwithquantumprinciples,opensavenues forrefiningouranalysisandbroadeningthescopeof knowledgeinthisfascinatingfieldofstudy.

9References

1. carlsagandotcom(2009).Cosmos-Carl Sagan-4thDimension.YouTube.Availableat: https://www.youtube.com/watch?v=UnURElCzGc0 [Accessed13Dec.2023].

2. SIDE,B.(2020).WhatWillYouLookLikein 4thDimensionalSpace.YouTube.Availableat: https://www.youtube.com/watch?v=tD_yeG3QLuI.

3. TED-Ed(2013).Exploringotherdimensions-AlexRosenthalandGeorge Zaidan.YouTube.Availableat: https://www.youtube.com/watch?v=C6kn6nXMWF0.

4. TED-Ed(2016).Whatisavector?DavidHuynh.YouTube.Availableat: https://www.youtube.com/watch?v=ml4NSzCQobk [Accessed27Apr.2020].

34

RecommendedYearLevel:KS4

PappusLine

Seunghyeon(Peter)Kim Year10

Email:sh2kim27@pupils.nlcsjeju.kr

Editor Junseok(Jayden)Lee

Keywords:Geometry,IntersectionPoints,Lines

1Introduction

Whenweconnecttheoreticalzero-dimensional points,wemakeaone-dimensionalline,withnowidth orheight,butonlylength.Inourlives,wecomeacross theusageofthislineinvariousways:measuringsomething’slength,drawingabeautifulshape,orcreating delicatestructureswithcomplexplansinvolved.But forthemajorityofthetime,wedrawalinebyconnectingtwopoints.Intheworldofmathematics,aquestion hadtobeansweredandproved.

Qs:Aretherewaystoplot3linesthatareperfectly collinearsothattheyformaflawlesslinewhenconnected?

Thisancientyetdifficultproblemwassolvedbyagreat Greekmathematiciansofantiquity,PappusofAlexandria,from290to350AD.Thisproblem,sosimplesuperficiallybutsocomplexinternally,wassolvedthrough themostadvancedmathematicsandgeometryatthat time.Henamedthisperfectlineconnectingthree points,thepappusline.

2PlottingaPappusLine

2.1Apparatus

Arulerisnecessary,asplottingpappuslinesrequiresadvancedgeometricshapes.Whenconnecting pointsinthemethodutilizingarulerisnecessarytosee theproperresults.

2.2Method

1.Draw2lines.Theydonothavetobeparallel andcanintersecteachother,buttoseeandidentifythe pappuslineclearlyfirstmakingthelineasmuchparallel

aspossiblecanhelp.Makingthemeasilyintersectwill makecomplexpolygons,whichisoneoftheapplications ofthepappusline.

2.Choosethreepointsoneachline.Theydonot havetobeevenlydistanced;theycanbeanypointon thedrawnline.Theycannotbeonthesamedot.

3.Connectthecorrespondingpointsfollowingthe rulebelow.(Thefirstandsecondarejustfordifferentiatingtwolines,orderdoesnotmatter.)

4.Locatethespecificintersectionpoints.There are7intersectionswhendrawnparallelorsimilarto parallel.3inthemiddleand2eachtopandbottom. The3inthemiddleiswhatwearelookingfor.Plot pointsontheintersections.

5.Connectthethreeplottedpointswitharuler. Theconnectedlineswillbecollinear;theywillbethe sameline.Thatlineisthepappusline.

35

Fig.1:Diagramofapappuslinedrawn

AsshowninFigure1,byplotting6pointsA,B,C, D,E,andFandconnectingtheminaspecificmanner, intersectionsx,y,andzcanbeplotted.Whenx,y,and zareconnected,aperfectcollinearlineismade.

2.3Variations

3Proof

3.1UsingMenelaus’theorem

WhenprovingthePappustheorem,wecanusethe Menelaustheoremtoshowthecollinearityofdifferent pointsinFigure5andlogicallyjointhem.

InFigure5,wearesupposingthatAB’,BC’,and A’CareformingatriangleNPM.

Now,dividetheproductofthefirstthreeexpressionsbytheproductofthelasttwoexpressions.

Fig.2:Pappuslinewiththefoundationlinesintersecting Fig.3:Morecomplexconjunctions Fig.4:Pappuslinediagram
[SX (N,P )SB (P,M )SA′ (M,N )] [SB′
N,P )SZ
P,M
C
)] · [SA(N,P )SC′ (P,M )SY
M,N )] =( 1) ( 1) ( 1) ⇒ NX XP PB BM MA′ AN NB′ B′P PZ ZM MC CN NA AP PC′ C′M MY YN = 1 (1) [SA(N,P )SB (P,M )SC (M,N )] [SB′ (N,P )C′(P,M )SA′ (M,N )]=( 1) ( 1) ⇒ NA AP PB BM MC CN NB′ B′P PC′ C′M MA′ A′N =1 NX XP PB BM MA′ A′N NB′ B′P PZ ZM MC CN NA AP PC′ C′M MY YN NA AP PB BM MC CN NB′ B′P PC′ C′M MA′ A′N = 1 1 36
(
(
)S
(M,N
(

ByusingtheManelustheorem,pointX,Y,andZ iscollinear,andformsthepappusline.

4Real-lifeUsage

4.1Blueprints

Usingprojectivegeometryanditswell-knownapplications,Pappustheorem,areusedinconstructingblue printsin3D.Computingitgivesusthemostaccurate blueprints,andusingthepappustheoremwecancreate3pointsthatarecollinearperfectly,andusethem inastrotechnologyandotherapplicationswherethe extremeaccuracyisrequired.

4.2LightProjection

Inmoderntechnology,projectivegeometryisused incomputationsthatallowdifferenttypesoflens,like onesinourglasses,tobeaccurate.Itcanalsobeusedas predictionofshadowsandusingtheminadvantageous ways.

5Conclusion

Pappuslineisthetheoreminprojectilegeometry thatcansuccessfullyplot3collinearpoints.Ithasvarietyofapplicationisthefundamentaltheoriesthatare usedinvariouscoordinatesystemsandcomputational program.

6References

1. https://www.britannica.com/science/Pappussprojective-theorem

2. https://en.wikipedia.org/wiki/Pappus%27s_hexagon_theorem

3. https://www.researchgate.net/figure/Pappustheorem-in-classical-projective-geometry-The-linesa-b-and-c-are_fig13_2107629

4. https://www.researchgate.net/figure/The-Pappustheorem-if-A-1-A-2-A-3-and-B-1-B-2-B-3-are-twocollinear-triples-of_fig18_305401152

5. https://math.uchicago.edu/˜may/REU2021/REUPapers/Roscoe.pdf

6. https://www.mathinactionjournal.com/pappusdesargues

7. https://www.cut-theknot.org/pythagoras/Pappus.shtml

⇒ NX XP PZ ZM MY YN = 1 ⇒ Sx(N,P )Sz(P,M )Sy(M,N )= 1
37

PiApproximation

Hanjin(Ryan)Lee Year11

Email:hj2lee26@pupils.nlcsjeju.kr

Editor

Emma(Chaeeun)Chung

RecommendedYearLevel:KS4,KS5

Keywords:Pi,BinomialTheorem,Integration

1Introduction

Pi,denotedasthegreekletter π,isamathematicalconstantthathascaptivatedthemindsofmany mathematicians.Definedastheratioofacircle’scircumferencetoitsradius,thedecimaldigitsofpiextendendlesslyas3.14158265...,lackingaperceivable pattern.Drivenbythesignificancethattherenowned constantholdsinthefield,orperhapspurecuriosity derivedfromitsnever-endingnature,mathematicians haveattemptedtomanuallycalculatepiasaccurately aspossibleforlong;however,mostremainedunsuccessful.ThispaperaimstodiscussNewton’sapproach,one ofthefewfruitfulattempts,tothisproblem,alongside theevaluationofhowhismethodtookprimitivemathematicstoadifferenttrajectory.

2BackgroundInformation

Atfirst,accordingtothedefinitionofpi,people couldeasilyfindoutthatthenumericalvalueofpiwas inbetween3and4bythefollowingprocess;

1. Inscribearegularhexagonwithasidelengthof1

2. Splitthehexagoninto6equilateraltriangles.This givesthediameterofthecircle,whichis2.

3. Theperimeteroftheinscribedhexagonisthen6, meaningthatthecircle’scircumferencehastobe larger.

4. Therefore, π> 6 2

5. Inthisway,thecircleisinscribedtoasquare.This givestheperimeterofthesquare,8,whichislarger thanthecircumference.Therefore, π> 8 2 .

However,Archimedesexpandeduponthismethod further.Heinsteaddrewtangentialandcyclicpolygons ofthecircle,graduallyincreasingtheirnumberofsides andcalculatingtheirperimeters;heknewthatregular polygonsfollowtheshapeofacircleasmoresidesare addedandsignificantlynarrowedtherangeofpossible

insideacircle. Fig.1:Hexagoninscribedinacircle Fig.2:Hexagonsplitinto6equilateraltriangles Fig.3:Thecircleisinscribedinasquare
38

pivalues.Inthisway,althoughthecalculationprocess oftheircircumferenceswascomplexandtedious,itwas stillpossibletodeduceapreciseenoughrangeofpi, eventuallyreachingtheconclusionthatpimustbein between3.1429and3.1408aftercalculatingtherange withpolygonsof96sides.

Precisionforpracticalpurposeswasalreadycomplete;still,mathematiciansacrosstheglobeattempted toobtainevengreateraccuracy,nowasamediatopubliclyexpresstheirmathematicaltalent.Eventually,after25yearsofdevotion,LudolphVanCeulenmanaged tocomputetheperimeterofa 262 sidedpolygon,just tocalculate35decimalsofpi.Despitetheeffortsthat manymathematiciansputinto,itwasapparentthat Archimedes’methodwasincrediblyinefficient.

3Pascal’sTriangleandBinomialTheorem

TheBinomialTheorem,whichmayseemirrelevant tothediscussion,infact,isanintegralconceptwhen understandingNewton’scalculationofpi.Pascal’striangleandthebinomialtheoremwasalreadywellknown evenbackinNewton’sera.

Pascal’strianglecanbecreatedbyaddingthetwo adjacentnumberstocalculatethenumberbelowit, whenthestartingnumbersaretwo1s.

Giventheequation (1+ x)2,itsexpandedformis 1+2x+x2.Inthesameway, (1+ x)3 is1+3x+3x2+x3 whenexpanded.Inthisway,forallexpansionsofbinomialsraisedtothepowerofnwhennisanon-negative integer,theircoefficientscanbearrangedasPascal’s triangle.

Usingthisinformation,peoplecalculatedthegeneralisedformulaofthenthrowofthepascal’striangle, whichturnedouttobe:

Thisisalsoknownasthe binomialtheorem

4Binomialtheorembeyondnaturalnumbers

This“BinomialTheorem”wasfirmlybelievedthat itonlypermittednaturalnumbersasn,astheformula wasdeducedinthefirstplacetofindthe“nthrow”of Pascal’striangle,whichisaconceptinwhichonlypositiveintegersworkwith.Despitethisaxiomaticprinciple,Newtondecidedtoput-1,anegativeinteger,asn, riskingthefailureoftheformula.

Theproblemwhennisanegativeintegerwasthe following.Originally,giventhatnisanonnegativeinteger,asthecoefficientsofthetermsaren,n(n-1)/2!, n(n-1)(n-2)/3!...andsoon,atacertainpointwhenone ofthefactorsbecomes0dueton-n.Thetermsafterwill turnto0aswell,leavingafinitesum.Forinstance,if n=3,n(n-1)(n-2)(n-3)/4! X 4 Willequalto0asn-3=0, andsowillthetermsthatcomeafterwards,asallof themincluden-3asafactoroftheircoefficient.This explainswhythepascal’striangleisatriangleinthe firstplace,insteadofeveryrowextendingendlessly.

However,fornegativeintegers,representedby-1, thatisn’tthecase;negativeintegerminuspositiveintegercanneverequal0,making (1+ x)n (n ∈ Z ) an infiniteseries.Ifn=-1,theresultingbinomialexpansion isthefollowing.

Fig.4:Inscribedpolygons Fig.5:Pascal’sTriangle
(1+x)n =1+nx+ n(n 1) 2! x 2 + n(n 1)(n 2) 3! x 3 + ∞ (1)
(1+ x) 1 =1+( 1)x + 1( 1 1) 2! x 2 + 1( 1 1)( 1 2) 3! x 3 + 1( 1 1)( 1 2)( 1 3) 4! x 4 =1 x + x 2 x 3 + x 4 (2) (1+ x) 1 becomesaninfinitesequence.However,if 39

Newtonwasconvincedthatthebinomialtheorem willworkwiththerestofthenegativeintegersaswell. Thiswasanimplicationthatthepascal’strianglecould beextendedabove0,startingwiththerow0,1,-1,1,-1, andsoon.Thismakessense,astheimpliedextension ofnthrows (n ∈ Z+) isendless0s,and1-1or-1+1are both0.Assumingthatnegativeintegersworkwiththe binomialtheorem,ifnegativeintegerswereputinthe formulaandarrangetheinfinitecoefficientsinPascal’s triangle,surprisingly,theextensionabove0isidentical totherotatedPascal’striangleofthepositiveside,if negativesignsareignored.Inaddition,thenegative rowsalsodonotdivergefromthefundamentalruleof Pascal’striangle,whichwasaddingtheneighboursto obtainthevaluebelow,provingthevalidityofnegative integersinthebinomialtheorem.

5Expansiontorationalnumbersunitcircle

Conjecture:Newtonnowattemptedtoputnumbers thatwerenotintegers.Bydoingso,heaimedto:

1. Expandtherangeofpermittednvaluestorational numbers.

2. Usethebinomialtheoremtogetasequencethat isequivalenttotheunitcircleequationarranged abouty.

3. Integratethesequence.

Infact,aPascal’striangleofitsowncouldbe formedwith.5binomialexpansions,inwhichnoneof

therowshasintegerpowers;inthesamewayofthe originaltriangle,theruleofaddingtwoadjacentnumberstocalculatetheonebelowappliedtothenewly createdtriangleaswell.

Again,thisshowsthatthebinomialtheoremcan operatewithrationalnumbersingeneral.

Amongthenon-integersNewtonwasallowedtoput asn,heputthefocusonthenumber 1 2

Why?

Theequationforaunitcircleis x2+y2=1.If theequationisrearrangedabouty,itbecomes y = 1 x2 1 2 .Iftheequationisplottedonax-yplane, itdrawsasemicircle:

Fig.8: y = 1 x2 1 2

Essentially, y = 1 x2 1 2 isequivalenttothebinomialtheoremformulawheren= 1 2 andxisreplacedwith x2,meaningthat

1 1+ x (1+ x)=1 = 1 x + x 2 x 3 + x 4 (1+ x) =1+ x x x + x 2 + x 3 x 3 x 4 + x 4 + x =1 (3)
(1+x)ismultipliedonbothsides,
Fig.6:NegativeIntegersintheBinomialTheorem Fig.7:.5BinomialExpansions
(1+ x) 1 2 =1+ 1 2 x + 1 2 1 2 1 2! x 2 + 1 2 1 2 1 1 2 2 3! x 3 + 1 2 1 2 1 1 2 2 1 2 3 4! x 4 =1+ 1 2 x 1 8 x 2 + 1 16 x 3 5 128 x 4 (4) 40

y

isasemicircle;ifthecurveisintegratedasxgoesfrom0to1,followingthefundamental rulesofintegration,theareaunderthecurvecanbe calculated.Therangeof0from1ishalfofanoriginal semicircle;therefore,theintegrationof

Nowthatthetermsconvergetotheintegrated constantquicker,thenumericalvalueof 1 2 0 1 x2 1 2 whichthesequenceconvergestohastobecalculated. Thefollowingimageisthevisualisationof f (x)=

Theintegratedareacanbedividedintotwosections:asectorwithanangleof π 6 ,andarighttriangle. Now,theareaoftheshadedregioncanbecalculated:

6Experiment:Integrationfrom0to ½

Itistruethatthesequenceconvergestopifaster thantheprimitivemethodsofbisectingregularpolygons,butitcertainlydoeslackspeedforittobea ground-breakinginnovation.

Toconvergetopifaster,asimplesolutioninterms ofintegrationistointegrateasmallerfractionofthe function.Becausethevaluethatthesequenceapproachesisultimatelysmaller,intuitively,thesizeof thetermsofthesequencewilldiminishfasteraswell, resultinginafasterconvergence.Therefore,thistime, theequation y = 1 x2 1 2 canbeintegratedinasmaller range:from0to ½.

Now,thesequenceconvergestoaconstantthatcontainspi.Theconstantnowhastobearrangedwith respecttopi.

Inthisway,thesumofonlythefirstfourtermsendsup being:3.14161.

7Conclusion

Newton’sinventionwastrulyamathematicalsensation.Fromitsadvent,noonededicatedtheirentire livesjusttocalculatethefiftiethdecimalofpithatcould

1 x 2 1 2 =1+ 1 2 x 2 1 8 x 2 2 + 1 16 x 2 3 5 128 x 2 4 ... =1 1 2 x 2 1 8 x 4 1 16 x 6 5 128 x 8 (5)
= 1 x2 1
y = 1 x2 1 2 , whichisalso 1 1 2 x2 1 8 x4 1 16 x6 5 128 x8 ,isequal to 1 2 × π 2 = π 4 π 4 = 1 0 1 x 2 1 2 = 1 0 1 1 2 x 2 1 8 x 4 1 16 x 6 5 128 x 8 ...dx = x 1 2 x3 3 1 8 x5 5 1 16 x7 7 5 128 x9 9 1 0 =(1) 1 2 (1)3 3 1 8 (1)5 5 1 16 (1)7 7 5 128 (1)9 9 ... =1 1 6 1 40 1 112 5 1152 ∴ π =4 1 1 6 1 40 1 112 5 1152 (6)
2
1 2 0 1 x 2 1 2 dx = x 1 2 x3 3 1 8 x5 5 1 16 x7 7 5 128 x9 9 ... 1 2 0 (7)
1 2 0 1 x2 1 2 dx : Fig.9:Visualisationof f (x)= 1 2 0 1 x2 1 2 dx
f (x)= 1 x2 A = r 2θ 1 2 +0 5 f (0 5) ∴ A =(1)2 · π 6 · 1 2 +0 5 · (1 0 52) = π 12 + √3 8 ∴ 1 2 0 1 x 2 1 2 = π 12 + √3 8 = 1 2 1 48 1 1280 1 14336 5 589824 (8)
π 12 + √3 8 = 1 2 1 48 1 1280 1 14336 5 589824 π 12 = 1 2 1 48 1 1280 1 14336 5 589824 √3 8 π =12 1 2 1 48 1 1280 1 14336 5 589824 √3 8 (9)
41

bedoneinamatterofdays.Itcontributedtotheexpansionofthescopeofapplicationofpiinreallife,as therequiredaccuracyforpitobeapplicableincomplex real-lifesituationscouldeasilybeachievedthroughsimplecalculations.Although,twomaindisappointments existedintheprocessofanalysinghismethod:

1. Atthisstageoftheacademiccourse,itwashard toperfectlyprovethevalidityofbinomialfunction withallrationalnumbersotherthanbygivingexamplessuchas ½ ordisplayingasmallfractionof pascal’strianglethatfollowedthetrend.

2. Thetermsofthesequencearequitearbitrary,withoutanoticeablecommonratioordifference;forthe samereason,thesequencecouldnotbegeneralised toamoreintuitiveformat,wherethenexttermcan easilybederived.

ItisstillworthrememberingthatNewton’smethod setsitsbasisonaverysimplemathematicalconceptthat everyonewasawareof:thebinomialtheorem.After all,hisbreakthroughrootsfromtheslightesttwistof convention,whichendedupbeingoneofthegreatest inspirationsofitstime.

8Bibliography

1. Insearchof:Exploringtheuniverse. TimesofMalta.(2022,October25). https://timesofmalta.com/articles/view/In-searchof-exploring-the-universe.628886

2. JJO’Connor.(2009,April).LudolphvanCeulen-Biography.Maths History.https://mathshistory.standrews.ac.uk/Biographies/VanCeulen/

3. Pascal’striangle.AllYouEverWantedto KnowAboutPascal’sTriangleandmore.(n.d.). https://ptri1.tripod.com/

4. Cmglee.(2021).Pascaltriangleextended.

42

DivisionbyZero

Taehoon(Sean)Kim Year11

Email:thkim26@pupils.nlcsjeju.kr

RecommendedYearLevel:KS4

Keywords:zero,division,limits

1Introduction

We’vebeenindoctrinatedbythemathdepartment, specifically,Ms.Bulut,toaccepttheunprovedmathematical propertiesthatdivisionbyzeroisindeterminate.WhenIhad inquiries,theytoldmethatdividingby0wassimplyimpossible.Evenworse,Ms.Buluttreatsthemavericksthatare brazenenoughtoquestionsuchnormsasignorant,ostentatious,andun-additional-mathable-useless-set-5-ishmuppets. Fromhere,myinstincttodisobeyMs.Bulutpromptlyarises: isdivisionbyzeroimpossible?

2InheritContradictionsofdivisionby0

Thereasonwhydivisionby0isprohibited,orleftundefinedinmathematicsisbecausetheallowanceof0division devastatestheprinciplesandregulationsofmathematics,especiallyarithmetics.

3IntuitiontoArithmetics

Thefoundationofarithmeticistheassumptionthatthere areobjectscalledrealnumbers.Itisassumedthatthese realnumberscanbemodifiedbyadditionandmultiplication, whichtaketworealnumbersandoutputinathird:

Addition

∀a, b ∈ ℜ, ∃a + b ∈ ℜ

Multiplication

∀a, b ∈ ℜ, ∃ab ∈ ℜ

Thoseoperationsareassumedtosatisfycertainaxioms, whichcannotbeproven,includingstandardcommutative, associative,anddistributivelawsforarithmetic.Among

thoseaxioms,thedefinitionofinverseoperationsaredenoted:

Additiveinverse:

Multiplicativeinverse:

Fromhere,theasymmetryofadditiveandmultiplicative inverseisevident:additiveinverseisdefinedinallsetsof realnumberswhereasmultiplicativeinverseisdefinedforall non-zeronumbers.Consideringthattheinverseofaddition andmultiplicationisalsoknownassubtractionanddivision respectively,whyis0excluded?

4DefinitionofDivision

Theaxiomsofarithmeticareonlydefinedforaddition andmultiplicationoperations,thusthesubtractionanddivisionaredefinedaftertheaxiomsarestated.

Division:

canbesatisfied.Hence,multiplicationisnotdefinedfor0as thereisno0 1 :0doesnothaveamultiplicativeinverse.

∀a ∈ ℜ, ∃− a ∈ ℜ, a +( a)= 0
∀a ∈ ℜ −{0}, ∃a 1 ∈ ℜ, a · a 1 = 1
∀a, b ∈ ℜ, b = 0, a ÷ b = a × b 1 (1)
5 ÷ 4 = 5 1 4 = 5 4 1 (2)
forinstance,
43

5Indefinitenatureof 0 1

Theorem1: ∀x ∈ R, 0x = 0Proof:

1 + 0 = 1

Multiplyingbothsidesby x,

x(1 + 0)= 1x

Usingthedistributivelaw,

1x + 0x = 1x

Usingtheaxiomthat1x = x, x + 0x = x

Adding x tobothsides, x +(x + 0x)= x

Usingtheassociativelaw, ( x + x)+ 0x = x + x

Usingtheaxiomofadditiveinverse,

0 + 0x = 0(∵ x + x = 0)

∴ 0x = 0

SeeAppendixAforaxiomforfieldsSupposethat a = 0 1.Then,inaccordancewiththedefinitionofmultiplicativeinverse,

0a = 1

However,substituting z totheorem1lendstheequation of

0a = 0

Thissuggeststhat0 = 1,anevidentcontradiction. Therefore,assigninganyrealnumberto0 1 ismathematicallyimplausiblewithoutcontradictingthepre-established axiomofarithmetics.Attempttodefine0 1 innon-realnumbersisawholedifferentstory.Consideringthat0 1 maydisobeythecurrentrulesofarithmetics,mathematiciansmust figureoutseveralnewruleswhichcouldsatisfythecalculationof0 1 withoutanycontradiction.However,theusefulnessof0 1 highlyquestionable:itismuchsimplertoadmit that0doesnothaveitsmultiplicativeinverse.

6Intuitiononreversibility

Asaninverseoperationofmultiplication,divisionaninvertibleoperation-mustbereversibleinthefollowing sense:Ifa,b,csatisfiestheequation,

∀a, b, c ∈ ℜ, ab = c, b = 0(3)

themultiplicandacouldbeexpressedby

a =

Subsequently,ifweassumethatb=0,

theequationitselfdoesnotofferanyinformationaboutmultiplicand:multiplyingby0isanon-invertibleoperation. Also,simplysubstitutinganynon-zeronumberforawould createacontradiction.

7Absenceofdefinition

Asaforementioned,theorem1hasprovedthat

istrueforeveryrealnumbera.Thenusingthisequation,the valueof00canbededucedasfollowing:

Unfortunately,defining0 ÷ 0asanyrealnumberdisobeysthedefinitionofalgebraicalarithmetics:thecalculationbetweentworealnumbersmustproduceasingledefined value.Inparticular,3+3=6and3+3=2cannotbesatisfiedsimultaneously.Aseverymathematiciancannotreachthereasonabledefinitionof0 ÷ 0divisionby0remainsundefined underanycircumstances.

8Intuitivelimitarguments

Referringbacktothedefinitionofdivision,

c b
a = c 0 0a = c
∀a, 0 × a = 0(4)
0 ÷ 0 = a ∈ ℜ (5)
∀a, b ∈ ℜ, b = 0, a ÷ b = a × b 1 (6)
1 ÷ 1 n = 1 × n 1 1 = n (7) 44

canbesubstantiated.Fromtheequationabove,itisevident thatifthedividendis1,thedecreaseinthedivisorincreases thequotient.

Theequationaboveshowswhennreachesinfinity.As limn→∞ n 1 getsinfinitelycloserto0asnreaches,canwe define10=?Beforediscussing,itissignificanttonotethat ∞ referstotheconceptofcontinuousandlimitlessincrease, notadefinitenumber.Therefore,thecalculationbetween numbersmustproduceadefinitenumber,notasymbolthat representsanambiguousconcept.Evenifweassumethat 1 ÷ 0 = ∞ istrue,thecontradictionisunavoidable.Fromthe previousequation,justchangethesignofthedivisor.

Infact,thoseindeterminateformdoesnotactuallycalculate0or ∞.Rather,itapproachesthecalculationoflimits byexploringtheratiobetweenfunctions.Simply,assume thatthevalueofnon-zeroaexistsandaisextremelyclose to0.Then,thefractionalformcanbesimplifiedbydividingboththedenominatorandnumeratorbyanumberthatis extremelycloseto0yetnot0.

Supposethatthenreachesinfinity,then 1 n willconvergeto 0whilethe1 ÷ 0 = ∞.Here,wecouldconcludethat

Thisishowtheindeterminateform,specifically 0 0 iscalculated.Therefore,theresultoftheindeterminateformcannot betheactualcalculationofdivisionby0.Forinstance,supposethattherearetwofunctions

Thenwhenxapproaches0,

whichisaclearcontradiction

Thisproblemiswhythefunction f (x)= 1 x doesnothave extremevaluewhenxapproaches0.

9Calculationofindeterminateform

Asthedivisionisacumulativeandcontinuousprocess, especiallyinlimits,0mustbeconsideredcarefully.Inparticular,indeterminateformssuchas 0 0 or ∞ ∞ mightintuitively provideinsightfordivisionbyzero-yetdoesitreally?

Theratiobetweenf(x)andg(x)altersandproducesacontradictionwhere 2 3 = 4 3 .Evenifthefunctionsconvergeto 0,dependingonthefunctions’convergencespeed,thevalue coulddivergeorconverge:

Therefore,divisionby0orthefunctionthatconvergesto0 mustbetakenextremelycarefullytoavoidanypossibilities ofcontradiction.

10Divisionby0

Aspreviouslymentioned,divisionby0isprohibitedas ithindersthebasicprinciplesofmathematics.Then,whatif divisionby0couldbecalculatedwhilepreservingthebasic rulesofmathematics?

11Group,Ring,andField

11.1Group

Group ⟨G, ⊕ > isasetthatisclosedundertheonebinary operation,anoperationthatreceives2inputsandoutputsone result, ⊕ :

lim n→∞ 1 ÷ 1 n = lim n→∞ n → ∞ (8)
1 ÷ 1 n = 1 × n 1 1 = n (9)
10 = ∞ = ∞ (10)
∃a > 0, a → 0, 2a 3a = 3 2 (11)
f (x)= 2x 2 , f (0)= 0 g(x)= 3x 2 , g(0)= 0 (12)
lim x→0 f (x) g(x) = lim x→0 2x2 3x2 = 2 3 (13)
lim x→0 sin x x = 1 lim x→0 x tan x sin x = ∞ (14)
∀a, b ∈ G, a ⊕ b ∈ G 45

Forinstance,naturalnumbersareclosedundermultiplicationasthemultiplicationoftwonaturalnumbersalways producesthenaturalnumbers.

∀a, b ∈ K , a · b ∈ N

However,naturalnumbersarenotclosedunderdivision asthedivisionofnaturalnumbersdoesnotnecessarilyresult innaturalnumbers.

∀a, b ∈ N , a ÷ b / ∈ ℵ ⇒ b ∤ a

Also,thegroupmustsatisfythefollowingaxioms:associativeproperty,identityelement,andinverseelement.Associativepropertyiswhentheresultofthebinaryoperation ofmorethanthreenumbersremainsthesameirrespective ofhowtheyaregrouped.Itcanbeexpressedasfollows:

∀a, b, c ∈ G, a ⊕ (b ⊕ c)=(a ⊕ b) ⊕ c Theidentityelementis whenexecutionofbinaryoperationdoesnotcausethealterationofanelement’svalueinacertainset.

∀a ∈ G, ∃e ∈ G, a ⊕ e = e ⊕ a = a

Inparticular,themultiplicativeidentityelementofinteger set, ⟨Z, x >,is0as

∀a ∈ Z, a × 1 = 1 × a = a

Theinverseelementiswhenperformingagivenbinary operationresultsintheidentityelementofthegivenelement.

∀a ∈ G, ∃x ∈ G, a + x = x + a = e

Forinstance,theinverseelementofadditionisthevalue thatresultsintheadditiveidentityelement:0

∀a, a ∈ Z, a +( a)=( a)+ a = 0

Hence,foranintegerset,theadditiveinverseelementis alwaysthenegativevalueofanumber.Examplesofgroups arefollowing:

< Z, + >,< Zn′ + >,< Q, + >,< R∗ , x >

Incontrast, ⟨Z, x > isnotconsideredasagroupalthough itsatisfiesassociativepropertyandtheidentityelementexists becausetheinverseelementisincludedinthesetofintegers.

∀a ∈ Z, a × 1 = 1 × a = a a × 1 a = 1, 1 a / ∈ Z

11.1.1Abeliangroup

Intheaxiomsofthegroup,thegivensetandthebinary operationdoesnothavetosatisfythecommutativeproperty. Ifthegroupsatisfiesthecommutativeaxiom,itiscalledan abeliangroup.Forinstance, < Z, + > or ⟨Z, x > satisfiesthe commutativeaxiom,henceitisanabeliangroup.

∀a, b ∈ Z, a + b = b + a

∀a, b ∈ Z, ab = ba

Asacounterexample,althoughthesetofallinvertible 2 × 2matricesformagroupunderthematrixmultiplication, < M2(Q), × >,

det(A B)= det(A) det(B)

(A B) C = A (B C)

A I = I A = A

AA 1 = A 1A = I

asgeneralmatrixmultiplicationdoesnotsatisfythecommutativelaw,itisnotanabeliangroup.

let A = ab cd , B = ef gh

A B = ab cd ef gh = ae + bgaf + bh

ce + dgcf + hd

B A = ef gh ab cd = ea + fceb + fd ga + hcgb + hd

∴ A B = B A

11.2Ring

(15)

Unlikeagroup,whichisdefinedforonlyonebinary operation,theringisdefinedforbothadditionandmultiplication.Interestingly,theringisconsideredasemi-groupin multiplication:identityandinverseelementsarenotessential.Ring, ⟨R, +, x⟩,isclosedunderadditionandmultiplicationandsatisfiesthefollowingaxioms: < R, + > isabelian group

∀a, b, c ∈ a (b c)=(a b) c

∀a, b, c ∈ R, a (b + c)=(a b)+(a c) (a + b) · c =(a · c)+(b · c)

11.3Field

Fieldisdefinedwhenaringhasanidentityelementand aninverseelementofmultiplication.Field ⟨F, +, x⟩ therefore shouldbering, ⟨R, +, x⟩,andsatisfyadditionalproperties:

1 a = 1

Fieldformsanabeliangroupforaddition,andmultiplicationsexcept0.Examplesoffieldsare ⟨Q, +, x > , ⟨ℜ, +, x >,and ⟨C, +, x >.

−{
a ∈ F, ∃1 ∈ F, 1 · a = a · 1 = a ∀a ∈ F
0}, ∃a 1 ∈ F, a a 1 = a
46

12Arithmetics

Contrarytoourgeneralknowledgeofarithmetics,which includesaddition,subtraction,multiplication,anddivision, fieldandringareonlydefinedforadditionandmultiplication.Thisisbecausetheadditiveinverseelementcouldreplacesubtractionanddivisionissubtractionandthemultiplicativeinverseelementisdivision.Therefore,theideaof divisibilityinacertainfieldtransferstotheexistenceofmultiplicativeinverse.Forfield < F, +, × >,

However,itisimportanttonotethatthezeroringisa specializedoccasionthatcouldforceustodefinethedivisionbyzero.Therefore,thiscannotbeappliedtogeneral mathematicsasthemultiplicativeinverseof0isindeterminate:0 1 = 0isuselessexceptfortheuniquecharacteristic thatthezeroringpossesses.

14Wheeltheory

Previously,Ihavediscussedthatdefining

couldbeproblematicintermsoflimit,evenifweassumethat theconceptofinfinityisanumber,thesignoftwoinfinity wouldbedifferent:

Also,theinverseofanelementisalwaysunique.This canbesubstantiatedbyproofbycontradiction:forgroup ⟨G, ∗⟩ , ∀a, b, c ∈ G.let a′ betheinverseofasupposethat anotherinverse ∃a′′ = a′ Then, a a′

Thiscontradictsouroriginalassumption ∃a′′ = a′,hence theuniquenessoftheinverseisproved.Therefore,defining 1 0 canbededucedtofindingtheuniquemultiplicativeinverse of0.

13ZeroRing

Theset Z = {0},alsoknownaszeroring,isaspecializedringthatcoulddefinethedivisionbyzero.The setitselfformsanabeliangroupforaddition,andformsa semigroupformultiplication:itisconsideredasaring:for < {0}, +, x >,

Then,whatifweassumethat ∞ = ∞ ?Theideaof wheeltheoryoriginatesfromhere.Inmathematics,there isauniquewaytolimitinfinityinafiniteform:one-point compactification.Thissimplifiesthecomplexproblemsusingone-to-onecorrespondence.Supposethatthesetofreal numberscouldberepresentedasanendlessstraightline, xaxis.Fromhere,acircle

Therefore,0isanadditiveandmultiplicativeidentity elementsimultaneously:zeroringistheuniquecasewhere theadditiveandmultiplicativeidentityelementarethesame. Fromhere,giventhat0isthemultiplicativeidentityelement, zeromultipliedbythemultiplicativeinversemustresultina multiplicativeidentityelement,zero.

couldbedrawn.Then,astraightlinethatstartsfrom P(0, 1) andcrossesanypointonacirclemustinterceptwith x-axis. Asthestraightlineonlycrossesthe x-axisonce,itisevident thatthepointonacircleandthe x-axisisone-to-onecorresponding.Forinstance,adiagraminFigure1-2showsthat pointAcorrespondstopointEonacircle,pointBcorrespondstopointG,andpointFcorrespondstopointFitself. Hence,ifthecirclewithout P(0, 1) isdenotedas S 1 ,

Therefore,applyingtheaforementionedlogic,

However,theset S 1 P(0, 1) isconsideredasbounded yetnotclosed.Giventhataboundedandclosedsetin T2 iscompact,wecouldclosethesetbyaddingonepointto

∀a ∈ F, a 1 a = 1 a a 1 = 1 a 1 = 1 a
∴ a ′ = a ′′ ∵ a a ′ = a a ′′
= e, a a′′ = e
0 + 0 = 0 0 × 0 = 0
0 × 0 = 0
0 1 = 0 ∴ 0 0 = 0
lim n→∞ 1 ÷ 1 n = 1 ÷ 0 = ∞
1 ÷ 0 = 1 ÷ ( 0)= ∞ = ∞
f (x, y)= x 2 + y 2 = 1
∼ = S 1 P(0, 1)
47

facilitatetheoverallprocess.As P(0, 1) wasexcludedona circle,wecouldaddpoint P anditscorrespondingpoint:

ℜ ∪{∞} ∼ = S1

Ifthisdefinitionisconfusing,imaginethatbothends oftheline-thatrepresentsthesetofrealnumbers-areconnectedinacircularformwiththepoint ∞ = ∞.Sincethe linecontainsinfinitelymanypoints,andasetofrealnumbersdoso,thenumberofpointsonacirclewitharadiusof1 willcorrespondone-to-onetothestraightlinewithinfinitely manypoints.

Atthispoint,althoughnowitbecameevidentthat ∞ =

∞,defining1 ÷ 0 = ∞ isyetimpossible:todefinedivisionby0asatypeofoperation,wemustfigureoutwhether theoperationsatisfiestheconditionsoffield,ring,orgroup. Therefore,theproofstartsbydefiningthecalculationsasfollows:supposethat

*Note:0 ÷ 0couldbedenotedasbottomsymbol, ⊥,orlunateepsilon, ε,oretc.

AccordingtotheWheelsonDivisionbyZero (J.Carlstrom,2001)set ⟨H, 0, +⟩ isacommutativemonoid (monoid:agroupthatdoesnotsatisfytheinverseelementorsemigroupthatsatisfiestheidentityelement)and ⟨H, 1, ×, ÷ > iscommutativemonoidwithinvolution(involution:afunctionoroperatorthatwhenappliedtwice,brings onebacktothestartingpoint).Fromhere,severaloperations couldbedefined.

However,theproblemarisesastheinverseelementof infinity, 1 0 ,is0whereas 0 0 remains 0 0 evenifweexecuteinverseoperations.

Distributivity

Rulesfor0terms

Therefore,wemustaddanewpointto S1,acurrentcircularsetofrealnumbers:ifwedefine

(a, b)= a b

wecouldaddapoint (0, 0) toacirclewithradiusof 1:theexpansionofthesetofrealnumberswouldlooklike acirclewithapointinthecentre(figure1-3)-ashapethat lookslikeawheel,andthatiswhythistheoryiscalledwheel theory!

Iftheoperationisdefinedasfollows,divisionbyzeroispossible.

1 ÷ 0 = ∞ 0 ÷ 0 = ε
a b + c d = ad + bc bd a b c d = ac bd a b = a b a b = 1 b a
1 0 0 = 1 0 0 = 0 0 ∴ 0 0 = 1 0
H = S1 ∪ (0, 0)
∀x, y, z ∈ H
(x + y)z + 0z = xz + yz x y + z + 0y = x + yz y
0 × 0 = 0 (x + 0y)z = xz + 0y /(x + 0y)= /x + 0y x + 0 0 = 0 0
0 0 = ε = 1 0 = ∞ = ∞ 48

TheadditionandmultiplicationwithinHarealsopossible.

Subtractionanddivisionoperatorsareexecutedbyusing theinverseelement.Forinstance, ∞ ∞ couldbecalculated usingthetableabove.

byzero.https://ee.usc.edu/stochastic-nets/docs/divide-by-ze ro.pdf

Hamblin,J.(2017,January3).Algebraic structures:Groups,rings,andfields.YouTube. https://www.youtube.com/watch?vvvfyUUprh9s

Carlstrom,J.(2001).WheelsonDivisionbyZeroSU. https://www2.math.su.se/reports/2001/11/2001-11.pdf

Kim,R.(2023a,September19).0.Ray. https://rayc20.tistory.com/322figure1-1:Bennett,M.(n.d.). F(x)= 1/x.GeoGebra.https://www.geogebra.org/m/knGkv f8E

EpicMath.(2019,August5).Wheeltheory-anintroduction.YouTube.https://www.youtube.com/ watch?v = aVqQ3XKWRUA

17AppendixA

1)Commutativelaw: a + b = b + a, ab = ba

2)Associativelaw: (a + b)+ c = a +(b + c), (ab)c = a(bc)

3)Distributivelaw: a(b + c)= ab + ac

4)Existenceof0,additiveidentity:

∀a ∈ ℜ, ∃0, a + 0 = a

15Conclusion

Assuch,thereisnosuchthingas‘never’intheinfinitefieldofmathematics.Eventhedivisionbyzeroisdefinedbyintroducingspecialisedsets:wheeltheoryandzero rings.Inelementaryschool,teachersclaimthatsubtraction betweengreatersubtrahendandsmallerminuendisimpossible.Whentheconceptofrealnumbersisintroduced,teachersarguethatanegativenumberinsquarerootisimpossiblesoon,teachersintroduceanewconceptof i = √ 1.Division byzero,andthefieldofmathematicsresentschallengingthe pre-existingaxiomsorproperties.Ihopethatthisarticlehas providedaninterestinginsightintomathematics.Always, wheneveryourteacherintroducesmathematicalproperties, questionandchallengeitasthepurebeautyofmathematics reliesonquestioningthegeneralnormsofmathematics.

16Bibliography

Neely,M.J.(n.d.).1whywecannotdividebyzero -universityofsoutherncalifornia.Whywecannotdivide

5)Existenceof1,multiplicativeidentity:

∀a ∈ ℜ, ∃1, a × 1 = a

6)Additiveinverse:

∀a ∈ ℜ, ∃− a ∈ ℜ, a +( a)= 0

7)Multiplicativeinverse:

∀a ∈ R −{0}, ∃a 1 ∈ ℜ, a · a 1 = 1

8)0notequalto1 0 = 1

∀x, y ∈ H −{0, ε, ∞}
∞ ∞ = ∞ ( ∞)= ∞ + ∞ = ε
49

18AppendixB

x + y = x + y x + 0 = x x + ∞ = x + 1 0 = x 1 + 1 0 = 0 · x + 1 · 1 1 0 = 1 0 =∝ x + ε = x 1 + 0 0 = 0 1 + 0 x 1 · 0 = 0 0 = ε 0 + y = y 0 + 0 = 0 0 + ∞ = ∞ 0 + ε = ε ∞ + y = 1 0 + y 1 = 1 1 + 0 y 0 1 = 1 0 = ∞ ∞ + 0 = ∞ ∞ + ∞ = 1 0 + 1 0 = 1 0 + 1 0 0 · 0 = 0 0 = ε ε + ε = 1 0 + 0 0 = 1 0 + 0 0 0 0 = 0 0 = ε ε + y = 0 0 + y 1 = 0 y + 0 1 0 1 = 0 0 = ε ε + 0 = 0 0 + 1 0 = 1 0 + 0 0 0 0 = 0 0 = ε ε + ∞ = 0 0 + 1 0 = 0 · 0 + 1 · 0 0 0 = 0 0 = ε ε + ε = 0 0 + 0 0 = 0 0 + 0 0 0 0 = 0 0 = ε 19AppendixC x y = xy x 0 = 0 x ∞ = x 1 1 0 = 1 1 x 1 0 = 1 0 = ∞ x ε = x 1 0 0 = 1 1 x 0 0 = 0 0 = ε 0 y = 0 0 0 = 0 0 ∞ = 0 1 1 0 = 0 0 = ε 0 ε = 0 1 0 0 = 0 0 = ε ∞ · y = 1 0 · y 1 = 1 0 · 1 1 y = 1 0 = ∞ ∞ · 0 = 0 ∞ ∞ = 1 0 1 0 = 1 0 = ∞ ∞ ε = 1 0 0 0 = 0 0 = ε ε y = 0 0 y 1 = 0 0 1 1 y = 0 0 = ε ε 0 = 0 0 0 1 = 0 0 = ε ε ∞ = 0 0 1 0 = 0 0 = ε ε ε = 0 0 0 0 = 0 0 = ε 50

TwinPrimesConjecture

SeongminHong

Year11

Email:smhong26@pupils.nlcsjeju.kr Editor Emma(Chaeeun)Chung

RecommendedYearLevel:KS4,KS5

Keywords:primenumbers,conjecture,proof

1Abstract ThisarticlewilldiveintotheTwinPrimeConjecture,statedbymathematicianAlphonsedePolignac.

2ResearchPaper

Theexplorationofprimenumbersstandsasacornerstoneintheancientrealmofmathematics,having beenapursuitwhichhascapturedtheattentionof mathematiciansfeelingdrawntowardsthefundamentalbuildingblocksofthenaturalnumbersystem.Despitethemillenniumssincewhichprimenumberswere discovered,itwasonlyrecentlydiscoveredthepracticalapplicationsofprimenumberswiththeinventionof thecomputerinthe20thcentury.Nowbeforewebegin withtheseveraldifferentapproachestothisproblem,we shouldfirstdefineacoupleoffundamentalkeywords.

3Definitions

1. Definition1:Aprimenumberisapositiveinteger withexactlytwopositivedivisors.

2. Definition2:Aprimetwinisapairoftwoprime numbers(p,q)suchthatbothofthesubsequent conditionsareapplicable:pandqaretwooddconsecutiveintegers(thusqis2lessthanp),pandq arebothprimenumbers

3. Definition3:Thedifferencebetweenaprimenumberandthesubsequentprimenumberiscalledthe “primegap”.

Theproofoftheinfinitudeofprimenumbersby Euclid(325–265b.c.e.)issomethingmostofthe peoplereadingthisarticlehavelikelyencountered inoneshapeoranother.

4Preposition4

Thereareaninfinitenumberofprimenumbers. Proof:

1. AssumethereareafinitesetofprimenumbersP= P1,P2...Pn.

2. LetN=P1 × P2 × ...Pn

3. SinceNistheproductofalloftheprimenumbersin setP,N+1isnotdivisiblebyanyofthenumbers suchthattheyarewithinsetP.

4. Thereforewecanconcludethateither:

(a) N+1isprimeitself=>contradictsassumptionmadeinstep1.

(b) N+1isdivisiblebyaprimenumbernotinset P=>contradictsassumptionmadeinstep1.

5. Thus,theoriginalassumptionthatthereareafinite numberofprimenumbersisprovenwrongthrough contradiction.

5Conjecture5(TwinPrimeConjecture

Thetwinprimeconjecturepositsthattherearean infinitenumberofprimetwins.

51
Fig.1

Eventhoughthetwinprimeconjecturewasstated almosttwocenturiesago,in1846byFrenchmathematicianAlphonsedePolignacinhisconjecture(called “Polignac’sConjecture”),itisstillyettobesolved.De Polignacstatedinhisconjecturethatforeverynatural numberk,thereareaninfinitenumberofprimenumbersp,suchthatp+2kisalsoprime.Thecaseofk =1ofdePolignac’sconjectureleadstothetwinprime conjecture.

Thereareseveralwaystotacklethisproblemofthe twinprimeconjecture.Toprovethetwinprimeconjecture,youwillhavetodemonstratethatthereisno largestprimetwin,whichwouldusuallybedonethrough proofbycontradiction.Orontheotherhand,todisproveit,itwouldtypicallybedonethroughshowing thatthereisanupperboundbeyondwhichnomore primetwinsexist.

6HeuristicApproach

Aheuristicapproachtothetwinprimeconjecture wouldinvolverecognisingtheintuitiveconnectionbetweentheinfinitudeofprimenumbers(asreferencedin proposition4),andthepotentialexistenceofaninfinite numberoftwinprimes.Wecanbasethisapproachoff oftheassumptionthatasweexplorelargerandlarger setsofnumbers,thefrequencyofprimenumberswill alsoincrease.

Consideringtheideathatthereareaninfinitenumberoftwinprimenumbers,thelikelihoodofencounteringprimetwinsshouldremainhighacrosslargerintervals.Theintuitionwithwhichwecanconcludethatif therangeofnumbersincreases,sodoestheprobability offindingprimetwins.

However,althoughthisapproachsuggeststheplausibilityofaninfinitenumberofprimetwins,likeother heuristicapproaches,itfallsshortwhencomingupwith arigorousproof.Thereisachallengeinestablishinga definitiveconnectionbetweentheinfinitudeofprimes andthecertaintyofaninfinitesetofprimetwins.

7Approach2.ExtensionofEuclid’sProof

Averyintuitivewayofapproachingthetwinprime conjectureisbyextendingEuclid’sprooftoapplyto thetwinprimeconjecture.Ifweassumethesamesteps fromuptostep3intheaforementionedformofEuclid’s

proofoftheInfinitudeofPrimeNumbers,thenwewill beabletoconcludethatN+1isprimeandN-1is prime,meaningthatthereareaninfinitenumberoftwin primeswiththis.

HoweverthisisonlywiththeassumptionthatN+ 1andN-1isprime,andifeitherN+1orN-1is divisiblebyaprimenumberwhichisabovethehighest numberinthesetestablishedinstep1,thenthisproof isdismantled.

Wecanfindacounter-examplewhichalsoproves thatthisisnotapplicablebylettingthesizeoftheset instep1asbeingequalto4,whichmeanstheelements ofthesetwillbe2,3,5and7.Theproductofthese willbeN=210.N+1=211isprimehoweverN-1 =209=11 × 19.

8Approach3.InfiniteSeriesProof

Apossiblewayofapproachingthisproblemwould bebyusinganinfiniteseries,anideaderivedfrom Dirichlet’sTheorem(withtwoprimenumbers(a,b) suchthatgcd(a,b)=1,thereareinfinitelymanyprime numbersoftheforma+nbwhere n ∈ Z+ 0 ).Ifyoucan provethatthesumofthereciprocalsoftwinprimesdiverge,youareabletoconclusivelyprovethataninfinite seriesofprimesexist(buttheoppositeisnottrue).

ViggoBrun’ssievecanbeusedhere,whichstates thatthenumberoftwinprimeslessthanNdoesnot exceed CN (log N )2 foraconstantC>0.Usingamathematicalproofwhichistoocomplicatedtodemonstrate here,Brunshowedthatthesumofthereciprocalsof thetwinprimesconvergedtoaconstant,whichisnow knownasBrun’sconstant,or B2

Youmaynowbethinkingthatthisisadisproofof theconjecture.However,thatisnottrueeither.The convergenceofthesumdoesnotimplytheexistenceof

Fig.2
Fig.3:pictureofbrun’sconstantconvergingtothis point
52

alimittothenumberofprimetwins.Asnincreases, thenumberoftwinprimesbecomesparse,andsimultaneously,thereciprocalsoftheselargernumberswill becomesmaller.Thus,itcanleadtoanincreasingly negligibleandsmallernumberwhichwillcontributeto thesuminsuchaminisculeamountaninfiniteamount oftimes.

9ComputationalProof

Anotherblatantmethodthatcomestomindwould bethroughtheusageofcomputeralgorithmstotryand solvefortheprimetwinconjecture.

Whatpeoplemayfirstthinkofisbytryingtofind anunfathomablyhighprimetwin.Averysimplebut unoptimisedpieceofcodeforthiswouldbelikesuch:

Thehighestprimetwinfoundis2996863034895 × 21290000 ± 1,whichisanumberwithover388342digits.

However,thereisaverybigproblemwiththisapproach-it’snotrigorous.Findinganunequivocally highprimetwindoesnotmeanthatthereareaninfinitenumberofprimetwins.It’snotenoughtofinda highprimetwin,oneneedstoshowthatthereisnolimit totheoccurrenceofsuchpairs.Additionally,thismatterofgeneralisationdoesn’tprovideavalidproofofall cases,asamathematicalproofhastocoverallpossible primefactors.

10Progress

Whilsttherehasn’tbeenacompleteanalyticalproof ofthisconjectureyet,ithasgainedsomeprogressin thepastdecadeorso,whichwaskickstartedbyYitang Zhang’spaperontheBoundedGapsbetweenPrimes. Hedemonstratedthat liminf n→∞ (pn+1 pn) < 7×107 , orthatthereISanumberbetween2and70million

whichappearedastheprimegapinfinitelyoften.Then, thisboundof70millionwasreducedinsubsequentyears byJamesMaynardandYitangZhangto600and246 respectively.Thesedevelopmentsinrecentyearshave givenhopetomathematiciansgloballyandwemaybe abletoseeacompleteproofforthisconjecture,ora weakerconjectureatleast,intheupcomingyears.

11Bibliography

1. https://www.britannica.com/science/twin-primeconjecture

2. https://collections.dartmouth.edu/archive/object /dcdis/dcdis-klyve2007?ctx=dcdis?length=12start= 0view=listrdatonlyu=nordatu=yescol=dcdisoc0=maintitleod0=asv=Brun27s+constant

3. https://annals.math.princeton.edu/wp-content/ uploads/annals-v179-n3-p07-s.pdf

Fig.4 Fig.5
53

FourierSeriesanditsApplicationinAtomic Orbitals

Taehoon(Terry)Kim Year12

Email:th3kim25@pupils.nlcsjeju.kr

Editor

Emma(Chaeeun)Chung

RecommendedYearLevel:KS5

Keywords:FourierSeries,ConvolutionTheorem, CompactGroups

1Introduction

Despiteitsunfamiliarname,theFourierseriescan bewidelyobservedaroundusasanaturalphenomenon. Itisusedtomodelsingleharmonicmotionoranytype ofmotion,includingtheformulationofsinusoidalor non-sinusoidalwaves.However,itsapplicationisnot limitedtothewavefunctionequation.Inthecondition thattheseriesisacompactRiemannianmanifold,the Laplace–Beltramioperatorcanbeusedtoconjugatethe Fourierseriesinmodellingtheatomicorbitals.

2Background

Fourierseriesisanexpansionofaperiodicfunction intoasumoftrigonometricfunctions.Themostsimplisticformattakestheformof

topologicalgroupwhosetopologyrealizesitasacompacttopologicalspace(whenanelementofthegroupis operatedon,theresultisalsowithinthegroup).This willbefurtherdiscussedlater.

3Objective

ThispaperaimstoinvestigatetheFourierseriesand itsvisualisationinRiemannianmanifolds,thusderiving theatomicmodel,whichisknowntohaveasimilar morphologicalpropertyasthesphericalharmonics.

4Investigation

4.1ConvolutionTheorem

Inmathematics,theconvolutiontheoremstates thatundersuitableconditions,theFouriertransformof aconvolutionoftwofunctions(orsignals)isthepointwiseproductoftheirFouriertransform.Tosimplify, convolution-mathematicaloperationontwofunctions (fandg)thatproducesathirdfunction-inonedomain (e.g.,timedomain)equalspoint-wisemultiplicationin another(e.g.,frequencydomain).Thisisregardingthe Fourierseriesservesasapivotalconcept,asitheavily contributestotheproductionofthecompactgroup.

Byexpressingafunctionasasumofsinesand cosines,itisviabletomodelawiderangeofharmonic datausingtheFourierseries.Thiscanbeobservedin variouscasesofearlymodellingattemptsofnaturalphenomena,includingJosephFourier’sattempttofindsolutionstotheheatequation.Thisapplicationisbasedon thesimplicityofthederivativeofatrigonometricfunction.Amongthesetheoremsandattempts,thecompact groupsoftheFourierserieshavethegreatestrangeof applications.Thecompactgroup,bydefinition,isa

Theproofofthefundamentalconvolutiontheorem canbeconducted.

ConsidertwofunctionswithFouriertransforms U and V :

SN (x)= D0 + N n=1 Dn cos 2π n p x φn (1)
U ≡ F {u}f = ∞ −∞ u(x)e 2iπfxdx,f ∈ R V ≡ F {u}f = ∞ −∞ u(x)e 2iπfxdx,f ∈ R (2) 54

FmeanstheFouriertransformoperator

r(x)= {u ∗ v}(x) ≡ ∞ −∞

u(τ )v(x r)dr = ∞ −∞ u(x τ )v(τ )dr (3)

Theconvolutiontheoremstates R(f ) ≡ F {r}(f ) = U (f )V (f ), f ∈R

ApplyingtheinverseFouriertransform F 1 producesthecorollary:

r(x)= {u ∗ v}(x)= F 1{U V } (4)

Given P -periodicfunctions sp and rp Fourierseries coefficients S[n]R[n], n ∈ Z,thepointwiseproductwill be:

hp(x) ≡ sp(x) rp(x), (5)

whichisalsoperiodicgivingthefunctionbythe discreteconvolutionofthe S and R sequencesas H[N ]= {S ∗ R}[n]

Theperiodicconvolutionwillbe:

hp(x) ≡ p sp(τ ) rp(x τ )dτ, (6)

whichcanbeagainrearrangedintoP-periodicwith Fourierseriescoefficient

H[N ]= P S[n] R[n] (7)

4.2CompactGroups

OneoftheinterestingpropertiesoftheFourier transformisthefactthatitcarriesconvolutionsto pointwiseproducts.Ifthatisthepropertywhichwe seektopreserve,onecanproduceaFourierserieson anycompactgroup.

Compact(topological)groupisatopologicalgroup whosetopologyrealizesitasacompacttopological space(whenanelementofthegroupisoperatedon, theresultisalsowithinthegroup).Compactgroups areanaturalgeneralizationoffinitegroupswiththe discretetopologyandhavepropertiesthatcarryoverin significantfashion

ThisgeneralizestheFouriertransformtoallspaces oftheform L2(G),where G isacompactgroup,insuch awaythattheFouriertransformcarriesconvolutions topointwiseproducts.TheFourierseriesexistsand convergesinsimilarwaystothe [ π,π] case.

4.3RiemannManifolds

Ifthedomainisnotagroup,thenthereisno intrinsicallydefinedconvolution.Nonetheless,ifX isacompactRiemannManifoldcompactRiemannian manifold,ithasaLaplace–Beltramioperator.The Laplace–Beltramioperatoristhedifferentialoperator thatcorrespondstoLaplaceoperatorfortheRiemannianmanifoldX.

ThesphereisisometricallyembeddedintoRnasthe unitspherecentredattheorigin.Thenforafunctionf onSn1,thesphericalLaplacianisdefinedby:

∆sn 1 f (x)=∆f (x/|x|) (8)

Asweadd {ϕ,ξ} tothesphericalcoordinateonthe spherewithrespecttoaparticularpoirpofthesphere (the"northpole"),thatisgeodesicpolarcoordinates withrespectto p,theequationwouldbe:

∆sn 1 f (ξ,ϕ)=(sin ϕ)2 n ϑ ϑϕ (sin ϕ)2 n ϑf ϑϕ +(sin ϕ) 2 (9)

SinceFourierarrivedathisbasisbyattemptingto solvetheheatequation,thenaturalgeneralizationisto usetheeigensolutionsoftheLaplace–Beltramioperator asabasis.ThisgeneralizesFourierseriestospacesof thetype L2(x),where X isaRiemannmanifold.The Fourierseriesconvergesinwayssimilartothe [ π,π] case.Ifwetake X tobethespherewithusualmetric, theFourierbasiswillconsistofsphericalharmonists, whichisabasicmodellingofequationtodeterminethe atomicorbitaloftheatom.

5Conclusion

HoweverunlikemyinitialattempttoderivetheaccuratesphericalharmonicsmodelusingFourierseries, theRiemannmodelratherfocusontheproductionof theFourierseriesonthesphere“usingharmonicmodel” toderivethesphericalmodeloftheFourierseries.This wouldrequirebacktrackingoftheequations,whichwas apparentlybeyondmymodel.

Nonetheless,thefactthattheFourierserieshad asignificantdevelopmentonsphericalharmonicscannotbedenied.Whereasthetrigonometricfunctions inaFourierseriesrepresentthefundamentalmodes ofvibrationinastring,thesphericalharmonicsrepresentthefundamentalmodesofvibrationofasphere inmuchthesameway.Manyaspectsofthetheory ofFourierseriescouldbegeneralizedbytakingexpansionsinsphericalharmonicsratherthantrigonometric functions.Moreover,analogoustohowtrigonometric functionscanequivalentlybewrittenascomplexexponentials,sphericalharmonicsalsopossessanequivalent formascomplex-valuedfunctions.

Therefore,consideringthisrelation,thefinalinvestigationwouldsimplyintroducetheuseofsphericalhar-

55

monics,whichtakesimilarform/structuretotheFourier series.

6Extension

Rhemodeloftheelectronsfollowsthetrajectory providedintheSchrodingerequation.This,converted inreferencetotheenergywouldbe

Thiscanbewrittenas

Thiscanbeconvertedagainusingsphericalharmonicstoderivefunctionof

Y

fortheequationoftheatomicorbitals.

7Bibliography

1. Libretexts.(2023,July12).8.7:Quantumnumbersandelectronorbitals.ChemistryLibreTexts. https://chem.libretexts.org/Bookshelves/General Chemistry/Map3A-General-Chemistry-(Petrucciet-al.)/083A-Electrons-in-Atoms/8.073AQuantum-Numbers-and-Electron-Orbitals

2. Umanitoba.(n.d.).http://www2.physics.umanitoba. ca/rogers/phys2380/files/slides-Hydrogen atom.pdf

3. WikimediaFoundation.(2022,October18).CompactGroup.Wikipedia. https://en.wikipedia.org/wiki/Compactgroup

4. WikimediaFoundation.(2023a,December5).Sphericalharmonics.Wikipedia. https://en.wikipedia.org/wiki/Sphericalharmonics

5. WikimediaFoundation.(2023b,December5).Sphericalharmonics.Wikipedia. https://en.wikipedia.org/wiki/Sphericalharmonics

6. WikimediaFoundation.(2023c,December21).Riemannianmanifold.Wikipedia. https://en.wikipedia.org/wiki/Riemannianmanifold

7. WikimediaFoundation.(2024a,January 21).Convolutiontheorem.Wikipedia. https://en.wikipedia.org/wiki/Convolutiontheorem Periodicconvolution(Fourierseriescoefficients)

8. WikimediaFoundation.(2024b,February15).Fourierseries.Wikipedia. https://en.wikipedia.org/wiki/Fourierseries

9. WikimediaFoundation.(2024c,February22). Tableofsphericalharmonics.Wikipedia. https://en.wikipedia.org/wiki/Tableofspherical harmonicsSphericalharmonics

P 2 r 2me + L2 2mer2 Ze2 4πϵ0r = E. (10)
E = εr + L2 2mer2 , (11) where εr = P 2 r 2me Ze2 4πϵ0r (12)
11(θφ)= (3/8π)1/2 Sin θeiφ ,
1 1(θφ)=(3/8π)1/2 Sin θe iφ ,
10(θφ)= (3/4π)1/2 cos θ (13)
Y
Y
56

MathematicalAnalysisoftheMechanismofthe GlobalPositioningSystem(GPS)

RecommendedYearLevel:KS5

Emma(Chaeeun)Chung Year12

Email:cechung25@pupils.nlcsjeju.kr

Editor

Emma(Chaeeun)Chung

Keywords:GlobalPositioningSystem,Trilateration

1Introduction

TheGlobalPositioningSystem(GPS)isaradio navigationsystemthatprovidesuserswithpositioning, navigation,andtimingworldwide.Inthepresentday, majorcommunicationnetworks,bankingsystems,and financialmarketsdependheavilyonGPSforpreciselocationandtimesynchronisation.

2RoleofGPSComponents

TheGPSSystemConsistsofthreesegments:the spacesegment,thecontrolsegment,andtheusersegment.Thespacesegmentisasatelliteconstellation thattransmitsradiosignalstousers.Foursatellites areplacedineachcircularorbitevenlyspacedevery60º aroundtheEarth;24satellitesorbittheEarthandat least4satellitesareavailableforsendingsignalstoany pointonEarth.Currently,therearethreeextrasatellites,makingup27.

Thecontrolsegmentisanetworkofgroundfacilitiesthattrack,monitor,andsendcommandstoGPS satellites.Intheusersegment,theGPSequipment’sreceiverreceivessignals,whicharethenusedtocalculate theuser’slocationandtimeinthethirddimension.

Thispaperwillfocusonthemechanismofthecommunicationbetweenthespacesegment’ssatellitenetworkandausersegment,oraGPSreceiver.

3ThePrinciplesofTrilateration

GPSreceiversusetrilaterationtodeterminethepositionoftheGPSreceiver.Trilaterationisamethodof surveyingthatreliessolelyondistancemeasurements.

Whentwomeasurementsaremadeattwodistinct points,twopointswillexistaspossiblelocationsofthe pointofinterest.Atleastthreedistancesarerequiredto determineanunknownpositioninthe2nddimension, asthereisamaximumofonepointwherethreecircles intersect.

Fig.1:TheGPSsatellitenetwork Fig.2:Twomeasurementsfromtwopoints
57

4ApplicationsofTrilaterationinGPS

Itseemsthesamewouldapplyinthe3rddimension ofouruniverse,inwhichspheresareconsideredinplace ofcircles.Assumingnospheresaretangent,thereare threepairsofspheresandsoatmostthreecirclesof intersection.Inthiscase,thereisamaximumof2points thatallspheresintersect.InGPS,onepointcanbe ruledoutusingadditionalcriteriasuchaswhenonly onelocationliesontheEarth’ssurface.

AGPSreceiveronEarthreceivesthelocationalinformationofthreesatellites.Indoingso,italsorecords thetimedifferencebetweenthetimethesignalswere sentandreceived.Thenthereceivercancalculateits distancefromeachofthesatellites’positions,andultimately,itsownpositiononEarth.

5TheWatchError

However,thisidealmechanismonlyfunctionswhen GPSsatellitesandreceiverscontainhighlysynchronized clocks.Thelevelofaccuracycanonlybeachievedby usingatomicclocks,whichareveryexpensive.

Considerthescenariobelowinthe2nddimension. Theobjectiveistofindunknowncoordinatesthatare insidethelargestcircle,givenitsdistancefromthree pointsonthelargestcircle’scircumference.

Usingtwopointsgivesonepossiblecoordinate.Usingthreedistancesresultsinhigheraccuracy-ifthe calculateddistancesarecorrect,theunknowncoordinateswouldbetheintersectionofthreecircles.Yet,as

Fig.5:2nddimensiondemonstrationofawatcherror

thefigureontherightshows,thethreecirclesdonot intersectatasinglepoint.

Thistellsusthattherehasbeenanerrorindistance measurement,andweshouldusethreeinsteadoftwo distancemeasurementsastheycanindicatewhetheror notanerrorhasoccurred.Themostlikelycauseofthis errorinGPSisthewatcherror:theclockonthereceiver andthesatellitesarenotsynchronized.

Thefigureaboveillustratestheeffectsofvarious watcherrors.Let E representthewatcherror,inwhicha positive E denotesthattheclockoftheunknowncoordinatesisfasterthanthesatellites’clocks,andanegative E denotesthattheclockoftheunknowncoordinatesis slowerthanthesatellites’clocks.

Assumingthatthewatcherrorissteadyandfixed (i.e.,sloworfastbyaconstantamountoftime),the radiusofthecirclesinthefigureisinerrorbythesame amount.Thereforetheprecisecoordinatesofunknown pointcanbedeterminedwhenthethreecirclesintersect atasinglepoint,suchaswhen E=5secinthefigure above.

AsimilarappliestoGPScoordinatesonEarth. Thoughtheoretically,threesphericaldistancesmaybe sufficient,fourareusedtocheckforaccuracy,avoiding theneedtousecostlyatomicclocks.Thesystemof

Fig.3:Threemeasurementsfromthreepoints Fig.4:Max.of2pointsofa3-sphereintersection Fig.6:Effectsofvariouswatcherrors
58

equationswouldbesimilartobelow:

(

(

wheresatellitenumber i islocatedat(

), sendingasignalattime ti.Also,

Repeattheprocesswiththeremainingthreeother satellites.Theequationsareasfollows:

where T ′ i istimeofsignalreception,and ∆ti isthe timedifference.Hence,d(∆ti, E)isthedistanceofthe unknowncoordinates(x0, y0, z0)fromsatellite i.

6AnAlgebraicSolutiontoanExampleCase

Thissectionwillguidethroughtheillustratedprocessusingthebelowexamplenumericalvalues.

Letthesignal’sreceptiontimebe t andthetime oftransmission19.9,andthespeedofthesignal0.047. Thenthedistanceis:

Subtractthefirstequationfromeachoftheother three,leavinguswith:

Sincethereare3equationsand4unknowns,three unknownsfrom x, y, z, t canbeexpressedintermsofthe fourth,givingusaquadraticequationinonevariable. Formulatethislinearsystemasanaugmentedmatrix:

whichisequalto:

Thevaluesabovehavebeenrounded,althoughtin reallife,computationsutilisemoredigits.Asaresultof Gaussianelimination,thereducedrowechelonformis:

givingthegeneralsolution:

Returningtoourprevious

        
x0 X1)2 +(y0 Y1)2 +(z0 Z1)2 = d (∆t1,ε)2
(
x0 X2)2 +(y0 Y2)2 +(z0 Z2)2 = d (∆t2,ε)2
x0 X3)2 +(y0 Y3)2 +(z0 Z3)2 = d (∆t3,ε)2
x0 X4)2 +(y0 Y4)2 +(z0 Z4)2 = d (∆t4,ε)2 ,          (1)
(
xi, yi, zi
T
(2)
∆ti = T ′ i
i,
Satellite Position Time 1 (1,2,0) 19.9 2 (2,0,2) 2.4 3 (1,1,1) 32.6 4 (2,1,0) 19.9
d =0 047(t 19 9) (3)
d = (x 1)2 +(y 2)2 +(z 0)2 (4)
(x 1)2 +(y 2)2 + z 2 =0 0472(t 19 9)2 (5)
2x +4y 2(0 0472)(19 9)t =12 +22 0 0472(19 9)2 + x 2 + y 2 + z 2 0 0472t2 (6)
whensatellite1’spositionissetas(1,2,0),leading totheequation:
Expansionandappropriaterearrangementgives:
2x +4y +0z 2 0.0472 (19.9)t =12 +22 +02 0.0472(19.9)2 + x 2 + y 2 + z 2 0.0472t2 4x +0y +4z 2 0 0472 (2 4)t =22 +02 +22 0 0472(2 4)2 + x 2 + y 2 + z 2 0 0472t2 2x +2y +2z 2 0 0472 (32 6)t =12 +12 +12 0 0472(32 6)2 + x 2 + y 2 + z 2 0 0472t2 4x +2y +0z 2 0 0472 (19 9)t =22 +12 +02 0 0472(19 9)2 + x 2 + y 2 + z 2 0 0472t2 (7)
2x 4y +4z +2(0 0472)(17 5)t =8 5+0 0472(19 92 2 42) 0x 2y +2z 2(0 0472)(12 7)t =3 5+0 0472(19 92 32 62) 2x 2y +0z +2(0 0472)(0)t =5 5+0 0472(19 92 19 92) (8)
  2 440 0773 86 0 22 0 056 3 47 2 2000   (9)
  1000 0955 41 0100 0955 41 0010.0673.67   (10)
x =5 41 0 095t, y =5 41 0 095t, z =3.67 0.067t (11)
= 59
(x 1)2 +(y 2)2 + z2

Thereforethetwosolutionsare43.1and50.0,respectively(x, y, z)=(1.317,1.317,0.790)or(0.667, 0.667,0.332).Thefirstsolutionimpliesthat r≈2earth radii,whichisimpossibleforaGPSposition.The coordinatesofinterestarethesecondsolution,giving r≈0.9997earthradii;onthesurfaceoftheearth.

7Bibliography

1. ReferencelistGPS.GOV(2021).GPS.gov:GPS Overview.[online]Gps.gov.Availableat: https://www.gps.gov/systems/gps/.

2. Kalman,D.(2002).AnUnderdetermined LinearSystemforGPS.TheCollegeMathematicsJournal,[online]33(5),p.384. doi:https://doi.org/10.2307/1559010.

3. Thompson,R.B.(1998).GlobalPositioning System:TheMathematicsofGPSReceivers. MathematicsMagazine,71(4),pp.260–269. doi:https://doi.org/10.1080/0025570x.1998.11996650.

4. Trilateration|measurement|Britannica.(2019). In:EncyclopædiaBritannica.[online]Availableat: https://www.britannica.com/science/trilateration.

5. WolframCloud.(n.d.).Trilaterationandthe IntersectionofThreeSpheres.[online]Availableat: https://www.wolframcloud.com/objects/demonstra tions/TrilaterationAndTheIntersectionOfThreeSpheressource.nb.

ASimulationofIntersectionofSpheresinWolframMathematica

0472(t 19 9)2
(5 41 0 095t 1)2 +(5 41 0 095t 2)2 +(3 67 0 067t)2 =0 0472(t 19 9)2 , 0 02t2 1 88
+43
0
withthesesubstitutions,
t
56=0 (12)
60

KMPAlgorithm

Jimin(James)Lim

Year11

Email:jmlim26@pupils.nlcsjeju.kr

Editor

Emma(Chaeeun)Chung

RecommendedYearLevel:KS5andabove

Keywords:algorithm,search,pattern,optimisation, string

1Introduction

1.1Introductiontoalgorithms

Humanshavecountlesslyattemptedtorefinetheir codestobeexecutedatanunimaginablespeed,butonly failedmiserably.Whathumanshaveinventedafterfailuresafterfailurestoaidhumanityinwritingnewand bettercodesarealgorithms.

Algorithmsaredefinedasasetsequenceofprogrammingsyntaxandinstructionstocarryoutacertain taskatanotablyhigherspeedthananaiveimplementation.Anaiveimplementationinthiscontextrefersto acodethatistooslowtobeused.However,thereare somecaveatstothisdefinition;forexample,bruteforce algorithmistheslowestpossiblealgorithmyoucanuse foranyquestions.Hence,itisverydifficulttospecify theexactdefinitionofalgorithm,butisratheravague ideaofagroupofmethodsofhowtoapproachaquestion.

1.2KMPAlgorithm

Amongstthemanyalgorithms,somearespecialised insearching,especiallyinastringoranarray.There aredifferentvariantsofstringsearchalgorithms,butthe mostfamousandwidelyusediswhenyouhavetofind alloccurrencesofasub-stringinagivenstring.Hereisa simpleranalogy.Imagineyougointoawikipediaarticle andpressctrl+fandsearchforaphrase“searching algorithm”.Instantaneously,thebrowserwillshowyou everyinstancewherethearticlementionedthephrase “searchingalgorithm”.ThisiswhentheKMPalgorithm isused.

KMPalgorithm,theabbreviationofKnuth-Morris-

Prattalgorithm,isastring-searchingalgorithmmade bythreecomputerscientists-DonaldKnuth,James MorrisandVaughanPratt-in1970.Similartothe Boyer-MooreandRabin-Karpalgorithm,itfindsand usespatternstoefficientlysearchthroughastringina relativelyshorttime.

Thisarticlewillexploretheoptimisationofthe KMPalgorithmandtheapplicationsindifferentcases.

2BackgroundInformation

2.1TimecomplexityandbigOnotation

Beforemakinganin-depthexplanationaboutthe processofoptimisation,itisnecessarytounderstand theconceptoftimecomplexityandthebigOnotation. Timecomplexityisaterminologyusedtoshowhowfast acodeisexecuted,anditisachievedbyusingthebigO notation.ThebigOnotationhasauniversalformatof O(...),wherethenumberorexpressioninthebrackets representthespeedorthe“numberofexecutions”ofa code.

BigOnotationbecomesespeciallyusefulwhenone ormoreloopsareused.Forexample,givenanarray withlengthn,iteratingthroughallindexesofthefor loopwillgivethetimecomplexityofO(N ).Taking anotherexample,ifthereisthereare2forloopsnested, thetimecomplexitywillincreasetoO(N 2).However,if thetwoloopsarenotnestedandareseparate,thetime complexitywillreducetoO(2N ).

Justbyobservingthedifferenttimecomplexities,it isquitedifficulttovisualisethedifferenceinthetime ittakesforthedifferentcodestobeexecuted.The graphaboveshowshowdifferenttimecomplexitiesvary asN,orthevariableusedinthebigOnotationincreases(towardsinfinity).Fromthegraph,itisnoticeablethatthereisahugedifferenceintimecomplexities ofO(N),O(NlogN)andO(N 2),whichshowsthesignificanceofoptimisingcodesandimplementingnecessary algorithmstoreducethetimecomplexity.

61

2.2Prefixandsuffix

Theseconceptsarerathersimpleandmorefriendly tomostpeople.PrefixesofastringintheKMPalgorithmareconsideredallsubstringsstartingfromthe index0.Ifastringhasalengthofn,therewouldbe ncorrespondingprefixesofthestring.Forexample, thestring“apple”willhaveprefixes“a”,“ap”,“app”, “appl”and“apple”

Suffixesworktheexactsamewaywithprefixes,but juststartfromtheendofthestringincontrasttoprefixes.Suffixesstartfromtheindex-1andworktheir wayback.Usingthesamestring“apple”,itwillhave suffixes“e”,“le”,“ple”,“pple”,“apple”.Also,itisimportanttonotethatprefixesandsuffixesofastringboth canincludethestringitself.

2.3FailureTable

Thefailuretable,alsoknownasthepartialmatch table,isaone-dimensionalarraythatisthekeytooptimisingthetimecomplexityofalinear-stringsearch. Theindexiofthefailuretablecontainsthemaximum lengthwherethesuffixwillbeequaltotheprefixof thesubstringfromindex0toi.Thevalueofthefailuretableisoftenreferredtopi[i]:theithvalueofthe array,wherethearrayisnamedpuforthesakeofsimplicity.Anexampleofafailuretableofthestring “AABABAABAABA”isasthefollowing.

Fig2aboveshowsanexampleofafailuretableof astringandthematchingsuffixandprefixarecoloured toshowaclearrepresentationofhowitworks.Also, theprefixateachcolumnofthefailuretablemustnot equalthesubstringitself.Howexactlythefailuretable isutilisedandexploitedwillbefurtherelaboratedlater oninthisarticle.

3OptimisationofKMP

3.1BeforeOptimisation

Toreduceanyconfusion,thelengthofthefull string(text)willbereferredasN,andthelengthof thewantedsubstring(pattern)tobesearchedwillbe referredasM.

3.2Naivesolution

Themostinstinctiveimplementationwillbebrute forcingeverysubstringandcountingthenumberofcorrespondingsubstrings.Thismethodisstillvalid,but willwastetoomuchtime.Throughthisimplementation,thecodewilliteratethroughallofthesubstrings oflengthM,andcomparethesubstring,resultingina timecomplexityofO(NM).Thiswilleventuallybecome aproblemasthetimecomplexitywillincreaseexponentiallyeventhoughnandmitselfincrementsbyasmall number.

3.3Makingthefailuretable

3.3.1Naiveapproach

Solelycreatingthefailuretableshouldnotbeunderestimatedasitalsorequiresitsownoptimisation.The failuretablecanalsobeimplementedbyusingabrute forcealgorithm,butwillresultinatimecomplexityof O(M 3),whichismuchworsethanthesolutionin3.2, despitebeingonlythepreprocessingstage.Therefore, anothermethodmustbeusedtoreducethiscomplexity tounderO(M 3).

3.3.2Optimisationoffailuretableandits mechanism

Infact,thereisanelegantwayofreducingthetime complexityallthewaytoO(M).Asmentionedearlier on,theKMPalgorithmusespatternstoreducethetime complexity,andthisworksjustthesameforthisoptimisation.Thetablebelowisatracetablewhenthe patternis“ABABBAB”.

Thegeneralruletofollowforcreatingthefailure tableisthatifpattern[i]andpattern[j]arethesame,i andjarebothincremented,butiftheyaredifferent,iis settopi[i-1].Whenpattern[i]andpattern[j]aredifferent,thisimpliesthatweareoverestimatingthepotential correspondingprefixthatmatchesthesuffix,therefore willhavetodecreasethelengthoftheprefix.However, sincedecrementingtheprefixby1isnotenoughtogive

Fig.1:Timecomplexitychart Fig.2:Failuretableexample
62

Fig.3:Tracetableoffailuretable

anoticeablechangeinthetimecomplexity,thealgorithmusespreviouspivaluestojumpmultipleindexes atonce.Thisistruebecausethevalueofpi[i-1]tells usthataprefixwithalengthofpi[i-1]existstwiceas italsoincludesthesuffix.Therefore,movingpointer itothep[i-1]guaranteesthatthesearchingprefixwill bethesame.Forexample,ifpi[i-1]hasavalueof2, therewillbeaprefixandasuffixwiththesamepatternwithbothlengthof2,meaningthatpointerican takeashortcutfromitopi[i-1],ratherthantraversing 1indexatatime.Duetothisspecificflowofthealgorithm,whenpattern[i]andpattern[j]arethesame,we cansimplyadd1toi(indexstartsfrom0)andadditto thepiarray.

Insimpleterms,thefailuretableiscreatedbyskippingunnecessarysearchesbyrecognisingdifferentpatternsandsamenessofthesubstringsinthegiventext. Moreover,ithasbeenpreviouslymentionedthatthe timecomplexityifO(M),butthecodeexplicitlyshows anestedforloopandawhileloop.AcursoryexaminationwilldeduceatimecomplexityofO(M)inthe worstcasescenario.However,everytimejincrements by1,themaximumvalueicansubsequentlyincreaseis 1.Therefore,thisprovesthatthetimecomplexitywill notgoovertwiceofM,andwillultimatelyconvergeto O(M).

3.4Matchingstage:usingthefailuretable

Oncethefailuretableiscreated,thepreprocessing isdone,andthematchingstageofthealgorithmisready tobeexecuted.Ifyouseethecodeofthematching stage,youcanobservethatthematchingalgorithmis almostexactlythesameasthepreprocessingstage.The matchingalgorithmalsousestwopointersiandj,but theonlydifferenceisthatbothpointersstartfromthe index0.Thepointeriinthispieceofcodereferstothe indexofthepattern,whilepointerjreferstotheindex ofthetext.

Thealgorithmstartswithcomparingpattern[i]and text[j].Ifthetwolettersarethesame,thealgorithm incrementsbothiandjby1tocheckthenextindex. Theprogramiteratesthesameprocedureuntilpointeri

reachesthelengthofthepatternorpattern[i]andtext[j] doesnotmatch.Beforethispointisreached,thereare twopossiblecases:whenthepointerireachesthelength ofthepatternanddoesn’t.Forbothcases,pointeriis incrementedby1.However,ifthispointisreached,the codewillmakeextrastepstoincrementthecountand setitopi[i-1].Thereasonwhyiissettopi[i-1]isalmostthesamefortheexplanationusedinoptimising thefailuretable.Thepi[i-1]valuetellsusthatthereare 2occurrencesoftheprefixwithlengthofpi[i-1],meaningthatifpointeriissettopi[i-1],thecodewillreduce thenumberofrequirediterationswithoutskippingtoo muchtotheextentthatacertainnumberofoccurrences ofthepatterninthetextisskipped.However,ifpattern[i]andpattern[j]aredifferentinthefirstplace,iis settopi[i-1]toskipcolumnsinthemiddleofthesearch asmuchaspossible.

Totakeanexample,thetracetableofthematchingalgorithmforthetext“ABBABABBABABABABBAB”andpattern“ABABBAB”isasshownbelowto aidinthevisualrepresentationofthecode.

TheoveralltimecomplexityforthematchingalgorithmisO(N)ratherthanO(NM)orO(N 2)forthe similarreasonforthetimecomplexityofthefailuretable.Pointeriiteratesthroughthepatternandpointer jiteratesthroughthetextitself.Althoughpointeriis bothincrementalanddecrementalwhennecessary,the amountofindexesitdecrementsroughlycancelsout withtheamountofindexesincremented.Thismeans

Fig.4:Tracetableofmatchingalgorithm
63

thattheoveralltimecomplexitywillnevergoover O(2N),whichisconsideredtobeconvergingtoO(N). ThisresultsinaoveralltimecomplexityofO(N+M)includingthepreprocessingstageandthematchingstage.

4Analysis

4.1AdvantagesofKMP

ThemainandmostevidentbenefitoftheKMPalgorithmisthatitsuccessfullyreducesthetimecomplexityfromO(NM)toO(N+M).Thisisveryimportantas otherstringsearchingalgorithmssuchasrabin-karpalgorithmdohavetimecomplexityofO(N+M),butmight haveworsttimecomplexityofO(NM)duetofrequent hashcollisions.

Otherthanthegeneraltimecomplexity,theKMP algorithmisalsopowerfulinthesensethatitdoesn’t requireanyelementofbacktracking.Thistraitnot onlyshortensthecodethatisneededtobewritten, butalsomakesitveryfavourableforbrowserstoimplementKMPalgorithmsforsearchinginlargetextfiles ordocuments.

4.2LimitationsofKMP

ThebiggestlimitationoftheKMPalgorithmisthat inspiteofitsefficiencyinstringmatching,itsflexibility toadapttoperformingvarioustasksotherthanstring matchingisfairlypoor.Unliketheboyermoorealgorithm,KMPalgorithmisnotageneral-purposealgorithm,soitsfunctionwillbestrictlylimitedtostring matching.

Also,onelimitationthatthemajoritytendtooverlookisthattherestillaresomespacesforimprovements. AlthoughtheKMPalgorithmissaidtohavethetime complexityofO(N+M)intheworstcase,theactual timecomplexityisclosertoO(2N+2M).Asthepointersareslidedtowardstheendofthetext,thealgorithm doesmakematchesandcomparisonsthatarenotfully necessary.Anewlyproposedalgorithmasasuccessor oftheKMPalgorithmistheL-I-KMPalgorithm.

Thisnewalgorithmworksinasimilarwaytothe KMPalgorithmbyrelyingonthemismatchofthepatternandthetext,butinsteadusesanewdatastructure calledalast-identicalarray.TheL-I-KMPalgorithm alsohasapreprocessingandamatchingstage,where thepreprocessingstagecreatesthelast-identicalarray andthematchingstageusesittomakealinearsearch throughthetext.TheL-I-KMPalgorithmdoesnotdifferinthelevelofefficiencywiththeKMPalgorithm withsmalldatasets,butwillhaveabiggergradualdifferencewhenthedatasetbecomesextremelylarge.

5Applications

DespitethefactthattheKMPalgorithmisnota general-purposealgorithm,thisdoesn’tthwartthealgorithmitselfbeingappliedinotherfieldsandscenarios.

OneinterdisciplinaryusageoftheKMPalgorithmisin theareaofbioinformatic,especiallyinDNAsequencing. DNAsareoftenrepresentedasauniquestringwhere eachletterrepresentsabaseofanucleotide.Sincethere are4typesofnucleotides-adenine(A),cytosine(C), thymine(T)andguanine(G)-DNAincomputerscience isnothingmorethanapieceoftext.Therefore,givena strandofDNA,wecancomputetofindthenumberor positionoftheoccurrenceofaDNApattern.Thisapplicationisparticularlyusefulintheareaofmedicine. Forexample,doctorscanusethealgorithmtoreveal certainmutatedgenomesequencesthatcanpotentially causeadiseaseandmakeearlypreventions.

TheKMPalgorithmisalsousedinanti-virussoftwares.Thereasonwhythesesoftwaresusesthisalgorithmistheneedtoidentifythevirussignatures.Virus signaturesarealgorithmsorhashesthatarestoredin thedatabaseofamalware.Duetothisproperty,malwaressuchasvirusescanbedetectedbydetectingthe signatureofthemalware.Thus,theanti-virussoftware willbeabletoscanthroughthedatabaseandeachfile andscanfortheknownvirussignatures.Sincethesignaturesareonlyinstalledintheinfectedfilesandnot intheuninfectedfiles,detectingthesignaturewilleasilyaidthesoftwaretoeradicateandkillthemalwares inthecomputer.Althoughadvancedtypesofviruses aregraduallyemergingthatcanobfuscatetheirsignaturesandremainundetected,usingtheKMPalgorithm stilleliminatesnumerousrudimentarymalwaresandis anecessaryprocessanti-virussoftwaresshoulduse.

Otherthanthetwoareasofapplications,theKMP algorithmisalsousedinfilecompression,networksecurityandevenAIsastheyneedtheabilitytorecognise patternsinimagesandspeeches.

6Conclusion

Inanutshell,thisarticleexploredtheprocessof optimisingtheKMPalgorithm,evaluatedthestrengths andweaknessesofthenatureofthealgorithmitselfand finallydiscussedtheapplicationofthealgorithmand howitbranchesintodifferentfields.

TheKMPalgorithmhassurprisinglyinfiltratedour dailylivesaftertheadventofmoderntechnologywithoutbeingnoticedbyhumansourselves.Eventhough thecomplexityveilsitselffrombeingknownbymany people,acknowledgingandappreciatingtheeleganceof thealgorithmisadutywemustallcarry.

7Bibliography

1. Xianglu,Y.(2019).TheAnalysisofKMP AlgorithmanditsOptimisation[online]

https://iopscience.iop.org/article/10.1088/17426596/1345/4/042005/pdf

2. Anonymous.(2016).KMP[online]

https://bowbowbow.tistory.com/6

64

3. Everton,G.(2023).EfficiencyinString

Searching:AnIn-DepthAnalysisofthe Knuth-Morris-Pratt(KMP)Algorithm[online]

https://medium.com/@evertongomede/efficiencyin-string-searching-an-in-depth-analysis-of-theknuth-morris-pratt-kmp-algorithm-2adb07b6bc60

4. LogicFirst.(2019).Knuth-MorrisPratt(KMP)algorithm|StringMatchingAlgorithm|SubstringSearch[online]

https://www.youtube.com/watch?v=4jY57Ehc14Y

5. Gyongi.(2022).KMPalgorithm[online]

https://yiyj1030.tistory.com/495

6. Hwan.(2021).KMPalgorithm[online]

https://velog.io/@hwan2da/

7. Ghanshyam,C.(2018).PatternMatching AlgorithminDNASequenceAnalysis[online]

https://ijcrt.org/papers/IJCRT1801645.pdf

8. Yodi,P.(2010).ImplementationofPatternMatchingAlgorithmonAntivirus forDetectingVirusSignature[online]

https://informatika.stei.itb.ac.id/rinaldi.munir/ Stmik/2013-2014/Makalah2013/MakalahIF22112013-062.pdf

9. Alexey,M.(2016).Antivirusfundamentals:Viruses,signatures,disinfection[online]

https://www.kaspersky.com/blog/signature-virusdisinfection/13233/

ANaivesolutioncode

import sys

input =sys.stdin.readline

n,m= map( int , input ().split())

text= input ().strip()

pattern= input ().strip() count=0

for i inrange (n m+1): if text[i:i+m]==pattern: count+=1

print (count)

BFailuretable(naive)

import sys

input =sys.stdin.readline

n,m= map( int , input ().split())

text= input ().strip()

pattern= input ().strip() count=0

pi=[0 for inrange (m)]

for i inrange (m): temp_p=0 for j inrange ((i+1)//2): if pattern[:j+1]==pattern[i j:i+ → 1]: temp_p=j+1

pi[i]=temp_p print (p)

CFailuretable(optimised)

import sys

input =sys.stdin.readline

n,m= map( int , input ().split())

text= input ().strip() pattern= input ().strip() count=0

pi=[0 for inrange (m)] i=0

for j inrange (1,m): while i>0 and pattern[j]!=pattern[i]: i=pi[i 1]

if pattern[j]==pattern[i]: i+=1 pi[j]=i

print (pi)

DMatchingstage

import sys input =sys.stdin.readline

n,m= map( int , input ().split()) text= input ().strip() pattern= input ().strip() count=0

pi=[0 for inrange (m)]

i=0 for j inrange (n): while i>0 and pattern[i]!=text[j]: i=pi[i 1]

if pattern[i]==text[j]: i+=1 if i==m: count+=1 i=pi[i 1]

EFullKMPalgorithmcode import sys input =sys.stdin.readline

n,m= map( int , input ().split()) text= input ().strip() pattern= input ().strip() count=0

pi=[0 for inrange (m)] i=0

for j inrange (1,m): while i>0 and pattern[j]!=pattern[i]: i=pi[i 1]

65

i=0

if pattern[j]==pattern[i]:

i+=1

pi[j]=i

for j inrange (n): while i>0 and pattern[i]!=text[j]: i=pi[i 1]

if pattern[i]==text[j]:

i+=1

if i==m: count+=1 i=pi[i 1]

print (count)

66

Penney’sgame

Jeff(Suhyuk)Cho Year11

shcho26@pupils.nlcsjeju.kr

RecommendedYearLevel:KS4andKS5

Keywords:Treediagram

1Introduction

Ifyoutossacoin,whatistheprobabilityofthecoin landingoneitherside?50%itis,unlessthecoinawkwardly landsonitsedge,aprobabilitysounlikelythatwecanignoreit.Whatifwethrowacointhreetimesanditalways landsonheads?Well,thatisa12.5%chancefollowingbasic probabilitycalculations.Aprobabilitynotextremelyhigh, buthighenoughtobeoccurringonceineighttimes.

Supposeweplayasimplegame:youcomeupwitha sequencepredictingthreeconsecutivethrowsofacoin.You mightsayHeads,Heads,Tails,orTails,Heads,Tails...and soon.Then,Ialsopickasequencebasedonyoursequence andwestarttossingacoinuntiloneofoursequencescomes out.Theonewiththeirsequencefirstappearinggetstowin. WhatifItellyouthatI,choosingmysequenceafteryou,alwayshaveahigherchanceofwinningjustbyusingasimple method?

2Examples

Let’sstartwithaneasyexample.Saythatyouchose HHH.IchooseTHH.

TheprobabilityofthesequenceHHHshowingupafter threeconsecutivecointossesis 1 8 ,asstatedbefore.Similarly, theprobabilityofthesequenceTHHshowingupafterthree consecutivecointossesisalso 1 8 .WhywouldIhavechosen suchasequence,andhowdoesitmakethesituationinfavour ofme?

Theanswerissimple.Wearenottossingthecoinjust threetimes,butwearetossingthecoinuntiloneofthesequencescomesout.Whenthreeheadscomeoutinarow, whichisa12.5%probability,congratulations,youhavewon thegame.Butassoonastailscomeout,thingschange.In orderforyoutowin,youwouldneedthreeheadsaftertails comeout.ButmysequencewasTHH,henceevenbefore

youhavecompletedyoursequence,Ifinishedmine.Therefore,anysequenceexceptHHHwouldeventuallymakeme win,whichisa 7 8 probability.

Thiswasbyfarthesimplestexample.Let’smoveinto morecomplicatedscenarios:

Thistime,annoyedbymyvictory,youchooseHHT.I willchooseTHH.

Iftailscomeoutfirst,Iwin.Why?Youneedtwoheads inarowtocompleteyoursequence,andbeforeyoufinish yours,Icompletemine(twoheadsfollowingatail).Bearin mindthattailscomeouthalfofthetime,sofornow,Ihave atleast50%chanceofwinningalready.

Ifheadscomeoutfirst,itbecomesadifferentstory.Two consecutiveheadswouldmeanthatyouwin,asIneedtails tocompletemysequencebutthiswouldmakeyouwinbeforeme.Iftailsfollowheads,Iamdefinitelygoingtowin, followingthesamelogicfromwhentailscomeoutfirstin theparagraphabove.

Referringtothetreediagram,wecancalculatetheprobabilityofyouwinningthegame,whichisonly 1 2 ∗ 1 2 = 1 4 .It isthreetimesmorelikelyformetowinthanyou.

Onelastexample:thisoneshouldbethetoughestofall. YouchooseHTH,andIchooseHHT.

Iftailscomeoutfromthestart,neitherofthesequences wouldbeinfavouroftheothersincebothsequencesstart withheads,nottails.Soweneedtoonlyconsiderwhenthe startofthecointossisheads.

Headscomeout,andnowwearebacktoa50-50chance ofgettingeitherheadsortailsinoursecondtoss.Firstconsiderwhenthetwoconsecutivethrowsfromthestartareboth heads.ThenHHTisgoingtowin,asHTHneedsonemore

67

headsaftertails,andbythenHHTwouldhavefinishedthe sequence.

Ifthesecondtossistails,fulfillingthefirsttwoofthesequenceHTH,weneedtoconsiderthethirdcointossaswell. Ifthethirdcointossisheads,thereyougo,youwin.You wereverylucky,sincethefirstthreetosseswereH-T-H.But ifthethirdcointossistails,wehavetogobacktothestart again,sincebothsequencesdonotincludetailsfollowedby tails.

Here,youcanseethatmychanceofwinningistwiceof yours,sinceHHTwins 1 4 ofthetimewhileHTHwins 1 8 of thetime.Hence,theprobabilityofHHTwinningis 2 3 ,while thechanceofHTHwinningis 1 3

Afterworkingoutallthecombinationsofsequences, hereisthecompletetableshowingtheoddsofwinning:

3Thestrategy

Foralloftheseexamples,Ihaveahigherprobabilityof winningthanyou.Haveyouwonderedwhy?Whatkindofa strategyamIusingtoputmeinanadvantage?

Asyoucanseefromtheexamples,Iamconstantly changingyoursecondguessandplacingitasmyfirstguess, andthenmysecondguessandmythirdguessarethesame asyourfirstandyoursecondguess.

Thereasonwhywelookedattheexamplesbeforeisbecausethesecondpersonaimstomakeitimpossibleforthe firstperson’ssequencetocompleteoncethesecondperson’s firstguesshasbeencompleted.

Fromhere,thesecondpersonnowonlyneedstocopy thefirstperson’sfirstguessandthesecondguesstocomplete beforetheotherperson.

68

BlockchainandHashFunction

JungseoPark

Year10

Email:js2park27@pupils.nlcsjeju.kr

RecommendedYearLevel:KS4,KS5

Editor

Emma(Chaeeun)Chung

Keywords:Blockchain,Hashfunction,Birthday

Paradox

1Introduction

Thehistoryofthehashfunctionhasprogressed alongwiththedevelopmentofcryptographyandcomputerscience,andhasdevelopedinresponsetothe needsofsafetyandsecurityaspects.Thehashfunction,whichisstillbeingcontinuouslyresearchedand developedinthefieldofcryptographyandsecurity,also playsalargeroleinblockchaintechnology,whichhas recentlyreceivedalotofattention.Next,wewilllook atthedefinitionandcharacteristicsofthehashfunction anditsuseinblockchain.

2BackgroundInformation

2.1HistoryofHashFunctions

Theconceptofhashfunctionsemergedinthe1950s, butitsrootsextendfurtherbackwhendatatransformationandcompressionmethodswereemployedforefficientdatastorageandretrieval.Hashfunctionsbecame pivotalincryptographyandcomputerscience,gaining prominenceinthe1970s.TheMerkle-Damgardstructure,afundamentalhashfunctionframework,surfaced in1979,leadingtothedevelopmentofvarioushashalgorithms.Sincethe1990s,heightenedconcernsabout hashfunctionsecurityledtothecreationofMD5,SHA1,andSHA-256,utilisedacrossdataintegritychecks, encryption,andblockchainfortheircryptographicrobustness.Yet,evolvingsecurityunderstandingshaverevealedvulnerabilitiesinsomehashfunctions,prompting theongoingdevelopmentandadoptionofmoreresilient alternatives.

2.2DefinitionofHashFunction

Ahashfunctionisafunctionthattakesdataofarbitrarylengthasinputandoutputsafixed-lengthvalue, thatis,ahashvalue.Sincethehashvalueisderived fromtheinputdata,thesameinputwillalwayshavethe samehashvalue (Thevaluereturnedbyahashfunction isalsocalledahashvalue,hashcode,digest,orsimply hash).

Modulooperation,orremaindercalculation,isone oftheeasiestandmostintuitiveexamplesofahash function.Therestofthecalculationsaresimplefunctionsthatconvertonerandomnumbertoanother,and canbeviewedasakindofhashfunction.

Forexample,let’ssaywehaveadatasetofnumbersfrom0to9.Andlet’sassumethatweusethe operationofdividingtheinputnumberby5andtaking theremainderasahashfunction.Usingthisremaining calculationasahashfunction,eachnumberinthedata setisconvertedtoahashvaluewithafixedrangefrom 0to4.

Forexample,whenyouapplythenumber7toa hashfunction,theremainderof7dividedby5,whichis

Fig.1:Exampleofasimplehashfunction
69

2,isoutputasthehashvalue.Likewise,thehashvalue forthenumber8isoutputas3,andthehashvalue forthenumber9isoutputas4.Usingahashfunction inthiswayallowsyoutogenerateafixed-lengthhash valuefortheinput,alwaysfollowingthesamerules.

Therestofthecalculationsareverysimpleandpredictablehashfunctions.However,complexhashfunctionsthatareactuallyusedusebitoperations,nonlinear functions,andcomplexalgorithmstoensuresafetyand collisionresistanceandperformsaferdataconversion.

3CharacteristicsofHashFunctions

3.1Unidirectional

Thehashfunctionisunidirectional,soconversion frominputdatatohashvalueiseasy,butreverseconversionfromhashvaluetooriginaldataisalmostimpossible.Thisisanimportantfeatureforthehashfunction toensuretheintegrityofdataandtobeusedforsecurity purposes.

Onemeasureofthisunidirectionalityispreimage resistance.Excellentanti-phaseresistancemeansthat itisdifficultforanyhashfunctiontofindaninputvalue thatoutputsaspecificvalue.Manycryptographichash functionscurrentlyusedinsecurityreturncompletely differentoutputsfordifferentinputs,makingitverydifficulttoinfertheirinputs.

Fig.2:Exampleofacryptographichashfunctionthat producescompletelydifferentoutputvaluesevenwith similarinputvalues

aninputbthathasthesamehashvalueasthehashvalue ofinputa.

→ Anti-phaseresistance,collisionresistance,and secondanti-phaseresistancearefactorsthatevaluatethe safetyofthecryptographichashfunction.

3.3Fixedresultvaluelength

Thehashfunctionalwaysoutputsaresultofacertainlength.Evenifthesizeoftheinputdataisdifferent,italwaysreturnsahashvalueofthesamelength, soitisusefulforensuringdataconsistencyandefficient processingindistributedsystemssuchasblockchain.

Forexample,whencheckingwhetheralargeamount ofdatahasbeentamperedwith,itiseasiertocheck whethertamperinghasoccurredbycomparingthehash valueofthedataratherthancomparingallthedataone byone.Thismethodofcheckingiscalleddataintegrity checking.

Fig.3:Hashfunctionusedtochecktheintegrityoflarge amountsofdata

4CryptographicHashFunction

Thishashfunctioncannotbeappliedtoproof-ofworkorchains.Acryptographichashfunctionthat requiresdifferentpropertiesfromgeneralhashfunctions isneeded.

Hashfunctionsinevitablycausehashcollisions.A hashcollisionoccurswhentheinputvaluesaredifferent buttheoutputvaluesarethesame.

1. AninputvaluecalledxentersthehashfunctionH andhasanoutputvaluecalledH(x).

3.2HashCollisions

Ahashfunctioncanoutputthesamehashvalue fordifferentinputs.Thisiscalledahashcollision.A goodhashfunctionshouldminimisecollisions,anda securehashfunctionshouldensureaverylowcollision probability.

Thescaleforevaluatingthiscanbeexpressedascollisionresistance.Goodcollisionresistancemeansthat itisdifficultforanyhashfunctiontofindtwodifferent inputsthatcollide.

Whatissecondpreimageresistance?Thisisa casewherecollisionresistanceandanti-phaseresistance worktogether,indicatingthatitshouldbedifficulttofind

2. AninputvaluecalledyentersthehashfunctionH andhasanoutputvaluecalledH(y).

3. Atthistime,ifH(x)=H(y),ahashcollisionoccurs.

Acryptographichashfunctionisahashfunctionin whichitisverydifficulttofindsuchhashcollisions.It hasthreecharacteristics:‘collisionresistance’,‘reverse phaseresistance’,and‘secondreversephaseresistance’.

4.1CollisionResistance

Thecharacteristicisthatitisverydifficulttofind twoinputvalueswiththesamehashvalue.Itisdifficult tofindx=ysuchthatH(x)=H(y).

70

4.2Pre-imageResistance

Whenahashvalueisgiven,itisdifficulttodeterminetheinputvaluethatgeneratesthehashvalue. Givenh,theinputvaluexsuchthath=H(x)isdifficult tocalculate.

4.3SecondPre-imageResistance

Itisacharacteristicthatitisimpossibletofind anotherinputvaluethathasthesamehashvalueasan inputvalue.

GivenaninputvaluexandanoutputvalueH(x), itisdifficulttofindanotherinputvalueysuchthat H(x)=H(y)

5CryptographicHashFunctionRelationship

Ifitisacollisionresistancehashfunction,itcanbe asecondpre-imageresistancehashfunctionorapreimageresistancehashfunction.

1. First,selectaandcalculateH(a).

2. Calculatethepre-imagexforH(a)throughanalgorithmthatcanfindthepre-image.Thereisahigh probabilitythatxandaaredifferentvalues.

3. FindxsuchthatH(x)=H(a).Itisthesecondpreimage.Inotherwords,itisahashcollision.

Therefore,ifyoucanfindthepre-image,youcan findthecollision.Ifwetakethetreatmenthere,ifwe don’tfindtheconflict,wecan’tfindthereverseimage either.Therefore,ifitisacollisionresistancehashfunction,itcanalsobeanpre-imageresistanthashfunction.

6Outputlengthandstability

Whydocryptographichashfunctionsuseoutput valuesaslongas256bits?Thisisrelatedtothebirthday issue.Thebirthdayproblemistofindtheprobability thattwopeopleamongrandomlycollectedpeoplehave thesamebirthday.

Beforelookingatthebirthdayproblem,let’slook atthepigeonholeprinciple.

6.1PigeonholePrinciple

Theprincipleisthatwhenn+1objectsareputinto nboxes,atleastoneboxcontainstwoormoreobjects.

Proofbythelawofreductio:Supposetherearenpigeonholesandn+1pigeons.Ifeachpigeonholecontains lessthanonepigeon,thenthereareatmostnpigeonsin allpigeonholes.However,sincetherearen+1pigeons intotal,thereisacontradiction.Therefore,thereare twoormorepigeonsinanypigeonhole.

6.2BirthdayParadox

Thereare365daysinayear,sothereareatotal of365birthdays.Ifmorethan366peoplegather,there mustbetwopeoplewiththesamebirthdayaccording tothepigeonholeprinciple.

Let’scalculatethecasewheretherearelessthan 365people.Iftherearenpeopleandtheprobability thattwoormoreofthemhavethesamebirthdayis p(n),thentheprobabilitythatallpeoplehavedifferent birthdaysp(n)is-p(n).First,let’sfindp(n).Sincethe birthdayofthesecondpersonmustbedifferentfromthe firstperson,andthebirthdayofthethirdpersonmust bedifferentfromboththefirstandsecondpersons,we canobtainthefollowingequation.

Theprobabilityoftwopeoplehavingthesame birthdayis 1 365 ,soyoumightthinkthatitwouldtake 365peopletohavethesamebirthday,butifyoucalculatetheaboveequation,

Evenifthereareonly23people,thereisa50%

Fig.4:CryptographicHashFunction
p(n)=1 × 1 1 365 × 1 × 1 2 365 ×···× 1 × 1 n 1 365 = 365 × 364 × 363 ×···× (365 n +1) 365n = 365! 365n(365 n)! (1) Thereforep(n)is p(n)=1 365! 365n(365 n)! (2)
Fig.5
71

chancethatsomeonewillhavethesamebirthday.

8Conclusion

23canberoughlyconsideredtobethesquareroot of365.Let’ssaywehaveahashfunctionwhoseoutput is256bits.Ifanyofthesehavethesamevalue,i.e.to findaconflict,ittakesabout 2 n 2 =2 256 2 =2128.Makethe outputbitslongenoughbecausecollisionscanbefound bycalculatingonly 2128 times.

Incryptography,itisusuallysaidthatifittakes morethan 280 times,itissafe.Therefore,theoutput lengthissufficientlylong,about256bits,tomakeit muchmoretransparent.

7Usinghashfunctionsinblockchain

7.1Reasonsforusinghashfunctionsin blockchain

Theapplicationofhashfunctionswithinblockchain isfundamentaltoitsdecentraliseddistributedsystem, prioritisingthesafetyandintegrityofdata.Through theconversionofblockchaindataintouniquehashvaluesusinghashfunctions,thisapproachofferssignificant advantagessuchasestablishingidentity,ensuringdata integrity,andfortifyingoveralldatasecurity.

7.2Exampleofusingblockchainhashfunction

7.2.1TransactionHash

Transactions,whichareunitsofdatatransmittedbetweennetworkparticipantsinablockchain,go throughahashfunctionandareconvertedintoahash valueofacertainlength.Thismakesiteasytoidentifyandensuresintegritybecausewhentransactiondata changes,thehashvaluealsochanges.Additionally,since hasheddataisdifficulttorestoretotheoriginaldata, thestabilityofdatastoredintheblockchainincreases.

7.2.2BlockHash

Eachblockhasauniquehashvaluebasedonthe datacontainedintheblock.Thisallowsblockstobe distinguishedfromeachother,andhashvaluescanbe usedtofindorverifyspecificblocks.Additionally,when calculatingthehashofeachblock,thehashvalueofthe previousblockisalsoincludedtoensuretheintegrityof thechain.

7.2.3MerkleTree

MerkleTreeisacoredatastructureforverifyingthe integrityofblockchain.AMerkletreeisadatastructure thatrepresentsmultipledataasasinglehashvalueby applyingahashfunctionstepbystep.Simplyput,itis adatastructurethatturnsmultipledataintoonehash value.

Inconclusion,hashfunctions,particularlycryptographicones,areindispensabletoolsfordataintegrity andsecurity.Theyenablevariousapplications,notably inblockchain,byprovidinguniqueidentifiers,ensuring dataconsistency,andenhancingoverallsystemsecurity. Continuousresearchanddevelopmentinthisdomainremainimperativetoaddressevolvingsecuritychallenges.

9Bibliography

1. Wang,M.,Duan,M.andZhu,J.,2018,May. Researchonthesecuritycriteriaofhash functionsintheblockchain.InProceedings ofthe2ndACMWorkshoponBlockchains, Cryptocurrencies,andContracts(pp.47-55). https://dl.acm.org/doi/abs/10.1145/3205230.3205238

2. Kuznetsov,A.,Oleshko,I.,Tymchenko,V.,Lisitsky,K.,Rodinko,M.andKolhatin,A.,2021.Performanceanalysisofcryptographichashfunctions suitableforuseinblockchain.InternationalJournal ofComputerNetworkInformationSecurity,13(2), pp.1-15.

3. DiPierro,M.,2017.Whatistheblockchain?. ComputinginScienceEngineering,19(5),pp.92-95. https://ieeexplore.ieee.org/abstract/document/8024092

4. Preneel,B.,1994.Cryptographichash functions.EuropeanTransactionson Telecommunications,5(4),pp.431-448. https://onlinelibrary.wiley.com/doi/abs/10.1002/ ett.4460050406

n ≈ 1 17√365 ≈ 22 3 ≈ 22 3 (3)
72

MathematicalModelandSimulationofSIRModel forCovid-19OutbreakinKorea

Jungyoon(Luke)Han Year12

Email:jyhan25@pupils.nlcsjeju.kr

RecommendedYearLevel:KS5

Keywords:Mathematicalmodelling,SIRModel, differentiation

1Introduction

EversincethefirstincidentinNovember2019, Covid-19hasposedasignificantglobalchallengeworldwide,with354confirmedcasesand24,503deathsreportedasofMay4,2020.Worldwide,lockdowns,socialdistancing,andmaskusagehavebecomewidespread measurestocombattherapidtransmissionofthevirus. Korea,alsofacinganoutbreak,implementedpolicies regardingsocialdistancinginordertomitigatethe widespreadofthevirus,includingtemporarysuspensionoffacilityoperations.Despitetheseefforts,the numberofcovid-19caseshasincreasedatanunprecedentedrate,recordingatotalinfectionof621,328people adayin2022March16th.Althoughrecentlyboththe policieswithinthenationandthenumberofinfected peoplehavesignificantlydecreased,itisundeniablethat Korea’sattempttohandlethediseasehasfailed,reachingatotalof34,571,873infectionsand35,934deaths by2023December8th.Thereisaneedtoanalysethe covid-19pandemicexperienceinordertoallowthoroughexaminationforenhancedpreparednessforfuture challenges.

Thusinthisstudy,anepidemicmodelbasedonSIR methodofCovid19isusedtoquantifyandvisualisethe spreadofthediseaseinKorea.TheSIRmodelusedhas threedifferentialequationswhicharecomplicatedand timeconsuming,henceEuler’smethodhasbeenusedto solvethesethreeequations.Theobjectiveofthisstudy istoquantifythenumberofcasesinKoreainvarious timeperiods,anddevelopanSIRmodeltocompare thecalculateddatawithreal-timedatatoshowhow

accuratethemodelis,andpossiblyfindouttheending stageofcovid-19.

2SIRModel

TheSIRmodel,shortforSusceptible,Infectiveand Recoverymodel,wasintroducedbyKermackandMcKendrickin1927.Havingbeensuccessfulinseveral diseasesincludingCholera,MERS,Influenza,theSIR modelcanpredictactivitiesofoutbreakdiseasesincludingendandpeakofepidemicdiseaseandfuturepredictions.

Considerthepopulationremainsconstantregarding thestudyinKorea.Theconductedpopulationofthe studywaschosentobeinMay2020.Thetotalcovid-19 populationisdividedintothreeparts.

1. S(t):Thenumberofpopulationwhoaresusceptible tothediseaseatthetime

2. I(t):Thenumberofpopulationwhoareinfectedto thediseaseatthetime

3. R(t):Thenumberofpopulationwhohasrecovered fromorpassedawayduetotheinfectionatthetime period

Withoutconsideringtheevolutionoftheviruses,a simplediagram(Fig1)canbedrawntodescribetheSIR ModelofCovid-19outbreak.

Fig.1:DiagramofSIRmodeldescriptionwithoutconsideringvirusevolution

ThediagramisdefiningthatpeoplewhoareinR(n), orwhohaverecoveredfromtheinfectionwillnolonger

73

beinfectedwiththediseaseagain.Butasotherviruses, covid-19hasevolvedmultipletimes.Henceconsidering thedevelopmentofcovid-19,thediagram(Fig2)illustratesadescriptionoftheSIRmodelincludingrecoveredpopulationreturningintosusceptiblepopulations.

3Methodology

Threedifferentialequationsareusedforthestudy anddiscussionsforthecovid-19infectioninKorea.

S′(t)= rSI I′(t)= rSI aI

R′(t)= aI (1)

Thevariablesrandaaretheinfectionrateandrecoveryrateofthedisease.Inthisstudytheaverage timeofcovid-19incubationperiodis14days.These valuesareusedforsolvingthethreedifferentialequationsofcovid-19outbreaks.Thesecanalsobewritten asshown.

dS dt = rSI dI

dt = rSI aI dR dt = aI

(2)

becalculated

Thethreedifferentialequationswhichwillbeused intheSIRmodelisalsoknownastheKermackMCKendrickSIRmodel.Itisusefulforanalysingthe dataofcovid-19occurrencesinKorea.Additionofthe equationsprovidedcanbeconvenientforthedataanalysis.

dR dt + dR dt + dR dt = rSI + rSI aI + aI =0 dS + dI + dR =0

NisaconstantwhichmeasuresthetotalsizeofpopulationforKoreaduringthepandemicsituation.The valueisconstantalltime,boththeinitiallevelaswellas afterthepandemic.TheinitialvaluesoftheSIRmodel areshownas S(0)=S0, I(0)=I0, R(0)=R0

Asthepopulationisconsideredconstant,therecoveredpopulationofcovid-19canbecalculatedbythe givenformula

(3)

Byintegratingtheequation,arelationshipbetween thevariablesandthetotalnumberofpopulationscan

Withthesedifferentialequations,aquantitativeapproachhasbeenusedtosolvetheequationsoftheSIR model.

Accordingtotheequations,ifS(t)isconsistently negativeforalltandI(t)isconsistentlypositive,providedthat S0 exceeds a r ,weobserveatrend.Toclarify,ifthe S0 surpasses a r therewillbeaninitialincrease,reachingamaximumgrowthrate(rmax).However,overtimethisgrowthratewillgraduallydecrease andapproachzero,duetothedecreasingin S0 value. Bythis,severalassumptionscanbemade.

1. Case1:If S0 islessthan a r ,thentheinfectionrate oftheCOVID-19outbreakinKoreawilldecrease andbecomezeroaftersometime.

2. Case2:If S0 ismorethan a r ,thentheinfection rateofCOVID-19willexhibitanepidemicpattern, orwillincreaseandpersistovertime.

Bythetwoassumptions,thebehaviourofcovid-19 outbreakdependsonthevalueofn.nisreferredtoas thethresholdnumber.

Rn = S(0)r a (6)

Rn isdefinedasreproductivenumber.Thisisthe numberofsecondaryinfectivesofcovid-19producedby oneprimaryinfectiveinthesusceptiblepopulation.By regardingthevalue Rn,twocasescanbeassumed:

1. Case1:If Rn islessthanone,itpimplesthatthe covid-19outbreakwilldiminishoutofKorea

2. Case2:If Rn isgreaterthanone,itpimplesthatthe Covid-19outbreakisstillprevalentandinepidemic stateinKorea.

4ExperimentalResultConduction

Inordertoanalysethecovid-19outbreakofKorea,itisnecessarytosolvethedifferentialequationof

Fig.2:DiagramofSIRmodeldescriptionwithconsideringvirusevolution
S′ + I′ + R′ = N or S{t} + I{t} + R{t} = N
(4)
R(t)= N (S(t)+ I(t)) (5)
74

theSIRmodel.Considerapopulationsusceptibleto theCOVID-19outbreakalongwithasmallnumberof infectedindividuals.ThequestionofwhetherthepopulationofCOVID-19infectiveswillsubstantiallyincrease inIndiacanbeansweredbysolvingthesystemofdifferentialequationsprovidedabove.Althoughtheseconsist ofthreeunknownvariables,bycombiningtheequations, asingledifferentialequationwithonlyoneunknown variablefortheproposedSIRmodelcanbeobtained.

Accordingtothechainrule,

dI dS = dI/dt dS/dt = rSI aI rSI = rSI rSI aI rSI = a rS 1

dI dS = a rS 1

dI = a rS 1 dS

Integratingeachsidewillgive:

dI = a rS 1 dS I = a r ln S S + C

(7)

equationisshown:

Here 0 < S∞ < K thatispastthepopulationofKoreaescapestheCOVID-2019infective.Inthisproposed study,itisverydifficulttoestimatetheparametersof r andabecausethesedependondiseasebeingstudiedand onsocialandbehaviouralfactorsofthatcountry.The population S∞ and S0 canbeestimatedbyserological studiesbeforeandafteroftheCOVID-2019outbreak andusingthisdata,thebasicreproductionnumberis givenbythefollowingformula:

(8)

Byinputtingthevaluesofinitialconditionsofeach variableintheequation,itbecomes:

I(0)= a r ln S(0) S(0)+ C

C = I(0)+ S(0) a r ln S(0)

(9)

Considerthepopulationsizeofsusceptiblecaseof covid-19asK,whichisapproximatelyequaltotheinitialpopulationS0.Thenumberofinfectivesinthepopulationisconsideredsmall,hence

S(0)= K,I(0)=0,Rn = rK a (10)

If I(t)=0 as t →∞ and S0 < a r then V(S0, I0)= V(S0),givinganexpression

K a r ln S(0)= S(∞) a r ln S(∞)

Where S∞ istheamountofsusceptiblepopulationifthe infectivecaseiszero.Aftersimplification,thefollowing

Themaximumnumberofcovid-19infectivescanbe obtainedbyusingthefollowingformula:

Byimplementingaformulafromabove,themaximumnumberofcasescanbecalculatedasshown:

Thedifferentialequationcalculatedcanbesolved byusingEuler’smethod.

AMATLABsoftwarehasbeenusedtosolvethe differentialequations.Theexpressionsforthesoftware areprovidedbelow.

TheSIRmodelhasasystemoffirstorderdifferentialequations,andeuler’smethodispurelynumerical methodforsolvingthefirstorderdifferentialequations

ln
(0) a r ln S(∞) K S(∞)= a r [ln S(0) ln S(∞)] K S(∞)= a r ln S(0) S(∞) r a = ln S(0) S(∞) K S(∞) (11)
K S(∞)= a r
S
Rn = rK a (12)
S = a r , I=Imax (13)
I = a r ln S S + C C = I(0)+ S(0) a r ln S(0) I(max)= a r ln a r + S + I(0) a r a r ln S(0) (14)
75

Fig.3

thusthecalculationwillbeusingeuler’smethod.Considerthedifferentialequation dy dx = f (x,y).Thesolution isprovidedbelow.

y(n +1)= y(n)+∆tf (x(n),y(n)) (15)

The ∆t isasmallstepinthetimedomainand the f (xn,yn) istheslopeofthecurve.Thewanted dependentvariablesareS,IandR.Thus,thedependent variablescanbeimplementedintotheequation

S(n +1)= S(n) rI(n)S(n)∆t

I(n +1)= I(n)+[rI(n)S(n) aI(n)]∆t

R(n +1)= R(n)+ aI(n)∆t (16)

Inthestudy,theinitialdatasetofcovid-19isfrom September4th2020(Mostformerdata).Thustheinitial values,or S0, I0,and R0 canbeshownas:

S0 =5 18417, I0 =0 20842, R0 =0 16114 (17)

Thevalueofrecoveryrate(r)wouldbe

InfectedPopulation

r =

SusceptiblePopulation = 20842 518417 r =0 04020315691 ≈ 0 040203 (18)

byusingequationsabove.

(20)

a

≈ 0 0714,

1407 (19)

(max)= a r ln a r + S + I(0) a r a r ln S

(0) (23)

K

S(0) S(∞)

14 ,astheincubationtimeofcovid-19
= 1
∆t=0
S1 =S0 rI0 S0∆t S1 =5 18417 (0 040203 ∗ 0 20842 ∗ 5 18417 ∗ 0 1407) S1 =5 178058
Withthesevalues, S1,I1 and R1 canbecalculated I1 =I0 +(rI0 S0 aI0)∆t I1 =0 20842+(0 040203 ∗ 0 20842 ∗ 5 18417 0 0714 ∗ 0 20842)0 1407 I1 =0 21243 (21) R1 =R0 +aI∆t R1 =0 16114+(0 0714 ∗ 0 20842)0 1407 R1 =0 16323 (22)
Thismethodcancontinueevenfurtherusingasimplealgorithm. Fig.4
ThiscodewillprovidethevaluesoftheSIRmodel fromSeptember4th2020toDecember13th2020.It alsoshowsthedateofwhenthereisthemostnumber ofinfectivecases,andwhenthecovid-19outbreakwill stopinKorea.Themaximumnumberofinfectivescases ofcovid-19canbecalculatedusingtheformulafrom above: I
ln
76
where a r canbecalculatedby r a =
S(∞) .ByimplementingthevaluescalculatedbytheSIRmodel,these aretheresultsshown.

5Conclusion

BasedonthedataasofSeptember4th,2020,the SIRmodelindicatesthatthecovid-19outbreakwill peakonOctober28th2020,andwillofficiallyendon December7th2023.However,thesearestrictlyconsideredonquantitativefactors,andbasedonthefactthat thepoliciesregardingsocialdistancingandtemporary suspensionsoffacilitieswerenotcompliedwellenough, thereallifevaluesaredifferentcomparedtothecalculatedvalues.Therefore,thestudyimpliesthatifall policieswerekeptastheinitialstate,covid-19would likelybeextinct,andwouldalsostatethattheKorean governmentshouldtrytheirbesttokeeptheircitizens strictlyfollowingtheirregulationsinordertoendthe situationasfastaspossible.

77

RecommendedYearLevel:KS4

LotteryMathematics

Email:lkim28@pupils.nlcsjeju.kr

Keywords:Lottery,Gametheory,probability

1Introduction

Everyonehasadreamofbecomingamillionaireand escapingfromschoolorwork.Thereareamyriadof waysthiscanbeachieved–workinghard,doingbusiness,investingstock–andlotteryisoneofthesemethods.“Wellitsnonsense!Gettinghitbylightningwill bemuchmorelikely!”.Mostpeoplebelievethatwinningthelotteryisjustoutofpureluck.But,isthis thetruth?Tofindthisout,thispaperinvestigateslotterymathematicsandhowtoincreasethepercentageof winning.

2Aim

Thispaperaimstofindawaytoincreasetheprobabilityofwinningalotteryorfindingaholeinthelottery inwhichifoneusesacertainamountofmoney,thereis a100%chanceofearningprofit.

3TypesofLottery

Lotterydoesnotonlyexistasoneform:thereare multifariouskindsoflotteries,alluniquefromoneanother.Tolimittheamountofvariables,thisarticlewill bemajorlytalkingaboutthelotteriesinSouthKorea.

SouthKoreahas4majortypesoflotteries:online lottery,scratchofflottery,pensionlotteryandinternet lottery.Onlinelotteryisagamelinkedtothenetwork wheretheuserelectsacertainnumberfromacertain numberrange.Thesecondtypeisscratchofflottery,a lotteryinwhichyouscratchathinlayeroffasmallcard toseeifthosehiddennumbersmatchthewinningnumbers.Thethirdtypewouldbethepensionlottery,or inotherwords,drawinglottery.Thistypeoflotteryis

themostwellknownone.Thecustomerpurchasesticketsandchoosestheirnumbersandonaspecificdate, randomnumbersareselectedasthewinningnumber. Thusthewinnerneedstohavethesamenumbercombination.ThelastbutnotleastistheInternetlottery whichisquitesimilartoonlinelottery,buthasabiggerboundaryasitincludesalllotteriesontheinternet. However,therearevariationsinthesetypesoflottery whichmayhaveadistinctiveruleorcharacteristicsfrom eachother.

Totalkaboutincreasingthechanceofwinninga lottery,somekindsoflotterieswillnotbeincludedin thispaper–forexample,scratchofflottery–andwill mostlybefocusedonpensionlottery.

4LotteryMathematics

Firstoff,itisnecessarytocalculatetheprobability ofwinningthelottery.Beforecalculation,wemustdefineNastherangeinthelotteryandRastheamount ofwinningnumbersandassumethatrepetitioncannot happen.

Whenchoosingthefirstnumber,thereareatotal ofNpossiblenumbersthatcanbeselected.Thesecond numberwouldbeN–1asrepetitionisnotallowed. ThismeansthatthethirdisN–2,fourthisN–3,fifth isN–4andonandon.ThiswillleaveuswithN+1 –Rpossibilitiesforthelastone.

Then,wewillneedtomultiplyalltheseoutcomes leadingustogetN!/(N–R)!whichisthepermutation

Fig.1:definingR
78

equation.However,wemustdividethisoutcomebyR! astheorderdoesnotmatterinthiscase.

Thisleadstothenumberofpossibleoutcomesofthe lotterybeingN!/R!(N-R)!whichisaverysimplemathematicscalledcombinations!Byutilisingthisformula, Icreatedatableshowingtheprobabilityofwinninga lotterywithdifferentvariables.

ThedataaboveshowsthatthesmallertheNand thesmallertheRis,theratiogapissmaller.Thisconcludesthatchoosinglotterieswithsmallernumbersresultsinahigherpercentageofwinningthelottery.

Now,let’ssupposethatyouhavealreadywonthe lotteryandyouwanttofurtherincreasetheamountof moneyyouareabletoearn.Lotteryisnotjustabout winning.Formostlotteries,themoneyisdividedupon theamountofpeoplewhowonfirstplace.Thismeans thatthemorepeoplehaveidenticalnumbersasyou,the lessmoneyyoureceive.Onewayyoucanavoidcases likethisistolookatstatistics.

Peopletendtohavetheir“luckynumbers”–which arenumbersusuallyconsistingtheirbirthdates–andselectnumbersusingitorchoosethenumbersinacertain sequenceofacertainshape.Byavoidingthis(choosing numberslargerthan12or31,choosingarandomorder andmore)youmayhaveanastoundingamountofprize moneyonceyouwin.

5SpecificCases

Therearecertaincaseswheremathematicscould befurtherusedtoincreasetheprobabilityofwinning thelottery.OnegoodexamplewouldbetheWinfall.

TheWinfalllotteryiswhereifthejackpotreaches$5 millionandtherewerenowinners,themoneyisdivided andlendedtothelowerplacedwinners.Amathematical couplesawthislotteryandcalculatedthatiftheyinvest acertainamountofmoney,thegainwillbelargerthan theloss.Tohaveabetterview,wecouldseethatwhen buyingNamountoftickets,itissurethatyouwillbe oneofthe4numberwinnersandtheprizeoverweighs thecostofbuyingNamountoftickets.

6Experiment

Myquestionisthatcanwe100%gainprofitby winningthelotteryinSouthKorea?Tofindthisout,I wenttoSouthKorea’sofficiallotterywebsiteDongHang Lottery.InSouthKorea,thereare2drawinglotteries calledLotto6/45andPensionlottery720+.

Lotto6/45isdonebyfillingout6numbersoutof1 to45justasthenametellsus.Thetablebelowshows thewaysofwinningandtheprizemoneyforeachplace.

WhenLotto6/45hasnowinners,theprizeisadded ontothenextfirstplacewinner.However,thisisonly allowedtwicesoonthethirdtime,themoneywillbe movedtothesecondwinnerjustliketheWinfallLottery.Buttheproblemhereisthatthemoneyearntby the3rd,2ndand1staredistributedequallybythepeoplewhohavethesamenumbersinLotto6/45.This meansthathavinga100%profitcannotbecalculated withoutstatistics.

Now,IwillbemovingontothePensionlottery 720+.Thislotteryworksquitedifferentlywiththe onesstatedabove.Thefirstplacegets7,000,000₩ each monthfor20years.Andunlikeotherlotterieswhich thewinnerneedstopay33%taxifthewinningprize isover300,000,000₩,thewinnerofthePensionlottery 720+onlyneedstopay22%taxwhichusuallythetax forprizemoneyunder300,000,000₩.

So,howdoweselectthenumbersforthislottery? Inthislottery,youchoose7numbersbutitisn’tout ofacertainrangeofnumbers.Thereare2sections forchoosingit.Youfirstneedtoselectyour’jo’which isfrom1to5.Thenyouneedtochoose6numbers inwhicheachdigitcanbefrom1to9.Moreover,a

((N ) · (N 1) · (N 2) · (N 3) · · (N R +1)) · R! N !/R!(N R +1 1)! N !/R!(N R)! (1)
Fig.2:variablesandprobabilityofwinning Fig.3:waysofwinningandprizemoney
79

sequenceofnumberscanonlybeselectedonce,thus eachindividualwillhavedifferentnumbers.

Thisisn’ttheonlyuniquethingaboutthislottery. Towinthelottery,theorderheavilymatters.Evenif yougetthesamesequence,theyneedtofollowtheorder ofthewinningnumbers.

Now,letuscalculatehowtogetasurewin.For the7thplace,youwouldneedtobuy9tickets,costing 9,000₩.Forthe6thplaceyouwouldneedtobuy9 × 9tickets,costing81,000₩...Thistablebelowindicates thenumberofmoneyyouhavetospendtohaveasure win.

So,howmuchmoneydoyouhavetospendtogain profit?Youmaythinkthatthefirstplacewillonly gain1,680,000,000₩,secondplace120,000,000₩and

etcthustherewillbenowaytogainprofitfromit. Howeverluckily,theDongHangLotteryallowsreceivingtheprizemoneyforeveryticketyouwin.Insimpler words,itmeansthatifyoubuytickets1’jo’234567and 3’jo’234567andthewinningnumberis1’jo’234567, youcanreceiveboththeprizes.Wealsoneedtoconsiderthetax(1st&2nd&bonus=22%tax)forit.Now, recalculatingitthereisahigherprofitforeachcase.

Thisshowsthatbuyingallthelotteryticketswill lendyoua100%profitof216,835,000₩.

7Conclusion

Thisdatashowsthatlotteryisnotjustpureluck andthatthereisawaytogaina100%profitinlotteries.MygoalwhenIwasalittlekidwastoimplement basicmathsknowledgetowinthelottery,andthisresearchhelpedmetogetastepclosertoitandbetter understandaboutlotteriesandmaths.

8Bibliography

1. StatisticsandProbabilityinLotteryof“WINFall”

https://www.jofamericanscience.org/journals/amsci/0201/06-lihao-0106.pdf

2. DongHanglottery

https://dhlottery.co.kr/common.do?method=main

3. HowtoWintheLotteryAccordingtoMath

https://lotterycodex.com/how-to-win-the-lotterymathematically/

Fig.4:howtowinthePensionlottery720+ Fig.5:moneyrequiredforasurewin Fig.6:moneyused,won,andprofit Fig.7:theworkingoutprocess
80

ThePrisoner’sDilemmaandNashEquilibrium

MinjaeKang

Year9

Email:mjkang28@pupils.nlcsjeju.kr

RecommendedYearLevel:KS4

Keywords:Prisoner’sDilemma,Gametheory,Nash Equilibrium

1Introduction

Theprisoner’sdilemmaisoneofthebestknown sectionsofgametheorywhichillustratesaconflicting situationbetweenindividualrationalityandcollective rationality.Itdealswiththesituationwheretwopeople havecompetingincentivesthatleadthemtochoose asuboptimaloutcome.Thetheorywasfirstdevised byRANDCorporationscientistsMerrillFloodand MelvinDresherin1950,butwasfurtherdevelopedand eventuallypublishedbyAlbertW.Tucker,aPrinceton Mathematician.Thesetupfollowsthe5following assumptions:

1. Eachplayerremembersgivencontextforthechoice

2. Eachplayerdoesnotconsidertheeffectofactions ontheothers

3. Eachplayerisinterestedinmaximisingtheirutility orpayoff.

4. Eachplayerknowsthepreferencesandstrategiesof theotherplayers.

5. Eachplayerhasthesameunderstandingofhowthe gameis.

Theinitialproposalisstraightforward:“Youhave twochoices:confessorremainsilent.Ifbothdeny,you willallspendonly1yeareach.Ifyouconfessandthe otherdoesn’tyouwillbefreeofjailtimewhiletheaccomplicewillget10years.Viceversa,youwillget10 yearsandtheaccomplicewillgetofffree.Ifbothconfess,youbothget8years.”

Thetheorydirectlycorrelatestothe“NashEquilibrium”,astablestateofasystemthatinvolvesseveral

interactingparticipantsinwhichnoparticipantcangain byachangeofstrategygiventheopponent’stacticas longasalltheotherparticipantsremainunchanged.It isabroaderconceptwhichcanbeappliedtoanalyse varioustypesofinteractionsingametheory,including theprisoner’sdilemma.TheexistenceoftheNashequilibriumintheprisonerdilemmacanbeprovedbythe tableabove:theonlypairunabletolessenthetime injailbychangingone’scooperationattitudeiswhen theybothconfess.Thefactthatalldominantstrategyequilibriumstaketheshapeof“Nashequilibrium” isnotable.

Inanysituationinvolvingtheformatoftheprisoner’sdilemma,thedominantstrategyischoosingconfessing.Adominantstrategyreferstoachoicethat producesthebestpayoffforthatplayerregardlessof thestrategiesemployedbyotherplayers.Accordingto thetable,ifprisoner1confesses,theyeithergofreeor get8yearsinprison.However,iftheydonotconfess, theyeithergetoneyearor10yearsinprison.Theaveragejailtimeislowerintheformer.Itisthesamein areciprocalmanner.Thesituationshowsthedominant strategyequilibriumisbothconfessing(8,8).However, the“dominant”strategyisnotthe“optimal”strategy,

Fig.1:Possibleoutcomesofnumberofyearsinprison
81

whichraisesa“dilemma”.

2Experiment

Areal-lifeexperimentdemonstratestheconceptof theprisoner’sdilemma.ApairofNLCSJejustudents arepartoftheexperiment.

Procedure:

1. Suggestasituation:“Youcaneitherdoagroup projectindividuallyorasagroup.Ifbothcollaborate,youbothgeta6onbothindividualandteam criteria.Ifbothdonot,youbothgeta5onthe criterias.Ifyouchoosetoworktogetherbutyour partnerdoesnot,yougeta4onindividualmarks but7onteam.Viceversa,yourpartnergetsa4."

2. Distributedecisioncardstoeachstudent.Onesays “collaborate”andtheotherstates“individual”.

3. Inprivate,eachstudentdecideswhethertocollaborateorworkindividuallyandhandsintheirdecision card.

4. Collectthedecisioncardswithoutrevealingthe choices.

5. Announcethedecisionssimultaneously.

Fig.2:Aresulttableshowingthepossibleoutcomesof theexperimentabove

analysedecisionsinanaturalsetting.Repeatingtheexperimentseveraltimestocalculatethemeanandthus increaseaccuracyofinformationwilladdupcredibility totheexperiment.Iintendtoexplorethepsychologicalfactorsofthesuboptimalchoicesoftheprisoner’s dilemmaaswell.

3Analysis

Theexperimentsuccessfullydemonstratedtheprisoner’sdilemmaanditsconnectiontothenashequilibrium.

Fortheindividual,workingindividuallymayseem appealingforgettingaveryhighgrade,butitresultsin aloweroverallgroupprojectgradewhenbothindividualschoosetoworkindividually.However,theoptimal choiceiswhenbothcollaborate,makingita“dilemma”. Inthiscase,theNashequilibriumwhenbothindividualschoosetoworkindividually.Theexamplepairin theexperimentdemonstratedasuboptimaldecisionor thenashequilibrium(showninred).

4Extension

Althoughtheexperimentwell-supportedthetheory,therewerealsocertainlimitations.Incontrived,or lessrealistic,situations,people’sinstinctiveandnatural judgementwaslikelytobeclouded.Iaimtoobserveand

82

RecommendedYearLevel:KS4

MathinMinecraft

SiwoolUm Year9

Email:swum28@pupils.nlcsjeju.kr

Keywords:momentum,velocity,elevationmomentum

1Introduction

ThisarticlewillintroduceaspectsofMinecraftto determinewhethera5blockjumpispossibleornot.

2BackgroundInformation

MinecraftisapopularsandboxgameoriginallydevelopedbyMarkusPerssonandlatertakenoverbyMicrosoftwithover160millionactiveusersinamonth(as ofAugust2023)andover10millionpeakplayersaday. throughhistheoryofPascal’sTrianglethatpeopleused forcenturies.

3Aim

Asitisasimulationofathree-dimensionalworld withauniquegame-enginedevelopedbythedeveloperhimselfinsteadofimportingorimplementingpreexistinggame-enginesusingothersoftwaresuchasUnrealandUnity,thecodecanbeanalysedtodetermine howthephysicsofthegamework,hencefiguringout ifa5blockjumpwithoutanygimmicks(potioneffects, damageboosts,ice,slime,glitches,etc.)ispossibleor not.

4Power

Incountlessdifferentgames,jumpingisakeyelement.Minecraftisnoexception.

InMinecraft,aplayercanjump1.252blocks(1.249 blocksinversionslowerthan1.9,butthisarticlewill refertothevalueof1.252)andlastsfor12in-game tickswhichisequivalentto0.6seconds.Accordingto theMinecraftParkourWiki,whenaplayerjumps,the verticalvelocityissetto0.42.Duringajump,the

verticalvelocityisdecreasedby0.08andmultiplied by0.98everytick,–duetogravityandairresistance respectively–or0.05seconds.Whentheplayerhitsa ceiling,theverticalvelocityissetto0.

Whichmeansthat:

Sotheresultsare:

Figure1:Verticalaccelerationonflatgroundwhenthe playerjumps

Intheair,91%oftheplayer’sspeedisconserved everytick(duetodrag),whichissignificantlymore thanwhenjustrunningonground.Thismakes sprint-jumping(wheretheplayerholdsjumpwhile sprinting)amoreeffectivewaytoconservemomentum sincesprintingis30%fasterthanwalking.

Asforthehorizontalmovementoftheplayer,itis thefollowing:

Vy(1)=0.42 and Vy(t)=(Vy(t 1) 0 08) × 0 98
83

Thismeansthatthejumpdistancecanbegivenby:

75bjump

Animportantthingtonoteisthata5bjumpisnot actually5blocksinlength.Theplayer’shitbox(abox aroundtheplayerusedtocheckcollision)is0.6b.Soa 5bjumponlyrequirestheplayertojump4.4b.Using theequationfromearlier,wecanseethattherequired initialspeedbeforethejumphastobegreaterthanor equalto0.332232069.(SeeFigure4)

(Thevaluesareonlyaddedfromt=0tot=11because theplayerisnotairborneatt=12)

Whichalsomeansthattheinitialspeedatthetimeof thejumpisakeyfactorwhichdeterminesthejump distance.

5ParkourNomenclature

Beforecontinuing,herearethelistoftermsbeing usedinlatersections:

b-blocks bc-blockceiling bm-blockmomentum

(E.g.a4blockjumpwitha3blockceilingwith 1blockavailableformomentumwillbereferredtoasa 4b3bc1bmjump)

645◦ Strafes

45◦ Strafesaretechniquesusedtoincreasethevelocityoftheplayer.Whenstrafing,theaccelerationgets multipliedby1insteadof0.98.(SeeFigure2)

Figure4:Speedneededfora5bjump(Using45◦ strafe)

Tick12isnotcountedinthesumbecausethejump endsatt=12.

However,simplysprint-jumping(using45◦ strafes)is notenoughtogaintherequiredmomentumforthejump becausethenthevalueof

after1sprint-jumpwillbeapproximately0.256128.2 sprint-jumpswillresultin0.305685;3sprint-jumps, 0.315273;4sprint-jumps,0.317129;andsoon.However,thereisalimittoapplyingconsecutivesprintjumpcycles.At9,10,and11jumps,thespeedsforall ofthemare0.315574;thevaluebeingincreasedistoo smalltomakeanoticeablechangefromafterthispoint. (SeeFigure5foralgebraicexplanation.Notethatthis oneusedsprint-jumpswith45◦ strafes.Thistechnique shouldhaveboostedtheplayer’sspeedbyabout2

8Conclusion

Fromthis,wecanconcludethata5bjumpisnot possibleonflatgroundandbysprint-jumpchains.

9Extension

However,thereareothermethodsofgaining momentum.Elevationmomentumisanexampleof

Figure2:Player’shorizontalspeed
Σ1 n=01Vh(t0 + n)]
Figure3:Applicationof45◦ StrafesinBridging
VH
84

Figure5:Limitationsofsprint-jumpchains

this.Insteadofa11-tickjumpcycle,itallowsa8-tick jumpcycle.Inthissetup,eachjumpis+1.125from thepreviousone,andthehorizontalgapbetweenthe jumpsare2b,whichmeansthattheplayerismaking 2b+1.125jumpswitheachsprint-jump.

Byusingelevationmomentum,thefollowingresults canbeobtained:

Wecanclearlyseethatinonly4consecutivejumps, theplayerisabletogainenoughmomentumtomakea 5bjump.

Anothermethod,andprobablyoneofthemosteffectivewaystogainmomentumisthehead-hittermomentum.Morespecifically,thetdhh,whichisshortof trapdoorhead-hitter(or1.8125bctiming).Thisshortensthejumpcycletoonlylast2tickssincethejump isresetwhenevertheplayerhitstheceiling.Sincethe playeris1.8btall,thereisonly0.125bofspacebetween theceilingandtheplayer.

Usingthismethod,theplayerisabletomakethe 5bjumpinonly3jumps(SeeFigure7)

However,itisimpossiblefortheplayertogain enoughmomentumfora5bjumpwith1bm,unlikethe 4bjump.

Figure6:Elevationmomentum

Figure7:TimingJumpcycle

10Bibliography

Spreadsheet:

https://docs.google.com/spreadsheets/d/16kFgIAzdyKDi9KY lfdEOD2zWMK06-dBkmmow9W7KBbc/edit?usp=sharing

References:

1. https://www.youtube.com/watch?v=qUFzMkDYsXc

2. https://www.mcpk.wiki/wiki/ParkourNomenclature

3. https://www.mcpk.wiki/wiki/MovementFormulas

4. https://www.mcpk.wiki/wiki/Jumping

85

MathematicsinSudoku

TimofeiKudinov

Year11

Email:tkudinov26@pupils.nlcsjeju.kr

RecommendedYearLevel:KS4,KS5

Keywords:Sudoku,combinatorics,grouptheory, symmetry

1Introduction

Sudokuinvolvesdifferentmathematicsaspectssuch ascombinatoricsandgrouptheory,whichcouldbeused toaddressfundamentalquestionsabouttheirstructure, solutions,andsymmetries.Theamalgamationofthese mathematicaldisciplinesenablesarigorousanalysisof Sudoku.

2Filledgridenumeration.

Oneoftheprimaryinquiriesisdeterminingthe numberoffilledSudokugrids.Fortheclassical9x9Sudoku,thecountreachesanastonishing 6,670,903,752,021,072,936,960 (6 671Ö10šź),which,afterfactoringinvalidity-preservingtransformations,reducesto5,472,730,538essentiallydistinctsolutions. Whilethereare26possibletypesofsymmetry,their occurrenceisinonlyabout0.005%ofallfilledgrids.

3Minimumcluesforavalidpuzzle.

Theminimumnumberofcluesrequiredforavalid puzzlewasdeterminedbyGaryMcGuire,BastianTugemann,andGillesCivario,intheir2012paper.Through computersearches,theyestablishedthataproperSudokupuzzle,withauniquesolution,necessitatesaminimumof17clues.

4SymmetryinSudoku

AnotheraspectofSudokuissymmetry.Sudoku withtwo-waydiagonalsymmetry,equivalenttoa180° rotationalsymmetry,anddiagonalsymmetry,introducesaSudokuwith24clues.However,whetherthis

numberofcluesistheminimalrequirementforthisspecificclassofSudokupuzzlesisstillnotdetermined.

TheextensionofSudokutodifferentsizes,suchas 6x6and8x8grids,bringsforthvariationsintheminimumnumberofcluesneeded.Fora6x6Sudoku,the fewestcluesrequiredare8,whilean8x8Sudokudemandsaminimumof14clues.

5Thenumberofminimalpuzzles

Theconceptofminimalpuzzles,wherenocluecan beremovedwithoutsacrificingtheuniquenessofthesolution,introducesarealmofcomplexityinSudokuanalysis.Statisticaltechniquescombinedwithacontrolledbiasgeneratorestimateapproximately 3 10Ö1037 distinctminimalpuzzles,offeringaglimpseintothevast landscapeofpotentialpuzzleswithintheconstraintsof minimality.Additionally, 2 55Ö1025 minimalpuzzles areidentifiedasnotpseudo-equivalent,emphasizingthe intricateinterplayofdigitarrangementsinSudokupuzzles.

6Sudokuvariants

Sudokuvariants,characterizedbysizeandregion shape,furtherdiversifythemathematicallandscape. Whetherit’srectangularSudokuwithregionsofrowcolumndimensionR×CorjigsawSudokuwithnonsquareregions,eachvariantpresentsuniquechallenges andopportunitiesformathematicalexploration.The mathematicalcontextofSudoku,encompassinggraph coloringproblemsandLatinsquares,establishesconnectionstobroadermathematicalconcepts,illustrating thepuzzle’sembeddedcomplexity.

7Complexity

TheNP-completenatureofsolvingSudokupuzzles on n2 × n2 gridsunderscoresthecomputationalchallengesinherentinfindingsolutions.ExpressingSudoku asagraphcoloringproblem,theaimistoconstructa

86

9-coloringofaparticulargraph,subjecttospecificconstraints.TheSudokugraph,with81verticesrepresentingcells,imposesconstraintsbasedoncolumn,row,and 3 × 3 cellrelationships.Thisgraphcoloringperspective opensavenuesforleveraginggraphtheoryinSudoku problem-solvingstrategies.

8Latinsquares

Theutilizationofgrouptables,akintoLatin squares,unveilsamethodforconstructingSudokus.By employing(addition-or)multiplicationtablesoffinite groups,Sudokusandrelatedtablesofnumbersemerge. Subgroupsandquotientgroupsplayacrucialrolein thisconstruction,emphasizingtheinterconnectedness ofgrouptheoryandSudoku.

9JigsawSudokus

JigsawSudokus,whereregionsarenotnecessarily squareorrectangular,introduceadditionalchallenges. ThetilingofanN×Nsquare,especiallywhenNisprime, requiresirregularN-ominoes.ForsmallerNvalues,the waystotilethesquarehavebeencomputed,revealinginstanceswheresometilingsareincompatiblewith Latinsquares,leadingtoSudokupuzzleswithnosolutions.

10Enumeratingsolutions

TheenumerationofSudokugridsinvolvesdistinguishingbetweenallsolutionsandessentiallydifferentsolutions.Thecomplexityarisesfromconsidering symmetriesandpermutations.Thefirstcompleteenumeration,postedbyQSCGZ,revealedanastounding 6,670,903,752,021,072,936,960distinctsolutions.FelgenhauerandJarvis,ina2005study,confirmedthis resultthroughananalysisofbandpermutations.However,thefocusshiftedtoessentiallydifferentsolutions, consideringthesudokusymmetrygroupandapplying Burnside’slemma.Theculminationoftheseefforts yieldedthecountof5,472,730,538essentiallydifferent solutions,providinganuancedunderstandingofthediversesolutionspaceinSudoku.

11GroupTheoryandSudoku

In2008,AvivAdlerandIlanAdlerdemonstrated thecompletenessoftheSudokusymmetrygroup,showcasingthatallsolution-preservingcellrearrangements arecontainedwithinthegroup,evenforgeneral n2 × n2 grids.ThissignificantresultsolidifiestheconnectionbetweenSudokupuzzlesandgrouptheory,furtherestablishingSudokuasarichplaygroundformathematical exploration.

12Conclusion

Inconclusion,themathematicalanalysisofSudoku opensupaworldofintricacies,fromthequestforminimalpuzzlestotheexplorationofdiversesymmetries andvariants.Combinatorics,grouptheory,andgraph theoryinunderstandingSudokushowcasesthemultifacetednatureofthisseeminglystraightforwardgame. Asresearcherscontinuetounveilnewinsights,Sudoku remainsacaptivatingsubjectformathematicalexplorationanddiscovery.

87

ProbabilityinBlackjack

Xinheng(Tony)Li Year9

Email:xhli28@pupils.nlcsjeju.kr

RecommendedYearLevel:KS4,KS5

Keywords:blackjack,gametheory

1Introduction

Blackjackisagamethatisplayedeverywhere.You justneedtoknowtherulesandprepareadeckofcards. Often,peoplethinkthatcardgames(especiallygamblinggames)arejustluckgames,buttheyareactually wrong.Cardgames,forexample,poker,blackjack,etc., arefullofprobabilities.Andinthisjournal,wewant todiscovertheprobabilitiesofgettingtheidealcard thatyouwanttomaximiseyourchancesofwinningthe game.

2Background

2.1Whatisblackjack?

cardgameinwhichplayerstrytoacquirecardswith afacevalueascloseaspossibleto21withoutgoingover.

2.2RulesofBlackjack

1. Alltheplayersmakeabetwiththeirchipsbefore thecardshavebeenhandedout.

2. Thedealergivesacardtoeachplayeraswellas themselves.

3. Thedealerhandsoutasecondcardtoeveryplayer.

4. Theplayertotheleftofthedealerstartsgameplay.

5. Decideifyouwanttostayorhit.

(a) Staying:Youdon’twantthedealertogiveyou anothercardthat’llgetaddedtoyourtotal.

(b) Hitting:you’dlikethedealertoaddanother cardtoyourhandthat’llgetaddedtoyour total

(c) Split:Ifyoursecondcardisidenticaltoyour first,youhavetheoptionto“split”yourhand intotwoseparateones.Evenifonehand

busts,youstillcontinueplayingwithyour otherhand.

6. Cyclethrougheachplayeruntilthey’veeachfinishedtheirturn.

7. Thedealerrevealstheirsecondcard,andwinners aredetermined.

2.3WhatisProbability?

Probabilityisdefinedasthelikelihoodofsomething happeningorbeingthecase.

2.4GameTheory

Gametheoryisabranchofappliedmathematics thatprovidestoolsforanalysinginterdependentsituations.Accordingtothistheory,eachsideconsidersthe other’spossibledecisionsfortheplayers,andtheresults maydifferregardingtheirfindings.

Gametheoryhaswideapplications,especiallywhen players’choicesaffecteachother’spossibleoutcomes. Therearetwokeywordsingametheorythatneedtobe defined:

1. Game:Asetofcircumstancesinwhichtheresult dependontheactionsofdecision-makers(moreor equalto2)

2. Players:Strategicdecision-makerswithinthecontextofthegame

3. DependentEvent:Thepastaffecttheprobability what’sgoingtohappennext

3Aim

Inthisjournal,weaimtocalculatehowtomaximise theprobabilityofwinninginblackjackandhowyou shouldactwhenyoumeettheactualsituationswhere youhavesimilarcards.Also,weaimtocalculatethe averagepercentageofwinninginareal-lifeblackjack game.

88

4Method

Themethodthat’sgoingtobeusedtocalculatethe probabilityofwinninginblackjack:BasicSetRules:

1. Therewillbetwopeopleplayinginthegame.1 dealer,1player

2. Nosurrenderingisallowedinthisgame

3. Aiscountedas11,wewillallow1

4. Iftherearetwo21sappearing,thereisnowinor lose

5. Nodouble-downisallowed

6. Onlyonehitwillbeallowedineachround

7. Thegameisplayedusingonlyonedeckofcards.

8. Ifitisadraw,theplayerwins.

Method1:P(x)=Numberoffavourableoutcomes toA/Totalnumberofpossibleoutcomes

UsingthecheatsheetsonGoogle,wewillbeexplainingwhyweshouldbedoingthisinwhichsituation. Furthermore,weplantofindoutthereasonhiddeninsidethecheatsheets.

BlackjackStrategyChart:Thebasicblackjack strategychartwilloutlinethebestpossibledecisionfor thosewhodon’tcountcards.Itgoeswithoutsaying thatthecardsthatconstituteahand,withouttheinclusionofanace,willhaveanimpactonthechancesof makingacorrectdecisionincertainscenarios.However, thisisonlyapplicableinahandfulofscenarioswhere theblackjackvariationusesonedeckofplayingcards.

5Experiment

5.1Total=17,Dealer’scard=2

Whenyourtotalsumis17,thisindicatesthatyour cardiseither6+11,7+10,or8+9,andthedealerhasa 2.

Inthissituation,thecardthathelpsyoureachnear 21butdoesn’tbustisAce,2,3,4.Thecardthathelps youwillbea+,andthecardthatdoesn’thelpyouwill bea-.Ifadealerhasahiddencardof+,itmeans theprobabilityofyougettingwhatyouwantisgoing todecrease.Andifthedealerhasahiddencardof,theoppositethingwillhappen.Now,letusdothe calculations.

Cardsremaining:49+Cards:15-Cards:34If Dealer’scardis+,theprobabilityofgettinga+card is15/49*14/48=5/56IfDealer’scardis-,theprobabilityofgettinga+cardis34/49*15/48=85/392 Probabilityofwinning=5/56+85/392=15/49= 30.61%ProbabilityofDealerwinning=69.39%Inthis situation,itisbettertostay.

5.2Repeating

Ifwerepeatthismethod,wecanhavea chartofthefollowing:Dealer’srevealedcard

6DataAnalysis

Wecanseethatithassimilarformsastheothercharts.

7Conclusion

Fromthisjournal,wehavelearnedandactuallycalculatedandmadeacheatsheet(aka.BlackjackBasic Strategy).Thehorizontalaxisistheonecardthatthe dealerisrevealing,andtheverticalaxisisthesumof yourtwocards.Thiscantelluswhenweareactually playingthegame,wecanapplythischarttomaximise yourrateofwinning.Ortherateofmakingmistakes duringthegame.

8Extension

Thereisalsoawayofcalculating.Itisdoneby usingthecountingmethod.Thelinkbelowcanteach ushowtousecardcountingandhowtocalculatehow muchyouwillbetaccordingtothecountingvalue.

https://www.youtube.com/watch?v=GS o72lFNIUabchannel = WIRED

9Bibliography

1. “HowtoPlayBlackjack:Rules,GameplayMore.” wikiHow,www.wikihow.com/Play-Blackjack.Accessed22Jan.2024.

89

2. “AMust-ReadGuidetoBlackjackOddsand Probability.”PlayToday.Co,10Jan.2024, playtoday.co/blog/blackjack-odds/::text=Classic

3. “BlackjackStrategyCharts-HowtoPlayPerfectBlackjack.”BlackjackApprenticeship,2June 2022,www.blackjackapprenticeship.com/blackjackstrategy-charts/.

4. “BlackjackExpertExplainsHowCardCountingWorks|Wired.”YouTube,6Mar.2017, www.youtube.com/watch?v=GSo72lFNIUabchannel=WIRED.

90
JPAM 2024 Design by Emma C (‘25)

Turn static files into dynamic content formats.

Create a flipbook
Issuu converts static files into: digital portfolios, online yearbooks, online catalogs, digital photo albums and more. Sign up and create your flipbook.