

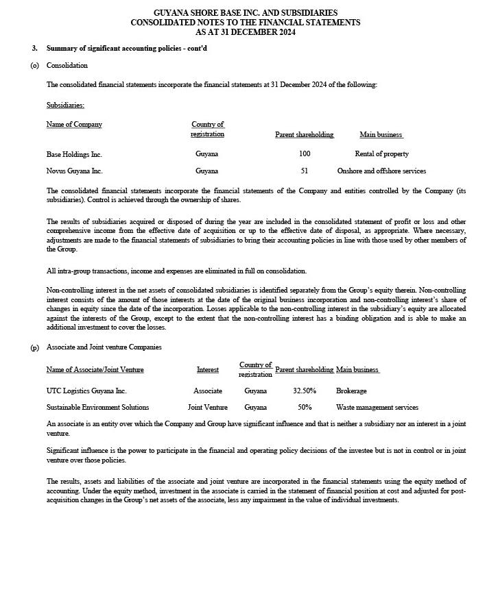
![]()



22,428 Training Hours 724
Full-Time Employees 96% Local 1,685 LTI Free Days
1.4 MILLION Man Hours In 2024 LTI Free
530 Vendors Engaged 1,708 Vessels Serviced 43,374 Total Lifts 262,470 MT of Cargo Moved
6 MILLION Man Hours, Project to Date



At GYSBI, our shared focus on safety remains a key factor in maintaining a healthy workplace and managing risks effectively. By working together to integrate new safety technologies, conducting proactive risk assessments, and fostering a culture of continuous improvement, we have made important progress in 2024

Key Safety Achievements
• 1,685 LTI-Free Days – Reflecting effective risk identification and safety controls.
• Total Recordable Incident Rate (TRIR) Maintained –GYSBI is proud to represent an industry leading TRIR of 0.138. Despite increased operations, our maintained TRIR demonstrates the effectiveness of the company’s management system and commitment to safety through the implementation of safeguards aimed at reducing injury potential.
• Kelvin TOP-SET Implementation – Over 100 employees trained in advanced incident investigation techniques.
• Maintained Certification – GYSBI maintains it’s ISO 9001:2015, ISO 45001:2018, and ISPS Compliance Certification.
• Workforce Training & Development – GYSBI continues to engage in structured onboarding, OPITO certified emergency response training and skill building programs in efforts to bolster competency across the workforce.
• Technology-Driven Safety Initiatives – Through the use of our Digital platform (GOArc) we continue to streamline and improve efficiency in permit to work and SIMOPS management, real time tracking of safety metrics and improved HSE equipment inspection systems.
• Recognition & Rewards Program – Encouraging safety engagement through initiatives like the “Finish Strong” campaign and Employee of the Year awards.




GYSBI has invested over 11,000 hours in “Safe Choice” and “Human Performance Fluency” training. This effort led to the launch of a coaching initiative combining classroom and on-the-job learning to standardize work practices and enhance safety culture.
The investment made by the GYSBI team into the HP and SC programs continues to pay dividends across the operation driving a demonstrable improvement in the overall Safety culture of the organization.

• Management Walkthroughs (Gatorade Runs) –Strengthening leadership visibility and direct worker engagement.


• After-Action Reviews (AARs) – Reintroduced to capture best practices and lessons learned for continuous improvement. Through interactive sessions we have improved red zone management, procured more tethered tools for working at heights, updated utility drawings of our facility, increased frequency of in-field verification and validation of safeguards, developed videos to addressed inconsistencies in technique for safe unhooking of loads, aligned supervision with human performance centered approaches, regulated the reinstating of work following planned and unplanned breaks, addressed inaccuracies with cargo manifesting and procured additional hands-free lifting tools.
• Video Education Series – Providing concise, visual training on critical safety topics. The videos are short and clearly break down information visually and verbally. To date, approximately 46 videos have been produced on YouTube.
• Safe Start Checklists – GYSBI’s Start Work Checks, adopted directly from IOGP, are pre-task assessments ensuring safety, readiness, and efficiency.
• WhatsApp Channel – This platform facilitates realtime updates and direct engagement with our team, ensuring smooth communication regarding staff opportunities.
• Annual QHSSE Publication – The 2024 edition of GYSBI’s Annual QHSSE publication highlighted key developments such as staff career advancements, incident trend analyses, human performance enhancements, sustainability initiatives, security leadership insights, 2025 objectives, and our latest safety initiatives.


What a year of operational advancement GYSBI experienced in 2024: operations lifted more metric tons of cargo, increased the LTI free days record of 2023, whilst servicing the needs of more than 1,708 vessel arrivals up by over 100 more in 2023.
The operational focus in the year was dynamic, dominated with changing and flexible vessel movements and berth allocations. The Marine fleet was serviced and supported more this year with repairs and more complex workflows: either in cargo management or onboarding goods and supplies. GYSBI is incredibly proud of its quayside personnel, maintenance, warehouse and yard handlers because despite more complex handling scenarios and double handling involved in berth allocation changes, the men and women of GYSBI rose to the challenge: people and machinery performed. And without incident.
Quayside teams worked diligently with Project vessels to optimize differing working procedures to optimize time on berth – some of this was successful however in some circumstances identified variations in working practices unduly affected operational timelines. The teams worked collaboratively to address the observations to optimize the overall operational efficiency of vessels, machinery and service personnel.
Of note is the evolution of GYSBI operational control and command. Having identified improvement opportunities with cargo verification, GYSBI pushed further upstream into the vendors compliance responsibilities to ensure that vendors were not neglecting their responsibilities and obligations to perform necessary checks, balances and inspections. Upholding GYSBI standards means all on quayside work
to the same understanding of standards. Meeting the standard is the minimum requirement.
GYSBI’s pre-shipping checks evolved into compliance inspections and drew the attention of our major client who then supported in full. In collaboration with the client, a larger forum was established, allowing GYSBI to share observations with the Wells Alliance team. Vendor oversight and vendor management became an operational priority to reduce risk from non-compliant materials.

GYSBI’s lifting expertise in the SLC team provided a continual focus on lifting standards and aided and grew vendor accountability and responsibility. Reflecting on the year, a busy year, the strong and open lines of communications with the major client, both in Operations and Marine, has played a pivotal role in integrating and aligning operational readiness.
GYSBI continues to grow and strive to produce operational excellence in all operational crews, improving and solidifying learnings into competency. This, combined with safe working practices, and a will and strength to work hard, sets GYSBI Operations in a position of strength going into 2025.


Total Number of Vessel Visits
2024 – 1709 Vessels Berthed
2023 – 1678 Vessels Berthed
2022 – 1305 Vessels Berthed
Total Lifts
2024 – 52,489 Lifts
2023 – 49,919 Lifts
2022 – 39,925 Lifts
Total Tonnage
2024 – 262,470 Metric Tonne
2023 – 244,079 Metric Tonne
2022 – 207,967 Metric Tonne


Over the past year, our team has successfully provided critical support services to Saipem, including transportation, equipment rental, open storage, warehousing, material handling, and vessel loading/ unloading at GYSBI Shorebase Berth 4.
These services have been essential in ensuring efficient logistics and operations, particularly at Plot 7 and GYSBI Shorebase Berth 4. GYSBI has consistently delivered an average of 6,000 sqm of open storage, 1,000 sqm of warehousing, over 4,000 transportation hours, and more than 16,300 man-hours — all with zero incidents. This impressive safety record includes handling and transporting pipes, jumper kits, reels, octabins, connectors, and other vital cargo for Saipem’s offshore operations.
In 2024, GYSBI expanded its presence to VEHSI facilities, providing transportation and equipment rental services, including forklifts, lighting towers, man lifts, and transport vehicles. This expansion was made possible through GYSBI’s integrated logistics system.
Our services have been integral to Saipem’s operations, ensuring seamless logistics, storage, and equipment support. We remain dedicated to delivering highquality services and look forward to strengthening our partnership in the coming year.



In 2024, GYSBI projects completed works on LNCH4 portion of Gas to Energy projects works that were begun initially in 2022 with EMGL.

NOTABLE HIGHLIGHTS FROM THE PROJECT:
• 522 LTI free days through day and night shift operations
• 76M USD in Revenue over the duration of the contract
• More than 200 employees with 97% Guyanese
• Delivery and placement of over 1.2M cubic meters of sand





G-City is GYSBI’s newest facility, spanning approximately 29 acres and further subdivided into 7 plots. The majority of the property has been developed, with the final two plots slated for development over the next year.

Currently under construction at the G city location is G stores 2, a 5,500 sqm warehouse on a 3 Acre sub plot. GYSBI anticipates attracting multiple mid-sized clients for long term leasing opportunities in this facility. Construction is estimated to complete in Q3-Q4 of 2025.
The speculative purchase and development represented by this project demonstrates a significant
investment by GYSBI which further reinforces the continued commitment by shareholders to develop and grow the business to support the dynamic requirements of the Oil and Gas Sector in Guyana.



Seven Seas Guyana Inc is a 51% GYSBI owned Joint Venture with Columbian company Seven Seas Energy. The joint venture has already been awarded multiple contracts and is currently pursuing other major opportunities as it seeks to expand the GYSBI footprint into the CCU market.
By combining the local expertise of GYSBI with the global expertise of our JV partner, SSGI aims to deliver industry leading supply chain solutions tailored to Guyana’s blossoming oil and gas landscape.


UTC Logistics Guyana Inc. has established itself as a strategic partner to GYSBI, leveraging its position as one of only three global forwarders with a Local Content certificate and Global Master Service Agreements with ExxonMobil and major oil service companies. Our partnership delivers significant value through our integrated logistics approach, connecting GYSBI’s shore base operations with global supply chains.
Our extensive global support network spanning North America, Europe, and Latin America enables us to offer GYSBI clients seamless international logistics solutions. UTC-G now in its 3rd year of operation continues to reinforce its position in the market and is well poised for further growth and development in this sector.

SES is a 50-50 Joint Venture company between GYSBI and Gaico-Corena Ltd. Formed in 2020, SES contracted with EMGL for a 10 year Waste Management Services Contract and further expanded that scope in 2023 with Tank Cleaning Activities.


Our work supporting LNDCH4’s construction on the Gas-to-Energy (GTE) project has been a significant achievement for GYSBI. We have been contracted to provide integrated logistics services for all heavy cargo related to the GTE project. These services include customs brokerage, cargo transport, and storage at both the GYSBI Plot 7 site and within G-City, along with material handling.
GYSBI has played a vital role in helping LNDCH4 meet manufacturer storage conditions. To accommodate this, we have provided covered storage options using warehouses and fabric tents erected in G-City. GYSBI’s ability to connect the East and West Banks of the Demerara River has been instrumental—not only in securing this contract but also in ensuring the efficient and safe transfer of materials.
To date GYSBI has facilitated LND CH4 with:
• Offloading 8 commercial vessels
• Provision of over 12,000 sqm of open storage
• Provision of 4,000 sqm of warehousing
• Over 700 hours of material handling
• 160 trips to gas to energy

GYSBI anticipates the further arrival of more key components for the power plant.
• Inbound movement of Steam Turb Generators
• Inbound movement of Scrapper tanks
• Outbound movement of Control room
• Inbound Movement of Bullet tanks
• Inbound movement of HRSG
• Movement from GYSBI to site of Miscellaneous cargo as well as heavy cargo


As the project resumes on the West Bank of the Demerara River, GYSBI will begin transferring cargo from its storage locations at Plot 7 and G-City to the project site. These operations will involve materials handling, transportation, port operations, barging, and positioning the cargo at designated on-site locations. Being entrusted with this responsibility is a testament to how significantly GYSBI’s logistics capabilities have grown over the past 24 months.


GYSBI reformed its Corporate Social Responsibility umbrella to include initiatives that are designed to be sustainable, tangible, transformative and capable of building the capacity of our target audiences. In 2024, GYSBI piloted several milestone initiatives, which yielded positive coverage in the local, regional and international spheres. They are as follows:
1. The GYSBI Technical Scholarship
Launched and piloted in 2023, this initiative was designed to provide essential support to students pursuing studies at Technical Institutes across the country. A total of 22 students from nine (9) regions have benefited from this program and are currently enrolled at Technical Institutes in Essequibo, Georgetown, Leonora, Linden, and New Amsterdam.
2. Adoption of the Joshua’s House Children Centre
In 2024, GYBSI renewed its Memorandum of Understanding with the Office of the First Lady for the adoption of the Joshua’s House Children Centre. The company covers:
• Electricity
• Telephone charges
• Drinking Water
• Cooking Gas
• Internet
• Salaries
• Miscellaneous
3. Quarterly Blood Drives
In 2024, GYSBI facilitated the donation of a total of 153 units of blood, marking a significant increase in staff participation compared to 90 units in 2023. At GYSBI, we have implemented several initiatives to boost staff participation and morale. It’s inspiring to see our team actively engage in and benefit from these efforts.
4. GYSBI Supported Guyana Fire Service’s Month of Activities
Guyana Fire Service (GFS), a long-standing and valued partner of GYSBI, celebrated its 50th anniversary in 2024. Marking this significant milestone, the GFS organized a month-long series of fire prevention activities spanning all ten administrative regions of Guyana. GYSBI contributed to these efforts through a monetary donation, demonstrating our continued commitment to community safety and well-being.


GYSBI was proud to support the Buxton United Football Club’s initiative to host a Football Camp for schoolaged children. This not-for-profit club, affiliated with the Guyana Football Federation (GFF), provides a positive outlet for youths in Buxton and Friendship Village, offering them an opportunity to engage in sports and avoid deviant behaviors in those vulnerable communities.
GYSBI also sponsored our very own Teemahall Lall, a Crane Operator, to participate in the 6th Annual Caribbean Development Archery Championship in Ocho Rios, Jamaica. During the competition, Teemahall clinched the Gold Medal in the Barebow Developmental Mixed Teams category and secured a Silver Medal in the Barebow Developmental Senior Male category.

Guyana Shore Base Inc. (GYSBI) Consolidated Financial Statements
2024 was independently assessed for the preparation and fair presentation in accordance with International Financial Reporting Standards (IFRS) and concluded with an opinion of true and fair view, in all material aspects. GYSBI Financial Statements are 100% compliant with Companies Act 1991.

GYSBI has demonstrated resilience and adaptability in navigating the complexities of the oil and gas industry. With a solid foundation, sound strategy, and unwavering commitment to excellence, the company is wellpositioned to capitalize on emerging opportunities and deliver sustainable value for all stakeholders.
In the fiscal year 2024, GYSBI reported robust financial performance driving an 22% increase in Shareholder Equity to $77M USD.

GYSBI recovered $9M USD in VAT refunds and tax offsets successfully closing out long standing GRA audits going back to 2018.
GYSBI was granted VAT exemption from the GRA resulting in significant improvements in cash flow.
GYSBI distributed $8.2M USD in dividends to Shareholders.
GYSBI repaid 100% of all Shareholder loans.
CariCRIS assessed GYSBI based on Regional and local benchmarks resulting in renewal of CariAA &gyAAA ratings
GYSBI raised $20M USD in external financing to support ongoing growth and development of the operation.


We have audited the accompanying financial statements of Guyana Shore Base Inc. and subsidiaries (the Group) which comprise the consolidated statement of financial position as at 31 December 2024 the consolidated statement of profit or loss and other comprehensive income, consolidated statement of changes in equity, consolidated statement of cash nows for the year then ended, a summary of significant accounting policies and other explanatory notes as set out on pages 2 to 28.
In our opinion, the consolidated financial statements give a true and fair view, in all material respects of the financial position of Guyana Shore Base Inc. and subsidiaries as at 31 December 2024, its financial performance and its cash flows for the year then ended in accordance with the I FRS Accounting Standards as issued by the lASB.
We conducted our audit in accordance with International Standards on Auditing (ISAs). Our responsibilities under those standards are further described in the Auditor’s Responsibilities for the Audit of the Financial Statements section of our report. We are independent of the Company and its subsidiaries in accordance with the International Ethics Standards for Accountants Code that is relevant to our audit of the financial statements and we have fulfilled our other ethical responsibilities in accordance with these requirements. We believe that the audit evidence we have obtained is sufficient and appropriate to provide a basis for our opinion.
The Directors/Management is responsible for the preparation and fair presentation of these consolidated financial statements in accordance with the IFRS Accounting Standards and for such control as management determines is necessary to enable the preparation of the consolidated financial statements that are free from material misstatement, whether due to fraud or error.
In preparing these consolidated financial statements, management is responsible for assessing the Company and Group’s ability to continue as a going concern, disclosing, as applicable, matters related to going concern and using the going concern basis of accounting unless management either intends to liquidate the Company or group or to cease operations, or has no realistic alternative but to do so.
Those charged with governance arc responsible for overseeing the Group’s financial reporting process.
Our objectives are to obtain reasonable assurance about whether the consolidated financial statements as a whole are free from material misstatement, whether due to fraud or error, and to issue an auditor’s report that includes our opinion.
Reasonable assurance is a high level of assurance, but is not a guarantee that an audit conducted in accordance with International Standards on Auditing will always detect a material misstatement when it exists. Misstatements can arise from fraud or error and are considered material if individually or in the aggregate they could reasonably be expected to influence the economic decisions of users taken on the basis of these consolidated financial statements.

As part of an audit in accordance with International Standards on Auditing, we exercise professional judgment and maintain professional skepticism throughout the audit. We also:
• Identify and assess the risks of material misstatement of the Group financial statements, whether due to fraud or error, design and perform audit procedures responsive to those risks, and obtain audit evidence that is sufficient and appropriate to provide a basis for our opinion. The risk of not detecting a material misstatement resulting from fraud is higher than for one resulting from error, as fraud may involve collusion, forgery, intentional omissions, misrepresentations, or the override of internal controls;
• Obtain an understanding of internal control relevant to the audit in order to design 11udit procedures that are appropriate in the circumstances, but not for the purpose of expressing an opinion on the effectiveness of the Group’s internal controls;
• Evaluate the appropriateness of accounting policies used and the reasonableness of accounting estimates and related disclosures nrnde by management;
• Conclude on the appropriateness of management’s use of the going concern basis of accounting and based on the audit evidence obtained, whether a material uncertainty exists to events or conditions tlwt may c11st significant doubt on the Group’s ability to continue as a going concern. If we conclude that a material uncc1tainty exists, we arc required to draw attention in our auditor’s report to the related disclosures in the Group financial statements or, if such disclosures arc inadequate, to modify our opinion. Our conclusions are based on the audit evidence obtained up to the date of our auditor’s report. However, future events or conditions may cause the Group to cease to continue as a going concern;
• Evaluate the overall presentation, structure and content of the Group financial statements, including the disclosures, and whether the financial statements represent the underlying transactions and events in a manner that achieves fair presentation;
• Obtain sufficient appropriate audit evidence regarding the financial information of the entities or business activities within the Group to express an opinion on the Group financial statements. We are responsible for the direction, supervision and performance of the group audit. We remain solely responsible for our audit opinion.
We communicate with those charged with governance regarding, among other matters, the planned scope and timing of the audit and significant audit findings, including any significant deficiencies in internal control that we identify during our audit.
The financial statements comply with the requirements of the Companies Act.


























