660 Boulder Road, Cheshire - Historic Home For Sale

Page 1

Listing

660 Boulder Road, Cheshire, CT 06410

MLS#: 170542782

Single Family For Sale

- Almost all errands require a car Residential Property Information Potential Short Sale: No

Style:

Walkscore is: - - 7

Upper 14.8 x 14.5

Other Other

Additional Rooms: Mud Room

Laundry Location: Lower Level, Basement Has In-Law Apart: Possible Features

Appliances Incl : Oven/Range, Refrigerator, Dishwasher

Interior Features: Cable - Available

Energy Features: Thermopane Windows

Home Automation:

Attic: Has Attic - Storage Space

Basement Desc : Full, Unfinished

Exterior Siding: Wood Color: Green

Exterior Features: Barn, Patio, Shed

Construction Info : Frame Foundation: Stone

Roof: Shingle

Garage Spaces: 2 Car Parking Spaces:12 Car Driveway Type: Private, Paved

Garage/Parking Type: Detached Garage

Swimming Pool: No Pool

Lot Description: Open Lot

In Flood Zone: Has Flood Elevation Certificate: No

Nearby Amenities: Golf Course

Home Owners Association Information

Home Owner's Association: No Association Fee: Fee Payable:

Special Assoc Assessments: No

Utility Information

Hot Water System Propane Est. Annual Heating Cost:

Heat Type: Hot Air, Fueled By: Propane Fuel Tank Location: In Ground

Cooling: Central Air Radon Mitigation: Air Unknown, Water Unknown

Water & Sewer Service: Private Well, Sewage System: Septic

School Information

Elem: Highland Interm: Middle: Dodd

Public Remarks

High: Cheshire

Do you dream of stepping back in time but crave modern conveniences? This historic 1756 New England home nestled in on 4 acres delivers the best of both worlds. Enter & bask in sunlight through the newer Marvin windows. Step into the first floor “keeping room” & you may think you’ve stepped into Colonial times: Its open-hearth FP & bee-shaped brick oven welcome you as it did visitors of the past. Today, it’s a family room, where cool nights are warmed by a woodstove in the open hearth. A BR w/full bath and FP & office with built-ins add to the comfort of the first floor. Upstairs, a bath w/a clawfoot tub offers relaxation without compromising the historic aesthetic. Old-world charm meets modern-day function in the tastefully updated

Tax
2341822 List Price: $875,000
Parcel#:
Last Update: 01/15/2023 Orig List Price: $875,000
Status: Active County: New Haven
Days On Market:
22
Car-Dependent
Total
Home Warranty Offered: No
Fireplaces:
1756
Color: Green
Acres: 4.01 (Public
Zoning: R-80 Property Tax: $13,976 Mil Rate: 34.32 Assessed Value: $407,240 Tax Year: July 2022-June 2023 Room Descriptions Room Level Apx Size Features Family Room Main 14.1 x 13.4 Wide Board Floor, Wood Stove Kitchen Main 22.9 x 13.11 Living Room Main 14.8 x 14.6 Study Main 11.9 x 9.3 Built-Ins, Wide Board Floor Bedroom Main 14.8 x 14.5 Fireplace, Wide Board Floor Primary Bedroom Upper 16 1 x 15 4 Bedroom
Cape Cod
Rooms: 8 Bedrooms: 3 Bathrooms: 2 Full
Square Footage: Estimated HEATED Sq.Ft. above grade is 1,843; total 1,843
2 There is no Public Record information available for this property. New Construction: No/Resale Year Built:
(Owner)
Dir. Waterfront: No
Records)

kitchen. With many features built or designed by CT artisans, it boasts an outdoor patio, wide-plank wood floors, custom Colonial era-looking FP, granite counters, expansive pantry & breakfast bar made from a salvaged birch slab from Choate Rosemary Hall. Cooks will love the Thermador gas convection oven, a new stainless steel Electrolux dishwasher & a refrigerator/freezer. Other modern amenities include Central air, propane furnace & cedar closet. The bucolic 4-acre setting includes six outbuildings. The Boulder Knoll Montessori School currently resides in the carriage house & can continue to run and generate income for a new homeowner, or the space may possibly be converted into a charming Air BnB space, in-law apartment, or home office.

Showing Inst: ShowingTime

Showing & Contact Information

Lockbox: None/ Date Available: End of June 2023 Bank Owned: No

Owner: Jill O Bockmann Owners Phone: Occupied By: Owner

Directions: Cook Hill to Half Moon. Right on Boulder Rd. House will be on the left.

Listing & Compensation Information

Listing Contract Type: Exclusive Right to Sell/Lease Service Type: Full Service Sign: Yes (Subject to Reserved Prospect)

Buyer's Agent Comp.: 2.5% of sale price

Listing Distribution Authorizations

The List Office has authorized distribution to: RPR, Homes.com, Homesnap, IDX Sites, Realtor.com, immoviewer, None

The List Agent has authorized distribution to: Homes com, Homesnap, IDX Sites, Realtor com

** NOTE: This listing will only appear on those locations authorized by BOTH the List Office AND the List Agent **

Listing Agent/Broker Information

List Agent: Stacey Deangelis (DEANGELI) Lic #: RES 0759625

Phone: (203) 494-7068

Website: Email: stacey deangelis@calcagni.com

List Office: Calcagni Real Estate (DCAS30)

Website: http://www.calcagni.com

Phone: (203) 272-1821

Information contained in this Smart MLS listing has been compiled from various sources, all of which may not be completely accurate. Smart MLS makes no warranty or representation as to the accuracy of listing information. All information that influences a decision to purchase a listed property should be independently verified by the purchaser. Report Generated on 02/06/2023 1:36:58 PM, Copyright 2023 Smart MLS, Inc. All rights reserved.

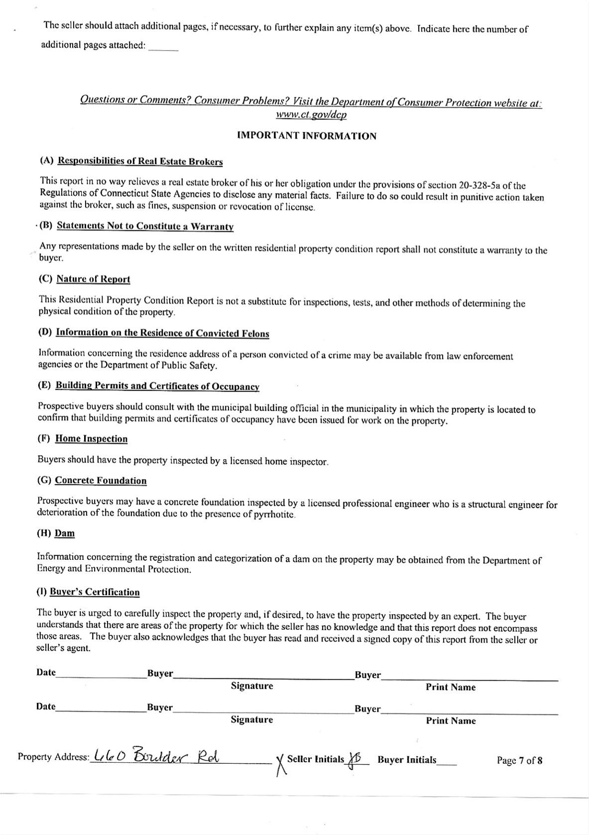
Photos

Marketing History
DOM:
CDOM:
Listing
Expiration Date: 07/15/23
Current List Price: $875,000 Last Updated: 01/15/23
22 Previous List Price: $875,000 Entered in MLS: 01/15/23
22 Original List Price: $875,000
Date: 01/15/23
170542782 660 Boulder Road, Cheshire Active List Price: $875,000

Historic1756HomeisaLittlePieceofOldNewEngland

660BoulderRoad,CheshireCT

$875,000

AHomeSteepedinConnecticutHistoryDeliversPostcard-WorthyCharm

WhentheGaylordfamilysettledinNewHavenCountyaroundtheturnofthe18thcentury,F.T. Gaylord–achildofoneoftheoriginalsettlers–movedtoWestMeadows(whatisnowCheshire) in1753.By1756,hishomesteadwascomplete,andthehousethatnowstandsat660Boulder RoadcarrieswithitthehistoryoftheGaylordfamilyandotherConnecticutresidentswhohave madeahome–andaliving–withinitswallsandonitsland.

Setuponfouracresoflandandsurroundedbywetlandsonthreesides,today,thehouseboasts brilliantgreentrimsetagainsttimelesstaupewoodcedarsiding,greetingpassersbyandguests. Stonewalls–thosenowtreasuredmarkersofantiqueNewEnglandproperties–helpdemarcatethe homesteadfromtheotheroutbuildings,ofwhichtherearesix.

Uponenteringthishistorichouse,oneisinstantlytransportedbackintime.Fromtheoriginal etchedtrimsurroundingthewindowsandoriginalwide-plankwoodfloorstotheopen-hearth fireplaceandoveralltime-honoredcolorschemeofthehome,thewarmthandcharmofthis lovinglycaredforandrestoredhousearepalpable,creatingaquintessentiallyNewEngland aestheticthathasclearlywithstoodthetestoftime.Thisexceptionalhistorichomeiseverybitas relevanttodayasitsurelywasattheturnofthe18thcentury

Whileintypicalhistorichomes,thefirstfloorlayoutwouldincludethefirstfloorbedroomtothe leftandthelivingroomtotheright,660BoulderRoadhastheoppositelayoutwiththeliving roomtotheleftofthefrontdoor–allthebettertoenjoytheamplelightthatstreamsthroughthe 12over12styleMarvinwindowsthathavebeeninstalledthroughoutthehousetokeepa cohesiveaestheticwhileimprovingenergyefficiency.Inwhatwasoncetheguestreceivingroom

butnowservesasthemainbedroom,thedetailedConnecticutValleymoldingsurroundingthe windowsanddoorswouldhaveimpressedvisitors;today,itstillservesthispurpose.A functioningfireplaceprovidesabeautifulanchorwhileenhancingthe“staycation”feelofthis charmingantiquebedroom.

Rusticcharmaboundsthroughoutthisauthentichistorichome.Whileitservesasastunning focalpointinthelivingroomtoday,theopenhearthfireplacewasusedforcooking,andthe attachedbeehive-shapedovenwasusedforbakingbread.Backwhenthehousewasbuilt,this roomwouldhavebeenreferredtoasthe“keepingroom,”wheremealswouldhavebeencooked andkept,andthefamilywouldgathertogether.

ModernUpgradesThatStillHonorthePast

Whilethepastisever-presentinthistimeperiod-specifichome,carefullychosenmodern amenitiesabound,creatingahometobecherishedforcurrentandfuturegenerations.Intheearly 1980s,theprevioushomeownerstoreoffanexteriorwallandremovedthemaincarryingbeams, whichhadsuccumbedtobeetledamage–acommonprobleminhistoricalhomesoftheperiod. Newhand-hewnbeamswerebroughtinandinstalledonnewlypoured,solidsills.

Afterafireinthe1950s,660BoulderRoadunderwentmanycarefullyconsideredrenovations andupdates,includingrebuildingthefireplaceinthekeepingroom,movingthestairwelltothe basement,andbuildingwoodcabinetsinthefirstfloorbathroomoutofatreefromtheproperty. Thecurrenthomeownerhaslivedinthepropertysince2005,andin2006,twooldermapletrees fellonthehouseandleftholesintheroof,damagingmuchofthesecondfloor.Aspartofthe repairwork,theentiresecondfloorhasbeenoutfittedwithnewelectricity,heating,raised ceilingsformorecomfortableliving,newframingoftheroof,newinsulationandattic ventilation,andanewroof.Thechimneywasrepointedandslateslabsaddedtocoverthe chimney.

In2007,threebaysofcedar-linedclosetsandshelvingwerecompleted.In2010,thefloors, originaltothehouse,wererefinishedthroughoutthehome.In2016,thefirstfloorbathroomwas updatedwithanewcastirontub,shower,tileflooringandbathroomwalls,aswellasupdated sheetrockandinsulation.

Alsoin2016,thekitchenunderwentagutrenovationtobringituptothediscerningstandardsof today’smodernhomebuyerwhilehonoringthehistoryofthisuniquehome.Asanodtolocal craftsmen,manyofthefeatureswerebuiltbyordesignedbyConnecticutartisans.Thekitchen remodelwasdesignedbyKDJKitchensinCheshire.Aworkingcustomfireplacewasbuiltto recreatethelookofaColonial-erakitchen,andcanbeviewedbothfromthefarmhousesinkand whenseatedaroundthediningroomtable.Anexistingwall,chimneyandtwo-seasonsunroom wereremoved,andanewfoundationpouredwithacrawlspacebelow Thewide-plankwood floorsarecraftedbyhandfromreclaimedwoodthatoncecomprisedanantiquebarninVirginia, transportedtoCheshirebytheChestnutWoodworkingcompanyinCromwell.Thebreakfast bar–idealforeatingmeals,drinkingcoffee,orevendoinghomeworkorcheckingemails–includesanewcountertopinstalledbyCityBenchofHigganum,usingabirchslabsalvaged fromatreethatoncegracedthegroundsoftherenownedboardingschool,ChoateRosemary HallinWallingford.TheThermadorgasconvectionovenandnewstainlesssteelElectrolux dishwasherandrefrigerator/freezerwerealsoinstalledin2016,makingthiskitchenappealing andfullyfunctionalforhomeownerswhoenjoycookingandentertainingathome.

Allelectricalthroughoutthehomehasbeenredoneandbroughtuptocode,andallofthe windowsthroughouthavebeenreplacedwithcustommade12over12styleMarvinwindows, ensuringenergyefficiencywithoutsacrificingtheantiquelooktheybringtothisantiquehome. Duringthekitchenremodel,theentirehomeHVACsystemwasreplaced,andanewpropane furnace,on-demandwaterheater,andcentralairconditioningwereinstalled.Lastly,amudroom withaslidingbarndoorwasadded,creatingacozynookforshoes,boots,coats,andaccessories sotheydon’tspilloverintothemainlivingspaces.

OutbuildingsThatPresentAdditionalCharmandIncome

Overthecenturies,thepropertyanditsbuildingshaveservedasadairy,achickenfarm,anda gentleman’shomestead.Today,itservesasalovinglypreservedhistorichome,amilkhouseused currentlyforstorage,andaworkshopconstructedwithchestnutbeamsandoriginalwindowsthat nowservesasachickencoop,maplesugarshack,andworkspace.Inadditiontothesetreasured historicbuildings,therestandsatwocargarage,reframedin2020withanewroof,atractor barn,andagoatbarnthatisusedcurrentlyforgardeningstorage.Lastly,thereisalsotheBoulder KnollMontessoriSchool,builtontheoriginalfoundationofthecarriagehouse,completewitha foundationofbouldersforwhichtheroadisnamed.Thisschoolhasbeenoperatedcontinuously since1983andisgrandfatheredinasoneofthelastpreschoolsinaresidentialareainCheshire. Whiletheschoolcancontinuetorunandgenerateincomeforanewhomeowner,itcanalsobe convertedintoacharmingAirBnBspace,anin-lawapartment,orahomeoffice.

Thefenced-inplaygroundfortheschoolcoversafullacre,andreceivedanewplaygroundand playscapeoverthecourseofthepastfiveyears.

Thepropertyfeaturesatwoacrebuildinglotthatbacksuptoopenspacedesignatedbythetown ofCheshireandtheJacksonFarmthatconnectstoBoulderKnollFarm.Atown-owned abandonedChristmastreefarmalsoabutstheproperty

Thebucolicsettingofthelandandbuildingsthatcomprise660BoulderRoadmakeitattractive tothehomebuyerwhowantstopreservethepastwhilebenefitingfrommodernconvenience. Theoutbuildingsoffermyriadoptionsforcreativetypeswhoenjoywoodworking,painting, pottery,orwriting,offeringprivacyandinspirationtothosewhocravetheirownspaceinwhich tohonetheircrafts.Thosewholovetogardenwillenjoyampleroomtodosoonthis Connecticutproperty,anditsproximitytoCheshire’sfamedLinearTrailandthehikingtrailsof SleepingGiantStatePark,makesthisanidealhomeforanyonewhoenjoyswalking,running,or cyclingwhilesurroundedbynature.Itisalsojustashortbikerideawayfromgolf,tennis,and swimmingforthosewhoaremembersoftheFarmsCountryClubinWallingford. For homebuyerswhoworkfromhome,660BoulderRoadoffersamplespaceinwhichtosetupa

homeoffice,whetherinthemainresidenceorinoneoftheoutbuildings.Thepossibilitiesfor thesespacesarelimitedonlytoone’simagination.

Fortoday’sdiscerninghomebuyer,thehistorichomeat660BoulderRoadmergesthe mostcharmingelementsofthepastwiththenumerouscomfortsandbeautyofthepresent.This homeisidealforthosewhoseekrefugefromthehectichustleofdailylife,whosehomewill serveasadestinationforrelaxing,entertainingathome,andmakingpreciousmemorieswith lovedones.Astheprevioushomeownershavesolovinglycaredforthishome,preservingitfor futuregenerations,thecurrentbuyerneedonlybringaloveforhistoricConnecticutcharmanda passionforexcellentcraftsmanship.

e, C onnecti cut - Asse ssment Pa rcel Ma p

Parcel: Location: 00932300 660 BOULDER RD

1 15 50 39 46 14 147 85 214.01 143 59 233 80 256. 92 371 52 94 51 33 38 90.17 200 218. 83 319.92 321 200 331 8 431 .13 498. 56 219.77 601. 83 1228 .72 5 # 6 80 3.5 A c 77 # 4 0 2.4 7 Ac 30 # 3 0 1 A c 2 2.0 9 Ac 3 # 6 60 1.9 2 Ac 78 1.5 4 Ac BOULDER RD M I NNA CT Disclaimer: This map is for informati onal purposes onl y All information is subject to verification by any use r The Town of Cheshire and its mapping contractors assume no legal responsibility for the i nformation contained herein Map P ro du ced : Ju ne 2022 0 50 100 150 200 Feet Approximate Sca le: 1 i nc h = 10 0 fee t Tow n o f Cheshir

660 Boulder Road house updates

(2013 Farm Credit East Appraisal value: $522,000 for house and 1.92 acres)

Previous owners removed main carrying beams which had powder post beetle and fire damage and replaced.

Previous owners redid sills in basement.

2005

New Septic tank and system for the house Chapman Septic

First floor bathroom plaster and sheetrock on walls and ceiling replaced; insulation added; Bill Paglia Scheff

carpeting removed and replaced with ceramic tile Paul’s Wall to Wall

New outdoor light fixtures Bob Clark Electric

Powder post beetle treatment

2006

Wood floors sanded and refinished on first and second floor; chestnut patch on library floor installed George Soeters

First floor bedroom: plaster walls removed; insulation installed; sheetrock applied; all new electric wiring and lights. Recessed lights installed in red room

2007

Following tree damage on second floor:

- Replaced roof joists on front side of house

- Replaces cedar shingles on front side of house- new yellow cedar shingles

- Complete update to meet current code, including insulation, end vents,

- All electricity updated on second floor

- Ceiling raised in both second floor bedrooms, with new sheetrock, and electrical fixtures

- Chimneys repointed and slate slabs installed on chimney

- Gutters installed on south side of house

Master Bedroom closets installed and lined with cedar

2008

Replaced pipes under sink in downstairs bathroom

New shingles on the roof of milk house and workshop

2009

Chimney liner installed in flue with wood stove

Serge Rouseel &Sons

Modern Home Builders

Curtis Genest

James Lethbridge

Superior Stove and Hearth

2010

New Jotul wood stove installed Superior Stove & Hearth

2012:

-Replaced wood shingles on roof of Goat barn

-Replaced barn boards on back of workshop and goat barn

-Painted all barns

2016: Kitchen and sunroom remodel

- Demo sunroom down to concrete slab, remove interior walls, remove porch roof.

Frame new walls, floor and roof on new foundation where sunroom was located, includes insulation, drywall, electrical.

Electrical: plugs and switches to code, 6 recessed down lights, wiring for appliances.

Plumbing for kitchen sink, sink and faucet

HVAC: Heil high efficiency LP gas furnace, Heil 13 SEER AC condensing unit, duct system will be 3 zones with 3 digital thermostats, SpaceGard air cleaner, Aprilaire power humidifier and a Navien on Demand water heater.

New Masonry Fireplace.

Roofing: Remove existing shingles and install new shingles with all necessary copper flashing.

Remove existing siding and install new siding to match. Remove existing fir flooring

Existing wood ceiling to remain, install wood on remaining ceiling to match.

Interior Trim: 1x4 casing on windows and doors, 1x6 baseboard. Basement Stairs: remove existing stairs and install new stairs. Bathroom: remove existing tub and tile surround and install new tub and tile sides.

Install new ceiling exhaust fan.

Pipes from upstairs bathroom encased in insulation

New kitchen installed- designed by KDM kitchens; City Bench custom countertop on breakfast bar

Antique Pine flooring installed in kitchen

2017:

Whole house window replacement, with custom manufactured 12x 12

Marvin energy star windows

2019: Garage updates:

James Lethbridge

Modern Home Builders

KDM Kitchens

City Bench

Chestnut

Woodworking and Antique

Flooring Co.

Modern Home Builders

Modern Home Builders

-

Replace interior collar ties

Replace all rakes and overhand and install new cedar trim

New soffits and overhang

Install exterior door with lock and deadbolt

Stone walkway to kitchen replaced

School building updates 2005-

2005:

- Flooring and carpet replaced

- New plumbing for second toilet in kids bathroom

- New plumbing for food prep sink

- New lighting in office

2007:

Countertops replaced

2012:

-raised existing 6” well 1’ and installed water tight well cap

2015:

- New propane furnace installed

- New bay window and one over one energy star window installed

2017:

New roof shingles and skylights installed

Chimney flashing replaced

New roofing vents

2021:

-New carpet

-Two new toilets installed

Paul’s Wall to Wall

Sima Drilling Company

-Power Fuels

Propane

-Modern Home

Modern Home Builders

Colonial Carpet

Connecticut State Department of Public Health

Educational Materials on Testing Recommendations for Private Wells and Semipublic Wells

Updated: September 2022

Testing your private well or semipublic well water provides you with information on the quality of your water and is the best way to ensure that your water supply is safe for use. It can also determine if nuisance contaminants, such as iron and manganese are present and at what levels. The following information is meant to assist owners of private wells or semipublic wells to decide what to test for and how often. These are general guidelines for private well water testing, which is not all inclusive.

Regular testing is important because water quality can change, and, routine testing establishes a record of water quality that may help identify and solve future problems. Owners with private wells and semipublic wells are responsible for the quality of their water and are generally not required to test. However, testing is a good idea even if you do not suspect a problem because it's the only way to be sure your water is safe to drink. It is highly recommended to test water quality when buying a home so that you can make informed decisions about your purchase. A good time of year to test is after a heavy period of rain, generally in the spring or fall.

What to Test For? How Frequently to Test?

Table 1 lists the tests recommended for all private wells even if you do not notice any problems with your water. Table 3 lists water quality issues you might encounter and what tests you should perform if you have a particular issue. Whenever you notice a change in the taste, color, odor, or clarity of your water, contact your Local Health Department or the Connecticut Department of Public Health (CT DPH), Private Well Program for assistance.

Table 1. Recommended Tests for All Private Wells

Test(s)

Basic Indicators (see

Table 2 below)

Lead (2 samples; rst draw & ushed samples should be collected when testing for lead)

Every Year

When?

Also any time there is repair work to the well, pump or water pipes, or if your well head was ooded.

Also when planning a pregnancy or have a child under the age of 6 in the home; or, if your water is considered corrosive, test every 3-5 years.

Why?

Provides a general indication of water quality. Required for all new wells. Some basic indicators above their acceptable limit are associated with health concerns

Lead can leach from your home’s plumbing (pipes, faucets, valves, etc.) system. Corrosive water leaches lead more readily. Lead above the acceptable limit is associated with health concerns Young children are especially susceptible to harmful eects from lead exposure

Report an accessibility issue.
At Least Once
CT.gov Home (/) Department of Public Health (/DPH) Private Well Testing (/DPH)

Arsenic, Uranium, Radon At Least Once Ideally, repeat test every 5 years

Volatile Organic Compounds (VOCs)

Fluoride

At Least Once More often if a problem is identied or suspected

Every 5 years when a child under 12 is present

Arsenic, uranium and radon are naturally occurring in groundwater in some areas of CT and are associated with health concerns above their acceptable limit Private wells with high levels have been found sporadically around CT, and levels may uctuate

Gasoline, oil, solvents or industrial chemicals spilled or leaked on the ground could get into your well water. VOCs above their acceptable limit are associated with health concerns

Fluoride can occur naturally in wells throughout CT A child’s permanent teeth can become discolored from excess uoride Too little uoride can increase risk of tooth decay Your child’s dentist may advise you about the uoride level in your well water.

Table 2. Basic Indicators Test

Parameter

Total Coliform Bacteria

Applicable Drinking Water Standard*

None Present

Nitrate 10 milligrams/liter (mg/L)

Nitrite 1 mg/L

Sodium 100 mg/L

Chloride 250 mg/L

Iron 0.3 mg/L

Manganese

0.05 mg/L (Based on Aesthetics) 0.3 mg/L (Based on Health Concerns)

Hardness

Range: 0-60= Soft; 61120= Mod Hard; 121-180= Hard; >181= Very Hard

Turbidity Less than 5 standard units (SU)

pH 6.5 - 8.5 SU

Sulfate 250 mg/L

Apparent Color Less than 15 SU

Odor Less than 2

Drinking Water Standards

CT DPH Action Levels (https://portal ct.gov/DPH/Environmental-Health/Environmental-and-Oc Assessment/Action-List-for-Drinking-Water)

US EPA Maximum Contaminant Levels (MCLs) (https://www.epa.gov/ground-water-and-drink primary-drinking-water-regulations#main-content)

US EPA Secondary MCLs (SMCLs) (https://www.epa.gov/dwstandardsregulations/secondary standards-guidance-nuisance-chemicals)

*Drinking water standards may be based on aesthetics or on associated health risk. If your water exceeds a drinking water standard, contact your Local Health Department or the CT DPH, Private Well Program for assistance. For more information on drinking water standards refer to the links above.

Table 3. Private Well Water Quality Issues and Recommended Associated Test (Troubleshooting)

Low pH (less than 6.5)

Buildup of limescale (o-white chalky solids) on hot water plumbing, xtures, kettles, etc. Reduced soap lathering

Blue or greenish stains on plumbing, xtures or laundry. Plumbing leaks and pin hole leaks.

Rust-colored water, rust stains on clothing and plumbing xtures, rust coating in toilet tank, foul odor

Yellow, brown or blackish stains on plumbing xtures, yellow or brown staining to laundry

Rotten egg odor, musty or swampy odor, tarnished copper and silverware

Cloudy, Turbid, Muddy Water

Chemical, fuel or fruity odor

Generally naturally occurring

Hardness is caused by the amount of dissolved mineral content in water, generally made up of calcium and magnesium.

Corrosive water (may be inuenced by: pH, hardness level, alkalinity, chloride level, dissimilar metals in plumbing, etc.)

Iron, Manganese, Iron Bacteria

Manganese, Iron/Manganese Bacteria, Sulfur Bacteria

Hydrogen sulde gas, high sulfates, sulfur bacteria, iron/manganese bacteria

Silt, Sediment, microorganisms

Leaking underground fuel tank, gas station fuel spill, industrial chemical spill, road runo

Nitrates exceed 10 mg/L Nitrites exceed 1 mg/L Fertilizer runo, malfunctioning septic system

Radon in air exceeds 4 pCi/L, or, Uranium in water exceeds 30 ug/L

Recurrent gastrointestinal illness

Bitter, metallic taste

Salty, brackish taste

Well within 1/4 mile of current or former orchard or farmland

Well within 1/4 mile of commercial or industrial area

Well ooding, ponding around well

Naturally-occurring uranium in bedrock

Human or animal waste contaminating well, cracked well casing, ooded well, malfunctioning septic system

Corrosive (low pH) water

Road salt runo, nearby salt storage, well near salt water, improper setting on water softener

Agricultural and/or arsenic-based pesticides get into well

Gasoline, oil, solvents leaked or spilled on the ground get into well

Heavy rains, poor drainage around well

House foundation treated for termites before 1990 Termite pesticides can leach into well water

Noticeable change in taste, color, odor, or clarity of your water.

Unknown

Hardness, Alkalinity, Sulfate, Lead, Copper, Cadmium, Zinc

Hardness

pH, Hardness, Alkalinity, Sulfate, Chloride, Sodium, Lead, Copper, Cadmium, Zinc

Iron, Manganese, Iron Bacteria

Manganese, Iron, Iron/Manganese Bacteria

Odor, Hydrogen Sulde, Sulfate, Iron Bacteria, Iron, Manganese, Sulfur Bacteria, Coliform Bacteria

Turbidity, Coliform Bacteria, Check Well Construction with an expert

Volatile Organic Compounds (VOCs)

Pesticides* (refer to note below regarding testing for pesticides), Coliform Bacteria

Uranium, Radium, Radon

Coliform Bacteria, Nitrates, Nitrites

pH, Lead, Copper

Chloride, Sodium, Total Dissolved Solids

Nitrates, Arsenic, Pesticides* (ask for EPA Method 505)

Volatile Organic Compounds (VOCs)

Coliform Bacteria, Basic Indicators

Pesticides* dieldrin and chlordane

Contact your local health department or

CT DPH Private Well Program

Water Quality Issue Possible Cause(s) Recommended Water Test(s)

Program for advice regarding whether you should additionally test for pesticides

Private Water Supplies

In accordance with Section 19-13-B101 of the Public Health Code, testing is required for new wells. However, the required tests do not cover all contaminants. Water tests done during home purchases are usually required by the bank providing the mortgage. Contrary to common belief, such tests are not required by law and do not necessarily cover all contaminants.

Because this publication provides general guidelines that are not all inclusive it may be recommended to check with your Local Health Department to nd out whether there are water quality problems specic to your area. It is also a good idea to ask your neighbors whether they have had water quality problems. The Connecticut Department of Public Health (DPH) Private Well Program is another resource for questions about private well testing. DPH’s Environmental and Occupational Health Assessment Program is a resource for questions about safe limits of chemicals in water and health concerns. Contact information is provided at the end of this document.

What If I Already Have A Treatment System In My Home?

If you have water treatment equipment in your home, you should monitor whether the treatment system is doing its job by testing for the specic contaminant(s) that the system is treating for. Be aware that water treatment systems are designed for specic contaminants and will not necessarily remove all contaminants. Periodically test your water quality before and after treatment to be sure the system is continuing to work properly and to monitor any uctuation in your raw water quality. Refer to Publication #19: Questions to Ask When Purchasing Water Treatment Equipment for Your Home for more information about treatment.

How Do I Get My Water Tested?

You can have your water tested at any State-certied water testing lab. A current list of certied labs can be obtained from the DPH Certied Environmental Labs (https://portal.ct.gov/DPH/Environmental-Health/Environmental-LaboratoryCertication/Environmental-Laboratory-Certication) website. Make sure the private lab is certied to test drinking water for the contaminants you are requesting. In most cases, you can collect a sample of your tap water yourself, although some labs may send a technician to collect a sample at your request. If you collect your own sample, carefully follow the laboratory's instructions to obtain a good sample. How to take a sample varies depending on the tests being performed. For example, some contaminants such as lead and copper may require that water remain stagnant in the pipes for a minimum of 6 hours and be collected upon the rst draw of water. Other contaminants require that the water be ushed or run for a minimum period of time before collecting the sample. Some contaminants require special sample bottles and procedures. Cleanliness is a must; make sure that nothing but the water comes in contact with the opening of the bottle or the inside of the cap. Timeliness is important, too. Some contaminants deteriorate or change form with time. Most water samples need to be kept cool when being taken to the lab. To assure accurate results, after collecting your water samples make certain the lab receives them within the specied time directed on the instructions.

Keep Records

Keep a record of all your water test results with dates. A change in the concentration of a contaminant may indicate that a water quality problem is developing. Additionally, by comparing test results over time, you may nd that a change in treatment is necessary or that a treatment device is not functioning properly.

Understanding Your Water Test Results

There are federal and state criteria for many of the substances that you might nd in your private well water. These criteria indicate the concentrations above which your water might not be safe to consume or use, or, might have an aesthetic aect on your water such as

of
Environmental
DPH
*Contact your Local Health Department, CT Dept.
Energy and
Protection, or CT
Private Well

imparting a taste, odor or color.

DPH sets state drinking water criteria specically for private wells, called Action Levels. Action levels are developed to protect you from health risks. Federal drinking water criteria to protect your health are set by the US Environmental Protection Agency (EPA) and are called Maximum Contaminant Levels (MCLs). You should compare the results of your private well tests to these criteria to determine whether the water is safe. If any of your water quality test results are higher than an Action Level or an MCL, you should:

Retest the water to conrm the exceedance

Stop drinking the water until the issue is resolved

Contact your Local Health Department or the CT DPH, Private Well Program for specic guidance

Consider installing treatment to remove the contaminant(s) from your water: refer to DPH's Private Well Water Treatment: How to Get Started and Helpful Resources (https://portal.ct.gov/-/media/Departments-andAgencies/DPH/dph/environmental_health/private_wells/2018-Downloads/061218-PWTreatment-How-to-Get-Started-HelpfulResources.pdf?la=en&hash=5CB050FE7943F07D9A76F5DAF30D677C) for more information about treatment

Refer to CT DPH’s Chemical Contaminants in Private Wells (https://portal.ct.gov/-/media/Departments-andAgencies/DPH/dph/environmental_health/eoha/Groundwater_well_contamination/080715ChemContaminPWpdf.pdf? la=en&hash=779CDEFCC5BD22457B636009F9767660) fact sheet for more information on how drinking water criteria are set.

EPA also sets drinking water criteria to protect you from aesthetic concerns such as taste, color and odor. These criteria are called Secondary Maximum Contaminant Levels (https://www.epa.gov/dwstandardsregulations/secondary-drinking-water-standardsguidance-nuisance-chemicals) (SMCLs). Secondary contaminants themselves do not necessarily present a health risk but could be an indication that your water has problems that may pose a health risk. For example, if the pH of your water is too low it may cause your water to be corrosive. Corrosive water can leach metals like lead and copper more readily from pipes and xtures. High levels of lead in your water does pose a health risk, particularly for young children.

Results of a Basic Indicators Test should be compared with the appropriate limits shown in Table 2 in this fact sheet. However, be aware that some of the parameters in the Basic Indicators Test are based on aesthetic concerns and some are based on health risk. If your water tests results exceed any of the limits on the Basic Indicators Test, contact your Local Health Department (https://portal.ct.gov/DPH/Local-Health-Admin/LHA/Local-Health-Administration---Site-Map) or the DPH, Private Well Program (https://portal.ct.gov/DPH/Environmental-Health/Private-Well-Water-Program/Private-Wells) for advice regarding whether you should stop drinking the water.

Protect Your Well!

You can help protect your private well water quality by paying careful attention to what you do around your well. Pay attention to nearby neighboring activities as well. Regular testing and good practices to prevent contamination can help ensure that your well supplies you and your family with good quality drinking water. Here are some important ways you can protect your drinking water well:

Locate new wells far from any potential contamination sources

Hire a professional to construct new wells or to periodically inspect existing wells

Use backow prevention devices on outdoor hose bibb spigots

Properly seal abandoned and unused wells

Never ush gasoline, oils, chemicals, or solvents down the sink or toilet to a septic system

Inspect and properly maintain your septic system

Keep livestock and pet waste away from your well

Do not allow surface wash, especially from road, driveway or roof runo to collect around your well

Do not mix or use fuels or other hazardous materials near your well

Do not use or over apply products used to melt snow and ice, fertilizers, pesticides and herbicides near your well

Do not allow waste oils or gasoline to get into soil (never perform automotive repair on exposed soils)

Make sure home heating tanks are above ground or in basement, and periodically check for leaking

Test your private well water according to the recommendations listed in this publication

Refer to Private Wells: Best Management Practice Checklist (https://portal.ct.gov/-/media/Departments-andAgencies/DPH/dph/environmental_health/private_wells/Publications/BMPschecklistpwwatersystems619.pdf? la=en&hash=22803DA7B0FAC57C5786C49858269DDE) for more information

For More Information

CT Department of Public Health:

Private Well Program (https://portal.ct.gov/DPH/Environmental-Health/Private-Well-Water-Program/Private-Wells): (860) 5098401

Environmental & Occupational Health Assessment Program (https://portal.ct.gov/DPH/Environmental-Health/Environmentaland-Occupational-Health-Assessment/Groundwater-and-Well-Contamination): (860) 509-7740

Your CT Local Health Department (https://portal.ct.gov/DPH/Local-Health-Admin/LHA/Local-Health-Administration---Site-Map)

CT Department of Energy & Environmental Protection:

Remediation Division (https://www.ct.gov/deep/cwp/view.asp?a=2715&q=324994&deepNav_GID=1626) (for man-made contamination): (860) 424-3705

For more information regarding specic private well water contaminants, water treatment technologies and guidance, please refer to the CT DPH, Private Well Program: Publications and Fact Sheets (https://portal.ct.gov/DPH/Environmental-Health/Private-WellWater-Program/Publications-and-Fact-Sheets) page.

Turn static files into dynamic content formats.

Create a flipbook
Issuu converts static files into: digital portfolios, online yearbooks, online catalogs, digital photo albums and more. Sign up and create your flipbook.
660 Boulder Road, Cheshire - Historic Home For Sale by Kathy Bauer - Issuu