


Ve r s a t i l e I n v e s t m e n t Op p o r t u n i t y
i n M - 2 Z o n e
lo c at ed in an M - 2 In d u st r ial Zo n e, allow in g f o r a w id e r an ge
of in d u st r ial u ses Th e p r o p er t y f eat u r es a 576 sq f t
b u ild in g w it h c h ain - lin k f en c in g an d 3 asp h alt p ar k in g
sp ac es, in c lu d in g h an d ic ap ac c ess. All c it y ap p r ovals an d
lan d sc ap in g r eq u ir em en t s h ave b een m et . Cit y wat er an d
sewer ar e r ead ily availab le o n - sit e, w it h an 8 ' ' Cit y m ain lin e
lo c at ed o n 4 t h Ct . So u t h of Lake Rd . Th e M - 2 zo n in g
p r ovid es f lexib ilit y f o r f u t u r e d evelo p m en t , su c h as
exp an d in g t h e exist in g d o g p ar k o r p u r su in g o t h er
c o m p at ib le in d u st r ial u ses Th is p r o p er t y of f er s st r o n g
p o t en t ial f o r invest o r s seek in g a ver sat ile o p p o r t u n it y.
Pam Mayo-Phi l l i ps
Pr i n c i p al B r o ker, Li c en sed i n OR
5 4 1.4 8 0 .15 13
p am m ayo - p h i l l i p s@c asc ad eh asso n c o m
Br ook H avens
Pr i n c i p al B r o ker, Li c en sed i n OR
5 4 1 6 0 4 0 78 8
b r o o k .h aven s@c asc ad eh asso n .c o m
Casc ad e Hasso n
So t h eby ' s In t er n at i o n al Real t y
6 5 0 SW Bo n d St r eet , Su i t e 10 0
Ben d , Or ego n 9 770 2
CascadeHasson com

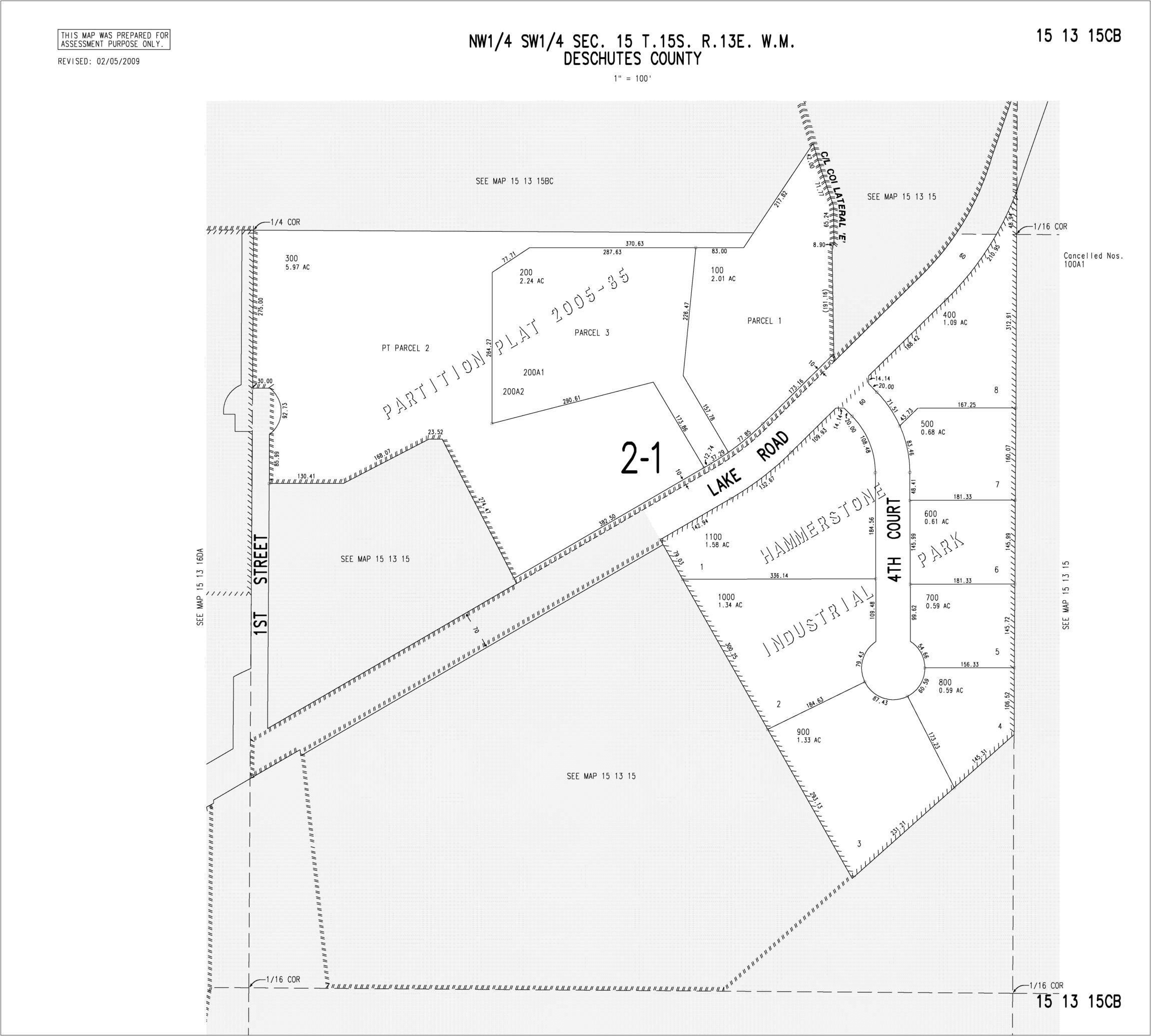
Land MLS#220205106
932 SE 4th Court
Redmond, OR 97756
County: Deschutes
Section: SE


Zoning: M2
No
Public Remarks: This investment opportunity presents a unique property located in an M-2 Industrial Zone, allowing for a wide range of industrial uses. The property features a 576 sq. ft. building with chain-link fencing and 3 asphalt parking spaces, including handicap access. All city approvals and landscaping requirements have been met. City water and sewer are readily available on-site, with an 8'' City main line located on 4th Ct. South of Lake Rd. The M-2 zoning provides flexibility for future development, such as expanding the existing dog park or pursuing other compatible industrial uses. This property offers strong potential for investors seeking a versatile opportunity.
General Property Information
CC&R's: Yes
FIRPTA: No
Association: No
Elementary School: Check with District
Middle Or Junior School: Check with District High School: Redmond High
Tax Annual Amount: $3,168.8
Tax Lot: 00700
Tax Block: 5
Tax Map Number: 151315CB
Tax Year: 2024
Potential Tax Liability: No
Assessment: No
Flood: Plain
Senior Community: No
Listing Office Information
Listing courtesy of:

Exterior Information
Lot Features: Rock Outcropping
Home/Build Site: None
Manufactured Structure Allowed YN: Yes
Other Structures: Kennel/Dog Run; Storage Road Frontage Type: Shared Access
Road Surface Type: Paved Railroad: Not Available View: Territorial
Land Information
Fencing: Other
Current Use: Vacant
Horse Property: No
Irrigation Distribution: None
Irrigation Source: None
Soil Type: Mixed; Rocky Utilities: Electricity Available Utilities Location: At Street
Listing/Contract Information
Original List Price: $495,000
List Price per Acre: $838,983.05
Listing Contract Date: 07/02/2025
Listing Terms: Cash; Conventional; VA Loan
Preferred Escrow Company & Officer: Amerititle
Tiffany Hudson
Special Listing Conditions: Standard
Brook Havens License:200703371
Cascade Hasson SIR
650 SW Bond St Suite 100
Bend, OR 97702
541-604-0788
541-383-7600
541-604-0788
brookmhavens@gmail.com http://www.desertvalleygroup.com
Construction
Irrigation Source: None
Power Production: None
Utilities: Electricity Available
Sewer: Public Sewer
Water Source: Public
Irrigation Water Rights: No
8.0060 Authorization of Similar Uses and/or Waivers. The Community Development Director, Designee, or Planning Commission may determine that a use or site element not specifically listed in the allowed uses of a zone shall be included among the allowed uses; this determination shall be made by administrative process. A similar use determination shall be decided based on the following criteria:
1. The use or element is similar in character to one or more of the principal uses permitted; 2. The traffic generated on such use is similar to one or more of the principal permitted uses;
3. The use is not first permitted in a less restrictive zoning district; and 4. The use is consistent with the comprehensive plan. Conditions of approval may be required to assure the proposed use is consistent with the purpose of the applicable zone and comprehensive plan.
[Section 8.0060 amended by Ord. #2016-17 passed January 31, 2017]
8.0065 Establishment of Zones and Districts. (Identifies allowable zones and definitions for them):
R-1 Limited Residential Zone. To provide lower density residential neighborhoods for single family detached residences, middle housing, and a mix of other housing types.
R-2 Limited Residential Zone. To provide low density residential neighborhoods for single family detached residences, middle housing, and a mix of other housing types.
R-3 Limited Residential Zone. To provide medium density residential neighborhoods with a mix of single-family detached residences, middle housing, and a mix of other housing types.
R-3A Limited Residential Zone. To provide medium density residential neighborhoods with a mix of single-family detached residences, middle housing, mix of other housing types, and allow for some limited commercial use on a conditional use basis. Examples of limited commercial uses include restaurant, theater, art gallery, office space and retail.
R-4 General Residential Zone. To provide medium density residential neighborhoods with a mix of single-family detached residences, middle housing, and a mix of other housing types including multi-family residential development. Limited commercial uses such as offices are also conditionally permitted where compatible with surrounding development.
R-5 High Density Residential Zone. To provide high density residential neighborhoods with an emphasis on multi-family development, middle housing, and smaller lot single family developments. Limited commercial uses such as offices are also conditionally permitted where compatible with surrounding development.
UH-10 Urban Holding Zone. To retain large undeveloped or underdeveloped land areas for future urban development; to act as a holding category and is considered agricultural in nature as it will allow agricultural uses to continue operation until urbanization takes place. Land in the UH-10 Holding Zone requires annexation, master plan approval, a zone change and/or a comprehensive plan amendment before urban development can occur. In most instances, Master plans are required before development can occur.
C-1 Strip Service Commercial Zone. To create and preserve areas suitable for commercial uses and services primarily oriented to automobile traffic, requiring extensive outdoor display and storage, and support of the central business district or principal downtown shopping area. In general, this zone shall be applied to those areas already existing and desirable to retain and for those areas that, because of new and/or
changing traffic patterns, should be developed for such purpose. In addition, this zone allows for high density residential development in these areas where such development will not adversely affect commercial development in the zone as a whole.
C-2 Central Business District Commercial Zone. To create and preserve areas suitable for commercial uses and services on a broad basis to serve as the central shopping or principal downtown area for the City. In general, this zone shall be applied to the town "center" already existing and desirable to retain, and to abutting and adjacent areas necessary to serve population growth. In any event, no other C-2 Zone shall be established until there is demonstrated need for such action; no two C-2 Zones shall be established in such relationship to each other that they cannot act as one center.
Downtown Overlay District. To create and preserve areas within the C-2 Central Business District Commercial Zone that is vibrant and pedestrian-friendly where people can shop, work, and play in a traditional downtown setting. In general, this district will encourage a vibrant mix of pedestrian-oriented uses, including residential, shopping and entertainment uses and increase in the density and intensity of development.
C-3 Special Service Commercial Zone. To create and preserve areas suitable for special commercial uses and services and compatible non-commercial uses, and on a broad basis to serve as a center for emergency services such as medical-health care for the City. The zone should also encourage the location of uses which provide close and easy access for that sector of the population which is in most need of such services such as the elderly and maintain the quiet and low intensity use atmosphere deemed preferential for such uses.
C-4 Limited Service Commercial Zone. To retain the general character of the limited strip type commercial that presently exists in that area encompassed by this zone, and to provide for a lower intensity of heavily auto-related business while maintaining an attractive appearance in the area of the western entry to the City; such entry being a high use route for visitors to the area.
C-4A Limited Service Commercial Zone. Limited strip type commercial and to provide for a lower intensity of heavily auto-related business. A mix of limited service commercial and limited residential uses are intended to serve large industrial tracts/employment areas and reduce crosstown vehicular trips.
C-5 Tourist Commercial Zone. To provide for commercial uses primarily oriented to travelers and tourists in locations complimentary to existing facilities and future major transportation facilities and to provide incentive for public and private investments in traveler and tourist related complexes.
M-1 Light Industrial Zone. To provide for light industrial uses such as light manufacturing, research, transportation facilities and similar uses which have a limited impact on surrounding properties and are compatible with clean non-polluting industries along with limited office and commercial activities which support these light industrial uses. Furthermore, uses associated with the M-1.5 General Industrial Zone can possibly be permitted.
M-1.5 General Industrial Zone. To provide for general industrial needs such as defined offices, industrial park activities, manufacturing, research, and contractor uses using less than 35% of the property for outdoor storage of raw or assembled materials. Development, site design and architecture should promote quality, compatibility, and aesthetics. Storage must be sufficiently screened by fences or landscaping. M-1.5 uses can be approved in either the M-1 Light Industrial Zone or M-2 Heavy Industrial Zone when approved through a Conditional Use Permit.
M-2 Heavy Industrial Zone. To promote the economic diversification by allowing a wide range of industrial and heavy commercial uses and providing sufficient land for industries that have a more pronounced impact on the urban environment because of
noise, smoke, air, and other emissions or because of traffic and other operating characteristics associated with these industries. The M-2 zone also allows for heavy commercial uses in areas where previous subdivisions of land and current ownership patterns have resulted in separate ownerships of smaller M-2 zoned parcels and, therefore, challenged to be readily used for industrial purposes. Furthermore, uses associated with the M-2 Heavy Industrial Zone can possibly be permitted.
FG Fairgrounds Zone. To allow for development or enhancement of the Deschutes County Fairgrounds to support services, facilities, or events to serve the region (e.g., related to training, sporting, recreational, medical, conference, public safety, or emergency coordination).
(LLI) Large Lot Industrial Zone. That area within the City identified to attract, aid, or facilitate industrial and business development projects focused on, in support of, or that directly benefit traded-sector uses that require an adequate supply of large, developable parcels of industrial land for industrial uses, including distribution centers and warehouse centers.
OSPR Open Space Park Reserve Zone. To preserve and provide for open space areas of natural, scenic, historical, or geological significance and to provide areas for recreational development and use, both passive and active. The OSPR zone also provides for private development appropriate with the goals and master plan for the canyon and the transfer of development rights to areas suitable for higher density development.
Airport Control (AC) Overlay Zone. In order to provide for the safety and use of land coincident with the Redmond Municipal Airport and prevent man-made or natural objects from encroaching into necessary aviation airspace, certain airport control zones are created which include all of the land lying within transitional surfaces, conical surface, instrument approach surface, non-instrument approach surfaces and horizontal surface. These zones are established as indicated on the current Redmond Airport Master Plan (Airport Layout Plan drawing set) for existing runways and future modifications thereto, Redmond Municipal Airport, or any other airport that may be constructed necessitating aviation controls which will affect land within the corporate limits of Redmond.
Airport Zone / Airport Compatibility Zone. To provide, encourage and support the continued operation and vitality of Redmond Municipal Airport by allowing certain airport related light industrial, manufacturing, commercial or recreational uses in accordance with state law (ORS 8.36.600 et seq.).
PF Public Facilities Zone. To provide for public facility and other uses such as: wastewater treatment facilities, water storage reservoirs, well sites, public schools, public or private child care facilities, transportation/mobility, libraries, museums, pavilions, public plazas, public safety or emergency services, emergency training and coordination facilities, and Public Works Administration facilities.
1. By the one-time payment of a non-refundable parking and mobility improvement fee to the City in the amount established in the City’s Fee Schedule, paid prior to the issuance of Certificate of Occupancy. Fees collected shall be used to fund parking, street improvements or facilities to improve mobility or enhance pedestrian connectivity and safety in the Downtown Overlay District.
2. From time to time the City shall establish the value of off-street parking facilities on a per parking space basis, used to establish the above parking and mobility improvement fee.
3. The City Engineering shall evaluate development proposals requesting to pay an in-lieu fee through conducting a Transportation System Analysis or parking study.
4. Any such request for parking in-lieu may be denied or reduced by the Community Development Director, or designee. The Director, or designee, shall determine:
a. Whether there is sufficient alternative parking within a two to fourblock radius of the project location.
b. Whether approval of the request would have an adverse effect on surrounding neighborhoods.
c. Whether the request meets the Purpose and Intent of the Downtown Overlay District Zone.
d. Compliance with the Redmond Comprehensive Plan 2040 and support plans, as amended.
[Section 8.0175 amended by Ord. #2016-17 passed January 31, 2017]
[Section 8.0175 amended by Ord. #2022-04 passed June 28, 2022]
[Section 8.0175 amended by Ord. #2022-09 passed December 13, 2022]
[Section 8.0175 amended by Ord. #2023-07 passed December 19, 2023]
8.0180 Light Industrial (M-1) Zone.
8.0182 General Industrial (M-1.5) Zone.
8.0185 Heavy Industrial (M-2) Zone.
8.0186 Large Lot Industrial (LLI) Zone.
1. LLI Zone Regulations. The following standards and regulations apply in the LLI Zone:
A. The lot shall adhere to the designation as acknowledged by the Central Oregon Intergovernmental Council.
B. No property that is zoned LLI can be rezoned to another zone within ten years of the LLI designation.
C. The minimum lot size is 50 acres. Division or separation of lots or parcels within the site to new lots or parcels less than the minimum lot size is not allowed until the site is developed with a primary traded sector use requiring a large lot.
D. Allowed uses are traded sector uses as provided in Section 2.
E. Uses allowed to support a primary user included:
1. Subordinate industrial uses that rely upon and support the primary traded sector use;
2. Service commercial uses that support the traded sector uses if they are limited to 7500 square feet per use; and
3. Retail uses accessory to a traded sector use and limited to 7500 square feet.
F. Conceptual Phased Site Development Plan . A Conceptual Phased Site Development Plan is required for each primary traded-sector use as part of the
8.0190 Table C, Uses Permitted. The following uses identified below are allowed outright or conditionally in each of the Commercial and Industrial zones. Outright or conditional uses in the M-1.5 zone may be permitted Conditionally in the M-1 or M-2 zones; this allowance does not apply for uses Not Allowed (“N”).
“O” means Permitted Outright
“C” means Permitted Conditionally
“N” means Not Allowed
Assisted Living Facility
Affordable Housing, containing 100% affordable dwelling units
Home Park
Mixed Use Workforce
Housing, containing ground floor commercial and 100% workforce or affordable dwelling units
Complex
Use on ground floor <25%
Residential Use on ground floor >25%
Single Family Detached Dwelling (including ADUs) and Duplexes on ground floor
Attached Single Family and triplex and quadplex above ground floor
if also allowed by the underlying zone district.
Use on ground floor restricted to <25% and shall not be in front of building.
*Only permitted for those uses pre-dating the adoption of the C-2 Zone Amendments and Downtown Overlay District on August 12, 2008.
Quadplex
Eating and Drinking:
Bakery (retail/sit-down)
Bar, Lounge, Tavern, Nightclub
Café, Restaurant (sit-down), Diner, Brew Pub
Café, Restaurant, Espresso (drive-through)
Mobile Food Pod
Mobile Food Unit
Mobile Food Vendor on private property


















































































































