
2 minute read
LOGICA IN ALGEBRA
UITWISKELING
MICHEL ROELENS, REDACTIE UITWISSELING
BEGIN LESACTIVITEIT
FORMULE UITSPREKEN Hoe spreek je uit? Als je zegt ‘het kwadraat van plus ’, dan kan dit ook als begrepen worden. Als je zegt ‘ plus in het kwadraat’, dan kan dit ook als begrepen worden. 1. Bedenk een manier om het uit te spreken zodat elke verwarring uitgesloten is. 2. Voor welke koppels maakt het allemaal niets uit?
EINDE LESACTIVITEIT
Ik kwam op het idee van deze oefening bij het lezen van een kort fragmentje uit een artikel in Euclides (Kindt, 2020). Deze opgave had niet misstaan in het artikel over ‘gewoon mooie oefeningen’ dat je vindt in Uitwiskeling 35/1. Bovendien kun je bij het oplossen gebruik maken van logica. Met de nieuwe eindtermen wordt logica binnenkort leerstof in onze tweede graad.
OPLOSSING Een goede manier om uit te spreken is: ‘het kwadraat van de som van en ’. Zoals bij het pellen van een ajuin, ga je best van buiten naar binnen. Wat is het? Een kwadraat. Een kwadraat waarvan? Van een som. Een som waarvan? ... Het van buiten naar binnen analyseren van formules is ook belangrijk bij het berekenen van afgeleiden in de derde graad.
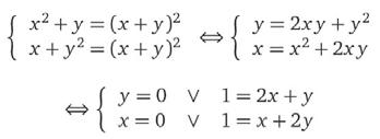
Voor de tweede vraag moeten we alle zoeken waarvoor
. Dit is een stelsel van twee vergelijkingen.
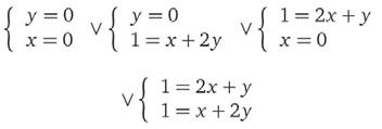
Hier komt wat logica bij kijken. Het stelsel is, logisch bekeken, van de vorm . Het laatste stelsel is een klassiek stelsel van twee eerstegraadsvergelijkingen in twee onbekenden. Met de substitutie- of combinatiemethode vind je als oplossing . De drie andere stelsels los je op het zicht op. Er zijn dus vier gevallen waarbij het niet uitmaakt hoe je uitspreekt
WAT MAAKT DEZE OEFENING MOOI? De combinatie van een merkwaardig product, een stelsel en een portie logica.
Dit kun je ‘uitwerken’ als
Wiskundig is dit de distributiviteit van ten opzichte van . Maar het gaat ook met ‘gezond verstand’: is waar wanneer zowel als waar zijn. Dat betekent dat van en minstens eentje waar moet zijn en van en ook.
We krijgen dus: BRONNEN

Kindt, M. (2020). Haakjes, hokjes, hekjes. Euclides 95/7, 10-13. Vanlommel, e.a. (2019). Gewoon mooie oefeningen. Uitwiskeling 35/1, 18-47.
Dit artikel verscheen in Uitwiskeling 36/4. Op www.uitwiskeling.be vind je alle info.


A-stroom D- en D&Afinaliteit
Nando
Wiskunde met pit
A-stroom D- en D&Afinaliteit
B-stroom en A-finaliteit
DÉ REFERENTIE VOOR WISKUNDEONDERWIJS
Van Basis tot Limiet (VBTL) is al jaar en dag dé referentie in wiskundeonderwijs in Vlaanderen. Het is een kwaliteitsvolle methode met sterke handboeken en een ruim aanbod aan extra materiaal. • Duidelijke structuur • Enorme hoeveelheid oefenmateriaal op verschillende beheersingsniveaus • Competentiegericht en probleemoplossend denken worden gestimuleerd • Extra aandacht aan rekenvaardigheden, wiskundetaal en ICT-vaardigheden • Sluit perfect aan bij de eindtermen en de leerplannen
www.vbtl.diekeure.be
WISKUNDE MET PIT
Nando betekent ‘met vreugde’. Deze methode biedt vernieuwend en motiverend wiskundeonderwijs met een sterke focus op differentiatie. Nando staat voor wiskunde met pit. • Eigentijdse wiskundemethode • Didactisch sterk onderbouwd • Aandacht voor instructie- en wiskundetaal • Sluit perfect aan bij de eindtermen en de leerplannen
www.nando.diekeure.be
HAAL HET MAXIMUM UIT WISKUNDE
Max-wiskunde brengt begrippen, concepten, eigenschappen en methodes aan in betekenisvolle contexten. Zo ontdekken de leerlingen de samenhang en wisselwerking tussen wiskunde en de maatschappij waarin ze leven. • Eenvoud en eenduidigheid centraal • Transferopdrachten om de leerstof in een nieuwe context toe te passen • Aandacht voor probleemoplossend denken








