Boletín El Asfalto - Edición Digital Nº11

Page 1

Boletín de la Comisión Permanente del Asfalto

EDICIÓN DIGITAL Nº 11

PRIMER CUATRIMESTRE 2024

SU MA RIO

STAFF

Boletín “El Asfalto”

Edición digital, Número 11 1° cuatrimestre de 2024

Coordinadores de edición:

Dr. Ing. Hugo D. Bianchetto

Dr. Ing. Rodolfo Adrián Nosetti

Comité editorial:

Dra. Ing. Silvia Angelone

Diseño y diagramación:

Ilitia Grupo Creativo - ilitia.com.ar

Edición y corrección:

Dolores Cuenya

El Asfalto es una publicación digital periódica de la Comisión Permanente del Asfalto de la República Argentina, sin valor comercial.

Propietario:

Comisión Permanente del Asfalto de la República Argentina

Av. Paseo Colón 823 (1063) 10° Piso B – C.A.B.A.

ISSN EN TRÁMITE

Realizada por la Comisión Permanente del Asfalto de la República Argentina

Dirección Nacional de Derecho de Autor Expediente RE-2020-11075988

Se prohíbe la reproducción total o parcial del contenido de esta revista sin previa autorización.

La Dirección de la revista no se hace responsable de las opiniones, datos y artículos publicados. Las responsabilidades que de los mismos pudieran derivar recaen sobre sus autores.

• NOTA EDITORIAL

• ENTREVISTA AL ING. ALBERTO BARDESI

Secretario Técnico Permanente de los CILA

• ENTREVISTA A ILEANA

la

Provincial de Vialidad de Tierra del Fuego

• ENTREVISTA A OSVALDO ROMAGNOLI

Administrador General de la Dirección Provincial de Vialidad Mendoza

• PRÓXIMOS EVENTOS

• TRABAJO TÉCNICO

Caracterización de las Propiedades Viscoelásticas de Mezclas Asfálticas Mediante el Empleo de una Viga Semicircular en Flexión

2
Presidenta de
ZARANTONELLO
Dirección
CONOCIENDO A LA CPA Ing. Lisandro Daguerre 03 05 09 14 19 20 26

El asfalto une… más que nunca

Bienvenidos a la undécima edición de nuestro boletín digital, correspondiente al primer trimestre de 2024, un año seguramente pleno de desafíos en nuestro país para la industria en general y para la del asfalto y la construcción de carreteras en particular.

Como adelantáramos en nuestra edición anterior, nos encontramos a días del evento más importante de nuestra industria a nivel iberoamericano: el XXII CILA, a realizarse en Granada, España. Más de 400 trabajos presentados aseguran un alto nivel técnico. Pero tan importante como esto es la posibilidad de compartir experiencias y confraternizar entre colegas de los diferentes países participantes. Para adentrarnos aún más en los detalles del evento, hemos entrevistado al Ing. Alberto Bardesi, socio honorario de nuestra institución y, además, responsable del Comité Técnico del congreso.

A efectos de conocer la situación y los planes de obras en las diferentes regiones de nuestro país, hoy nos complace compartir nuestras entrevistas con la administradora de Vialidad de la provincia de Tierra del Fuego, Ileana Zarantonello, y el administrador de Vialidad de la provincia de Mendoza, Osvaldo Romagnoli.

Ing. Mario Roberto Jair

En nuestra sección técnica, en este número se presenta el trabajo “Caracterización de las propiedades viscoelásticas de mezclas asfálticas mediante el empleo de una viga semicircular en flexión”, cuyos autores son Marina Lorena Cauhapé Casaux, Luis Miguel Zorzutti y Fernando Martínez, del Laboratorio Vial del IMAE, correspondiente a la Universidad Nacional de Rosario. El mismo resulta una derivación de la tesis doctoral de Marina Lorena, recientemente defendida.

En nuestra acostumbrada sección “Conociendo a la CPA” tenemos el agrado de dialogar con el Ing. Lisandro Daguerre, miembro de nuestra Comisión Directiva.

Por último, y como siempre, quisiera agradecer al grupo editor, a los autores de los trabajos técnicos, a los entrevistados que gentilmente han participado de este número y, de manera especial, a nuestros auspiciantes, que permiten que este boletín continúe llegando a ustedes de manera gratuita.

Un saludo muy grande… porque el asfalto une… más que nunca.

Boletín de la Comisión Permanente del Asfalto 3
Editorial
EDITORIAL
NOTA

Entrevista al Ing. Alberto Bardesi

SECRETARIO TÉCNICO

PERMANENTE DE LOS CILA

Alberto Bardesi es Ingeniero de Caminos, Canales y Puertos por la Universidad Politécnica de Madrid. Ha realizado estudios de posgrado en l’École des Ponts et Chaussée de París. En cuanto a su actividad profesional, se destaca su labor como jefe de obra y delegado regional de Productos Bituminosos S.A.; director técnico de Composan Distribución; responsable del área técnica de Asfaltos (hasta 2003) y director del negocio de Asfaltos (2004-2016) de REPSOL. Desde julio de 2016 es director de la Asociación Técnica de Carreteras, Comité Español de PIARC.

Se desempeñó, también, como profesor asociado de Firmes y Pavimentos en la Escuela de Ingenieros de Caminos de la Universidad Politécnica de Madrid (1996-2021). Y es profesor invitado en diversas escuelas técnicas españolas y latinoamericanas.

Ha sido directivo de la Asociación Técnica de Emulsiones Bituminosas, de la Asociación Técnica de Carreteras, de la Asociación Española de la Carretera, de la Asphalt Emulsion Manufacturers Association (AEMA); presidente de ATEB, de Eurobitume y del jurado del Premio Juan Antonio Fernández del Campo. Es miembro del Comité Técnico de la Asociación Española de Fabricantes de Mezclas Asfálticas (ASEFMA) y es codelegado en España y Secretario Técnico Permanente de los CILA.

¿Cuáles son sus cargos en la organización de los CILA y en el próximo XXII CILA, en particular?

Tengo el honor de ser codelegado del CILA en España, cargo en el que, de alguna manera, sucedí a D. Juan Antonio Fernández del Campo tras su triste fallecimiento, en 2004.

Desde la reunión de delegados del CILA de Guadalajara, se me confió la responsabilidad de ser Secretario Técnico Permanente, puesto para el que cuento con la inestimable colaboración de Luis Picado, como adjunto.

¿Dónde y cuándo se desarrollará el XXII CILA?

El XXII CILA se desarrollará en el Palacio de Congresos de la ciudad de Granada, España, del 22 al 26 de abril.

¿Cuáles son las áreas temáticas del CILA?

Vamos a mantener una línea continuista respecto de anteriores ediciones. En Granada tendremos ocho áreas temáticas:

1. Ligantes asfálticos (84 trabajos)

2. Agregados (24 trabajos)

3. Proyecto estructural de pavimentos (41 trabajos)

4. Mezclas asfálticas (79 trabajos)

5. Medioambiente, cambio climático, economía circular (108 trabajos)

6. Gestión de pavimentos (48 trabajos)

7. Miscelánea de otras aplicaciones de los asfaltos (27 trabajos)

8. Formación y comunicación (7 trabajos)

Boletín de la Comisión Permanente del Asfalto 5
Ing. Alberto Bardesi

Se ha notado mucho la importancia que le está dando el sector a los temas de medioambiente, descarbonización, etc. El área 5 será una de las estrellas del XXII CILA, junto a nuestros “clásicos”: ligantes y mezclas asfálticas.

¿Cómo se harán las presentaciones técnicas? ¿Cómo estarán divididas?

El comité organizador ha querido dar la mayor visibilidad posible a los trabajos recibidos. Por ello, todos los trabajos podrán ser presentados oralmente por los autores, tal como ya se ha informado.

Aproximadamente un 35-40 % de los trabajos se presentarán en las cuatro salas que se dispondrán de forma simultánea, en siete sesiones: dos los días lunes, martes y jueves, y una el viernes. Cada una de estas veintiocho sesiones estará dedicada a un área temática y, dependiendo del tiempo disponible, se presentarán entre cuatro y ocho trabajos.

El resto de los trabajos se presentarán en una gran sala habilitada al efecto, con ocho pantallas, donde se irán presentando los trabajos en forma simultánea, también agrupados por áreas temáticas.

La selección de trabajos para uno y otro modelo de presentación oral ha sido una tarea complicada debido al altísimo número de trabajos recibidos en formato definitivo: 418.

La selección de trabajos para uno y otro modelo de presentación oral ha sido una tarea complicada debido al altísimo número de trabajos recibidos en formato definitivo: 418. Mi agradecimiento personal a todos los evaluadores por el trabajo realizado y por su exquisito cumplimiento de los plazos.

¿Cuántas conferencias magistrales se presentarán, quienes serán los presentadores y que temáticas abordarán?

Se han previsto siete conferencias magistrales:

Boletín de la Comisión Permanente del Asfalto 6
Entrevista
En Asunción 2018, invitado por la APC. Junto a Luis Loria, Juan J. Potti, Marcelo Ramírez y Hugo Florentín. En Bariloche, junto a su esposa. Intervención en el XX CILA de Guadalajara 2019.

DÍA Y HORA CONFERENCIANTE ORGANIZACIÓN TÍTULO DE LA CONFERENCIA

Lunes

22 de abril 09:00-09:45

Lunes

22 de abril 17:30-18:15

Martes

23 de abril 09:00-09:45

Martes

23 de abril 17:30-18:15

Jueves

25 de abril 09:00-09:45

Jueves

25 de abril 16:30-17:15

Viernes

26 de abril 09:00-09:30

Fernando Moreno Universidad de Granada

Igor Ruttmar CEO – TPA (Grupo STRAGAG)

D.G. Carreteras

Valverde Ajo

Augusto Jugo

Mº Transportes y Movilidad Sostenible

Consultor. Profesor jubilado de la Universidad Central de Venezuela

Luis Alberto Herrmann do Nascimento Petrobras

Juan José Potti

Antonio Muruais

Presidente ASEFMA

D.G. Carreteras

Mº Transportes y Movilidad Sostenible

También se realizará una nueva edición del Premio Fundadores. Siendo usted miembro del jurado, ¿qué nos puede comentar y cuál es la expectativa para este CILA?

Este CILA cuenta con 89 candidatos al Premio Fundadores. La presidenta del jurado, Dra. Silvia Angelone, ha organizado la evaluación con dos rondas preliminares, que seleccionarán los diez mejores, para que en la reunión del jurado del martes 23, en el Palacio de Congresos, se decida el ganador y los accésits.

Por lo que me ha correspondido evaluar, estoy convencido de que el ganador de esta edición será un trabajo de altísimo interés y calidad.

Queda abierto este último espacio para cualquier comentario que crea conveniente.

"Importancia de la durabilidad en el diseño de materiales asfálticos para la construcción de carreteras sostenibles"

“Unleashig the power of perpetual pavements”

“Principales líneas de actuación en firmes y pavimentos de la DGC”

“Análisis teórico-práctico del concepto de diseño de pavimentos flexibles empíricomecanicista (MEPDG), su complejidad y limitaciones para su calibración y aplicación en Latinoamérica”

“Previsão do desempenho de pavimentos asfálticos com foco na sustentabilidade”

“Desarrollos digitales actuales, panorama Asphalt 4.0. Más allá de la transformación digital”

“Estrategia de sostenibilidad e innovación de la DGC”

Me gustaría señalar dos novedades de este XXII CILA. Por un lado, para el domingo 21 se ha convocado a un Foro de Universidades. Bajo la batuta del profesor Miguel Ángel del Val se debatirán temas tan interesantes como las relaciones entre las universidades, las empresas y las administraciones de carreteras, así como el currículo de las carreras de ingeniería civil en las que preparamos a los futuros profesionales.

La otra novedad estará dada por unas conferencias sobre cultura e historia, en cabeza de destacadísimos escritores e investigadores. No puedo adelantar más porque aún no se ha hecho oficial la lista, pero creo que va a ser algo digno de no perderse e invito a todos los asistentes a estar atentos al programa final.

Boletín de la Comisión Permanente del Asfalto 7
Ing. Alberto Bardesi

Entrevista a Ileana Zarantonello

PRESIDENTA DE LA DIRECCIÓN PROVINCIAL DE VIALIDAD DE TIERRA DEL FUEGO

¿Desde cuándo está a cargo de Vialidad Provincial? Mi ingreso a Vialidad fue en diciembre de 2019, como vicepresidenta, acompañando la presidencia de Eduardo Sandri. A principios de 2023 Eduardo deja de cumplir funciones como presidente de la entidad y yo lo reemplazo. En diciembre de 2023, por decisión del Sr. Gobernador de la Provincia de Tierra del Fuego, Prof. Gustavo Melella, me designan nuevamente presidenta de la Dirección Provincial de Vialidad, lo que me llena de satisfacción y compromiso para con la gestión y el ente.

¿Dónde está localizada la Dirección Provincial de Vialidad y por qué?

La central de la Dirección Provincial de Vialidad está ubicada en la ciudad de Río Grande, al norte de la provincia de Tierra del Fuego. Cuando se inauguró lo que es la sede central de Vialidad Provincial, se utilizó el predio de lo que antes era YPF, por lo que se heredó de la empresa todo lo que tenía que ver con los galpones, la parte edilicia y también parte de la flota.

La provincia recientemente se asoció a la Comisión Permanente de Asfalto (CPA). ¿Qué motivó a tomar esa decisión?

La Dirección Provincial de Vialidad se asoció a la Comisión Permanente del Asfalto porque consideramos que es un ente importante dentro de nuestro país y, si bien hoy no estamos atravesando uno de los mejores momentos a nivel económico, sí pen-

samos que es importante ser parte de la comisión para poder recibir todo lo que tenga que ver con capacitaciones y posibles futuras obras, siempre pensando en el crecimiento de nuestra vialidad.

Tierra del Fuego, además de ser la provincia más austral del país, es una isla, con particularidades únicas. ¿Cómo es la red vial que usted administra y de qué manera se enlaza con la red caminera del resto del país?

Nuestra red vial, que es la red vial más austral del mundo, está conformada en su mayoría por caminos rurales, rutas que nos llevan a distintos puntos turísticos de la provincia y también a diferentes estancias. Para nuestra Vialidad Provincial los caminos rurales son muy importantes porque son rutas muy transitadas por turistas que vienen de todas partes del país y del mundo. Además, nuestra provincia cuenta con muchas estancias productivas, ya sea de ganado ovino o vacuno, y eso hace que las rutas sean transitadas por camiones. Por lo tanto, tenemos el compromiso y la responsabilidad de mantener la red vial en condiciones, para una transitabilidad segura, realizando trabajos de mantenimiento y conservación antes de la veda invernal, la cual tiene una duración de seis meses, aproximadamente. Ello hace que nuestro trabajo en verano se extienda desde septiembre, con el inicio de la primavera, hasta los primeros días de mayo, trabajando en restaurar y poner en condiciones los caminos y dejarlos bien conservados para la veda invernal.

Boletín de la Comisión Permanente del Asfalto 9
Ileana Zarantonello

Durante el invierno, Vialidad lleva adelante tareas de despeje de nieve en las diferentes rutas utilizadas por los fueguinos y turistas que visitan nuestra provincia. El 2023 fue un invierno atípico, de mucha lluvia; eso hizo que las rutas por momentos estuvieran saturadas de agua y dificultó en cierta forma el trabajo durante la veda.

Nuestra red vial está compuesta por las rutas provinciales y también por aquellas que mantenemos nosotros a través de un convenio interadministrativo con Vialidad Nacional, las cuales abarcan las rutas complementarias que están dentro de la provincia. Nos ocupamos de su mantenimiento durante todo el año.

Paso Fronterizo Internacional Provisorio, Radman, sobre el río Bella Vista.

Ruta Complementaria “b”.

Trabajos de mantenimiento y conservación

Ruta Complementaria “j”.

Ruta Provincial N°23

¿Qué obras viales está llevando adelante la provincia, cuáles de ellas de asfalto y cuáles son los proyectos futuros?

Actualmente, Vialidad está trabajando en distintas reparaciones en diferentes rutas provinciales. En algunos sectores el personal realiza cambio o limpieza de alcantarillas, en otros se llevan adelante tareas de enripiado, perfilados de la calzada y algunos repasos necesarios. Todo esto con el fin de dejar la ruta en condiciones para el invierno.

Con respecto a las obras viales, como es de público conocimiento, todo lo que tiene que ver con obra

Boletín de la Comisión Permanente del Asfalto 10 Entrevista
Ruta Provincial N°23

pública se encuentra paralizado por el gobierno nacional. Estamos esperando que, ahora que ya fue designado el nuevo administrador de Vialidad Nacional, se pueda definir qué es lo que va a pasar con las obras que están financiadas y comprometidas a través de Vialidad Nacional. En Tierra del Fuego son dos obras muy importantes. Una es en la ciudad de Tolhuín, denominada “el corazón de la isla”; ahí contamos con una obra de carpeta asfáltica y un puente, sobre la Ruta Provincial N°1, una ruta turística muy bella. Se dio inicio a la obra en 2021 y lleva un 54 % de avance. A la fecha se encuentra paralizada. Estamos esperando la decisión del gobierno nacional con respecto al financiamiento que venía de la Nación.

La otra es la Ruta Nacional N°3, que va al Parque Nacional Lapataia. El financiamiento es de la Nación, a través de Vialidad Nacional. Por lo tanto, también estamos esperando saber cómo se va a dar continuidad a esta obra muy importante para nuestra provincia.

¿Cómo es el tratamiento de la vialidad invernal en Tierra del Fuego?

En invierno siempre nos tenemos que preparar pensando en que va a nevar mucho, porque así es lo que además queremos, en función del turismo de los centros invernales. Por lo tanto, desde Vialidad Provincial lo que hacemos es tener la maquinaria preparada para lo que va a ser el operativo invernal. Ello tiene que ver con todo lo que es cubiertas invernales, para la flota liviana, cubiertas con clavos, y, para la flota pesada, todo lo relacionado con el

En invierno siempre nos tenemos que preparar pensando en que va a nevar mucho, porque así es lo que además queremos, en función del turismo de los centros invernales.

encadenado de las mismas. Así nos preparamos en Vialidad y también esperando que la gente circule con mucha precaución para evitar accidentes. A su vez, en esta época del año trabajamos en conjunto con Vialidad Nacional en cuanto a la asistencia y todo lo que tenga que ver con el operativo invernal.

Por otra parte, trabajamos en conjunto también con nuestro país vecino Chile, ya que en los pasos fronterizos, como San Sebastián, se arma una comisión para afrontar el operativo invernal. El objetivo es que se pueda acudir rápidamente ante cualquier accidente, vuelco o despiste. Más que nada porque en esa época del año sucede que en diferentes ocasiones los camiones quedan atravesados, producto del hielo lavado o por otras cuestiones climáticas; entonces hay cortes, mucha nieve y por momentos hay que cortar la calzada para proceder al despeje de la misma.

Boletín de la Comisión Permanente del Asfalto 11 Ileana Zarantonello
Ruta Provincial N°1.

Idéntica situación a veces se da sobre la Ruta 3, entre Río Grande y Ushuaia. Si bien no son tantos kilómetros, sí se trata de una ruta compleja. Entonces lo que hacemos es trabajar en conjunto, siempre pensando en los que circulan en sentido norte-sur o sur-norte de la isla.

Por último, quiero dejar una reflexión. Si bien hoy nuestra Vialidad Provincial atraviesa un momento difícil en cuanto a los recursos, como el resto de las vialidades, ya que Tierra del Fuego no está ajena a

la situación general del país, me siento orgullosa de pertenecer a esta entidad. Con incertidumbre en algunos aspectos con respecto a lo que va a ser el financiamiento a través de la Nación, pero somos muy positivos en función de las obras que están financiadas a nivel nacional y apostamos a que este gobierno les va a dar continuidad. Desde lo personal, siempre estoy muy preocupada por lo que tiene que ver con las capacitaciones al personal. Preocupada y ocupada, porque considero que capacitar a todo el personal vial es de vital importancia. El año pasado hicimos un trabajo con el Ejército Argentino. Un proyecto muy lindo, para capacitar a los maquinistas, y este año espero poder reforzar ese aspecto. Y también todo lo que tiene que ver con las capacitaciones a la parte administrativa. Este año Vialidad puso en funcionamiento el expediente electrónico, para dejar de utilizar papel, y me parece que es importante también dar ese mensaje, porque desde todos los entes debemos cuidar el medioambiente.

Les deseo a todos un feliz 2024, que lo podamos sobrellevar de la mejor manera y que podamos transitar de manera segura por todas las rutas de nuestro país.

Capacitación de maquinistas de la DPV brindada por el Ejército Argentino.

Entrevista
Ruta Provincial N°23, trabajos en época invernal.
Boletín de la Comisión Permanente del Asfalto 12

Entrevista a Osvaldo Romagnoli

ADMINISTRADOR GENERAL DE LA DIRECCIÓN

PROVINCIAL DE VIALIDAD MENDOZA

Osvaldo Romagnoli es Ingeniero Civil con especialización en Vías de Comunicación, egresado de la U. N. S. J.

Fue Director de Obras Públicas en el Ministerio de Ambiente y Obras Públicas y también Subsecretario de Infraestructura Educativa en la Dirección General de Escuelas de la Provincia de Mendoza.

Posee una vasta experiencia profesional, tanto en el área vial como en obras civiles. También ha efectuado sendos trabajos de investigación.

¿Desde cuándo está a cargo de Vialidad? Estoy a cargo de la Dirección Provincial de Vialidad de Mendoza desde el 20 de agosto de 2020.

¿Cómo se compone y qué particularidades presenta la red vial de Mendoza?

La red vial mendocina es una de las más extensas del país. Cuenta con 17.000 kilómetros, sumando las redes primaria, secundaria y terciaria. Todas se caracterizan por tener su propia demanda específica.

La red primaria, obviamente, se destaca por ser la red troncal de caminos, donde tenemos las principales rutas asfaltadas y hormigonadas, y la gran demanda de tránsito. Es una red muy importante que utilizan la mayoría de los mendocinos para todas las actividades económicas.

La red secundaria es clave, también, porque allí abundan los caminos y carriles rurales por donde se mueve la producción vitivinícola y agroindustrial que sale a la red primaria, como así también la actividad turística.

Y la red terciaria, que cuenta en Mendoza con rutas de suelo natural y de hasta 200 kilómetros de ex-

tensión en algunos casos, tiene la particularidad de estar constituida por caminos de fuerte sesgo productivo, a pesar de estar en parajes muy alejados y remotos. Esta red llega a parajes naturales muy visitados por el turismo y también está muy vinculada a la producción ganadera del secano, que se realiza en pleno desierto. Es la red por donde se llega a los pozos y yacimientos petroleros de la provincia y también la que conecta y es salida de la producción minera mendocina.

¿Qué obras viales se están llevando a cabo en la provincia y cuáles son de asfalto?

La obra vial más importante de la provincia es la Ruta Provincial 82, denominada Panamericana, que tiene una primera etapa concluida y habilitada, una segunda etapa en ejecución -prevista para concluir a finales del segundo semestre- y una tercera etapa que concluye la intervención total de la ruta y que estaría para ser adjudicada en un proceso de llamado internacional en los próximos 60 días.

Después tenemos la construcción de la Doble Vía del Este como target de ruta, que unirá -a través de una autopista- al departamento de Rivadavia con la Ruta Nacional 7. Es una doble vía con intercambia-

14 Boletín de la Comisión Permanente del Asfalto
Entrevista
Osvaldo Romagnoli

La obra vial más importante de la provincia es la Ruta Provincial 82, denominada Panamericana.

dores y puentes, de 12 kilómetros de extensión, que tiene colectoras, y que a corto plazo va a generar un mejoramiento muy importante a nivel urbano, productivo y logístico, con un recupero económico bastante rápido.

La tercera en importancia es la ruta a Gualtallary, una zona vitivinícola que ya tiene fama mundial, cuya producción son los vinos premium de altura y que, además, promete tener un fuerte desarrollo turístico. Está ubicada al pie de la cordillera de Los Andes, en Tupungato. En Gualtallary estamos trabajando en la construcción de un camino de 16 kilómetros, a partir de una iniciativa público-privada, donde los privados hicieron el aporte de alcantarillado y desagües laterales, mientras que Vialidad de Mendoza ya comenzó con las obras de la ruta propiamente dicha: paquete estructural, subbase, base y, oportunamente, el asfalto.

Luego tenemos los distintos reencarpetados que inauguramos en los últimos meses, todos vinculados a mejorar la producción, el transporte de cargas y el turismo. Entre estos está la Ruta Provincial 96, también en Tupungato, un corredor productivo entre la Ruta Nacional 40 y la Ruta Provincial 89, que será, además, la descarga natural de la ruta de

En Vialidad Provincial tenemos un banco de proyectos importante, que llevado al terreno alcanza los 35 mil millones de pesos.

Gualtallary cuando esté concretada. También tenemos la conclusión de la calle Cobos, un carril rural donde está ubicada la mejor bodega del mundo, elegida en 2023.

Y no puedo dejar de mencionar el Programa de Renovación de Rutas Turísticas, que concluimos hace muy poco tiempo y con el cual recuperamos 41 kilómetros en distintas rutas muy populares y tradicionales a lo largo del territorio provincial, con un plan de microaglomerado asfáltico que incluyó demarcación horizontal y señalética vertical.

¿Cuáles son los proyectos futuros?

En Vialidad Provincial tenemos un banco de proyectos importante, que llevado al terreno alcanza los 35 mil millones de pesos, pero en estos momentos tenemos que determinar los que son prioritarios.

15 Boletín de la Comisión Permanente del Asfalto
Osvaldo Romagnoli

Entre ellos, el más importante es el de una ruta logística que unirá el norte con el este provincial, una ruta espejo de la variante Palmira que está construyendo Vialidad Nacional y que, una vez operativa, será el desvío de carga pesada desde la Ruta Nacional 7 a la Ruta Nacional 40 Sur, retomando la RN 7 a Chile.

El proyecto en el que estamos trabajando abrirá un corredor logístico y de cargas desde la Ruta Nacional 40 Norte, en Lavalle, hasta la Ruta Nacional 7, en San Martín, aprovechando la recuperación de distintas rutas provinciales que serán conectadas entre sí para hacer un solo circuito.

Este corredor Norte desembocará en el PASIP (Parque de Servicios Industriales de Palmira), un parque logístico ubicado en el ingreso de la variante Palmira, donde, además, pasa la línea ferroviaria de cargas del Ferrocarril Belgrano y permitirá que el transporte de cargas que viene del norte continúe al sur de la provincia de Mendoza o a Chile por la variante Norte y la variante Palmira, poniendo fin a la situación actual en la que ese transporte debe atravesar la zona metropolitana del Gran Mendoza.

Otro de los proyectos es el de la Ruta Provincial 173, en el circuito turístico del dique Valle Grande, en San Rafael, donde proyectamos la construcción de un puente que resuelva un problema de suelos existente en tramos del camino y cruce a la otra margen del río, poniendo en valor la ruta del Cañón del Atuel.

¿Qué nuevas tecnologías está aplicando Vialidad provincial en materia vial?

La provincia tiene un firme concepto de incorporar un control de ingresos que permita cuantificar la cantidad de vehículos que están transitando e identificarlos a través del dominio, ya que en la zona metropolitana del Gran Mendoza, los accesos Norte, Este y Sur son las principales vías de ingreso a la zona comercial y a la ciudad capital, por donde arriban masivamente los mendocinos. Es un proyecto que hay que poner en marcha cuando exista la factibilidad económica y que nos lleva necesariamente a una central de monitoreo que nos permita tomar decisiones para medir el nivel de transitabilidad y, a partir de ahí, administrar desvíos y evitar colapsos, eficientizando la distribución y la transitabilidad de la red vial.

Boletín de la Comisión Permanente del Asfalto
Entrevista

Además, tenemos planificado en nuestro banco de proyectos avanzar en la utilización de balanzas dinámicas para controlar los pesos de cargas y en una cartelería inteligente que permita brindar información turística precisa a los miles de visitantes que vienen a la provincia.

¿Qué cargo ocupa actualmente en el Consejo Vial Federal y qué visión tiene del consejo?

Ocupo el cargo de vicepresidente. Mendoza tiene una participación muy activa en el Consejo Vial Federal y la idea es que esa participación sea aún mayor.

Creo que el Consejo Vial Federal tiene que convertirse en una herramienta que le permita a todas las vialidades del país fortalecer su cronograma de obras. En este sentido, el consejo ofrece muchas oportunidades. Por ejemplo, aplicando una política común que tiene que ver con la incorporación de asfalto, a sabiendas de que el 60 % se importa. Contando de antemano con la información sobre el consumo de asfalto -que las vialidades tendrán en un año para sus respectivas obras-, desde el consejo se puede planificar la importación anual de la materia prima que permitirá hacerse de ella a un costo más bajo por la magnitud de la demanda, garantizando los stocks.

El mismo concepto se puede aplicar con los equipos viales que se utilizan para trabajar en las rutas. Trabajando en conjunto entre todas las vialidades se pueden planificar adquisiciones que permitan obtener mejores precios.

Otro tema importante que desde el consejo debemos impulsar es la capacitación en las últimas tecnologías que ya se aplican en el hormigón y el asfalto, como la incorporación de polímeros para redes secundarias y terciarias.

17 Boletín de la Comisión Permanente del Asfalto
Osvaldo Romagnoli

O s e s p e r a m o s e n

e l # X X I I C I L A

X X I I C o n g r e s o

I b e r o L a t i n o a m e r i c a n o d e l A s f a l t o

P a l a c i o d e C o n g r e s o s d e G r a n a d a

2 2 a 2

6 a b r i l d e 2 0 2 4

T o d a l a i n f o r m a c i ó n d i s p o n i b l e e n n u e s t r a w e b

w w w . c o n g r e s o c i l a . c o m

Próximos

Eventos

Nacionales e Internacionales

XXII CONGRESO IBERO

LATINOAMERICANO DEL ASFALTO

Del 22 al 26 de abril de 2024. Granada, Sevilla, España.

Granada acogerá la vigésimo segunda edición del Congreso Ibero Latinoamericano del Asfalto (XXII CILA). Del 22 al 26 de abril de 2024, el Palacio de Congresos de la ciudad española será el epicentro de este importante evento que reúne a destacados expertos y profesionales de la industria del asfalto para compartir conocimiento sobre materiales asfálticos, áridos, diseño y conservación de pavimentos, gestión de recursos, digitalización y divulgación técnica, entre otros. www.congresocila.com

E&E CONGRESS 2024 MILLENÁRIS PARK

Del 19 al 21 de junio de 2024. Millenáris Park, Budapest (Hungría).

Eurasphalt and Eurobitume (E&E) es un evento sobre la industria del betún y del asfalto que se celebra cada cuatro años, a partir de 1996, y a lo largo del tiempo se ha convertido en una importante plataforma en la que se pueden tratar temas que amenazan al sector y al mercado ambiental.

eecongress2024@guarant.cz https://www.guarant.cz/

ASPHALTICA

Del 9 al 12 de octubre de 2024. Bolonia, Italia.

La edición 2024 de ASPHALTICA presentará nuevos sectores como protagonistas del mundo de la carretera: la seguridad vial, la señalización y las barreras. Debates, talleres, seminarios y conferencias científicas de alto nivel sobre los temas de mayor actualidad del sector.

asphaltica@bolognafiere.it

ISAET ’24 – LA CONVOCATORIA DE PONENCIAS YA ESTÁ ABIERTA

Del 4 al 6 de noviembre de 2024. Washington D.C., EE.UU.

alim@cmservices.com

Boletín de
la Comisión Permanente del Asfalto

TRABAJO TÉCNICO

Caracterización de las propiedades viscoelásticas de mezclas asfálticas mediante el empleo de una viga semicircular en flexión

Autores:

Marina Lorena Cauhapé Casaux1, Luis Miguel Zorzutti2, Fernando Martínez3

Resumen

Actualmente, los métodos de diseño de pavimentos empírico-mecanísticos requieren para su implementación el conocimiento de las propiedades fundamentales de los materiales intervinientes. Este trabajo presenta una nueva configuración para determinar las propiedades reológicas de mezclas asfálticas: la viga semicircular en flexión (SCB, por su nombre en inglés). Se propone el desarrollo de un modelo de elementos finitos para establecer una ecuación para el cálculo del módulo dinámico a partir de la carga aplicada y los desplazamientos resultantes en la muestra. Se presenta la instrumentación de probetas y la evaluación de mezclas asfálticas bajo diferentes condiciones de ensayo. Los resultados encontrados indican que la configuración de SCB es una metodología simple y prometedora para la caracterización de la respuesta viscoelástica de las mezclas asfálticas.

Palabras clave: propiedades reológicas, mezclas asfálticas, SCB, MEF.

1 Introducción

Desde hace muchos años, diferentes investigadores han enfocado sus trabajos en el estudio de la reología de las mezclas asfálticas a partir de la aplicación de procedimientos experimentales de laboratorio. En este trabajo se propone aplicar la configuración de viga semicircular en flexión para determinarla. Entre sus ventajas pueden nombrarse la forma de aplicación de cargas, la simpleza de la geometría de la probeta, la posibilidad de emplear equipos que no son específicos para este ensayo y pueden estar presentes en los laboratorios, la

Lab Vial - IMAE - UNR, Rosario, Argentina, 1 mccasaux@fceia.unr.edu.ar, 2 zorzutti@ fceia.unr.edu.ar, 3 fermar@ fceia.unr.edu.ar

Boletín de la Comisión Permanente del Asfalto 20
Trabajo Técnico

capacidad de poder adaptarse para determinar un número importante de propiedades en las mezclas y finalmente permitir ensayar tanto probetas elaboradas en laboratorio como testigos calados del pavimento.

El ensayo de viga semicircular en flexión fue empleado inicialmente para evaluar la resistencia a fractura en rocas. Diversos investigadores lo aplicaron posteriormente para la caracterización de mezclas asfálticas: resistencia a fatiga, propagación de fisuras y resistencia a la tracción y fractura [1, 2]. De esta manera, se plantea como principal objetivo de este trabajo la aplicación del ensayo SCB para caracterizar el comportamiento reológico de tres mezclas asfálticas mediante el módulo dinámico |E*| y ángulo de fase , y analizar si los resultados alcanzados son aptos para ser aplicados en procedimientos de diseño de pavimentos flexibles basados en principios mecanísticos. Como medida adicional se propone realizar el ensayo convencional en Compresión Uniaxial para validar la confiabilidad de la configuración SCB para el objetivo propuesto.

2 Desarrollo teórico

2.1 Configuración y geometría de la SCB

La configuración experimental propuesta consiste en una probeta apoyada sobre dos rodillos en su parte inferior. En la parte superior se aplica una carga dinámica, quedando solicitada como una viga de tres puntos. Su ventaja principal consiste en el desarrollo de un estado uniaxial de tensiones en la parte media inferior de la muestra, lo que a priori significa una mayor simplicidad y eficiencia en la interpretación de las mediciones experimentales. La configuración adoptada se presenta en la Figura 1. La Figura 1 muestra una probeta instrumentada según esta configuración experimental.

2.2 Modelización de la SCB empleando elementos finitos

El módulo dinámico puede calcularse a partir del conocimiento de la distribución de tensiones que se producen en la probeta. Para la configuración SCB propuesta, la mecánica analítica no contempla

una solución que las determine y, por ende, tampoco el cálculo del módulo dinámico |E*|. Diversos autores han investigado y propuesto diferentes modelos [1, 2, 3]. Basado en ellos se propone, a partir del empleo de un Modelo de Elementos Finitos (MEF), desarrollar una ecuación que permita el cálculo del módulo dinámico |E*|. El modelo elegido se corresponde con uno de tipo 2D desarrollado en el Laboratorio Vial de la Universidad de Rosario. Se introducen algunos supuestos en la geometría SCB: material elástico, lineal e isotrópo; presencia de estado plano de tensiones; y rodillos de carga rígidos. La Figura 2 (izquierda, ver en página siguiente) muestra la malla de elementos finitos utilizada y la ubicación de los puntos de medición A y B.

En base a los resultados obtenidos con el MEF, y de acuerdo con el principio de correspondencia elástico-viscoelástico aplicado a la geometría SCB con cargas sinusoidales en estado de equilibrio, el mó-

Boletín de la Comisión Permanente del Asfalto 21
Caracterización de las propiedades viscoelásticas de mezclas asfálticas mediante el empleo de una viga semicircular en flexión Figura 1. Configuración SCB adoptada.

Figura 2. Configuración SCB adoptada.

dulo dinámico |E*| y el ángulo de fase entre carga y deformación se calculan de acuerdo a la Ecuación (1) y Ecuación (2):

con |E*|: módulo dinámico, : ángulo de fase, P0: amplitud de la carga sinusoidal aplicada y u0: amplitud de la deformación horizontal resultante (Fig 2 (der)), t: intervalo de tiempo entre un ciclo de carga y deformación y período para un ciclo de carga.

2.3 Caracterización reológica: Curvas maestras de módulo dinámico

(modelo H-S). En el mismo, el comportamiento real de un material visco-elástico es asimilado a un conjunto de elementos mecánicos ideales simples, como resortes y amortiguadores de respuesta parabólica vinculados en serie o paralelo (Figura 3). [4]

Figura 3. Modelo de Huet-Sayegh.

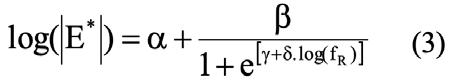
A partir de los resultados experimentales, es posible desarrollar curvas que permitan representar el comportamiento del módulo dinámico y del ángulo de fase. Estas curvas, denominadas curvas maestras de |E*| adoptan una función sigmoidal de la forma expresada en la ecuación (3): con , , y , parámetros de ajuste del modelo.

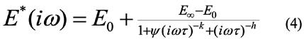
2.4 Caracterización reológica: modelos reológicos

Otra forma para obtener los valores de módulo complejo E* para las mezclas asfálticas es mediante el empleo de modelos reológicos. En este caso se propone el modelo mecánico de Huet-Sayegh

El modelo es función de la frecuencia angular y el tiempo característico y se muestra en la ecuación (4): con E∞: módulo instantáneo para tiempos de carga muy cortos, E0: módulo estático para tiempos de carga muy largos, i: número imaginario (i = (-1)1/2), y h, k y : parámetros de ajuste con (1> h> k> 0). Este modelo ha sido presentado con mayor detalle en publicaciones anteriores [5].

3 Materiales y procedimientos

Se consideraron tres mezclas densas: mezcla CA30, formulada con un asfalto convencional, mezcla AM3, elaborada con un asfalto modificado con polímero

Boletín de la Comisión Permanente del Asfalto 22 Trabajo Técnico

SBS, y, finalmente, una mezcla elaborada con plásticos reciclados por vía seca.

A partir de probetas elaboradas en el compactador giratorio, se calaron probetas de 100 mm de diámetro (Compresión Uniaxial (CU)-Figura 4(a)), y “rodajas” de 50 mm de espesor divididas diametralmente (SCB-Figura 4(b)).

Los ensayos con aplicación de cargas sinusoidales se llevaron a cabo empleando una máquina servo-neumática, desarrollada en el Laboratorio Vial de la UNR. Las mediciones de |E*| se determinaron para siete frecuencias (5, 4, 2, 1, 0.5, 0.25 y 0.10 Hz) y cinco temperaturas (0, 10, 20, 30 y 40°C), para obtener una caracterización viscoelástica completa de las mezclas asfálticas.

Caracterización de las propiedades viscoelásticas de mezclas asfálticas mediante el empleo de una viga semicircular en flexión

4 Resultados obtenidos

La Figura 5 muestra los resultados de módulo dinámico obtenidos en CU (|E*|UC) y en SCB (|E*|SCB) para todas las frecuencias y temperaturas, para las mezclas estudiadas [6]. Se indica la línea de igualdad a 45º y una banda paralela que expresa una diferencia relativa de ± 25 %.

23 Boletín de la
Comisión Permanente del Asfalto Figura 5. Comparación de resultados del módulo dinámico para las mezclas. Figura 6. Comparación de ángulos de fase para las mezclas. Figura 4. Probetas empleadas para los ensayos de |E*|.

Como puede observarse, los datos se distribuyen a lo largo de la línea de igualdad, con valores de R2 superiores al 97 %. Además, las diferencias relativas de los valores de |E*| medidos con ambos procedimientos fueron inferiores al 25 % y están en el mismo orden de magnitud que los obtenidos en resultados de ensayos de laboratorio y predicciones de módulo dinámico utilizando ecuaciones y modelos predictivos aceptados por la comunidad científico-técnica [7, 8, 9]. Esto significa que la configuración SCB podría considerarse adecuada para determinar |E*| con la misma sensibilidad que el ensayo de CU.

También se midió el ángulo de fase entre las cargas y la deformación. La Figura 6 muestra la comparación de los ángulos de fase promedio en CU ( UC) y SCB ( SCB) para todas las frecuencias y temperaturas, para las mezclas en estudio.

En estas figuras, se indica la línea de igualdad y un rango de diferencias absolutas igual a ± 5º. Los resultados obtenidos presentan un coeficiente de correlación R2 superiores al 91 %.

Las diferencias absolutas entre los datos analizados son menores a 5º para el 94 % de los datos para la mezcla CA30, 86 % para la mezcla AM3 y 77 % para la mezcla 2 % SBP. Sin embargo, se observa una ligera tendencia a medir ángulos de fase más pequeños con la configuración SCB para la mezcla AM3.

Siguiendo con el análisis se presentan los valores de módulo complejo E*, empleando el modelo mecánico de Huet-Sayegh (modelo H-S). En la Figura 7 se presentan los diagramas de Black de las mezclas en estudio para valores experimentales y los del modelo H-S.

Para las mezclas consideradas en este trabajo, se observa una buena correlación entre las curvas H-S y SCB y CU, con las mismas tendencias para ambas; se ajustan ubicándose sobre una banda estrecha a ambos lados de las curvas del modelo H-S, describiendo curvas suaves y sin interrupciones. Para el caso de la mezcla 2 % SBP los resultados obtenidos con SCB son algo más dispersos, observándose diferencias en el valor del ángulo de fase para el modelo y los resultados en SCB para los valores menores de módulo.

De todas maneras y basándose en estas observaciones, puede decirse que la geometría SCB es capaz de producir resultados experimentales que pueden ser modelizados con la misma sensibilidad que otros obtenidos por procedimientos de ensayo más convencionales utilizados para la caracterización reológica de mezclas asfálticas con fines prácticos.

Boletín de la Comisión Permanente del Asfalto 24 Trabajo Técnico
Figura 7. Diagrama de Black para las mezclas.

Caracterización de las propiedades viscoelásticas de mezclas asfálticas mediante el empleo de una viga semicircular en flexión

5 Conclusiones

En este trabajo se ha investigado el empleo de la configuración SCB para la determinación del módulo dinámico |E*| y el ángulo de fase de tres mezclas asfálticas diferentes.

Utilizando un modelo de elementos finitos pudo desarrollarse una ecuación para el cálculo de |E*|, para la geometría específica adoptada.

Se ha encontrado un muy buen ajuste entre los resultados experimentales obtenidos en CU y SCB, para |E*| y para un amplio rango de temperaturas y frecuencias con coeficientes de regresión R2 superiores al 90 % en todos los casos. Lo mismo para el caso de su modelización.

Por lo tanto, puede concluirse que la configuración de SCB ha sido verificada como una metodología simple y prometedora para la caracterización de la respuesta viscoelástica de las mezclas asfálticas. Sin embargo, esta conclusión está basada únicamente en los resultados obtenidos en tres mezclas asfálticas. Resta, entonces, verificar su aplicabilidad a otro tipo de mezclas (mezclas porosas, SMA, mezclas con RAP o con subproductos de desechos).

REFERENCIAS

[1] Molenaar A.A.A., Scarpas A., Liu X. & Erkens S.M.J.G. (2002). Semi-circular bending test; simple but useful? Journal of the Association of Asphalt Paving Technologists. 71, 794–815.

[2] Saha, G., & Biligiri, K. P. (2017). Stato-dynamic response analyses through semi-circular bending test: Fatigue life prediction of asphalt mixtures. Construction and Building Materials. No. 150, 664-672.

[3] Huang, L., Cao, K., & Zeng, M. (2009). Evaluation of Semicircular Bending Test for Determining Tensile Strength and Stiffness Modulus of Asphalt Mixtures. Journal of Testing and Evaluation, Vol. 37, No. 2, 122-128.

[4] Pronk, A.C. (2005). The Huet-Sayegh Model: A Simple and Excellent Rheological Model for Master Curves of Asphaltic Mixes. Proceedings of the Conference: R. Lytton Symposium on Mechanics of Flexible Pavements, Baton Rouge, Louisiana, USA: American Society of Civil Engineers.

[5] Cauhapé Casaux, M. Angelone, S., & Martinez, F. (2017). Evaluación del comportamiento viscoelástico de mezclas asfálticas mediante modelos mecánicos. Proceedings del XIX Congreso Ibero Latinoamericano del Asfalto, Medellín, Colombia.

[6] Cauhapé Casaux, M. (2023). Caracterización de las propiedades viscoelásticas de mezclas asfálticas mediante el empleo de una viga semicircular en flexión. Tesis Doctoral. FCEIA-UNR.

[7] Andrei, D., Witczak, M., & Mirza, W. (1999) Development of a revised predictive model for the dynamic (complex) modulus of asphalt mixtures. Design Guide for New & Rehabilitated Pavements. Appendix CC-4, D. (NCHRP Project 1-37A), Washington DC. National Research Council.

[8] Biligiri, K. P., Kaloush, K., & Uzan, J. (2010). Evaluation of asphalt mixtures’ viscoelastic properties using phase angle relationships. International Journal of Pavement Engineering 11(2), 143-152.

[9] Geng, L. T., Ren, R. B., Wang, L. Z., & Gao, C. L. (2011). Master curves of dynamic modulus and phase angle for high modulus asphalt mixtures, Advanced Materials Research, Vols. 243-249, 4226-4230.

Boletín de la Comisión Permanente del Asfalto

CONOCIENDO A LA CPA

PRESENTAMOS A LOS INTEGRANTES DE NUESTRA COMISIÓN DIRECTIVA.

Ing. Lisandro Daguerre

Como lo venimos haciendo en cada edición del Boletín El Asfalto, nos presentamos ante la comunidad vial los que tenemos el honor de integrar la Comisión Directiva de la CPA, comentando las motivaciones para seguir formando parte de esta organización.

Hoy presentamos al Ing. Lisandro Daguerre. Él mismo nos cuenta su historia:

“Venido de tierra adentro, desde mi apreciada ciudad de Balcarce, llegué a la ciudad de La Plata con mi maleta allá por el siglo pasado -1978- para hacer mis primeras ‘armas’ ingenieriles. Estudié en la Univ. Nac. de La Plata, ya fuera de la comodidad hogareña, donde tuve la fortuna de que nunca me faltara nada; por el contrario, siempre me inculcaron que las cosas se consiguen con esfuerzo.

Cuando rendí mi primer y único final desaprobado: ´no han de ser tantas las caídas...’, me espetó mi padre, parafraseando a Almafuerte y dándome todo su ánimo para seguir adelante. Él tenía la sangre de un vasco que la tuvo que pelear desde chico y yo no iba a ser menos.

Egresé primero como Ingeniero en Construcciones y luego como Ingeniero Civil. En el medio del transcurrir de la carrera participé activamente desde el Centro de Estudiantes CEILP, junto a otros compañeros, buscando esa tan ansiada y necesaria apertura democrática.

Retomando, siguieron mis estudios de posgrado en la UBA, con la Especialización en Hidrocarburos, y luego con mi primer viaje a España para seguir mi formación en el CEDEX, con la Especialización en Regadíos –área, por cierto, que nunca llegué a explorar-. Recalé definitivamente en La

Ing. Lisandro Daguerre

Plata, para afincarme definitivamente en dicha ciudad. Allí conocí a Silvina y crecimos juntos. Mis tres hijos fueron llegando con los años.

En 1993, y en conjunto con otros ingenieros, pude impulsar la creación del GATI (Grupo de Asistencia Técnica de Ingeniería), para brindar inicialmente asistencia técnica al municipio de la ciudad de La Plata en las obras viales que la misma llevó adelante.

En el año 1994 comenzó mi relación con la CPA, asistiendo a las jornadas técnicas sobre “Fricción superficial en los pavimentos con mezclas asfálticas”. Luego, en 1996, participé como expositor en la Reunión del Asfalto celebrada en Mar del Plata y, posteriormente, en el CILA en Sevilla, España, en el año 1999… el primero de muchos otros que vinieron después.

La llegada de Composan-Dapsa con los primeros asfaltos modificados nos impulsó a trabajar e investigar con los mismos y sus aplicaciones en mezclas especiales. Estimulados por el Dr. Agnusdei empezamos a colaborar activamente junto a otros profesionales integrantes del laboratorio en los Subcomités Técnicos de la comisión en la sede de calle Balcarce. Llevamos adelante una ardua labor, que se tradujo en la generación de nuevas especificaciones técnicas de la CPA, empleando asfaltos con AM3 en mezclas discontinuas de bajo y alto espesor. Para ello, la realización y el seguimiento de tramos experimentales ejecutados en la Ciudad de Buenos Aires fueron clave para la recolección de información.

Otra área de trabajo fue la participación en el Comité Técnico de Asfaltos y Mezclas Asfálticas en el IRAM, donde

Boletín de la Comisión Permanente del Asfalto 26

pudimos actualizar y generar nuevas normas técnicas acordes a las tecnologías que comenzaban a desarrollarse en el país.

Mi formación siguió en España, comenzando los estudios para realizar el doctorado en Barcelona, tomando los cursos para obtener los créditos académicos y defendiendo el proyecto de tesis. La posibilidad de acceder al citado título quedó trunca por cuestiones personales. Pero esta experiencia académica me facilitó el acceso a conocimientos actualizados que he tratado de transmitir en capacitación de alumnos, profesionales y técnicos del área vial en los últimos 20 años.

Ya sobre finales de los años noventa, el GATI se transforma y se crea el LaPIV (Laboratorio de Pavimentos e Ingeniería Vial), del cual fui director hasta el año 2013, donde con nueva reestructuración de los laboratorios de la facultad, se crea la actual UIDIC, que es presidida desde entonces por el Ing. Larsen.

El LaPIV formaliza su vínculo con la Comisión Permanente del Asfalto al asociarse en el año 2003. Mi incorporación activa a la Comisión Directiva se plasma a partir del año 2010 y continúa en forma ininterrumpida hasta el presente.

Mi incorporación activa a la Comisión Directiva se plasma a partir del año 2010 y continúa en forma ininterrumpida hasta el presente.

A través de la comisión, todos los ingenieros y técnicos que hemos integrado el Laboratorio de la Facultad de Ingeniería de la UNLP -con sus diferentes denominaciones- hemos podido tener un espacio concreto donde poder plasmar y transferir todos los conocimientos y avances técnicos que la universidad ha generado. Desde la realización de cursos de formación técnica para las Vialidades Provinciales hasta la participación y divulgación en seminarios de diferentes temáticas: mezclas con caucho, plásticos, RAP, etc.

Actualmente presido el Subcomité Técnico de la CPA vinculado a las mezclas en frío y especificaciones técnicas, y, como representante de la UIDIC - LaPIV, integro la Comisión Directiva como vocal.”

Boletín de la Comisión Permanente del Asfalto 27
Conociendo a la CPA

OBITUARIO

Dr. Carlos Alberto QUEVEDO

09/09/1948 – 11/04/2024

EL DR. QUEVEDO -COMO TODOS LO CONOCÍAN- ERA CORDOBÉS DE NACIMIENTO, PUNTANO POR CRIANZA Y ROSARINO POR ADOPCIÓN.

Químico y especialista en Control de Calidad. Y para ser coherente con lo antedicho, se puede asegurar que defendió siempre los postulados del control por un lado y de la calidad por el otro; y de ambos en simultáneo. Quien lo ha conocido, debe recordar uno de sus postulados: “MEDIR, MEDIR Y MEDIR”, como única manera de evaluar eficiencia y comprobar la mejora.

Fue tecnólogo del hormigón, asumiendo la difícil tarea de garantizar calidad en producción de grandes obras. Se destacan, entre tantas, la construcción del puente Posadas – Encarnación, una “escuela sobre diferentes metodologías de construcción de puentes”, según él repetía, y la represa de Urugua-í (primera en su tipo en Argentina en base a hormigón compactado con rodillos y una de las primeras en Sudamérica), interactuando con renombrados especialistas en la tecnología del hormigón.

Luego de ello, las circunstancias laborales lo indujeron a involucrarse muy profundamente y con mucho compromiso en la construcción y mantenimiento de carreteras y, particularmente, en la tecnología del asfalto, llegando a ser un referente en este aspecto, de la mano de los sistemas de concesión, que en su momento invitaron y obligaron necesariamente a la aplicación de nuevas y más eficientes tecnologías. En la investigación y desarrollo de nuevas posibilidades, encontró su mejor entretenimiento, trabajando sobre el control y la caracterización de asfaltos, asfaltos modificados en diferentes grados y diferentes tipologías de mezclas asfálticas. Lideró desde su lugar de trabajo la innovación, la aplicación y el control de mezclas con utilización de asfaltos modificados, pruebas a escala industrial en diversas tipologías de mezcla y con diversos grados y procesos de modificación, aplicando normativa y evaluando especificaciones de diversos países e inclusive diseñándola ad hoc cuando no la había. Fue pionero en el control de los procesos de modificación de asfalto en diversos grados a pie de obra, de aplicación de mezclas con curvas granulométricas innovadoras, de diseño y utilización de microaglomerados en frío de mayores tamaños y logró imponer la doble instancia de control de calidad en obras (laboratorio de obras y laboratorio central). Propició estar a la vanguardia en el equipamiento de los laboratorios que coordinó.

Su generosidad ha quedado plasmada en la elaboración de varios y diversos trabajos técnicos, expuestos y publicados por diversas instituciones viales, como la misma CPA. No se ha guardado conocimientos y aciertos, y divulgó hasta propios errores, como oportunidades de aprendizaje.

Quien ha tenido el privilegio de ser parte de su entorno sabe que fue un personaje entrañable, trabajador incansable, investigador inconformista, gran compañero de labores en toda circunstancia, cultor de la amistad y del buen humor, del trabajo en equipo y, por sobre todas las cosas, buena persona, mejor padre y fiel esposo.

Agradecemos la colaboración del Ing. Mariano Sanziani en la redacción de estas palabras.

Boletín de la
del
Comisión Permanente
Asfalto

Av. Paseo Colón 823 - 10° Piso B – C.A.B.A. asfalto@cpasfalto.com.ar

SEDE PERMANENTE CILA

Turn static files into dynamic content formats.

Create a flipbook
Issuu converts static files into: digital portfolios, online yearbooks, online catalogs, digital photo albums and more. Sign up and create your flipbook.