Secciones cónicas

Page 1

CLOCK TIMES

-SeccionescónicasEDICIÓN:

Las cónicas son figuras geométricas que pueden definirse como lugares geométricos en el plano. Ejemplos de cónicas son: la circunferencia, la elipse, la parábola y la hipérbola. En esta edición presentamos las secciones cónicas con datos fundamentales para su mayor entendimiento.

JULIO 2023

ÍNDICE 01 02 03 04 EQUIPO SECCIONES CÓNICAS EJEMPLOS DE CÓNICAS CIRCUNFERENCIA HIPÉRBOLA PARÁBOLA PARÁBOLA ELIPSE 05 06 07 08

01 NUESTRO EQUIPO

María José Hernández

Diseño Gráfico

A4

Juan José Pineda Alfaro

Diseño Gráfico

A4

Orlando Damián Elena

Diseño Gráfico

A4

Diego Ernesto Gutiérrez

Diseño Gráfico

A4

German Miguel Calderón

Diseño Gráfico

A4

02 SECCIONES CÓNICAS

Las secciones cónicas son curvas resultantes de las diferentes intersecciones entre un cono y un plano, cuando ese plano no pasa por el vértice del cono. Existen cuatro tipos de secciones cónicas: la circunferencia, la elipse, la parábola y la hipérbola.

‘Come cuanto le doy. Le gustan las naranjas mandarinas, las uvas moscateles, todas de ámbar; los higos morados, con su cristalina gotita de miel…’

Cónicas:

Las cónicas son figuras que pueden definirse como lugares geométricos en un plano.La intersección entre un plano y un cono doble genera figuras llamadas secciones cónicas.

Las figuras que pueden ser generadas por los cortes de un cono son: Líneas, puntos, circunferencias, parábolas, elipses,hipérbolas.

- Ej. de elipse de Juan Ramón Jiménez

03 EJEMPLOS DE CÓNICAS

Parábola:

Antenasparabólicas. Linternas.

Farosdeautomóviles.

Hipérbola:

Relojdearena.

Reactornuclear.

Lentetelescópico

Circunferencia:

Señalesdetránsito.

Monedas

Reloj.

Elipse:

Órbitadelosplanetas.

Estadios.

Arquitectura.

Una circunferencia se define como el lugar geométrico de los puntos del plano equidistantes de otro, llamado centro de la circunferencia.

04 CIRCUNFERENCIA ELEMENTOS EJERCICIOS

Centro: punto central que está a la misma distancia de todos los puntos pertenecientes a la circunferencia.

Radio: pedazo de recta que une el centro con cualquier punto perteneciente a la circunferencia

Cuerda: pedazo de recta que une dos puntos cualquiera de una circunferencia.

Diámetro: mayor cuerda que une dos puntos de una circunferencia. Hay infinitos diámetros y todos pasan por el centro de la circunferencia.

ecta secante: recta que corta dos puntos cualesquiera de una circunferencia.

Recta tangente: recta que toca a la circunferencia en un solo punto y es perpendicular a un radio.

CIRCUNFERENCIA - EJERCICIO

04

05 PARÁBOLA

Una parábola queda definida por el conjunto de los puntos del plano que equidistan de una recta fija y un punto fijo.

Elementos de la parábola:

Foco: Es el punto fijo F.

Directriz: Es la recta fija D.

Parámetro: A la distancia entre el foco y la directriz de una parábola se le llama parámetro p.

Eje: La recta perpendicular a la directriz y que pasa por el foco recibe el nombre de eje. Es el eje de simetría de la parábola.

Vértice: Es el punto medio entre el foco y la directriz. También se puede ver como el punto de intersección del eje con la parábola.

Radio vector: Es el segmento que une un punto cualquiera de la parábola con el foco.

EJERCICIOS

05 PARÁBOLA EJERCICIO

07 HIPÉRBOLA

Una hipérbola es una representación gráfica de funciones homográficas, un ejemplo común y sencillo es la gráfica de la función f(x)=1/2.

Una hipérbola es una curva abierta de dos ramas, obtenida cortando un cono recto mediante un plano no necesariamente paralelo al eje de simetría, y con ángulo menor que el de la generatriz respecto del eje de revolución.

Tipos de hipérbola:

Hipérbola horizontal: Se la denomina de esta forma, debido a que la línea imaginaria en la que se ubicaran sus componentes, siempre será paralela al eje x. Independientemente de encontrarse su centro en el origen de coordenadas o fuera de este. Sus ecuaciones son las siguientes: x2/a2-y2/b2=1 ó (x-h)2/a2-(y-k)2/b2=1

Hipérbola equilátera: Se las denomina de esta forma cuando los semiejes a y b vienen a ser iguales,dejando a su ecuación de la siguiente forma: x2-y2=a2

Elementos de la hipérbola:

1. Focos: Son los puntos fijos F y F'.

2. Eje principal o real: Es la recta que pasa por los focos.

3. Eje secundario o imaginario: Es la mediatriz del segmento FF'.

4. Centro: Es el punto de intersección de los ejes.

5. Vértices: Los puntos A y A' son los puntos de intersección de la hipérbola con el eje focal.

Los puntos B y B' se obtienen como intersección del eje imaginario con la circunferencia que tiene por centro uno de los vértices y de radio c.

6. Radios vectores: Son los segmentos que van desde un punto de la hipérbola a los focos: PF y PF'.

7. Distancia focal: Es el segmento de longitud 2c.

8. Eje mayor: Es el segmento de longitud 2a.

9. Eje menor: Es el segmento de longitud 2b.

10. Ejes de simetría: Son las rectas que contienen al eje real o al eje imaginario.

11. Asíntotas: Son las rectas de ecuaciones:

Ejercicios:

07 HIPÉRBOLA

Ejercicios:

07 HIPÉRBOLA

Es el lugar geométrico de los puntos del plano cuya suma de distancias a dos puntos fijos llamados focos es constante.

Elementos de la elipse:

. Focos: Son los puntos fijos F y F'.

Eje focal: Es la recta que pasa por los focos

. Eje secundario: Es la mediatriz del segmento FF'.

. Centro: Es el punto de intersección de los ejes.

. Radios vectores: Son los segmentos que van desde un punto de la elipse a los focos: PF y PF'.

Distancia focal: Es el segmento de longitud 2c, c es el valor de la semi distancia focal.

. Vértices: Son los puntos de intersección de la elipse con los ejes: A, A', B y B'.

.

.

Eje mayor: Es el segmento de longitud 2a, a es el valor del semieje mayor.

Eje menor: Es el segmento de longitud 2b, b es el valor del semieje menor. Ejes de simetría: Son las rectas que contienen al eje mayor o al eje menor

. Centro de simetría: Coincide con el centro de la elipse, que es el punto de intersección de los ejes de simetría.

Tipos de elipse:

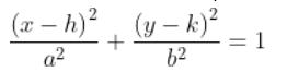
-Elipse con el eje mayor horizontal: Sea el punto C de coordenadas (h,k) el centro de la elipse, la longitud del eje mayor es 2a y la longitud del eje menor igual a 2b, con a > b. La ecuación de esta elipse es:

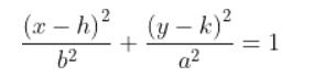
-Elipse con el eje mayor vertical: Con los mismos parámetros de la elipse con eje mayor horizontal, la elipse con eje mayor vertical se escribe como:

En ambos casos, la distancia del foco al centro c está relacionada con los semiejes mayor y menor mediante: c2 = a2 b2.

08 ELIPSE
08
ELIPSE
08
ELIPSE

CLOCK TIMES

-SeccionescónicasEDICIÓN:

Diseño Gráfico - A4

-Instituto Técnico Ricaldone-

JULIO 2023

Turn static files into dynamic content formats.

Create a flipbook
Issuu converts static files into: digital portfolios, online yearbooks, online catalogs, digital photo albums and more. Sign up and create your flipbook.
Secciones cónicas by Hernández Escobar María José - Issuu