Rit LbhÍ nr 54

Page 1

RitLbhÍnr.54

Rit LbhÍ nr. 54

2014
2014
Áhrifniðurbrotsplöntuleifaálaustníturíjarðvegi TheinfluenceofturnoverofplantresiduesonmineralNinsoil FriðrikPálmasonogJónGuðmundsson

Áhrifniðurbrotsplöntuleifaálaustníturíjarðvegi

TheinfluenceofturnoverofplantresiduesonmineralNinsoil

FriðrikPálmasonogJónGuðmundsson

LandbúnaðarháskóliÍslands ISSN1670-5785RitLbhÍnr.54

Ljósmyndir:ÁskellÞórisson

Efnisyfirlit Summary.................................................................................................................................................................3 Samantekt................................................................................................................................................................4 Inngangur................................................................................................................................................................5 Aðferðir...................................................................................................................................................................6 Niðurstöður.............................................................................................................................................................8 BreytileikiílausunítriáhverjumtímaogtengslhansviðNíplöntusýnum..........................................................8 BreytileikiílausunítrimillisýnatökudagaogtengslhansviðNalls......................................................................11 Breytingarálausunítriviðniðurbrot34valinnasýnaafnorðlægumnytjaplöntum.............................................14 Framgangurniðurbrotsins.....................................................................................................................................16 Umræður...............................................................................................................................................................25 Þakkarorð..............................................................................................................................................................26 Heimildir...............................................................................................................................................................27
2

Summary

InthispaperresultsfromtheNordicresearchproject:Characterizationofplantresiduequalityfor predictionofdecompositionandnitrogenreleaseinagriculturalsoilsaresummarized.Theresultsof theprojecthavebeenpresentedinpublishedpapers,(Stenbergetal.2004,Jensenetal.2005,Bruunet al.2005,Henriksenetal.2007,Saloetal.2006).Intheprojectchangesinmineralnitrogen ( ) andcarbondioxidereleaseduring217daysfrom76plantresiduesofhighlyvariable qualityweremeasured.Thesampleswereincubatedat15°Cand10kPawatertensionduringthe wholeincubationperiod.ThecompositionofthesampleswasanalysedwiththevanSoestmethod; water-solublesubstances,neutraldetergentsoluble,cellulose,hemicellulose,celluloseandlignin. CarbonandnitrogenconcentrationsandtheC/Nratiosinineachfractionwerealsodetermined.

TotalNinplantmaterial(mgNg-1 ofaddedC)wasattheaveragethesinglefactorclosestcorrelated (Pearsoncorrelationcoefficient)tothemineralNreleasedfromtheplantresiduesateachsampling time(Jensenetal.2005).ThedifferenceofthecorrelationswasthoughminimalbetweentotalNand neutraldetergentsolubleN(ND-N)asindependentvariables.Thecorrelationwasslightlyhigherfor ND-Nuntilday22oftheincubation,butfortheremainingsamplingoccasionsthenetN mineralizationwasbettercorrelatedtototalN.

Thebestempiricalfunctionofsomepreviouslyusedfunctionstodescribethetimepatternofnet nitrogenmineralizationwasaMonodtypeofequation(Bruunetal.2005).Theparametersofthe functionforNmineralizationwerebetterpredictedbyuseofvanSoestfractionsthanwithC/Nration orNIRspectraandinPLSmodelstheNcontentwasthemostimportantfactor(Bruunetal.2005).

InthepresentworkthenetNmineralizationateachsamplingdate,asafunctionoftheinitialtotalN concentrationinplantresidues,wasfittedbyleastsquareswiththeBolzmannequation.Anincreasing partofthetotalvariationinnetmineralizationofNisexplainedbytheequationsfromday4to42in theincubationorfrom69to89%andafterthatslowlydecreasingto76%atthelastday.

TheNcontentofplantresiduesatonsetofNnetmineralizationwasdeterminedbyuseofthe Boltzmannequationsoneachsamplingdate.Thetimeelapsingfrominclusionoftheresidueinsoilto thereleaseofnitrogeninsoilwascloselyrelatedtheinitialnitrogenconcentrationintheresidue.

Someaspectsofthenitrogenmineralizationfromtheresiduesareconsideredherebytheexampleof 34plantsamplesofcropsspeciesusedortestedwithgoodresultsinIceland.Thesamplescanbe classifiedinfourgroupsaccordingtothepatternofnetnitrogenmineralization.Thegroupsare approximatelyclassifiedbytheirinitialNcontent.TheNcontentoftheresiduesinthefirstgroup rangesfrom44.9-59.1mgNg-1 drymatter.TheNmineralizedincreasesrapidlyinthebeginningbut declinesslightlytowardstheendoftheincubation.Inthenextgrouparesampleswith19.7-50.4mgN g -1 DMwithasteadilyandinthebeginningrapidlyincreasingnetNmineralization.Inthethirdgroup with13.7-25.3mgNg-1 DMthegrossimmobilizationishigherinthebeginningthanthegross mineralization.Lateronthenetmineralizationincreasesandexceedsattheendoftheincubationthe netNmineralizedinthebeginning.TheNcontentofsamplesinthefourthgroupisintherange2.913.6mgNg-1 DM.Inthisgroupnetimmobilizationtakesplaceinthebeginningandlateronthereis onlyaslightnetmineralizationornochangeinmineralN.Attheendofthe217dayincubationthe inorganicNreleasedinsoilwasnothigherthaninthebeginning.

3

Samantekt

Héríþessuritierudregnarsamannokkrarniðurstöðurúrnorrænusamstarfsverkefni,semhöfundar voruaðilarað.Niðurstöðurverkefnisinshafaveriðbirtaráðuríerlendumvísindagreinum(Stenberg o.fl.2004,Jenseno.fl.2005,Bruuno.fl.2005,Henrikseno.fl.2007,Saloo.fl.2006).Íverkefninuvar fylgstmeðbreytingumálausunítri ( ) úrmismunandiplöntuleifum,semblandaðvarí jarðvegi.Hitastigiogvatnsspennujarðvegsinsvarhaldiðstöðuguvið15°Cog10kPaallantíman. Breytingarsemurðueftiríblöndun76mismunandiplöntusýnavoruvaktaðaríalls217daga. Samsetningplöntusýnannam.t.t.vatnsleysanlegraefna,sápuleysanlegraefna(NDS),sellulósa, hemisellulósaogligninsvargreindmeðvanSoestaðferð.MagnCogNoghlutfallþeirra(C/N)í einstökumþáttumvareinnigákvarðað.Þegarborinvorusamanáhrifmismunandiplöntusýnaálaust níturáhverjumtímakomíljósaðbreytingarálausunítrisýnduaðjafnaðimeirifylgni(Pearson fylgnistuðull)viðheildarstyrkN(Nalls)íplöntusýnunum,enviðaðraeinstakaefnaþætti,semmældir voru(Jenseno.fl.2005).LítillmunurvarsamtáfylgniviðNalls ogviðsápuleysanlegtN(NDS-N). BreytingarálausunítrisýndulítiðeittmeirifylgniviðvatnsleysanlegtNenNalls framtil22.dagsen fylgduNalls betureftirþaðtillokadagstilrauna.AðöllusamanlögðuerþvímælingáNalls í plöntusýnunumheppilegastimælikvarðinnábreytingarsemverðaálausunítriíjarðvegiviðniðurbrot þeirra.AukþesseraðstaðatilmælingaáNalls næralltaffyrirhendiárannsóknastofum,enaðstaðatil vanSoestmælinga,þarámeðalNDS-Nsjaldnar.

Innanhverssýnitökudagsvarbreytingumálausunítrieinsogþærmældust,bestlýstmeðS-falli (Boltzmannsigmoid)afupphaflegumníturstyrk(Nalls)íplöntum.Þessarlíkingarvorukvarðaðar gagnvartminnstafrávikifrámælingunum.Líkingarnarskýravaxandihlutaafbreytileikaílausunítri frá4.til42.dagseðafrá69-89%,eftirþaðferhlutfalliðlækkandiogvarálokadegimælinga76%.

Breytingumálausunítrifráeinumsýnadegitilannarsvaraðjafnaðibestlýstlíkinguafsvonefndri Monodgerð.Viðkvörðunlíkingarinnarreyndistskiptingnítursmillifrymisogeinstakra byggingarefnaþáttasamkvæmtvanSoestgreiningubest.Oftastvarnægjanlegtaðnotaaðeinseinnþátt viðkvörðunina(Bruuno.fl.2005).

Skoðaðvarsérstakleganiðurbrot34valinnaplöntusýna.Valinvorusýniafplöntumsemannaðhvort eruþegarræktaðarhéreðahafareynstvelíprófunum.Skiptamáþessumsýnumífjórahópaeftirþví hvernigniðurbrotþeirragengurfram.ÞessiskiptingfylgireinnigígrófumdráttumheildarstyrkNí sýnunumíupphafi.

ÍfyrsthópnumerusýnimeðNalls ábilinu44,9-59,1mgNg-1þurrefnis(þe).Hjáþessumhópieykst laustníturíjarðvegiíupphafienþaðdregurúrþeirriaukninguþegarálíður.Laustníturerþóallan tímanmeirieníbyrjun.ÍöðrumhópnumerusýnimeðNalls ábilinu19,7-50,4mgNg-1 þe.Hjá þessumhópiverðurnærstöðugaukningálausunítriíjarðvegiallantímann.Íþriðjahópnumerusýni meðNalls ábilinu13,7-25,3mgNg-1 þe.Hjáþessumhópierniðurbrotiðmeðþeimhættiaðlaustnítur íjarðvegiminnkaríupphafiþ.e.a.s.örverurtakameiraafþvínítri,semerlaustíjarðveginumen losnarásamatímaúrplöntuleifunum.Þegarlíðurániðurbrotiðeykstlaustníturafturíjarðveginumog erviðloktímansorðiðmeiraenþaðvaríbyrjun.ÍfjórðahópnumerusvosýnimeðNalls ábilinu2,913,6mgNg-1 þe.Hjáþessumhópiverðuríupphafilækkunálausunítri,þ.e.meiraerbundiðaf örverumenlosnarúrplöntuleifunum,ensíðantekurviðhægfaraaukningsemerþóvartmerkjanleg hjásumumsýnum.Aukninginnærþóekkiaðaukalaustníturíjarðvegiumframþaðsemþaðvarí byrjun.ÚrsýniaftrénuðumhörstönglumvarNbundiðíjarðvegiumframlosunúrplöntuleifumallan mælingatímann,þ.e.a.s.nettóbindingvarallantímann.

4

Inngangur

Þekkingáníturlosunfráplöntuleifumíjarðvegiermikilvægfrásjónarmiðumumhverfisverndarog áburðarnýtingar.Íræktunermikilvægtaðþaðnítur,semlosnarviðniðurbrotplöntuleifaeðabætter viðeftiröðrumleiðumséísembestusamræmiviðupptökugróðurs.Umframmagnaflausunítrigetur leitttilþessaðþaðskolistútúrjarðveginumogíár,vötneðatilsjávar.Áhrifofmikilsframboðsá nítriíþessumvistkerfumgetursvoleitttilofvaxtarþörungaogsúrefnisskortsíkjölfarið.Í jarðveginumgeturlaustníturummyndastíhláturgas(N2O),semlosnaríandrúmsloftið.Hláturgaser mjögöfluggróðurhúsalofttegundogþvímikilvægtaðdragasemmestúrlosunhennar.Ílífrænni ræktunertilbúinnáburðurekkiheimilaður(Reglugerðnr.74/2002)enþessístaðerm.a.byggtáþví nítri,semlosnarúrplöntuleifum,sembrotnaniðuráeðaíjarðveginum.Tilþessaðkomaívegfyrir ofnotkuneðaminnkanotkuntilbúinsáburðarogdragaþarmeðúrkostnaðiernauðsynlegtaðmetaog plöntuleifum.Meðalannarsafþessumorsökumermikilvægtaðþekkjavelhvaðaþættirþaðeru,sem ráðaframganginiðurbrotsplöntuleifaoghvernigþaðskilarlausunítriinníræktun.

Höfundarþessaheftistókuþáttínorrænuverkefniummismunandiaðferðirviðkvörðunplöntuleifa m.t.t.niðurbrotsþeirra.VerkefniðvarsamstarfsverkefniaðilaífimmNorðurlöndumþ.e.frá Danmörku,Noregi,SvíþjóðogFinnlandiaukokkar.Heitiverkefnisinsvar: „Characterisationofplant residuequalityforpredictionofdecompositionandnitrogenreleaseinagriculturalsoils“ eðaá íslensku„Greiningáeiginleikumplöntuleifameðþaðaðmarkmiðiaðsegjafyrirumniðurbrotþeirra oglosunnítursíræktunarjarðvegi.“

Íverkefninuvarfylgstmeðframganginiðurbrotsinsíjarðvegimeðplöntuleifumannarsvegarmeð mælingumálosunkoltvísýrings(CO2)oghinsvegarálausunítriíjarðveginum.Verkefniðhófstárið 2000ogþvílaukformlega2004,eneinsogtítterumslíkverkefni,þáhafagögnin,semsafnaðvar veriðtilefnimargvíslegragreiningaogúrvinnsluogvorugreinarúrverkefninuaðbirtasttila.m.k. 2007.Aukþesssemþeim,semeftirþvíhafaóskað,hefurveriðveitturaðganguraðgögnum verkefnisinstilfrekariúrvinnslu.Listayfirþærritrýndugreinarsembirtarhafaveriðúrverkefninuer aðfinnahérneðanmáls1 .

ÍgreinJenseno.fl.(2005)erítarlegafjallaðumplöntusýnin,jarðveginn,mælingarnaráCogNlosun ogfylgnihennarviðC,NogC/Níöllumþeimefnaflokkumtrefjaogleysanlegraefna,semgreindir voru.EitthelstamarkmiðverkefnisinsvaraðkannanotagildiNIR(NearInfraredReflectance) mælingatilaðsegjafyrirumniðurbrotplöntuleifaíjarðvegi.ÍgreinStenbergo.fl.(2004)erkvörðun NIRmælingaviðþáefnaflokkaíplöntusýnumsemaðskildirerumeðbreyttrivanSoestaðferð (HenriksenogBreland1999)rakin.SamanburðuránotagildiNIRmælingaogþrepaskiptrar efnameltingarívanSoestefnaflokkavarunninnannarsvegarmeðkvörðunreynslulíkinga,semlýsa niðurbrotinu,(Bruuno.fl.2005)oghinsvegarmeðþvíaðnotaaðferðirnartilaðmetamisnýtanlega

1 Listiyfirþærvísindagreinarsembirsthafaúrverkefninuíalþjóðlegumtímaritum.

Publishedpapersfromtheprojectsininternationalscientificjournals.

InfluenceofbiochemicalqualityonCandNmineralisationfromabroadvarietyofplantmaterialsinsoil. PlantandSoil273(1-2):307-326.

EmpiricalpredictionsofplantmaterialCandNmineralizationpatternsfromnearinfraredspectroscopy, stepwisechemicaldigestionandC/Nratios.SoilBiologyandBiochemistry37:2283-2296.

Nearinfraredreflectancespectroscopyforquantificationofcropresidue.greenmanureandcatchcropC andNfractionsgoverningdecompositiondynamicsinsoil.JournalofNearInfraredSpectroscopy12:331346.

Characterizationofplantresiduequalityforpredictionofdecompositionandnitrogenreleaseinagricultural soils.ActaHort.(ISHS)700:57-62.

Stepwisechemicaldigestion.near-infraredspectroscopyortotalNmeasurementtotakeaccountof decomposabilityofplantCandNinamechanisticmodel.Soilbiology&biochemistry39(12):3115-3126.

5

forðaCogNíplöntumfyrirhermilíkanafCogNlosunviðniðurbrotíjarðvegi(Henrikseno.fl. 2007).Ísemstystumálivarniðurstaðaníþeimgreinum,sembirtustáárunum2004til2007þessi: NIRlitrófogstyrkurNalls íplöntuleifumeruhagkvæmirvalkostirtilaðsegjafyrirumniðurbrot plöntuleifaíjarðvegi(Saloo.fl.2006).

Íþessarisamantekterutengslheildarmagnsníturs(Nalls)íplöntuleifunumogbreytingaálausunítri ( ) íjarðveginumskoðuðnánaroggögninúrverkefninunotuðtilaðkannasérstaklega tímasetninguumskiptafráminnkandilausunítriíjarðvegiyfiríaukningu.Einnigerframgangur niðurbrotsvalinnaplöntuleifa,semræktaðarerueðahafaveriðræktaðarhérálandi,rakinnm.t.t. breytingaálausunítriíjarðveginum.Aðaukiergerðgreinfyriraðferðumverkefnisinsognokkrum niðurstöðumúrþeimvísindagreinumsemþegarhafaveriðbirtarúrverkefninueðaerubyggðará gögnumþess.

Meðþessarisamantektþáviljumviðgeraaðgengilegarþeimsemsinnaræktunhérálandinokkrar niðurstöðurúrþessunorrænaverkefniíþeirrivonaðþaðmegiverðatilþessaðeflaskilningá mikilvæginítursíplöntuleifumogmöguleikaánýtinguþessíræktun.

Aðferðir

GögnumframgangniðurbrotsplöntuleifavorufenginmeðmælingumálosunCO2 ogbreytingumá lausunítriíjarðvegi,semplöntusýnumhafðiverðiblandaðí.Mælingarnarfórframviðstaðlaðar aðstæðurítilraunastofumíöllumþátttökulöndunum.

Íupphafiverkefnisvarsafnað249mismunandisýnumafplöntumogplöntuhlutum.Ekkivarunntað mælaniðurbrotíöllumþessumsýnumogvoruþvívalin76tillosunarmælingaogfrekarigreiningará samsetningu.Viðvalsýnannavarbyggtámælingumáendurkastifránær-innrauðulitrófi(1100-2500 nm)ogvarmiðaðviðaðvalinsýnigæfusembestamyndaföllusafninu(Stenbergo.fl.2004;Jensen o.fl.2005).Valinsýnivoruafofanjarðarhluta37tegundaplantna;laufblöðum,stönglum,sinuaf grastegundumoghálmiafkorntegundumsvodæmiséunefnd.Breytileikivarlíkavegnamismunandi áburðarnotkunarogþroskastigs.FyrirniðurbrotsmælingarvarCogNmæltítrefjaefnumog leysanleguefniíöllum76plöntusýnunummeðafbrigðiafvanSoestgreiningu,einnignefnd þrepaskiptefnamelting(e:stepwisechemicaldigestion)(HenriksenogBreland1999,Jenseno.fl. 2005).Einnhlutiþessaðstaðlaframkvæmdtilraunannavaraðnotasamajarðveginníallar tilraunirnar Sendinn jarðvegur frá tilraunastöð í Hӓme í suðurhluta Finnlands varð fyrir valinu Steinefnahlutijarðvegsinsvar88,0%sandur,7,3%mélaog4,7%leir.Lífræntkolefnivar1,8%ogNalls 0,14%.Valinnvarsendinnjarðvegurmeðlágtleirinnihaldtilaðtakmarkabindingunítursmillilaga leiragna.UndirbúningurjarðvegsfyrirallarmælingarnarfórframíFinnlandi.Áðurenjarðvegurinn varsenduráeinstakarrannsóknastofurvarörveruflórahansauðguðmeðþvíaðbætarauðsmáraog vallarfoxgrasiíjarðveginnogþaðlátiðbrotnaniðurvið15°Cog40%afvatnsrýmdí53dagaeðaþar tilCO2 losunfráplöntuleifunumlauk.Jarðveginumvarsíðanskiptniðurífimmhlutaoghannfrystur við-18°Cfyrirsendingutilþáttökulandanna.Jarðvegurinnvargeymduráhverrirannsóknastofuvið18°Cþartilkomaðniðurbrotstilraununum.Þávarhannþíddurviðstofuhitaí24klstoghafðurí jafnhitaskápí14-16dagavið15°C,tilþessdragaúráhrifumfrostsogþíðuáumsetninguCogN,áður enplöntusýnumvarbættíhannogsýnatakafyrirmælingarhófst.

Áðurenplöntusýnunumvarblandaðíjarðveginvoruþauöllklipptniðuríbúta,semvoruekkistærri en1cmálengd.Hlutfallplöntusýnaíjarðvegivarhaftfremurhátteða1gþurrefnií50gafjarðvegi. Fyrirhverjagerðplöntusýnavarreiknað,hvortþörfværiviðbótarnítur(Rammi1)ogþvíbættí jarðveginn,semviðkomandiplöntusýnumvarsíðanblandaðí.

6

Útreikningaráþörffyrirviðbótarnítratviðniðurbroteinstakraplöntusýna.

ÍjarðvegsemnotaáfyrirplöntusýnimeðhátthlutfallC/Nþarfaðbætaviðnítrati(KNO3)svo niðurbrotiðverðiekkitakmarkaðafaðgengilegunítriíjarðvegi.Útreikningarnirbyggjastá niðurstöðumídoktorsritgerðThrondsHenriksen(Henriksen,T.M.1998)umaðmagnNsem nauðsynlegterfyrirniðurbrotiðsé3%afheildarCíplöntunum.

Dæmi:Strámeð45%C,C/N=180:Magnplöntuefnasembætteríjarðveger2%afþyngd,íhverju kgjarðvegseruþví9gCog50mgNsemkomameðplöntusýninu.EfCístoðefnier80%afheildar CþáerCístoðefni7,2gognauðsynlegtN=7,2*0,03=216mgN/kgjarðvegs.Þvíþarfaðbætavið 216 50=166mgNO3 N/kg jarðvegs

Rammi1. Útreikningaránítratþörf.

Textbox1.CalculationofnitrateadditiontosampleswithhighC/NrationeededtobringNcontentto3%of totalCinplant(accordingto Henriksen,T.M.1998) Theintentionwiththenitrateadditionistoexclude inhibitionofnitrogenmineralizationbyshortageofnitrogeninthemineralizingmicrobesinsoil.

Niðurbrotiðvarlátiðfaraframíjafnhitaskápumvið15°Cog10kPavatnsspennu.Vatnsinnihald jarðvegsinsvarstilltafíupphafitilraunaogviðhaldiðmeðvökvunmeðanátilrauninnistóð. UppsöfnuðlosunCogNvarmældsem , meðreglubundnumillibiliá31vikna tímabili.Allsvarammóníumognítratmælt8sinnumáþessutímabiliogkoltvísýringur13sinnum,í hvertskiptivorumældarþrjárendurtekningarfyrirhvertplöntusýni.Einnigvoruáhverri rannsóknastofumældsamanburðarsýniafvallarfoxgrasiaukjarðvegsýnaánplöntuleifaíhvertsinn.Í hverjuhinnafimmþátttökulandavorutvær31viknamælingaraðir.Fyrirhverjamælingukoltvísýrings (CO2)voru30sýni(3endurtekningaraf10sýnum)settíloftþéttílátogCO2 varsafnaðílút(NaOH) frábyrjuntillokahverstímabils.Önnursýnivoruekkiíloftþéttlokuðumílátum.Uppsafnað ammóníumognítratfrábyrjunlosunarmælingavarmælteftirútskolunmeð1MKCl-lausn. Koltvísýringsmælinginraskaðiekkijarðvegsogplöntusýnunum,enþaðgerðihinsvegarskoluninmeð kalíumklóríðiogvarþeimsýnumþvífargaðaðlokinnimælingu.Mælingarvorugerðarádegi 0,4,10,22,42,79,133og217fráupphafitilrauna.Smávægilegfrávikurðuþóátímasetningumælingaí einstökumlöndum,enþaufrávikvoruekkitalinskiptamáliviðúrvinnslugagnanna.

Framkvæmdogundirbúningurtilraunannavarmiðuðviðaðdragasemmestúráhrifum jarðvegstengdraþáttaániðurbrotiðogþarmeðaðþaðráðistsemmestafeiginleikumplöntusýnanna. Þeirjarðvegsþættirsemgetahaftáhriferum.a.aðgengiaðlausunítri,hæfiörveruflórunnartilað setjastáogbrjótaniðurtrefjaefni(holosellulosa)plöntuleifannaogbindingbæðiCogNíþví niðurbrotshvelisemumlykurplöntuleifarnaríjarðveginum.Grófhlutunplöntusýnannamiðaðiaðþví aðtakmarkasnertingujarðvegsogplöntuleifaogþarmeðstærðniðurbrotshvelsins.Auðgun örveruflórunnaríjarðveginumáðurenplöntuleifunumvarblandaðíhannmiðaðiaðþvíaðtryggja nægaörveruflórutilniðurbrotsinsogjafnframtaðvegaámótigrófrihlutunplöntusýnanna.Viðbótar nítratíupphafivartilaðtryggjaniðurbrotsörverunumnægtlaustníturtilniðurbrotsins.ÍgreinJensen o.fl.(2005)ergerðítarlegrigreinfyrirforsendumþessarartilhögunar.

Breytingarílausunítriíjarðvegimeðogánplöntusýnavorureiknaðarmeðþvíaðdragamagnið,sem mæltvarísamskonarsýniáupphafsdegifráþvímagni,semmældistviðkomandisýnatökudag.Sá hlutiþessarabreytingasemstafaðiafniðurbrotiplöntuleifannavarfundinnmeðþvíaðdraga breytinguálausunítriíjarðvegiánplöntuleifafrábreytingumájarðvegimeðplöntuleifumí.

7

Mynd1. Nýplægðurgrassvörður:Fyrreðasíðarlosnarþaðnítursembundiðerígróðrinum,semplægðurer niður.

Fig.1.Ploughedhayfield:Thenitrogenoftheplantresidueswillbeavailablesoonerorlater.

Niðurstöður

Íþeimvísindagreinum,sembirtarhafaveriðúrverkefninuergerðgreinfyrirhelstuniðurstöðum verkefnisins.Ekkierætluninaðrekjaþærniðurstöðurallarhérheldurverðuraðeinsgerðnánarigrein fyrirathugunátengslumníturinnihaldsíplöntusýnunumviðbreytingaráframboðiálausunítri.Að aukieruhérraktarniðurstöðurþarsemgögnúrverkefninuvorunotuðtilaðkannasérstaklega tímasetninguumskiptafráminnkandiframboðsálausunítri (NO ogNH )úrplöntuleifumíjarðvegi yfiríaukningu.

BreytileikiílausunítriáhverjumtímaogtengslhansviðNíplöntusýnum

Fylgnibreytingaálausunítriviðeinstökefniogefnaflokka,semgreindvoruíplöntusýnunum,var könnuð.MestfylgnireyndistveraviðheildarstyrkN(Nalls)ogNDS-N(Pearsonfylgnistuðull=0,89) ogsvoviðvatnsleysanlegtN(0,86)(Tafla1).Nalls erþvívaliðhértilaðreiknaaðhvarfslíkingarfyrir breytingarálausunítriáhverjumsýnatökutíma.

8

Tafla1.Fylgni(Pearsoncorrelationcoefficients)breytingaálausunítriviðvaldaefnisflokka(Jenseno.fl. 2005).

Table1.PearsonscorrelationcoefficientsoftherelationofnetNminerlizationtotheconcentrationoftotal nitrogen(Nalls),watersolubleN(vatnsleysanlegtN)NandneutraldetergentsolubleN(NDS-N),(Jensenetal 2005).

Dagarfrábyrjun

Meðaltal EfnisflokkarN Pearsonsfylgnisstuðlar Nalls 0,72 0,86 0,90 0,94 0,94 0,94 0,92 0,89

VatnsleysanlegtN 0,76 0,87 0,91 0,92 0,90 0,87 0,82 0,86 NDS-N 0,72 0,85 0,91 0,93 0,94 0,94 0,92 0,89

Fylgnimillitveggjaþáttasegiraðeinsaðbreytingaráviðkomandiþáttumverðisamhliða.Ífylgninni felstekkertumhvernigtengslummilliþáttannaerháttað.Þaðvarþessvegnakannaðsérstaklega. SambandibreytingaálausunítriáhverjumsýnatökutímaogNalls íviðkomandiplöntusýnier,afþeim líkingum sem prófaðar voru, best lýst með S kúrfu (Boltzmann σ líkingu) (Jafna 1 og Tafla 1)

Jafna1. LíkingBoltzmannsfyrirS-kúrfu: Y:Nlosun/binding;x:Níþurrefniplöntuleifa.Ymin,Ymax, th og α erustuðlaríjöfnunni.

Equation1. Boltzmann equationforasigmoidcurve: Y:netNmineralization;x:Nconcentrationinplant residueDM;Ymin,Ymax, th and α are parameters in the equation.

Y(x)=Y + ( )

Sábreytileikisemaðhvarfiðskýrir(R2)erábilinu69-89%ogstaðalfrávikfráaðhvarfslínuer3,1-4,1 mgNg-1 þeíplöntusýni.

Tafla1. AðhvarfsstuðlaríBoltzmannlíkinguoggæðiaðhvarfs.

Table2.ParametersofBoltzmannequationsandgoodnessoffitduringincubationfromday4today217.

9
4 10 22 42 79 133 217
Dagar 4 10 22 42 79 133 217 Ymin -0,29 -1,982 -3,860 -4,539 -10,67 -10,1 -5,723 Ymax 22,69 32,41 53,85 53,93 127,2 303,1 26,54 Helmingatímith 46,41 47,18 51,55 48,44 78,55 108,2 28,85 Halltalaa 3,16 6,504 10,32 11,8 25,24 27,88 11,14 R2 0,69 0,79 0,86 0,89 0,84 0,81 0,76 Staðalfrávik,Sy.x 3,1 3,1 3,1 3,2 3,5 3,9 4,3 Frítölur 224 224 224 200 200 200 196 FjöldiYendurtekninga 3 3 3 3 3 3 3

Mynd2. Níturíplöntum(x)ogníturlosun(y)úrplöntuleifum.Mældgildiogaðhvarfslínurádegi,4,10,22,42, 79,133og217ílosunarferlinuvið15°Cog10kPa.AðhvarfslínurreiknaðarsamkvæmtBoltzmannlíkingumog þeimstuðlumsemgáfuminnstfrávikfrámældumgildum(tafla2).

Fig.2.Intialnitrogeninconcentrationinplants(x)andnetnitrogenmineralizationfromplantresidues(y). MeasuredvaluesandregressioncurvesaccordingtoBoltzmannequationsondays4to217inincubationat 15°Cand10kPa.

10

Þessarniðurstöðursegjaokkuraðáhverjumtímamegiskýraveruleganhlutaafþeim breytingum,sem verðaálausunítriíjarðvegiviðniðurbrotplöntuleifameðmismunandiNinnihaldiþeirraíupphafi niðurbrotsins.Aukninginerþóekkilínulegáhverjumtímaþ.e.a.s.sérhverviðbótíNinnihaldihefur mismikiláhrifálaustnítureftirþvíhvertNinnihaldiðer.JafnframtersambandiðmilliNalls og breytingaálausunítrimismunandifráeinumsýnatökudegitilannarseinsogséstgreinilegaámynd2.

BreytileikiílausunítrimillisýnatökudagaogtengslhansviðNalls Einsogvelséstámyndum6til11erutengslbreytingaálausunítriviðfjöldadaga,semliðnirerufrá upphafiniðurbrotsplöntusýnanna,mismunandieftirplöntusýnum.Héraðframanvarrakiðhvernig breytingarálausunítriinnanhverssýnatökudagsfylgjavelNalls ogaðjafna1lýsirvelþvísambandi.

Jafna2. JafnaafMonodgerð(fráBruuno.fl.2005).Y;breytingálausunítrimgNg-1 þe,t;dagarfráupphafi niðurbrots; A, th og α eru stuðlar í jöfnunni

Equation2.MonodtypeofequationaccordingtoBruunetal.2005forthetimepatternofnetnitrogen mineraliztion. mgNg-1 DMinplantresidueasafunctionof daysfromtheonsetofmineralization.Parameters A,thanda.

+ +

ÍgreinBruuno.fl.(2005)varrakiðaðlíkingafMonodgerð(Jafna2)hafireynstbesttilaðlýsa framganginiðurbrotseinstakrasýnaogaðhægthafiíflestumtilvikumveriðaðlýsastuðlumþeirrar líkingarútfráaðeinseinumþættisýnanna.Íannarrigrein(Bruuno.fl.2006)þarsemgögnúr verkefninuvorunýtttilprófunaráreiknilíkani,semspáirfyrirumlosunnítursviðniðurbrot plöntuleifa,varsýntframáaðsúlosunræðsteinfaldlegaafniðurbrotshraðakolefnasambandannaí sýnunumoghlutfalliNogC(N/C).Hægtvaraðskýramjögstóranhluta(R2=0,94)afbreytileikaí lausunítriáhverjumtíma,einsoghannmældistíverkefninu,meðþessuhlutfalli.Niðurbrotshraða kolefnissambandannaeinsoghannmældistíverkefninuvarsamkvæmtBruuno.fl.(2006)bestlýst meðtveggjaþáttalíkani(Paustiano.fl.1997).

Losunnítursúrplöntuleifumgengurmisjafnlegafyrirsigeinsograkiðersíðaríþessuritimeð nokkrumdæmum.Efhorftertilnýtingarþessanítursíræktunþáskiptirmálihvenærlaustníturferað skilasérútíjarðveginn.Efhinsvegarerhorfttilhættuáútskolunnítursambandaeðaumbreytingar þeirraígas,semsíðanlosnarúrjarðveginum,þáskiptirmálihversulengiörverurtakatilsínnítur umframþaðsemlosnarúrplöntuleifum.Íbáðumtilvikumermikilvægthvenærumskiptinmilli upptökuoglosunarverða.ÍgreinumBruuno.fl.(2005)ogBruuno.fl.(2006)eruboðnarákveðnar lausniráaðlýsabreytingumálausunítrieftirþvísemlengralíðurániðurbrotplöntuleifannaogþar meðhvenærofangreindumskiptiverða.Íbáðumtilvikumþurfaþóaðliggjafyrirviðbótarupplýsingar umframheildarmagnnítursíleifunum.Annarsvegarstuðlaríjöfnu(2)fyrirviðkomandiplöntuleifar. Hinsvegarhraðiniðurbrotskolefnishlutaplöntuleifanna.

Hérerþvíreyntaðnálgastviðfangsefniðmeðöðrumhætti,þ.e.aðstyðjasteingönguviðNalls í plöntuleifunumíupphafi.Áðurenlengraerhaldiðíþvíeráhugavertaðskoðamyndræna framsetninguáviðfangsefninu.

11
=

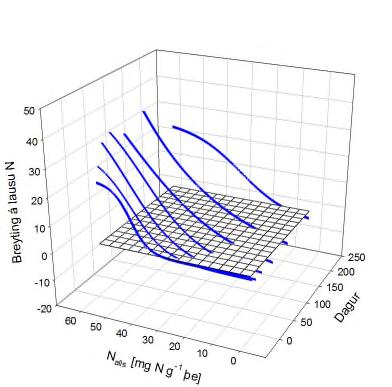
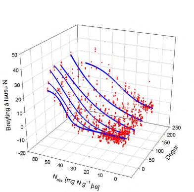
Mynd3.

a. MældarbreytingarálausunitriíjarðvegisemfallafupphaflegumheildarstyrkNíplöntuleifunumog dögumsemliðnirerufráupphafniðurbrots.

b. Eins og a) nema búið er að bæta inn Boltzmann σ kúrfum fyrir einstaka sýnatökudaga

c. Boltzmann σ kúrfurnar ásamt plani þar sem breytingar á lausu nitri frá upphafi tilrauna eru =0 (umskipti milliminnkaðsogaukinsframboðsaflausunítri).

Fig.3.

a. NetnitrogenmineralizationfromplantresiduesasafunctionofinitialtotalNconcentrationinthe residueanddaysfrominitiationofmineralization.

b. Thesameasa),butwith Boltzmann σ curves for each sampling day.

c. TheBoltzmanncurveswithaplanoftransitionfromnetimmobilizationtonetmineralization.

Ámynd3erumæliniðurstöðurfyrirbreytingarálausunítrisýndarmiðaðviðNalls íupphaflega plöntusýninuogfjöldadagasemliðnirerufráupphafiniðurbrots.Einnigeruþardregininngröfinsem reiknuðvorufyrirbreytileikannílausunítriinnanhverssýnatökudagsoghvernigþaugröffaraí gegnum0-plan(enginbreytingálausunítri).

Einsogerrakiðhéraðframanþáskýristbreytileikiílausunítriáhverjumtímapunktiaðmikluleytiaf upphaflegumstyrkNíplöntusýninu.SamhengiNalls ogbreytingaálausunítriáhverjumtímaer almennt lýst með Boltzmann σ líkingum (Jafna 1) Þessar líkingar eru svo kvarðaðar við mælda losun allraplöntusýnannaáhverjumsýnatökudegi.Stuðlarlíkingarinnarfyrirhvernsýnatökudagerusýndirí töflu2.MeðþvíaðreiknaupphafsstyrksN(Nalls)íplöntusýnunumsamkvæmtjöfnu1,kvarðaðrifyrir einstakasýnatökudagaogmiðaviðaðbreytingarálausunítriséujafntognúll(Y=0)erhægtaðskoða tengslmilliupphafsstyrksN(Nalls)íplöntusýnunumogþesshvenærfyrstverðuraukningálausunítrií jarðveginum.Ítöflu3erureiknuðþaugildisemNalls þarfaðhafatilaðumskiptinverðiáþessum sýnatökudögum.MeðþvíaðsetjaNalls reiknaðmeðþessumhættiuppámótitímanum,semumskiptin verðaá,kemuríljósákveðiðsamhengi(mynd4).Þettasamhengifellurvelaðdvínandiveldisfalli (R2=0,99).

12

Tafla2. UpphaflegurstyrkurNíplöntusýnumviðbyrjunnettólosunarreiknaðurafBolzmannlíkingunniá tilgreindumsýnatökudögum.

Table3.Initialnittrogenconcentation(Nalls)inplantresiduesatthedateoftransitionfromnetimmobilization tonetmineralizationcalculatedfromtheBoltzmannequationsateachsamplingdaybysettingY(x)=0. Stuðlaraðfelldrarlíkingar:Coefficientsoftheregressionequation.

Ámynd4séstvelaðþvímeiramagnsemerafNíupphaflegasýninuþvífyrrferníturaðlosnaútí jarðveginnviðniðurbrotþess.SýnimeðlítiðheildarmagnNskilalausunítrimjögseintútíjarðveginn jafnvelviðþessihagstæðuskilyrðisemniðurbrotiðfórframvið.

Mynd4. Tímasetningumskiptafrábindingutillosunarnítursíjarðvegogaðfelltveldisfall(y=ae(-bx)). Fig.4.Daysfromthebeginningofincubationtothetransitionfromnetmineralizationtonetimmbolizationas anexponentialfunction(y=ae(-bx))ofinitialnitrogenconcentarionoftotalNinplantresidues.

13
Dagarfráupphafitilraunar 4 10 22 42 79 133217 Nalls [mgg 1 þe] 32,6 28,9 24,3 19,2 16,0 13,4 11,8 Stuðlaraðfelldrarlíkingar a b R2 SEspágilda y=ae( bx) 3169,37 0,23 0,99 8,45[dagar]

Breytingarálausunítriviðniðurbrot34valinnasýnaafnorðlægum nytjaplöntum

Tilnánariskoðunaráframganginiðurbrotsinsogáþvíhvaðaþættirísamsetninguplöntuleifannahafi þarmestáhriferuhérvalin34sýni.Valsýnannamiðaðistviðaðviðkomandiplönturséuannaðhvort þegarræktaðarhérálandieðahafiíprófunumreynstveltilræktunarhér.Samsetningþessara plöntusýnaermjögbreytilegbæðim.t.t.heildarmagnsNogeinnigannarraefnaflokka,semgreindir voru.Annarsvegareruskoðuðtengslbreytingaálausunítriíjarðvegiviðsamsetninguplöntuleifanna m.t.t.þeirrabyggingarefnaflokka,semgreindirvoruíþeim.Hinsvegarermismunandiframgangur niðurbrotsinsrakinnoghvernigsáframgangurtengistmismikluNíupphaflegusýnunum.

Einsogframkomhéraðofanþáerbreytingumálausunítriinnaneinstakrasýnatökudagabestlýstút frábreytileguheildarmagniN(Nalls)íplöntuleifunumíupphafi.Hérerheildarbreytinginálausunítri fráupphafitillokatilraunaskoðuðnánarogborinsamanviðnokkraaðraþættiísamsetningu plöntuleifanna.Niðurstöðurþessasamanburðarerusettarframannarsvegarmeðmyndrænumhættiá þarsembreytinginálausunítrierdreginuppámótiviðkomandiþætti.Hinsvegareruniðurstöðurnar settarframítöflu3,meðsamanburðiþeirralíkingasembestfallaaðtengslumviðkomandiþátta.Af þessumásjáaðtengslinmillibreytingaílausunítrifráupphafitillokatilraunaognokkurraþessara þáttaeruskýr.EinnigaðbreytingaráNalls íplöntusýnunumersáþáttursemskýrirbestmismunílausu nítri.

HeildarstyrkurNíplöntuleifumskýrir86%afþeimmismunsemmælistílausunítriogstærrihlutaen CítrefjaefnunumogC/Nhlutföll.LitlumunarþóáNalls,holosellulosa-C/Nalls ogCalls/Nalls,( Tafla 3).ÞessisamanburðurstyrkirvaliðáNalls,semmælikvarðafyrirbreytingarálausunítrií jarðvegieftirniðurfellinguíplöntuleifa.Niðurstöðurnareruásamavegogútreikningaráfylgnistuðli (Tafla1)fyriröll76sýnin,semmældvoruogeruþessivöldusýniþvíekkifrábrugðinþeimhvað þettavarðar.

Tafla3. Hlutfallbreytileika(R2)ílausunítriviðloktilrauna,semskýristafheildar-N,Cíhólósellulósa-,Cí tréni-ogC/Nhlutföllumíplöntusýnum.

Table3.Proportionoftotalvariation(R2)ofnetmineralizationexplainedbyeithertotalnitrogen(Nalls), holocellulose-C,lignin-CorC/Nratioinplantresidues. Aðhvarfslíkingar:regressionequations.Einþættveldisfall:onepoolexponentialfunction

2 Sy.x

Aðhvarfslíkingar

Boltzmannsigmóíðlíking

Einþættveldisfall

Einþættveldisfall

Einþættveldisfall

Einþættveldisfall

14
R
Nalls 0.86 3.97
Hólósellulósa-C/Nalls 0.85 4.07
Calls/Nalls 0.83 4.30
Hólósellulósa-C 0.67 5.93
Lignín-C/Nalls 0.45 7.65
Lignín-C 0.13 9.64 Einþættveldisfall

Mynd5. Nettólosun/nettóbindingNeftir217dagasemfallafNalls,hólósellulósa-C,lignín-CogC/Nhlutföllum. Fig.5.Netmineralization/netimmobilizationofNonlastdayofincubation(217days)asafunctionoftotalN holocellulose-C,lignin-CandC/Nratioinplantresidues.

Þærþrjárbreytur,sembestlýsabreytileikanumílausunítrierumjögtengdarinnbyrðisogþvíeðlilegt aðskýringamátturþeirraséáþekkur.ValiðáNalls semskýringabreytuerþvífyrstogfremstá grundvellihefðbundinnaefnagreiningar-aðferðafyrirplöntuefniþ.e.KjeldaleðaDumasaðferðvið ákvörðunáheildarmagninítursogvanSoestaðferðviðsundurgreiningubyggingarefnaplantnanna. NýrriaðferðireinsogNIRgreiningargætuþóveriðfýsilegri.

15

Framgangurniðurbrotsins

ÍgreininguBruuno.fl.(2005)varrakiðaðlíkingafMonodgerð(Jafna2)hafireynstbesttilaðlýsa framgangibreytingaálausunítriíjarðvegiviðniðurbrotplöntuleifa.JafnframtreyndustvanSoest efnaflokkarbetrienbæðiC/NhlutföllogNIRlitróftilþessaðmetagildistuðlaílíkingunnifyrir einstakarplöntuleifar.

Níturlosunúrplöntuleifumíjarðvegihefstoghelduráframmeðmismunandihættiallteftir efanasamsetninguogbyggingargerðplöntuleifanna.Jenseno.fl.(2005)ályktuðuaðnotamegi sápuleysanlegtNtilaðflokkatímaferliníturlosunarí;(i)stöðuganettóbindinguNínokkramánuði, (ii)nettóbindinguíbyrjunognokkranettólosuneftirþaðog(iii)hraðaogtalsverðanettólosuní byrjun.

HérverðurafturámótilitiðáþessatímaferlaútfráheildarmagniNíplöntusýnunumoghvortogmeð hvaðhættiniðurbrotiðeraðskilaaukninguálausunítriútíjarðveginn.

Jafna2lýsirbreytingumálausunítriámótitímafráupphafiniðurbrotsins.Stuðlarjöfnunnarvoru metniríGraphPad2 tölfræðiforritifyrirhvertþessara34plöntusýna.Ámyndunumhéráeftir(myndir 6til11)erframvindaniðurbrotseinstakraplöntuleifasýnd.Ámyndunumerusýndmeðaltölbreytinga álausunítrifyrireinstakamælidagaásamtstaðalfráviki.Jafnframthefurveriðdregiðinnáhverja myndgrafsemreiknaðermeðjöfnu2.Stuðlarjöfnunnarerureiknaðirfyrirhvertplöntusýni sérstaklegasamkvæmtminnstafráviki.Ítöflu5erframvinduniðurbrotsinsogeiginleikumsýnanna lýstnánar.

Breytingarálausunítriverðameðmismunandihætti,þómávelgreinaákveðiðmunsturíframgangi niðurbrotsins.Plöntusýninskiptastþanniguppíákveðnahópaþarsemframgangurniðurbrotsinser meðákveðnumhættiinnanhvershóps.

1. Hröðaukningílausunítriíupphafiensíðanminnkarmagnþesseftirsemlíðurániðurbrotið

2. Nærstöðugaukningálausunítriallantímann.

3. Íupphafiniðurbrotsinsminnkarlaustníturíjarðveginumeneykstsíðanafturogerílok mælingorðiðhærraeníupphafi.

4. Laustníturminnkaríupphafiniðurbrotsinsoghelstlægraallantímannenþaðvaríupphafi. Ámyndum6til11þarsemgröfunumerraðaðeftirminnkandiNalls íplöntuleifunummáeinnigsjáað þessiskiptingfylgireinnigaðmestubreytingumíNalls.

BreytingumálausuNíjarðvegivegnalosunarúrplöntuleifumerlýstítöflum5og6,annarsvegar flokkaðeftirframgangilosunarNfyrirhvertsýnioghinsvegarsamandregiðyfirlityfirhvernflokk. SýniífyrstahópnumerumeðNalls ábilinu45-59mgNg-1 þe.EkkifallaþóöllsýnimeðNalls áþessu biliíþennanhóp,þvíniðurbrotáblöðumogstönglumolíurepju(Nalls =50,4mgNg-1 þe)verðurmeð öðrumhætti.Laustníturíjarðvegimeðþessumsýnumfórhrattvaxandií32-67dagaogvarþáað meðaltali24mgNg-1 þe,semsvarartil24kgNúrhverjutonniafþurrefniíplöntuleifunum.Eftirþað fórlaustNminnkandivarþóalltafmeiraeníbyrjun,aðmeðaltalieftir217daga14mgNg-1 þe.

16
2 http://www.graphpad.com/scientific-software/prism/

Mynd6. Breytingarálausunítriíjarðvegimeðplöntuleifumíhópi1.Hröðaukningíbyrjunsíðanminnkandi laustN,LaustNþóaðlokumalltafmeiraeníbyrjun.Punktarsýnameðalbreytingu(±SE)álausunítrifrá upphafiniðurbrots.Gröfinerudregiðsamkvæmtjöfnu2ogminnstafrávikifráaðhvarfslínu

Fig.6.Thetimepatternofnetnitrogenmineralizationingroup1.Rapidnetmineralizationatfirstafter inclusionofplantresiduesinsoilthenlateraslightlydecliningnetmieralization.Eachpointisaveragechange (±SE) inmineralnitrogenandthegraphsareleastsquareregressionofEq.2.

ÍöðrumhópnumeruplöntusýnimeðNalls ábilinu20-50mgNg-1 þeogmeðnærstöðugaaukninguá lausunítriíjarðvegiallanmælitímann.Aukninginvarhröðbyrjunensmámsamanhægðiáhenni.Í lokmælingatímanseftir217dagavarlaustníturaðmeðaltalium15mgNg-1þe,semsvarartil15kg Núrhverjutonniafplöntuleifum.SköruneráNalls viðfyrstahópinnvegnasýnisafolíurepjumeðNalls 50,4mgNg-1 þe.Niðurbrotsýnaafaxhnoðapuntioggulrótarblöðum(Nalls =23,2og25,3mgNg-1þe) verðurmeðöðrumhætti.

17

Mynd7. Breytingarálausunítriíjarðvegimeðplöntuleifumíhópi2.Nær stöðugaukningálausuNúr plöntuleifumfrábyrjuntillokadags. Punktarsýnameðalbreytingu(±SE)álausunítrifráupphafiniðurbrots. Gröfinerudregiðsamkvæmtjöfnu2ogminnstafrávikigagnvartviðkomandiplöntusýni.

Fig.7.Thetimepatternofnetnitrogenmineralizationingroup2.SteadlyincreasingnetNmineralization.Each pointisaveragechange (±SE) inmineralnitrogenandthegraphsareleastsquareregressionofEq.2.

Íþriðjahópnumminnkarlaustníturífyrstueneykstsíðanafturogerílokmælitímansorðiðhærraen íupphafi.SýniíþessumhópierumeðNalls 14-25mgNg-1þe,enniðurbrotsýnaafAlaskalúpínu(19,7 mgNg-1þe)verðurþómeðöðrumhætti.Lækkuninálausunítriíjarðvegimeðþessumplöntusýnum varfrá0,4-5,4mgNg-1þe,ogaðmeðaltali2,3mgNg-1þeeftir5til13dagameðeinni undantekningu.Þessiundatekningvarsýniafstönglumafgulrilúpínuenþarvarðekkiaukningá lausuNfyrreneftir115dagafráblöndunsýnisíjarðveg.AukninginálausuNvarílokineftir217 dagameirienþaðsemnamlækkuninniíupphafiogvarlaustNíjarðvegiaðmeðaltali3,5mgNg-1þe, aðlúpínusýninumeðtöldu.

18

Mynd8. Breytingarálausunítriíjarðvegimeðplöntuleifumíhópi3.LaustNminnkaríupphafieneykstsíðan umframþaðsemvarbundiðaförverum.Punktarsýnameðalbreytingu(±SE)álausunítrifráupphafi niðurbrots.Gröfinerudregiðsamkvæmtjöfnu2ogminnstafrávikigagnvartviðkomandiplöntusýni.

Fig.8.Thetimepatternsofnetnitrogenmineralization/immobilizationingroup3.NetNimmobilizationinthe beginningisfollowedbynetNmineralizationexceedingtheimmobilization.Eachpointisaveragechange (± SE) inmineralnitrogenandthegraphsareleastsquareregressionofEq.2.

Ífjórðahópnumerusýniþarsemniðurbrotiðnærekkiaðskilaneinniaukninguálausunítriílok mælitímans.HeildarmagnNíþessumsýnumerábilinu3-13,6mgNg-1þeogeruöllsýnimeðNalls á þessubiliíþessumhópi.Þessimörkstemmaviðútreikningahéraðframanátímasetninguaukningará lausunítrimiðaðviðmagníupphafiniðurbrots.Samkvæmtþeimútreikningumþáverðuraukningá lausunítriíjarðvegimeðplöntuleifummeð11,6mgNg-1 þefyrstá217.degi.Mestalækkunílausu

19

nítriíjarðvegiviðniðurbrotþessaraplöntusýnavarábilinu4,3-9,7mgNg-1þeogaðmeðaltali6,5mg Ng-1þe.Aukningálausunítriíkjölfarupphafslækkunarerlítileðaenginogílokmælitímansnam lækkuninfrá1,3til6,8mgNg-1þeogaðjafnaði4,2mgNg-1þe.Ístökusýnumerörðugtaðgreinaað nokkuraukningílausunítriverðiíkjölfarþeirrarlækkunarsemvaríupphafiniðurbrotsins.Þettaát.d. viðumniðurbrotástönglumafhörplöntumogskálpumafolíurepju(mynd10og11).

Mynd9. Breytingarálausunítriíjarðvegimeðplöntuleifumíhópi4(1.afþremurmyndum).LaustNminnkarí upphafi,ensíðanverðurhægfaraaukning,semskilarþóekkiaukninguálausuNyfirmælingatímann.Sýnimeð 13,6til10,2mgNg-1þurrefnitaliðfrásumarrýgresiefsttiltúnvingulsneðstámyndinni.Punktarsýna meðalbreytingu(±SE)álausunítrifráupphafiniðurbrots.Gröfinerudregiðsamkvæmtjöfnu2ogminnsta frávikigagnvartviðkomandiplöntusýni.

Fig.9.Thetimepatternsofnetnitrogenmineralizationingroup4,firstpictureofthree.NetNimmobilizationin thebeginningisfollowedbynetNmineralizationnotexceedingtheimmobilization.Plantresiduesampleswith 13.6to10.2mgNg-1 drymatter. Eachpointisaveragechange (±SE) inmineralnitrogenandthegraphsare leastsquareregressionofEq.2.

20

Mynd10. Breytingarálausunítriíjarðvegimeðplöntuleifumíhópi4(2.afþremurmyndum).LaustNminnkar íupphafi,ensíðanverðurhægfaraaukning,semskilarþóekkiaukninguálausuNyfirmælingatímann. Plöntusýnimeð10,1til6,7mgNg-1 þurrefnitaliðfrávetrarrýgresitilolíufrærepju.Punktarsýnameðalbreytingu (±SE)álausunítrifráupphafiniðurbrots.Gröfinerudregiðsamkvæmtjöfnu2ogminnstafrávikigagnvart viðkomandiplöntusýni.

Fig.10.Thetimepatternsofnetnitrogenmineralizationingroup,4secondofthreepictures.NetN immobilizationinthebeginningisfollowedbynetNmineralizationnotexceedingtheimmobilization.Plant residuesampleswith10.1to6.7mgNg-1 drymatter. Eachpointisaveragechange (±SE) inmineralnitrogen andthegraphsareleastsquareregressionofEq.2.

21

Mynd11. Breytingarálausunítriíjarðvegimeðplöntuleifumíhópi4(3.afþremurmyndum).LaustNminnkar íupphafi,ensíðanverðurhægfaraaukning,semskilarþóekkiaukninguálausuNyfirmælingatímann. Plöntusýnimeðtil6,4til2,9mgNg-1 þurrefnitaliðfráhafrasýnitilhálmsafbyggifráDanmörku.Punktarsýna meðalbreytingu(±SE)álausunítrifráupphafiniðurbrots.Gröfinerudregiðsamkvæmtjöfnu2ogminnsta frávikigagnvartviðkomandiplöntusýni.

Fig.11.Thetimepatternsofnetnitrogenmineralizationingroup4,thirdofthreepictures.NetNimmobilization inthebeginningisfollowedbynetNmineralizationnotexceedingtheimmobilization.Anexceptionisasteady netimmobilizationofnitrogenfromasampleofflaxstems(sampleNO1-3,lowestleftinthepicture)with3.5mg Ng-1 drymatter.Plantresiduesampleswith6.4to2.9mgNg-1 drymatter.Eachpointisaveragechange (±SE) inmineralnitrogenandthegraphsareleastsquareregressionofEq.2.

22

Tafla4. Styrkurníturs(Nalls)íplöntuleifumogkolefnis(C)ítrefjaefnumogbreytingarálausuNíjarðvegi vegnalosunarúrplöntuleifumeðabindingarNílífmassajarðvegsogleirögnum. Sy.xerlóðréttstaðalfrávikfrá aðhvarfslínu.

Table5.Concentrationofnitrogeninplantmaterial(Nalls),carbon(C)infibrematerialandnet mineralization/immobilizationofNfromplantresidues,mgNg-1 drymatter:Sy.xistheverticalstandard deviationfromtheregressionline.

Tegund:plantspecies,Plöntuhluti:plantstructure.Mestalosun:themaximalnetmineralization,Losuná lokadegi:netmineralizationonlastdayofincubation,MestNbundið:themaximalNimmobilization,Dagar: days.

Hópur1:LaustNeyksthrattíbyrjun,minnkarþegarálíður,enerallantímannmeiraeníbyrjun.

Group1:Rapidnetmineralizationatfirstafterinclusionofplantresiduesinsoil,lateraslightlydecliningnet mineralization.

Tegund Plöntuhluti Nalls Cíbeðmi (holosellulósa)

Cítréni (ligníni)

MestalosunNLosuná lokadegi Sy.x

íplöntusýnimgg 1 þurrefni Dagar mgg 1 þurrefni

Nepja Grænblöð 59,1 79 3,7 37 31,5 19,1 4,7 Vetrarrúgur Grænblöð 53,8 182 11,1 35 21,8 17,9 5,8

Olíurepja Grænblöð 49,6 76 0,3 32 26,1 17,6 1,8

Hvítsmári Blöðogstönglar 44,9 92 24,5 67 17,6 6,8 7,9

Hópur2:StöðugaukningálausuNfrábyrjuntillokadagsmælinga,hröðaukningífyrstuenhægirsmámsaman áhraðalosunarNúrplöntuleifum.

Group2:Steadynetnitrogenmineralizationduringthewholeincubation,rapidatfirst,thengraduallyslowing down.

Tegund plöntuhluti Nalls Cíbeðmi (holosellulósa)

Cítréni (ligníni) Mestalosun N (lokadagur)

Sy.x

íplöntusýnimgg 1 þurrefni Dagar mgg 1 þurrefni

Olíufræ-repja Blöðogstönglar 50,4 101 7,5 217 24,4 2,64 Olíu-radísur Grænblöð 38,3 108 3,8 217 15,8 1,65

Rauðsmári Grænblöð 40,7 113 11,7 216 13,0 1,21

Gullúpína Grænblöð 39,0 150 14,4 217 8,9 5,01

Alaskalúpína Blöðogstönglar 19,7 182 30,0 219 10,8 3,70

23

Hópur3:LaustNminnkaríupphafieneykstsíðanumframþaðsemvarbundið.

Group3:Netimmobilizationatfirstisthenfollowedbynetmineralizationfinallyexceedingtheimmobilization.

Tegund Plöntuhluti Nalls Cíbeðmi (holosellulósa)

Cítréni (ligníni)

MestNbundiðLosun álokadegi Sy.x

íplöntusýnimgg 1 þurrefni Dagar mgg 1 þurrefni Gulrætur Grænblöð 25,3 80 13,1 7 -4,3 10,1 1,26

Axhnoðapuntur Gras 23,2 248 7,5 7 -0,4 5,1 0,69

Bygg Grænblöð 18,0 292 14,9 5 -1,3 3,1 2,13

Rauðsmári Blöð,stönglar 17,6 154 29,7 9 -3,1 1,7 1,28

Rauðsmári Grænirstönglar 14,7 205 34,4 13 -1,3 1,7 0,70

Kál Grænblöð 14,5 66 0,5 7 -5,4 3,7 0,97

Gullúpína Stönglar 13,7 217 38,7 115 -2,5 5,6 2,79

Hópur4:LaustNminnkaríupphafiensíðanverðurhægfaraaukningsemskilarþóekkiaukningálausuNyfir mælitímann.

Group4:Netnitrogenmineralizationatfirstfollowedbyslowlyincreasingnetmineralizationnotexceedingthe netimmobilization.

Tegund Plöntuhluti Nalls Cíbeðmi (holosellulósa)

Cítréni (ligníni)

MestN bundið Bundið Nálokadegi

Sy.x íplöntusýnimgg 1 þurrefni Dagur mgg 1 þurrefni

Sumarrýgresi Blöð,stönglar 13,6 219 9,2 23 -4,4 -1,3 1,36

Bygg Hismi(pods) 13,1 116 1,6 92 -7,7 -6,8 0,71

Vallarsveifgras Gras 11,8 281 11,5 54 -5,0 -2,4 2,13

Gulrófur Blöðogstönglar 11,7 250 43,5 43 -5,2 -1,6 1,22

Nepja Trénaðirstönglar10,6 289 75,0 37 -5,7 -2,0 0,89

Túnvingull Gras 10,2 303 22,9 70 -6,3 -2,9 1,34

Sumarrýgresi. Gras 10,1 256 14,2 17 -6,0 -3,0 0,60

Olíurepja Stönglar 9,8 296 47,5 70 -8,7 -5,5 2,07

Hör Blöðogstönglar 9,3 245 56,5 17 -5,8 -3,6 2,75

Háliðagras Gras 8,3 286 11,2 56 -4,3 -2,8 1,24

Axhnoðapuntur Gras 7,8 276 10,9 23 -6,8 -3,0 1,94

Olíufræ-repja Skálpar(pods) 6,7 213 49,7 32 -6,7 -6,1 0,74

Hafrar Blöðogstönglar 6,4 228 10,3 24 -9,7 -6,7 1,71

Bygg,yrkiSúla Hálmur 5,9 283 20,7 42 -8,0 -5,8 1,99

ByggSE Hálmur 4,9 357 19,8 36 -6,7 -5,5 1,11

Repja Grænirstönglar 3,6 298 52,4 55 -5,9 -4,4 2,64

Hör * Stönglar 3,5 258 103,8 217 -6,7 -6,7 0,76

Bygg,DK Hálmur 2,9 363 35,2 86 -6,7 -5,9 1,62

24

Tafla5. StyrkurheildarNísýnumafplöntuleifum,CítrefjaefnumognettólosunognettóbindingNúr plöntuleifumíjarðvegi.Meðaltöl,lægstuoghæstumælingar.

Table6.TotalNconcentrationinplantresiduesamples,Cinfibrefractions,netNmineralizationand immobilization.Means,netmineralization/immobilization,respectivelymaximumvaluesandmeasuredvalues onlastdayofincubationinthefourpreviouslydefinedgroupsofplants.Mestalosuneðabinding:maximumnet mineralization/immobilization,Losuneðabindingálokadegi,217dagar:netmineralization/immobilizationon thelastdayofincubation,day217.

Nalls Cítréni (holosellulósa)

Cí viðarefni (ligníni)

Mestalosuneða bindingN Losuneðabindingá lokadegi.217dagar

íplöntusýnimgg 1 þurrefni Dagar mgg 1 þurrefni

Hópur1:LaustNeyksthrattíbyrjun,minnkarþegarálíðurenerallantímannmeiraeníbyrjun

Meðaltöl 51,9 107 9,9 43 24,3 15,4

Dreifing 45-59 76-182 0,3-25 32-67 18-32 7-19

Hópur2:StöðugaukningálausuNfrábyrjuntillokadagsmælinga

Meðaltöl 37,6 131 13,5 217 14,6 14,6

Dreifing 20-50 101-182 4-30 216-219 9-24 9-24

Hópur3:LaustNminnkaríupphafieneykstsíðanumframþaðsemvarbundið

Meðaltöl 18,1 180 19,8 23 -2,6 4,4

Dreifing 14-25 66-292 0,5-39 5-115 -5til-0,4 2-10

Hópur4:LaustNminnkaríupphafiensíðanverðurhægfaraaukningsemskilarþóekkiaukningá lausuNyfirmælitímann

Meðaltöl 8,3 268 33,1 55 -6,5 -4,2

Dreifing 3-14 116-363 2-104 17-217 -10til-4 -7til-1

Umræður

EinfaldarupplýsingareinsogheildarstyrkurNíplöntuleifumgetanýstveltilaðsegjatilumhvaða áhrifniðurbrotþeirramunihafaálaustníturíjarðvegi.Framgangurniðurbrotsinseinsoghonumer hérlýsterbyggðurámælingumviðstöðugthitastig(15°C)ogvatnsinnihald(10kPavatnsspennu)í jarðvegsins.Þæraðstæðureruekkitilstaðarútiínáttúrunni.Jarðvegshitihérálandierallajafnanmun lægriogvatnsinnihaldiðbreytilegt.Allartímasetningarááhrifumniðurbrotsinsverðurþvíaðskoðaí þvíljósi.Breytingumávirkniniðurbrotsörveraviðbreytthitastigeroftlýstmeðs.n.Q10 gildisem segirtilumhversumikiðvirkninbreytistviðhækkunáhitastigium10°C.Q10 gildiniðurbrotsferla plöntuleifaerofttaliðumþaðbil2(Maryo.fl.1996,Kätterero.fl.1998),eníþvífelstt.d.aðvið5°C erhraðinnumhelmingurþesssemhannervið15°C.Vatnsinnihaldjarðvegsinsgetureinnigbreytt hraðaniðurbrotsinsoggeturbæðiveriðskorturávatniogeinsofgnóttsemhindraraðgengiörveranna aðsúrefni.Vatnsskorturgeturhvortheldurstafaðafþurrkumeðalítillivatnsheldnijarðvegsins (Guðmundsson2006).Frostíjarðvegivirkareinnigeinsogvatnsskortur.

Hérhefurmeðvitaðveriðvaliðaðdragauppeinfaldaðamyndafniðurbrotsferlumoghorfaeingöngu tilþesshvernigþaubirtastsembreytingarílausunítri.Aðbakiþeirriframsetningueríraunmiklu flóknariraunveruleiki,þarsemplöntuleifareruíflóknumefnaferlumbrotnarniðurísmærriogsmærri

25

sameindirogeiningar.Orkansemviðþaðlosnarernýttafniðurbrotslífverunumsemogþau næringarefnisemlosna.Þaðræðstsvoafhlutfallinumilliorkunnarognæringarefnannahvortaukning verðurálausumnæringarefnumíjarðvegieðaekki.Eflítiðerafnæringarefnummiðaðviðorkunýta niðurbrotslífverurnarsjálfarþaunæringarefnisemlosnaúrþvísembrotiðerniður.Íþannigstöðuer ofttalaðumbindingunæringarefnaíörverum.Efhinsvegaryfriðerafnæringarefnummiðaðviðorku semfæstúrniðurbrotsefnunumþábyggistuppforðiafnæringarefnumsemt.d.plönturgetanýttsér

Íinngangivarvikiðaðþvíaðþekkinguááhrifumniðurbrotsplöntuleifaálaustníturíjarðvegimætti nýtaíræktunogvarðveislunítursíjarðvegi.Ekkierætluninhéraðverameðtæmandiupptalningueða útfærslurámöguleikumíþvísambandi,helduraðeinsaðnefnaörfáatriðiefþaðmættiverðatilað vekjaáhugaáaðprófanýtinguplöntuleifaogþróaútfærslurvarðandinýtinguþeirra.

ViðniðurfellinguáplöntuleifumNinnihaldyfir20mgNg-1 þelosnarþaðnítursemíþeimerstöðugt fráupphafiogþvíhættaáaðþaðtapistúrjarðvegimeðútskolunogafnítrunefekkierutilstaðar gróðursemgeturnýttþað.Ségróðurhinsvegarfyrirhendiþájafngildaplöntuleifarnaröðrumáburðií samræmiviðNinnihaldþeirra.

PlöntuleifarmeðláganstyrkN,erhinsvegarhægtaðnýtatilaðgrípaoghaldaílaustníturílengrieða skemmritíma.Hvaðaplönturhentatilþessferallteftiraðstæðumogmarkmiðumhverjusinni.Dæmi ummöguleganýtinguplöntuleifameðlágtNinnihald<u.þ.b10mgNg-1 þe,væriviðuppgræðsluen þarmættihugsaséraðnýtaslíkarplöntuleifarmeðáburðitilaðbyggjauppnauðsynleganníturforðaí jarðvegi.Meðiðnvæðingukjötframleiðslueinsogásérvíðastaðverðuroftaðskilnaðurá framleiðslunnioglandisemnotaðertilræktunar.Viðþæraðstæðurverðuroftofgnóttáburðarmiðaða viðþaðlandsemertiltæktfyrirþannáburð.Þarværit.d.möguleikiáaðnýtaplöntuleifarmeðlágtN innihaldtilaðgrípaþaðumframmagn.

Þakkarorð

Norrænarannsóknaverkefnið,Characterisationofplantresiduequalityforpredictionofdecomposition andnitrogenreleaseinagriculturalsoils,varstuttafNorrænunefndinniumlandbúnaðar-og matvælarannsóknir(NKJ)ogstyrktfyrirtilstuðlanrannsóknarráðanorrænulandannafimmafSJVF Danmörku,FormasSvíþjóð,NFRíNoregi,LandbúnaðarogskógræktarráðuneytinuíFinnlandiog FramleiðnisjóðilandbúnaðarinsáÍslandi.

26

Heimildir

Bruun,S.,B.Stenberg,T.A.Breland,J.Gudmundsson,T.M.Henriksen,L.S.Jensen,A.Korsaeth,J.Luxhoi, F.Palmason,A.PedersenandT.Salo(2005).EmpiricalpredictionsofplantmaterialCandNmineralization patternsfromnearinfraredspectroscopy,stepwisechemicaldigestionandC/Nratios.SoilBiologyand Biochemistry37:2283-2296.

Bruun,S.,J.Luxhoi,J.Magid,A.deNeergaardandL.S.Jensen(2006).Anitrogenmineralizationmodelbased onrelationshipsforgrossmineralizationandimmobilization.SoilBiology&Biochemistry38(9):2712-2721.

Guðmundsson,J.,H.Óskarsson,Ó.Arnalds(2006).Ervatntakmarkandiþátturílandgræðslu?Fræðaþing landbúnaðarins2006,Reykjavík.

Henriksen,T.M.(1998).CarbonandNitrogenturnoverasinfluencedbythechemicalcompositionofcrop residuesandkeypropertiesofthedecomposercommunity.AgriculturalUniversityofNorway.Doctor ScientariumThesis1998,8.

Henriksen,T.M.andT.A.Breland(1999).Evaluationofcriteriafordescribingcropresiduedegradabilityina modelofcarbonandnitrogenturnoverinsoil.SoilBiology&Biochemistry31(8):1135-1149.

Henriksen,T.M.,A.Korsaeth,T.A.Breland,B.Stenberg,L.S.Jensen,S.Bruun,J.Gudmundsson,F. Palmason,A.PedersenandT.J.Salo(2007).Stepwisechemicaldigestion,near-infraredspectroscopyortotalN measurementtotakeaccountofdecomposabilityofplantCandNinamechanisticmodel.SoilBiologyand Biochemistry39(12):3115-3126.

Jensen,L.S.,T.Salo,F.Palmason,T.A.Breland,T.M.Henriksen,B.Stenberg,A.Pedersen,C.Lundströmand M.Esala(2005).InfluenceofbiochemicalqualityonCandNmineralisationfromabroadvarietyofplant materialsinsoil.PlantandSoil273(1-2):307-326.

Kätterer,T.,M.Reichstein,O.AndrenandA.Lomander(1998).Temperaturedependenceoforganicmatter decomposition:acriticalreviewusingliteraturedataanalyzedwithdifferentmodels.BiologyandFertilityof Soils27(3):258-262.

Mary,B.,S.Recous,D.DarwisandD.Robin(1996).Interactionsbetweendecompositionofplantresiduesand nitrogencyclinginsoil.PlantandSoil181(1):71-82.

Paustian,K.,E.Levine,W.M.PostandI.M.Ryzhova(1997).Theuseofmodelstointegrateinformationand understandingofsoilCattheregionalscale.Geoderma79(1-4):227-260.

Reglugerðumlífrænaframleiðslulandbúnaðarafurðaogmerkingar http://www.reglugerd.is/interpro/dkm/WebGuard.nsf/key2/074-2002

Salo,T.,B.Stenberg,C.Lundström,L.S.Jensen,S.Bruun,A.Pedersen,T.A.Breland,T.Henriksen,A. Korsaeth,H.PalmasonandJ.Gudmundsson,eds.(2006).Characterisationofplantresiduequalityforprediction ofdecompositionandnitrogenreleaseinagriculturalsoils.InternationalSymposiumTowardsEcologically SoundFertilisationStrategiesforFieldVegetableProduction.Perugia,Italy,ISHSActaHorticulturae.

Stenberg,B.,L.S.Jensen,E.Nordkvist,T.A.Breland,A.Pedersen,J.Gudmundsson,S.Bruun,T.Salo,F. Palmason,T.M.HenriksenandA.Korsaeth(2004).Nearinfraredreflectancespectroscopyforquantificationof cropresidue,greenmanureandcatchcropCandNfractionsgoverningdecompositiondynamicsinsoil.Journal ofNearInfraredSpectroscopy12(5):331-346.

27

Turn static files into dynamic content formats.

Create a flipbook
Issuu converts static files into: digital portfolios, online yearbooks, online catalogs, digital photo albums and more. Sign up and create your flipbook.