API Plan 23

Page 1


API Piping Plan 23

DISCLAIMER

While the FSA makes every reasonable attempt to ensure that the information contained in this document is accurate and current, the FSA, its officers, directors, volunteers, and authorized agents are not responsible for any errors or omissions contained therein nor are they responsible for any results obtained from the use of or reliance upon its content. All information is provided “AS IS,” with no guarantee of completeness, accuracy, timeliness or of the results obtained, and without warranty of any kind, express or implied. In no event shall FSA or its officers, directors, volunteers, or authorized agents be liable to you or anyone else for any decision made or action taken in reliance on the information con tained herein or for any for any consequential, indirect, special, or similar damages, even if advised of the possibility of such damages. The informa tion contained in this document is for informational purposes only and does not constitute professional advice. It also includes references to certa in standards that may change over time and should be interpreted only in light of particular circumstances. It is your sole responsibility to confi rm the current state of any referred to standards. FSA reserves the right to modify or update the document content and to modify this Disclaimer at any t ime, effective upon posting of an updated version of this Disclaimer.

© August 2025, Fluid Sealing Association. All Rights Reserved.

This Fluid Sealing Association Knowledge Series training presentation introduces API Piping Plan 23. A description is provided on:

▪ What is an API Plan 23?

▪ How an API Plan 23 Works

▪ What does an API Plan 23 do?

▪ What an API Plan 23 cannot do

▪ Optional Features for an API Plan 23

▪ Cost to Operate With an API Plan 23

▪ How to Size an API Plan 23

▪ How to Install an API Plan 23

▪ General API Plan 23 Commissioning Guidelines

▪ How to Operate an API Plan 23

▪ General Troubleshooting of an API Plan 23

▪ Alternatives to API Plan 23

What Are Piping Plans?

▪ Piping plans collectively are different piping arrangements of fluid used to improve the conditions the mechanical seal operates in with the objective of improving the mechanical seal’s life.

▪ The American Petroleum Institute adopted numbers and created definitions for each piping plan configuration, thereby allowing a common language across the industry to simply describe a particular configuration.

▪ The American Petroleum Institute standard API-682 is where the definition of each piping plan can be found and where they may periodically be updated.

What is an API Plan 23?

An API Plan 23 circulates process fluid from a seal chamber with a pumping device, typically a pumping ring, from the seal chamber through a heat exchanger and back to the seal chamber to provide cool process fluid to the seal faces.

How an API Plan 23 Works

▪ An API Plan 23 works by using a close clearance bushing in the throat of the seal chamber to isolate a volume of process fluid within a loop between the seal chamber and a heat exchanger.

▪ Since there is no pressure differential between the seal chamber and the pump, the throat bushing minimizes the exchange of fluid between these volumes, effectively isolating the cool API Plan 23 fluid in the seal chamber from hot fluid in the pump.

Throat Bushing

How an API Plan 23 Works

▪ A pumping feature within the mechanical seal rotates with the shaft and continuously drives the isolated process fluid from the seal chamber through a heat exchanger and back to the seal chamber, continuously cooling the isolated fluid within the loop.

▪ The pumping ring design varies based on shaft speed and seal chamber design.

Pumping Ring
Heat Exchanger

What does an API Plan 23 do?

The flow of fluid through the seal chamber created by an API Plan 23 is used to:

▪ Reduce the temperature of the process fluid at the mechanical seal.

▪ Improve lubricity of the fluid film at the mechanical seal interface due to increased fluid viscosity.

▪ Improve vapor pressure margin of the fluid around the seal to reduce the possibility of vaporization.

▪ Optimize cooling of the process fluid in the region of the mechanical seal, reducing the overall heat load on the heat exchanger.

▪ Reduce the chance of heat exchanger fouling and scaling due to lower temperature gradients.

Mechanical Seal/Seal Chamber

An API Plan 23 consists of the following components: What is an API Plan 23? Temperature Transmitter (Optional) Heat Exchanger High Point Vent

What an API Plan 23 cannot do

The main purpose of an API Plan 23 is to cool the process fluid in the vicinity of the seal chamber, it does not:

▪ Introduce a clean fluid to the seal

▪ Remove or isolate solids and abrasives that abrade and wear the flow pumping device and heat exchanger

▪ Alter the pressure of the process fluid in the seal chamber

▪ Cope with fluids that freeze, solidify or thicken within the system

▪ Remove large particles that can clog the flow through the system

▪ Handle fluids that polymerize and clog the flow through the system

Optional Features for an API Plan 23

Heat Exchanger

• There are many different Heat Exchanger designs and sizes to accommodate the different cooling capacity requirements and available utilities for API Plan 23 systems

Optional Features for an API Plan 23

Pumping Device (type)

• Axial flow (single/dual scroll)

• Radial flow (tangential vs radial outlet)

Radial flow pumping ring

Axial flow pumping ring

Optional

Features for an API Plan 23

Throat bushing types

Fixed

▪ The fixed clearance bushing is the simplest and has a clearance large enough to accommodate any misalignment or thermal expansion conditions. This is bushing is typically supplied by the equipment OEM.

Floating

▪ The floating bushing is more complex but can have a much smaller clearance than the fixed bushing and still allow large radial motions. This bushing is typically supplied by the seal OEM.

Floating Segmented

▪ The floating segmented bushing is a floating bushing broken into several segments, allowing for the smallest clearances, large radial motions, and thermal growth. This bushing is typically supplied by the seal OEM.

▪ Temperature and Pressure Monitoring

▪ Gauges vs Transmitters

▪ Various connection types

▪ Vapor Accumulator

▪ Optional level indicator

Vapor Accumulator

Fluid Level Indicator (Transmitter)

Temperature Transmitter From Seal Chamber

Temperature Transmitter From Heat Exchanger

Cost to Operate With an API Plan 23

Utilities costs

• A method to remove heat absorbed into the cooling loop requires utilities either in the form of cooling water (for a water-cooled heat exchanger) or electricity (for a forced convection heat exchanger). Natural convection heat exchangers do not require any utilities.

Energy Balance costs

▪ Although minimal, heat is removed from the process via the API Plan 23 system. This energy needs to be replaced within the pumping system and there is an associated cost for the energy to achieve this.

Additional costs

▪ The operation of a single mechanical seal results in seal face generated heat and drag on the rotation of the shaft, both of which much be accounted for in utilities and/or energy balance

▪ Maintaining the API Plan 23 and monitoring the system requires routine operator labor

Cost to Operate With an API Plan 23

Typically, the initial investment of an API Plan 23 is low, however the ongoing operating costs once the system is installed and operational can be high.

Refer to the Fluid Sealing Association’s Lifecycle Cost Calculator (LCC) for a more detailed analysis.

How to Size an API Plan 23

For given application, a target operating temperature for the API Plan 23 should be established. The heat soak from the pump and the seal heat generation should be considered in the selection and sizing of the API Plan 23 components.

Assuming isolation of the seal chamber cooling loop from the pump process, the performance of an API Plan 23 will depend on the flow generated by the pumping device, the resistance of the system to flow and the heat dissipated by the heat exchanger.

Note: The Fluid Sealing Association recommends working with your mechanical seal vendor to properly size your API Plan 23 system components

How to Size an API Plan 23

The calculation is a balance of energy in and energy out.

▪ Energy in (Qheat)= Seal Generated Heat (QSeal) + Heat Soak (QHS)

Seal Generated Heat can be estimated using the following equation:

Pface = Seal face contact pressure

P = Sealed pressure

B = Balance ratio

K = Pressure gradient

Pspring = Spring contact pressure where

V = Mean velocity

A = Seal face area

f = coefficient of friction

How to Size an API Plan 23

Heat soak can be estimated using the following equation:

Where:

• U is the material property coefficient

• A is the effective heat transfer area

• Db is the seal balance diameter

• ∆T is the difference between the pump temperature and the seal chamber desired temperature

More accurate calculations can be found in:

▪ An Improved Heat Soak Calculation for Mechanical Seals, G. Buck and T. Y. Chen, Pump Symposium Proceedings 2010

How to Size an API Plan 23

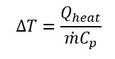
Knowing Qheat, the amount of energy the heat exchanger is required to remove.

▪ It is possible using energy balance across the heat exchanger to determine the temperature change across the heat exchanger or understand the flow rate required for the API Plan 23.

Where:

• ∆T = Temperature rise (T2-T1)

• Qheat = Heat input = QHS + Qseal

• �� = Mass flow rate

• Cp = Fluid Specific heat

How to Size an API Plan 23

The actual flow through an API Plan 23 piping system can be quite complex. The actual flow will be the intersection of the pumping ring head-flow curve plotted against the system resistance.

• Pumping ring head-flow curves are dependent on

o Seal size

o Fluid viscosity

o Shaft rotational speed

o Pumping ring design

▪ Axial (screw type)

▪ Radial (centrifugal)

▪ Clearances

▪ Internal passage designs

• Cut waters • Tangential outlet

• Port size

RingHead/FlowCurveAndSystem

How to Size an API Plan 23

Factors to

consider

▪ Variable Speed Drives

▪ Twice the speed ---> twice the frictional heat generation

▪ Twice the speed ---> twice the flow

▪ Twice the speed ---> 4 times the head

▪ Twice the flow ---> ≈ 3 times the pressure drop

▪ Match the head flow curve to the system curve

How to Size an API Plan 23

How to Install an API Plan 23

In

the Pump

▪ Install throat bushing in the seal chamber

▪ Install Mechanical Seal

▪ Note the inlet and outlet port locations and flow direction

Install/locate heat exchanger

▪ The position of the heat exchanger relative to the mechanical seal is important. It should be located as close as possible and a short distance above the mechanical seal centerline (without obscuring access for pump maintenance activities)

How to Install an API Plan 23

Loop from seal to heat exchanger

▪ Tube or piping connecting the mechanical seal to the heat exchanger should be selected to produce minimal resistance to flow. Large diameter bores, smooth radius bends, short distances, minimal ancillary equipment added into the circulating loop all help lower the resistance to fluid flow.

▪ High point vents must be installed to allow removal of air from the system during commissioning. Lines should slop upwards to the vent point with a minimum slope of 40 mm per meter (0.5” per foot)

▪ Low point drains should be provided to remove process fluid when decommissioning the equipment.

Connect cooling water

API Plan 23 Installation Best Practices

▪ A temperature gauge can be added to measure the temperature of the flush fluid being delivered to the seal chamber. When installing, ensure the tip of the temperature gauge or thermowell does not obstruct the flow in the piping.

Temperature Gauge

Eccentric reducers to expand pipe size in region of the thermowell tip

Thermowell

API Plan 23 Installation Best Practices

Sloping lines/tubes to minimize hard bends and flow restrictions

▪ API 682 recommends the following tube/pipe recommendations:

▪ For shaft diameters up to 60 mm (2.5 inch):

▪ Pipe: ½” NPS (DN15) Schedule 80

▪ Tube: ½” (12 mm) 0.065” (1.5 mm) wall thickness

▪ For shaft diameters above 60 mm (2.5 inch):

▪ Pipe: ¾” NPS (DN20) Schedule 80

▪ Tube: ¾” (20 mm) 0.095” (2.0 mm) wall thickness

▪ High process pressures may require increased wall thickness.

General API Plan 23 Commissioning Guidelines

Commissioning Notes:

▪ API Plan 23's are used to cool the seal chamber in high temperature applications.

▪ Cooling water in water cooled heat exchangers should be flowing prior to filling the process side of the API Plan 23.

▪ Flooding of the seal chamber and venting the API Plan 23 should be discussed with operations and the mechanical seal vender to determine the best method for commissioning your API Plan 23.

▪ If venting the API Plan 23 is required on a running process pump, venting should be completed in small bursts while monitoring the API Plan 23 temperatures to ensure the seal is not over heated.

General API Plan 23 Commissioning Guidelines

Venting the System

Using the high point vent valve(s) installed in the interconnecting piping, vent the air trapped in the piping. As air is vented, process will flow into the interconnected piping.

Multiple venting cycles of the high point vent may be required to completely remove any air from the system. Continue cycles until a solid stream of liquid with no bubbles flows from the vent valves.

▪ When possible, the shaft should be rotated by hand to assist purging the mechanical seal /seal chamber of air.

Bleed all instrument block and bleed valves.

NOTE: Do not vent a hot process long enough to overheat the API Plan 23

How to Operate an API Plan 23

Periodic Inspection of Utilities

Periodic measurement of the cooling fluid and process loop temperatures into and out of the heat exchanger should be performed to monitor heat exchanger efficiency.

▪ An increase in the differential temperature across the heat exchanger inlet and outlet is an indication of a decrease in efficiency that can be caused by insufficient cooling flow or fouling of the heat exchanger heat transfer surfaces.

▪ An increase in process loop temperature in and out of the heat exchanger and cooling water temperature out of the heat exchanger could also be the result of increased process fluid intermixing within seal chamber. This could be the result of increased seal face leakage or seal chamber isolation bushing wear.

How to Operate an API Plan 23

Periodic Inspection of Utilities

Periodic measurement of the cooling fluid and process loop temperatures into and out of the heat exchanger should be performed to monitor heat exchanger efficiency.

▪ An increase in process loop temperatures inlet and outlet at the seal, with a decrease in process loop temperatures at the heat exchanger is typically the result of loss of process fluid loop flow. Often this is the result of a vapor block within the process loop, and venting of the process loop should be performed.

▪ NOTE: Venting during operation should be completed in small bursts, to prevent a large influx of hot process into the seal chamber.

General Troubleshooting of an API Plan 23

Symptom

Elevated Temperatures

Potential Causes

Insufficient process loop circulation

Heat exchanger fouling

Insufficient heat exchanger cooling flow

Undersized heat exchanger

Change in process temperature

Seal chamber bushing wear

Alternatives to an API Plan 23

Alternative piping plans that are similar:

Plan 21

Plan 11 with heat exchanger

API Plan 23 Summary

An API Plan 23 offers an efficient method to provide a cool environment to reliably operate mechanical seals in hot processes.

There are minimal process thermal losses with no outside fluid process contamination.

Turn static files into dynamic content formats.

Create a flipbook
Issuu converts static files into: digital portfolios, online yearbooks, online catalogs, digital photo albums and more. Sign up and create your flipbook.
API Plan 23 by fluidsealing - Issuu