Circuitos Magnéticamente Acoplados

Page 1

CIRCUITOS ACOPLADOS MAGNÉTICAMENTE

12 de Junio 2023

Revista: JS

San Cristóbal - Estado Táchira

Redactor: Julio Cesar Salas Betancourt

I N G E N I E R Í A

E L É C T R I C A

CIRCUITOS ACOPLADOS MAGNÉTICAMENTE

Las Redes Eléctricas con Fundamentos del Electromagnetismo como principios para entender el suministro de Energía Eléctrica en las ciudades.

Índice. Editorial JS: "Educando a la Sociedad" © Línea Editorial...................................................................................................3 Introducción 4 Ley de Faraday y Lenz 5 Acoplamiento Magnético 6 Inductancias en el Acoplamiento............................................................ 7 Regla de los Puntos.........................................................................................8 Transformadores ...........................................................................................9 Conclusiones 10 Referencias Bibliográficas 11

LINEA EDITORIAL.

EDITORIAL JS

Principios de La Editorial

Fomentar el Criterio Propio. Optimizar el Proceso Aprendizaje, para Aficionados y Estudiantes de Ingeniería.

Traducir en la Ingeniería en el Lenguaje más Simple Posible.

Englobar cada conocimiento relevante, y llevarlos a la realidad.

Interpretar lo que demuestran las fórmulas, traducirlas en palabra y utilizar la notación matemática necesaria.

Todas las personas pueden expandir su mente e interpretar todos los puntos de vista posibles, para que se pueda fomentar un intercambio de ideas; con base a eso la persona puede entender a la manera que se considere más apropiada según la persona.

Editorial JS: "Educando a la Sociedad" © 3

Nikola Tesla con su capacidad de aprendizaje y sus experimentos concluyó que la electricidad aún es un fenomeno. Damián Pedraza, el "Traductor de la Ingeniería" es la inspiración de estos Principios.

CIRCUITOS ACOPLADOS MAGNÉTICAMENTE.

INTRODUCCIÓN

Desde que se comenzó a asociar la electricidad con el magnetismo, se ha ampliado el conocimiento en experimentos y el comportamiento de la energía eléctrica Desde un experimento de líneas magnéticas visibles, la inducción electromagnética, su uso como almacenamiento de energía de manera temporal en circuitos, hasta el suministro de la energía eléctrica en la mayor parte del mundo y como se manipula para que sea lo suficientemente eficiente, abarcando toda una región, entregar el voltaje más estable posible para su consumo según la categoría de cada edificación.

Editorial JS: "Educando a la Sociedad" © 4

LEY DE FARADAY Y LENZ.

LEY DE INDUCCIÓN DE FARADAY

Esta ley explica la inducción electromagnética Ésta nos dice que cuando un campo magnético pasa por dentro de una bobina, induce una fuerza electromotriz gracias a las interacciones de las líneas del campo magnético (Flujo Magnético) con el número de espiras, cuyas interacciones varían con el tiempo.

Esta Ley también se puede demostrar que al inducir una FEM con una batería a una bobina enrollada en un material ferroso, el material obtiene campo magnético. La fuerza de este campo depende de la magnitud de la FEM.

LEY DE LENZ

Esta ley parte de la Ley de Inducción de Faraday, en la cual explica la dirección de la corriente inducida por el campo magnético

Cuando se introduce el campo magnético a la bobina, la corriente generada a su vez genera un campo magnético que se opone a el acercamiento del imán generando un sentido de la corriente. Si se retira el imán el procedimiento ocurre al revés, la corriente ahora genera un campo eléctrico que se opone al alejamiento del imán invirtiendo el sentido de la corriente

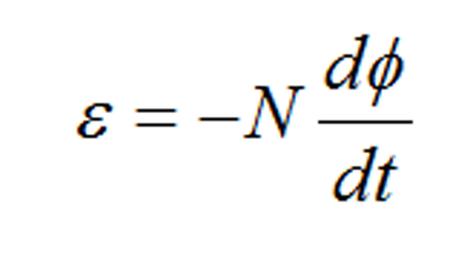
En la formula se ve reflejada las dos leyes, la ley de Faraday que dice que la magnitud de la FEM depende del número de espiras (N) directamente proporcional al cambio del flujo magnético (dϕ/dt). Y la ley de Lenz en el signo negativo (-) que indica que el efecto de inducción siempre se va a oponer a la causa que lo provoca.

Editorial JS: "Educando a la Sociedad" ©

5
Aquí se representa el paso del imán por la bobina y como se genera el flujo eléctrico Aqui se representa la bobina en el material ferroso Aqui se expresa de manera grafica lo que ocurre en el proceso de induccion. Formula del voltaje por inducción magnética

ACOPLAMIENTO MAGNÉTICO.

ACOPLAMIENTO MAGNÉTICO

Es cuando una corriente alterna o corriente variable en el tiempo que pasa por una bobina, que por consecuencia de su campo magnético variable, produce una diferencia de potencial con otras bobinas del circuito, aún si las mallas no tienen contacto. Esto se aplica en circuitos como en los transformadores que suministran electricidad a una ciudad, en los cargadores de los teléfonos celulares, entre otros Este se explica por medio de la ley de Faraday, y es perfecto para entender cómo se puede regular el voltaje

COEFICIENTES MAGNÉTICOS

Para el acoplamiento magnético existen dos coeficientes el coeficiente de acoplamiento magnético y el de permeabilidad magnético.

El coeficiente de acoplamiento indica lo estrecho o lo holgado que esté el acoplado magnético, partiendo de 0 (no existe acoplamiento) hasta 1 (acoplamiento perfecto)

Por otro lado, el coeficiente de permeabilidad indica que tanto afecta y puede ser afectado el material del núcleo de una bobina por campos magnéticos a su vez también de la capacidad de crearlo sin necesidad de una corriente externa

Esto quiere decir que la intensidad de la corriente, el número de espiras, la longitud de la bobina y el núcleo son cruciales para determinar entender los comportamientos del flujo magnético, y la diferencia de potencial de los circuitos acoplados magnéticamente

Aquí se expresa de manera grafica el nivel de permeabilidad eléctrica de cada material con su respectivo nombre, donde μ0 es en el vacío

Editorial JS: "Educando a la Sociedad" ©

6
En las subestaciones de distribución de energía eléctrica reducen el voltaje a través de los maquinas eléctricas que utilizan este principio Este transformador utiliza un nucleo de hierro y silicio que posee una permeabilidad alta.

INDUCTANCIAS EN EL ACOPLAMIENTO.

AUTOINDUCTANCIA

Cuando en un inductor ocurre cualquier flujo de corriente eléctrica, este movimiento, hasta su estabilización generara un campo magnético. Es decir, que en el momento en el que la bobina se esté cargando o descargando hasta su totalidad, este movimiento de electrones genera un campo magnético cambiante con respecto a la intensidad de la corriente que afecta en el período de movimiento de los electrones

De esta manera las líneas de flujo magnético se desplazan hacia el centro de la bobina generando una pequeña intensidad de corriente; todo esto por medio de la ley de Faraday y Lenz Por esto, los inductores no asimilan de una vez un cambio abrupto en los circuitos

INDUCCIÓN MUTUA

Ocurre cuando 2 inductores tienen cierta proximidad estrecha entre si, y uno de ellos está energizado, el flujo magnético variable del inductor energizado afectará a la bobina generando una diferencia de potencial en sentido opuesto. Ocurre del mismo modo si ambos elementos están autoinducidos.

Teniendo en cuenta esto las fórmulas aplicadas serían las siguientes:

Para el valor de la Autoinductancia va a depender del número de espiras de la bobina y del flujo magnético variable con respecto a la intensidad de corriente.

AquÍ se puede observar como se comporta un inductor al sufrir una desconexión abrupta.

Grafica del circuito de inducción mutua.

Para este circuito se aplicaría esta formula:

En este caso M sería la impedancia mutua de la bobina 2 con respecto a la bobina 1.

Editorial JS: "Educando a la Sociedad" © 7

REGLA DE LOS PUNTOS.

CORRIENTE NATURAL. TERMINALES CORRESPONDIENTES.

El flujo de la corriente puede cambiar su polaridad, sin embargo, según la estructura que tenga puede tener exactamente la misma dirección natural, esto es debido a la convención de los puntos.

Ésta se define según la dirección de la corriente, la polaridad del voltaje y la convención de los puntos En un circuito acoplado magnéticamente, ésta polarización va a depender de como pase la corriente por allí, si la corriente entra al punto, el voltaje es positivo, si sale es negativo.

REGLA DE LOS PUNTOS.

La regla de los puntos explica la el comportamiento de los sentidos de la corriente y la polarización del voltaje cuando comparten un material ferro magnético.

Establece que si el circuito magnéticamente acoplado cuyo flujo magnético en el material ferro magnético, aumenta entonces sus voltajes se suman y si disminuye el flujo magnético se restan sus voltajes

Editorial JS: "Educando a la Sociedad" © 8

Cuando el voltaje es Positivo, los terminales punteados están alineados Cuando su voltaje es negativo, los terminales punteados se ubican en extremos diferentes. Este tipo de transformador tiene la función de reducir aproximadamente 13400 voltios incluso hasta 110 voltios

TRANSFORMADORES.

MODELOS DEL TRANSFORMADOR IDEAL.

Como con cualquier dispositivo ideal, el transformador ideal no desprende energía, y arrojando los números exactos por medio de los procesos matemáticos. La polaridad de el voltaje de la bobina 1 se debe ver reflejado en la bobina con polaridad invertida, cuyo valor dependerá del número de vueltas de la bobina, se puede decir, que si se tiene 3 veces el número de vueltas de la bobina 1 el voltaje será 3 veces mayor

MODELOS DEL TRANSFORMADOR REAL.

A diferencia del transformador ideal, se pueden presentar caídas de voltajes en la diferencia de potencial de los 2 embobinados, debido de la disipación de la corriente eléctrica debido a la impedancia y resistencia que posee, tanto la bobina como el cable del material conductor. A demás de ello, va a depender también del núcleo de hierro y su permeabilidad magnética, el material del aislante, el consumo, y la fuente que origina el voltaje inicial

Editorial JS: "Educando a la Sociedad" ©

9
Características específicas de un Transformador ideal. Características de un Transformador ideal real

CIRCUITOS ACOPLADOS MAGNÉTICAMENTE.

CONCLUSIONES

Los procesos matemáticos aplicado en los circuitos magnéticos y en las leyes que se basan explican hacia donde tendería los valores en el circuito real sin ser afectado por factores como el efecto joule. A demás, por la incertidumbre en los instrumentos de medición no siempre se arrojará un valor exacto hacia los circuitos, sino uno aproximado, incluso tanto como en la fuente de energía eléctrica, como en su transmisión presentará una pérdida de energía debido a este mismo efecto joule, y el generador de la fuente, en especial, por corriente alterna en una turbina, puede desprender energía en forma de sonido y vibración. De esta manera se puede decir que en la mayoría de máquinas eléctricas pueden representar una gran utilidad, en especial el transformador, ya que puede actuar como un sistema de control de voltaje a través de un campo magnético.

Editorial JS: "Educando a la Sociedad" © 10

Referencias Bibliográficas.

Les Ingenieurs (2022) Ley de Faraday y de Lenz Youtube Disponible en: https://www youtube com/watch?v=BO8IdReQeDw Consultado 2023, Junio 12

Espiral Ciencias (2019). Ley de Ampere. Youtube. Disponible

https://www.youtube.com/watch?v= l4MvhTjR04&t=166s Consultado 2023, Junio 12.

Charles, A y Matthew, S (2006) Fundamentos de Circuitos Eléctricos. Mexico: Mc Graw Hill Consultado 2023, Junio 12

Mederos, J. (2022). Permeabilidad. Youtube. Disponible en: https://www.youtube.com/watch? v=PtXbnTpsix0 , Consultado 2023, Junio 12.

Wikipedia (2022) Acoplamiento Magnético Wikipedia. Disponible en: https://es wikipedia org/wiki/Acoplamiento magn%C3%A9tico, Consultado 2023, Junio 12

Wikipedia (2023). Inductancia. Wikipedia. Disponible en: https://es.wikipedia.org/wiki/Inductancia, Consultado 2023, Junio 13.

Wikipedia (2023) Convención del Punto Wikipedia. Disponible en: https://es wikipedia org/wiki/Convenci%C3%B3n del punto, Consultado 2023, Junio 13

Administrador (s/f). Transformador ideal (Transformador Eléctrico Ideal). Electrónica Union. Disponible en: https://unicrom.com/transformador-ideal/ , Consultado 2023, Junio 13.

Elorduy, G (s/f) Transformadores: Elevadores y Reductores de tensión El Universo Matemático. Disponible en: https://eluniversomatematicoblog wordpress com/2017/12/09/transformadores-elevadores-yreductores-de-tension/ Consultado 2023, Junio 13.

Electrónica Práctica Paso a Paso (2015). La Autoinducción: Demostración y Explicación. Youtube. Disponible en: https://eluniversomatematicoblog wordpress com/2017/12/09/transformadoreselevadores-y-reductores-de-tension/ Consultado 2023, Junio 13

Iturbe, M. (2020) ¿Qué es el Efecto Joule?. Calor y Frio. Disponible en: https://www.caloryfrio.com/calefaccion/que-es-el-efecto-joule-aplicaciones-paracalefaccion.html#:~:text=El%20efecto%20Joule%20es%20un,material%20por%20el%20que%20cir culan Consultado 2023, Junio 13

Editorial
Sociedad"
11
JS: "Educando a la
©

Turn static files into dynamic content formats.

Create a flipbook
Issuu converts static files into: digital portfolios, online yearbooks, online catalogs, digital photo albums and more. Sign up and create your flipbook.
Circuitos Magnéticamente Acoplados by juliosalasuba - Issuu