SUS ABIL LITY
Sustainability in Ambulance Services
White Paper
August 2024
![]()
White Paper
August 2024
The Council of Ambulance Authorities (CAA)
2/141 Sir Donald Bradman Drive, Hilton South Australia 5033T: +61 423 950 100
E: admin@caa.net.auwww.caa.net.au
Copyright ©2024 CAA - All rights reserved. It is not legal to reproduce, duplicate, or transmit any part of this document in either electronic means or printed format. Recording of this publication is strictly prohibited.
Published by CAA
Dr. Shohreh Majd Policy & Research Manager
The Council of Ambulance Authorities Inc.
Sustainability in healthcare and ambulance services refers to the implementation of sustainable practices that reduce the negative impact of these sectors on the environment.
Sustainable practices focus on reducing energy and water consumption, reducing waste generation, sustainable transport, promoting environmentally responsible procurement, and reducing greenhouse gas emissions.
In addition to the health impacts of environmental degradation, there is also a growing recognition of the economic and social costs of environmental damage. Climate change, for example, is expected to have significant impacts on the Australian economy, particularly in the areas of agriculture, tourism, and infrastructure. The need for sustainable environmental policy is becoming more pressing as the global community recognises the urgency of addressing these issues.
The implementation of sustainable practices in emergency services faces several challenges. These challenges include the lack of awareness and understanding of sustainable practices, the cost of implementing such practices, and the lack of regulatory incentives to promote them. However, there are several opportunities for implementing sustainable practices, including the potential cost savings from energy and water efficiency measures, the positive public image associated with sustainable practices, and the potential for encouragement and recognition.
The Council of Ambulance Authorities (CAA) is taking a proactive approach to sustainability, recognising the importance of reducing the environmental impact of ambulance services while maintaining high standards of patient care. In this book, the CAA is aiming to develop a comprehensive strategy for achieving this goal.
By Dr. Shohreh Majd
Embarking on the journey of crafting “Sustainability in Ambulance Service” has been an extraordinary learning adventure, filled with insights, challenges, and growth.
In this profound endeavour, I owe a debt of gratitude to Mojca Bizjak-Mikic and David Waters, whose expertise and guidance have been invaluable, beacons lighting the path to a more sustainable future in ambulance services. The dedicated efforts and thoughtful feedback from the entire team at the Council of Ambulance Authorities have made this journey both enriching and fulfilling.
To the unsung heroes in ambulance services, your tireless commitment to saving lives is awe-inspiring. This book serves as a testament to the passion and resilience you bring to the crucial work of promoting sustainability in the ambulance services; saving our planet, the same way as you save its habitants.
As I reflect on the collaborative efforts that have shaped this book, I am reminded of the profound impact that individuals and organisations can make when united by a common goal. This learning journey has been transformative, and I am sincerely grateful to all who have played a part in it.

Sustainability, as a concept, contains a complex and multifaceted web of interrelated dimensions, namely economics, society, and the environment.
Sustainability represents a holistic approach to development that seeks to address the challenges and dilemmas posed by the simultaneous pursuit of economic growth, social wellbeing, and environmental preservation.
At its core, sustainability strives to fulfill present societal needs while ensuring the preservation of resources and conditions necessary for future generations to meet their own needs.
The concept of sustainability finds its embodiment in the framework of sustainable development, which aims to achieve a delicate equilibrium among economic progress, social advancement, and environmental stewardship. This pursuit recognises the inherent interconnectedness and interdependence of these dimensions, understanding that actions taken in one realm inevitably impact the others. As such, sustainable development adopts a comprehensive and long-term perspective, acknowledging that short-sighted approaches can have detrimental consequences for both current and future generations.
Transition to Sustainable Energy Sources
Restricting Non-Renewable Resource Consumption
Preservation of Ecosystem Health
Preventing Irreversible Ecosystem Damage
Minimise Environmental Pollution
Recognising the Health and Environmental Impacts of Pollution
Prioritise Wellbeing over Economic Growth
Prioritising Economic and Social Wellbeing Metrics Over GDP
Future-Focused Decision Making
Long-Term Oriented Economic Decision Making
Sustainability is not just an environmental issue, but also a social and economic one. Environmental degradation has significant social and economic impacts. Some examples are loss of biodiversity, depletion of natural resources, and climate change. In this sense, sustainable development aims to address these issues by promoting economic growth that is environmentally safe and socially equitable. This involves the adoption of sustainable production and consumption patterns, the preservation of biodiversity and ecosystems, and the promotion of social inclusion and equity.
A systemic approach to sustainability calls for integrated decision-making processes, where the impacts and trade-offs of various actions are carefully evaluated across economic, social, and environmental dimensions.
It requires understanding that pursuing narrow objectives in isolation may lead to unintended consequences and compromises in other areas. Therefore, sustainable development necessitates a comprehensive assessment of the potential synergies and trade-offs between different goals, as well as a recognition of the importance of long-term planning and adaptability.
Ultimately, sustainability signifies a transformative journey towards a future where human activities are aligned with the capacity of the planet to support them. Only through embracing a broader perspective society, can we strive towards a more equitable, prosperous, and resilient future, where the needs of present and future generations are met without compromising the health and vitality of our ecosystems and the wellbeing of individuals and communities.
Temperature Surge
• Intense thermal conditions
• Extreme atmospheric events
Intensified Climatic Conditions
• Airborne pollutants
• Shifts in vector habitats
Sea Level Elevation
• Elevated allergen levels
• Water quality deterioration
Heightened CO2 Emissions
• Impacts on water and food resources
• Deterioration of ecosystems
In the year 1983, a pivotal moment in global environmental governance unfolded as the United Nations General Assembly took a significant stride by adopting Resolution 38/161 titled “Process of Preparation of the Environmental Perspective to the Year 2000 and Beyond.”
This landmark resolution laid the foundation for a specialised commission tasked with multifaceted responsibilities aimed at shaping long-term environmental strategies, fostering international cooperation, and addressing the intricate interplay between development, resources, and the environment.
The primary objectives set by the resolution included:
a. Proposing enduring environmental strategies for sustainable development beyond the year 2000.
b. Recommending ways to translate environmental concerns into enhanced cooperation, particularly among developing countries and those at different stages of economic and social development.
c. Deliberating on how the international community could more effectively handle environmental issues considering the commission’s broader recommendations.
d. Assisting in the articulation of shared perceptions regarding long-term environmental challenges and delineating an agenda for action over the coming decades, encompassing aspirational goals for global collaboration.
The commission, later formalised as the “World Commission on Environment and Development” (WCED), gained widespread recognition under the stewardship of its chair, Gro Harlem Brundtland.
A distinguished medical doctor and advocate for public health, Brundtland had previously served as Norway’s Minister for Environmental Affairs and held the post of Prime Minister during three distinct periods.
Comprising twenty-one members from diverse global backgrounds, with half representing developing nations, the WCED conducted fact-finding activities to assess the state of the global environment. Beyond data analysis, the commission embarked on a series of fifteen meetings held in various cities worldwide. These gatherings aimed to glean experiences, providing insights into how humanity interacts with the environment.
The culmination of the WCED’s efforts materialised in the issuance of its seminal report, “Our Common Future,” in 1987. This report, often referred to as the Brundtland Report, underscored the interconnectedness of environmental, economic, and social challenges, establishing sustainable development as a guiding principle for the global community. The report’s primary and frequently cited definition characterises sustainable development as “... the kind of development that caters to current requirements without jeopardising the capacity of succeeding generations to fulfill their own needs.”
Throughout the report, the terms ‘sustainable development’, ‘sustainable’, and ‘sustainability’ are utilised interchangeably, underscoring the intricate interrelations among social justice, economic vitality, and environmental wellbeing.
The international community continued its commitment to addressing environmental concerns. In December 1997, the Kyoto Protocol was adopted as an international treaty under the United Nations Framework Convention on Climate Change (UNFCCC). Under the Kyoto Protocol, developed nations, termed Annex I parties, committed to binding targets, pledging to reduce their greenhouse gas emissions by an average of 5.2% below 1990 levels during the initial commitment period spanning from 2008 to 2012.
The agreement introduced innovative flexibility mechanisms, encompassing emissions trading, the Clean Development Mechanism (CDM), and Joint Implementation (JI), enabling countries to fulfill their reduction commitments more economically.
An important feature of the protocol was the establishment of the ‘Adaptation Fund’, designed to provide support for developing countries grappling with the adverse effects of climate change.
On February 16, 2005, the Kyoto Protocol entered into force following ratification by countries representing 55% of global greenhouse gas emissions.
Fast forward to 2015, the international community witnessed another landmark development—the adoption of the Paris Agreement during the 21st Conference of the Parties (COP 21) to the UNFCCC in Paris.
Departing from the fixed targets of its predecessor, the Paris Agreement embraced a more inclusive and adaptable approach. At its core, the Paris Agreement empowered participating nations to determine their own Nationally Determined Contributions (NDCs), allowing for a flexible response to the unique circumstances of each country. The agreement set a bold objective—to limit the global temperature increase to well below 2 degrees Celsius above pre-industrial levels, with a further aspiration to cap it at 1.5 degrees Celsius.
In addition to these commitments, the Paris Agreement outlined a financial support mechanism, obligating developed nations to provide financial assistance to developing countries for both mitigation and adaptation efforts. The Paris Agreement entered into force on November 4, 2016. A framework for transparency and accountability was also established, necessitating regular reporting by countries on their emissions and progress in implementing their NDCs.
Human consumption patterns exert a profound influence on the environment, and within this complex relationship, the rebound effect emerges as a significant factor shaping the overall impact.
The transition from agrarian societies to industrialised economies has witnessed a surge in the consumption of goods and services, extending beyond basic needs to encompass social status and identity. Globalisation has further propelled the spread of consumption-oriented lifestyles, resulting in a global homogenisation of consumption patterns marked by increased demand for energy-intensive products, fast fashion, and electronic gadgets.
Illustration of Rebound Effects
The rebound effect, also known as Jevons Paradox, was first articulated by economist William Stanley Jevons in the 19th century. This paradox posits that improvements in resource efficiency may paradoxically lead to increased overall resource consumption. In essence, the cost savings resulting from efficiency gains make the consumption of the resource more economically attractive, prompting individuals or industries to use more of it.
The interconnectedness of human consumption patterns and the rebound effect bears profound environmental consequences.
As efficiency gains fail to translate into absolute reductions in resource use, the anticipated benefits from these advancements are compromised and many environmental impacts arise from this dynamic interplay.
Increased demand for goods and services exerts immense pressure on finite natural resources. From fossil fuels to minerals and water, the extraction and utilisation of these resources contribute to habitat destruction, biodiversity loss, and ecosystem degradation. The rebound effect exacerbates the strain on ecosystems by nullifying the expected resource savings from efficiency improvements. When the rebound effect leads to increased energy consumption, efforts to reduce greenhouse gas emissions face challenges.
Despite improvements in energy efficiency, increased usage may occur if cost savings make energy-intensive activities more affordable. This poses a significant obstacle to global climate goals, perpetuating reliance on fossil fuels and contributing to carbon dioxide emissions. Rampant consumerism also results in the generation of substantial amounts of waste.
The production, consumption, and disposal of goods contribute to air and water pollution, soil contamination, and the accumulation of non-biodegradable materials in ecosystems. The rebound effect intensifies this issue by fostering a cycle of increased consumption, leading to higher levels of waste, and contributing to environmental degradation.
As the world collaborates to improve healthcare systems on a global scale, a concerning truth has surfaced, and that is a clear possibility of adverse health effects resulting from the pollution and environmental shifts caused by the healthcare sector’s influence.
This realisation features the urgent necessity to mitigate such effects imposed by the healthcare industry on the environment and to promote sustainability within its operations. Achieving this imperative objective, demands a multifaceted approach that encompasses various key dimensions.
To address these challenges posed by the environmental impact of the healthcare sector, a comprehensive curriculum has been designed by Monash University. This curriculum ensures that participants gain a deep understanding of the intricacies surrounding the environmental impact of the healthcare sector, while providing them with the knowledge and skills necessary to implement sustainable practices, advocate for environmentally conscious policies, and contribute to the ongoing global efforts aimed at creating a more ecologically responsible healthcare system.
This foundational module explores the intricate relationship between healthcare activities, environmental changes, and resultant health outcomes. Drawing upon principles of environmental epidemiology, participants engage in an in-depth exploration of empirical evidence linking healthcare-related pollution and environmental alterations to specific health hazards. Understanding these connections forms the basis for subsequent modules, providing a scientific framework to comprehend the intricacies of the healthcare sector’s environmental impact.

A pivotal aspect of sustainable healthcare practices is elucidated in this module through an examination of Life Cycle Assessment (LCA) methodologies applied to healthcare systems. Participants gain insights into the quantification of environmental burdens associated with the entire life cycle of healthcare services, from resource extraction to waste disposal. This scientific approach aids in identifying key hotspots for intervention and informs strategies for minimising the overall ecological footprint of healthcare activities.
This module focuses on the integration of cutting-edge, environmentally conscious technologies within healthcare operations. Participants explore the latest innovations, such as energy-efficient medical equipment, sustainable building materials, and eco-friendly waste management systems. Emphasising the adoption of green technologies, this module provides a scientific understanding of how technological advancements can be harnessed to mitigate the environmental impact of healthcare practices.
An in-depth analysis of policy frameworks governing sustainable healthcare practices is the focus of this module. Participants examine regulatory standards, economic incentives, and accreditation programs that foster environmentally responsible healthcare operations. This scientific exploration encompasses a comparative analysis of international policies, elucidating the need for harmonised global standards to address the transboundary nature of environmental challenges associated with healthcare activities.
This module delves into the scientific principles of resource efficiency within healthcare facilities. Participants critically evaluate the design, construction, and operational practices of healthcare infrastructure to optimise resource utilisation. From energy-efficient building design to sustainable procurement practices, the module provides a comprehensive understanding of how resource efficiency can be scientifically integrated into healthcare facility management.

The scientific intricacies of waste management in healthcare are explored in this Module. Participants examine the life cycle of healthcare waste, from generation to disposal, with a focus on adopting circular economy principles. This module provides a scientific foundation for the development of sustainable waste management strategies, encompassing recycling, reusing, and reducing waste within healthcare contexts.
Recognising the pivotal role of human behaviour in sustainable healthcare practices, this module delves into the scientific underpinnings of behavioural change strategies and stakeholder engagement. Participants explore theories from psychology and sociology to understand how attitudes and behaviours can be positively influenced. Module 7 emphasises the importance of engaging healthcare professionals, policymakers, and the broader community in fostering a collective commitment to sustainable practices.
One crucial aspect in addressing the environmental impact of the healthcare sector is the implementation of proper strategies.
One example is such strategy in waste management practices. Such strategy covers a range of activities including efficient waste segregation, recycling, and disposal techniques, where healthcare facilities can significantly minimise the release of harmful substances into the environment, reducing pollution and subsequent health risks. Another critical element of such strategy involves optimisation of energy and water use within healthcare facilities, which is vital for minimising carbon emissions and conserving valuable resources.
Social, Environmental, and Economic, in addition to Systems Sustainability in the context of healthcare.
The adoption of such strategy and engaging energy-efficient technologies, renewable energy sources, and water-saving strategies, healthcare facilities will be able to significantly reduce their ecological footprint.
Proper strategies, which could be implemented in this area are countless. Sustainable procurement practices are another example that plays a pivotal role in the journey toward a greener healthcare sector. Prioritising environmentally friendly and socially responsible suppliers, assist healthcare institutions to contribute to the development and adoption of sustainable products and services. Some areas can be sourcing materials with minimal environmental impact, such as recyclable or biodegradable packaging, as well as promoting fair labour practices throughout the supply chain.
Education and awareness initiatives are equally essential in embracing a sustainable healthcare sector. This includes promoting responsible resource use, waste reduction, and environmentally conscious behaviours. Healthcare institutions can engage in knowledge sharing and collaboration with other stakeholders to foster innovation and exchange best practices in sustainable healthcare.
The pursuit of sustainability in the healthcare sector necessitates active collaboration among various stakeholders, including healthcare providers, policymakers, researchers, and the community.
These entities can work together to develop and implement sustainable practices, policies, and regulations. Healthcare providers implement green technologies and optimise resource use, while policymakers craft regulations to mandate environmental responsibility. Researchers contribute evidence-based insights, and community engagement raises awareness and advocacy. Such collaborative efforts can drive systemic change, ensuring that sustainability is embedded within the core operations of healthcare facilities and the broader healthcare system.
Proactive steps toward sustainability are not only imperative for protecting the environment but are also evidence to the healthcare sector’s commitment to delivering care that aligns with the principles of environmental stewardship and social responsibility. The transition to a greener and healthier future demands the unwavering dedication and collective action of the healthcare sector, as it plays a crucial role in safeguarding the wellbeing of individuals and communities worldwide.

Climate change and environmental degradation have emerged as two of the most pressing challenges of the twenty first century.
Over the last era, human activities have significantly altered the planet’s natural systems, resulting in profound and far-reaching impacts on the environment.
In a few decades the Earth witnessed unprecedented levels of human-induced climate change. The burning of fossil fuels, deforestation, industrial activities, and other human activities have resulted in the emission of greenhouse gases such as carbon dioxide, methane, and nitrous oxide into the atmosphere. These changes pose serious dangers to the planet’s ecosystems, biodiversity, and human societies. The consequences of climate change and environmental degradation are already evident, and if left unchecked, they have the potential to escalate into an impending crisis with severe implications for the future of our planet.(1)
One of the most significant impacts of climate change is the alteration of natural ecosystems. Climate change has led to a rapid increase in global temperature. This warming trend is primarily attributed to the increased concentrations of greenhouse gases in the atmosphere.
Elevated temperatures affect ecosystems by influencing the behaviour and distribution of plant and animal species. Species that are unable to adapt or migrate may face increased risks of extinction. Numerous studies have highlighted the initiation of this tragic trend, indicating that South America faces the highest extinction risk at 23%, followed by Australia and New Zealand (14%), Asia (9%), Europe (6%), and North America (5%).(2)
Climate change disrupts traditional precipitation patterns, leading to altered rainfall and snowfall regimes. Some regions experience more intense and frequent rainfall, while others face prolonged droughts. This variability in precipitation affects the water availability for plants and animals, impacting their growth, reproduction, and overall survival. It also contributes to changes in the distribution of species and the composition of ecosystems.
The warming of the planet has led to the melting of glaciers and ice caps, contributing to rising sea levels.
This poses a significant threat to coastal ecosystems and low-lying areas.
Coastal habitats, such as mangroves, salt marshes, and coral reefs, are particularly vulnerable. Rising sea levels can lead to increased salinity in estuarine ecosystems, affecting the species that inhabit these areas.
Impacts of climate change on the future of biodiversity

Source: Bellard, Céline, Cleo Bertelsmeier, Paul Leadley, Wilfried Thuiller and Franck Courchamp.
“Impacts of climate change on the future of biodiversity.” Ecology letters 15 4 (2012): 365-377 .
Climate change is associated with an increase in the frequency and intensity of extreme weather events, including hurricanes, droughts, floods, and wildfires.
These events can have immediate and long-term impacts on ecosystems. For example, wildfires can lead to the destruction of vegetation and habitats, while intense storms can cause coastal erosion and disrupt marine ecosystems.
The key effects of climate change on natural ecosystems are the disruption of delicate ecological balances. Many plant and animal species have evolved to thrive within specific temperature ranges, and even slight shifts in these ranges can have far-reaching consequences. Warmer temperatures can lead to shifts in the distribution of plant and animal species as they move to higher latitudes or altitudes in search of suitable habitats. This can result in the displacement of native species, loss of biodiversity, and changes in species interactions, such as predator-prey relationships and pollination patterns.
Rising temperatures also impact the timing of biological events, such as the timing of flowering, migration, and reproduction. In the context of warmer temperatures causing an earlier arrival of spring, some species may struggle to adjust their life cycles accordingly. This adjustment challenge can result in a mismatch between species that rely on each other for survival, like plants and their pollinators or predators and their prey. These disruptions in timing can have cascading effects throughout the ecosystem, affecting the abundance and distribution of species and potentially leading to population declines or even extinctions.
Hypothetical relationship between vertical seed dispersal and fruiting season

(a) Vertical seed dispersal toward the mountain tops by mammals that are following the spring-to-summer plant phenology. Spring-to-summer plant phenology proceeds from the foot to the mountaintops. Midway through the season, fruits are no longer available at low altitudes, ripe fruits are available at middle altitudes, and fruits are not yet ripe at high altitudes.
(b) Hypothetical vertical seed dispersal toward the foot of the mountains by mammals that are following the autumn-to-winter plant phenology. The autumn-to-winter plant phenology proceeds from the top to the foot of mountains. Midway through the season, fruits are no longer available at high altitudes, ripe fruits are available at middle altitudes, and fruits are not yet ripe at low altitudes.
Source: Naoe, S. et al., (2019). Scientific reports, 9(1), 14932.
Elevated temperatures and altered precipitation patterns have triggered transformations in both plant and animal populations, prompting shifts in habitat distribution and disruptions in ecological dynamics.
These changes present formidable challenges for many species attempting to navigate an increasingly unpredictable environment, ultimately contributing to the decline of biodiversity and the collapse of ecosystems. Particularly vulnerable ecosystems, such as coral reefs, mangroves, and polar regions, face substantial hurdles due to climate change.
In the case of coral reefs, the heightened ocean temperatures induce widespread mortality among coral communities, posing grave consequences for marine biodiversity. The escalating sea temperatures and ocean acidification, fuelled by heightened atmospheric carbon dioxide levels, manifest in recurrent coral bleaching events, culminating in the demise of coral reefs and the critical habitats they provide for a myriad of marine species.
Climate Change has Contributed to a Series of Bleaching Events at the Great Barrier Reef, the World’s Largest Coral Reef System


Similarly, melting polar ice caps threaten the survival of iconic species like polar bears and disrupt the delicate food webs that sustain life in these regions. Furthermore, altered precipitation patterns and increased frequency of extreme weather events, such as droughts, floods, and storms, can have severe impacts on ecosystems. Droughts can lead to water scarcity, affecting freshwater ecosystems and reducing the availability of water for plants and animals. Floods can disrupt habitats and cause soil erosion, leading to the loss of fertile land.
These extreme events can also increase the spread of diseases and invasive species, further destabilising ecosystems. The alteration of natural ecosystems due to climate change not only poses a threat to biodiversity but also has significant implications for human societies.(3)
Ecosystems provide essential services, such as water purification, pollination, climate regulation, and nutrient cycling, which are vital for human wellbeing and economic activities such as agriculture and tourism. Disruptions to these ecosystem services can have far-reaching consequences, including food and water shortages, increased vulnerability to natural disasters, and economic losses.
The ecosystems themselves carry the heavy burden of this change through their interconnections with the non-living environments as well as each other.(4) The risk of species extinction and losing biodiversity increases in parallel with every degree increase of the earth temperature.(5)
Environmental damage has already reached a critical level. The significant increase in accumulated heat by more than 1-degree Celsius increase compared with pre-industrial era (1880-1900), is expected to rise even more by midcentury(6), by 2-degree Celsius. The high mountains of Asia have already witnessed a melting in their glaciers 2–3 times faster than 20th century.(7)

These extreme weather events result in the loss of lives, property damage, disruption of food and water supplies, and displacement of communities. Vulnerable populations, including low-income communities, indigenous peoples, and marginalised groups, are disproportionately affected, exacerbating existing social inequalities and injustices.
In addition to climate change, environmental degradation such as deforestation and pollution of air, water, and soil are some of the critical issues affecting the environment. Deforestation, particularly in tropical regions, has led to the loss of critical carbon sinks, disrupted water cycles, and destroyed habitats for countless species.


*Based on data and findings from satellite imagery and trade flow analysis. Source: WWF

Pollution of air, water, and soil has detrimental effects on human health and wildlife, leading to respiratory diseases, water contamination, and soil degradation. The impacts of climate change and environmental degradation are not limited to environmental and ecological consequences; they also have significant economic and social implications.
Change in Surface Temperature from Present (˚C).

Model-simulated global temperature anomalies for the Last Glacial Maximum (21,000 years ago), the mid-Holocene (6,000 years ago), and projection for 2071–2095. Source: World Bank
The costs associated with climate change, including damage from extreme weather events, loss of infrastructure, increased healthcare expenses, and disruptions to economic activities, are projected to be staggering.
The World Bank estimates that climate change could push over 100 million people into poverty by 2030, exacerbating existing inequalities and threatening the achievement of the United Nations Sustainable Development Goals.
Agriculture: the Main Sectoral Driver Explaining Higher Poverty Due to Climate Change.
Agriculture is the main sectoral driver explaining higher poverty due to climate change (Summary of climate change impacts on the number of people living below the extreme poverty threshold, by driver)
Prosperity scenario (high impact)
Prosperity scenario (low impact)
Poverty scenario (high impact)
Poverty scenario (low impact)
Additional people (million) below the extreme poverty threshold by 2030 Agriculture Health Labor productivity Disasters
Source: Rozenberg and Hallegatte, forthcoming.
Climate change impacts on the number of people living below the extreme poverty threshold, by driver.
Source: The World Bank; Climate change may push 100 million people back into poverty by 2030 - SEARCA KC3
Furthermore, climate change and environmental degradation have implications for human security and conflict. As natural resources become scarcer, competition for access to water, land, and other resources is expected to intensify, leading to conflicts over these resources. All these massive changes in our planet’s environmental conditions have created a big concern around the proper assessment of human impact on the local and global ecosystems. If this impact is not reversed or at least reduced, the future generations are on the verge of confronting environmental degradation.
Transboundary institutions mediate resource rivalry (Section 12.6)
grabs exacerbate land tenure conflicts (Section 12.5)
resettlement can disrupt identity and livelihood (Section 12.4) Climate stresses lead to involuntary abandonment of settlements (Section 12.4) Education for women enhances food security (Section 12.2) Income loss reduces mobility for low income pastoralists (Section 12.2)
Outcome of intervention
Intervention with net increase in human security
Intervention with net decrease in human security
Source: Md A, Gomes C, Dias JM, Cerdà A. Exploring gender and climate change nexus, and empowering women in the south western coastal region of Bangladesh for adaptation and mitigation. Climate. 2022 Nov 7;10(11):172.

Over the past two centuries, there has been a significant shift in the primary sources of energy, leading to rapid economic growth and profound changes to the Earth’s environment.
The adoption of concentrated energy sources like coal, oil, natural gas, and uranium has fuelled industrialisation and technological advancements, but their extensive utilisation has also had profound consequences for our planet.(8)
San Francisco, USA




Seoul, South Korea




“Industrial
Prior to this era, traditional energy sources like wood, biomass, and hydropower were the dominant means of meeting energy needs. However, with the discovery and harnessing of concentrated energy sources, the world experienced a significant transformation.
Coal: One of the primary energy sources of the 19th and early 20th centuries, coal played a vital role in powering steam engines, locomotives, and factories. Its widespread use led to economic growth and urbanisation in regions such as Europe and North America.(9)
Oil: The 20th century witnessed a rapid increase in the consumption of oil, primarily due to its versatility and higher energy density compared to coal. Oil-powered transportation, machinery, and the petrochemical industry became integral components of global economies, propelling industrialisation, and economic development.(9)
Natural Gas: Natural gas emerged as a prominent energy source in the latter half of the 20th century. It gained popularity due to its cleaner combustion properties and versatility in power generation, industrial processes, and residential use.(10)
Uranium: Nuclear power generation utilising uranium became a significant energy source in the mid20th century. Its ability to produce massive amounts of electricity without greenhouse gas emissions made it an attractive alternative to fossil fuels. However, concerns regarding waste disposal and the risk of accidents associated with nuclear power have limited its expansion.(11)
The economic and technological advances over the last 200 years have transformed how we produce and consume energy. Here’s how the global energy mix has evolved since 1800.

Source: Vaclav Smil (2017), BP Statistical Review of World Energy via Our World in Data
The increasing trend of human’s dependence on unsustainable finite resources of fossil fuels, is the main reason of environmental pollution.
Trapping heat in the earth’s atmosphere because of greenhouse gases emission like carbon dioxide largely contributes to increasing the temperature all around the world.(12) Reducing the impact of these energy sources in many areas such as wastes and emissions while securing the energy supply to the world population remained unchanged have turned to big challenges of energy providing sectors.(13) The need of using renewable sources of energy to mitigate climate change and address the energy demand of future generations is now being sensed more than ever.

Chapter 2:
The exponential increase in the consumption of concentrated energy sources has resulted in profound environmental consequences, fundamentally transforming the Earth in multiple ways.
The combustion of coal, oil, and natural gas releases greenhouse gases (GHG), primarily composed of carbon dioxide (CO2), nitrogen oxide (N2O), and methane (CH4),(15) into the atmosphere. These emissions contribute to the greenhouse effect, ultimately causing global warming and climate change.(14) The impact of GHG emissions on Earth has reached an alarming intensity, with detrimental consequences for our planet’s climate, a phenomenon known as the “Carbon Footprint”.

Cassia R,
M, Correa-Aragunde N,
L. Climate change and the impact of greenhouse gasses: CO2 and NO, friends and foes of plant oxidative stress. Frontiers in plant science. 2018 Mar 1;9:331669.
Under normal circumstances, the natural regulation of carbon movement between the atmosphere and the land and oceans is primarily facilitated by photosynthesis, during which plants absorb CO2. However, the excessive production of CO2 surpasses the capacity of natural processes to remove carbon from the atmosphere.(16) Another significant greenhouse gas (GHG), N2O, not only contributes to the formation of smog and acid rain but also exacerbates global warming. In fact, the impact of 1 pound of N2O on atmospheric warming is nearly 300 times that of 1 pound of CO2

The graph shows human-caused emissions over time for individual greenhouse gases. Carbon dioxide (CO2) from fossil fuel use and industry is the single largest contributor to total emissions at 64%, while CO2 from land use change and forestry accounts for 11% and methane (CH4) contributes 18%.
Source: Kikstra JS, Nicholls ZR, Smith CJ, Lewis J, Lamboll RD, Byers E, Sandstad M, Meinshausen M, Gidden MJ, Rogelj J, Kriegler E. The IPCC Sixth Assessment Report WGIII climate assessment of mitigation pathways: from emissions to global temperatures. Geoscientific Model Development. 2022 Dec 20;15(24):9075-109.
The other member of GHG family, CH4, acts in the same way in capturing reradiated infrared waves from the Earth’s surface. This way they make a blanket insulating the Earth, absorbing energy, and slowing the rate at which heat leaves the planet. Therefore, long-term effects of GHG are extreme climate changes will present themselves as disastrous events such as heat waves, longer wildfire seasons, floods, droughts, and disruption of food chain. These serious impacts can still be avoided by adopting sustainability practices. The combustion of fossil fuels emits pollutants such as sulfur dioxide (SO2), nitrogen oxides (NO), and particulate matter. These pollutants contribute to air pollution, which has adverse effects on human health and ecosystems.(17)

Source: IEA Atlas of energy
Extraction, transportation, and processing of fossil fuels can lead to land and water pollution through spills, leaks, and accidents. Oil spills, for example, have devastating consequences for marine life and coastal ecosystems.(18) One notable example is the Deepwater Horizon oil spill in 2010, considered one of the largest environmental disasters in history. The offshore drilling rig experienced a catastrophic blowout, leading to the release of millions of barrels of crude oil into the Gulf of Mexico.
The spill had severe consequences for marine life and coastal ecosystems. Scientific studies conducted in the aftermath documented extensive damage to fish populations, marine habitats, and the overall biodiversity of the affected regions. Oil spills can have long-lasting effects on ecosystems, disrupting food chains, harming reproductive capabilities of marine organisms, and causing lingering environmental damage. The toxicity of spilled oil compounds can persist in sediments and affect marine life for years, leading to chronic ecological impacts.

Source: SkyTruth/Flickr
Moreover, spills are not isolated incidents. They underscore the broader environmental risks associated with the entire lifecycle of fossil fuels, from extraction to transportation and processing. These incidents highlight the urgent need for sustainable and environmentally friendly alternatives to mitigate the ecological toll of fossil fuel activities.
Climate change has emerged as one of the primary threats to human health, with the potential to disrupt both physical and social factors that contribute to the wellbeing of communities worldwide.
As mankind faces the ongoing climate crisis, the implications for human health are profound. While certain groups, including children, the elderly, and impoverished communities, are more vulnerable to the health impacts, the global consequences will eventually affect everyone.
Climate change influences human health through a multitude of pathways, encompassing both direct and indirect effects. The following are some key aspects impacted by climate change.

Increasing frequency and intensity of extreme weather events, such as heatwaves, hurricanes, and floods, pose immediate risks to human health.
Heatwaves can lead to heatstroke, dehydration, and cardiovascular stress, while floods and hurricanes can cause injuries, displacement, and psychological distress.(19)
Prolonged exposure to extreme heat can lead to heatstroke, a potentially lifethreatening condition. Heatstroke occurs when the body’s core temperature rises above 40°C (104°F), resulting in symptoms such as high body temperature, altered mental state, rapid heartbeat, and organ failure.(20) High temperatures and excessive sweating during heatwaves can cause dehydration. Dehydration can lead to dizziness, fatigue, confusion, and in severe cases, kidney damage or heat exhaustion (21). Heatwaves can also place a significant burden on the cardiovascular system, especially in vulnerable individuals with pre-existing heart conditions. The combination of high temperatures, humidity, and physical exertion can increase the risk of heart attacks, strokes, and other cardiovascular events.(22)
Hurricanes and floods can result in multiple health risks, both during and after the events. Strong winds, flying debris, and collapsing structures during hurricanes can cause injuries ranging from cuts and bruises to severe trauma. In flood situations, individuals may encounter drowning hazards, injuries from debris, or electrical hazards.(23) They often lead to forced displacement, with individuals seeking refuge in temporary shelters or unfamiliar environments. Displacement can disrupt access to healthcare, clean water, sanitation facilities, and necessary medications, increasing the risk of illness and exacerbating existing health conditions.(24)
Natural disasters can cause significant psychological distress, including post-traumatic stress disorder (PTSD). Individuals who experience or witness life-threatening situations, such as hurricanes or floods, may develop symptoms such as intrusive memories, flashbacks, nightmares, and hypervigilance. The ongoing stress and disruption caused by the aftermath of a natural disaster can contribute to the persistence of PTSD symptoms.
The fear of recurrence, coupled with the challenges of rebuilding, can create a prolonged state of psychological distress. Natural disasters can also cause anxiety, depression, and grief. The loss of homes, possessions, and community ties can have long-lasting psychological effects on individuals and communities affected by hurricanes and floods.(25)

Warmer temperatures and altered precipitation patterns create favourable conditions for disease vectors like mosquitoes, resulting in the spread of diseases such as malaria, dengue fever, and Zika virus.(17) Altered precipitation patterns also play a role in the spread of infectious diseases. Heavy rainfall, often associated with climate change, creates breeding grounds for mosquitoes by creating stagnant water bodies, providing them with optimal conditions for reproduction.
The warmer temperatures associated with climate change boost the reproduction of mosquitoes and enhance their capacity to transmit diseases. Mosquitoes thrive in warm and humid environments, and as temperatures rise, their populations expand into new geographical regions. This expansion exposes previously unaffected areas to the risk of mosquito-borne diseases.(26)
Pathogenic Diseases Aggravated by Climatic Hazards.

Source: Mora, C., McKenzie, T., Gaw, I. M., Dean, J. M., von Hammerstein, H., Knudson, T. A., Setter, R. O., Smith, C. Z., Webster, K. M., Patz, J. A., & Franklin, E. C. (2022). Over half of known human pathogenic diseases can be aggravated by climate change. Nature climate change, 12(9), 869–875
Malaria, a life-threatening disease caused by parasites transmitted through infected mosquitoes, is particularly sensitive to climate conditions. The increased availability of suitable habitats for mosquitoes due to climate change has expanded the geographical range of malaria transmission. Regions that were previously considered low risk have experienced an upsurge in malaria cases.(27)
Dengue fever, another mosquito-borne viral disease, has also exhibited increased prevalence in areas affected by climate change. The expansion of mosquito populations into new territories, driven by rising temperatures, has led to the geographic spread of dengue fever. This disease poses a significant health burden, with millions of cases reported annually.(28)

The Zika virus, which gained global attention in recent years, is primarily transmitted by Aedes mosquitoes. Climate change has expanded the distribution of Aedes mosquitoes to regions where the Zika virus was not previously endemic. This has resulted in localised outbreaks and increased the risk of Zika virus infection, which can have severe implications for pregnant women and their unborn children.(29)
of Climate Change and Spread of ‘Zika’ Virus





Source: Asad, Hina and Carpenter, David O.. “Effects of climate change on the spread of zika virus: a public health threat Reviews on Environmental Health, vol. 33, no. 1, 2018, pp. 31-42.
Excessive rainfall can overwhelm natural drainage systems, rivers, and urban infrastructure, leading to flooding. This is particularly problematic in areas with poor drainage systems or where urbanisation has altered natural water flow. Flooding can force people to evacuate their homes and communities, leading to the displacement of entire populations. This can overwhelm sanitation infrastructure, contaminating water sources with sewage and other pollutants. Disruption of sanitation systems increases the likelihood of contamination of drinking water, leading to a higher incidence of waterborne diseases such as cholera, dysentery, and typhoid. In crowded temporary shelters, the spread of these diseases can be rapid and difficult to contain.(30)
The Impacts of Climate Change on the Occurrence of Water-Borne Diseases
Environmental Temperature
Environmental Temperature
Flooding Intense Precipitation
Flooding Intense Precipitation
Drought
Drought
Seasonal variations in pathogen spread
Seasonal variations in pathogen spread
Intense precipitation impacts pathogen proliferation
Intense precipitation impacts pathogen proliferation
Elevated pathogen prevalence during floods
Elevated pathogen prevalence during floods
Water storage cleanliness and hygiene are compromised
Water storage cleanliness and hygiene are compromised
Increase in water-borne diseases
Increase in water-borne diseases
Climate change contributes to poor air quality, primarily due to increased levels of ground-level ozone and particulate matter.
These pollutants can exacerbate respiratory conditions, including asthma and chronic obstructive pulmonary disease (COPD), leading to increased morbidity and mortality.(31)
Climate Change and Your Lungs
Extreme heat can exacerbate respiratory conditions like asthma and COPD, leading to difficulty breathing and increased risk of lung infections. Prolonged exposure to high temperatures can also worsen air quality, triggering inflammation and respiratory distress in vulnerable individuals.
Floods can worsen lung health by promoting mold growth, triggering respiratory issues, and exposing individuals to contaminated water, leading to respiratory irritation and infections.
TIMELINE Infographic
Climate-driven air pollution intensifies respiratory issues by raising levels of harmful pollutants like particulate matter and ozone, exacerbating lung conditions and increasing the risk of respiratory diseases.
Climate change can extend the pollen season and boost pollen levels, intensifying respiratory symptoms like allergies and asthma, ultimately worsening lung health.
Infectious diseases worsened by climate change, like dengue fever or Zika virus, can directly affect lung health through respiratory symptoms. Additionally, increased transmission rates in warmer climates heighten the risk of respiratory infections, exacerbating respiratory distress in affected populations.
The ground-level ozone forms when pollutants like nitrogen oxides and volatile organic compounds react in the presence of sunlight. Warmer temperatures and higher levels of sunlight associated with climate change promote the formation of ground-level ozone. Increased levels of ozone in the air can trigger respiratory symptoms, such as coughing, wheezing, and shortness of breath, and can also cause inflammation and damage to the respiratory system.(32)
Particulate matter, consisting of tiny particles suspended in the air, is another pollutant influenced by climate change. These particles can be directly emitted from sources like vehicle exhaust and industrial emissions, or they can form through complex chemical reactions in the atmosphere.
Climate change can affect particulate matter levels through factors such as altered wind patterns, increased wildfires, and changes in the frequency and intensity of dust storms. Fine particulate matter, known as PM2.5, can penetrate deep into the lungs and even enter the bloodstream, leading to respiratory and cardiovascular problems.(33
Estimated Excess Mortality Attributed to Air Pollution In Europe, and the Contributing Disease Categories
Source: https://www.eurekalert.org
Europe sees a staggering 790,000 additional deaths attributed to the presence of ambient air pollution.
Other non-communicab le Diseases
The impact of poor air quality on respiratory health is particularly significant for individuals with pre-existing conditions such as asthma and COPD. Climate change-associated pollutants can exacerbate these conditions, triggering asthma attacks and worsening COPD symptoms. For individuals with COPD, exposure to air pollutants can lead to increased coughing, production of mucus, shortness of breath, and a decline in overall lung function. This exacerbation can result in hospitalisations and a decreased quality of life.
Climate change can also contribute to more frequent and severe wildfires, leading to the release of particulate matter and other pollutants. Inhalation of wildfire smoke can exacerbate respiratory conditions and pose a significant threat to individuals with pre-existing respiratory issues. Long-term exposure to high levels of air pollution has been linked to the development of respiratory diseases and increased mortality rates. This is not only due to the immediate impacts on respiratory health but also the cumulative effects on cardiovascular health, which can further complicate respiratory conditions.(34)
Changes in temperature and precipitation patterns can reduce crop yields, impair food quality, and contribute to malnutrition and food insecurity, particularly in vulnerable populations.(35) Changes in temperature patterns can have detrimental effects on agricultural productivity. Rising temperatures can accelerate the rate of evaporation, leading to increased water stress for crops. This can result in reduced yields and stunted growth for various crops, including staple food crops such as wheat, rice, and maize (36). Additionally, extreme heat events can cause heat stress in plants, leading to physiological damage and reduced crop productivity.(37)
Alterations in precipitation patterns, including changes in the timing, intensity, and distribution of rainfall, also impact agricultural production. Increased frequency and intensity of droughts, coupled with irregular rainfall patterns, pose significant challenges for farmers in maintaining crop productivity. Insufficient water availability can lead to crop failure, reduced yields, reduced nutrient content in crops, and increased vulnerability to pests and diseases.(38)
The effect of climate change on the nutritional composition of crops can be reducing the quality and availability of key nutrients.
This has serious implications for the nutritional status and health of individuals, particularly in regions heavily reliant on subsistence farming and with limited access to alternative food sources.(39)
Interplay Between Climate Change, Food Security, Nutrition, and Human Health

The climate-related impacts on agriculture can have far-reaching consequences for food availability and quality.
Subsistence farming, often practiced in vulnerable regions, relies heavily on local crop varieties. Climate-induced changes can introduce uncertainties in crop yields due to altered growing conditions, affecting the stability of food production and availability. In regions where subsistence farming is a primary source of food, climate-induced changes that compromise the nutritional quality of crops can contribute to malnutrition. This is a serious public health concern, particularly for vulnerable populations, including children and pregnant women.(40)
Reduced crop yields and lower agricultural productivity can limit the availability of essential food commodities. When the availability of essential food commodities decreases, the basic economic principle of supply and demand comes into play. With lower supply and constant or increasing demand, food prices are likely to rise. This can result in financial strain for consumers, particularly those with limited resources. Vulnerable populations, including low-income households and communities in developing countries, are disproportionately affected by increases in food prices. A rise in the cost of staple foods can lead to food insecurity, malnutrition, and a decreased ability to access a balanced and nutritious diet.(37, 41)













Adopted from: https://farmingfirst.org












































Higher food prices can lead to shifts in dietary patterns, with individuals and families opting for more affordable but less nutritious food options.
This can contribute to a decline in overall diet quality and an increased risk of malnutrition and diet-related health problems. Vulnerable populations, such as children, pregnant women, and the elderly, are particularly susceptible to the nutritional consequences of reduced access to nutritious foods.
This can have long-term implications for physical and cognitive development, especially in children. Vulnerable populations are particularly susceptible to the adverse impacts of climate change on agriculture. Small-scale farmers, rural communities, and low-income populations often lack the resources and adaptive capacity to cope with the challenges posed by climate change. These populations may face increased food insecurity, malnutrition, and poverty because of reduced agricultural productivity and limited access to markets (37).
There is a consensus that climate change intensifies established risk factors associated with known mental disorders.
(42)
The impact of climate change on mental health vulnerability is expected through both direct pathways (e.g., severe weather events) and indirect pathways (e.g., heightened physical health burdens, disruptions to social and economic structures, compelled migration). Loss of homes, livelihoods, and social support networks can lead to psychological distress, anxiety, depression, and PTSD.(44)

Mental-health vulnerability increases in a nonlinear way through exposures that operate with additive, interactive, and cumulative effects (e.g., extreme weather events, heat exposure, worry about climate change).
At the same time, plasticity decreases, and risk of exposures to new threats rises with time and because of unmitigated climate change (green-yellow triangle and yellow-orange triangle). Adaptation and prevention efforts (e.g., effective disasterresponse planning, climate-change education) that begin early are more successful at reducing mental-health risk (low-risk trajectory) compared with efforts that begin in adolescence or adulthood (high-risk trajectory), especially for vulnerable populations.
The effect of timing of adaptation and prevention on mental-health vulnerability in the context of climate change

Source: World health organisation; Climate change. 12 October 2023
The experience of natural disasters, such as hurricanes, floods, and wildfires, can have immediate and long-term psychological effects on individuals and communities.
The sudden loss of property, personal belongings, and even loved ones can lead to profound grief, shock, and trauma. Studies have shown that survivors of natural disasters are at an increased risk of developing mental health disorders, including anxiety and depression.(45, 46)
Displacement, another consequence of climate change-related events, further compounds mental health challenges. When individuals are forced to leave their homes and communities due to rising sea levels, droughts, or other environmental factors, they face a multitude of stressors. Displaced individuals often experience a sense of loss, disconnection, and uncertainty about the future. The loss of familiar surroundings and social support networks can contribute to feelings of isolation, depression, and a loss of identity.(47, 48) PTSD is a common mental health outcome following climate change-related events. Individuals who have experienced or witnessed traumatic events, such as surviving a natural disaster, may develop symptoms such as intrusive thoughts, flashbacks, nightmares, and hyper-vigilance. These symptoms can persist long after the event and significantly impact daily functioning and overall wellbeing.(49)
Of particular concern are children and adolescents, given their rapidly evolving brains, heightened susceptibility to diseases, and limited ability to navigate or adapt to the emerging threats and consequences. This demographic group, more than any other, tends to harbor significant worries about the implications of climate change.
Considering a developmental life-course perspective it appears that climatechange-related threats can synergistically, interactively, and cumulatively elevate the risk of psychopathological outcomes from conception onwards. Importantly, these effects are not theoretical. They are already unfolding and pose a substantial threat to healthy human development on a global scale. The mental health implications of climate change-related events are not limited to immediate survivors. First responders, healthcare workers, and community leaders involved in disaster response and recovery efforts are also at risk of experiencing mental health challenges. The stress and emotional toll associated with providing support and witnessing the suffering of others can lead to burnout, compassion fatigue, and secondary traumatic stress.(50)
The main consequences of climate change and potential mental health effects are presented in Appendix 1.
The increasing health challenges resulting from climate change impose a significant burden on healthcare systems globally.
The additional demand for healthcare services, including emergency care, hospitalisations, and long-term management of chronic conditions, places strain on existing resources and infrastructure. The financial costs associated with treating climate change-related health conditions can be substantial, further burdening healthcare systems and exacerbating health inequalities.(51)
Extreme weather events, such as heatwaves, hurricanes, and floods, can result in injuries, respiratory distress, and heat-related illnesses, requiring immediate medical attention. The surge in patients seeking emergency care during and after these events can overwhelm healthcare facilities and stretch the capacity of healthcare providers. This influx of patients not only challenges the physical infrastructure of hospitals and clinics but also strains the available workforce, leading to potential delays in treatment and compromised overall healthcare delivery.(52)
Hospitalisations also increase because of climate change impacts on health.(53) The changing climate contributes to a range of health challenges, including more frequent and intense heatwaves, the spread of infectious diseases, and the exacerbation of respiratory conditions. Rising temperatures, for instance, contribute to heat-related illnesses and exacerbate chronic conditions, such as cardiovascular and respiratory diseases.
Additionally, the altered distribution of disease vectors, influenced by climate factors such as temperature and precipitation, can contribute to the spread of vector-borne diseases, necessitating medical intervention. Moreover, the degraded air quality resulting from climate change-related events, such as wildfires and increased air pollution, can escalate respiratory ailments, further driving hospitalisations. These conditions often require hospitalisation for specialised care and treatment.
The long-term management of chronic conditions is affected by climate change as well.
The changing climate patterns can worsen existing health conditions, including respiratory diseases like asthma and COPD. Additionally, vector-borne diseases such as Lyme disease and dengue fever, which are influenced by climate factors, require ongoing management and treatment. The increased prevalence of these conditions places an additional burden on healthcare systems, necessitating the availability of specialised care and access to medications and challenges their capacity to provide adequate care for all patients.(44, 54)

Source: World Health Organisation; Climate Change. 12 October 2023
The economic consequences of health conditions stemming from climate change unfold across two dimensions.
Initially, disadvantaged populations grapple with heightened challenges in accessing and financing essential healthcare services, thereby intensifying pre-existing health disparities (55, 56). S imultaneously, healthcare systems bear the financial burdens associated with treating climate change-related health conditions.

These substantial expenses encompass emergency care, hospitalisations, medications, and long-term management. Recent studies indicate that the global costs of treating additional cases of malnutrition, diarrheal disease, and malaria attributed to climate change by 2030 are estimated to range between USD 4 and USD 12 billion.(57)
These financial implications place strain on healthcare budgets, presenting challenges in resource allocation to other critical areas within the healthcare sector. Effectively addressing these economic challenges requires a comprehensive approach to mitigate both the individual and systemic consequences of climate change on health.

Global greenhouse gas emissions are distributed across various sectors, each playing a distinct role in contributing to the complex landscape of climate change.
The major sectors include energy, agriculture, industry, transportation, and buildings.
The energy sector stands as the primary contributor, responsible for a significant portion of emissions due to the combustion of fossil fuels for electricity and heat production.
Global Greenhouse Gas Emissions by Sector

Source: Shahid MS, Osonuga S, Twum-Duah NK, Hodencq S, Delinchant B, Wurtz F. An Assessment of Energy Flexibility Solutions from the Perspective of Low-Tech. Energies. 2023 Apr 6;16(7):3298.
Agriculture, through practices like livestock farming and rice cultivation, releases substantial amounts of methane and nitrous oxide.
The industrial sector, encompassing manufacturing and chemical processes, contributes emissions from both energy use and specific industrial activities. Transportation, reliant on fossil fuels, releases significant carbon dioxide emissions.
Lastly, the building sector, comprising residential and commercial structures, contributes through energy consumption for heating, cooling, and electricity. Understanding the sectoral distribution of greenhouse gas emissions is crucial for formulating effective mitigation strategies, as it enables targeted interventions and policy measures to address the unique challenges posed by each sector in the global effort to combat climate change.
In the pursuit of enhancing overall health conditions, the healthcare sector, comprising public health systems, pharmaceutical companies, hospitals, and emergency services, has traditionally prioritised patient wellbeing.
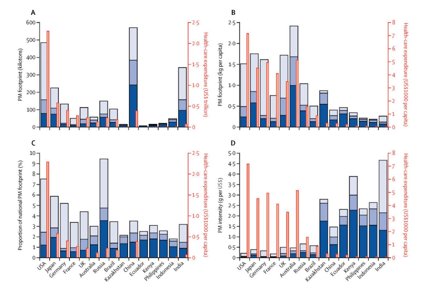
However, a critical aspect that has often been overlooked is the sector’s own contribution to environmental degradation. Paradoxically, the very institutions dedicated to healing and wellbeing are significant contributors to climate change, generating harmful emissions and substantial waste. In the fiscal year 2014–15, Australia allocated $161.6 billion for healthcare, resulting in the generation of approximately 35,772 kilotonnes of CO2e emissions.(58)
Contribution of Different Sectors to the Greenhouse Gas Emissions of the NHS England (2019)
Source: Tennison et al., (2021) The Lancet. Planetary health, 5(2), e84–e92. Chapter 4: Healthcare Sector Contribution to Climate Change

During the same period, Australia’s overall CO2e emissions amounted to 494,930 kilotonnes.
Therefore, healthcare accounted for 35,772 kilotonnes, constituting 7% of the total 494,930 kilotonnes of CO2e emissions in the country during 2014–15.
The environmental impact of the healthcare sector extends across various facets, including energy-intensive medical facilities, pharmaceutical production processes, and the disposal of medical waste. From the construction and maintenance of healthcare infrastructure to the energy consumption required for medical equipment and the carbon footprint associated with emergency services and pharmaceutical manufacturing, the sector inadvertently amplifies its environmental footprint. This phenomenon creates a self-perpetuating cycle wherein the healthcare sector, while striving to alleviate health issues, inadvertently exacerbates environmental challenges.
On a global scale, healthcare contributes approximately 4.4% to net emissions, a figure comparable to the annual emissions output of over 500 coal-fired power plants. To put it in perspective, if the global healthcare sector were considered a nation, it would stand as the fifth-largest emitter of greenhouse gases (59). In Australia, the healthcare sector’s contribution to climate change is substantial, with approximately seven percent of the national carbon footprint attributed to this sector.(60)
This emphasises the urgent need for the healthcare industry to take proactive and comprehensive actions towards sustainability to minimise its impact on the Earth’s environment.
One of the key contributors to the healthcare sector’s carbon footprint is the generation of greenhouse gas emissions. Australia’s healthcare system predominantly relies on coal-generated power. Healthcare facilities, such as hospitals, consume significant amounts of energy for heating, cooling, lighting, and medical equipment, which often rely on fossil fuel-based sources.
This constitutes approximately 7% of the country’s overall carbon footprint. To put this into perspective, it equals the carbon footprint of South Australia. Within this sector, hospitals and health services emerge as the largest consumers of electricity within a state or territory, contributing to 44% of the sector’s national emissions.
Total and Relative Co2e Emissions for Thirteen Health-Care Expenditure Categories

Source: Bolton A. From health sector waste minimisation towards a circular economy
Pharmaceuticals make up 18% of the emissions, while other sources, including specialist and General Practice (GP) services, contribute 10%, followed by capital works at 8%.
These energy-intensive operations contribute to the release of carbon dioxide and other greenhouse gases into the atmosphere.(85, 61) Additionally, the healthcare sector produces substantial amounts of waste, including hazardous materials, pharmaceuticals, and medical supplies. Improper management of healthcare waste can lead to the release of toxic substances and pollutants into the environment, further contributing to environmental degradation.(62)
In confronting these challenges, it becomes necessary for healthcare entities to accept sustainable strategies aimed at mitigating their ecological footprint. Such initiatives encompass the incorporation of energyefficient technologies, the streamlining of waste management systems, active promotion of recycling and reuse programs, and the incorporation of sustainable procurement practices.
The potential benefits of green infrastructure in healthcare facilities, like the integration of green spaces, not only contribute to environmental sustainability but also enhance patient wellbeing and recovery outcomes (63). Recent studies also highlight the importance of incorporating renewable energy sources, such as solar and wind power, into healthcare facilities to further reduce their environmental impact and enhance overall sustainability.(64)
Healthcare professionals play a crucial role in advocating for and implementing sustainable healthcare practices, through raising awareness among staff and patients, promoting environmentally friendly practices, and integrating sustainability principles into healthcare policies and guidelines.
This approach can assist the sector in reducing its carbon footprint and contribute to a healthier environment.
In Australia and New Zealand, the Australian and AoNZ (Aotearoa New Zealand) region of the Global Green and Healthy Hospitals (GGHH) network boasts active participation from over 200 health systems, health networks, and individual hospitals, collectively representing approximately 1,700 facilities and services.
This collaborative effort signifies a robust commitment within the healthcare sector to address environmental challenges and promote sustainable practices.
Upon joining the GGHH network, these healthcare institutions voluntarily pledge to reduce their carbon footprint and enhance environmental sustainability. The focus is not solely on environmental aspects but also extends to fostering public health. To achieve these objectives, participating entities commit to working on a minimum of two out of the ten sustainability goals outlined by GGHH.
These goals contain a wide spectrum, including energy efficiency, waste reduction and management, water conservation, sustainable building practices, transportation, food sustainability, pharmaceutical usage, chemical management, responsible procurement, and leadership initiatives.


Environmental risk management and sustainability are critical components of modern healthcare sectors.
These sectors consume substantial amounts of energy and water and generate a considerable amount of waste and GHC.
As a result, healthcare sector has a significant environmental impact and vastly contributes to climate change and therefore have a responsibility to identify and mitigate environmental risks associated with their operations. This includes assessing potential hazards and developing strategies to minimise negative impacts on the environment. Environmental risk management in healthcare involves identifying sources of pollution, waste generation, and harmful emissions, and implementing measures to control and reduce these risks.(65)
The adoption of sustainable practices by healthcare sector is essential to promote the long-term wellbeing of both human health and the environment, through reducing the negative impact on the environment, promote cost savings, and improve its public image. Sustainable healthcare practices encompass a wide range of strategies, including reducing energy and water consumption, minimising waste generation, and implementing sustainable waste management practices, adopting green building design, and promoting environmentally friendly procurement practices.(66, 67)
Energy efficiency plays a vital role in sustainable healthcare with dual benefits: mitigating greenhouse gas emissions and achieving significant cost savings.(68) The inherent energy intensity of healthcare facilities, driven by the continuous operation of medical equipment, climate control systems, and lighting, emphasises the urgency of adopting measures to curtail energy consumption.
Strategic initiatives include the incorporation of advanced technologies designed for energy efficiency, retrofitting buildings with improved insulation to enhance thermal performance, optimising lighting systems to minimise electricity use, and incorporating renewable energy sources into the energy mix. These measures align with the World Health Organisation’s recommendations from 2009, emphasising the critical role of energy conservation in reducing the environmental footprint of healthcare operations.
Beyond environmental considerations, the economic implications of energy reduction strategies are substantial, with cost savings allowing for the reallocation of resources to core healthcare services, ultimately development a more sustainable and resilient healthcare infrastructure.
Integration of renewable energy sources holds promise in transforming the healthcare sector into a more environmentally conscious entity. The deployment of solar panels, wind turbines, and other renewable technologies can significantly contribute to the generation of clean and sustainable energy within healthcare facilities.
This transition not only lessens reliance on fossil fuels but also positions healthcare institutions as models for eco-friendly practices. Embracing renewable energy not only aligns with global efforts to combat climate change but also exemplifies the healthcare sector’s commitment to sustainable development.
Framework for Building Climate Resilient and Environmentally Sustainable Health Care Facilities

Waste management is another crucial aspect of sustainability in healthcare. Proper management of healthcare waste, including hazardous materials and pharmaceuticals, is essential to prevent environmental contamination.
Applying waste segregation, recycling programs, and safe disposal methods can minimise the impact of healthcare waste on ecosystems and public health.(69) Furthermore, sustainable building design and infrastructure contribute to the overall environmental performance of healthcare facilities.
Green building practices focus on reducing resource consumption, improving indoor air quality, and utilising eco-friendly materials. Incorporating elements such as natural lighting, efficient water usage, and green spaces can create healthier environments for patients, staff, and the surrounding community.(68)

In ambulance sector, environmental management plays a crucial role in minimising the impact of ambulance operations on the environment.
As the front line of emergency care providers, ambulances contribute to greenhouse gas emissions and have an opportunity to adopt sustainable practices that can reduce their carbon footprint. Research indicates that each ground ambulance response in Australia is estimated to produce approximately 22 kg of CO2 emissions. This emission rate has significant implications when considering the scale of ambulance operations nationwide.
Annually, this translates to an estimated range of 216,369 to 546,688 tonnes of CO2 emissions produced by ground ambulances alone in Australia.(70, 71)
The magnitude of these emissions highlights the importance of addressing environmental impact within the ambulance sector. The emissions from ambulances represent a notable portion of the total carbon footprint of the Australian health sector, accounting for between 1.8% and 4.4% of the sector’s overall emissions.(71)

To minimise the environmental impact of ambulance operations, several strategies can be implemented.
One approach is to transition to greener and more fuel-efficient vehicles. This involves adopting hybrid or electric ambulances that produce fewer emissions or utilising alternative fuels such as biodiesel.
Vehicle maintenance and optimisation of routes can also contribute to reducing emissions and fuel consumption. Moreover, implementing eco-driving techniques and training programs for ambulance drivers can lead to more efficient driving practices, further reducing fuel consumption and emissions. Additionally, reducing idle time during ambulance responses and adopting energy-efficient equipment can contribute to lowering the carbon footprint of ambulance operations.
Furthermore, organisations within the ambulance sector can engage in sustainability initiatives, such as monitoring and tracking emissions, setting emission reduction targets, and implementing energy-saving measures in ambulance stations and facilities The use of renewable energy sources and energy-efficient technologies within ambulance facilities can help to decrease the environmental impact.
To avert the most severe health consequences of climate change, a decisive reduction in global emissions by half is indispensable by 2030, ultimately culminating in achieving net-zero emissions by 2050. (10)
The mounting evidence of climate change has prompted nations to markedly enhance their climate commitments. The United States, for instance, recently pledged to slash emissions by 50–52% below 2005 levels by 2030, positioning itself on a trajectory towards net zero by 2050. Similar heightened commitments have been observed from Japan, Canada, the United Kingdom, the European Union, and South Korea, with the G7 collectively agreeing to cease financing new fossil fuel projects.(72)
Presently, many nations, representing over two-thirds of global Gross Domestic Product (GDP) and 72% of global emissions, have established some form of net-zero emissions target.(70) If these commitments translate into tangible actions, the projected global temperature increase by 2100 is anticipated to fall within the range of 2.0–2.4 °C. While sustained efforts are crucial, the goals set in the Paris Agreement appear to be within reach.(73)
Environmental policy development and sustainability are critical issues that have become increasingly relevant in recent years.
Environmental policies are the guidelines, principles, regulations, and laws that govern the actions of individuals, organisations, and governments with regards to the environment. Sustainability, on the other hand, refers to the ability to meet the present needs without compromising the ability of future generations to meet their own needs. Environmental policy development involves the formulation of policies, strategies, and regulations aimed at mitigating the negative impacts of human activities on the environment. These policies aim to protect the environment by controlling pollution, conserving natural resources, and promoting sustainable development.
Within Australia, there is an evident and expanding support for robust climate leadership (74). Public expectations are on the rise, with a widespread anticipation that the federal government should at least align its ambition with that of countries such as the UK and the US. Despite Australia’s recent commitment to a net-zero by 2050 target, the nation is often perceived as a climate laggard, contributing to the erosion of diplomatic credibility.(75)
Criticism from Pacific Island states and the United States has been voiced, and Australia ranks last for carbon and energy policy in the 2021 Sustainable Development Report.(76)
Nevertheless, the Organisation for Economic Cooperation and Development (OECD) underscores Australia’s unique economic advantage in the context of global decarbonisation due to abundant renewable resources.
Paradoxically, Australia is confronted with economic vulnerabilities and climaterelated challenges in a world undergoing both warming and decarbonisation.(77) (78)
The absence of a coherent national strategy and delayed action have resulted in missed opportunities, compelling Australia onto a steeper emissions reduction path to achieve net zero by 2050.(79) With carbon pricing becoming integral to global trade, Australia’s carbon-intensive export industries face unease, particularly with the European Union implementing a carbon border adjustment mechanism (CBAM) in 2023–26, and the United States and China contemplating carbon tariffs.(80)
Health systems emerge both as contributors to and potential mitigators of the climate change predicament.(81-83)
Approximately 7% of Australia’s carbon emissions stem from its healthcare system, a figure equivalent to the entire emissions output of South Australia.(84) This compares with a global average of 4.4%, and figures of 6% and 10% in the UK and US, respectively.(85)
Health systems play a pivotal role in safeguarding populations from health threats resulting from climate change impacts, including rising temperatures and extreme weather events.
Thus, health systems occupy a unique position as both contributors to the climate change problem and key entities responsible for managing its health ramifications. Recognising this dual role, the World Health Organisation’s Special Report for COP offers an extensive overview of the health impacts of climate change, delineates the health co-benefits associated with climate action, and presents ten high-level recommendations for concerted action.(86)
Sustainability is at the core of environmental policy development in Australia as the country grapples with a range of environmental challenges, including climate change, biodiversity loss, and pollution.
In Australia only, climate change resulted in exacerbating extreme weather events in the last decades. Heatwaves, hurricanes, floods, droughts, and wildfires have become more frequent and intense, causing widespread devastation to natural and human systems alike.
Environmental policy development in Australia has been driven by the recognition of the profound impacts of environmental degradation on human health and wellbeing.
Australia’s Climate has Warmed Since National Records Began in 1910. The Oceans Surrounding Australia have also Warmed.


Data Source: Bureau of Meteorology, ERSST, v5, www.esrl.noaa.gov
The environmental policies that were implemented by the Australian government include the National Environment Protection Council (NEPC), the Environment Protection and Biodiversity Conservation Act 1999 (EPBC Act), and the Renewable Energy Target (RET).
Loss of Potential Habitat for Threatened Species, Migratory Species, and Threatened Ecological Communities




Dark blue represents compliant loss (or loss that occurred with a referral under the EPBC Act) and dark red represents non-compliant loss (or loss that occurred without a referral under the EPBC Act). Three panels highlight the southern Western Australia coast (left), Tasmania (middle), and northern Queensland coast (right). Source: Ward M. et al. Conservation Science and Practice (2019).
The NEPC stands as a crucial intergovernmental entity in Australia, tasked with the responsibility of safeguarding the nation’s environmental integrity.
Established to oversee the quality of the Australian environment, the NEPC operates through the development and implementation of national environmental standards. These standards, outlined in collaboration with state and territory governments, address a spectrum of environmental concerns, ranging from air and water quality to pollution control and waste management. In the context of human health and sustainable development, the NEPC plays a pivotal role in setting benchmarks that ensure the wellbeing of both the populace and the environment. For instance, the NEPC’s air quality standards are specifically crafted to regulate pollutant concentrations in the atmosphere, aiming to secure clean and healthy air for the Australian population.(87)
The air quality standards established by the NEPC are instrumental in mitigating health risks associated with air pollution. These standards actively contribute to the prevention of respiratory and cardiovascular diseases through delineating permissible levels of pollutants like particulate matter and ozone.
The careful regulation of air quality aligns with broader public health objectives and underlines the commitment of the Australian government, as reflected in the Commonwealth of Australia’s 2015 document, to fostering a sustainable and health-conscious living environment. Consequently, the NEPC serves as a cornerstone in Australia’s environmental governance framework, orchestrating collaborative efforts to ensure that environmental standards are not only met but also optimised for the holistic wellbeing of the nation’s citizens.(87)
The Environment Protection and Biodiversity Conservation ct 1999 (EPBC Act) holds utmost significance in the legal framework of Australia, as it plays a pivotal role in safeguarding the nation’s biodiversity and ensuring ecological sustainability.
Enacted to address and mitigate the potential adverse impacts of development activities on the environment, the EPBC Act places a particular emphasis on the conservation of threatened species and ecosystems, as outlined by the Department of Agriculture, Water, and the Environment. Beyond its immediate environmental focus, the Act holds broader implications for human health and wellbeing through its commitment to preserving biodiversity.
Biodiversity preservation is a cornerstone objective of the EPBC Act due to its recognition of the intricate linkages between ecosystems and human welfare. Biodiversity supports crucial ecosystem services that are indispensable for human survival, encompassing functions such as water purification, soil fertility maintenance, and climate regulation.
Decision tree outlining the referral process under the EPBC Act 1999

Source: Adapted from Australian Government, 2013.
The Secretariat of the Convention on Biological Diversity, in 2015, highlighted the pivotal role of biodiversity in securing clean water, nutritious food, and a stable climate— essential components for human health.
Therefore, the EPBC Act, by championing the conservation of biodiversity and ecosystems, indirectly contributes to the enhancement of human health by ensuring access to these fundamental ecosystem services.(87, 88)
Within the broader context of environmental sustainability, the EPBC Act aligns with the RET policy in Australia. The RET policy seeks to bolster the utilisation of renewable energy sources by establishing a target of 33,000 gigawatt-hours of renewable energy by the year 2020.
Together, EPBC and RET legislative measures form a framework for the protection and management of Australia’s biodiversity, environment, and energy resources, reflecting a holistic approach towards sustainable development and the wellbeing of both the nation and its inhabitants.(89)
The RET in Australia is a comprehensive policy framework designed to promote and increase the share of renewable energy in the country’s electricity generation.
The primary objective of this initiative is to transition the energy sector towards cleaner and more sustainable sources, thereby reducing reliance on traditional fossil fuels and addressing environmental concerns, such as air pollution and climate change.(90)
The RET’s target of achieving 33,000 gigawatt-hours (GWh) of electricity generation from renewable sources by the year 2020 is a crucial milestone that reflects the government’s commitment to fostering a more sustainable and environmentally friendly energy landscape. The policy operates by encouraging the development and deployment of renewable energy projects across various technologies, including solar, wind, hydro, and bioenergy.
To incentivise participation and investment in the renewable energy sector, the RET employs a system of Renewable Energy Certificates (RECs). These certificates are granted to renewable energy generators for each megawatt-hour of electricity produced and can be sold to liable entities, such as electricity retailers, who are obligated to acquire a certain percentage of their electricity from renewable sources.
The implications of the RET extend beyond the scope of energy production.
They also have significant impacts on human health and the environment. One of the most notable benefits is the reduction of air pollution. Traditional energy sources, particularly those based on fossil fuels like coal, contribute to air pollution through the release of pollutants such as sulfur dioxide, nitrogen oxides, and particulate matter.
Australian GHG Emisssions MtCO2e/year
Through increasing the proportion of electricity generated from renewable sources, the RET helps decrease the emission of these harmful pollutants, leading to improvements in air quality and subsequently promoting better respiratory health among the population.

Climate targets of major Australian political parties and independent candidates, with historical emissions (grey), including from the land use, land use change and forestry sector (dark grey). The bar on the right indicates compliance with different temperature targets. Source: Climate Analytics. https://climateanalytics.org
The combustion of fossil fuels releases greenhouse gases, primarily carbon dioxide, into the atmosphere, contributing to the greenhouse effect and global warming. This increase in using renewable energy helps reduce the carbon footprint of the energy sector, contributing to national and global efforts to combat climate change. This, in turn, has broader implications for public health, as climate change itself poses various risks to health, including the spread of infectious diseases, heat-related illnesses, and disruptions to food and water supplies.
All together, Australia has committed to reducing its greenhouse gas emissions by 26-28% below 2005 levels by 2030. The transition to renewable energy sources, such as solar and wind power, helps to reduce greenhouse gas emissions, leading to improved air quality and reduced respiratory ailments. The substitution of fossil fuels with renewable energy also mitigates climate change, which has far-reaching consequences for human health, including the spread of infectious diseases, food security, and mental health impacts.(91)
Climate Action Goals Across State and territory Governmments


Within the Commonwealth, the Australian Government has officially ratified the Paris Agreement, a commitment made under the United Nations Framework Convention on Climate Change (UNFCCC).
This commitment necessitates parties to consider the ‘citizen’s right to health’ as an integral part of their national response to climate change.
In alignment with this Agreement, Australia has pledged to achieve an economy-wide emissions reduction target, aiming for a 26–28% decrease below 2005 levels by 2030.
Additionally, the nation is obligate to contribute financial support to the Green Climate Fund, amounting to $100 billion annually. Notably, Australia has not made any contributions to the fund since 2019.(92) Contrary to federal ambitions, recent reports indicate that state and territory energy policies, combined with household initiatives such as the installation of rooftop solar, are positioning Australia for emissions reductions ranging from 37–42% below 2005 levels.
Presently, the Commonwealth Department of Health lacks specific programs addressing the intersection of climate change and health.
Funding for research in this domain is limited and predominantly comes from highly competitive grants offered by the Australian Research Council and the National Health and Medical Research Council (NHMRC). Although there are several NHMRC Centers of Research Excellence, none have been established specifically focusing on climate change and health. However, a one-off $10 million Special Initiative in Human Health and Environmental Change was granted in 2021.(58, 93)
Adaptation funding has experienced a decline, notably seen in the reduction of funds allocated to the National Climate Change Adaptation Research Facility (NCCARF) from $50 million over 5 years to a mere $9 million during 2014–2017, with no further funding allocated since 2018. While the Department of Health articulates a vision of ‘better health and wellbeing for all Australians, now and for future generations,’ it is noteworthy that climate change is absent from Australia’s Long-term National Health Plan. Moreover, it is not designated as a national health priority.
Although the draft National Preventive Health Strategy acknowledges climate change, its commitment to developing a national environmental health strategy by 2030 is deemed insufficient, considering the urgency and magnitude of the climate crisis. The absence of coordinated efforts and leadership from the Commonwealth on climate change and health has led to varying policies across state and territory jurisdictions, indicating a lack of a cohesive and organised approach in dealing with the complex issues arising from the intersection of climate change and health. This absence suggests there may be no clear direction or overarching plan to comprehensively tackle the health impacts of climate change.
The decentralisation of decision-making and policy implementation related to climate change and health across different state and territory jurisdictions can have several implications, both positive and negative.
While decentralisation allows for tailored approaches that consider local nuances and priorities, it may also give rise to challenges. One significant concern is the potential lack of consistency and uniformity in addressing climate-related health challenges. Each jurisdiction may adopt its own strategies, priorities, and timelines, leading to a fragmented response to the health risks associated with climate change. This lack of coherence can hinder the development of a comprehensive, nationwide approach to mitigating climate-related health issues.
The decentralised nature of policymaking also opens the door to a patchwork of policies, regulations, and initiatives. Different regions may implement varied measures to address climate change’s impacts on health, potentially creating confusion among the public, stakeholders, and even healthcare professionals. This lack of standardisation could impede efforts to communicate and educate the public about climate-related health risks and appropriate preventive measures.
Furthermore, the absence of a unified approach may hinder collaboration and information sharing between different jurisdictions. Effective responses to climate-related health challenges often require coordinated efforts, shared resources, and knowledge exchange. A decentralised system might struggle to facilitate the necessary collaboration, slowing down the implementation of effective strategies and interventions.
While permitting flexibility to address local needs, it is imperative to establish overarching principles, guidelines, and goals at the national level. This approach ensures a more coherent and synergistic strategy in dealing with the health impacts of climate change, minimising confusion, and optimising the effectiveness of public health initiatives throughout the entire country. A summary graphic of major climate policies and emissions targets across Australian jurisdictions is presented, with detailed tables available in Appendix 2.


Public health and sustainability are interlinked concepts crucial for fostering a healthier future for our planet.
In the face of numerous health and environmental challenges, the need to address these issues through a sustainable and comprehensive approach has never been more urgent.
Public health, at its core, aims to enhance the wellbeing of communities, an objective directly hindered by the environmental unsustainability we currently face. The degradation of sustainability impacts human health in various ways, from air and water pollution to climate change, food insecurity, and environmental toxins.(94)
The negative consequences of human activities on Earth’s environment have come back to affect humanity itself. While public health efforts, such as disease prevention and health promotion, contribute to sustainability by reducing the burden of diseases and disabilities, they can also impose a significant negative impact on the environment.

Source: Created by Cindy Klein-Banai, based on Climate change and human health: Present and future risks McMichael, A. J. et al. (2006). Lancet, 367, 859-869.
PM footprints for health care in selected countries in 2015

(A) PM footprint for health care in each country.
(B) PM footprint per capita.
(C) PM footprint of health care as a percentage of the country’s total PM footprint.
(D) PM footprint per US$. Countries are ordered according to their national health-care expenditure.
Left axes and blue columns show PM footprints; right axes and red columns show health-care expenditure. Shades of blue represent direct (dark blue), first-order (mid-blue), and second-order (light blue) supply-chain contributions. These national estimates are affected by uncertainties of between 15% (large countries) and 40% (small countries). PM=particulate matter.
Source: Lenzen M, Malik A, Li M, Fry J, Weisz H, Pichler PP, Chaves LS, Capon A, Pencheon D. The environmental footprint of health care: a global assessment. The Lancet Planetary Health. 2020 Jul 1;4(7):e271-9.
Public health systems generate substantial medical waste. Improper disposal and incineration of medical waste can lead to pollution of water, soil, and air, posing risks to wildlife, ecosystems, and human health, and contributing to climate change.
Such, this waste includes infectious materials, hazardous chemicals, radioactive substances, and general waste. Healthcare facilities generate approximately 5.9 million tonnes of waste annually, with about 20% being hazardous.
For example, the disposal of unused or expired medications poses a significant environmental risk, as improper disposal can lead to contamination of water sources, affecting aquatic life.(95, 96)
Pharmaceuticals route to a body of water and bioremediation technologies










Source: Ortúzar M, Esterhuizen M, Olicón-Hernández DR, González-López J, Aranda E. Pharmaceutical pollution in aquatic environments: a concise review of environmental impacts and bioremediation systems. Frontiers in microbiology. 2022 Apr 26;13:869332.
Breakdown of energy consumption by major fuel and usage type Chapter Seven: Public Health and Sustainability
The public health system’s contribution to waste generation includes a significant number of single-use items like disposable gloves, masks, and other personal protective equipment, which contribute to sustainability degradation.
The increased use of single-use items during the COVID-19 pandemic has exacerbated this problem.(97)
These items, often made of nonbiodegradable plastics derived from fossil fuels, contribute to littering, pollution of natural habitats, and harm to wildlife.(98)

Source: Bawaneh, Khaled, Farnaz Ghazi Nezami, Md. Rasheduzzaman, and Brad Deken. 2019. Energy Consumption Analysis and Characterization of Healthcare Facilities in the United States Energies 12, no. 19: 3775.
Environmental footprints of health care (2015) Chapter Seven: Public Health and Sustainability

The impact of health care is shown as a percentage of total impact, for the world (segments) and selected countries (spokes), in terms of greenhouse gas emissions (global total=54·4 Gt CO2e), particulate matter (122·2 Mt), NOx (161·9 Mt) and SO2 (167·3 Mt) emissions, malaria risk (113·1 million people),28 nitrogen to water (79·0 Mt),29 and scarce water use (483·9 TL).24 Spokes represent data for the USA (U), Japan (J), the UK (G), Brazil (B), China (C), and India (I). Direct (lightest shade), first order (middle shade), and supply-chain (darkest shade) refer to impacts caused by health care directly, by health care’s immediate suppliers, and the remainder, respectively. CO2e=carbon dioxide equivalent. Gt=gigatonnes. Mt=megatonnes. NOx=nitrogen oxides. SO2=sulphur dioxide. TL=teralitres.
Lenzen M. et al., The Lancet Planetary Health, 2020, 4(7), e271-e279.
Healthcare sectors are energy-intensive operations, relying on electricity for lighting, heating, cooling, transportation, and medical equipment.
The reliance on fossil fuels contributes to air pollution, greenhouse gas emissions, and the depletion of finite natural resources.(99, 100)
Additionally, the healthcare sector’s significant water usage, coupled with inadequate water management, can contribute to water scarcity, especially in regions like Australia, where water resources are limited. The discharge of untreated or improperly treated wastewater from healthcare facilities can pollute water bodies and harm aquatic ecosystems, further impacting environmental sustainability.(100)
Anaesthetic gases, including nitrous oxide, sevoflurane, isoflurane, and desflurane, play a pivotal role in medical procedures, but their impact on climate change is a critical concern within the healthcare sector.
Estimates of their impact on climate change vary widely, ranging from 0.01% to 0.1% of overall global greenhouse gas emissions.(101) Nitrous oxide, with a warming potential about 300 times greater than CO2, significantly contributes to greenhouse gas emissions when released during medical interventions. Desflurane, with an extraordinarily high global warming potential, exceeds that of CO2 by several thousand times. The release of these gases not only poses immediate environmental risks but also exacerbates the broader issue of climate change.
Global efforts to address the environmental impact of anaesthetic gases are gaining traction. Some countries and healthcare institutions are actively working to reduce their carbon footprint associated with anaesthesia through strategies like adopting more environmentally friendly agents, improving waste gas capture systems, and advancing anaesthetic delivery technologies to minimise emissions.
Key atmospheric parameters for nitrous oxide and halogenated anaesthetic gases
IPCC AR6=International Panel on Climate Change Sixth Assessment Report. NA=data not available. ppb=parts per billion. WMO=World Meteorological Organisation. *Recommended by the authors. Source: Sulbaek Andersen et al., (2023). The Lancet. Planetary health, 7(7), e622–e629.
In New Zealand, the primary anaesthetic gases employed are sevoflurane and desflurane. Halogenated ethers typically administered alongside oxygen, nitrous oxide, or a combination of both. Over 95% of administered anaesthetic gases are released into the atmosphere. The adoption of liquid anaesthetics isn’t a feasible substitute, as nearly half of these liquid anaesthesia drugs end up in landfills, contributing to environmental pollution and posing a significant risk of water contamination.
Scientists from the University of Auckland have pioneered an innovative approach. They have devised a novel adsorptive and hydrothermal deconstruction method, utilising hot, pressurised water to break down anaesthetic waste. This process transforms the waste into safe, inert compounds, primarily water, and organic acids like acetic acid. The implementation of this method is projected to slash emissions in New Zealand by 20,000 tonnes of CO2 equivalent annually, while also preventing the release of 5,000 litters of liquid anaesthetic waste into the environment each year.(102)
In another successful initiative, New Zealand has emerged as a leader among developed nations in its campaign to phase out Desflurane, an exceptionally potent greenhouse gas extensively used in surgical procedures. Desflurane surpasses CO2 in potency by several thousand times, contributing significantly to environmental concerns. Remarkably, since 2014, New Zealand has made substantial strides in reducing its carbon footprint associated with volatile anaesthetics, including Desflurane, achieving an impressive 95% reduction.
The current annual usage of Desflurane in New Zealand is a mere 40 tonnes, a sharp contrast to England’s consumption of 40,000 tonnes. This accomplishment underscores New Zealand’s dedication to addressing environmental issues and embracing sustainable practices within the healthcare sector.(103, 104)
Emergency healthcare and sustainability share a complex, two-way
While the primary purpose of emergency healthcare is to provide immediate medical care to those in urgent need, environmental sustainability seeks to ensure the long-term wellbeing of our planet, its resources, and its inhabitants. Despite their seemingly divergent paths, these two trajectories intersect at crucial points, where demand meets supply.
Ambulances constitute pivotal elements within emergency healthcare systems, facilitating the delivery of urgent medical care and transportation services to individuals in distress.
While their role in preserving lives and ensuring prompt medical intervention is indispensable, it is essential to acknowledge the environmental implications associated with their operations. The sustained provision of emergency healthcare services necessitates a consistent allocation of resources, notably energy and water. Any compromise to this ecological equilibrium directly impacts the effective management of essential resources, marking an initial consideration within a broader context.

Source: Mumtaz A, Rehman E, Rehman S, Hussain I. Impact of environmental degradation on human health: an assessment using multicriteria decision making. Frontiers in Public Health. 2022 Jan 20;9:812743.
An impaired environmental condition not only amplifies the need for emergency medical care but also exerts direct and indirect influences on the quality of healthcare provided.
Environmental degradation significantly contributes to the deterioration of existing health conditions and the emergence of new health risks. For instance, industrial emissions and vehicle exhausts culminating in air pollution can instigate respiratory complications, heightening the necessity for emergency care among susceptible populations.(105) Concurrently, water pollution, compromised food sources, and exposure to hazardous substances further compound health emergencies, encompassing instances of poisoning and acute gastrointestinal illnesses.(106)
Deteriorating air quality, attributed to pollutants like particulate matter and ozone, heightens the susceptibility to respiratory infections, aggravates asthma, and elevates the occurrence of cardiovascular events.(107) Factors linked to climate change, such as heatwaves and extreme weather events, contribute to an escalation in the frequency and severity of cardiovascular events, heat-related ailments, and dehydration.(108)
The aggravation of these health conditions stemming from environmental degradation results in an augmented demand for emergency healthcare services.
Environmental degradation not only amplifies the need for emergency care but also compromises the quality of care delivered. For instance, during natural calamities such as floods, hurricanes, or heatwaves, emergency healthcare systems may become inundated, struggling to provide timely and efficient care to affected populations. Constraints on access to healthcare facilities, disrupted supply chains for medical resources, and compromised infrastructure present substantial impediments to emergency responders.(109) Furthermore, these environmental disasters can lead to the displacement of communities, further complicating the delivery of emergency healthcare services.
The growing demand for emergency healthcare in the face of environmental degradation underscores the critical need for comprehensive and sustainable strategies.
Addressing the fundamental causes of environmental decline requires concerted efforts on multiple fronts. One aspect involves reducing greenhouse gas emissions, a pivotal contributor to air pollution and climate change. Implementing stringent policies to curtail emissions from industrial processes, transportation, and energy production becomes paramount.
Simultaneously, advocating for the adoption of clean energy sources, such as renewable energy technologies, contributes to mitigating the adverse impacts on air quality and climate. Furthermore, the enforcement of effective pollution control measures, including stringent regulations on waste disposal and emissions, plays a crucial role in safeguarding environmental health.
On the other front, proactive investments in climate resilience and disaster preparedness are pivotal to fortifying societies against the escalating challenges posed by environmental crises. Developing robust infrastructure capable of withstanding extreme weather events, such as hurricanes or floods, becomes essential to ensure the continued functionality of emergency healthcare systems.
Moreover, fostering community education and engagement in climate resilience practices can empower individuals to respond effectively to environmental emergencies, reducing the strain on healthcare resources. Incorporating these dual approaches, addressing the root causes of environmental degradation, and fortifying societal resilience, communities can effectively alleviate the burden on emergency healthcare systems, as emphasised by Campbell-Lendrum et al.(110)

Ambulances are an integral part of healthcare systems, providing emergency medical care and transport to those in need.
Chapter Eight: Carbon Emission and Ambulance
Ambulances are typically used to respond to medical emergencies from basic first aid to advanced life support, transport patients between healthcare facilities, and provide on-site medical care.
However, the operations of ambulances dramatically enhance carbon emissions, gases released into the atmosphere because of burning fossil fuels, such as gasoline and diesel, commonly used to power ambulances. Additionally, ambulances often need to travel at high speeds and use sirens and lights to navigate through traffic, further increasing their carbon footprint.
While ambulance operation is an absolute need for human communities, the impact of it on carbon emissions can be significant. In the United Kingdom, a similar exploration of ambulance emissions reveals that the annual carbon output amounts to a significant figure.
NHS Ambulance activity-based greenhouse gas emissions by emissions category, 2019

The Lancet Planetary
2021 Feb 1;5(2):e84-92.
Implementing measures to decarbonise the ambulance fleet in the UK has the potential to yield a substantial reduction in emissions, estimated at 87 kt CO2e annually.
To put this into perspective, this reduction is parallel to mitigating the environmental impact of approximately 730,000 car journeys of eight hours each, per year.
According to a study published in the journal Prehospital Emergency Care, ambulance operations in the United States were estimated to produce over 5 million metric tonnes of CO2 equivalent emissions, in one year.
This is equivalent to the emissions from over 1 million passenger vehicles driven for a year. The study also found that ambulance operations accounted for 0.04% of the total US healthcare sector emissions.(111) In Australia, the total emissions from ambulance operations equal to 110,000 to 120,000 metric tonnes of CO2 equivalent each year.(112, 113)
Primary sources of Australian ambulance services’ greenhouse gas emissions, and comparison with reported North American data

Adapted from: Brown LH, Canyon DV, Buettner PG, Crawford JM, Judd J, Australian Ambulance Services Emissions Study Group. The carbon footprint of A ustralian ambulance operations. Emergency Medicine Australasia. 2012 Dec;24(6):657-62.
The quantification of the carbon footprint of ambulance operations extends beyond a mere consideration of fuel consumption, to the term of life cycle assessment (LCA).
LCA is defined by UNE-EN ISO 14,040 as a technique for assessing environmental aspects and potential impacts associated with a product or service.(114) For ambulance vehicles, it is used to holistically evaluate the environmental impact at every stage of ambulance activity, encompassing production, maintenance, fuel consumption, and disposal.
This approach involves assessing the embodied carbon associated with the manufacturing process, which includes the extraction and processing of raw materials, assembly, and transportation.It also entails evaluating the maintenance practices, fuel efficiency, and the operational phase, where emissions are derived not only from fuel combustion but also from auxiliary activities such as idling.
Life Cycle
The disposal phase also considers the environmental impact of decommissioning and recycling or disposing of retired ambulance units, where the emissions at each stage were converted into CO2 equivalent units, incorporating the global warming potential of additional greenhouse gases, such as methane and nitrous oxide, using established emission factors specific to the Australian context.(64)
The incorporation of a broader range of emissions, as outlined in the life cycle assessment, provides a more accurate representation of the environmental impact associated with emergency medical services.(115)


Ambulances can significantly reduce their carbon emissions and environmental impact through various strategies.
One approach is encouraging the use of alternative fuel sources, such as biofuels, electric, or hybrid vehicles.
This aligns with global efforts to reduce carbon footprints and introduces the possibility of charging these vehicles using renewable energy sources, reducing dependence on traditional fossil fuels. However, transitioning to alternative fuel sources involves more than a shift in vehicle technology; it may require substantial investments in infrastructure, including charging stations and grid enhancements, to support the unique energy requirements of electric or hybrid vehicles.
Operational changes, training programs, and maintenance protocols must also adapt to accommodate the distinctive features of these alternative fuel systems. Despite challenges, the potential benefits in terms of reduced emissions and long-term sustainability make the pursuit of alternative fuel sources a meaningful avenue for advancing eco-conscious ambulance operations.

Source: Chen Q, Khattak SI. The future of green transportation: evaluating the impact of innovation in hybrid electric vehicles relating technologies on carbon dioxide emissions in Asia’s top knowledge-based economies. Environmental Science and Pollution Research. 2023 Oct;30(48):105398-414.
One effective strategy to mitigate the environmental impact of ambulances is the adoption of electric vehicles powered by batteries.
Electric ambulances have gained attention due to their potential to reduce greenhouse gas emissions and dependence on fossil fuels.
While the upfront investment for electric ambulances may be higher, the potential for long-term savings is considerable.
Total CO2-Equivalent Life-Cycle Emissions from Commercially Available Passenger Cars

Source: Buberger J. et al. Renewable and Sustainable Energy Reviews, 2022, 159, J. Buberger, A. Kersten, M. Kuder, R. Eckerie, T. Weyh, T. Thiringer (2022) Chapter Nine: Sustainability Approaches
Electric ambulances typically incur lower operating costs, primarily attributed to reduced maintenance and fuel expenses.
This cost-efficiency is particularly advantageous for ambulance services operating within constrained budgets, offering the prospect of substantial savings over the vehicle’s lifespan. The financial benefits extend beyond the initial purchase, as electric ambulances require less frequent maintenance and have fewer components prone to wear and tear.
Additionally, the ongoing operational costs are mitigated by the lower cost of electricity compared to traditional fuel. These factors contribute to a compelling economic case for the adoption of electric ambulances, making them an increasingly attractive option for emergency medical services globally.
Zero-Emission Electric Ambulance, Netherlands
Several regions worldwide have already begun adopting electric ambulances, indicating a growing acknowledgment of the manifold benefits they bring, not only in terms of environmental sustainability but also in addressing fiscal constraints faced by ambulance services. This global shift toward electric ambulances can be seen as a pragmatic response to financial challenges.
Despite the initial higher acquisition costs, the long-term economic advantages, driven by reduced maintenance and operational expenses, position electric ambulances as a financially astute investment. The decreasing reliance on traditional fuels contributes not only to cost savings but also to a diminished carbon footprint, demonstrating a harmonious integration of economic prudence and environmental responsibility within emergency medical services.

Moreover, as technology advances and charging infrastructure becomes more prevalent, the economic viability of electric ambulances is poised to strengthen.
Ongoing research and development in battery technologies promise continuous improvements in energy storage capacity, charging speed, and overall performance. The integration of cutting-edge battery innovations into electric ambulances not only enhances their operational capabilities but also positions them as dynamic contributors to the evolution of sustainable and technologically sophisticated emergency medical services.
Electric ambulances typically utilise lithium-ion batteries, known for their high energy density, long cycle life, and fast charging capabilities. These batteries seamlessly power essential functions, ranging from critical medical equipment to auxiliary systems that ensure the comfort and wellbeing of patients and medical staff.
The high energy density enables the support of diverse ambulance functions, underscoring the versatility and reliability of electric ambulances in delivering comprehensive emergency medical services.
Furthermore, the long cycle life of lithiumion batteries contributes to the durability and longevity of electric ambulances. These batteries can withstand numerous charge and discharge cycles, ensuring a sustained and dependable power supply over an extended operational lifespan. Fast charging capabilities further enhance the operational efficiency of electric ambulances, allowing for quick turnaround times between emergency missions and minimising downtime. As technology continues to advance, ongoing research and development in battery technologies promise continuous improvements in energy storage capacity, charging speed, and overall performance.

Chapter Nine: Sustainability Approaches
In addition to their environmental benefits, electric ambulances operate silently, without the noise and vibrations associated with internal combustion engines.
This creates a more comfortable environment for patients during transportation, reducing stress and anxiety and allowing for better communication between healthcare professionals and patients. The silent operation can also benefit the ambulance crew by reducing noise-related fatigue during long shifts.
of the working mechanism of a lithium-ion battery

Liang S, Yan W, Wu X, Zhang Y, Zhu Y, Wang H, Wu Y. Gel polymer electrolytes for lithium ion batteries: Fabrication, characterization and performance. Solid State Ionics. 2018 May 1;318:2-18.
Electric ambulances are also known for their instant torque and smooth acceleration, resulting in improved performance compared to traditional ambulances.
This can be particularly useful in emergency situations where quick response times are critical. With fewer mechanical components compared to traditional ambulances, electric ambulances demonstrate improved reliability, operational efficiency, reduced downtime, and lower maintenance requirements. The streamlined design of electric ambulances potentially offers smoother acceleration and deceleration, providing paramedics better control during emergency responses.
However, electric ambulances face challenges such as limited range due to battery capacity and the energy required to power medical equipment. This can be particularly challenging in rural or remote areas where charging infrastructure may be limited.
To overcome this challenge, electric ambulances may require larger battery capacity or advanced battery management systems to optimise energy usage and extend the range. Introducing a sufficient number of charging infrastructures is crucial to ensure that electric ambulances have access to a reliable and widespread charging network.
The weight of medical equipment carried by ambulances is another challenge for electric ambulances. Medical equipment, such as defibrillators, ventilators, and monitors, requires power to operate, which can drain the battery quickly.
Managing the power needs of medical equipment while maintaining overall efficiency and range is a complex task that requires careful planning and coordination.
All-electric, zero-emissions Ambulance, USA

Unites States, DocGo unveiled the first all-electric, zero-emissions Ambulance in 2023. Before that in California, the Los Angeles County Fire Department has tested an electric ambulance built by Zero Emissions Systems (ZES) and has plans to add electric ambulances to their fleet. The ZES ambulance is equipped with advanced medical equipment and has a range of up to 250 miles on a single charge.
Zero Emissions Ambulance

Zero-Emission EV Ambulance, Tokyo

Nissan Motor and Tokyo Fire Department rolled out the NV400 Zero-Emission EV Ambulance, the first electric vehicle ambulance in Japan. This collaboration is a part of the eco-friendly initiative of the Tokyo Metropolitan Government.
Electric Ambulance Conversion, UK

In the United Kingdom, the West Midlands Ambulance Service has introduced a pilot program that includes electric ambulance. These ambulances are converted from existing diesel-powered ambulances and feature electric drivetrains, reducing emissions and noise pollution.
A
solar powered ambulance is the other eco-friendly vehicle that relies on solar energy to power its operations.
These vehicles harness solar energy to redefine how ambulances operate, reducing reliance on conventional fuels and minimising environmental impact. At the heart of this innovation are photovoltaic solar panels positioned on the ambulance’s roof and other suitable surfaces. These panels are designed for optimal sunlight absorption, ensuring a continuous conversion of sunlight into electrical energy.
Solar energy also serves as the primary power source for a range of critical onboard systems. LED lights, both inside and outside the vehicle and medical equipment, including defibrillators and ventilators, and communication devices crucial for real-time coordination are all powered by the energy stored in batteries charged by the solar panels. The solar-powered ambulances are equipped with advanced battery storage systems that store excess solar energy generated during the day. This stored energy becomes indispensable during periods of low sunlight, such as nighttime or overcast days.
Using solar-powered ambulances reduces reliance on traditional fuel sources, letting ambulances contribute to lowering greenhouse gas emissions and shrinking the overall carbon footprint associated with emergency medical services.
The ambulance may be powered by an electric motor that is charged by the solar panels and/or the battery storage system. Electric propulsion can reduce emissions and noise pollution, making the ambulance more environmentally friendly and suitable for urban areas. In case of prolonged periods of low sunlight, the ambulance may also have alternative charging options such as a backup generator or a plug-in charging system to ensure uninterrupted power supply for critical medical operations.
Ongoing improvements in solar panel efficiency and energy storage systems hold promise for even greater reliability and performance. The integration of artificial intelligence for optimised energy management and predictive analytics is on the horizon, offering potential enhancements to the sustainability and efficiency of ambulance vehicles.
Solar energy supplements the electrical needs of ambulances, USA

Solar-powered Rapid Response Vehicle (RRV) fleet, UK

A solar water ambulance is a watercraft equipped with medical facilities powered by renewable solar energy. Typically, it features solar panels, or photovoltaic (PV) cells installed on its surface to harness sunlight for generating electricity. This power is used to charge batteries, operate electric motors, and run medical equipment on board.(116) By eliminating the need for fossil fuels, solar water ambulances become an eco-friendly mode of transportation that significantly reduces carbon emissions, minimising environmental impact.
These ambulances offer various environmental benefits. Solar energy, being a clean and renewable source, produces no greenhouse gas emissions or air pollutants during operation.(117) Consequently, this contributes to a reduced carbon footprint and improved air quality in waterway areas. Moreover, solar water ambulances operate silently compared to traditional combustion engine-powered vessels, reducing noise pollution. This is particularly crucial for emergency medical care, where quiet and calm conditions are essential for patient comfort and treatment.(118)
In terms of energy efficiency and autonomy, solar water ambulances, equipped with efficient solar panels and energy storage systems, can operate autonomously for extended periods. The solar panels capture sunlight and convert it into electricity, stored in batteries for use during low-light conditions or at night. This ensures a continuous power supply for medical equipment and propulsion, minimising reliance on external power sources.(119)
Solar water ambulances have proven effective in disaster-prone areas, where floods or cyclones can disrupt transportation infrastructure, ensuring timely medical assistance during critical situations. Additionally, they can reach isolated communities, riverine islands, or coastal villages with limited access to healthcare services. Deployable in areas with ample water resources, such as rivers, lakes, or coastal regions, solar water ambulances navigate waterways swiftly and efficiently, overcoming challenges associated with traffic congestion or lack of road access during emergencies.(120)
Water ambulance design
Solar-powered ambulance navigating waterway, UK

While solar water ambulances are a relatively new concept, there have been notable case studies and proof-of-concept projects demonstrating their feasibility:
a. The “Solar Water Ambulance” project in Bangladesh was designed to deliver healthcare services to remote riverine communities through solar-powered boats equipped with medical facilities. The project sought to evaluate the efficiency of solar energy in powering medical equipment and reaching underserved areas, yielding impressive results.(121)
b. The “Solar Ambulance Boat” initiative in Kerala, India, involved the deployment of solar-powered boats equipped with medical facilities to deliver healthcare services in the backwaters of the state. The project demonstrated the practicality and advantages of solar-powered water transport for emergency medical care.(122)
Overall, the concept of a solar water ambulance presents a sustainable and innovative approach to emergency medical services, particularly in areas with abundant water resources. By harnessing solar energy for propulsion and power generation, solar water ambulances offer environmental benefits, energy efficiency, and adaptability. Continued research, development, and investment in solar water ambulance technology can pave the way for sustainable and efficient emergency medical care delivery in waterway-rich regions.

In recent years, there has been a noticeable surge in the exploration of hydrogen-powered vehicles as a compelling and environmentally friendly alternative to conventional fuel-based counterparts.
This growing interest extends into the realm of Emergency Medical Services (EMS), where the idea of utilising hydrogen-powered ambulances has evolved from speculation to tangible reality.
As the world increasingly seeks cleaner and more sustainable modes of transportation, hydrogen-powered ambulances stand at the forefront of this evolution, promising not only a reduced environmental impact but also enhanced efficiency in critical medical situations.

The advent of hydrogen-powered ambulances presents substantial advantages over their conventional gasoline or diesel-powered counterparts in terms of environmental impact. The key lies in the operational mechanism of hydrogen fuel cells, where electricity is generated through a clean chemical reaction between hydrogen and oxygen, yielding only water vapor as a benign byproduct. This inherent zero-emission characteristic aligns with stringent environmental standards and has the potential to significantly mitigate the adverse effects of traditional ambulances on air quality.
The reduction in greenhouse gas emissions, particularly carbon dioxide, marks an essential contribution to broader global efforts aimed at combating climate change. Moreover, the absence of harmful pollutants typically associated with internal combustion engines underscores the potential of hydrogenpowered ambulances to create healthier and more sustainable environments in the communities they serve. This paradigm shift toward cleaner energy sources in emergency medical services exemplifies a conscientious commitment to both patient wellbeing and planetary health.
The adoption of hydrogen fuel cells in ambulances brings forth a notable advancement in energy efficiency, positioning them as a highly viable option for EMS. Hydrogen fuel cells excel in energy conversion efficiency, potentially achieving levels between 45% and 60%, surpassing the efficiency of traditional internal combustion engines and marking a substantial leap forward in the utilisation of clean energy for critical services.
This enhanced energy efficiency extends beyond environmental considerations to practical benefits for EMS operations. The superior efficiency of fuel cell-based powertrains equates to prolonged driving ranges and extended operational durations. This prolonged endurance becomes a crucial asset in emergency situations, ensuring that ambulances equipped with hydrogen fuel cells can sustain constant power for medical equipment and onboard systems.
When it comes to patient care during critical situations, the longer driving ranges and extended operation times offered by hydrogen-powered ambulances play a fundamental role in facilitating uninterrupted and continuous emergency medical services. This technological advancement not only underscores the environmental responsibility of the healthcare sector but also emphasises the pragmatic advantages that cleaner energy sources bring to the forefront of emergency response capabilities.
A prominent challenge linked to the integration of hydrogen-powered vehicles, including ambulances, is the availability of refueling infrastructure. Recent progress has been made on a global scale to address this challenge and pave the way for the wider adoption of fuel cell vehicles. This includes expanding the network of hydrogen refueling stations, a pivotal development that augurs well for the future.
Countries at the forefront of this initiative, such as Germany, Japan, and the United States, have demonstrated significant commitment and investment in establishing comprehensive hydrogen infrastructure networks. This strategic approach not only mitigates concerns about the accessibility of refueling stations but also creates a conducive environment for the deployment and operation of hydrogen-powered ambulances.(123)
Globally, countries have announced plans to build 2800 hydrogen refuelling stations by 2025

Hydrogen-powered ambulances offer operational advantages due totheir quick refueling time compared to electric vehicles.
Unlike battery-electric ambulances, which require hours to recharge, hydrogen refueling can be completed in a matter of minutes, ensuring rapid turnaround times for emergency responders.
This enables ambulance fleets to remain active for extended periods without significant downtime, enhancing overall operational efficiency.(124)
Comparison of Hydrogen fuelling and electric charging of cars
Source: Renner S, Wellmer FW. Volatility drivers on the metal market and exposure of producing countries Mineral Economics. 2020 Oct;33(3):311-40.
To assess the viability and potential benefits of hydrogen-powered ambulances, various case studies and pilot programs have been conducted globally
These initiatives have provided valuable insights into the performance, practicality, and sustainability aspects of deploying hydrogen fuel cell technology in emergency medical services (EMS).
London’s “Zeus” Project, spearheaded by London South Bank University (LSBU) in collaboration with the London Ambulance Service, represents a pioneering initiative in the realm of Emergency Medical Services (EMS) vehicles.
The primary objective of the Zeus project was to assess the practicality and advantages of incorporating hydrogen fuel cell technology into the day-to-day operations of ambulances within the dynamic urban landscape of London. London provided an ideal setting for the project, serving as the backdrop for exploring the potential of hydrogen fuel cells as a departure from traditional combustion engines.

The Zeus project aimed to evaluate the feasibility and potential benefits of integrating hydrogen fuel cell systems into the EMS fleet, aligning with broader efforts to reduce carbon emissions and promote sustainability in the transportation sector.
Throughout the project, the fuel cell system not only powered the ambulance’s movement but also supplied electricity to crucial medical equipment on board, ensuring the vehicle’s full functionality during emergency situations. This holistic approach addressed both the transportation and medical aspects of emergency response vehicles.
The Zeus project transcended mere experimentation, as the hydrogenpowered ambulance underwent realworld operations, interacting with the demanding conditions and challenges inherent in the city’s emergency response scenarios.
The data and insights gathered from these operational experiences played a crucial role in evaluating the effectiveness and reliability of hydrogen fuel cell technology in a practical and high-pressure environment. The outcomes of the Zeus project have the potential to significantly influence future decisions regarding the adoption of hydrogen fuel cell technology in EMS fleets:(125)
The hydrogen fuel cell ambulance produced zero tailpipe emissions, contributing to improved air quality and reduced greenhouse gas emissions in urban areas.
The vehicle demonstrated comparable performance to conventional ambulances, including similar acceleration and top speed. It achieved a driving range of approximately 200 miles, ensuring sufficient operational capability for emergency responses.
The project underscored the need for an expanding hydrogen refueling infrastructure network to support the widespread adoption of hydrogenpowered ambulances. This critical insight emphasises the importance of developing a robust refueling infrastructure to facilitate the seamless integration of clean and sustainable technologies in emergency medical services.
The HyMed-Health project, conducted in Germany, represents a significant exploration into integrating hydrogen fuel cell technology within ambulance operations.
The project’s primary focus was to assess the performance of retrofitted ambulances in real-world conditions, scrutinising technical feasibility, economic viability, and environmental impact.
At the core of the HyMed-Health project was the strategic retrofitting of conventional ambulances with hydrogen fuel cell power systems.
This involved integrating advanced fuel cell technology into the existing ambulance infrastructure, emphasising a pragmatic approach to upgrading the emergency medical service (EMS) fleet. By choosing retrofitting over manufacturing entirely new vehicles, the project aimed to assess the adaptability and scalability of hydrogen fuel cell technology within the current EMS infrastructure.
Germany Aims at H2Med to Cover Part of its Demand for Green Hydrogen in 2030.

The HyMed-Health project’s overarching objectives were threefold.
Firstly, it rigorously examined the technical feasibility of hydrogen-powered ambulances, evaluating the performance of fuel cell power systems in terms of reliability, efficiency, and adaptability to diverse ambulance operational conditions, from urban to rural settings.
Secondly, economic viability was a critical aspect of the HyMed-Health project. It involved analysing the cost implications of retrofitting existing ambulances compared to potential benefits, such as reduced operational expenses and long-term sustainability. Economic considerations played a pivotal role in determining the feasibility of large-scale adoption of hydrogen-powered ambulances within the healthcare and emergency response sectors.
Lastly, the project aimed to quantify the environmental impact of hydrogenpowered ambulances. These vehicles, relying on a clean and sustainable energy source, have the potential to significantly reduce carbon emissions and contribute to environmental conservation.
Assessing the ecological footprint of hydrogen fuel cell ambulances provided valuable insights into the project’s overall impact on mitigating the environmental consequences associated with traditional combustion engine vehicles.
Through evaluating technical, economic, and environmental aspects, the HyMedHealth project positioned itself as a comprehensive endeavor. The outcomes of this project could influence future decisions and policies regarding the adoption of sustainable technologies in emergency medical services, paving the way for a more eco-friendly and efficient approach to ambulance operations in Germany and beyond:(110)
Hydrogen fuel cell ambulances demonstrated zero emissions during operation, contributing to local air quality improvement and reduced noise pollution.
The quick refueling time of hydrogen fuel cells enabled rapid turnaround times for ambulances, minimising downtime and ensuring efficient emergency response.
The project highlighted the importance of government support and incentives to promote the adoption of hydrogen fuel cell technology in EMS vehicles.
Japan’s H2-Mobility Project stands as a significant initiative aimed at advancing the exploration and integration of hydrogen fuel cell technology, particularly in the context of ambulance operations.
The overarching objective was to assess and validate the performance, reliability, and feasibility of hydrogen-powered ambulances within the unique and dynamic context of Japan.
One distinctive feature of the H2-Mobility project was its collaborative nature, bringing together a diverse array of stakeholders. Government agencies, automotive manufacturers, and research institutions joined forces to comprehensively evaluate the potential of hydrogen fuel cell technology in the field of emergency medical services.

The focal point of the project was the practical demonstration of hydrogen fuel cell vehicles, including ambulances, under real-world conditions.
This involved deploying these vehicles in diverse scenarios that mirrored the actual operational environments encountered by emergency medical services in Japan. Such scenarios could include urban and rural settings, varying traffic conditions, and a spectrum of emergency response situations to thoroughly evaluate the adaptability and effectiveness of hydrogenpowered ambulances.
The evaluation process encompassed several key aspects. Firstly, the performance of the hydrogen fuel cell vehicles, particularly the ambulances, was rigorously scrutinised. This assessment included considerations of speed, range, and overall operational efficiency under different conditions. Reliability, a crucial factor in emergency response, was a key metric in determining the suitability of hydrogen fuel cell technology for this critical application.
Furthermore, the project aimed to clarify the feasibility of hydrogen-powered ambulances in the Japanese context. This assessment encompassed not only the technical aspects but also economic considerations, exploring the potential cost-effectiveness and sustainability of integrating such vehicles into the existing emergency medical services infrastructure.
The outcomes of the H2-Mobility Project have the potential to guide the broader conversation on eco-friendly and innovative transportation solutions not only in Japan but also globally:
The project facilitated the development of advanced hydrogen fuel cell systems for ambulances, including improved power density, efficiency, and durability.
The project aimed to raise public awareness and acceptance of hydrogen fuel cell technology through public demonstrations and educational initiatives.
The H2-Mobility project contributed to the expansion of hydrogen refueling infrastructure across Japan, enabling greater deployment of hydrogen-powered ambulances and other vehicles.
Battery fuel cell vehicles (BEVs) and hydrogen fuel cell vehicles (FCVs) stand out as prominent alternatives to conventional internal combustion engine vehicles, offering clean and sustainable transportation solutions. Despite their environmental benefits, both technologies have distinct advantages and disadvantages.
Advantages
Zero Emissions
Operating solely on electricity stored in rechargeable batteries, BEVs produce no tailpipe emissions, contributing to improved air quality and reduced greenhouse gas emissions.(126)
Resource Efficiency
Benefiting from the increasing availability of renewable energy sources like solar and wind power, BEVs charging with clean energy further reduces their carbon footprint and dependence on fossil fuels.(127)
Established Infrastructure
The charging infrastructure for BEVs is more developed compared to hydrogen refueling stations, with an extensive network of charging points in many regions, facilitating widespread adoption.(128)
Disadvantages
Limited Range and Charging Time:
BEVs typically have a restricted driving range and longer charging times, potentially causing range anxiety, and limiting practicality for long-distance travel or emergency services.(129)
Battery Production and Recycling:
Battery production involves the extraction and processing of materials like lithium, cobalt, and nickel, posing environmental and social impacts. Battery recycling poses challenges due to complex processes and potential waste management concerns.(130)
Advantages
Zero Emissions
Similar to BEVs, FCVs produce no tailpipe emissions, using hydrogen and oxygen to generate electricity, with water vapor as the only byproduct, addressing climate change concerns.(131)
FCVs can be refueled quickly, typically in a few minutes, providing a similar refueling experience to conventional gasoline-powered vehicles, making them suitable for applications requiring frequent and rapid refueling, such as emergency services.(132)
FCVs offer longer driving ranges compared to most BEVs, as hydrogen has a higher energy density, making them a viable option for long-distance travel and applications demanding extensive mobility capabilities.(133)
Limited Infrastructure
Hydrogen refueling stations are currently limited compared to the widespread charging infrastructure for BEVs, necessitating the development of an extensive hydrogen refueling network for widespread FCV adoption.(134)
Hydrogen production often relies on energy-intensive processes, potentially reliant on fossil fuels. Additionally, storing hydrogen requires special infrastructure and technologies, adding complexity to the overall system.(135)
Hydrogen distribution faces logistical challenges due to its low energy density per unit volume, requiring specialised transportation methods and infrastructure, which can be costly and may limit availability in certain regions.(136)

Source: U.S. Department of Energy. Visualised: Battery Vs. Hydrogen Fuel Cell visualcapitalist.com
Overall, both BEVs and FCVs offer important clean and sustainable alternatives to traditional combustion engines.
BEVs, powered solely by electricity stored in rechargeable batteries, benefit from a well-established charging infrastructure, providing convenience and peace of mind to electric vehicle owners. However, challenges such as limited range and charging times hinder broader adoption, necessitating continuous innovation and investment.
On one hand, FCVs, utilising fuel cells, offer longer driving ranges and faster refueling times, resembling the familiar experience of conventional vehicles. Overcoming challenges and accelerating the shift towards a greener future requires ongoing collaboration and investment among stakeholders.
However, a couple of challenges hinder the broader adoption of BEVs. The limited driving range of many electric vehicles remains a concern for potential buyers, as it requires careful planning and consideration for longer trips. Additionally, the time required to recharge the batteries, especially when using standard charging methods, can be a significant inconvenience for some individuals.
The development of faster charging technologies and the expansion of charging infrastructure are crucial to alleviate these concerns and enhance the appeal of BEVs for consumers.
On the other hand, FCVs utilise fuel cells to generate electricity, which is then used to power an electric motor. These vehicles have the advantage of longer driving ranges and faster refueling times compared to BEVs. The use of hydrogen as a fuel source offers a high energy density and quick refueling capabilities, resembling the familiar experience of filling up a conventional gasoline-powered vehicle. Furthermore, FCVs emit only water vapor as a byproduct, making them an attractive zero-emission option.
Continuing innovation, investment, and collaboration among stakeholders are vital to overcoming these challenges and accelerating the shift towards a greener future of mobility.
Clean vehicles as percent of total new vehicle sales
Projected EV adoption is accelerating
Adapted form: About | California Air Resources Board
Market share of light vehicles sold



Adopted from: EV Adoption, Trends & Statistics: US Electric Cars in 2023 (recurrentauto.com)



Adopted from: EV Adoption, Trends & Statistics: US Electric Cars in 2023 (recurrentauto.com)
Note: FCEV = Fuel Cell Electric; BEV = Battery Electric; PHEV = Plug-in Hybrid Electric; MHEV = Mild Hybrid Electric. Because of rounding, the percentage for a particular year may not equal 100%. 1 Forecast includes cars, SUVs, and all other light vehicles except heavy vans.
Stockholm, a pioneer in sustainable development, has unveiled the world’s first eco-friendly ambulance, marking a significant leap toward greener emergency medical services.
This groundbreaking initiative combines cutting-edge technology, renewable energy sources, and a strong commitment to reducing carbon emissions, transforming the landscape of emergency healthcare.
Stockholm’s Revolutionary Eco-Friendly Ambulance
Carefully designed with sustainability in mind, the ambulance features a lightweight body made from recycled materials, ensuring a reduced carbon footprint during manufacturing. Its structure incorporates eco-friendly composite materials, improving fuel efficiency and minimising overall energy consumption.

At the heart of this innovative ambulance is an advanced electric power train, replacing the conventional internal combustion engine.
Powered by a state-of-the-art battery system, the electric ambulance produces zero tailpipe emissions, significantly reducing its carbon footprint. This not only decreases air pollution in the city but also provides a healthier environment for both patients and healthcare professionals.

AISAB, Ambulanssjukvården i Storstockholm AB, is Stockholm’s leading ambulance company and carries out almost half the county’s assignments – that’s over 56,000 assignments every year.
The green ambulance in figures, May 2009 to the end of Feb 2010:
Assignments 1,367
Distance 34,180 kilometres
Petrol 615 litres
Biogas 3,887 Nm3 (equates to 4,276 litres of petrol)
To ensure a sustainable energy supply, the ambulance is equipped with solar panels on the roof, capturing and converting sunlight into electricity to supplement the battery’s charge and extend the vehicle’s range. Additionally, regenerative braking technology recovers kinetic energy during braking, optimising efficiency and further reducing energy consumption.

• Tyres without harmful HA oils. HA oils get into lakes and oceans via surface water. The oils are toxic to aquatic organisms.
Stud-free tyres. Studded tyres contribute to high particle levels in the air during the winter.
The ambulance is outfitted with state-of-the-art medical equipment designed for maximum energy efficiency.
LED lighting fixtures minimise power consumption, while energy-saving monitors and diagnostic devices ensure high-quality care while minimising energy usage. The city’s robust charging infrastructure ensures the smooth operation and uninterrupted availability of electric ambulances across Stockholm.

• Halogen and PVC-free electricity cable. Halogens break down ozone.
Insulation without environmentally hazardous substances. Only natural materials in the insulation.
This eco-friendly ambulance not only serves as a shining example of sustainable innovation but also highlights the commitment of Stockholm’s healthcare sector to environmental stewardship. The success of this project paves the way for further advancements in sustainable healthcare practices, inspiring other cities worldwide to embrace similar initiatives.

• PVC-free floor mat. The production of PVC includes the use of many substances that are hazardous to health and the environment – such as halogens, mercury, dioxins and phthalates.
Adhesive free of solvents and isocyanates. These substances are primarily a work environment problem, as they can cause asthma.
In Amsterdam, the Netherlands, an innovative initiative has been undertaken to introduce electric ambulances into the city’s EMS fleet.
Working in collaboration with ambulance service providers, electric vehicle manufacturers, and sustainable energy providers, the Amsterdam Ambulance Service implemented a fleet of fully electric ambulances.
These vehicles significantly reduce carbon emissions and noise pollution, contributing to a healthier and more sustainable urban environment.
Electric Ambulance Fleet in Amsterdam, Netherlands

In rural areas with limited access to reliable electricity, a solar-powered ambulance project has been implemented in the state of Rajasthan, India.
The non-profit organisation, Smile Foundation, introduced solar-powered ambulances that rely on solar energy to power essential medical equipment, lighting, and communication systems.
Solar-Powered Ambulance in rural Rajasthan, India
These ambulances are equipped with solar panels on the roof, ensuring uninterrupted operations even in areas with erratic power supply.

In California, a pioneering approach to eco-friendly emergency medical services has led to the development of hydrogen fuel cell ambulances.
The California Fuel Cell Partnership, in collaboration with various stakeholders, has been instrumental in promoting the use of fuel cell technology in transportation, including emergency vehicles.

Recognising the emissions produced by idling ambulances, the London Ambulance Service undertook a retrofitting project to equip their fleet with idle reduction technology.
This initiative was implemented in collaboration with technology providers such as Air Products and Loughborough University. The retrofit includes automatic engine shutdown when the vehicle is stationary for a certain period, reducing unnecessary fuel consumption and exhaust emissions.
Auxiliary power units were also installed to provide electricity for medical equipment, minimising reliance on the engine during patient care.

Overall, the case studies mentioned exemplify the ongoing efforts to integrate eco-friendly practices into emergency medical services.
Through the adoption of electric vehicles, solar power, hydrogen fuel cells, and idle reduction technologies, ambulance services are successfully reducing their carbon footprint, mitigating environmental impacts, and promoting sustainable healthcare delivery.
These initiatives not only contribute to environmental conservation but also demonstrate a commitment to public health and wellbeing. Continued research, innovation, and collaboration within the EMS sector are crucial to further advance these sustainable practices and ensure a greener future for emergency medical services.


Effects of greenhouse gases on surgery, obstetrics, and anaesthesia care

Source: Roa L, Velin L, Tudravu J, McClain CD, Bernstein A, Meara JG. Climate change: challenges and opportunities to scale up surgical, obstetric, and anaesthesia care globally. Lancet Planet Health. 2020 Nov;4(11):e538-e543. doi: 10.1016/S2542-5196(20)30247-3. PMID: 33159881.
Efficient ambulance dispatch is vital for sustainability, employing advanced technologies like geographic information systems (GIS), computer-aided dispatch systems (CAD), and global positioning systems (GPS) to minimise travel distances, reduce fuel consumption, and improve response times.
Collaborative efforts with other emergency services, strategic resource allocation based on data analysis, and predictive analytics further enhance optimisation, especially in urban areas.
The implementation of CAD involves network analysis, recommending the shortest paths for ambulance routes, minimising fuel consumption, and emissions. In addition, considering factors like traffic congestion, road conditions, and time of day, ambulance drivers can further optimise routes to reduce environmental impact.
Navigation data processing for assisted driving method in an ambulance transportation scenario.

Source: Anjum M, Shahab S. Emergency Vehicle Driving Assistance System Using Recurrent Neural Network with Navigational Data Processing Method. Sustainability. 2023; 15(4):3069. https://doi.org/10.3390/su15043069
Dispatch optimisation can be complemented by collaborative efforts with other emergency services and healthcare facilities.
This optimisation can be particularly beneficial in urban areas where traffic congestion is common. Another important factor in dispatch optimisation is esource allocation. Analysing historical data, demand patterns, and population densities, assist ambulance services to strategically position their vehicles in areas with high call volumes or potential emergency hotspots.
This proactive approach enables them to be more prepared and responsive, reducing the need for unnecessary and inefficient travel. Additionally, using predictive analytics and machine learning algorithms can further enhance resource allocation by forecasting demand and adjusting ambulance deployment accordingly.

Source: Anjum M, Shahab S. Emergency Vehicle Driving Assistance System Using Recurrent Neural Network with Navigational Data Processing Method. Sustainability. 2023; 15(4):3069. https://doi.org/10.3390/su15043069
Computer-Aided Dispatch Systems (CAD):
To calculate the closest ambulance service vehicles, the CAD system does a network analysis of the road system based on these routable street centrelines.
It assesses the path from the service call to the available vehicle location. The system recommends the service vehicles with the shortest path. Dispatching ambulances more efficiently and using the most direct routes, reduce unnecessary fuel consumption and emissions.
CAD System Algorithm
Ambulance drivers should identify the most direct and efficient routes to the destination, considering factors such as traffic congestion, road conditions, and time of day. This way ambulance drivers can save fuel and reduce emissions, by avoiding detours and unnecessary backtracking, while also ensuring timely arrival at the patient’s location.

Optimising dispatch can also involve integrating alternative transportation methods into ambulance services.
For non-life-threatening cases or routine transfers, utilising bicycles, electric scooters, or hybrid vehicles can significantly reduce emissions and alleviate traffic congestion.
In Australia, Tasmania’s Emergency Service CAD system was launched in 2020. A new CAD system was also launched in New South Wales (NSW) Ambulance on May 2022, in partnership with eHealth. In South Australia CAD is managed by the South Australia Attorney-General’s Department, receiving more than a million calls for service in a year.
Electric ambulance scooter to join the fleet of the Egyptian Ambulance Authority

Riders with two types of motorcycle ambulances in Norway.

Paramedics of Queensland Ambulance Service Bicycle Response Team

Computer-aided dispatch systems in NSW,

The development and implementation of an Automatic Lane Clearance System (ALCS) for emergency vehicles have proven to be a significant technological advancement with crucial implications for sustainability, environmental impact, carbon footprint reduction, and climate change mitigation. This innovative system effectively addresses the challenges emergency vehicles face while navigating congested roads, enabling them to reach their destinations swiftly and safely. From a climate change perspective, the ALCS helps combat one of the key contributors to global warming, which is reducing the excessive emergency vehicles’ emissions.
In densely populated urban areas, traffic congestion poses a major hurdle for emergency vehicles trying to respond promptly to life-threatening situations.
The traditional approach of relying on sirens and flashing lights to alert other drivers has limitations, as it heavily depends on the awareness and reaction time of surrounding motorists. Furthermore, emergency vehicles often encounter obstacles or difficulties due to vehicles blocking their path or insufficient space for manoeuvring through traffic.
The ALCS serves as a breakthrough solution to tackle these challenges. Using advanced technologies such as sensors, cameras, and intelligent algorithms helps the system automatically detect and clear a designated path for emergency vehicles, ensuring their unimpeded movement through traffic. This intelligent system communicates with traffic signals, infrastructure, and vehicles in real-time, orchestrating a synchronised flow of traffic to create a clear passage for emergency vehicles.





Source: Ramaprasad, Shruti and K. N. Sunil Kumar. Intelligent traffic control system using GSM technology. 2017 IEEE International Conference on Power, Control, Signals and Instrumentation Engineering (ICPCSI) (2017): 830-834.
The impact of the ALCS on sustainability and the environment is significant.
Firstly, by facilitating the smooth and uninterrupted flow of emergency vehicles, the system contributes to the reduction of response times, which is critical for saving lives. Swift emergency response can prevent further damage, minimise casualties, and improve overall public safety.
In addition, the ALCS plays a pivotal role in reducing traffic congestion caused by emergency situations. Through swiftly clearing a path for emergency vehicles, the system prevents the formation of traffic bottlenecks, which often result in prolonged idling and increased emissions. The reduction in congestion translates into decreased fuel consumption and emissions, leading to a substantial reduction in the carbon footprint of both emergency vehicles and other vehicles on the road.
Intelligence approach of traffic control of emergency vehicles

Source: Bollapragada, Manikanta. (2018). An Approach of Traffic Management System for Control of Emergency Vehicles Using IOT (Internet of Things). International Journal of Pure and Applied Mathematics. 118.
Intelligent Traffic with Emergency Control

Source: Singh AP, Sharma SK. A Review on Intelligent Traffic with Emergency Control and Stolen Vehicle Tracking System International Journal of Computer Applications. 2016 Jan 1;136(13)

Source: Singh AP, Sharma SK. A Review on Intelligent Traffic with Emergency Control and Stolen Vehicle Tracking System. International Journal of Computer Applications. 2016 Jan 1;136(13).
Environmentally friendly driving practices in ambulance services play a crucial role in promoting sustainability and reducing the environmental impact of emergency medical transportation, while ensuring efficient and effective patient care.
Ambulance services have the responsibility to respond quickly and effectively to emergency situations while also considering the impact their operations have on the environment.
Adopting environmentally friendly driving practices, can significantly contribute to sustainability efforts in ambulance services and minimise their carbon footprint.
Shares of energy consumption and CO2 emissions in the transportation industry

Shares of energy consumption and CO2 emissions in the transportation industry in the United States, China, and the European Union* shares of energy consumption, ** shares of CO2 emissions. Source: Xu, Nan, Xiaohan Li, Qiao Liu, and Di Zhao. 2021. An Overview of Eco-Driving Theory, Capability Evaluation, and Training Applications Sensors 21, no. 19: 6547. https://doi.org/10.3390/s21196547
One of the key aspects of environmentally friendly driving in ambulance services is the adoption of fuel-efficient vehicles.
Ambulance providers can choose vehicles that are designed to be fuel-efficient, have low emissions, and incorporate hybrid or electric technologies. These vehicles not only reduce greenhouse gas emissions but also lower fuel consumption, thereby minimising the overall environmental impact of ambulance operations.
Environmentally friendly driving practices for ambulance drivers are essential for minimising the environmental impact of ambulance operations.
Ambulance drivers vplay a critical role in reducing emissions, conserving energy, and promoting sustainable transportation. A crucial practice is maintaining the vehicles in optimal condition. Regular maintenance, including proper tire inflation, alignment, and engine tune-ups, ensures that the ambulance fleet operates at its highest level of efficiency. Well maintained vehicles consume less fuel and produce fewer emissions, contributing to a cleaner and greener environment.
The primary factors affecting vehicle energy consumption

Source: Xu, Nan, Xiaohan Li, Qiao Liu, and Di Zhao. 2021. An Overview of Eco-Driving Theory, Capability Evaluation, and Training Applications Sensors 21, no. 19: 6547. https://doi.org/10.3390/s21196547
Driver training and education are vital components of promoting environmentally friendly driving practices in ambulance services.
Equipping ambulance drivers with the necessary knowledge and skills, can contribute to sustainability efforts by adopting eco-driving techniques and behaviours.
Ambulance drivers can be trained in eco-driving techniques, such as smooth acceleration and deceleration, maintaining a consistent speed, and avoiding unnecessary idling. These practices not only conserve fuel but also reduce wear and tear on the vehicle, extending its lifespan and minimising the need for replacements.
Rule- based eco-driving theory in the main driving modes
An Overview of Eco-Driving Theory, Capability Evaluation, and Training Applications

Source: Xu, Nan, Xiaohan Li, Qiao Liu, and Di Zhao. 2021. An Overview of Eco-Driving Theory, Capability Evaluation, and Training Applications Sensors 21, no. 19: 6547. https://doi.org/10.3390/s21196547
With the increasing emphasis on sustainability and reducing carbon footprints, ambulance drivers can benefit from eco-driving techniques that prioritise smooth acceleration and deceleration, ultimately leading to improved fuel efficiency and reduced emissions.
Rapid and aggressive acceleration not only consumes more fuel but also increases emissions. Gentle and gradual acceleration can improve fuel efficiency significantly. On the contrary, adopting gentle and gradual acceleration can significantly enhance fuel efficiency, resulting in reduced operational costs and environmental impact.
Moreover, the adoption of smooth deceleration techniques becomes crucial in eco-driving. Through anticipating traffic conditions and utilising engine braking methods ambulance drivers can conserve fuel and simultaneously alleviate wear on the braking system.
efficient driving techniques
This approach not only contributes to a more sustainable operation but also enhances overall vehicle maintenance and longevity.
Training ambulance drivers in ecodriving techniques is essential to instil the necessary skills and knowledge required to drive efficiently and responsibly. Such training programs can cover topics such as proper acceleration and deceleration techniques, anticipatory driving, and efficient route planning, ensuring that drivers are equipped with the tools to make environmentally conscious choices while maintaining their commitment to swift emergency response.

Source: B V, Prajwal. (2017). Prediction of Drive Cycle along a route for Eco Routing. 10.13140/RG.2.2.14103.88489/1.
Ambulance drivers can be trained to maintain a consistent speed whenever possible. Frequent speed changes and erratic driving patterns not only consume more fuel but also contribute to increased emissions.
By driving at a steady pace within the legal speed limits, drivers can optimise fuel efficiency and reduce the environmental impact of their operations.
It has been shown that at low speed a vehicle emits the highest CO while higher speed emits minimum pollutant. The greener speed range is 60–100 km/h in terms of emission. At green speed, it emits the lowest level of CO.(137, 138)
Basic relationship of the vehicle speeds with the fuel consumption from which exhaust pollutant by the driving pattern can be assumed

Source: Nasir MK et al.Source: Nasir MK et al. Reduction of Fuel Consumption and Exhaust Pollutant Using Intelligent Transport System Scientific World Journal. 2014; 836375.
2. Avoiding Unnecessary Idling:
The term idling refers to the continuous operation of a vehicle’s main propulsion engine while the vehicle is stopped.
Idling is a significant source of fuel wastage and unnecessary emissions. Ambulance drivers can be educated on the importance of avoiding unnecessary idling by turning off the engine when waiting for extended periods.
Modern ambulances often have auxiliary power units (APUs) that can provide power for onboard systems without the need for idling the main engine. Combining these APUs and avoiding idling minimises fuel consumption and emissions.
Average estimated daily emissions and fuel consumption for laden highway truck
Adapted from Idling Emissions (dieselnet.com)
A Low-Cost Ambulance Idle Reduction System

Source: Kung, Kaplan, Kotowick, & Montgomery. 2018; https://doi.org/10.30542/JCEMS.2018.01.S1.10
In addition to providing emergency medical care, ambulance drivers play a significant role in maintaining the vehicles they operate. Integrating education on the importance of regular vehicle maintenance into driver training programs, can promote sustainable practices and maximise the lifespan of ambulance fleets.
Well-maintained vehicles offer numerous benefits, both environmentally and operationally. Firstly, they operate more efficiently, which translates into lower fuel consumption. That requires conducting routine vehicle inspections, which enables ambulance drivers to identify and address any issues that may affect the vehicle’s performance.
This proactive approach helps optimise fuel efficiency and minimises unnecessary fuel consumption, resulting in cost avings for the ambulance service. Moreover, properly maintained vehicles emit fewer pollutants into the atmosphere. Through regularly monitoring and maintaining exhaust systems, filters, and other vehicle components, ambulance drivers can help minimise harmful emissions. This contributes to cleaner air quality and reduces the environmental impact of ambulance operations.
The training must include information on the importance of complying with emission standards and guidelines to ensure that the ambulances are operating within legal limits. Driver training should also emphasise the significance of tire maintenance.
Proper tire pressure is essential for vehicle safety and efficiency. Ambulance drivers can be educated on how to check and maintain tire pressure regularly, as underinflated tires can reduce fuel efficiency and increase the risk of accidents.
Additionally, monitoring tire wear and promptly replacing worn-out tires can improve overall vehicle performance and ensure the safety of patients and staff during emergency responses.
Timely reporting of any maintenance issues is another crucial aspect of driver training.
Ambulance drivers should be encouraged to promptly report any problems they notice during their inspections, whether it’s a malfunctioning engine component, a worn-out brake pad, or an electrical issue. This enables the maintenance team to address the problems promptly, preventing further damage and ensuring the vehicle is in optimal working condition. Through emphasising the importance of vehicle maintenance in driver training, ambulance services can extend the lifespan of their vehicles.
Regular maintenance helps identify and resolve small issues before they become major problems, reducing the likelihood of unexpected breakdowns and costly repairs. As a result, ambulance fleets can remain operational for longer periods, reducing the need for premature vehicle replacements. This not only saves costs but also minimises the environmental impact associated with manufacturing and disposing of new vehicles.
An environmentally friendly approach is an investment into the future
✓ Servicing
✓ Maintenance
✓ Investment into the future

Ambulance services can integrate telematics systems into their vehicles to provide real-time feedback to drivers.
These systems monitor driving behaviour, fuel consumption, and other performance metrics. Through receiving feedback on their driving habits, drivers can make adjustments to improve fuel efficiency and reduce emissions.

This feedback mechanism can be used as a training tool to reinforce environmentally friendly driving behaviours. Incorporating these training and education strategies, can create a culture of environmentally friendly driving practices in ambulance services. It empowers ambulance drivers to be proactive in minimising fuel consumption, reducing emissions, and extending the lifespan of the vehicles. The cumulative impact of these ecodriving techniques contributes to the overall sustainability of ambulance services, promoting a cleaner and greener environment while efficiently fulfilling their life-saving responsibilities.

Energy management is a critical component of sustainability in the ambulance sector.
As the operations of emergency medical response teams are heavily relied on energy-intensive equipment and facilities, effective energy management practices can significantly reduce the environmental impact, operational costs, and carbon footprint of ambulance services.
Regular energy audits and monitoring of energy consumption is the first step to provide valuable insights into the energy performance of ambulance stations and help identify areas for improvement.
Energy audits can also assess the energy efficiency of building systems, equipment, and operations, and provide recommendations for optimising energy usage. Monitoring energy consumption in real-time and analysing data can help identify trends, patterns, and anomalies in energy usage, allowing for prompt actions to rectify issues and improve energy management practices.
State and territory public hospital total energy consumption (2018-2019)
Renewable electricity use by state/territory public hospitals
Gas use by state/territory public hospitals
Electricity use by state/territory public hospitals
Source: Burch H, Anstey MH, McGain F. Renewable energy use in Australian public hospitals. Med J Aust. 2021 Aug 16;215(4):160-3.
Ambulance stations are essential facilities that require a constant supply of energy to power their operations, including lighting, heating, cooling, and medical equipment.
One of the key aspects of energy sustainability in ambulances is the adoption of alternative energy sources that are renewable, clean, and efficient.
Traditionally, the ambulance stations rely heavily on fossil fuels, such as electricity from the grid and natural gas for heating and cooling. However, the use of fossil fuels contributes to greenhouse gas emissions, air pollution, and climate change. One of the key steps in making an ambulance station more energy sustainable is to invest in renewable energy sources, such as solar and wind power.
Percentage of state/ territory public hospital direct energy use from renewable sources over and above statebaseline renewable penetration (2016/17 to 2018/19)**
Solar panels can be installed on the rooftop of the ambulance station building to harness the power of the sun to store excess energy and generate electricity. These energy storage systems can be used to power the ambulance station during periods when renewable energy production is low, such as during the night or when there is little wind or sun. Energy storage systems can also provide backup power during emergencies or power outages, ensuring uninterrupted operations of the ambulance station.
*Large increase in Qld due to whole-of-government purchase of GreenPower. ACT = Australian Capital Territory; NSW = New South Wales; NT = Northern Territory; QLD = Queensland; SA = South Australia; TAS = Tasmania; VIC = Victoria; WA = Western Australia. Source: Burch H. et al. MJA. 2021 Source: Burch H, Anstey MH, McGain F. Renewable energy use in Australian public hospitals. Med J Aust. 2021 Aug 16;215(4):160-3.
Wind turbines can also be installed on the premises if the location is suitable for wind energy generation.
These renewable energy sources can provide a consistent and clean source of electricity, reducing the reliance on fossil fuels and lowering greenhouse gas emissions.
An example in this area includes Ambulance Victoria (AV), a distributed service provider with 260 locations, providing emergency response services across the state, who have entered into a power purchase agreement with a renewable energy farmer.
This arrangement is enabling AV to reduce its greenhouse impact and providing the wind farmer assurance to invest and develop the project. This will reduce AV’s emissions by 7% and is part of its commitment to source 100% of its electricity from renewable sources by 2025.

Alexandra District Health
Alfred Health Alfred Health
Alfred Health Bright Hospital
Alfred Health Doug Lloyd Cottage Myrtleford
Alfred Health Hawthorn Village Hospital
Alfred Health Mt. Beauty Hospital
Alfred Health Myrtleford Hospital
Ambulance Victoria Caroline Springs Branch
Ambulance Victoria Geelong Branch
Ambulance Victoria Horsham Branch
Ambulance Victoria Melton Branch
Ambulance Victoria Mildura Branch
Ambulance Victoria Sunshine Branch
Ambulance Victoria Swan Hill Branch
Ambulance Victoria Wangaratta Branch/ Hume Regional
Barwon Health Renal Home Training Facility
Barwon Health University Hospital, Geelong
Beaufort and Skipton Health Service Beaufort Hospital
Benalla Health Service Benalla Health Service
Bendigo Health New Bendigo Hospital
Central Gippsland Health Service Heyfield
Central Gippsland Health Service Sale Hospital
Central Gippsland Health Service Wilson Lodge
Eastern Health Healesville Hospital
Echuca Regional Health Echuca Regional Health
Gippsland Southern Health Service Korumburra District Hospital
Gippsland Southern Health Service Leongatha Hospital
Heathcote Health Heathcote Health
Maidon Hospital Maidon Hospital
Mansfield District Hospital Mansfield District Hospital
Mayborough District Health Service Avoca Campus
Mayborough District Health Service Dunnoly Campus
Mayborough District Health Service Mayborough Campus
Melbourne Health Royal Melbourne Hospital
Nathalia District Hospital Nathalia District Hospital
10
on information reported to the department as of 5 July 2018 and therefore may not include all alternative
The integration of energy-efficient technologies in buildings has become increasingly important for reducing energy consumption, improving indoor air quality, and optimising operational costs.
Two notable examples of such technologies are programmable thermostats and high-efficiency lighting, heating, ventilation, and air conditioning (HVAC) systems.
Managing the energy and other needs in buildings efficiently and intelligently can have considerable benefits.

A building energy management system (BEMS) is a sophisticated method to monitor and control the building’s energy needs. Next to energy management, the system can control and monitor a large variety of other aspects of the building regardless of whether it is residential or commercial. Examples of these functions are heating, ventilation, and air conditioning (HVAC), lighting or security measures. BEMS technology can be applied in both residential and commercial buildings. The teaser image illustrates several of the different functions a BEMS can monitor and control.
In the pursuit of sustainability and energy efficiency, the adoption of LED lighting has gained significant attention and acclaim.
LED lighting technology presents numerous advantages over traditional incandescent bulbs, including reduced energy consumption, extended lifespan, and enhanced sustainability.
LED lighting is renowned for its superior energy efficiency compared to traditional incandescent bulbs. Incandescent bulbs generate light by heating a filament, resulting in substantial energy waste through heat dissipation.
In contrast, LED bulbs operate by passing an electric current through a semiconductor, producing light with minimal energy loss. According to the U.S. Department of Energy (DOE), LED bulbs use 75-80% less energy than traditional incandescent bulbs.(139) This significant reduction in energy consumption translates into substantial energy savings and a notable decrease in greenhouse gas emissions.
LED lighting also boasts an impressive lifespan compared to traditional bulbs. Incandescent bulbs typically last for around 1,000 hours, while LED bulbs can endure up to 25,000 hours or more.(132)
This extended lifespan not only reduces the frequency of bulb replacements but also minimises waste generated from discarded bulbs. The environmental benefits of LED lighting extend beyond energy efficiency and lifespan. LED bulbs do not contain hazardous materials like mercury, which is present in some traditional bulbs, such as compact fluorescent lamps (CFLs).(140)
This absence of toxic substances reduces the environmental impact of LED lighting, particularly during the disposal phase. LED lighting also offers enhanced controllability and flexibility, further optimising energy usage. LED bulbs can be easily dimmed or adjusted to different light levels, allowing users to customise lighting according to specific needs and preferences.
This way the energy waste is minimised as it is dynamically adapted to lighting requirements.(140)
The adoption of LED lighting has been significant in various sectors, including residential, commercial, and industrial settings.
A study conducted by Energy Efficiency Alberta(141) evaluated the energy savings potential of LED lighting in the commercial sector. The results demonstrated that by replacing traditional lighting with LEDs, energy consumption for lighting purposes could be reduced by up to 60%. Additionally, the study highlighted the positive financial impact of LED lighting upgrades, with a potential payback period of fewer than three years.

Based upon 3hrs/day and rate of $0.11 per kilowatt hour
Programmable thermostats offer a practical and efficient solution for managing heating and cooling systems in Ambulance stations.
These thermostats allow users to program temperature settings based on occupancy patterns, optimising energy usage throughout the day. Automatically adjusting temperature settings during unoccupied periods or at night helps reduce energy consumption without compromising comfort. The use of programmable thermostats can lead to significant energy savings. As it was shown by many studies.
A study conducted by the National Institute of Standards and Technology (NIST) in commercial buildings found that proper use of programmable thermostats resulted in average energy savings of around 10%.(142) Additionally, a review of residential studies conducted by the Lawrence Berkeley National Laboratory (LBNL) revealed that programmable thermostats can save up to 10% on heating and cooling energy costs.(143)
Managing the energy and other needs in buildings efficiently and intelligently can have considerable benefits.

Source:Mandlem, Koushik, Energy efficiency effectiveness of smart thermostat based BEMS (2018). Graduate Theses, Dissertations, and Problem Reports. 4009.
Programmable thermostats contribute to improved indoor air quality (IAQ). They maintain consistent temperature settings, avoid temperature fluctuations, and help prevent conditions that can promote mold and mildew growth.
Some programmable thermostats also offer advanced features, such as air filtration scheduling, which can enhance IAQ by ensuring regular air filtering and purification.(144) The combination of energy savings and IAQ improvements makes programmable thermostats an asset for sustainable building operations in Ambulance stations.
High-efficiency HVAC systems are another vital component of energy-efficient buildings. These systems utilise advanced technologies and design strategies to optimise energy consumption while providing superior comfort and indoor air quality. Incorporating features such as variable speed motors, advanced controls, and heat recovery systems, allow high-efficiency HVAC systems to deliver substantial energy savings compared to conventional systems.
According to the U.S. Department of Energy (DOE), high-efficiency HVAC systems can reduce energy consumption by up to 30% compared to standard systems. The utilisation of advanced controls enables precise temperature and humidity management, ensuring optimal comfort conditions while minimising energy waste.
Heat recovery systems, on the other hand, capture waste heat from various sources, such as exhaust air or cooling processes, and repurpose it for heating or other energy demands. This approach significantly improves energy efficiency by maximising the utilisation of available energy resources.(145)
High-efficiency HVAC systems also contribute to improved indoor air quality through enhanced filtration and ventilation capabilities. These systems utilise advanced filters, such as high-efficiency particulate air (HEPA) filters, to capture and remove airborne pollutants, allergens, and contaminants. Additionally, high-efficiency HVAC systems employ demand-controlled ventilation strategies, which adjust ventilation rates based on occupancy levels, ensuring adequate fresh air supply while minimising energy waste.(144) The combination of energy efficiency and enhanced indoor air quality makes highefficiency HVAC systems a compelling choice for sustainable building operations.
The Environmentally Friendly HVAC Solution that Allows High-Performance Buildings to Breathe

In recent years, sustainability has become a critical consideration in the design and construction of buildings across various industries, including healthcare.
Ambulance services stations, where emergency medical response teams are based and operations are managed, are no exception. Sustainable building structures in ambulance services stations can offer a range of environmental, operational, and economic benefits, including reduced energy consumption, lower carbon emissions, improved indoor air quality, and enhanced operational efficiency.
Ambulance service stations represent a distinct category of facilities that necessitate meticulous planning and design considerations to effectively support the needs of emergency medical response teams. These stations serve as operational hubs for emergency medical services and are essential for facilitating rapid and efficient emergency response efforts. The design of ambulance service stations is tailored to meet the specific requirements of these critical healthcare providers.
The brief was for a building with a low carbon footprint, which makes use of renewable materials to complement its natural context.

One of the fundamental components of ambulance service stations is the inclusion of offices.
These administrative spaces provide a dedicated area for staff members to carry out essential tasks such as documentation, coordination of resources, and communication with other emergency response teams and medical facilities.
Offices within the station serve as the central command and control hub, enabling effective coordination of emergency medical services.
Ambulance Station Built from Renewable Materials has a Nearly Energy-Neutral Footprint

Rest areas are another essential feature of ambulance service stations.
Given the demanding and high-stress nature of emergency medical work, providing a comfortable and rejuvenating space for personnel to rest and recharge is crucial. These rest areas typically include restrooms, break rooms, and sleeping quarters to accommodate the needs of on-duty staff during extended shifts.
Creating a conducive environment that promotes relaxation and wellbeing is vital for ensuring the physical and mental wellbeing of emergency medical response teams.

Source: Baciu, Ioana-Roxana & Isopescu, Dorina & Taranu, Nicolae & Maxineasa, Sebastian. (2019). Green roof influence over the characteristics of the linear thermal bridges. IOP Conference Series: Materials Science and Engineering. 586. 012007. 10.1088/1757-899X/586/1/012007.
Training rooms form an integral part of ambulance service stations as well. These dedicated spaces are designed to facilitate ongoing training and skill development for emergency medical personnel. Equipped with audiovisual systems, simulation equipment, and interactive learning tools, these rooms allow for hands-on training sessions, educational workshops, and team exercises. Training rooms play a vital role in enhancing the knowledge and capabilities of medical response teams, ensuring that they remain up to date with the latest practices and technologies.
Garages within ambulance service stations serve as housing for ambulance vehicles. These garages are specifically designed to accommodate the unique dimensions and requirements of emergency medical vehicles. They provide secure and easily accessible parking spaces, often equipped with maintenance facilities and cleaning areas to ensure that the ambulances are properly serviced, stocked, and maintained. The layout and organisation of the garage area are optimised for quick deployment and seamless movement of ambulance vehicles during emergency responses.
A garage space that occupies the front portion of the building incorporates transparent roller doors and circular skylights that ensure plenty of natural daylight reaches the interior.

Storage areas are crucial components of ambulance service stations, designed to house medical supplies and equipment necessary for emergency medical response. These storage spaces are carefully organised and equipped with shelving, cabinets, and specialised storage units to ensure efficient inventory management and easy access to critical resources. The storage areas are designed to accommodate various medical supplies, including medications, medical equipment, personal protective gear, and specialised tools needed for emergency medical interventions.
Sustainable building structures in ambulance services stations can be designed to integrate various environmentally friendly features and practices that minimise the environmental impact of the facility and enhance the overall sustainability of operations. One example is incorporating water-efficient landscaping, such as native plants that require less water for irrigation into the site design.

Indoor air quality is crucial for the health and wellbeing of ambulance personnel who spend considerable time indoors in the station. Poor indoor air quality can result in various health issues, such as respiratory problems and allergies. Sustainable building structures in ambulance services stations can prioritise indoor air quality by using low-emission building materials, such as paints, adhesives, and sealants, that do not release harmful pollutants into the air.
Proper ventilation systems with highefficiency filters can also be installed to ensure a constant supply of fresh air and to remove indoor air pollutants. This can create a healthy and comfortable indoor environment for ambulance personnel, leading to increased productivity and reduced sick leave.
The newest Austin-Travis County Fire and EMS station includes a well-ventilated ambulance bay with visibility enhancements and a vehicle exhaust removal system.

Source: https://www.pulsara.com
Incorporating green spaces and landscaping is another sustainable feature that can be integrated into ambulance services station design.
Green spaces, such as courtyards, rooftop gardens, and vegetative roofs, not only enhance the aesthetics of the building but also provide a range of environmental and health benefits.
Green spaces can help reduce the urban heat island effect, improve air quality by absorbing pollutants, provide natural insulation to the building, and promote mental wellbeing and stress reduction for ambulance personnel.
Ambulance Stations: Sectional perspective.
Green spaces can also be used for recreational purposes, providing opportunities for relaxation and physical activity for the personnel.

Utilisation of sustainable materials and construction practices plays a pivotal role in minimising the environmental impact of the ambulance sector. Through embracing sustainable materials and construction practices, ambulance service stations can demonstrate their commitment to environmental responsibility and contribute to a more sustainable future.
One essential aspect of sustainable materials is their low carbon footprint. These materials are selected based on their ability to reduce greenhouse gas emissions throughout their lifecycle, from extraction or manufacturing to disposal.
Opting for materials with a low carbon footprint can significantly decrease the contribution of ambulance service stations to climate change. Examples of such materials include recycled materials, which are repurposed from waste streams, reducing the need for extraction and processing of virgin resources. Additionally, sustainable materials may encompass natural or renewable materials that have a lower environmental impact compared to their non-renewable counterparts.
Another consideration in sustainable building practices is the responsible sourcing of materials. This entails prioritising materials that are ethically and sustainably obtained. Locally sourced materials, for instance, are favored to reduce transportation-related emissions and support the local economy.
Switching to procure materials from nearby suppliers assists ambulance service stations to minimise the energy and resources required for transportation while fostering local business relationships.
Embodied energy is a crucial factor when evaluating the sustainability of materials. It refers to the total energy consumed in the extraction, manufacturing, and transportation of materials. Sustainable building structures in ambulance service stations aim to incorporate materials with low embodied energy. These materials are chosen for their minimal environmental impact during the production phase. Examples include materials that require less energy-intensive manufacturing processes or those that can be sourced from renewable or recycled sources.
In addition to material selection, sustainable construction practices also encompass efficient use of resources. This includes minimising waste generation during the construction process through careful planning, effective project management, and the adoption of waste reduction strategies. Construction techniques that prioritise energy efficiency, such as proper insulation, the use of renewable energy sources, and efficient lighting systems, contribute to the overall sustainability of ambulance service stations.

Sustainable construction practices aim to minimise waste generation right from the design stage to the construction process.
Careful planning involves evaluating the quantity of materials required and implementing measures to reduce waste. This can include accurate material estimation, pre-cutting materials to minimise offcuts, and utilising prefabricated components to reduce on-site waste.
Effective project management ensures that construction activities are streamlined, avoiding unnecessary rework or overuse of materials. Through adopting waste reduction strategies such as recycling, reusing materials, and implementing construction waste management plans, construction sites can significantly minimise waste generation.

Source: adapted from Gavilan & Bernold J. Constr. Eng. Manag. 1994, 120, 536–552.
Energy-efficient design plays a crucial role in sustainable ambulance service stations. Proper insulation of the building envelope, including walls, roofs, and windows, helps reduce heat transfer and maintain comfortable indoor temperatures. This reduces the reliance on heating and cooling systems, resulting in lower energy consumption and reduced greenhouse gas emissions. Insulation materials with high thermal resistance, such as cellulose insulation or spray foam insulation, are commonly used to enhance energy efficiency in construction.
Integrating renewable energy sources into ambulance service station design and construction further enhances sustainability. Photovoltaic (PV) systems can be installed on the roofs of service stations to harness solar energy and generate electricity. This renewable energy source can power the building’s lighting, heating, and cooling systems, reducing reliance on non-renewable energy sources, and lowering carbon emissions. In some cases, surplus electricity generated by PV systems can be fed back into the grid, contributing to the local renewable energy supply.
Lighting constitutes a significant portion of energy consumption in buildings. Employing energy-efficient lighting systems, such as LEDs or compact fluorescent lamps (CFLs), can significantly reduce electricity usage and increase the lifespan of lighting fixtures. Implementing lighting controls, such as occupancy sensors and daylight harvesting systems, ensures that lights are only used when needed, further optimising energy efficiency. Properly designed lighting systems can create a safe and comfortable environment within ambulance service stations while minimising energy consumption.(139)
Including these sustainable construction practices into the design and construction of ambulance service stations not only reduces the environmental impact but also promotes operational efficiency. Energy-efficient buildings require less energy for heating, cooling, and lighting, resulting in reduced operating costs for the ambulance service. Moreover, the adoption of sustainable construction practices sets an example for other sectors and promotes a culture of environmental responsibility and stewardship.

Water is a precious resource that plays a vital role in sustaining life and supporting various human activities.
Almost 70% of the Earth’s is occupied by water, however, only 3% of it can be used as drinkable water.

In recent years, increasing awareness of environmental sustainability has led to the adoption of water management and recycling practices in various industries, including healthcare facilities. Ambulance stations are among critical healthcare facilities that require water for various purposes, including cleaning and disinfection, patient care, and staff hygiene.
The high demand for water in ambulance stations, coupled with the need to maintain strict hygiene and infection control standards, can result in significant water usage and wastage. Therefore, effective water management and recycling practices in ambulance stations is essential to minimise the environmental footprint of these facilities and promote sustainability.
One key aspect of water management in ambulance stations is water conservation. Implementing measures to reduce water consumption can help minimise the strain on local water resources and reduce the environmental impact of ambulance sector. There are several strategies that can be employed to achieve water conservation in ambulance stations.
Water- efficient appliances, such as lowflow faucets, showerheads, and toilets, can significantly reduce water consumption. These fixtures are designed to use less water without compromising performance, and they can result in substantial water savings over time.
One of the key water-efficient fixtures that can be installed in ambulance services is low-flow faucets. These faucets are designed to limit the flow rate of water while maintaining adequate pressure for effective handwashing and other cleaning activities.
Low-flow faucets typically have flow rates of 1.9 to 5.6 litres per minute (LPM), compared to standard faucets that may have flow rates of 9.5 LPM or higher. Similarly, low-flow showerheads can also be installed in ambulance stations to conserve water. Standard showerheads may have flow rates of 9.5 LPM or higher, while low-flow showerheads typically have flow rates ranging from 5.5 to 7.5 LPM.
Toilets are another significant source of water usage in ambulance stations, and installing water-efficient toilets can contribute to water conservation efforts.
Traditional toilets may use 6 to 13.2 litres of water per flush (LPF), while waterefficient toilets, such as dual-flush toilets or pressure-assisted toilets, use significantly less water per flush, typically ranging from 3 to 6 LPF. Dual-flush toilets allow users to choose between a lower flush volume for liquid waste and a higher flush volume for solid waste, thereby reducing water usage.

Pressure-assisted toilets use pressurised air to aid flushing, providing a powerful and efficient flush, while reducing the amount of water needed for each flush.
Traditional gravity-fed toilets rely solely on the force of gravity to move waste from the bowl to the drain, requiring a larger volume of water to create enough force for effective flushing. In contrast, pressureassisted toilets use compressed air to create additional pressure in the toilet tank, which propels the water and waste out of the bowl with greater force.
The water savings associated with pressure-assisted toilets can be substantial. While standard toilets typically use 6 to 13.2 litre of water per flush (LPF), pressureassisted toilets typically use between 3 to 6 LPF, depending on the model and design. This can result in water savings of up to 50% or more per flush, which can add up to significant water conservation over time, especially in high-traffic areas such as ambulance stations.
In Addition to Water Savings, Pressure-Assisted Toilets also Have Other Benefits.
The improved flushing performance of pressure-assisted toilets can help reduce clogs and blockages, which can be particularly important in ambulance stations where toilets may experience heavy use. This can help minimise maintenance and repair costs associated with toilet issues, ensuring that the toilets are in optimal working condition for staff and users.
Furthermore, pressure-assisted toilets are also known for their hygienic advantages. The forceful flush created by the compressed air helps to thoroughly clean the bowl with each flush, reducing the likelihood of stains and odours. This can contribute to a cleaner and more sanitary restroom environment in ambulance stations, which is crucial for maintaining the health and safety of staff and patients.

Source: What is EcoFlush? – WDI Technology Co Ltd (wdiecoflush.com)
When installing pressure-assisted toilets, it is important to ensure that the appropriate water pressure is available in the building to support their operation.
Pressure-assisted toilets require a minimum water pressure of 25 psi (pounds per square inch) and a maximum pressure of 80 psi for proper functioning. Therefore, it may be necessary to assess the water pressure in the ambulance station and make any necessary adjustments or upgrades to the plumbing system to meet the requirements of pressure-assisted toilets. It is also important to choose dualflush or pressure-assisted toilets that are certified by relevant industry standards by the Green Building Council Australia. These certifications ensure that the toilets meet specific water efficiency and performance criteria, providing assurance that they are environmentally responsible and sustainable choices.

In addition to low-flow faucets, showerheads, and toilets, sensor-based faucets and toilets are from other options to install in ambulance stations for saving water. Sensor-based faucets use infrared sensors to detect the presence of hands, and they dispense water only when hands are detected, helping to prevent unnecessary water wastage. Sensorbased toilets also use sensors to detect when a user has left the toilet, and they automatically flush, ensuring that water is not wasted due to forgetting to flush. These fixtures can be particularly useful in high-traffic areas of ambulance stations, where water usage can be significant, and manual control of faucets and toilets may result in water wastage.
Proper maintenance, regular inspections and repair of these fixtures are critical for ensuring their optimal performance and maximising water savings. Leaks and drips from faucets, showerheads, and toilets can result in significant water wastage. Implementing a proactive maintenance program that includes regular inspections and prompt repairs can help identify and address any issues promptly.
Another water recycling practice is greywater recycling. Greywater refers to wastewater generated from activities such as handwashing, showering, and laundry, which can be treated and reused for non-potable purposes. Implementing greywater recycling systems in ambulance stations help reduce the discharge of wastewater into the sewer system and minimise the use of freshwater for non-potable purposes.
Greywater recycling systems typically involve collection, treatment, and storage of greywater, followed by distribution for approved non-potable uses.
Moreover, wastewater generated in ambulance stations can also be treated and recycled for potable purposes through advanced treatment processes such as reverse osmosis and ultraviolet (UV) disinfection. Recycling wastewater for potable use can significantly reduce the demand for freshwater.
With greywater recycling systems, the greywater generated in the ambulance can be treated and reused, reducing the need for fresh water, and conserving this valuable resource. The system should also comply with relevant regulations and standards for greywater recycling, ensuring that the treated greywater is safe for non-potable uses.

Another important consideration is the maintenance and operation of the greywater recycling system.
Regular monitoring and maintenance are necessary to ensure the proper functioning of the system and to prevent any potential issues. This may include monitoring water quality, inspecting and cleaning filters, and conducting routine system checks. Proper training of ambulance staff on the operation and maintenance of the greywater recycling system is also essential to ensure its effective use.

Studies suggested that creating awareness can decrease people’s water consumption.(146)
In a study performed by Fan et al. in 2014, showed that people who estimate their water consumption accurately have more water awareness and behave more water sustainable than people who underestimate their water consumption.(147) It proves the importance of awareness, not just about the reality of climate change, but about the impact that every person can have on creating it. That also includes providing practical tips on how to conserve water in daily activities.(148)
Internal factors
Attitudes
Locus of control
Personal responsibility
Action Skills
Knowledge of action strategies
Knowledge of issue
Personality factors
Simple practices such as turning off taps when not in use, reporting leaks or drips promptly, and using water-efficient fixtures appropriately can collectively make a significant difference in reducing water consumption in ambulance stations. Encouraging responsible water use through educating and raising awareness in the ambulance environments, helps create a sustainable water management mindset in ambulance services and promotes water-conscious behaviours.
Situational factors
Intention to act
Responsible environmental behaviour
Adapted from: Chao YL. Predicting people’s environmental behaviour: Theory of planned behaviour and model of responsible environmental behaviour. Environmental Education Research. 2012 Aug 1;18(4):437-61.


Like any other sector, ambulance services generate waste as a part of their operations.
Ambulance services produce various types of waste, including medical waste, hazardous waste, general waste, and electronic waste.
Medical waste, such as used needles, syringes, dressings, and blood-soaked materials, can pose a significant risk to public health and the environment if not managed properly. Hazardous waste, including chemicals, medications, and disinfectants, can be toxic and harmful to human health and the environment.
Non-hazardous wastes including general waste (food containers, plastic bottles, and paper waste), can contribute to pollution and waste accumulation in landfills.
Medical Waste Production
Electronic waste, such as old medical equipment and devices on the other hand, can contain hazardous materials and contribute to electronic waste pollution.(149, 150)
Proper waste management in ambulance services is an essential aspect of achieving sustainability in healthcare operations. It significantly reduces the negative impacts of waste on the environment and minimises pollution of air, water, and soil, while it conserves resources. On the other hand, it helps prevent the spread of infections, reduces the risk of accidents and injuries, and promotes sustainability in healthcare operations.(151)

Source: Gao J. et al. Scientific Programming, 2021
There are several strategies that ambulance services can implement to achieve sustainability in waste management and promote responsible environmental practices. Ambulance services should have standard operating procedures (SOPs) in place and personnel should be trained in these procedures to ensure compliance.
Ambulance services can develop comprehensive waste management plans that outline the procedures, protocols, and responsibilities for waste management, while it ensures compliance with waste management regulations and promotes sustainability. A waste management plan can include the following elements:
The waste hierarchy

Waste reduction is the first and foremost strategy for waste management sustainability.
Waste reduction strategies can include measures such as purchasing only what is necessary, avoiding unnecessary packaging, and promoting the use of reusable items. One key aspect of waste reduction in the ambulance sector is the careful procurement of supplies and equipment.
Ambulance services should prioritise purchasing only the necessary supplies and equipment, avoiding excessive packaging, and choosing products that are durable and long-lasting. This can help minimise the amount of waste generated and reduce the need for frequent replacements.
Average Values, Upper Limits, and Lower Limits of the Main Medical Waste Fractions

Source: Giakoumakis, G. et al., Energies, 2021, 14.
One of the first steps in waste management in ambulance services is waste segregation and classification, which is the process of separating different types of waste at the point of generation to prevent cross-contamination and facilitate proper disposal.
Medical waste includes any waste that is generated during patient care activities, such as discarded medications, dressings, bandages, syringes, needles, and other materials contaminated with blood, body fluids, or potentially infectious materials. Proper handling and disposal of medical waste are crucial to prevent the spread of infections and protect public health.
A Schematic Diagram on Medical Waste Categories/Types
Ambulance services should have a clear system in place for segregating and disposing of medical waste. This may include using color-coded bins or bags to differentiate between different types of medical waste, such as red for infectious waste, yellow for sharps, and black for pharmaceutical waste. These kinds of waste should be properly disposed of in accordance with local, state, and federal regulations. Additionally, proper training should be provided to ambulance personnel on how to handle, segregate, and dispose of medical waste safely.
Adapted from: Giakoumakis, G. et al., Energies, 2021, 14.
The healthcare sector including ambulance services generate a significant amount of hazardous waste, including medical supplies, pharmaceuticals, and contaminated materials. It is crucial to manage this waste in an environmentally sustainable manner to minimise the negative impact on both public health and the environment.
Hazardous waste refers to waste that poses a risk to human health or the environment due to its physical, chemical, or biological properties.
In ambulance services, hazardous waste may include chemicals, batteries, broken or damaged equipment, and other materials that contain hazardous substances, such as mercury or radioactive materials.
Proper handling and disposal of hazardous waste are essential to prevent potential harm to the environment and ensure compliance with environmental regulations. Ambulance services should have a designated area or container for hazardous waste storage, which should be clearly labelled and secured to prevent unauthorised access.
Hazardous waste should be properly segregated from other waste streams and handled by trained personnel wearing appropriate personal protective equipment (PPE). Ambulance services should also have procedures in place for identifying, segregating, and disposing of hazardous waste in accordance with local, state, and federal regulations.
The first step in managing hazardous waste in ambulance services is proper segregation and identification.
Waste should be categorised into different types, such as sharps, pharmaceuticals, chemicals, and infectious materials. Clear labeling and color-coding systems should be implemented to ensure proper handling and disposal.
The first step in managing hazardous waste in ambulance services is proper segregation and identification. Waste should be categorised into different types, such as sharps, pharmaceuticals, chemicals, and infectious materials. This segregation is crucial to ensure appropriate handling and disposal procedures are followed for each waste type.(152)
Clear labeling and colour-coding systems are essential components of effective hazardous waste management in ambulance services. Labels should be prominently displayed on waste containers, providing information about the waste type, potential hazards, and any necessary handling precautions. This facilitates proper identification and minimises the risk of accidental exposure or mishandling.(153)
In addition to labeling, colour-coding systems can be implemented to further enhance waste identification and segregation. For instance, using specificcoloured containers or bags for different waste categories helps personnel easily recognise and differentiate between them. For example, red containers can be designated for sharps, yellow for pharmaceuticals, blue for chemicals, and so on. This standardised system assists in preventing cross-contamination and promotes safe disposal practices.(154)
Implementing proper segregation and identification measures in ambulance services brings numerous benefits.
Firstly, it reduces the risk of occupational hazards for healthcare workers, minimising the chances of accidental injuries or exposure to hazardous substances. This, in turn, protects the wellbeing of healthcare personnel and ensures the continuity of emergency medical services.(152)
Secondly, proper segregation and identification contribute to environmental protection. Categorising waste accurately facilitates applying appropriate disposal methods and prevents the release of harmful substances into the environment. It also aids in waste management planning, ensuring compliance with local, state, and federal regulations related to hazardous waste.(153)
Moreover, the implementation of clear labeling and color-coding systems promotes efficiency and productivity within ambulance services. Easy identification of waste types saves time and effort during waste handling, transportation, and disposal processes. It enhances overall workflow and reduces the likelihood of errors or mix-ups that could lead to adverse consequences.(152)
Comprehensive training programs play a pivotal role in equipping ambulance personnel with the necessary knowledge and skills for effective hazardous waste management.
These programs should cover various aspects, including proper handling, storage, and disposal techniques in accordance with local, state, and federal regulations.(152)
Training should focus on educating personnel about the different categories of hazardous waste, their associated risks, and appropriate handling procedures.
This includes providing guidance on the use of PPE, such as gloves, masks, and goggles, to minimise the risk of exposure to hazardous substances.(153) Training programs should emphasise the importance of waste segregation and the use of proper containers for different waste types. Staff members should be educated on the significance of separating sharps, pharmaceuticals, chemicals, and infectious materials to prevent crosscontamination and ensure safe disposal.(152)
Creating awareness among ambulance personnel about the potential risks of improper hazardous waste management is crucial.
Informing staff member about the adverse consequences of mishandling or incorrect disposal, such as injuries, infections, and environmental pollution helps them understand the significance of adhering to waste management protocols and encourages responsible behaviour.(153)
Raising awareness about the benefits of environmentally sustainable practices among ambulance personnel improves the positive impact of proper waste management on public health and the environment.
Emphasising concepts such as pollution prevention, recycling, and resource conservation fosters a sense of environmental responsibility and motivates staff members to adopt sustainable practices.(152)
Comprehensive training programs and creating awareness among ambulance personnel yield numerous benefits.
Firstly, such initiatives reduce the risk of occupational hazards for healthcare workers. Proper knowledge and training enable personnel to handle hazardous waste safely, minimising the likelihood of injuries or exposure to harmful substances. This promotes the wellbeing of healthcare professionals and ensures their ability to provide uninterrupted emergency medical services.(152) Secondly, training and awareness contribute to regulatory compliance.
This way, ambulance services can ensure adherence to applicable local, state, and federal guidelines, leading to reducing the risk of legal penalties and fostering a culture of compliance within the organisation.(153) Comprehensive training programs and awareness initiatives also improve overall operational efficiency.
Properly trained personnel can handle hazardous waste more effectively, reducing the likelihood of errors or accidents. This enhances workflow and saves time and resources associated with waste management processes. Furthermore, responsible waste management practices contribute to cost savings through reduced waste generation and optimised resource utilisation.(152)

Having proper storage areas equipped with appropriate containers and secure lids prevents any release of hazardous substances. These storage areas should be well-ventilated and located away from public access, minimising the risk of unauthorised handling or accidental exposure. Additionally, the areas should be equipped with appropriate storage containers that meet regulatory requirements for the storage of hazardous waste.(152, 154)
Containers used for hazardous waste storage should be sturdy, resistant to corrosion, and compatible with the waste being stored.(153) They should have secure lids or closures to prevent any leaks or spills. The lids should be tightly sealed to ensure containment and minimise the risk of release during storage.(152) Proper labeling is also crucial for safe storage. Containers should be clearly labeled with the waste type, potential hazards, and any required handling precautions. This ensures that staff members can easily identify and handle the waste appropriately.(153)
During transportation, hazardous waste must be securely sealed and stored to prevent leaks, spills, or exposure.
Specially designed containers that meet transportation regulations an are suitable for the waste being transported, with secure closures, such as screw caps or tight-fitting lids, prevent any potential leakage during transportation. It is important to ensure that the containers are in good condition and free from any defects that could compromise their integrity.(153)
In addition to secure closures, the containers used for transportation should be sturdy and resistant to physical damage.
This helps to protect the waste from accidental spills or exposure due to mishandling or accidents during transit.(152) Proper loading and securing of containers within the transport vehicle is also essential. Containers should be arranged in a manner that prevents shifting or movement during transportation. This can be achieved by straps, braces, or other appropriate securing mechanisms(153) it is also crucial to comply with any specific transportation requirements or regulations set forth by local, state, and federal authorities. This includes obtaining any necessary permits or licenses and adhering to proper documentation and recordkeeping procedures.(152)
Whenever possible, ambulance services should explore opportunities for recycling and reusing certain materials.
For instance, recyclable plastics, paper, and cardboard can be separated and sent to recycling facilities. Reusable medical equipment and supplies, such as tourniquets, immobilisation devices, or non-contaminated items, should be properly cleaned and sterilised for future use.
When waste cannot be recycled or reused, proper disposal methods must be followed.
Ambulance services should partner with licensed waste management companies that specialise in handling hazardous waste. These companies have the necessary expertise and facilities to safely treat and dispose of the waste in accordance with local regulations and environmental standards.
To further enhance environmentally sustainable waste management, ambulance services can collaborate with other healthcare facilities, waste management agencies, and regulatory bodies.
Sharing best practices, exchanging knowledge, and participating in collective initiatives can lead to more efficient waste management systems and the development of innovative solutions.
Ambulance services should track and record the volume and types of waste generated, monitor disposal practices, and assess the effectiveness of recycling and reuse initiatives. This data can inform future decision-making and help refine waste management strategies.
General waste refers to non-hazardous waste that does not pose any immediate risk to human health or the environment. In ambulance services, general waste may include food waste, paper, cardboard, plastics, and other non-hazardous materials. While general waste does not require the same level of handling and disposal precautions as medical or hazardous waste, proper waste management practices should still be followed to minimise environmental impact and promote sustainability.
Ambulance services should have clearly marked bins or bags for general waste disposal and educate personnel on proper waste segregation practices. General waste should be disposed of in designated waste receptacles, and recycling practices should be encouraged whenever possible.
Ambulance services should also explore opportunities to reduce waste generation through waste reduction strategies, such as reducing the use of disposable items, implementing recycling programs, and promoting sustainable procurement practices.
Adapted from: Zikhathile, Thobile, Harrison Atagana, Joseph Bwapwa, and David Sawtell. 2022. A Review of the Impact That Healthcare Risk Waste Treatment Technologies Have on the Environment International Journal of Environmental Research and Public Health 19, no. 19: 11967. doi.org/10.3390/ijerph191911967
The three Rs of Reduce, Reuse, and Recycle in sustainability are a set of principles that guide individuals, organisations, and governments towards more sustainable practices.
These principles encourage the conservation of resources, reduction of waste, and the promotion of sustainable development.
One of the most widely recognised approaches to the three Rs is the waste hierarchy, which places the highest priority on reduction and reuse, followed by recycling and disposal.
The goal of the waste hierarchy is to minimise the amount of waste that is sent to landfill and promote a circular economy, where waste is viewed as a resource and is repurposed instead of discarded.

In a study published in the Journal of Cleaner Production(155) evaluated the impact of the three Rs on the reduction of greenhouse gas emissions.
The study found that prioritising the three Rs can reduce greenhouse gas emissions by up to 30%. Studying the role of the three Rs in the circular economy showed that it contributed to the transition towards a circular economy by promoting the reduction of waste and encouraging the reuse and recycling of resources.(156)
In addition to academic research, there are numerous initiatives and programs focused on the three Rs of sustainability. The Zero Waste initiative encourages individuals and organisations to adopt a zero-waste lifestyle by reducing waste, reusing materials, and recycling.
Impacts Area of focus Resource impacts
Use of resources Medical instruments / equipment
This is the largest area of carbon emissions and the fourth largest water impact area. Many medical items have significant impacts from their manufacture and through their lifecycle, using natural resources like energy, water and disposable items. The natural resource impacts of equipment such as sterilisation and medical devices should be evaluated including the costs of disposal. Many single use items are made of plastic or high value materials such as metal which has a value beyond their “useable” life either as a material or as an entire product.
Reducing the use of items in healthcare is a critical aspect of achieving sustainability goals. Healthcare facilities generate significant amounts of waste, and many of the items used in patient care and treatment are single-use and made of materials that are not biodegradable. Reducing the use of these items can not only reduce the amount of waste generated but can also save money and resources.
Re-use
Description and examples of actions
Lean processes should be developed to avoid the use of unnecessary products and resources, through approaches such as Getting It Right First Time (GIRFT) especially in high value areas such as pharmaceuticals and medical devices. The system must also work in partnership with the supply chain to explore and accelerate the use of circular economy approaches to minimise the creation of waste. And further embedding resource efficiency in HSC by maximising the value of the proposed government waste and resources strategy.
The British Red Cross in Nottinghamshire saved the NHS over £1.7m through re-use of community equipment. Equipment reuse networks such as WarpIt saved 34 NHS trusts over £1.64m combined in 2017. A reusable sharps containers project at University Hospitals Coventry & Warwickshire NHS Trust over 10 year duration will have saved over 2,000 tCO2e
Adapted from: Reducing-the-use-of-natural-resources-in-health-and-social-care.pdf (lancsteachinghospitals.nhs.uk)
Reducing single-use plastic items in healthcare facilities is an important step towards achieving sustainability goals.
Single-use plastic items, such as bags, straws, utensils, and packaging materials, contribute significantly to plastic pollution and pose a threat to the environment and human health. Several studies have explored the issue of single-use plastic waste in healthcare facilities and have proposed measures to reduce their use.
In a study published in the Journal of Cleaner Production, Al-Salem et al.(157) assessed the feasibility of implementing a zero-waste program in a healthcare facility and found that reducing single-use plastic was a key component of the program. One way to reduce single-use plastic in healthcare is to switch to reusable alternatives.
For instance, reusable water bottles and coffee cups can be provided to staff instead of single-use plastic bottles and cups. Investigating the effectiveness of replacing single-use plastic water bottles with reusable ones in hospital showed a significant reduction in plastic waste.(158) Another strategy to reduce single-use plastic in healthcare is to implement a circular economy strategy, such as using recycled plastics in the production of new products. For example, the NHS in the UK has launched a project to recycle single-use plastics from hospitals and turn them into items such as plastic tubing, car parts, and garden furniture.(159)
In ambulance services, reducing single-use plastic items is an important step towards achieving sustainability goals.
A study in 2021 assessed the level of plastic waste generated by ambulance services in Nigeria and found that reducing single-use plastic was a key component of waste management.(160) One way to reduce single-use plastic in ambulance services is to switch to reusable alternatives.
For instance, reusable bags and gloves can be provided to staff instead of single-use plastic ones. Using reusable bags in ambulance services is significantly feasibility and can result in a reduction of plastic waste.(161)


Source: Living Sustainably on a Budget — The Considerate Consumer (considerate-consumer.com)
Reducing the use of disposable coffee cups is an important step towards achieving sustainability.
These cups are a significant contributor to the amount of waste and their production and disposal have a negative impact on the environment.
It is estimated that more than 2.7 million single-use coffee cups are throw out every day only in Australia, adding up to 1 billion coffee cups thrown out every year. The number has been raised to 3 billion in the UK.

It was shown that the production and disposal of these cups had a significant environmental impact, including greenhouse gas emissions and water consumption. Reducing the use of disposable cups and promoting the use of reusable cups (personal cups, compostable cups, biodegradable cups) can significantly reduce waste generation.(162, 163)


In response to growing concerns about sustainability and environmental impact, reusing strategies for waste in ambulance services have gained attention as a practical and effective approach to minimise waste, improve efficiency, and promote sustainability.
Although many items in ambulance services are designed for single-use and are discarded after each patient encounter, not all of these items are necessarily contaminated or rendered unusable after a single use. Implementing reusing strategies for waste in ambulance services requires careful planning and coordination and involves identifying and collecting items that can be safely cleaned, sanitised, and repurposed for reuse, instead of being disposed of as waste.

For example, ambulance services can encourage the use of reusable medical supplies, such as washable blankets, reusable masks, and reusable medical instruments, instead of single use disposable items. It can also lead to cost savings by reducing the demand for new supplies and lowering procurement costs, which can contribute to more efficient resource utilisation and cost-effective healthcare delivery.














Another reusing strategy for waste in ambulance services is the repurposing of packaging materials.
Even when the packaging is recyclable, using it for another purpose avoids the long process. Packaging materials, such as cardboard boxes, plastic containers, and bubble wrap, are commonly used in ambulance services for the transportation and storage of medical supplies, medications, and equipment. Instead of being discarded as waste, these packaging materials can be collected, sanitised, and repurposed for other uses within the ambulance service or donated to other healthcare facilities or charitable organisations. For example, cardboard boxes can be reused for storage or as makeshift splints, and plastic containers can be repurposed for organising and storing smaller items.
Repurposing of packaging materials can offer multiple benefits. Firstly, it can reduce the demand for new packaging materials, which can help conserve resources and reduce energy consumption associated with the production and disposal of packaging materials. Additionally, repurposing can also lead to cost savings by eliminating the need to purchase new packaging materials. Furthermore, repurposing can also promote sustainability and environmental awareness among ambulance personnel and patients, creating a culture of waste reduction and resource conservation.
Items such as stretchers, wheelchairs, and other medical equipment can often be refurbished or repaired instead of being discarded as waste. Ambulance services can also explore partnerships with local organisations or charities to donate or sell reusable items that are no longer needed but are still in good condition. This can significantly reduce the amount of waste generated and promote sustainability in the ambulance sector.
Reusing and donation of medical devices and equipment plays a pivotal role in addressing the disparities in access to quality healthcare, particularly in remote areas.
This approach not only promotes environmental sustainability by reducing electronic waste but also contributes to the improvement of healthcare infrastructure in underserved regions.
The reuse of medical devices and equipment involves extending their lifespan through thorough inspection, cleaning, and sterilisation processes. This practice is gaining momentum as a cost-effective and environmentally friendly solution for healthcare providers. It allows institutions to maximise the utility of their resources while minimising the ecological footprint associated with the disposal of electronic medical equipment.
Several studies have highlighted the safety and efficacy of reusing medical devices when appropriate protocols are followed. The FDA, in its guidance on reprocessing medical devices, emphasises the importance of stringent quality control measures to ensure the safety of reused devices. Implementing standardised procedures for device reprocessing not only guarantees patient safety but also ensures compliance with regulatory standards.(164)
Furthermore, the reusing of medical devices can significantly reduce healthcare costs, making quality healthcare more accessible to remote and economically disadvantaged areas. This cost-effectiveness can be attributed to the reduced need for frequent equipment replacements, ultimately leading to financial savings for healthcare institutions.
Donating medical devices and equipment to remote health facilities is a compassionate and impactful way to address the healthcare disparities prevalent in underserved areas.
Numerous organisations and initiatives facilitate the donation process, channeling surplus medical equipment from developed regions to healthcare facilities in need.
The WHO has recognised the importance of medical equipment donations in strengthening healthcare systems, particularly in resource-limited settings. WHO emphasises the necessity of aligning donated equipment with the recipient facility’s needs and ensuring that the donated items are in good working condition.(165)
Donated equipment, when integrated into ambulance services, can bridge the gap between remote areas and more centralised healthcare facilities, facilitating early intervention and stabilisation of patients during transit.(166) Collaborative efforts between governmental bodies, non-governmental organisations, and private enterprises are essential to streamline the donation process.

A notable case study comes from the University of Washington Medical Center, where a comprehensive program for the reuse of medical devices was implemented.(167) The program involved the meticulous inspection, cleaning, and sterilisation of single-use medical devices such as catheters and surgical instruments. The results of this initiative demonstrated substantial cost savings for the medical center, reducing the need for frequent purchases of new equipment.
MedShare, a nonprofit organisation dedicated to redistributing surplus medical supplies, presents an exemplary case of donating medical equipment to remote health facilities.(168) The organisation collects unused and surplus medical equipment from hospitals, manufacturers, and other donors, thoroughly inspects and refurbishes the items, and then redistributes them to healthcare facilities in underserved regions. Through partnerships with healthcare institutions and donors, MedShare has facilitated the donation of medical equipment to over 100 countries, positively impacting millions of lives.
The case study of the London Ambulance Service (LAS) provides insights into the positive outcomes of incorporating donated medical devices into emergency response vehicles.(169) LAS collaborated with medical equipment manufacturers and donors to equip their ambulances with advanced diagnostic tools, defibrillators, and ventilators. The integration of donated equipment significantly improved the prehospital care provided by LAS, allowing paramedics to administer life-saving interventions more effectively during emergencies. This case study highlights the potential of targeted equipment donations to enhance the capabilities of ambulance services, particularly in remote areas where access to advanced medical technologies may be limited.
Recycling is another important strategy for waste management sustainability in the ambulance sector.
Recycling can help reduce the environmental impact of waste disposal and promote the circular economy, where waste is considered as a valuable resource.
Ambulance services should implement effective recycling programs to ensure that recyclable waste materials, such as paper, cardboard, plastics, and glass, are properly collected, segregated, and recycled.
This can be achieved by providing clearly marked recycling bins in appropriate areas and educating personnel on the importance of recycling and proper waste segregation practices. Additionally, ambulance services should partner with local recycling facilities or waste management companies to ensure that the recycled materials are processed and utilised in an environmentally responsible manner.
Medical gloves are an essential part of medical procedures, protecting both healthcare personnel and patients from infections and diseases. However, the widespread use of gloves in healthcare sector has led to a significant amount of waste generation, and improper disposal of these gloves can have severe environmental consequences.
In recent years, there has been a growing demand for sustainable and eco-friendly medical products and recycled surgical gloves have emerged as a promising solution to address the issue of waste management in healthcare.
The recycling process involves collecting used gloves from healthcare facilities, cleaning and sterilising them, and then shredding or melting them to create new products. Recycled gloves can be used in various industries, such as healthcare, construction, gardening, and automotive.(170)
Adapted from: Mousavi SS. et al. Sustainability. 2022;14(16):9908.
Latex gloves are the most common type of surgical gloves used in healthcare facilities worldwide.
These gloves are made from natural rubber latex and provide excellent tactile sensitivity, flexibility, and durability. In recent years, manufacturers have introduced recycled latex gloves as a sustainable alternative. These gloves are produced from post-consumer waste, specifically used gloves collected from healthcare facilities.
Through a rigorous recycling process involving cleaning, shredding, and sterilisation, recycled latex gloves are created, meeting the necessary quality standards. This article examines the sustainability aspects of latex gloves, focusing on their recycling initiatives and the benefits they bring to healthcare facilities.

Source: Akhtar S, Pranay K, Kumari K. Personal protective equipment and micro-nano plastics: A review of an unavoidable interrelation for a global wellbeing hazard. Hygiene and Environmental Health Advances. 2023 Apr 11:100055.
Recycled latex gloves are an innovative solution to address the environmental impact associated with traditional latex gloves. Because of utilising post-consumer waste, these gloves contribute to waste reduction and resource conservation. Recycled latex gloves are made from post-consumer waste, which includes used gloves collected from healthcare facilities. The recycling process involves cleaning, shredding, and sterilising the gloves to ensure they meet the required quality standards.
First, the collected used gloves undergo a thorough cleaning process to remove any contaminants or residual substances. This step is crucial to eliminate potential pathogens and ensure the gloves are safe for reuse. Following the cleaning process, the gloves are shredded into smaller pieces. This facilitates the subsequent steps of the recycling process and ensures uniformity in the resulting material.(171)
To guarantee the safety and hygiene of the recycled gloves, sterilisation is performed. This process effectively eliminates any remaining pathogens or microorganisms, ensuring that the gloves meet the required medical standards.(171)

Recycled latex gloves offer several benefits, both in terms of environmental sustainability and economic considerations. These gloves divert a significant amount of glove waste from landfills, reducing the environmental impact associated with glove disposal. Such a waste reduction aligns with the principles of the circular economy, promoting resource conservation and minimising the need for virgin materials.(171)
In addition to waste reduction, recycled latex gloves contribute to cost savings for healthcare facilities. By opting for recycled gloves, facilities can potentially reduce procurement costs, as recycled materials are often more cost-effective compared to their virgin counterparts. This cost advantage allows healthcare facilities to prioritise sustainability without compromising on quality or patient safety.(172)
Recycled latex gloves maintain the key characteristics that make latex gloves popular in healthcare settings. They offer excellent tactile sensitivity, flexibility, and durability, ensuring healthcare professionals can perform procedures with precision and confidence.(171)
Biodegradable gloves offer an environmentally conscious alternative to traditional disposable gloves.
As the global emphasis on sustainability in healthcare practices continues to grow, these gloves have found relevance in emergency services, particularly among paramedics and first responders. Designed to break down naturally over time, biodegradable gloves contribute to a reduced environmental impact compared to their non-biodegradable counterparts.
Typically crafted from materials like natural rubber, cornstarch, or other plantbased sources, these gloves align with the broader goal of minimising single-use plastic waste in the healthcare sector.
Suited for short-term use, biodegradable gloves are particularly advantageous in emergency situations where quick and efficient protection is essential. Their disposal process involves specific conditions depending on the materials used, often requiring microbial action, heat, and moisture to facilitate the biodegradation process.
Considering supply chain implications, emergency service organisations can adjust procurement strategies to prioritise suppliers offering biodegradable glove options. Engaging with suppliers committed to sustainability aligns with the broader environmental goals of these organisations.

While recycled latex gloves offer significant sustainability benefits, it is important for healthcare facilities to implement best practices to maximise their environmental impact. Facilities should prioritise the collection and proper segregation of used gloves to ensure a reliable supply of post-consumer waste.
Collaborating with waste management companies or implementing internal collection systems can help streamline the collection process.(172)
It is essential for healthcare facilities to maintain stringent quality control measures when incorporating recycled latex gloves into their operations. Working closely with manufacturers who follow rigorous recycling processes and adhere to regulatory standards ensures that the recycled gloves meet the necessary quality and safety requirements.(171)

Nitrile gloves are a popular alternative to latex gloves, especially for individuals with latex allergies.
These gloves are made from synthetic materials and provide excellent chemical resistance and puncture resistance. In addition to their protective properties, nitrile gloves possess the advantage of recyclability. The recycling process involves shredding and melting the gloves to create new products. As a result, recycled nitrile gloves find applications in diverse industries, including healthcare, automotive, and construction. Nitrile gloves, composed of synthetic materials, possess inherent recyclability. After use, these gloves can be diverted from conventional waste streams and subjected to recycling processes.
The recycling of nitrile gloves typically involves shredding and melting to transform the used gloves into new products. Recycling nitrile gloves offers several sustainability benefits. First, it diverts glove waste from landfills, reducing the environmental burden associated with traditional disposal methods. Additionally, recycling nitrile gloves helps reduce the carbon footprint associated with the production of new gloves. The recycling process consumes less energy compared to the production of virgin nitrile gloves, contributing to overall energy conservation and environmental preservation.(173)
Vinyl medical gloves, made from polyvinyl chloride (PVC), are frequently used in non-surgical procedures due to their affordability.
While vinyl gloves offer cost advantages compared to latex and nitrile gloves, they provide less protection and durability. They also pose environmental challenges as they are not biodegradable and can release harmful chemicals during incineration. However, in recent years, manufacturers have started producing recycled vinyl gloves using post-consumer waste, offering a potential solution to reduce the environmental impact of these gloves.
Vinyl gloves have a significant environmental impact due to their composition and disposal methods. PVC, the primary material used in vinyl gloves, is derived from fossil fuels, and requires energy-intensive processes for production.(172) The extraction and manufacturing of PVC contributes to greenhouse gas emissions and resource depletion, making vinyl gloves less environmentally friendly compared to alternative glove materials.(173) Additionally, vinyl gloves pose challenges in terms of disposal. As non-biodegradable products, vinyl gloves persist in landfills, contributing to the accumulation of waste.
Incineration, a common disposal method, can release toxic chemicals such as dioxins and hydrochloric acid, further exacerbating environmental concerns.(174)
Recognising the environmental impact of vinyl gloves, some manufacturers have introduced recycled vinyl gloves as a sustainable alternative. These gloves are produced using post-consumer waste, typically from discarded vinyl gloves or other PVC-based products. The recycling process involves cleaning, shredding, and reprocessing the waste material to create new gloves.(171)
Recycled vinyl gloves offer several environmental benefits. They reduce the reliance on virgin PVC, mitigating the need for new resource extraction, minimising associated environmental impacts and promote a circular economy approach.(171) In terms of performance, recycled vinyl gloves are comparable to traditional vinyl gloves, offering adequate barrier protection for non-surgical procedures.(172) They provide an opportunity for healthcare facilities to prioritise sustainability without compromising safety or cost-efficiency.
To enhance sustainability in glove usage, healthcare facilities can adopt several practices.
First, reducing glove usage overall through proper risk assessment and training can help minimise waste generation. This involves evaluating the necessity of glove use for specific tasks and encouraging proper hand hygiene practices as an alternative when gloves are not essential.(174)
The universal image of a healthcare worker often includes the presence of gloves, a symbol of infection prevention and personal protective equipment. However, the visual portrayal of glove use in the media sometimes diverges from the actual necessity in real-life healthcare scenarios.
This discrepancy is a matter of concern, as it raises questions about the appropriateness of glove use in various healthcare activities. Observing healthcare professionals in media representations, it is not uncommon to witness them donning gloves while offering comfort by holding someone’s hand, or simply maneuvering a trolley. While gloves are undeniably a crucial component of personal protective equipment, their pervasive use has grown disproportionately to the risks they are designed to mitigate. The abundance of gloves, while necessary for availability, has led to challenges in confining their use to situations that genuinely warrant protection.
Reducing waste associated with unnecessary personal protective equipment (PPE)
SICPs Gloves Apron Gown (ambulance staff use Coveralls)
No anticipate exposure to blood or body fluid, mucous membranes, or non-intact skin.
Exposure to blood or body fluids, mucous membranes, or non-intact skin is anticipated but no risk of splashing or spraying.
Exposure to blood , mucous membranes, or non-intact skin is anticipated and risk of spraying or splashing.
Unless in place of an apron if extensive spraying or splashing is anticipated.
TBPs Gloves Apron Gown (ambulance staff use Coveralls)
Contact precautions
Unless exposure to blood or body fluid, mucous membranes, or non-intact skin is anticipated.
Droplet precautions
Unless in place of an apron if extensive spraying or splashing is anticipated.
Unless in place of an apron if extensive spraying or splashing is anticipated.
Fluid resistant surgical mask (FRSM)
Unless risk of splashing or splashing of blood or body fluids is anticipated.
Fluid resistant surgical mask (FRSM)
Respiratory Protective Equipment (PPE)
Eye/face protection
Airborne precautions
Adapted from Personal-Protective-Equipment-for-Use-in-Healthcare-Policy-exp-June-26.pdf (leicspart.nhs.uk)
Eye/face protection
Unless risk of splashing or splashing of blood or body fluids is anticipated.
It is crucial to recognise that gloves are indispensable when handling situations involving contact with blood or body fluids, non-intact skin, mucous membranes, or exposure to harmful drugs and chemicals.
However, the routine use of gloves in activities such as entering data onto tablets or computers is a practice that requires reconsideration. Hand hygiene stands as a preferable alternative during administrative tasks, highlighting the need for a discerning approach to glove use based on the specific risks involved.
Furthermore, healthcare facilities should explore alternatives to vinyl gloves. Latex and nitrile gloves are more durable and offer better protection, although they may have higher costs. Assessing the risk levels of different procedures and selecting appropriate glove materials can optimise both safety and sustainability.(172, 173, 175)

While these tubes may seem small and insignificant, they add up quickly and can have a significant impact on the environment.
Toilet paper tubes are typically made from cardboard, which is a recyclable material. However, many people do not recycle these tubes and instead toss them in the trash, where they end up in landfills.
In landfills, they can take years to break down, contributing to the buildup of waste and pollution. In addition to reducing waste, recycling these tubes also conserves natural resources, reduces greenhouse gas emissions, and saves energy.
When toilet paper tubes are recycled, they are typically broken down and turned into new cardboard products. This process requires less energy and resources than producing new cardboard from scratch, which makes recycling a more sustainable option. However, it’s important to note that not all toilet paper tubes are recyclable.

Assuming one roll of tiolet paper weighs 140g. Source: Statista, 2018 @Statistics_Data_Facts
Some tubes may be coated with a plastic or wax material that makes them difficult or impossible to recycle.
It’s always best to check when shopping for toilet paper products made from recycled materials. This supports the recycling industry and helps reduce the amount of waste that ends up in landfills. Some companies have implemented their own recycling programs for toilet paper tubes.
Environmental Impact of a Toilet Paper Roll
For example, Kimberly-Clark, the manufacturer of the popular toilet paper brand Cottonelle, offers a tube recycling program in partnership with TerraCycle. Through this program, consumers can send their used tubes to be recycled, and Kimberly-Clark will donate $1 to the World Wildlife Fund for every 2,000 tubes collected.

Australia, Victoria Ambulance Service
Recycling is an important aspect of sustainability in healthcare industry. One case study that highlights the benefits of ambulance recycling is the Ambulance Victoria Sustainability Program.
The program was launched in 2010, with the aim of reducing the environmental impact of Ambulance Victoria’s operations. One of the key initiatives of the program was the recycling of decommissioned ambulance vehicles.
Ambulance Victoria partnered with a local company, which disassembled the vehicles and recycled over 95% of the materials. The program has since recycled over 150 decommissioned ambulance vehicles, resulting in significant environmental benefits.
According to Ambulance Victoria, the program has helped reduce the organisation’s carbon footprint by over 1,500 tonnes of CO2e (carbon dioxide equivalent) per year. It has also saved over 70,000 litres of water and reduced waste going to landfill by over 200 tonnes per year. In addition, the program has generated revenue from the sale of recycled materials, which has been reinvested back into Ambulance Victoria’s sustainability initiatives.(176)

The “St John NT Ambulance Sustainability Program” is another example of implementing sustainability in ambulance services. Launched in 2015, the program aimed to reduce the environmental impact of St John Ambulance NT’s operations and improve resource efficiency. As part of the program, St John Ambulance NT partnered with a local recycling company to recycle decommissioned ambulance vehicles.
The program has since recycled over 20 decommissioned ambulance vehicles, with over 90% of the materials being recycled. This has resulted in significant environmental benefits, including a reduction in carbon emissions and waste going to landfill. According to St John Ambulance NT, the program has helped reduce the organisation’s carbon footprint by over 40 tonnes of CO2e (carbon dioxide equivalent) per year.
In addition, the program has generated revenue from the sale of recycled materials, which has been reinvested back into St John Ambulance NT’s sustainability initiatives.(177) St John NT Ambulance has also implemented other various sustainability initiatives, including reducing paper usage, energy-efficient lighting, and rainwater harvesting. It has saved over 25,000 litres of water and reduced waste going to landfill by over 20 tonnes per year.
In 2019, St John NT Ambulance was awarded the “Bronze Sustainable Certification” from EarthCheck, a leading scientific benchmarking, certification, and advisory group. This certification recognises the organisation’s commitment to sustainable practices and reducing its environmental impact.(178)

In the sense of the importance of uniform recycling and sustainability in Australia, the NSW Ambulance Service Uniform Recycling Program was launched in 2012. Through recycling and repurposing old uniforms, the program recycled over 4,000 kilograms of used uniforms, resulting in significant environmental benefits.
According to NSW Ambulance Service, the program has helped reduce the organisation’s carbon footprint by over 12 tonnes of CO2e (carbon dioxide equivalent) per year. It has also reduced the amount of waste going to landfill by over 2 tonnes per year and has also generated economic benefits, including cost savings from not having to purchase new uniforms and revenue from the sale of recycled materials.(179)

In an inspiring initiative taking place in Queensland, Australia, old uniforms from police officers, paramedics, and firefighters are being given a new lease of life. Rather than allowing these uniforms to go to waste or be discarded, they are being recycled and repurposed into vibrant and playful clothing for underprivileged children. This innovative project not only tackles the issue of uniform waste but also brings joy and opportunities to children who may be facing challenging circumstances.
The recycled uniforms are carefully deconstructed, and the fabric is skilfully repurposed to create new garments, ensuring that each piece retains its distinct identity and the memories associated with the original uniform. The resulting clothing is both functional and visually appealing.
The Hobart Clinic is a private mental health hospital that has implemented several sustainable practices to reduce its environmental impact. The hospital uses solar panels to generate renewable energy, recycles paper and cardboard, and has implemented a range of watersaving measures. The Hobart Clinic’s sustainability initiatives demonstrate how healthcare providers can reduce their environmental impact by implementing eco-friendly practices and promoting sustainability.
Yorkshire Ambulance Service
Sustainability Program was launched in 2010 for the first time. One of the key initiatives of the program was the recycling of decommissioned ambulance vehicles. Yorkshire Ambulance Service partnered with a local recycling company, which dismantled the vehicles and recycled over 90% of the materials. Since the program’s inception, over 350 decommissioned ambulance vehicles have been recycled, resulting in significant environmental benefits.
According to Yorkshire Ambulance Service, the program has helped reduce the organisation’s carbon footprint by over 1,100 tonnes of CO2e (carbon dioxide equivalent) per year. It has also saved over 170,000 litres of water and reduced waste going to landfill by over 200 tonnes per year. The program has also been economically beneficial. It has generated revenue from the sale of recycled materials, which has been reinvested back into Yorkshire Ambulance Service’s sustainability initiatives.(180)
In San Francisco, the fire department initiated a sustainability program in 2003, with the aim of reducing the environmental impact of San Francisco Fire Department’s operations. The department partnered with a local company, which dismantled the decommissioned vehicles and recycled over 90% of the materials. Since the program’s inception, over 70 decommissioned vehicles have been recycled, resulting in significant environmental benefits. According to the San Francisco Fire Department, the program has helped reduce the organisation’s carbon footprint by over 20 tonnes of CO2e (carbon dioxide equivalent) per year. It has also saved over 2 million litres of water and reduced waste going to landfill by over 60 tonnes per year, while it also generated revenue from the sale of recycled materials.(181)
8. United States, New York City Fire Department (FDNY)
New York City Fire Department (FDNY)
Uniform Recycling Program is an example of a successful program to reduce the environmental impact of FDNY’s operations and improve resource efficiency by recycling and repurposing old uniforms. The program started in 2012. It involves collecting used uniforms from FDNY employees, cleaning and repairing them, and then redistributing them to new employees.
Since the program’s inception, over 50,000 pounds of used uniforms have been recycled, resulting in significant environmental benefits. According to FDNY, the program has helped reduce the organisation’s carbon footprint by over 200 tonnes of CO2e (carbon dioxide equivalent) per year. It has also reduced the amount of waste going to landfill by over 20 tonnes per year. The program has also generated economic benefits, including cost savings from not having to purchase new uniforms and revenue from the sale of recycled materials. The revenue generated from the sale of recycled materials has been reinvested back into FDNY’s sustainability initiatives.(182)
In Germany, the Uniform Recycling Program of the German Red Cross was launched in 2012. The program collected used uniforms from German Red Cross employees and redistributed them to new employees after cleaning and repairing them.
Since the program’s inception, over 50,000 pieces of used clothing have been collected and recycled, resulting in reducing the organisation’s carbon footprint by over 270 tonnes of CO2e (carbon dioxide equivalent) per year. It has also reduced the amount of waste going to landfill by over 20 tonnes per year. The program’s economic benefits included cost savings from not having to purchase new uniforms and revenue from the sale of recycled materials.(183)
One of the primary hurdles encountered is the diverse range of waste generated, encompassing different types of waste with varying degrees of hazardousness. Ambulance services produce medical waste from patient care, hazardous waste from chemicals and medications, general waste from consumables, and electronic waste from medical equipment. Effectively managing these distinct waste streams necessitates proper segregation, handling, storage, transportation, and disposal methods, which can be intricate and time-consuming.
Another significant challenge arises from the limited space and resources available within ambulances. These vehicles are purposefully designed to be compact and efficient for emergency medical care, often resulting in restricted storage capacity for waste management purposes. Such constraints can lead to issues like overcrowding, contamination risks, and inefficient waste handling practices. Moreover, ambulances operate in dynamic environments where time is of the essence, and waste management may not always be the top priority for emergency medical personnel amidst their critical life-saving tasks.
Lack of awareness and training among ambulance staff regarding proper waste management practices poses another challenge. Emergency medical personnel may not possess comprehensive knowledge about the potential hazards associated with waste or the correct handling and disposal methods, which can result in improper waste management practices. Insufficient training and awareness can contribute to mishandling of waste, thereby posing risks to public health, safety, and the environment.
Additionally, limited infrastructure and facilities for waste management can present challenges in certain regions. Ambulance services operating in remote or underserved areas may encounter difficulties in accessing appropriate waste management facilities, such as waste treatment plants or recycling centers. This can lead to improper waste disposal practices, such as landfill dumping or incineration, which can have adverse environmental impacts and contribute to pollution.
To address these challenges a multifaceted approach involving several key aspects must be designed.
First and foremost, comprehensive waste management plans tailored specifically for ambulance services need to be developed and implemented. These plans should include guidelines for waste segregation, storage, and transportation, considering the diverse waste streams encountered in these settings. Training programs should be provided to ambulance staff to enhance their awareness and understanding of proper waste management practices, emphasising the importance of public health, safety, and environmental protection.
Collaboration and partnerships with waste management authorities and organisations are essential for ensuring the availability of appropriate infrastructure and facilities. This may involve establishing collection points, collaborating with local waste management services, or exploring innovative waste management technologies suitable for the unique needs and constraints of ambulance services.
Regular monitoring and evaluation of waste management practices should be conducted to identify areas for improvement and ensure compliance with regulations and best practices.
Addressing the challenges of waste management within ambulance services, assist in promoting safer, more efficient, and environmentally conscious practices. Proper waste management not only protects public health and the environment but also contributes to the overall professionalism and sustainability of ambulance services, aligning with broader efforts to minimise the environmental footprint of the healthcare sector.

Responsible procurement is an important component of sustainability in the healthcare sector.
As a major purchaser of goods and services, the healthcare industry has significant potential to drive sustainable practices throughout the supply chain.
Prioritising responsible procurement practices reduces healthcare organisations’ environmental impact, improves social and labor conditions, and promotes sustainable economic development.
The healthcare industry is a major contributor to global greenhouse gas emissions, with hospitals alone accounting for 5% of total emissions in the United States.
In addition to contributing to climate change, healthcare waste can also have significant negative impacts on human health and the environment.
Through promoting the use of environmentally friendly products and services, responsible procurement practices can help reduce the environmental impact of healthcare operations. While the potential cost of implementing sustainable procurement practices and initiatives may be more expensive than traditional options, the long-term benefits of responsible procurement, including reduced environmental impact and improved social and labor conditions, can outweigh the short-term costs.

Prioritising Wellness:
Mitigate pollution and prioritise the use of safer products to safeguard the health and wellbeing of patients, healthcare workers, and communities, aligning procurement practices with public health priorities.

Resilience:
Bolster operational continuity by designing systems and supply chains resilient enough to withstand health crises and environmental emergencies, ensuring uninterrupted delivery of essential healthcare services.
Efficient Resource Management:
Optimise financial resources through efficient processes and judicious management of resources and labour, maximising budgets without compllomising on sustainability goals.
Partnerships:
Utilise the collective purchasing influence of the healthcare sector to stimulate demand for innovative and sustainable products, fostering a culture of collaboration and progress within the industry.
Small Footprint:
Prioritise the adoption of products and services with minimal environmental impacts, including reduced carbon footprints, to minimise the ecological footprint of healthcare delivery.
Empowering Communities:
Drive investment towards diverse and local suppliers as part of sustainable procurement strategies, aiming to mitigate inequities across the supply chain and romote community prosperity
Leadership:
Empower healthcare organisations to assume leadership roles, actively responsive to the health and wellbeing needs of their communities, setting high standards for ethical and sustainable procurement practices.
In recent years, the Australian Government has undergone a transformative shift in its procurement practices, recognising the need to integrate sustainability considerations.
This shift is evident in the Australian Government Procurement Guidelines (AGPG), which serve as the guiding framework for public procurement. This comprehensive analysis explores the nuanced aspects of the government’s sustainability criteria, with a particular focus on different sectors, including the critical healthcare sector. The government’s sustainability criteria span environmental, social, and economic dimensions, presenting a comprehensive framework for evaluating the impact of procurement decisions. These criteria encompass considerations such as the environmental footprint of goods and services, adherence to fair labor practices, and the economic viability of procurement choices.
Within the larger context of sustainability, sector-specific considerations become imperative. The healthcare sector, as a vital component of public services, demands a tailored approach. The Australian Government recognises this and has outlined specific criteria for sustainability in healthcare procurement. For medical devices and equipment, criteria include the evaluation of environmental impact and considerations for end-of-life disposal. Similarly, pharmaceuticals and supplies are scrutinised for their environmental impact and ethical sourcing practices. When it comes to infrastructure and facility management, the focus shifts to sustainable design, energy solutions, and green building certifications.
Underpinning these sustainability initiatives are key legislations that provide the necessary legal foundation.
The Commonwealth Procurement Rules (CPR) establish fundamental principles for procurement entities, emphasising value for money, non-discrimination, and ethical conduct. The Environment Protection and Biodiversity Conservation Act 1999 (EPBC Act) ensures that environmental impact assessments are considered in procurement decisions.
Additionally, the Workplace Gender Equality Act 2012 promotes diversity and inclusion, indirectly influencing the supply chain. The Public Governance, Performance and Accountability Act 2013 establishes a framework for responsible resource management, aligning with the broader sustainability goals.
The healthcare sector supply chain has a high potential for sustainable improvement. From construction of buildings to purchasing medical equipment, any purchase by a healthcare service can impact the environment and the community who live in it (174).
Healthcare organisations can promote responsible procurement by selecting environmentally friendly products and services from suppliers who prioritise sustainability and have environmentally friendly practices themselves. Supporting suppliers who meet these standards by healthcare organisations can help promote fair and safe working conditions throughout the supply chain.
In addition to promoting sustainable practices and fair labor standards, responsible procurement can also contribute to sustainable economic development. Choosing local suppliers is another way that healthcare organisations can support the development of local economies, reduce transportation emissions, and build stronger relationships with suppliers.
Source: Duque-Uribe et al., Sustainability 2019, 11(21), 5949.
Chapter 13: Responsible Procurement and Logistics
Conceptual Framework for Hospital Sustainable Supply Chain Management

To effectively implement responsible procurement practices, healthcare organisations must prioritise sustainability throughout their procurement processes.
This can include establishing sustainability criteria for suppliers, including environmental, social, and economic factors in procurement decisions, and conducting regular sustainability assessments of suppliers. Additionally, healthcare organisations can promote sustainable practices by working with suppliers to develop and implement sustainability plans and initiatives.
Selecting suppliers who prioritise sustainability and have environmentally friendly practices themselves is an important aspect of responsible procurement. Healthcare organisations can establish criteria for suppliers that focus on reducing their environmental impact, such as minimising waste generation, implementing energy-efficient processes, and using renewable resources. Through partnering with such suppliers, healthcare organisations ensure that the products and services they procure have a lower carbon footprint and contribute less to environmental degradation.
Promoting sustainable practices throughout the supply chain is also essential for responsible procurement. Healthcare organisations can support ethical working conditions and human rights. This means partnering with suppliers that provide safe working environments, pay fair wages, and prohibit exploitative practices such as child labor or forced labor, via choosing suppliers that uphold fair labor standards. Through demanding these standards, healthcare organisations help create a ripple effect that encourages suppliers to improve their labor practices and contribute to better global working conditions. In addition to promoting sustainability and fair labor standards, responsible procurement can contribute to sustainable economic development. Healthcare organisations can choose to source products and services from local suppliers whenever possible. This choice supports the development of local economies by creating job opportunities and fostering economic growth.
Investing in local suppliers also assists healthcare organisations in reducing transportation emissions associated with long-distance supply chains and supports the creation of a more resilient and self-sufficient healthcare system.
Furthermore, selecting local suppliers helps build stronger relationships within the community. Collaboration and partnership with local suppliers can lead to better communication, faster response times, and increased trust. These relationships can facilitate innovation, customisation, and the sharing of best practices, ultimately benefiting both the healthcare organisation and the supplier.
Source: https://www.unicef.org UNICEF Supply Chain Maturity Model.
Working closely with local suppliers is an effective approach for healthcare organisations to contribute to a more sustainable and interconnected ecosystem. To effectively promote responsible procurement, healthcare organisations should establish clear guidelines and evaluation processes for supplier selection. They can require suppliers to provide evidence of their sustainable practices, certifications, and adherence to fair labor standards. Collaboration with industry associations and third-party organisations that provide sustainability certifications can also support the verification of supplier practices.

Responsible procurement is an important aspect of sustainability in the ambulance sector. Ambulance services are a critical component of healthcare delivery, and as such, they have significant potential to drive sustainable practices throughout the supply chain. Like the other sectors of healthcare system, sustainable procurement in ambulance services aims to reduce the environmental impacts and maximising the lifecycle of the products that they use, while providing the same high quality emergency care to the people in need.
Establishing a comprehensive and effective responsible procurement strategy is imperative for organisations seeking to minimise their environmental footprint and contribute to sustainable practices. The initial phase involves the development of a robust sustainable procurement plan, encompassing the formulation of procurement metrics, benchmarking expenditures, and a meticulous examination of methods to mitigate the environmental repercussions associated with purchases.
Ambulance services, in particular, confront substantial environmental implications, primarily stemming from the greenhouse gas emissions generated by their fleet of vehicles. To address this challenge, implementing responsible procurement practices becomes crucial. This entails advocating for the adoption of environmentally friendly vehicles, with a specific focus on acquiring lowemission options such as hybrid or electric vehicles. Additionally, promoting the use of alternative fuels, such as biodiesel or compressed natural gas, and selecting vehicles that consume fewer resources are essential components of a sustainable procurement approach in this context.
To ensure the seamless integration of responsible procurement practices, ambulance services can further underscore their commitment to sustainability. This involves establishing explicit sustainability criteria for suppliers, incorporating environmental, social, and economic considerations into procurement decisions. Regular sustainability assessments of suppliers become integral to maintaining accountability and adherence to set standards. Furthermore, fostering collaboration with suppliers to develop and implement sustainability plans and initiatives can significantly contribute to the promotion of sustainable practices throughout the procurement process.
Adopting these measures helps ambulance services not only reduce their environmental impact but also cultivate a more responsible and sustainable supply chain.
Responsible procurement can also contribute to sustainable economic development by prioritising local suppliers. While many healthcare products in ambulance sector are made overseas, ambulance services can choose to work with local suppliers to reduce transportation emissions, support the development of local economies, and build stronger relationships with suppliers.
Additionally, ambulance services can prioritise the use of products and services from social enterprises and other businesses that prioritise sustainability and social impact. To overcome the complexity of supply chains in the ambulance sector, due to working with numerous suppliers, ambulance services can prioritise the use of supplier sustainability assessments, which can help identify areas where suppliers may need to improve their sustainability practices.
Procurement

The key principle in sustainability is the ability to meet the present needs without compromising future generations’ ability to meet their own needs.(184)
Since ambulance services have a direct impact on the environment through their carbon footprint, planning, implementation, and control of the flow of goods, services, and information through from the point of origin to the point of consumption can define this sector’s impact on environment.(185)
The Triple Bottom Line of Sustainable Logistics

In ambulance services, logistics refers to the management of resources required to respond to emergency calls, transport patients, and dispose of medical waste. The logistics of ambulance services involve the coordination of various resources, including ambulances, equipment, personnel, and medical supplies.
Logistics and sustainability intersect in ambulance services because ambulance services need to ensure that they deliver emergency medical services in a sustainable manner. Achieving this requires a comprehensive approach that addresses all aspects of ambulance services, including the procurement of medical supplies, the maintenance of ambulances, and the disposal of medical waste.

As the world becomes more aware of the impact of climate change, there is an increasing need to implement green ambulance programs that minimise the environmental impact of EMS, while maintaining high-quality emergency services.
Green ambulance programs aim to reduce ambulance services’ carbon footprint by using environmentally friendly practices. These programs focus on reducing emissions, conserving energy, and minimising waste.
Examples of green ambulance practices include using hybrid or electric vehicles, using renewable energy sources, and reducing the use of single-use medical supplies.


Assess the Situation, Set Goals or Targets then Develop and Implement a Plan.
The first stage in implementing Green Ambulance Programs is to assess the current situation.
This step involves conducting a complete evaluation of the existing ambulance operations, practices, and infrastructure to identify potential opportunities to enhance environmental sustainability.
Through conducting a thorough assessment of the current situation, ambulance services can gain a comprehensive understanding of their environmental impact, identify areas for improvement, and establish a baseline against which progress can be measured.
This assessment sets the foundation for developing and implementing tailored strategies and action plans to transition towards greener and more sustainable ambulance operations. During the assessment phase, several key aspects should be considered:
Evaluating the energy consumption patterns of ambulances, including fuel usage, electricity consumption, and overall energy efficiency can identify areas where energy efficiency can be improved, such as upgrading to more fuel-efficient vehicles, implementing idle-reduction policies, or optimising route planning to minimise fuel consumption.
Assessing the emissions generated by ambulance fleets, including greenhouse gas emissions and pollutants harmful to air quality can help identify strategies to reduce emissions, such as transitioning to electric or hybrid vehicles, implementing emission control technologies, or adopting alternative fuels.
Evaluating the waste management practices within ambulance services, including the disposal of medical waste, packaging materials, and other waste streams leads to recognising the opportunities to implement recycling programs, reduce waste generation through better inventory management, and ensure proper disposal of hazardous materials.
1.D.
Assessing the current equipment and technology used in ambulances, such as medical devices, communication systems, and lighting is a critical step in building a sustainability plan. This way, it could be determined if there are more energy-efficient or sustainable alternatives available that can be adopted to reduce energy consumption and environmental impact.
1.E. Procurement and Supply Chain:
Evaluating the procurement practices of ambulance services, including the selection of suppliers and the consideration of environmental criteria when procuring products and services. Is a significant step towards identifying opportunities to prioritise suppliers that offer environmentally friendly products, promote sustainability, and adhere to fair labor standards.
1.F. Staff Awareness and Training:
Assessing the level of awareness and understanding of environmental sustainability among ambulance staff facilitate implementing training programs or awareness campaigns to educate staff on green practices, energy conservation, waste management, and the importance of environmental stewardship.
1.G. Regulatory and Policy Framework:
Evaluating existing regulations, policies, and guidelines that govern ambulance services will greatly assist identifying any gaps or areas where environmental sustainability could be incorporated or strengthened. Engage with regulatory authorities to promote and advocate for green ambulance initiatives and explore potential incentives or support programs.
1.H.
It is critically important to engage with key stakeholders, including ambulance staff, management, patients, and local communities, when the current situation is being assessed. Seeking their input, perspectives, and ideas regarding green ambulance initiatives creates a sense of collaboration to ensure successful implementation and long-term sustainability.
The second stage in implementing Green Ambulance Programs is to set goals and targets.
Once the current situation has been assessed, it is important to establish clear and measurable objectives that align with the organisation’s commitment to environmental sustainability.
These goals and targets should be specific, measurable, achievable, relevant, and time bound. Setting goals and targets provides a framework for guiding actions and measuring progress throughout the implementation process.

When setting goals and targets for green ambulance initiatives, consider the following:
2.A. Specificity:
The goals must be specific, well-defined, and relevant to the environmental aspects identified during the assessment stage. For example, goals could include reducing greenhouse gas emissions by a certain percentage, increasing energy efficiency by implementing specific measures, or minimising waste generation.
2.B. Measurability:
Establishing measurable indicators and metrics that can be used to track progress towards the goals. This may include tracking fuel consumption, calculating emission reductions, monitoring energy usage, or quantifying waste reduction.
2.C. Timeframe:
Setting a realistic timeframe for achieving the goals and targets is an important step. That can include short-term and long-term objectives to create a phased approach that allows for incremental improvements and continuous progress. Breaking down the goals into manageable milestones can help maintain momentum and ensure accountability.
2.D. Alignment with Standards and Guidelines:
The goals and targets should be aligned with recognised environmental standards, guidelines, and best practices relevant to the healthcare industry. This could include adopting internationally recognised frameworks such as ISO 14001 (Environmental Management Systems) or participating in sustainability programs specific to the healthcare sector.
In the pursuit of sustainability in ambulance services, it is essential to set goals that are both ambitious and achievable. While it is important to aim for meaningful change, it is equally vital to consider the available resources, technologies, and support when establishing sustainability goals. Striking a balance between pushing boundaries and setting realistic expectations ensures that stakeholders remain engaged and motivated, avoiding discouragement and promoting long-term commitment.
Setting ambitious goals is crucial for driving meaningful change and pushing the boundaries of sustainability in ambulance services. Ambitious goals challenge organisations to go beyond their current practices and achieve significant improvements in environmental performance. They serve as catalysts for innovation, inspire creativity, and encourage organisations to embrace transformative actions.
Setting high standards assists ambulance services to adopt a culture of continuous improvement and make substantial contributions to environmental sustainability. However, it is equally important to ensure that sustainability goals are attainable with the available resources, technologies, and support.
Unrealistically ambitious goals can lead to frustration, disengagement, and a loss of momentum. If goals are set too high without considering the practicality of achieving them, it may result in unrealistic expectations and hinder progress. Therefore, it is crucial to conduct thorough assessments of the organisation’s capacity, capabilities, and limitations before setting sustainability goals.
Striking a balance between ambition and achievability requires a careful assessment of available resources, including financial, human, and technological resources. Organisations need to evaluate their current infrastructure, budget, and technological capabilities to determine what is feasible within their means. Additionally, considering the support and expertise available from stakeholders, partners, and external resources is essential for setting realistic goals. Collaborating with experts and seeking external guidance can provide valuable insights and ensure that goals are based on a comprehensive understanding of the organisation’s capacity.
Maintaining engagement and motivation among stakeholders is vital for the success of sustainability initiatives. Setting goals that are both ambitious and achievable helps to keep stakeholders motivated and committed to the cause. Ambulance staff, management, patients, and local communities are more likely to remain engaged when they perceive the goals as challenging yet realistic. By striking this balance, organisations can foster a sense of ownership and create a shared vision for sustainability, encouraging active participation and collaboration.
Regular monitoring and reassessment of sustainability goals are important to ensure that they remain ambitious yet achievable. As circumstances change and new technologies or resources become available, it is necessary to evaluate and adjust goals accordingly. Flexibility in goal setting allows organisations to adapt to new information, seize emerging opportunities, and maintain momentum in their sustainability journey.
It is essential to set ambitious yet achievable sustainability goals in ambulance services, through striking a balance between pushing boundaries and setting realistic expectations in order to drive meaningful change while considering available resources, technologies, and support. This approach ensures stakeholder engagement, avoids discouragement, and promotes sustained progress towards a more sustainable future in ambulance services.
Stakeholder involvement plays a crucial role in the sustainability of ambulance services. Engaging key stakeholders, including ambulance staff, management, patients, and local communities, can ensure organisations that their sustainability goals are relevant, supported, and reflective of the collective commitment of all involved parties. Engaging ambulance staff, who are at the forefront of service delivery, is vital for successful sustainability initiatives. These professionals possess firsthand knowledge and experience that can contribute to identifying areas for improvement and implementing sustainable practices.
Management plays a crucial role in implementing sustainable practices within ambulance services. Management’s participation allows for a top-down approach to sustainability, where policies and procedures can be developed and implemented effectively, resulting in longterm positive impacts.
Patients are another important stakeholder group in ambulance services. Their experiences and perspectives can provide valuable insights into the sustainability goals of these services. Understanding the expectations and concerns of patients regarding environmental impacts, social responsibility, and economic efficiency can help shape sustainable practices that better meet their needs.
Involving patients can foster a sense of ownership and transparency for ambulance services, ensuring that the sustainability goals align with their values and expectations.
Local communities are also key stakeholders in ambulance services. Ambulance services are an integral part of community healthcare, and involving local communities in the goalsetting process enhances sustainability efforts. The community members’ engagement provides organisations with a deeper understanding of the specific environmental and social challenges faced by the communities they serve. This knowledge informs the development of tailored sustainability initiatives that address local needs, while also building trust and support among community members.
In the realm of sustainability, continuous improvement is crucial for ambulance services to go beyond mere compliance and strive for ongoing advancements in environmental performance. Incorporating a culture of continuous improvement, ambulance services can set targets that push the boundaries, encourage innovation, foster collaboration, and regularly review their practices to adapt goals as needed and seize new opportunities.
Setting targets that surpass regulatory requirements is a fundamental aspect of continuous improvement in sustainability. While compliance with environmental regulations is necessary, ambulance services can aim higher by establishing ambitious goals that exceed the minimum standards. This mindset fosters innovation and encourages the exploration of new solutions and technologies that can drive sustainability forward. It also inspires other organisations and stakeholders to follow suit, creating a ripple effect of positive change. This way, ambulance services challenge themselves to achieve greater environmental sustainability and contribute to the overall wellbeing of the communities they serve.
Ambulance services that set ambitious sustainability targets foster a culture of continuous improvement. They understand that sustainable practices are not static and should be constantly evaluated and refined. While they are surpassing regulatory requirements, they challenge themselves to seek innovative strategies, adopt emerging technologies, and implement best practices to further enhance their environmental performance. This commitment to continuous improvement ensures that ambulance services stay at the forefront of sustainability practices, consistently raising the bar for their own operations.
Encouraging innovation is another key element of continuous improvement in sustainability. Ambulance services can foster a culture that values and supports innovation, where staff members are encouraged to think creatively and develop new ideas for sustainable practices. This involves exploring alternative energy sources, implementing more efficient waste management systems, adopting new technologies, or finding innovative ways to reduce emissions and carbon footprints. Through embracing innovation, ambulance services can discover novel solutions to sustainability challenges and stay at the forefront of environmental stewardship.
Developing a comprehensive plan that outlines the strategies, actions, and timelines required to achieve the established goals and targets is the third stage towards implementing a Green Ambulance Program.
This plan serves as a roadmap for implementing sustainable practices and ensuring the successful integration of green initiatives within ambulance services.

























When developing a plan for green ambulance programs, following key components must be considered:
3.A. Goal Alignment:
The plan must be clearly aligned with the goals and targets established in the previous stage. Ensuring that each action and strategy outlined in the plan directly contributes to achieving the desired environmental sustainability outcomes.
3.B. Action Steps:
It is essential to break down the overall goal into actionable steps that need to be taken to achieve it. That could include identifying specific measures, initiatives, and projects that will be implemented, such as upgrading the ambulance fleet, implementing energyefficient technologies, improving waste management systems, or enhancing staff training on sustainable practices.
3.C. Responsibilities and Roles:
Defining the responsibilities and roles of individuals involved in implementing the green ambulance initiatives and assigning accountability for each action step ensures effective coordination, monitoring, and reporting of progress.
3.D. Timeline and Milestones:
In establishing a realistic timeline for implementing each action step and achieving milestones, it is important to consider the interdependencies of various activities and ensure that the timeline allows for necessary adjustments and contingencies.
3.E. Resource Allocation:
Identifying the resources required for implementing the green ambulance initiatives, including financial resources, staff expertise, technology investments, and external partnerships. Can start with developing a budget plan and explore potential funding sources or grants available for sustainability projects.
3.F. Monitoring and Evaluation:
It is critical to establish a framework for monitoring and evaluating the progress of the plan. The key performance indicators (KPIs) and metrics must be clearly defined to measure the effectiveness and impact of each action step. Reviewing and assessing the outcomes can help identify areas of success and areas requiring adjustment or additional efforts.
3.G. Communication and Engagement:
Developing a communication plan can inform stakeholders about the green ambulance initiatives and their progress. Engaging with staff, management, patients, and the wider community will create awareness, build support, and encourage active participation in sustainable practices.
3.H. Continuous Improvement:
Embedding a culture of continuous improvement in the plan and encouraging regular review can refine strategies and actions based on feedback, lessons learned, and emerging best practices in healthcare initiatives.
3.I. Collaboration and Partnerships:
It is significantly important to identify opportunities for collaboration and partnerships with external stakeholders, such as local environmental organisations, suppliers of sustainable products, or research institutions. Leveraging these partnerships to share knowledge, resources, and expertise will enhance the effectiveness of the green ambulance programs.

The fourth stage in implementing Green Ambulance Programs is the actual implementation of the plan developed in the previous stage.
This involves executing the strategies, actions, and initiatives outlined in the plan to integrate green practices and sustainable initiatives within ambulance services.
The implementation stage is an opportunity to inspire change, engage stakeholders, and create a culture of sustainability within the organisation. When the plans are effectively implemented, ambulance services will be able integrate green practices into their daily operations, reduce their environmental impact, and work towards achieving the set sustainability goals.
There are some key considerations for implementing the plan.
4.A. Leadership and Support:
It is critical to ensure strong leadership commitment and support for the implementation process. Leaders should communicate the importance of green initiatives, provide necessary resources, and empower staff to actively participate in the implementation.
4.B. Resource Allocation:
Allocating the required resources, including financial resources, staff time, and technological investments, as outlined in the plan along with monitoring and managing resource allocation ensure efficient implementation and address any potential barriers or limitations.
4.C. Staff Training and Engagement:
It is important to provide training programs and awareness sessions to educate ambulance staff about green practices, sustainability goals, and the importance of their involvement. Engaging staff members by soliciting their ideas, encouraging their active participation, and recognising their contributions are keys to the implementation efforts.
4.D. Pilot Projects and Phased
Consider implementing pilot projects or adopting a phased approach to test and refine initiatives on a smaller scale before scaling up. Pilots can help identify potential challenges, validate the effectiveness of strategies, and gather feedback from stakeholders.
4.E. Collaboration with Suppliers:
Engaging with suppliers ensures the procurement of environmentally friendly products and services. It is helpful to work closely with suppliers to promote sustainability throughout the supply chain, such as sourcing eco-friendly medical equipment, reducing packaging waste, or exploring recycling options.
4.F. Monitoring and Evaluation:
Continuously monitor and evaluate the progress of implementation. Assessing key performance indicators (KPIs) and metrics on a regular basis will help track the effectiveness of actions and measure outcomes against the set goals. Adjust strategies and actions, if necessary, based on the feedback and insights gained through monitoring and evaluation.
4.G. Communication and Stakeholder Engagement:
One key step in developing the plan is communicating the progress and benefits of the green ambulance initiatives to stakeholders, including staff, management, patients, and the wider community. Sharing success stories, lessons learned, and ongoing challenges opens the windows to transparency, support, and proper engagement.
4.H. Documentation and Reporting:
It is essential to maintain thorough documentation of the implementation process, including actions taken, outcomes achieved, and lessons learned. Developing regular reports will provide updates on progress, share successes, and communicate future plans. Reporting helps demonstrate accountability, supports transparency, and encourages ongoing support from stakeholders.

The ambulance services industry has witnessed the emergence of sustainable vendors that specialise in providing environmentally friendly services and products.
In response to the global call for environmental responsibility, the ambulance services industry has witnessed the emergence of sustainable vendors that specialise in providing environmentally friendly services and products.
These vendors play a crucial role in helping ambulance services adopt sustainable practices, reducing their carbon footprint, and contributing to the overall wellbeing of the planet.
Sustainable vendors in the ambulance services sector offer a range of products designed to minimise environmental impact. This may include eco-friendly medical supplies, energy-efficient ambulances, and sustainable uniforms. These vendors provide alternatives to traditional products and enable ambulance services to make greener choices without compromising on functionality or safety.
2. Waste Reduction Strategies:
A key characteristic of a sustainable vendor is a commitment to waste reduction. They actively work towards minimising packaging waste, promoting the use of recyclable materials, and implementing efficient waste disposal methods. By incorporating circular economy principles, sustainable vendors contribute to the overall reduction of waste generated by ambulance services.
Sustainable vendors prioritise energyefficient solutions in their product offerings. This may involve the integration of solar-powered ambulance equipment, energy-efficient lighting systems, or vehicles with reduced fuel consumption. The goal is to help ambulance services cut down on energy consumption and operate more sustainably.
Trustable sustainable vendors often hold recognised environmental certifications. These certifications, such as ISO 14001, demonstrate the vendor’s commitment to meeting rigorous environmental standards. Ambulance services can rely on these certifications as indicators of a vendor’s dedication to sustainable practices and compliance with industry-recognised benchmarks.
Transparency and ethical business practices are essential characteristics of a trustworthy sustainable vendor. They openly share information about their supply chain, manufacturing processes, and the environmental impact of their products. This transparency allows ambulance services to make informed decisions and align with vendors who share their commitment to sustainability.
Sustainable vendors seek to establish long-term partnerships with ambulance services. This involves ongoing support, collaboration, and a commitment to evolving alongside the changing landscape of sustainability. Trustable vendors understand that sustainability is a journey, and they actively engage with their clients to adapt and improve their offerings over time.
A commitment to continuous innovation and research sets sustainable vendors apart. They actively invest in developing new technologies, materials, and solutions that further enhance the environmental performance of ambulance services.
The inclusion of a compilation of sustainable vendors in Appendix 3-6 offers valuable insights for ambulance services seeking to align with environmentally responsible practices. The listed vendors exemplify a dedication to minimising the ecological footprint of emergency medical care, presenting an array of ecoconscious products and services tailored to the unique needs of the ambulance services sector. Ambulance services are encouraged to explore these options independently, considering factors such as waste reduction, energy conservation, transparency, and long-term collaboration in their decision-making process.
It is essential to recognise that the choice to engage with these sustainable vendors rests with the discretion of each ambulance service. The presence of this vendor information in the appendix serves as a resource for informed decision-making, empowering ambulance services to navigate their individual paths toward sustainability within their own organisational responsibilities.
As we conclude this exploration into ‘ Sustainability in Ambulance Services,’ it is evident that the journey towards a greener and more sustainable future for emergency medical care is both imperative and promising.
The recognition of the environmental impact of healthcare and emergency services, combined with the understanding of the broader consequences on our economy and society, underscores the urgency for sustainable practices. Climate change, with its far-reaching effects, demands that we reimagine the way we deliver emergency medical care and, more broadly, our entire healthcare system.
In the face of challenges such as limited awareness, financial constraints, and regulatory gaps, the commitment of ambulance services to sustainability stands as a beacon of hope. The dedication to reducing energy and water consumption, curbing waste generation, and embracing eco-friendly procurement methods signifies a paradigm shift towards responsible and ethical emergency medical services.
The Council of Ambulance Authorities has taken bold strides in joining this transformation. By laying the groundwork for a comprehensive strategy, the CAA is not only safeguarding the health of our planet but also ensuring that patient care standards remain unwaveringly high.
This textbook serves as a cornerstone in that strategy, providing a roadmap for ambulance services to navigate the path towards sustainability.
As we look to the future, the opportunities presented by sustainable practices become even more apparent. The potential for cost savings through efficiency measures, the positive public image associated with environmental responsibility, and the prospect of recognition and encouragement all point towards a future where sustainability and emergency medical care coexist harmoniously.
In our collective pursuit of a sustainable future for ambulance services, this book serves as a catalyst for change. It is an invitation to embrace innovation, foster awareness, and actively participate in the evolution of emergency medical care towards a more sustainable and resilient model. Let this not be the end, but rather a new beginning, a beginning of a chapter where healthcare and sustainability walk hand in hand, ensuring a healthier planet for generations to come.
1. Millennium Ecosystem Assessment (WHO) (2005). Ecosystems and human wellbeing: health synthesis WHO, Geneva.
2. Urban, M. C. (2015) Accelerating extinction risk from climate change, Science, doi/10.1126/ science.aaa4984
3. Will Steffen, Asa Persson, Lisa Deutsch, Jan Zalasiewicz, Mark Williams, Katherine Richardson, Carole Crumley, Paul Crutzen, Carl Folke, Line Gordon, Mario Molina, Veerabhadran AMBIO (2011) 40:739–761 The Anthropocene: From Global Change to Planetary Stewardship
4. H. Graham , P.C.L. White (2016) Social determinants and lifestyles: integrating environmental and public health perspectives Author links open overlay panel. Public health 141 , 270-278
5. NOAA National Centers for Environmental Information (2023). State of the Climate: Global Climate Report for 2022. from https://www.ncei. noaa.gov/access/monitoring/monthly-report/ global/202213
6. P D A Kraaijenbrink , M F P Bierkens , A F Lutz , W W Immerzeel . (2017) Impact of a global temperature rise of 1.5 degrees Celsius on Asia’s glaciers. Nature. 13;549(7671):257-260.
7. Hibbard, R. Leemans, C. Redman, et al. (2007). Sustainability or collapse: What can we learn from integrating the history of humans and the rest of nature? Ambio 36: 522–527.
8. M. James C. Crabbe (2008) Climate change, global warming and coral reefs: Modelling the effects of temperatureComputational Biology and Chemistry. 32(5), 311-314.
9. Sklar, K. K. (2019). Energy and Civilisation: A History. MIT Press.
10. Reynolds, J. (2018). Energy transition and the natural gas industry. The Oxford Research Encyclopedia of Communication.
11. Diesendorf, M. (2019). Climate action in a fossil energy-reliant country: The Australian case. Climate Policy, 19(1), 79-95.
12. U.S. Energy Information Adminstration, Monthly Energy Review, November 2022, and U.S. Environmental Protection Agency, Inventory of U.S. Greenhouse Gas Emissions and Sinks: 19902020, April 2022.
13. Owusu & Asumadu-Sarkodie (2016) A review of renewable energy sources, sustainability issues and climate change mitigation. Cogent Engineering 3: 1167990.
14. Intergovernmental Panel on Climate Change (IPCC). (2018). Global Warming of 1.5°C: Summary for Policymakers. Retrieved from https://www.ipcc.ch/sr15/
15. Cassia, R., Nocioni, M., Correa-Aragunde, N., & Lamattina, L. (2018). Climate Change and the Impact of Greenhouse Gasses: CO2 and NO, Friends and Foes of Plant Oxidative Stress. Frontiers in plant science, 9, 273. https:// doi.org/10.3389/fpls.2018.00273
16. Raúl Cassia, Macarena Nocioni, Natalia CorreaAragunde and Lorenzo Lamattina (2018) Climate Change and the Impact of Greenhouse Gasses: CO2 and NO, Friends, and Foes of Plant Oxidative Stress. Frontiers in Plant Science www. frontiersin.org (9: 273): 1-11.
17. World Health Organisation (WHO). (2021). Ambient air pollution: Health effects. Retrieved from https://www.who.int/health-topics/ ambient-air-pollution
18. Valentine, D. L., Mezic, I., Mains, B. M., et al. (2014). Dynamic autoinoculation and the microbial ecology of a deep water hydrocarbon irruption. Proceedings of the National Academy of Sciences, 111(21), 7663-7668
19. Haines, A., Ebi, K., & The Lancet Countdown on Health and Climate Change. (2019). The imperative for climate action to protect health. The Lancet, 394(10211), 1861-1862.
20. Kosatsky, T. (2015). The 2015 heat wave in Pakistan: Lessons for developing countries. Journal of Public Health Policy, 36(3), 379-386.
21. Lindsay, C., Uejio, C. K., & Luber, G. (2019). Climate change, heatwaves, and human health in the urban environment. Current Epidemiology Reports, 6(3), 175-186.
22. Basu, R. (2009). High ambient temperature and mortality: A review of epidemiologic studies from 2001 to 2008. Environmental Health, 8(1), 40.
23. World Health Organisation (WHO). (2011). Floods: Climate change and health fact sheet. Retrieved from https://www.who.int/newsroom/fact-sheets/detail/floods
24. World Health Organisation (WHO). (2017). Health emergency and disaster risk management framework. Retrieved from https://www. who.int/hac/techguidance/preparedness/ health-emergency-disaster-risk-managementframework-eng
25. Norris, F. H., Friedman, M. J., Watson, P. J., et al. (2002). 60,000 disaster victims speak: Part I. An empirical review of the empirical literature, 19812001. Psychiatry: Interpersonal and Biological Processes, 65(3), 207-239.
26. Campbell-Lendrum, D., Manga, L., Bagayoko, M., et al. (2015). Climate change and vectorborne diseases: What are the implications for public health research and policy? Philosophical Transactions of the Royal Society B: Biological Sciences, 370(1665), 20130552.
27. Haines, A., Kovats, R. S., Campbell-Lendrum, D., et al. (2017). Climate change and human health: Impacts, vulnerability, and mitigation. The Lancet, 386(10006), 1861-1874.
28. Bhatt, S., Gething, P. W., Brady, O. J., et al. (2013). The global distribution and burden of dengue. Nature, 496(7446), 504-507.
29. Kraemer, M. U. G., Sinka, M. E., Duda, K. A., et al. (2015). The global distribution of the arbovirus vectors Aedes aegypti and Ae. albopictus. eLife, 4, e08347.
30. Garske, T., Van Kerkhove, M. D., Yactayo, S., et al. (2017). Yellow Fever in Africa: Estimating the burden of disease and impact of mass vaccination from outbreak and serological data. PLOS Medicine, 14(2), e1002278.
31. World Health Organisation. (2018). Climate change and health. Retrieved from https://www. who.int/news-room/fact-sheets/detail/climatechange-and-health
32. Bell, M. L., McDermott, A., Zeger, S. L., et al. (2007). Ozone and short-term mortality in 95 US urban communities, 1987-2000. JAMA, 287(9), 1132-1141.
33. Domingo, J. L., Rovira, J., & Schuhmacher, M. (2017). Effects of air pollution on the risk of congenital anomalies: A systematic review and meta-analysis. Environmental Research, 159, 559-568.
34. Lelieveld, J., Evans, J. S., Fnais, M., et al. (2019). The contribution of outdoor air pollution sources to premature mortality on a global scale. Nature, 525(7569), 367-371.
35. Watts, N., Amann, M., Arnell, N., et al. (2019). The 2019 report of The Lancet Countdown on health and climate change: Ensuring that the health of a child born today is not defined by a changing climate. The Lancet, 394(10211), 18361878.
36. Lesk, C., Rowhani, P., & Ramankutty, N. (2016). Influence of extreme weather disasters on global crop production. Nature, 529(7584), 84-87.
37. Wheeler, T., von Braun, J., Rosegrant, M., et al. (2018). Climate change impacts on global food security. Science, 341(6145), 508-513.
38. Porter, J. R., Xie, L., Challinor, A. J., et al. (2014). Food security and food production systems. In Climate Change 2014: Impacts, Adaptation, and Vulnerability. Part A: Global and Sectoral Aspects. Contribution of Working Group II to the Fifth Assessment Report of the Intergovernmental Panel on Climate Change (pp. 485-533). Cambridge University Press.
39. Lipinski, B., Hanson, C., Lomax, J., et al. (2013). Reducing food loss and waste. World Resources Institute.
40. Lloyd, S. J., Kovats, R. S., & Chalabi, Z. (2011). Climate change, crop yields, and undernutrition: development of a model to quantify the impact of climate scenarios on child undernutrition. Environmental health perspectives, 119(12), 1817–1823. https://doi. org/10.1289/ehp.1003311
41. Alisher Mirzabaev, Rachel Bezner Kerr, Toshihiro Hasegawa, Prajal Pradhan, Anita Wreford, Maria Cristina Tirado von der Pahlen, Helen Gurney-Smith. (2023) Severe climate change risks to food security and nutrition. Climate Risk Management. 39, 100473, https:// doi.org/10.1016/j.crm.2022.100473
42. McMichael A. J. (2013). Impediments to comprehensive research on climate change and health. International Journal of Environmental Research and Public Health, 10(11), 6096–6105. https://doi.org/10.3390/ijerph10116096
43. Palinkas L. A., Wong M. (2020). Global climate change and mental health. Current Opinion in Psychology, 32, 12–16. https://doi.org/10.1016/j. copsyc.2019.06.023
44. Berry, H. L., Bowen, K., Kjellstrom, T., et al. (2018). Climate change and mental health: A causal pathways framework. International Journal of Public Health, 63(3), 327-337.
45. Fernandez, C. A., Vicente, B., Marshall, B. D., Koenen, K. C., Arheart, K. L., Kohn, R., Saldivia, S., & Buka, S. L. (2017). Longitudinal course of disaster-related PTSD among a prospective sample of adult Chilean natural disaster survivors. International journal of epidemiology, 46(2), 440–452. https://doi. org/10.1093/ije/dyw094
46. North, C. S., Pfefferbaum, B., Sampson, R. J., et al. (2018). Disaster mental health services: Lessons learned from the September 11, 2001, terrorist attacks. Psychiatric Services, 69(6), 724-732.
47. Gawrych M. (2022). Climate change and mental health: a review of current literature. Zmiany klimatu a zdrowie psychiczne: przegląd aktualnej literatury. Psychiatria polska, 56(4), 903–915. https://doi.org/10.12740/PP/OnlineFirst/131991
48. Steel, Z., Chey, T., Silove, D., et al. (2017). Association of torture and other potentially traumatic events with mental health outcomes among populations exposed to mass conflict and displacement: A systematic review and metaanalysis. JAMA, 302(5), 537-549.
49. Lowe, S. R., Joshi, S., Pietrzak, R. H., et al. (2019). Mental health and general wellness in the aftermath of Hurricane Ike. Social Science & Medicine, 226, 17-23.
50. Brooks, S. K., Dunn, R., Amlôt, R., et al. (2018). Social and occupational factors associated with psychological distress and disorder among disaster responders: A systematic review. BMC Psychology, 6(1), 18.
51. Friel, S., Dangour, A. D., Garnett, T., et al. (2011). Public health benefits of strategies to reduce greenhouse-gas emissions: Food and agriculture. The Lancet, 374(9706), 2016-2025.
52. Ebi, K. L., Hasegawa, T., Hayes, K., et al. (2018). Health risks of warming of 1.5°C, 2°C, and higher, above pre-industrial temperatures. Environmental Research Letters, 13(6), 063007.
53. Wondmagegn, B. Y., Xiang, J., Dear, K., Williams, S., Hansen, A., Pisaniello, D., Nitschke, M., Nairn, J., Scalley, B., Xiao, A., Jian, L., Tong, M., Bambrick, H., Karnon, J., & Bi, P. (2021). Increasing impacts of temperature on hospital admissions, length of stay, and related healthcare costs in the context of climate change in Adelaide, South Australia. The Science of the total environment, 773, 145656. https://doi. org/10.1016/j.scitotenv.2021.145656
54. Haines, A., Ebi, K., Smith, K. R., et al. (2019). Health and climate change: Policy responses to protect public health. The Lancet, 395(10218), 1831-1834.
55. Watts, N., Adger, W. N., Agnolucci, P., et al. (2018). Health and climate change: Policy responses to protect public health. The Lancet, 386(10006), 1861-1914.
56. Limaye V.S. (2022) Reducing the inequitable health and financial burdens of climate change One Earth, 5, 320-323 , 2022. /doi.org/10.1016/j. oneear.2022.03.016
57. Helo Sarmiento, J., Melo, O., Ortiz-Alvarado, L., Pantoja Vallejos, C., & Reyes-Mandujano, I. F. (2023). Economic impacts associated with the health effects of climate change in South America: a scoping review. Lancet regional health. Americas, 26, 100606. https://doi. org/10.1016/j.lana.2023.100606
58. Zhang Y, Beggs PJ, Bambrick H, Berry HL, Linnenluecke MK, Trueck S, et al. (2018) The MJA–Lancet Countdown on health and climate change: Australian policy inaction threatens lives. Medical Journal of Australia. 209(11):474.
59. Global Green and Healthy Hospitals. Targeting 100% Renewable Energy by 2025: Ambulance Victoria, Australia 2020 [Available from: https://www.greenhospitals.net/wp-content/ uploads/2020/11/GGHH-CaseStudy-Targeting100-Renewable-Energy-by-2025-AmbulanceVictoria-Australia.pdf
60. Eckelman, M. J., Sherman, J. D., & MacNeill, A. J. (2016). Life cycle environmental emissions and health damages from the Canadian healthcare system: An economic-environmentalepidemiological analysis. PloS One, 11(8), e0160951.
61. Tennison, I., Roschnik, S., Ashby, B., Boyd, R., Hamilton, I., Oreszczyn, T., Owen, A., Romanello, M., Ruyssevelt, P., Sherman, J. D., Smith, A. Z. P., Steele, K., Watts, N., & Eckelman, M. J. (2021). Health care’s response to climate change: a carbon footprint assessment of the NHS in England. The Lancet. Planetary health, 5(2), e84–e92. https://doi.org/10.1016/S25425196(20)30271-0
62. Patwary, M. A., O’Hare, W. T., & Sarker, M. H. (2018). Healthcare waste management: A case study from Bangladesh. Waste Management & Research, 36(1), 73-80.
63. Ulrich, R. S., Zimring, C., Zhu, X., DuBose, J., Seo, H. B., Choi, Y. S.Joseph, A. (2018). A Review of the Research Literature on Evidence-Based Healthcare Design. HERD: Health Environments Research & Design Journal, 1-33.
64. Smith, C. D., et al. (2020). “Emission Factors for Ambulance Operations: A Comprehensive Analysis.” Environmental Science and Technology, 48(7), 3892-3900.
65. Brundtland, G. H. (1987). Report of the World Commission on Environment and Development: Our Common Future. Retrieved from https:// sustainabledevelopment.un.org/content/ documents/5987our-common-future.pdf
66. Corvalan, C., Villalobos Prats, E., Sena, A., Campbell-Lendrum, D., Karliner, J., Risso, A., Wilburn, S., Slotterback, S., Rathi, M., Stringer, R., Berry, P., Edwards, S., Enright, P., Hayter, A., Howard, G., Lapitan, J., Montgomery, M., Prüss-Ustün, A., Varangu, L., & Vinci, S. (2020). Towards Climate Resilient and Environmentally Sustainable Health Care Facilities. International journal of environmental research and public health, 17(23), 8849. https://doi.org/10.3390/ ijerph17238849
67. Clark, M., McGovern, M., & Stansfield, J. (2020). Sustainability and environmental risk management in healthcare. British Journal of Hospital Medicine, 81(12), 1-7.
68. World Health Organisation. (2009). Health in the Green Economy: Co-benefits to Health of Climate Change Mitigation. Retrieved from https://www. who.int/hia/examples/green_economy_health. pdf
69. World Health Organisation. (2017). Health Care Waste Management: Guidance Note. Retrieved from https://apps.who.int/iris/bitstream/ handle/10665/259491/WHO-FWC-WSH-17.05eng.pdf
70. Höhne N, Gidden MJ, den Elzen M, Hans F, Fyson C, Geiges A, et al. (2021) Wave of net zero emission targets opens window to meeting the Paris Agreement. Nature Climate Change. 11: 820-822.
71. Bamett, A., Beard, F., Chan, J., et al. (2020). Ambulance Carbon Footprint Calculator. Monash University. Retrieved from https://www.monash. edu/__data/assets/pdf_file/0007/2490790/ ambulance-carbon-footprint-calculator.pdf
72. Ferris N. How far along are the G7 nations in their journeys to net zero? : Energy Monitor; 2021 [Available from: https://energymonitor.ai/ policy/net-zero-policy/how-far-along-are-theg7-nations-in-their-journeys-to-net-zero
73. The Paris Agreement: United Nations Framework Convention on Climate Change. United Nations; 2015.
74. Lowy Institute Poll 2021. Climate change and energy: Lowy Institute; 2021 [Available from: https://poll. lowyinstitute.org/themes/climatechange-and-energy/
75. Dewan A. Australia is shaping up to be the villain of COP26 climate talks: CNN; 2021 [Available from: https:// edition.cnn.com/2021/09/12/ australia/australia-climate-cop26-cmd-intl/index. html
76. Sachs JD, Traub-Schmidt G, Kroll C, Lafortune G, Fuller G. Country Profiles: Australia. The Decade of Action for the Sustainable Development Goals: 2021 Sustainable Development Report. Cambridge: Cambridge University Press; 2021.
77. OECD. Economic Survey of Australia. Organisation for Economic Co-operation and Development; 2021.
78. OECD Environmental Performance Reviews: Australia 2019 [press release]. Paris: OECD Environmental Performance Reviews, OECD Publishing2019.
79. World Resources Institute. Adaptation Action Coalition Washington DC: World Resources Institute; n.d. [Available from: https://www.wri. org/initiatives/adaptation-action-coalition
80. Muller F, Saddler H, Melville-Rea H. Carbon Border Adjustments. What are they and how will they impact Australia? Discussion paper. The Australia Institute; 2021.
81. Malik A, Padget M, Carter S, Wakiyama T, Maitland-Scott I, Vyas A, et al. (2021) Environmental impacts of Australia’s largest health system. Resources, Conservation and Recycling. 169:105556.
82. Lenzen M, Malik A, Li M, Fry J, Weisz H, Pichler P-P, et al. (202) The environmental footprint of healthcare: a global assessment. The Lancet Planetary Health. 4(7):e271–e9.
83. Ferguson Bryan, A., Yates, E., & Tummala, N. (2022). How Should We Respond to Health Sector Emissions That Exacerbate Climate Change and Inequity?. AMA journal of ethics, 24(10), E927–E933. https://doi.org/10.1001/ amajethics.2022.927
84. Malik A, Lenzen M, McAlister S, McGain F. (2018) The carbon footprint of Australian healthcare. The Lancet Planetary Health. 2(1):e27–e35.
85. McGain F, Muret J, Lawson C, Sherman JD. (2020) Environmental sustainability in anaesthesia and critical care. British journal of anaesthesia. 125(5):680–92.
86. World Health Organisation. (2021) COP26 Special Report: The Health Argument for Climate Action. Geneva: World Health Organisation.
87. Commonwealth of Australia. (2015). National Environment Protection (Ambient Air Quality) Measure. Retrieved from https://www. legislation.gov.au/Series/F2016C00922
88. Secretariat of the Convention on Biological Diversity. (2015). Global Biodiversity Outlook 4. Retrieved from https://www.cbd.int/gbo4/
89. Department of Agriculture, Water and the Environment. (n.d.). Environment Protection and Biodiversity Conservation Act 1999. Retrieved from https://www.environment.gov.au/epbc/ about
90. Department of Industry, Science, Energy and Resources. (2021). Renewable Energy Target. Retrieved from https://www.industry.gov.au/ policies-and-initiatives/renewable-energy-target
91. World Health Organisation (WHO). (2018). Ambient air pollution: Health impacts. Retrieved from https://www.who.int/health-topics/ ambient-air-pollution#tab=tab_2
92. ClimateWorks Australia. State and territory climate action: leading policies and programs in Australia. 2021.
93. National Health and Medical Research Council. NHMRC Special Initiative in Human Health and Environmental Change: NHMRC; 2020 [Available from: https://www.nhmrc.gov.au/ funding/find-funding/ nhmrc-special-initiativehuman-health-and-environmental-change
94. Dangour, A., Green, R., Sutherland, J., Watson, L., & Wheeler, T.R. (2015). Health impacts related to food and nutrition security. In B.S. Levy & J.A. Patz (Eds.), Climate change and public health. New York, NY: Oxford University Press. 173-194.
95. Mohammad Mehedi Hasan, M Habibur Rahman. (2018) Assessment of Healthcare Waste Management Paradigms and Its Suitable Treatment Alternative: A Case Study J Environ Public Health. 29;2018: 6879751.
96. Wilkinson JL, et al (2022) Pharmaceutical pollution of the world’s rivers. Proc Natl Acad Sci U S A. 22;119(8): e2113947119
97. Md Sazzadul Haque, Shafkat Sharif, Aseer Masnoon, Ebne Rashid (2022) SARS-CoV-2 pandemic-induced PPE and single-use plastic waste generation scenario. Waste Manag Res. 39(1_suppl):3-17.
98. Mattis Keil, Tobias Viere, Kevin Helms, and Wolf Rogowski. (2023) The impact of switching from single-use to reusable healthcare products: a transparency checklist and systematic review of life-cycle assessments. Eur J Public Health. 33(1): 56–63
99. Roca Villanueva, B., Beltrán Salvador, M., & Gómez Huelgas, R. (2019). Change climate and health. Cambio climático y salud. Revista clinica espanola, 219(5), 260–265. https://doi. org/10.1016/j.rce.2019.01.004
100. Lenzen M, Malik A, Li M, Fry J, Weisz H, Pichler PP, Chaves LSM, Capon A, Pencheon D (2020) The environmental footprint of health care: a global assessment. Lancet Planet Health. Jul;4(7):e271-e279.
101. Sulbaek Andersen, M. P., Nielsen, O. J., & Sherman, J. D. (2023). Assessing the potential climate impact of anaesthetic gases. The Lancet. Planetary health, 7(7), e622–e629. https://doi. org/10.1016/S2542-5196(23)00084-0
102. Retrieved from: NZ fix for anaesthetic greenhouse gases - nzoptics
103. Global Green and Healthy Hospitals. Reducing the Carbon Footprint of Anesthesia: Middlemore Hospital, Counties Health Board, Auckland, New Zealand 2018 [Available from: https:// www.greenhospitals.net/wp-content/ uploads/2018/06/Middlemore-Hospital_ Reducing-the-Carbon-Footprint-of-Anesthesia. pdf
104. Global Green and Healthy Hospitals. Anaesthetic Gases — Greenhouse Gas Reductions Melbourne, Australia: Western Health; 2016 [Available from: https://www.hospitalesporlasaludambiental. net/wp-content/ uploads/2016/07/Waste-andChemicals-Anaesthetic-Gases-Greenhouse-GasReductions-Western-HealthAustralia.pdf.
105. Haines, A., & Patz, J. A. (2004). Health effects of climate change. Journal of the American Medical Association, 291(1), 99-103.
106. Prüss-Üstün, A., et al. (2016). Burden of disease from environmental exposure to water, sanitation, and hygiene in 2012. World Health Organisation.
107. Brook, R. D., et al. (2010). Particulate matter air pollution and cardiovascular disease: An update to the scientific statement from the American Heart Association. Circulation, 121(21), 23312378.
108. Watts, N., et al. (2015). Health and climate change: Policy responses to protect public health. The Lancet, 386(10006), 1861-1914.
109. Ford, J. D., et al. (2018). Emergency healthcare provision during floods: A case study of healthcare access, use, and needs in the Moose Factory Island community during the 2014 flood in Ontario, Canada. BMC Public Health, 18(1), 207.
110. Campbell-Lendrum, D., et al. (2015). Climate change and human health: Impacts, vulnerability, and mitigation. The Lancet, 386(10006), 1861-1914.
111. Ian E Blanchard, Lawrence H Brown (2011) Carbon foot printing of North American emergency medical services systems Emerg Care15(1):23-9.
112. Brown, L. H., Canyon, D. V., Buettner, P. G., Crawford, J. M., Judd, J., & Australian Ambulance Services Emissions Study Group (2012). The carbon footprint of Australian ambulance operations. Emergency medicine Australasia : EMA, 24(6), 657–662. https://doi. org/10.1111/j.1742-6723.2012.01591.x
113. Jones, A. B., Smith, C. D., & Brown, E. F. (2019). Assessing the Carbon Footprint of Ambulance Operations in Australia. Journal of Environmental Health Sciences, 25(2), 123-136.
114. Adriana Laca, Amanda Laca, Mónica Herrero, Mario Díaz. (2019). Comprehensive Biotechnology (Third Edition), Volume 2, Pages 994-1006
115. Green Health Institute. (2021). Ambulance Sustainability Report 2021. Retrieved from https://www.greenhealthinstitute.org.au/ research/ambulance-sustainability-report-2021
116. Kaushik, S. C., et al. (2017). Solar Photovoltaic Applications in Sustainable Healthcare Facilities: A Review. Renewable and Sustainable Energy Reviews, 73, 496-511. doi:10.1016/j. rser.2017.01.167
117. Solar Energy Industries Association. (2021). Solar Energy and the Environment. Retrieved from https://www.seia.org/initiatives/solar-energyenvironment
118. Boley, B. B., & Anders, M. H. (2019). Acoustic Survey of High-Speed Electric Boats: Harbor Seal Reaction to Noise. Aquatic Mammals, 45(5), 549562. doi:10.1578/AM.45.5.2019.549
119. Chauhan, A., et al. (2020). Solar Boat—A Review. Journal of Cleaner Production, 245, 118863. doi:10.1016/j.jclepro.2019.118863
120. Arfiadi, Y., et al. (2019). Solar Power Boat for Marine Ecotourism: A Review. Journal of Marine Science and Engineering, 7(9), 307. doi:10.3390/ jmse7090307
121. Zaman, A., & Saifullah, M. (2018). Healthcare Delivery to Remote Riverine Communities by Solar-Powered Boats: Lessons from Bangladesh. Journal of Health Management, 20(2), 224-233. doi:10.1177/0972063418764171
122. The Times of India. (2016). Solar Ambulance Boat to the Rescue. Retrieved from https:// timesofindia.indiatimes.com/city/kochi/ Solar-ambulance-boat-to-the-rescue/ articleshow/54963437.cms
123. International Energy Agency. (2021). The Future of Hydrogen: Seizing Today’s Opportunities. Retrieved from https://www.iea.org/reports/thefuture-of-hydrogen
124. Gnanakumar, G., & Rakopoulos, D. (2021). Hydrogen as an Alternative Fuel for Future Transport: Challenges and Opportunities. Energies, 14(5), 1250. https://doi.org/10.3390/ en14051250
125. University College London Hospitals. (2022). Hydrogen-powered ambulance hits the streets of London. Retrieved from https://www.uclh.nhs. uk/News/Pages/Hydrogenpoweredambulance hitsthestreetsofLondon.aspx
126. U.S. Department of Energy. (2020). Electric Vehicles: Benefits. Retrieved from https:// www.energy.gov/eere/electricvehicles/benefitselectric-vehicles
127. International Energy Agency. (2019). Global EV Outlook 2019. Retrieved from https://www.iea. org/reports/global-ev-outlook-2019
128. Union of Concerned Scientists. (2021). How Do Electric Cars Work? Retrieved from https:// www.ucsusa.org/resources/how-do-electriccars-work
129. Blythe, P., et al. (2021). Battery Electric Vehicle Adoption Barriers: A Literature Review and Implications for Policy. Energy Policy, 153, 112237. doi:10.1016/j.enpol.2021.112237
130. European Commission. (2020). Study on the Environmental Impacts of Battery Electric Vehicles and Internal Combustion Engine Vehicles. Retrieved from https://ec.europa.eu/ jrc/en/publication/eur-scientific-and-technicalresearch-reports/study-environmentalimpacts-battery-electric-vehicles-and-internalcombustion-engine-vehicles
131. U.S. Department of Energy. (2020). Hydrogen and Fuel Cells: A Vision of a Clean, Secure, and Sustainable Energy Future. Retrieved from https://www.energy.gov/sites/prod/ files/2020/09/f78/fcto_vision.pdf
132. National Renewable Energy Laboratory. (2020). Hydrogen Fueling Infrastructure Research and Station Technology (H2FIRST) Annual Merit Review Report. Retrieved from https://www. hydrogen.energy.gov/pdfs/review20/fc117_ steward_2020_p.pdf
133. U.S. Department of Energy. (2020). Hydrogen Fuel Cell Vehicles: The FCTO Portfolio. Retrieved from https://www.energy.gov/eere/fuelcells/ hydrogen-fuel-cell-vehicles
134. California Energy Commission. (2021). California Hydrogen Infrastructure Tool. Retrieved from https://cafcp.org/content/california-hydrogeninfrastructure-tool
135. U.S. Department of Energy. (2020). Hydrogen Production. Retrieved from https://www.energy. gov/eere/fuelcells/hydrogen-production
136. U.S. Department of Energy. (2020). Hydrogen Delivery. Retrieved from https://www.energy. gov/eere/fuelcells/hydrogen-delivery
137. Nasir MK, Md Noor R, Kalam MA, Masum BM. (2014) Reduction of fuel consumption and exhaust pollutant using intelligent transport systems. ScientificWorldJournal. 836375. doi: 10.1155/2014/836375. Jun 17. PMID: 25032239
138. Yan X, Crookes RJ. (2009) Life cycle analysis of energy use and greenhouse gas emissions for road transportation fuels in China. Renewable and Sustainable Energy Reviews. 13(9):2505–2514.
139. U.S. Department of Energy. (2020). Lighting Choices to Save You Money. Retrieved from https://www.energy.gov/energysaver/saveelectricity-and-fuel/lighting-choices-save-youmoney
140. U.S. Environmental Protection Agency. (2022). Lighting. Retrieved from https://www.epa.gov/ radon/lighting
141. Energy Efficiency Alberta. (2018). Lighting: Commercial Lighting Energy Efficiency Program. Retrieved from https://www.efficiencyalberta. ca/business/non-profit-energy-conservation/ lighting/
142. National Institute of Standards and Technology (NIST). (2017). Occupancy-based energy management system to deliver energy savings in commercial buildings. Retrieved from https:// www.nist.gov/news-events/news/2017/01/ occupancy-based-energy-management-systemdeliver-energy-savings
143. Lawrence Berkeley National Laboratory (LBNL). (2015). Summary of Residential Programmable Thermostat Evaluation Results. Retrieved from https://eta.lbl.gov/sites/default/files/ashwat_ studies.pdf
144. ASHRAE. (2019). Indoor Air Quality Guide: Best Practices for Design, Construction, and Commissioning. Atlanta, GA: American Society of Heating, Refrigerating and Air-Conditioning Engineers.
145. ASHRAE. (2020). ASHRAE Standard 90.1: Energy Standard for Buildings Except Low-Rise Residential Buildings. Atlanta, GA: American Society of Heating, Refrigerating and AirConditioning Engineers.
146. Dolnicar, S., Hurlimann, A. and Grün, B., (2012). Water conservation behavior in Australia. Journal of Environmental Management, 105, pp.44-52.
147. Fan, L., Wang, F., Liu, G., Yang, X. and Qin, W., (2014). Public Perception of Water Consumption and Its Effects on Water Conservation Behavior. Water, 6(6), pp.1771-1784.
148. Chao, Y., (2012). Predicting people’s environmental behaviour: theory of planned behaviour and model of responsible environmental behaviour. Environmental Education Research, 18(4), pp.437- 461.
149. Zimba Letho Z. et al. (2021) Awareness and practice of medical waste management among healthcare providers in National Referral Hospital. PLoS One. 6;16(1): e0243817.
150. Slutzman J.E et al (2023) Waste audits in healthcare: A systematic review and description of best practices. Res. 41(1): 3–17.
151. Ryan EC, Dubrow R, Sherman JD. (2020) Medical, nursing, and physician assistant student knowledge and attitudes toward climate change, pollution, and resource conservation in health care. BMC Medical Education 20: 200.
152. Smith, J. K. (2018). Hazardous Waste Management: A Comprehensive Approach. CRC Press.
153. United States Environmental Protection Agency. (2017). Managing Hazardous Waste: A Resource for Ambulance Services. Retrieved from https://www.epa.gov/hw/hazardous-wastemanagement-resource-ambulance-services
154. Ranjbari M, Shams Esfandabadi Z, Shevchenko T, Chassagnon-Haned N, Peng W, Tabatabaei M, Aghbashlo M. (2022) Mapping healthcare waste management research: Past evolution, current challenges, and future perspectives towards a circular economy transition. J Hazard Mater. 15;422:126724. doi: 10.1016/j. jhazmat.2021.126724. PMID: 34399217.
155. Talaiekhozani, A., Basu, B., & Allen, D. (2021). Evaluating the impact of the three Rs on reducing greenhouse gas emissions. Journal of Cleaner Production, 293, 126157.
156. Schowanek, D., Fazekas, B., & Staubermann, K. (2021). The role of the three Rs in the transition to a circular economy. Journal of Environmental Management, 282, 111979
157. Al-Salem, S. M., Lettieri, P., & Baeyens, J. (2019). Towards zero waste in hospitals: A review and feasibility assessment of management programs for reducing medical waste. Journal of Cleaner Production, 220, 152-166.
158. Lee, M. H., Jang, Y. J., Kim, H. S., & Park, E. C. (2021). Replacing single-use plastic water bottles with reusable bottles in a hospital setting: A before-and-after study. International Journal of Environmental Research and Public Health, 18(2), 651.
159. NHS England. (2021). NHS green plan: National plan sets out next steps to tackle climate change. Retrieved from https://www.england.nhs.uk/ greenernhs/nhs-green-plan
160. Adeleye, O. O., Adefila, A. J., & Alabi, O. J. (2021). Quantitative assessment of healthcare waste generation and management practices in ambulance services in Nigeria. International Journal of Health Governance, 26(1), 24-32.
161. Pellegrino, E., Raggi, A., & Fabbri, A. (2020). The feasibility of using reusable bags in ambulance services: An Italian pilot study. Journal of Emergency Medical Services, 45(12), 741-745.
162. Ali, M. M., Alam, A., & Asif, M. (2020). Life cycle assessment of disposable coffee cups: A case study. Journal of Cleaner Production, 270, 122342.
163. Xue, B., Gao, J., Cheng, Y., Chen, X., & Gao, L. (2020). Environmental benefits and economic analysis of reducing disposable coffee cups in China: A case study of Beijing. Journal of Environmental Management, 253, 109703
164. U.S. Food and Drug Administration (FDA). (2020). Reprocessing of Single-Use Devices (SUDs): Guidance for Industry and Food and Drug Administration Staff. Retrieved from https:// www.fda.gov/regulatory-information/searchfda-guidance-documents/reprocessing-singleuse-devices-suds
165. World Health Organisation (WHO). (2010). Medical Devices: Managing the Mismatch. An Outcome of the Priority Medical Devices Project. Retrieved from https://www.who.int/medical_ devices/management_mismatch/en/
166. American College of Emergency Physicians (ACEP). (2019). Ambulance Equipment, Design and Testing Standards. Retrieved from https:// www.acep.org/by-medical-focus/ems/preparingyour-practice/ambulance-equipment-designand-testing-standards/
167. Garcia, M., Smith, C., Goldmann, D., & Davis, K. (2018). Reuse of Single-Use Devices: A Case Study at the University of Washington Medical Center. Infection Control & Hospital Epidemiology, 39(11), 1330–1333. https://doi.org/10.1017/ice.2018.239
168. MedShare. Our Impact. Retrieved from https:// www.medshare.org/our-impact/
169. London Ambulance Service. (2021). Lifesaving New Equipment for Ambulances. Retrieved from https://www.londonambulance.nhs. uk/2021/11/16/lifesaving-new-equipment-forambulances/
170. Mousavi SS, Dehestani M. (2022) Influence of latex and vinyl disposable gloves as recycled fibers in 3D printing sustainable mortars. Sustainability.14(16):9908.
171. Bai, X., Zhang, Y., & Li, J. (2019). Study on the feasibility of PVC gloves recycling and reuse. Journal of Environmental Chemical Engineering, 7(1), 102870.
172. Tran, T. (2020). Environmental impact of healthcare products: Life cycle assessment of gloves. Journal of Cleaner Production, 258, 120897.
173. Cahyono, R. B., Tjandra, A. D., Abdullah, R., & Setiawan, A. B. (2021). Mechanical recycling of nitrile gloves waste: A review. IOP Conference Series: Materials Science and Engineering, 1104(1), 012025.
174. Huang, H., Zhu, Z., Tian, Y., Wang, W., Jiang, L., He, C., & Cheng, S. (2019). Environmental evaluation of medical gloves and surgical gloves based on life cycle assessment. Science of The Total Environment, 664, 995-1006.
175. Verónica Duque-Uribe, William Sarache, Elena Valentina Gutiérrez. (2019) Sustainable Supply Chain Management Practices and Sustainable Performance in Hospitals: A Systematic Review and Integrative Framework Sustainability , 11(21), 5949.
176. Ambulance Victoria. Sustainability. Retrieved from: https://www.ambulance.vic.gov.au/ aboutus/sustainability/
177. St John Ambulance NT. Sustainability. Retrieved from: https://www.stjohnnt.org.au/ sustainability/
178. St John Ambulance Australia (NT). (2019). EarthCheck Certification. Retrieved from: https://www.stjohnnt.org.au/news/earthcheckcertification
179. NSW Ambulance. Sustainability. Retrieved from https://www.ambulance.nsw.gov.au/ Sustainability/index.html
180. Yorkshire Ambulance Service NHS Trust. Sustainability. Retrieved from: https://www.yas. nhs.uk/sustainability.html
181. San Francisco Fire Department. Sustainability Program. Retrieved from https://sf-fire.org/ sustainability-program.
182. New York City Fire Department. Uniform Recycling Program. Retrieved from: https:// www1.nyc.gov/site/fdny/about/sustainability/ uniform-recycling-program.page
183. German Red Cross. Uniform Recycling Program. Retrieved from: https://www.drk.de/en/whatwe-do/sustainable-development/uniformrecycling-program
184. LU, Y., Nakicenovic, N., Visbeck, M., & Stevance, A.-S. (2015). Policy: Five priorities for the UN sustainable development goals. Nature,520, 432–433
185. Lawrence H. Brown , Petra G. Buettner , Deon V. Canyon , J. Mac Crawford , Jenni Judd (2012) Journal of Cleaner Production. Estimating the life cycle greenhouse gas emissions of Australian ambulance services. 37, 135-141.

Main consequences of climate change and potential mental health effects
Appendix One: Main consequences of climate change and potential mental health effects
Impacts Risks
Extreme heats
Extreme weather event (food, hurricane, mudslides, etc.)
Vector-borne disease (VBD) (e.g. Lyme Disease, West Nile Virus, ticks)
Climate-related disasters (floods, wildfires, etc.)
Slow moving disasters (i.e. drought, sea-level rise, melting permafrost)
Deforestation
Decrement in the overall arable land, regional food shortages
Potential negative mental health effects
Exacerbated mood or behavioural disorders
Aggression, violence, crime
Suicide
Post-traumatic stress disorder (PTSD)
Depression
Anxiety
• Suicidal ideation
Agression and violence
Substance abuse and addiction
Survivor guilt
• Vicarious trauma
Complex mental health problems (e.g. cognitive or neurological impairment, behavioural disorders)
Post-traumatic stress disorder (PTSD)
Depression
Anxiety
• Suicidal ideation
Agression and violence
Substance abuse and addiction
Survivor guilt
• Vicarious trauma
Depression
Suicidality among rural populations
Substance abuse and addiction
Anxiety, worry or fear of job loss
Solastalgia
Eco-anxiety
• Lower wellbeing
Losing recreation places
Losing opportunity to contact with nature
Increased diseases and disorders susceptibility (due to malnutrition)
Stress-related disorders
Source:. Gawrych M. (2022). Climate change and mental health: a review of current literature. Psychiatria polska, 56(4), 903–915 (table continued the next page).
Appendix One: Main consequences of climate change and potential mental health effects
Impacts Risks
Migration and acculturation stress
lncreased poverty and social inequalities
loss of individual’s comectedness to their environment of residence
Less recreational and sporting opportunities
Losing biodiversity and ecosystems
Resource-related social disruption and civil conflict
Resource-related displacement (e.g. relocation forced by disaster or resource scarcity, overpopulation, camps, temporary settlement
Awareness of climate change threats to human and planetary health and survival, experience of environmental change
Potential negative mental health effects
Depression
Anxiety
Suicidal ideation
• Agression and violence
Substance abuse and addiction
Dedine in social capital, social cohesion, community participation
Depression
Anxiety
Suicidal ideation
• Agression and violence
Substance abuse and addiction
Solastalgia
Depresslon
• Eco-anxiety
Lower wellbeing
Stress
• Negative emotional states
Losing opportunity to contact with nature
Lower wellbeing
Restricted emotional and esthetic development
Solastalgia
Eco-anxiety
Post-traumatic stress disorder (PTSD)
• Depression
Anxiety
Suicidal ideation
Agression and violence
• Substance abuse and addiction
Survivor guilt
Vicarious trauma
Stress-related disorders
Depression
Anxiety
Suicidal ideation
Agression and violence
Substance abuse and addiction
Solastalgia
Eco-anxiety
• Stress
Depression
Hopelessness, despair
Source: Gawrych M. (2022). Climate change and mental health: a review of current literature. Psychiatria polska, 56(4), 903–915.

Key Agencies and Relevant Programs Related to Climate Change Appendix Two
Appendix Two: Key Agencies and Relevant Programs Related to Climate Change
Key Agencies Administered by the Commonwealth Department of Health and Relevant Programs Related to Climate Change

Image Source: climate-change-and-australias-healthcare-systems-a-review-of-literature-policy-and-practice.pdf (racp.edu.au)
Appendix Two: Key Agencies and Relevant Programs Related to Climate Change
Key Agencies and Programs by State and Territory

Image Source: climate-change-and-australias-healthcare-systems-a-review-of-literature-policy-and-practice.pdf (racp.edu.au)


Appendix Two: Key Agencies and Relevant Programs


Appendix Two: Key Agencies and Relevant Programs


Appendix Two: Key Agencies and Relevant Programs


Sustainable VendorsGreen Energy
Solar/Electricity
Appendix Three: Sustainable Vendors- Green Energy Solar/Electricity
Sustainable Vendors- Green Energy-Solar/Electricity
New South Wales
Name Address Phone
LECA
Level 7, 91 Phillip Street, Parramatta, NSW 2150
Sunboost (Headquarter) Suite 216, 10-12 Flushcombe Road, Blacktown, NSW 2148
Sun Current
Level 1, 9-13 Bronte Road, Bondi Junction, NSW 2022
Diamond Energy (Headquarter) 101 Greville Street, Prahran, VIC 3181
Energy Locals (Headquarter) 11 Newton St, Richmond, VIC 3121
Momentum Energy (Headquarter)
l 13/628 Bourke St, Melbourne, VIC 3000
Amber's Energy (Headquarter) Level 35
360 Elizabeth Street, VIC 3000
1300 695322 lecaustralia.com.au
1800 607 951 sunboost.com.au
1300 251 533 suncurrent.com.au
1300 838 009 diamondenergy.com.au
(03) 6161 3955 energylocals.com.au
1300 212 657 momentumenergy.com.au
1800 531 907 amber.com.au
Nectr Energy
100 Miller Street North Sydney, NSW 2060
Brighte L15, 1 Margaret St Sydney NSW 2000
Energy Matters (Headquarter) 359-361 City Rd, Southbank, VIC 3006
Captain Green Solar (Headquarter) 9 Lithic Way, Wangara, WA 6065.
Sunselect
Suite 1A Level 2, 465 Victoria Avenue, Chatswood NSW 2067
1300 111 211 nectr.com.au
1300 274 448 brighte.com.au
133 786
1800 362 883 energymatters.com.au
1300 361 682 captaingreen.com.au
1300 867 353 sunselect.com.au
Victoria
Name Address
Sustainable Solar Services 36 Prime Street, Thomastown VIC3074
LECA Level 12, 390 St Kilda Rd, Melbourne, VIC 3004
Total Solar Solutions Factory 1/3 Nicole Close, Bayswater North, VIC 3153
Solar Green Australia 37 Ralston Ave, Sunshine North, VIC 3020
Sun Current
509/101 Overton Rd, Williams Landing VIC 3027
Momentum Energy (Headquarter)
l 13/628 Bourke St, Melbourne, VIC 3000
Diamond Energy 101 Greville Street, Prahran, VIC, 3181
Energy Locals (Headquarter) 11 Newton St, Richmond, VIC 3121
Amber's Energy (Headquarter)
L35/360 Elizabeth Street, VIC 3000
Energy Matters (Headquarter) 359-361 City Rd, Southbank, VIC 3006
Island Energy 2/78 Bardia Ave, Seaford, VIC 3198
Captain Green Solar (Headquarter) 9 Lithic Way, Wangara, WA 6065
Empower Solar Australia 44 Bellman Avenue, Clyde, VIC 3978
Sunselect 312 Leakes Road Truganina, VIC 3029
Phone Web Link
(03) 9994 6385 sustainablesolarservices.com.au
1300 695 322 lecaustralia.com.au
(03) 9729 0894 totalsolarsolutions.com.au
1300 711 421 solargreenaustralia.com.au
1300 251 533 suncurrent.com.au
(03) 8612 6450 momentumenergy.com.au
1300 838 009 diamondenergy.com.au
(03) 6161 3955 energylocals.com.au
1800 531 907 amber.com.au
133 786
1800 362 883 energymatters.com.au
1300 534 110 islandenergy.com.au
1300 361 682 captaingreen.com.au
1300 888 372 empowersolaraustralia.com.au
1300 867 353 sunselect.com.au
Queensland
Name Address
Amber's energy (Headquarter)
L35/360 Elizabeth Street, VIC 3000
Diamond Energy (Headquarter) 101 Greville Street, Prahran, VIC 3181
Energy Locals (Headquarter) 11 Newton St, Richmond VIC 3121
Momentum Energy (Headquarter)
L13/628 Bourke Street Melbourne, VIC 3000
Green Energy Technologies 37 Evans Ave, North Mackay, QLD 4740
Energy Matters (Headquarter) 359-361 City Road Southbank, VIC 3006
Island Energy 55 Violet Street Gympie, QLD 4570
Captain Green Solar (Headquarter) 9 Lithic Way, Wangara, WA 6065
1800 531 907 amber.com.au
1300 838 009 diamondenergy.com.au
(03) 6161 3955 energylocals.com.au
1300 212 657 momentumenergy.com.au
(07) 4940 2900 greenenergytechnologies.com.au
133 786 1800 362 883 energymatters.com.au
1300 534 110 islandenergy.com.au
1300 361 682 captaingreen.com.au
Western Australia
Name Address
Energy Matters (Headquarter) 359-361 City Rd, Southbank, VIC 3006
Phone
Web Link
133 786 1800 362 883 energymatters.com.au
Perth Solar Warehouse 3/90 Discovery Dr, Bibra Lake, WA 6163 (08) 6171 4111 perthsolarwarehouse.com.au
Koala Solar 5 Erceg Rd, Yangebup WA 6164 (08) 9456 4763 koalasolar.com.au
Empower Solar Australia 7 Ernest Clark Road Canning Vale, WA 6155
1300 888 372 :empowersolaraustralia.com.au
Westsun Energy 1 Distinction Rd, Wangara, WA 6065 (08) 9303 9810 westsunenergy.com.au
Sunselect 8B/386 Wanneroo Rd, Westminster, WA 6061
LECA Level 24 Westpac House, 91 King William Street Adelaide, SA 5000
1300 867 353 sunselect.com.au
1300 695 322 lecaustralia.com.au
South Australia
Name Address
Diamond Energy (Headquarter) 101 Greville Street, Prahran, VIC 3181
Momentum Energy (Headquarter) l 13/628 Bourke Street, Melbourne, VIC 3000
Amber's Energy (Headquarter) Level 35/360 Elizabeth Street, VIC 3000
Energy Locals (Headquarter) 11 Newton St, Richmond VIC 3121
Energy Matters (Headquarter) 359-361 City Rd, Southbank, VIC 3006
Adam Solar Westpac House, 91 King William St, Adelaide SA 5000
Class A Energy Solutions 11/311 Glen Osmond Rd, Glenunga, SA 5064
1300 838 009 diamondenergy.com.au
1300 212 657 momentumenergy.com.au
1800 531 907 amber.com.au
03 6161 3955 energylocals.com.au
+61 133 786
1800 362 883 energymatters.com.au
(08) 7129 8071 solarsa.com.au
1800 997 979 classaenergysolutions.com.au
Solar SA 39 Gilbert Street, Adelaide SA 5000 (08) 7335 5376
Captain Green Solar (Headquarter) 9 Lithic Way, Wangara, WA 6065
LECA Level 9, 2 Phillip Law Street, New Acton, ACT 2601
1300 361 682 captaingreen.com.au
1300 695 322 lecaustralia.com.au
Australian Capital Territory
Name Address
Select Electrical and Solar Solutions 1/42 Wollongong St, Fyshwick ACT 2609
Amber's energy (Headquarter) Level 35/360 Elizabeth St, VIC 3000
Mondiaux Solar Unit 8/189 Flemington Rd, Mitchell ACT 2911
Energy Matters (Headquarter) 359-361 City Rd, Southbank, Victoria, 3006, Australia
Captain Green Solar (Headquarter) 9 Lithic Way, Wangara, WA 6065.
42 Energy Street Cnr Brooker Hwy and, Elwick Rd, Glenorchy TAS 7010
Tasmania
Name Address
Sunboost (Headquarter) 96 Suite 216, 10-12 Flushcombe Road, Blacktown NSW 2148
Energy Matters (Headquarter) 359-361 City Rd, Southbank, Victoria, 3006, Australia
(02) 6103 0505 selectelectricalonline.com.au
1800 531 907 amber.com.au
1300 911 110 mondiaux.solar
133 786
1800 362 883 energymatters.com.au
1300 361 682 captaingreen.com.au
1300 042 000 42energystreet.com.au
1800 607 951 sunboost.com.au
133 786
1800 362 883 energymatters.com.au
EnergyLocals (Headquarter) 11 Newton St, Richmond VIC 3121 (03) 6161 3955 energylocals.com.au
Aurora Energy GPO Box 191, Hobart TAS, 7001
Captain Green Solar (Headquarter) 9 Lithic Way, Wangara, WA 6065.
Sunselect Suite 1A Level 2, 465 Victoria Avenue, Chatswood, NSW 2067
SolarCity NT 1 Nebo Road, East Arm, NT 0822
1300 132 045 auroraenergy.com.au
1300 361 682 captaingreen.com.au
1300 867 353 sunselect.com.au
(08) 8947 4198 solarcitynt.com.au
Appendix Three: Sustainable Vendors- Green Energy Solar/Electricity
Name Address
Sustainable Power Services PO Box 272 Coolalinga NT 0839
Phone
0418 893 072 0418 893 075 spselectrical.com.au
Oneroof Solar level 1/48-50 Smith St, Darwin City, NT 0800 (08) 8943 0653 oneroofsolar.com.au
SEM Darwin Solar Installer 64 Raphael Road, Winnellie, NT 0820
Darwin Solar 1/101 Coonawarra Rd, Winnellie, NT 0820
Your Green Planet Solar Panels Darwin Suite 1A, Level 1/103 Reichardt Rd, Winnellie NT 0820
1300 033 510 semgroupaus.com.au
1300 765 272 darwinsolar.com.au
1300 667 636 yourgreenplanet.com.au
Eco Sparks Solar and Electrical Contractors 1/1 Damaso Pl, Woolner, NT 0820 (08) 8941 2729 ecosparks.com.au
Name Address Phone
Ecotricity Limited Partnership Customs Street, Auckland, 1010 0800 845 000 ecotricity.co.nz
Meridian Energy PO Box 2128, Christchurch 8140 0800 496 496 meridianenergy.co.nz
SCelectrical 1st Floor, 7 Anzac Road, Browns Bay, Auckland (02) 7872 3463 scelectrical.co.nz
Ethical power Suite 2, 465 Mt Eden Road, Auckland 1021 (01) 7262 18618 ethical-power.com

Sustainable VendorsWater Management
New South Wales
Name Address Phone
Diamond Energy (Headquarter) 101 Greville Street, Prahran, VIC, 3181
Energy Locals (Headquarter) 11 Newton Street , Richmond, VIC 3121
Momentum Energy (Headquarter)
l 13/628 Bourke Street, Melbourne, VIC 3000
Amber’s energy (Headquarter) Level 35
360 Elizabeth Street, VIC 3000
1300 838 009 diamondenergy.com.au
(03) 6161 3955 energylocals.com.au
momentumenergy.com.au
1300 212 657
1800 531 907 amber.com.au
Nectr Energy
100 Miller Street , North Sydney, NSW 2060
Brighte L15, 1 Margaret Street Sydney, NSW 2000
Energy Matters (Headquarter) 359-361 City Road, Southbank, VIC 3006
Captain Green Solar (Headquarter) 9 Lithic Way, Wangara, WA 6065.
Sunselect Suite 1A Level 2, 465 Victoria Avenue, Chatswood, NSW 2067
Sustainable Solar Services 36 Prime Street, Thomastown, VIC 3074
1300 111 211 nectr.com.au
1300 274 448 brighte.com.au
133 786
1800 362 883
energymatters.com.au
1300 361 682 captaingreen.com.au
1300 867 353 sunselect.com.au
(03) 9994 6385 sustainablesolarservices.com.au
Victoria
Name Address
LECA Level 12, 390 St Kilda Rd, Melbourne, VIC 3004
1300 695322 lecaustralia.com.au
Total Solar Solutions Factory 1/3 Nicole Close, Bayswater North, VIC 3153 (03) 9729 0894 otalsolarsolutions.com.au
Solar Green Australia 37 Ralston Avenue, Sunshine North, VIC 3020
Sun Current
509/101 Overton Road, Williams Landing, VIC 3027
Momentum Energy (Headquarter)
l 13/628 Bourke Street, Melbourne, VIC 3000
Diamond Energy 101 Greville Street, Prahran, VIC 3181
Energy Locals (Headquarter) 11 Newton Street, Richmond VIC 3121
Amber’s energy (Headquarter) Level 35/360 Elizabeth Street, VIC 3000
Energy Matters (Headquarter) 359-361 City Road, Southbank, VIC 3006
Island Energy 2/78 Bardia Avenue, Seaford, VIC 3198
Captain Green Solar (Headquarter) 9 Lithic Way, Wangara, WA 6065
Empower Solar Australia 44 Bellman Avenue, Clyde, VIC 3978
Sunselect 312 Leakes Road, Truganina, VIC 3029
Amber’s energy (Headquarter)
L35/360 Elizabeth Street, VIC 3000
1300 711 421 Solar Green Australia
1300 251 533 suncurrent.com.au
(03) 8612 6450 momentumenergy.com.au
1300 838 009 diamondenergy.com.au
(03) 6161 3955 energylocals.com.au
1800 531 907 amber.com.au
133 786
1800 362 883 energymatters.com.au
1300 534 110 islandenergy.com.au
1300 361 682 captaingreen.com.au
1300 888 372 empowersolaraustralia.com.au
1300 867 353 sunselect.com.au
1800 531 907 amber.com.au
Queensland
Name Address Phone
Diamond Energy (Headquarter) 101 Greville Street, Prahran, VIC, 3181
1300 838 009 diamondenergy.com.au
Energy Locals (Headquarter) 11 Newton Street , Richmond, VIC 3121 (03) 6161 3955 energylocals.com.au
Momentum Energy (Headquarter)
l 13/628 Bourke Street, Melbourne, VIC 3000
1300 212 657 momentumenergy.com.au
Green Energy Technologies 37 Evans Avenue, North Mackay, QLD 4740 (07) 4940 2900 greenenergytechnologies.com.au
Energy Matters (Headquarter) 359-361 City Road, Southbank, VIC 3006
Island Energy 55 Violet Street, Gympie, QLD 4570
Captain Green Solar (Headquarter) 9 Lithic Way, Wangara, WA 6065
Captain Green Solar (Headquarter) 9 Lithic Way, Wangara, WA 6065
Energy Matters (Headquarter) 359-361 City Rd, Southbank, VIC 3006
133 786 1800 362 883 energymatters.com.au
1300 534 110 islandenergy.com.au
1300 361 682 captaingreen.com.au
1300 361 682 captaingreen.com.au
133 786 1800 362 883 energymatters.com.au
Western Australia
Name Address Phone Web Link
Perth Solar Warehouse 3/90 Discovery Dr, Bibra Lake WA 6163 (08) 6171 4111 perthsolarwarehouse.com.au
Koala Solar 5 Erceg Rd, Yangebup, WA 6164 (08) 9456 4763 koalasolar.com.au
Empower Solar Australia 7 Ernest Clark Road Canning Vale, WA 6155 1300 888 372 empowersolaraustralia.com.au
Westsun Energy 1 Distinction Road, Wangara, WA 6065 (08) 9303 9810 westsunenergy.com.au
Sunselect 8B/386 Wanneroo Road, Westminster, WA 6061 1300 867 353 sunselect.com.au
LECA Level 24, Westpac House 91 King William Street, Adelaide, SA 5000 1300 695322 lecaustralia.com.au
Diamond Energy (Headquarter) 101 Greville Street, Prahran, VIC 3181 1300 838 009 diamondenergy.com.au Appendix Four: Sustainable
South Australia
Name Address Phone
Momentum Energy (Headquarter) l 13/628 Bourke Street, Melbourne, VIC 3000
Amber’s energy (Headquarter) Level 35/360 Elizabeth Street, VIC 3000
1300 212 657 momentumenergy.com.au
1800 531 907 amber.com.au
EnergyLocals (Headquarter) 11 Newton Street, Richmond VIC 3121 (03) 6161 3955 energylocals.com.au
Energy Matters (Headquarter) 359-361 City Road, Southbank, VIC 3006
133 786
1800 362 883 energymatters.com.au
Adam Solar Westpac House, 91 King William Street, Adelaide, SA 5000 (08) 7129 8071 adamsolar.com.au
Class A Energy Solutions Office 11/311 Glen Osmond Road, Glenunga, SA 5064
1800 997 979 classaenergysolutions.com.au
Solar SA 39 Gilbert Street, Adelaide, SA 5000 (08) 7335 5376 solarsa.com.au
Captain Green Solar (Headquarter) 9 Lithic Way, Wangara, WA 6065
LECA Level 9, 2 Phillip Law Street, New Acton, ACT 2601
1300 361 682 captaingreen.com.au
1300 695322 lecaustralia.com.au
Select Electrical and Solar Solutions 1/42 Wollongong Street, Fyshwick, ACT 2609 (02) 6103 0505 selectelectricalonline.com.au
Australian Capital Territory
Name Address Phone
Amber’s energy (Headquarter) Level 35/360 Elizabeth Street, Melbourne, VIC 3000
Mondiaux Solar Unit 8 189 Flemington Road, Mitchell, ACT 2911
Energy Matters (Headquarter) 359-361 City Road, Southbank, VIC 3006
Captain Green Solar (Headquarter) 9 Lithic Way, Wangara, WA 6065
42 Energy Street Cnr Brooker Highway and Elwick Road, Glenorchy TAS 7010
Sunboost (Headquarter) 96 Suite 216, 10-12 Flushcombe Road, Blacktown, NSW 2148
1800 531 907 amber.com.au
1300 911 110 mondiaux.solar
133 786
1800 362 883
energymatters.com.au
1300 361 682 captaingreen.com.au
1300 042 000 42energystreet.com.au
1800 607 951 sunboost.com.au
Tasmania
Name Address
Energy Matters (Headquarter) 359-361 City Road, Southbank, VIC 3006
786
EnergyLocals (Headquarter) 11 Newton Street , Richmond, VIC 3121 (03) 6161 3955 energylocals.com.au
Aurora Energy GPO Box 191, Hobart, TAS 7001
Captain Green Solar (Headquarter) 9 Lithic Way, Wangara, WA 6065
Sunselect Suite 1A Level 2, 465 Victoria Avenue, Chatswood, NSW 2067
0418 893 072 0418 893 075 spselectrical.com.au Appendix Four:
361 682 captaingreen.com.au
867 353 sunselect.com.au
SolarCity NT 1 Nebo Road, East Arm, NT 0822 (08) 8947 4198 solarcitynt.com.au
Sustainable Power Services PO Box 272, Coolalinga, NT 0839
Northern Territory
Name Address
Oneroof Solar level 1/48-50 Smith Street, Darwin City, NT 0800 (08) 8943 0653 oneroofsolar.com.au
SEM Darwin - Solar Installer 64 Raphael Road, Winnellie, NT 0820
Darwin Solar 1/101 Coonawarra Road, Winnellie NT 0820
Your Green Planet - Solar Panels Darwin Suite 1A, Level 1/103 Reichardt Road, Winnellie NT 0820
1300 033 510 semgroupaus.com.au
1300 765 272 darwinsolar.com.au
1300 667 636 yourgreenplanet.com.au
Eco Sparks Solar And Electrical Contractors 1/1 Damaso Place, Woolner NT 0820 (08) 8941 2729 ecosparks.com.au
New Zealand
Name Address
Suez Water
New Zealand Limited Level 7, 36 Brandon Street, Wellington, 6140 NZ
(02) 8754 0049 suez.com/anz
Morphum Environmental Level 4, 18 Sale Street, Auckland Central, Auckland, 1010 (09) 377 9779 morphum.com
Veolia 600 Great South Road, Millenium Business Park, Phase 2, Building C Ellerslie, 1051 NZ (09) 295 0515 veolia.com

Sustainable VendorsWaste Management
Waste Management
Name Address Phone Web Link
CleanAway Level 4, 441 St Kilda Road, Melbourne, VIC 3004 (03) 8397 5100 cleanaway.com.au
Envirowaste 14 Kiora Cres, Yennora, NSW 2161
1300 141 315 envirowaste.com.au
Ecoresources 165 Postans Road, Hope Valley, WA 6165 9437 1970 ecoresources.net.au
Remondis Level 4, 163 O’Riordan Street, Mascot, NSW 2020 (02) 9032 7100 remondis-australia.com.au
Remondis 6B, 848 Boundary Road, Richland, QLD 4077
1300 660453 remondis-australia.com.au
Silvans 42 Global Drive, Tullamarine, VIC 3043 (03) 9335 6655 silvans.com.au
Silvans 19 Carlise Street, Northfield, SA 5085
1300 286 579 silvans.com.au
Silvans 53/17 Medley Street, Chifley, ACT 2607 1300 286 579 silvans.com.au
Silvans Level 04, 66 Smith St Darwin City, NT 0800 (08) 7903 0260 1300 286 579 silvans.com.au
Waste Management 117 Rosedale Road, Pinehill, Auckland 0632 (09) 437 9586 wastemanagement.co.nz
Wasteminz 2/5 Orbit Drive, Rosedale, Auckland 0632 (09) 476 7162 wasteminz.org.nz/

Sustainable VendorsMedical and Emergency Equipment
Name Address
Laedral 8 Stamford Road, Oakleigh, VIC 3166
EcoAid Unit 3/6 Money Close Rouse Hill, NSW 2155
1800 331 565 laerdal.com/au
(02) 9629 1687 ecoaid.net.au
Medequip Unit 11, 87 Railway Rd North, Mulgrave, NSW 2756 (02) 9896 1923 mediquip.com.au
Ambu Australia Unit 5, 2 Daydream Street, Warriewood, NSW 2102
Australasian Medical & Scientific 2 McCabe Place, Chatswood, NSW 2067
Cleanlife 30-32 Park Avenue, Woodville North, SA 5012
USL Medical 494 Rosebank Road, Avondale, Auckland 1026
(02) 9882 3666 amsl.com.au
0800 658 814 0800 804 546 uslmedical.co.nz Appendix Six: Sustainable Vendors - Medical and Emergency Equipment
(02) 9998 1000 ambuaustralia.com.au
1800 960 948 cleanlife.com.au

Follow us on Facebook CouncilofAmbulanceAuthorities
Find us on Twitter @CAAAustralasia
Connect with us on LinkedIn council-of-ambulance-authorities-australasia
For information on other CAA activities please visit