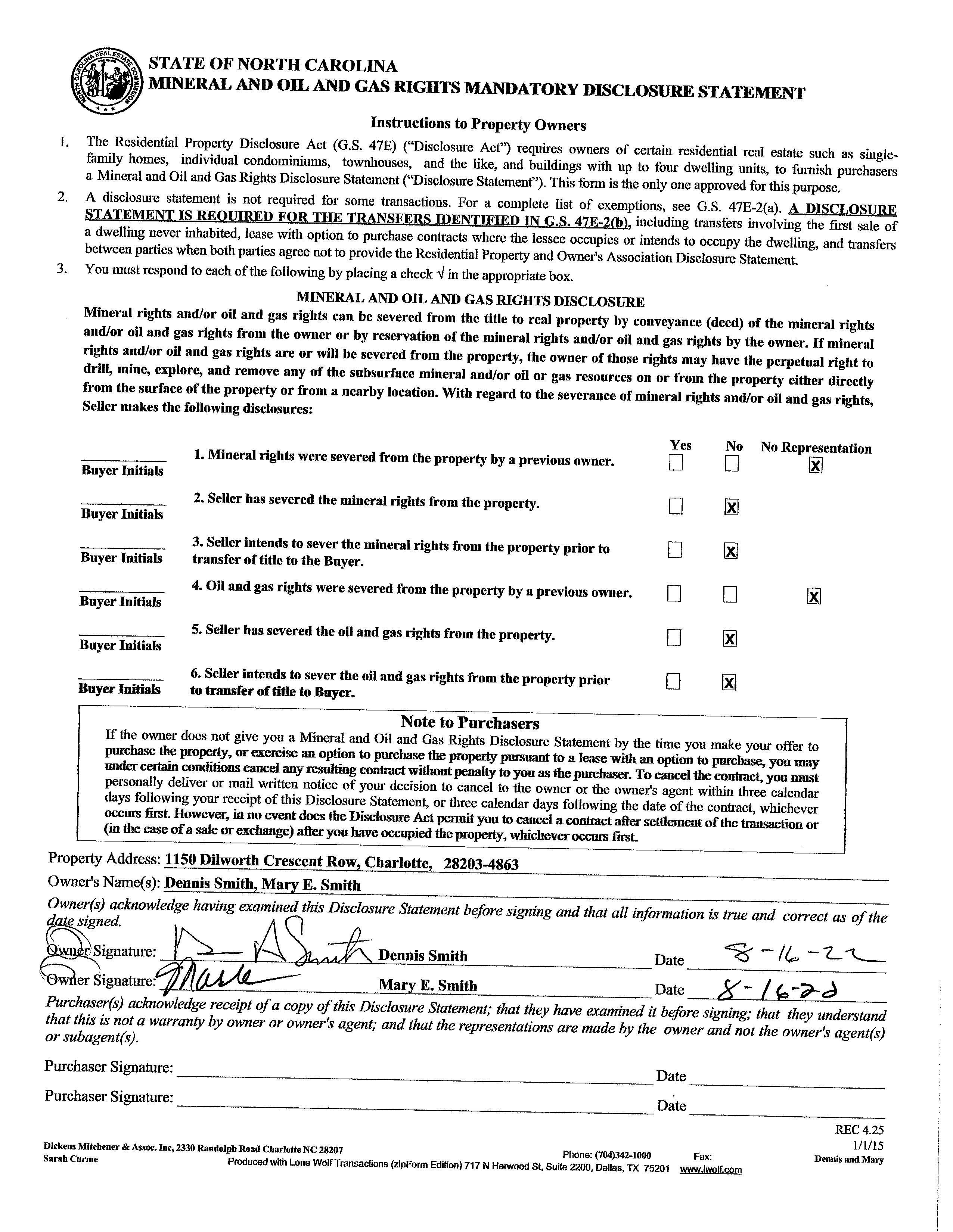
1150 Dilworth Crescent Row

Page 1

1150 Dilworth Crescent Row

CHARLOTTE, NC 28203

FEATURES $1,145,000 3 Bedrooms 2.1 Bathrooms 2,593 Sq Ft MLS# 3896076 Welcome to 1150 Dilworth Crescent Row! This 3 bedroom 2 1/2 bath townhome located in the heart of Dilworth lives beautifully with lots of natural light, open floor plan, high ceilings and well proportioned living spaces. The first floor includes a lovely entryway and staircase, formal dining room, elegant kitchen, spacious family room, informal dining and lots of windows overlooking the private rear patio. Features include a white kitchen with marble topped island, mudroom/ laundry, built-in bookcases, gas fireplace and thoughtfully designed spaces for entertaining. The second floor features a large primary bedroom which includes a seating area with gas fireplace, two closets and a spacious bath with marble counters and updated fixtures. There are two secondary bedrooms and a fully remodeled second bath. The home has been impeccably maintained and updates are attached ! Walkable to all that Dilworth, SouthEnd and Uptown have to offer, Dilworth Crescent is a special place. Visit dickensmitchener.com for more information 2330 Randolph Road | Charlotte, NC 28207 | 704.342.1000 just listedWelcome to 1150 Dilworth Crescent Row!

Features & Improvements

• NEW WINDOWS - 2018

• ARCHITECTURAL ROOF - 2017

• GAS FURNACE - 2014; A/C - 2017

• KITCHEN UPDATES - 2019 to include Barcelo cream marble island and backsplash; Krauss stainless steel sink; polished nickel Blanco faucets; kitchen aid professional series dishwasher; Jenn-Aire professional series refrigerator and gas range

• PRIMARY BATH UPDATES - Carrera marble countertops; polished nickel fixtures; penny tile in shower

• SECONDARY BATH REMODEL - new vanity/fixtures; river rock shower and frameless shower door

• LAUNDRY AREA - new flooring and quartz counter

• GARAGE FLOOR - 2017

• COURTYARD IRRIGATION SYSTEM - 2022

1150 DILWORTH CRESCENT ROW

Cross Property Client Full

1150 Dilworth Crescent Row, Charlotte, NC 28203-4863

MLS#: 3896076

Back On Market : TEMP->ACT Room Information

Room Level Beds Baths Room Type

Main /1 Bar/Entertainment, Bathroom(s), Dining Room, Entry Hall, Family Room, Kitchen, Laundry, Mud, Pantry

Upper 3 2/ Bathroom(s), Bedroom(s), Primary Bedroom, Sitting Features

Parking: Attached Garage, Driveway, Other Main Level Garage: Yes

Driveway: Concrete Doors/Windows: g-Insulated Door(s), g-Insulated Windows

Laundry: Main Fixtures Exceptions: No

Foundation: Crawl Space

Fireplaces: Yes, Family Room, Primary Bedroom

Floors: Carpet, Tile, Wood

Equip: Cable Prewire, Ceiling Fan(s), Cooktop Gas, Dishwasher, Disposal, Dryer, Exhaust Fan, Ice Maker Connection, Microwave, Natural Gas, Refrigerator, Security System, Self Cleaning Oven, Washer

Interior Feat: Attic Stairs Pulldown, Built-Ins, Kitchen Island, Open Floorplan, Pantry, Walk-In Closet(s), Window Treatments

Exterior Feat: In-Ground Gas Grill, In-Ground Irrigation

Exterior Covering: Brick Full

Porch: Enclosed Patio Roof: Architectural Shingle Street: Paved Utilities

Sewer: City Sewer Water: City Water

HVAC: Gas Hot Air Furnace, Multizone A/C, MultiZone Heat Wtr Htr: Gas Association Information

Subject To HOA: Required Subj to CCRs: HOA Subj Dues: Mandatory

HOA Management: Hawthorne Mgmt. HOA Phone: 704-377-0114 Assoc Fee: $800/Quarterly

HOA Email: lsingleton@hawthornemgmHOA 2 Email: Condo/Townhouse Information

Ownership Type: Townhouse Unit's Level In Blding: 1

Land Included: Yes Entry Level: Main Remarks

Public Remarks: Welcome to 1150 Dilworth Crescent Row! This 3 bedroom 2 1/2 bath townhome located in the heart of Dilworth live beautifully with lots of natural light, open floor plan, high ceilings and well proportioned living spaces. The first floor includes a lovely entryway and staircase, formal dining room, elegant kitchen, spacious family room, informal dining and lots of windows overlooking the private rear patio. Features include a white kitchen with marble topped island, mudroom/laundry, built-in bookcases, gas fireplace and thoughtfully designed spaces for entertaining. The second floor features a large primary bedroom which includes a seating area with gas fireplace, two closets and a spacious bath with marble counters and updated fixtures. There are two secondary bedrooms and a fully remodeled second bath. The home has been impeccably maintained and updates are attached ! Walkable to all that Dilworth, SouthEnd and Uptown have to offer, Dilworth Crescent is a special place. Listing Information

DOM: 40 CDOM: 40 Closed Dt: Slr Contr: UC Dt: DDP-End Date: Close Price: LTC: Prepared By:

Active City Taxes
County: Mecklenburg Subdivision: Dilworth Tax Value: $690,600 Zoning: R22MF Complex: Dilworth Crescent Zoning Desc: Deed Ref: 25583-502 Legal Desc: L14 M25-355 Lot/Unit #: Approx Acres: Approx Lot Dim: Lot Desc: City View Elevation: List Price: $1,145,000 General Information School Information Type: 2 Story Elem: Dilworth Latta Campus Style: Middle: Sedgefield Construction Type: Site Built High: Myers Park HLA Non-HLA Sqft Bldg Information Main: 1,195 Main: 77 Beds: 3 Upper: 1,398 Upper: 0 Baths: 2/1 Third: 0 Third: 0 Year Built: 1994 Lower: 0 Lower: 0 New Const: No Bsmnt: 0 Bsmt: 0 Prop Compl Date: Above Grade: 2,593 Construct Status: Complete Total Primary HLA: 2,593 Total: 77 Builder: Pets: Yes Additional Sqft: Garage Sqft: 243 Additional Information Prop Fin: Assumable:
Ownership:
year Special Conditions:
Road Responsibility: Privately Maintained Road or Maintenance Agreement Recent: 02/01/2023 :
Category: Condo/Townhouse Parcel ID: 123-141-14 Status:
Paid To: Charlotte
No
Seller owned for at least one
None
©2023 Canopy MLS. All rights reserved. Information herein deemed reliable but not guaranteed. Generated on 02/02/2023 9:20:10 AM

HEATEDLIVINGSPACE

1stFLOOR-1195

2ndFLOOR-1398

TOTALHEATED-2593

garage-243unheated

Allmeaurementsareroundedtonearestinch.Thisfloorplanis intendedformarketingbrochuressowindow/doorplacements, androomdimensionsareforrepresentationonly.

KITCHEN 11'-4"x13'-4"
DININGROOM 14'-2"x11'-0" FOYER BEDROOM#3 13'-0"x11'-10" BEDROOM#2 13'-2"x11'-10"
BAR
DN 1STFLOOR
OPEN TO BELOW UP
11'-4"x13'-8" BREAKFAST GREATROOM 15'-0"x21'-8"
GARAGE 11'-0"x20'-2" ONECAR
2NDFLOOR
PRIMARYSUITE 26'-6"x13'-8" CLOSETCLOSET
1150DILWORTHCRESCENT
LAUNDRY

Turn static files into dynamic content formats.

Create a flipbook
Issuu converts static files into: digital portfolios, online yearbooks, online catalogs, digital photo albums and more. Sign up and create your flipbook.