Pembayaran Uang Lembur Dgn Pembuatan SOP Pembayaran Uang Lembur Pegawai

Page 1

LAPORAN SEMINAR AKTUALISASI

PELATIHAN DASAR CPNS GOLONGAN II ANGKATAN 6

OPTIMALISASI PEMBAYARAN UANG LEMBUR DENGAN PEMBUATAN

STANDAR OPERASIONAL PROSEDUR PEMBAYARAN UANG LEMBUR

PEGAWAI DI LINGKUNGAN POLTEKKES KEMENKES JAKARTA III

TAHUN 2022

DISUSUN OLEH :

WAHYU EKO SAPUTRO A.Md

NIP. 199404032022031002

BAPELKES CIKARANG

KEMENTERIAN KESEHATAN RI 2022

LEMBAR PENGESAHAN

LAPORAN AKHJALISASI

OPTIMALISASI PEMBAYARAN UANG LEMBUR DENGAN PEMBUATAN STANDAR

OPERASIONAL PROSEDUR PEMBAYARAN UANG LEMBUR PEGAWAI DI LINGKUNGAN

POLTEKKES KEMENKES JAKARTA III TAHUN 2022

Telah diseminarkan

Tanggal 29 September 2022, di Bapelkes Cikarang

Coa Mentor

dr. Atiq Amanah Retna Palupi, MKKK

NIP. 197803272009122022

Aldine Andriza Harahap, SE, MKM

NIP. 198211302008121003

Penguji

Verawati Lenny, SKM, MKM

NIP. 197706112005012001

KATA PENGANTAR

Segala puji bagi Allah SAW yang telah memberikan rahmat dan hidayah-Nya sehinga

Laporan Aktualisasi pada Pelatihan Dasar CPNS Golongan II Angkatan 6 ini dapat diselesaikan.

Laporan Aktualisasi ini disusun dalam rangka pelatihan dasar CPNS dengan penerapan nilai dasar ASN BerAKHLAK, serta penerapan suasana kerja yang menggambarkan SmartASN dan Manajemen ASN di unit kerja masing-masing peserta pelatihan dasar.

Penyelesaian Laporan aktualisi ini tidak terlepas dari do’a, bantuan, motivasi, serta kerjasama yang baik dari berbagai pihak. Oleh karena itu dengan segenap ketulusan hati, penulis ingin menyampaikan ucapan terimakasih kepada:

1. Allah SWT, atas hidayah, petunjuk, dan cinta-Nya yang telah diberikan kepada penulis;

2. Bapelkes Cikarang selaku penyelenggara pelatihan dasar CPNS;

3. Lembaga Administrasi Negara (LAN) selaku fasilitator media pembelajaran dalam pelatihan dasar;

4. Yupi Supartini, S.Kp., MSc selaku Direktur Poltekkes Kemenkes Jakarta III dan jajaran;

5. Yandri Irawan, S.Kom, M.Pd selaku Kepala Bagian Administrasi Akademik dan Umum Poltekkes Kemenkes Jakarta III;

6. Aldine Andriza Harahap, SE, MKM selaku Koordinator Kelompok Substansi Keuangan dan BMN dan juga selaku mentor peserta latsar;

7. dr. Atiq Amanah Retna Palupi, MKKK selaku Coach peserta latsar Golongan II Angkatan 6 Kelompok D;

8. Priyanti Edi Kurnia, S.Kom selaku Koordinator Kepegawaian dan Umum;

9. Rekan-rekan Kelompok Substansi Keuangan dan BMN;

10. Rekan-rekan peserta latsar khususnya Golongan II Angkatan 6 Kelompok D.

Penulis menyadari bahwa pembuatan Laporan Aktualisasi ini tidak luput dari kesalahan dan kekurangan, untuk itu kritik dan saran sangatlah diharapkan untuk perbaikan dan kesempurnaan laporan ini.

Bekasi, September 2022

Peserta Pelatihan Dasar CPNS 2022

Wahyu Eko Saputro, A.Md NIP. 199404032022031002

iii
iv DAFTAR ISI LEMBAR PENGESAHAN ii KATA PENGANTAR...................................................................................................................................iii DAFTAR ISI...............................................................................................................................................iv DAFTAR LAMPIRAN .................................................................................................................................vi DAFTAR TABEL vii DAFTAR GAMBAR viii BAB I PENDAHULUAN 1 1.1 Latar Belakang......................................................................................................................... 1 1.2 Tujuan...................................................................................................................................... 2 1.3 Manfaat................................................................................................................................... 2 BAB II PROFIL INSTANSI 3 Gambaran Organisasi 3 2.2 Nilai-Nilai Organisasi 7 2.3 Tugas Organisasi 9 2.4 Uraian / Rincian Tugas Jabatan Peserta................................................................................ 11 BAB III ANALISIS ISU DALAM PELAKSANAAN TUGAS DAN FUNGSI....................................................... 12 3.1 Identifikasi dan Analisis Isu Aktual 12 3.2 Keterkaitan Penyebab Isu dengan Kedudukan dan Peran PNS untuk Mendukung Terwujudnya Smart Governance 18 3.3 Alternatif Pemecahan Masalah sebagai Gagasan Kreatif 20 BAB IV RANCANGAN AKTUALISASI........................................................................................................ 23 4.1 Rancangan Aktualisasi Nilai-Nilai Dasar PNS ......................................................................... 23 4.2 Penjadwalan .......................................................................................................................... 37 4.3 Para Pihak yang Terlibat dan Perannya dalam Aktualisasi 37 BAB V PELAKSANAAN AKTUALISASI 39 5.1 Deskripsi Aktualisasi Nilai – Nilai Dasar PNS 39 5.2 Capaian Pelaksanaan Aktualisasi Nilai-Nilai Dasar CPNS 41 5.3 Evaluasi Pelaksanaan Aktualisasi........................................................................................... 57 5.4 Rencana Tindak Lanjut........................................................................................................... 59 BAB VI PENUTUP ................................................................................................................................... 60 Kesimpulan 60 Saran 60 DAFTAR PUSTAKA 61
v DAFTAR LAMPIRAN ............................................................................................................................... 62

DAFTAR LAMPIRAN

Lampiran 1 Sasaran Kinerja Pegawai (SKP) ....................................................................63

Lampiran 2 Lembar Pengesahan Rancangan Aktualisasi...................................................64

vi
vii
Tabel 3. 1 Hasil Analisis Menggunakan Teknik APKL........................................................15 Tabel 3. 2 Keterkaitan Isu dengan Peran PNS.................................................................18 Tabel 3. 3 Tahapan Kegiatan.........................................................................................20 Tabel 4. 1 Matriks Rancangan Aktualisasi.......................................................................23 Tabel 4. 2 Penjadwalan Kegiatan...................................................................................37 Tabel 4. 3 Para Pihak dan Perannya dalam Aktualisasi.....................................................37 Tabel 5. 1 Tahapan Kegiatan Aktualisasi ........................................................................39 Tabel 5. 2 Kegiatan Pelaksanaan Aktualisasi 41 Tabel 5. 3 Kegiatan 2 Pelaksanaan Aktualisasi ................................................................45 Tabel 5. 4 Kegiatan 3 Pelaksanaan Aktualisasi ................................................................49 Tabel 5. 5 Kegiatan 4 Pelaksanaan Aktualisasi 53 Tabel 5. 6 Rencana Tindak Lanjut..................................................................................59
DAFTAR TABEL

DAFTAR GAMBAR

Gambar 2. 1 Struktur Organisasi Poltekkes Kemenkes Jakarta III.......................................5

Gambar 2. 2 Foto Peserta.............................................................................................11

Gambar 3. 1 Sumber Biaya Permohonan Permintaan Dana Kegiatan.................................13

Gambar 3. 2 Rincian Anggaran Permohonan Permintaan Dana Kegiatan Tidak Mencantumkan

Kode Akun Anggaran Yang Akan Digunakan 13

Gambar 3. 3 PrintOutDaftar Penghasilan Gaji Pegawai ..................................................14

Gambar 3. 4 Diagram Fishbone.....................................................................................17

Gambar 5. 1 Tersedianya Jadwal Pertemuan ..................................................................42

Gambar 5. 2 Terpilihnya Isu dan Gagasan Kreatif Pemecahan Isu ....................................43

Gambar 5. 3 Terlaksananya Koordinasi Dengan Bagian Kepegawaian ...............................43

Gambar 5. 4 Pengumpulan Data Pendukung Untuk Pembuatan Draft Standar Operasional

Pembayaran Uang Lembur..............................................................................46

Gambar 5. 5 Pembuatan Draft Standar Operasional Prosedur Pembayaran Uang Lembur ...46

Gambar 5. 6 Kegiatan Meminta Saran Atas Draft Standar Operasional Prosedur Yang Telah

Gambar 5. 7 Catatan Masukan dan Saran Dari Rekan Kerja .............................................47

Gambar 5. 8 Pembahasan Standar Operasional Prosedur.................................................50

Gambar 5. 9 Catatan Perbaikan Hasil Diskusi..................................................................50

Gambar 5. 10 Penetapan Standar Operasional Oleh Atasan .............................................51

Gambar 5. 11 Penyerahan Standar Operasional Prosedur Kepada Kepala Pusat Penjaminan

Gambar 5. 12 Pembuatan Akun Google Drive dan Penguploadan Dokumen.......................55

Gambar 5. 13 Sosialisasi Standar Operasional Prosedur Kepada Pegawai Lain ...................55

Gambar 5. 14 Pembayaran Uang Lembur Sebelum Dilaksanakan nya Latsar......................57

Gambar 5. 15 Pembayaran Uang Lembur Terakhir Dalam Pelaksanaan Latsar ...................58

viii
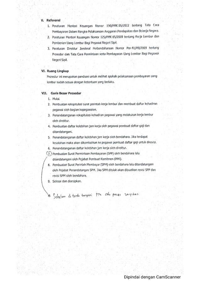
Prosedur
Dibuat.........................................................................................................................47
Mutu...........................................................................................................................54

BAB I PENDAHULUAN

1.1 Latar Belakang

Aparatur Sipil Negara (ASN) memiliki peran sebagai pemberi pelayanan publik, pelaksana kebijakan publik dan pemersatu bangsa. Penerapan nilai-nilai dasar ASN berAkhlak diperlukan sebagai upaya membangun ASN berkarakter dan profesional. Nilai dasar BerAKHLAK terdiri dari Berorientasi Pelayanan, Akuntabel, Kompeten, Harmonis, Loyal, Adaptif, dan Kolaboratif. Penerapan nilai BerAKHLAK pada pelatihan dasar ini memiliki tujuan untuk membangun calon ASN yang memiliki integritas, profesional, netral dan bebas dari intervensi politik, bersih dari praktik korupsi, kolusi, dan nepotisme, serta mampu menyelenggarakan pelayanan publik bagi masyarakat dan mampu menjalankan peran sebagai unsur perekat persatuan dan kesatuan bangsa berdasarkan Pancasila dan Undang-Undang Dasar Negara Republik Indonesia Tahun

1945 (Undang-Undang Nomor 5 Tahun 2014).

Pendidikan Pelatihan Dasar Calon Pegawai Negeri Sipil didasarkan pada Keputusan Kepala

LAN Nomor 13/K.1/PDP.07/2022 dan 14/K.1/PDP.07/2022 yaitu pendidikan dan pelatihan dalam masa prajabatan yang dilakukan secara terintegrasi untuk membangun integritas moral, kejujuran, semangat, motivasi nasionalisme dan kebangsaan, karakter kepribadian yang unggul dan bertanggung jawab, dan memperkuat profesionalisme serta kompetensi bidang.

Kompetensi diukur berdasarkan kemampuan menunjukkan sikap perilaku bela negara, mengaktualisasikan nilai dasar PNS dalam pelaksanaan tugas jabatannya, mengaktualisasikan

kedudukan dan peran PNS dalam kerangka Negara Kesatuan Republik Indonesia, dan menunjukkan penguasaan Kompetensi Teknis yang dibutuhkan sesuai dengan bidang tugas.

Poltekkes Kemenkes Jakarta III merupakan unit pelaksana teknis yang berada dibawah naungan Direktorat Jenderal Tenaga Kesehatan yang mempunyai fungsi untuk menyelenggarakan pendidikan tinggi bidang kesehatan. Dalam pelaksanaannya Poltekkes

Kemenkes Jakarta III berupaya untuk mewujudkan Smart Governance dalam pemberian pelayanan pendidikan kepada masyarakat. SmartGovernanceadalah tata kelola pemerintahan cerdas bertujuan untuk mewujudkan peningkatan kinerja pelayanan publik, kinerja birokrasi pemerintah, dan kinerja efisiensi kebijakan publik Untuk mewujudkan hal tersebut SDM yang dimiliki perlu ditingkatkan dan dijaga kinerjanya agar performa pegawai tidak menurun dikemudian hari. Salah satu cara mempertahankan kinerja pegawai yaitu dengan memberikan hak yang seharusnya didapatkan oleh pegawai. Hak pegawai tersebut salah satunya yaitu

pembayaran uang lembur. Jika pembayaran uang lembur dilakukan secara terjadwal, maka kinerja pegawai dapat dipertahankan bahkan dapat ditingkatkan. Pada Poltekkes Kemenekes

1

Jakarta III pembayaran uang lembur pegawai belum optimal karena tidak adanya jadwal pasti terkait pembayaran tersebut sehingga membuat pegawai bertanya-tanya kapan uang lembur mereka akan dibayarkan. Selain itu jika pembayaran uang lembur tidak terjadwal, pegawai menjadi sulit untuk mengatur keuangan mereka. Berdasarkan uraian diatas maka peserta mengusulkan judul “Optimalisasi Pembayaran Uang Lembur Dengan Pembuatan Standar Operasional Prosedur Pembayaran Uang Lembur Pegawai Di Lingkungan

Poltekkes Kemenkes Jakarta III Tahun 2022”

1.2 Tujuan

1.2.1

Tujuan Umum

Peserta pelatihan dasar CPNS melakukan kegiatan aktualisasi ini bertujuan menjadikan peserta latsar menjadi ASN BerAKHLAK dengan mengimplementasikan SmartASN dan Manajemen ASN demi terwujudnya SmartGovernancesesuai dengan satuan kerja dan jabatannya.

1.2.2

Tujuan Khusus

Peserta pelatihan dasar CPNS diharapkan mampu:

1. Mengidentifikasi berbagai isu yang ada di satuan kerja;

2. Melakukan penapisan dan analisa isu yang terjadi;

3. Membuat gagasan kreatif pemecahan isu dengan mengaitkan nilai ASN BerAKHLAK, Smart ASN, dan Manajemen melalui pembuatan Laporan Aktualisasi ini dengan pembuatan Standar Operasional Prosedur pembayaran uang lembur pegawai di lingkungan Poltekkes Kemenkes Jakarta III.

1.3 Manfaat

1.3.1 Manfaat Bagi Individu

1. Membantu peserta latsar dalam mengimplementasikan nilai dasar ASN dalam menjalankan peran dan tugasnya di lingkungan kerja;

2. Meningkatkan kompetensi peserta latsar pada tugas pokoknya sebagai tenaga kependidikan di lingkungan kerja.

1.3.2 Manfaat Bagi Organisasi

1. Memberikan ketentuan atau arahan terkait pembayaran uang lembur pegawai di lingkungan Poltekkes Kemenkes Jakarta III;

2. Meningkatkan efektifitas pembayaran uang lembur pegawai di lingkungan Poltekkes Kemenkes Jakarta III.

2

BAB II PROFIL INSTANSI

Gambaran Organisasi

2.1.1 Sejarah Poltekkes Kemenkes Jakarta III

Politeknik Kesehatan Kemenkes Jakarta III berdiri pada tanggal 16 April 2001

berdasarkan Keputusan Menteri Kesehatan dan Kesejahteraan Sosial RI nomor

298/MENKES-KESOS/SK/IV/2001 tentang Organisasi dan Tata Kerja Politeknik

Kesehatan. Saat ini Keputusan Menteri Kesehatan tersebut sudah diperbarui dengan

Peraturan Menteri Kesehatan RI Nomor: 1988/Menkes/PER/IX/2011 tanggal 27

September 2011 tentang Perubahan atas peraturan Menteri Kesehatan No.

890/Menkes/PER/VIII/2007 tentang Organisasi dan Tatakerja Politeknik Kesehatan. Poltekkes Kemenkes Jakarta III merupakan salah satu institusi pendidikan tinggi tenaga

kesehatan yang terdiri dari jurusan Analis Kesehatan, Kebidanan, Keperawatan, dan Fisioterapi yang bertujuan untuk menghasilkan tenaga Analis Kesehatan, Bidan, Perawat, dan Fisioterapi profesional pemula sebagai tenaga kesehatan.

2.1.2 Visi, Misi, dan Tujuan Poltekkes Kemenkes Jakarta III

1. Visi Poltekkes Kemenkes Jakarta III adalah "Menjadi Institusi Pendidikan Tinggi yang Unggul Berbasiskan IPTEK Kesehatan di Tingkat Asia Tenggara pada Tahun 2028"

2. Misi Poltekkes Kemenkes Jakarta III adalah sebagai berikut:

1) Menyelenggarakan pendidikan tinggi berbasis IPTEK, berbudaya dan berkarakter untuk menghasilkan tenaga kesehatan berkualitas;

2) Mengembangkan IPTEK terkini melalui penelitian dan pengabdian masyarakat yang berkesinambungan dalam upaya meningkatkan derajat kesehatan masyarakat;

3) Membangun jejaring kerja dengan pemangku kepentingan pada tingkat Nasional dan Internasional dalam pengembangan IPTEK kesehatan untuk menghadapi tantangan global;

4) Menguatkan tata kelola bidang akademik dan umum yang akuntabel, profesional dan transparan.

3. Tujuan Poltekkes Kemenkes Jakarta III berdasarkan Rencana Strategis (RENSTRA)

Tahun 2019 – 2023 adalah sebagai berikut:

1) Menjadikan Poltekkes Kemenkes Jakarta III sebagai institusi pendidikan tinggi kesehatan yang dapat menghasilkan lulusan yang berkualitas, terdidik dengan penguasaan IPTEK Kesehatan, berbudaya dan berkarakter;

3

2) Meningkatkan peran Poltekkes Jakarta III dalam penelitian yang berkesinambungan untuk mengembangkan IPTEK baru di bidang kesehatan;

3) Meningkatkan peran civitas akademika Poltekkes Jakarta III dalam memberdayakan potensi masyarakat dan membantu masyarakat agar mandiri untuk menolong dirinya sendiri dalam hidup sehat;

4) Meningkatkan kegiatan kerjasama dengan pemangku kepentingan dalam upaya peningkatan dan pengembangan proses pendidikan, penelitian dan pengabdian masyarakat.

4

2.1.3 Struktur Organisasi Poltekkes Kemenkes Jakarta III

Struktur

5
Organisasi Poltekkes Kemenkes Jakarta III adalah sebagai berikut: Gambar 2. 1 Struktur Organisasi Poltekkes Kemenkes Jakarta III

1. Direktur: Yupi Supartini, S.Kp, M.Sc

2. Wakil Direktur:

Wakil Direktur I : Sri Mulyati, S.Pd, M.Kes

Wakil Direktur II : Dr. Ni Made Riasmini, S.Kp, M.Kes, Sp.Kom

Wakil Direktur III : Bagya Mujianto, S.Pd, M.Kes

3. Penyelenggara Administrasi:

Kepala Bagian Administrasi Akademik dan Umum: Yandri Irawan, S.Kom, M.Pd

Kepala Sub Bagian Administrasi Akademik: Dwi Kartika Rahayuningtyas, S.Kep., M.Kep., Sp.Kep.M.B

Kepala Satuan Pemeriksa Internal: Endang Susmiati, SKM., MKM

Kepala Pusat Penelitian & Pengabdian Masyarakat: DR. Yudhia Fratidhina, SKM, M.Kes

Kepala Pusat Penjaminan Mutu: Sri Sukamti, S.Kp, MKM

Kepala Pusat Pengembangan Pendidikan: Ns. Paula Krisanty, S.Kep, MA

Kepala Unit IT: Sulistyo Asmoro Bangun, S.Kom, MKM

Kepala Unit Bahasa: Willa Follona, SST., M.Keb

Kepala Unit Perpustakaan: Haryanto, SIPI

Kepala Unit Laboratotium: Dewi Inderiati, S.Si, S.Pd, M.Biomed

6

2.2 Nilai-Nilai Organisasi

2.2.1 Nilai Poltekkes Kemenkes Jakarta III

Budaya kerja atau nilai yang dimiliki Poltekkes Kemenkes Jakarta III dan telah dilaksanakan oleh seluruh pegawai, mulai dari staf hingga ke tingkat pimpinan. Nilai yang dimiliki adalah BERADAB dengan akronim, penjelasaN, dan bentuk implementasinya adalah sebagai berikut:

1. Beriman dan bertaqwa kepada Tuhan Yang Maha Esa

Seluruh warga Poltekkes Kemenkes Jakarta III dalam penyelenggaraan proses pendidikan percaya dan meyakini adanya Tuhan Yang Maha Esa, ditunjukkan dengan menjalankan perintahNya dan menjauhi laranganNya.

2. Etika

Seluruh warga Poltekkes Kemenkes Jakarta III dalam penyelenggaraan proses pendidikan harus memiliki norma, nilai, kaidah, dan ukuran untuk mengatur cara bergaul/berhubungan dengan saling menghormati, menunjukkan sikap sopan santun, dan tata karma.

3. Rasional

Seluruh warga Poltekkes Kemenkes Jakarta III dalam penyelenggaraan proses pendidikan mampumenyelesaikan masalahnya dengan menggunakan kemampuan berpikir/akal daripada menggunakan batin dan perasaaannya serta memiliki sikap dalam menjalankan tugasnya berdasarkan pikiran dan pertimbangan yang logis dan cocok dengan akal manusia.

4. Amanah

Seluruh warga Poltekkes Kemenkes Jakarta III dalam penyelenggaraan proses pendidikan memiliki sifat yang mampu memelihara stabilitas rohaninya, tidak berkeluh kesah bila ditimpa kesusahan, tidak melampaui batas ketika mendapat kesenangan dalam melaksanakan tugas keagaman maupun kemanusiaan.

5. Dedikasi

Seluruh warga Poltekkes Kemenkes Jakarta III dalam penyelenggaraan proses pendidikan mampu mengorbankan tenaga, pikiran, dan waktu demi keberhasilan suatu usaha mencapai tujuan yang mulia.

6. Akuntabilitas dan Transparan

Seluruh warga Poltekkes Kemenkes Jakarta III dalam penyelenggaraan proses pendidikan harus dapat mempertanggungjawabkan secara ilmiah, terbuka dan senantiasa mengacu pada perkembangan keilmuan yang mutakhir dan dinamis,

7

berorientasi pada rasa saling percaya untuk terselenggaranya suasana akademik yang kondusif dan menjamin terwujudnya sinergisme.

7. Berkarakter

Seluruh warga Poltekkes Kemenkes Jakarta III dalam penyelenggaraan proses pendidikan memiliki watak, sifat, akhlak, tabiat, dan budi pekerti yang membedakannya antara seorang individu dengan individu yang lain.

2.2.2 Nilai Dasar ASN

Seorang ASN harus memiliki nilai-nilai dasar ASN agar dapat bekerja lebih professional, bermoral, bersih, beretika dan mempunyai wawasan global serta memiliki kompetensi yang tinggi. Surat Edaran Menteri Pendayagunaan Aparatur dan Reformasi Birokrasi Nomor 20 Tahun 2021 tanggal 26 Agustus 2021 telah ditetapkan ASN branding, yakni: Bangga Melayani Bangsa, dengan nilai-nilai dasar operasional BerAkhlak meliputi:

1. Berorientasi Pelayanan

Bahwa setiap ASN harus berkomitmen memberikan pelayanan prima demi kepuasan masyarakat. Perilaku Berorientasi Pelayanan yang semestinya dipahami dan dimplementasikan oleh setiap ASN di instansi tempatnya bertugas terdiri dari:

1) Memahami dan memenuhi kebutuhan masyarakat;

2) Ramah, cekatan, solutif dan dapat diandalkan;

3) Melakukan perbaikan tiada henti.

2. Akuntabel

Bahwa setiap ASN harus dapat bertanggungjawab atas kepercayaan yang diberikan.

Perilaku Akuntabel yang semestinya dipahami dan dimplementasikan oleh setiap

ASN di instansi tempatnya bertugas terdiri dari:

1) Melaksanaan tugas dengan jujur, bertanggung jawab, cermat, disiplin dan berintegritas tinggi;

2) Menggunakan kekayaan dan barang milik negara secara bertanggung jawab, efektif, dan efisien;

3) Tidak menyalahgunakan kewenangan jabatannya.

3. Kompeten

Bahwa setiap ASN harus dapat terus belajar dan mengembangkan kapabilitas.

Perilaku Kompeten yang semestinya dipahami dan dimplementasikan oleh setiap

ASN di instansi tempatnya bertugas terdiri dari:

1) Meningkatkan kompetensi diri untuk menjawab tantangan yang selalu berubah;

2) Membantu orang lain belajar;

3) Melaksanakan tugas dengan kualitas terbaik.

8

4. Harmonis

Bahwa setiap ASN harus dapat saling peduli dan menghargai perbedaan. Perilaku

Harmonis yang semestinya dipahami dan dimplementasikan oleh setiap ASN di instansi tempatnya bertugas terdiri dari:

1) Menghargai setiap orang apapun latar belakangnya;

2) Suka menolong orang lain;

3) Membangun lingkungan kerja yang kondusif.

5. Loyal

Bahwa setiap ASN harus berdedikasi dan mengutamakan kepentingan Bangsa dan Negara. Perilaku Loyal yang semestinya dipahami dan dimplementasikan oleh setiap

ASN di instansi tempatnya bertugas terdiri dari:

1) Memegang teguh ideologi Pancasila, Undang-Undang Dasar Negara Republik Indonesia tahun 1945, setia kepada Negara Kesatuan Republik Indonesia serta pemerintahan yang sah;

2) Menjaga nama baik sesama ASN, pimpinan, instansi, dan negara;

3) Menjaga rahasia jabatan dan negara.

6. Adaptif

Bahwa setiap ASN harus dapat terus berinovasi dan antusias dalam menggerakkan serta menghadapi perubahan. Perilaku Adaptif yang semestinya dipahami dan dimplementasikan oleh setiap ASN di instansi tempatnya bertugas terdiri dari:

1) Cepat menyesuaikan diri menghadapi perubahan;

2) Terus berinovasi dan mengembangkan kreativitas;

3) Bertindak proaktif.

7. Kolaboratif

Bahwa setiap ASN harus dapat membangun kerja sama yang sinergis. Perilaku Kolaboratif yang semestinya dipahami dan dimplementasikan oleh setiap ASN di instansi tempatnya bertugas terdiri dari:

1) Memberi kesempatan kepada berbagai pihak untuk berkontribusi;

2) Terbuka dalam bekerja sama untuk menghasilkan nilai tambah;

3) Menggerakkan pemanfaatan berbagai sumberdaya untuk tujuan bersama.

2.3 Tugas Organisasi

Politeknik Kesehatan (Poltekkes) Kemenkes Jakarta III merupakan salah satu pelaksana teknis di lingkungan Kementerian Kesehatan yang bertanggung jawab secara administrasi kepada Direktorat Jenderal Tenaga Kesahatan. Namun secara teknis akademik, Poltekkes

9

dibina Kementerian Pendidikan, Kebudayaan, Riset, dan Teknologi. Poltekkes Kemenkes

Jakarta III dalam melaksanakan tugasnya mengacu Peraturan Menteri Kesehatan RI Nomor:

38 tahun 2018 tentang Organisasi dan Tata Kerja Politeknik Kesehatan Lingkungan Badan

PPSDM KEMENKES. Tugas dan fungsi Poltekkes tercantum dalam bab III pasal 4 dan 5.

2.3.1 Tugas Poltekkes

Tugas Poltekkes yaitu:

1. Poltekkes mempunyai tugas melaksanakan penyelenggaraan Pendidikan Vokasi bidang Kesehatan;

2. Poltekkes sebagaimana dimaksud pada ayat (1) dapat menyelenggarakan Pendidikan Profesi setelah memenuhi persyaratan sesuai dengan ketentuan peraturan perundang-undangan.

2.3.2 Fungsi Poltekkes

Fungsi Poltekkes yaitu:

1. Penyusunan rencana, program, dan anggaran;

2. Pelaksanaan dan pengembangan Pendidikan Vokasi bidang kesehatan;

3. Pelaksanaan penelitian dalam rangka pengembangan ilmu pengetahuan dan teknologi;

4. Pelaksanaan pengabdian kepada masyarakat;

5. Pelaksanaan pembinaan sivitas akademika;

6. Pelaksanaan penjaminan mutu penyelenggaraan Pendidikan Vokasi bidang kesehatan;

7. Pelaksanaan kerja sama di bidang Pendidikan Vokasi bidang kesehatan;

8. Pengelolaan sistem, data, dan informasi;

9. Pelaksanaan urusan hubungan masyarakat;

10. Pemantauan, evaluasi, dan pelaporan di bidang Pendidikan Vokasi bidang kesehatan;

11. Pelaksanaan urusan ketatausahaan Poltekkes.

10

2.4 Uraian / Rincian Tugas Jabatan Peserta

2.4.1 Profile Peserta

Nama : Wahyu Eko Saputro

NIP : 199404032022031002

Tempat, Tanggal Lahir : Jakarta, 03 April 1994

Pendidikan : D-III Akuntansi

Jabatan : Pengelola Keuangan

Bagian : Kelompok Substansi Keuangan dan BMN

Instansi : Poltekkes Kemenkes Jakarta III

Peserta adalah seorang CPNS Kementerian Kesehatan Republik Indonesia Golongan II dengan tugas pokok sesuai Sasaran Kinerja Pegawai (SKP) Pengadministrasi Keuangan / Pengelola Keuangan adalah sebagai berikut:

1. Tersedianya dokumen SPBy/Permintaan uang kegiatan melalui UP (Uang Persediaan), TUP (Tambahan Uang Persediaan) dan LS (Langsung);

2. Terlaksananya penatausahaan pajak meliputi perhitungan, pemotongan dan memasukkan data secara online melalui aplikasi Kementerian Keuangan (SSE) atau secara manual SSP kemudian menyetorkannya ke bank;

3. Tersedianya dokumen pertanggungjawaban uang muka kerja sesuai dengan output dan akun masing-masing kegiatan;

4. Terlaksananya penghitungan uang pembayaran agar sesuai dengan jumlah pembayaran yang telah ditentukan;

5. Tersedianya dokumen belanja pegawai sesuai dengan prosedur dan ketentuan yang berlaku;

6. Tersedianya laporan pelaksanaan tugas sebagai pertangungjawaban kepada pimpinan;

7. Terlaksananya rekapitulasi transaksi yang telah dilakukan sepanjang jam kerja;

8. Tersedianya draft Surat Permintaan Pembayaran (SPP) untuk ditanda tangani PPK;

9. Terlaksananya penatausahaan bukti fisik pertanggungjawaban secara sistematis untuk kerapihan dokumentasi;

10. Terlaksananya tugas yang diberikan oleh pimpinan atau direktur.

11
Gambar 2. 2 Foto Peserta

3.1 Identifikasi dan Analisis Isu Aktual

3.1.1

Identifikasi Isu

Identifikasi isu dilakukan berdasarkan Sasaran Kinerja Pegawai (SKP) jabatan

Pengelola Keuangan dengan metode environmentalscanningpada Kelompok Substansi

Keuangan dan BMN Poltekkes Kemenkes Jakarta III. Berikut 3 isu yang dapat ditemukan adalah:

1. Belum optimalnya penetapan kode akun anggaran pada permohonan permintaan uang muka anggaran di lingkungan Poltekkes Kemenkes Jakarta III Tahun 2022;

2. Belum optimalnya printoutdaftar penghasilan gaji pegawai di lingkungan Poltekkes Kemenkes Jakarta III Tahun 2022;

3. Belum optimalnya pembayaran uang lembur pegawai di lingkungan Poltekkes Kemenkes Jakarta III Tahun 2022.

3.1.2 Deskripsi Isu

Penulis menentukan deskripsi isu dengan melakukanenviromentalscanningselama

3 (tiga) bulan, berikut ini deskripsi isu berdasarkan data dan fakta yang ditemukan antara lain:

1. Belum optimalnya penetapan kode akun anggaran pada permohonan permintaan uang muka anggaran di lingkungan Poltekkes Kemenkes

Jakarta III Tahun 2022

Berdasarkan Peraturan Menteri Keuangan Republik Indonesia Nomor

199/PMK.02/2021 Tentang Tata Cara Revisi Anggaran, pengertian Pagu Anggaran adalah alokasi anggaran yang ditetapkan dalam DIPA untuk mendanai belanja Pemerintah Pusat dan/ atau pembiayaan anggaran dalam APBN Tahun Anggaran berkenaan. Pada tahun anggaran berjalan, DIPA seringkali dilakukan revisi untuk efisiensi, penyesuaian dengan kondisi terkini, dll. Pelaksanaan penyerapan DIPA pada Poltekkes Kemenkes Jakarta III dilakukan dengan cara mengajukan proposal kegiatan, nota dinas, berkas pengadaan belanja modal, dll kepada bagian keuangan lalu verifikator akan memeriksa dan menentukan kode akun anggaran yang akan digunakan. Namun dalam pelaksanaannya, pada pengajuan permohonan uang muka anggaran seringkali salah akun sehingga verifikator harus mengubah dan

12
BAB III ANALISIS ISU DALAM PELAKSANAAN TUGAS DAN FUNGSI

konfirmasi terlebih dahulu kepada pemohon yang mengakibatkan memakan lebih banyak waktu untuk diproses pencairan dana.

Gambar 3. 1 Sumber Biaya Permohonan Permintaan Dana Kegiatan

Gambar 3. 2 Rincian Anggaran Permohonan Permintaan Dana Kegiatan

Tidak Mencantumkan Kode Akun Anggaran Yang Akan Digunakan

2. Belumoptimalnyaprintoutdaftarpenghasilan gajipegawaidilingkungan

Poltekkes Kemenkes Jakarta III Tahun 2022

Dalam (Detik Finance, 2022) Daftar penghasilan gaji pegawai / slip gaji merupakan dokumen yang berisi rincian pendapatan seseorang yang diperoleh dari perusahaan/badan usaha/organisasi tertentu. Biasanya slip gaji ini juga akan memasukkan rincian tunjangan, bonus, dan lainnya. Print out penghasilan gaji pegawai diperlukan pegawai sebagai syarat administrasi untuk keperluan tertentu. Memberikan print out daftar penghasilan gaji merupakan bentuk salah satu pelayanan kepada pegawai. Oleh karena itu jika pegawai meminta untuk dibuatkan daftar penghasilan gaji, kita harus siap untuk membuatkannya. Namun di Poltekkes

Kemenkes Jakarta III, print out daftar penghasilan pegawai masih memakai kop surat dengan format Badan Pengembangan dan Pemberdayaan Sumber Daya

Manusia yang saat ini berubah menjadi Direktorat Jenderal Tenaga Kesehatan. Lalu untuk bagian penandatangan Pejabat Pengelolaan Administrasi Belanja Pegawai

13

juga tidak rapih dengan tidak adanya nama dan NIP yang tercantum. Jika masalah ini tidak diatasi, saat pembuatan daftar penghasilan gaji pegawai akan memakan waktu lebih lama karena harus mengedit file nya terlebih dahulu. Jika pegawai membutuhkan daftar penghasilan gaji dengan segera, hal tersebut kemungkinan akan tertunda. Selain itu, jika permalahan ini tidak diatasi, format daftar penghasilan gaji pegawai akan tidak sesuai dibandingkan daftar penghasilan gaji yang dikeluarkan oleh Kementerian Kesehatan.

3. Belum optimalnya pembayaran uang lembur pegawai di lingkungan

Poltekkes Kemenkes Jakarta III Tahun 2022

Upah lembur merupakan salah satu komponen dalam belanja pegawai. Dalam website Kemenkeu, belanja pegawai adalah kompensasi dalam bentuk uang maupun barang yang diberikan kepada pegawai negeri, pejabat negara, dan

14
Gambar 3. 3 PrintOutDaftar Penghasilan Gaji Pegawai

pensiunan serta pegawai honorer yang akan diangkat sebagai pegawai lingkup

pemerintahan baik sebagai imbalan atas pekerjaan yang telah dilaksanakan dalam rangka mendukung tugas dan fungsi unit organisasi pemerintah. Berdasarkan PP

Nomor 36 Tahun 2021 Tentang Pengupahan, Upah kerja lembur / uang lembur

wajib dibayar oleh pengusaha yang memperkerjakan pekerja/buruh melebihi waktu kerja, pada istirahat mingguan, atau pada hari libur resmi sebagai kompensasi kepada pekerja/buruh yang bersangkutan sesuai dengan ketentuan peraturan perundang-undangan. Uang lembur merupakan hak setiap pegawai yang pada bulan sebelumnya mengalami kelebihan jam kerja / lembur. Namun pada pelaksanaannya di Poltekkes Kemenkes Jakarta III, pembayaran uang lembur dibayarkan dengan jadwal yang tidak tentu. Hingga akhir Juni 2022, pembayaran uang lembur yang dilakukan Poltekkes Kemenkes Jakarta III hanya terjadi di bulan April dan Juni saja, dengan penyerapan anggaran sebesar 49,78% dan nilai proyeksi anggaran sebesar 124,36%. Terdapat delay beberapa bulan untuk pembayaran uang lembur tersebut. Kalau hal ini terus terjadi, ditakutkan akan berakibat pada menurunnya kinerja pegawai karena tidak adanya kepastian terkait kapan jadwal pembayaran uang lembur tersebut dibayarkan dengan mempertimbangkan kondisi keuangan pegawai yang pastinya berbeda-beda.

3.1.3

Berdasarkan hasil identifikasi isu di Instansi Poltekkes Kemenkes Jakarta III, diperoleh 3 yang telah dijelaskan diatas. Seluruh isu tersebut kemudian dilakukan penapisan menggunakan analisis APKL (Aktual, Problematik, Kekhalayakan dan Kelayakan) untuk menentukan isu yang paling prioritas. Hasil skoring penapisan tersebut ditunjukkan oleh tabel 3.1 di bawah ini:

1. Belum optimalnya penetapan kode akun anggaran pada permohonan permintaan uang muka anggaran di lingkungan Poltekkes

Kemenkes Jakarta III Tahun

15
Analisis Isu
No Isu A P K L Jumlah Prioritas
Tabel 3. 1 Hasil Analisis Menggunakan Teknik APKL
2022 4 3 5 4 16 3

2 Belum optimalnya printout

daftar penghasilan gaji

pegawai di lingkungan

Poltekkes Kemenkes Jakarta

III Tahun 2022

3 Belum optimalnya

pembayaran uang lembur

pegawai di lingkungan

Poltekkes Kemenkes Jakarta

III Tahun 2022

Keterangan:

5 5 3 4 17 2

5 4 5 4 18 1

5 : Sangat kuat pengaruhnya A : Aktual

4 : Kuat pengaruhnya P : Problematik

3 : Sedang pengaruhnya K : Kekhalayakan

2 : Kurang pengaruhnya L : Layak

1 : Sedikit pengaruhnya

Setelah dilakukan penapisan isu dengan metode APKL, maka didapatkan isu yang menjadi prioritas dengan jumlah APKL yaitu Belum optimalnya pembayaran uang lembur pegawai di lingkungan Poltekkes Kemenkes Jakarta III Tahun 2022.

Pemilihan isu utama ini bertujuan untuk mempertahankan bahkan meningkatkan kinerja pegawai dengan memberikan hak yang seharusnya mereka dapatkan salah satunya yaitu pembayaran uang lembur secara terjadwal. Dengan terjadwalnya pembayaran uang lembur, maka pegawai tidak perlu khawatir mengenai kapan pembayaran uang lembur dilakukan. Hal ini juga memudahkan pegawai untuk mengatur keuangan jika sumber pemasukan mereka sudah terjadwal.

Setelah didapatkan prioritas isu maka selanjutnya yaitu menganalisa penyebab dan dampak dengan metode fishbone. Metode fishbone yang digunakan adalah 4S (Suppliers,Systems,SurroundingsandSkills). Hasil analisa fishboneditunjukkan oleh gambar 3.4 dibawah ini

16

Surroundings System

Banyaknya mesin absensi Mesin belum terintegrasi

Belum adanya backup

Pegawai melaksanakan perjalanan dinas

Masih terdapatnya posisi jabatan yang diisi oleh pegawai dengan

latar belakang pendidikan yang berbeda

Fasilitas belum mendukung

Rekap kelebihan jam kerja belum terdigitalisasi

Belum adanya Standar

Operasional Prosedur (SOP)

Belum optimalnya pembayaran uang

lembur pegawai di lingkungan Poltekkes

Masih terdapat double job

Kurangnya pemahaman

Belum terfokusnya pekerjaan yang dilakukan pegawai

Terbatasnya SDM yang mengerti IT

Kurangnya

pelatihan

Kurangnya rekrutmen

Jumlah SDM kurang memadai

Kemenkes Jakarta

III Tahun 2022

Skills

Suppliers

17
Gambar 3. 4 Diagram Fishbone

3.2 Keterkaitan Penyebab Isu dengan Kedudukan dan Peran PNS untuk Mendukung Terwujudnya SmartGovernance

Tabel 3. 2 Keterkaitan Isu dengan Peran PNS

No Isu Keterkaitan dengan Peran PNS

1. Belum optimalnya penetapan

kode akun anggaran pada

permohonan permintaan uang

muka anggaran di lingkungan

Poltekkes Kemenkes Jakarta III

Tahun 2022

Peserta latsar merupakan tenaga

kependidikan yang mempunyai tugas

melakukan administrasi, pengembangan, pengawasan, pengelolaan, dan pelayanan

teknis guna menunjang proses pendidikan

terhadap satuan pendidikan.

Manajemen ASN

Pencantuman kode akun yang benar akan

mempermudah verifikator untuk memproses

dokumen permohonan permintaan dana agar

pencairan dana pun cepat dilaksanakan oleh

bendahara. Hal tersebut merupakan

implementasi Manajemen ASN terkait

penilaian kinerja. Jika pencairan dana cepat

dilaksanakan maka penyerapan anggaran pun juga akan cepat terpenuhi.

SmartASN

Saat memeriksa kode akun anggaran pada permohonan permintaan dana, ASN tidak

kesulitan untuk menemukan akun tersebut

dengan memanfaatkan fitur yang terdapat

dalam komputer / aplikasi yang digunakan.

2. Belum optimalnyaprintoutdaftar

penghasilan gaji pegawai di lingkungan Poltekkes Kemenkes

Jakarta III Tahun 2022

Peserta latsar merupakan tenaga

kependidikan yang mempunyai tugas

melakukan administrasi, pengembangan, pengawasan, pengelolaan, dan pelayanan

teknis guna menunjang proses pendidikan

terhadap satuan pendidikan.

Manajemen ASN

18

3. Belum optimalnya pembayaran

uang lembur pegawai di lingkungan Poltekkes Kemenkes

Jakarta III Tahun 2022

Dalam melaksanakan tugas pembuatan daftar

penghasilan gaji pegawai dilakukan dengan

jujur, bertanggungjawab dan berintegritas tinggi dengan memasukkan

nilai yang sebenarnya. Hal tersebut

merupakan kode etik dan kode perilaku ASN

dalam manajemen ASN.

SmartASN

Hasilprintoutdaftar penghasilan gaji pegawai

yang benar yaitu menyesuaikan dengan

format yang dikeluarkan oleh Kementerian

Kesehatan sehingga tampilannya akan

seragam di seluruh instansi dibawah naungan

Kementerian Kesehatan. Implementasi Smart

ASN yaitu sebagai ASN kita dituntut untuk

dapat beradaptasi dengan

perkembangan teknologi yang ada saat

ini sehingga dapat mengatasi permasalahan

yang terjadi pada hasil print out daftar

penghasilan gaji pegawai yang kurang rapih tersebut.

Peserta latsar merupakan tenaga

kependidikan yang mempunyai tugas

melakukan administrasi, pengembangan, pengawasan, pengelolaan, dan pelayanan

teknis guna menunjang proses pendidikan terhadap satuan pendidikan.

Manajemen ASN

Pembayaran uang lembur merupakan hak

pegawai yang harus dibayarkan. Sayangnya

untuk jadwal pembayaran uang lembur masih

tidak terjadwal, oleh karena itu permasalahan

ini harus segera terselesaikan agar pemberian

hak pegawai dapat dilaksanakan dengan

19

optimal. Hal tersebut merupakan impelentasi

Manajemen ASN terkait pemberian hakASN

agar pembayaran uang lembur pegawai dapat dilakukan secara terjadwal.

SmartASN

Saat akan melakukan pembayaran uang lembur, pemrosesan dilakukan menggunakan

aplikasi GPP. Penggunaan aplikasi GPP

menandakan bahwa ASN melek akan teknologi sebagai bentuk implementasi

SmartASN.

3.3 Alternatif Pemecahan Masalah sebagai Gagasan Kreatif

Berdasarkan penyebab analisis diatas maka gagasan kreatif yang akan dilakukan yaitu “

Optimalisasi Pembayaran Uang Lembur Dengan Pembuatan Standar Operasional Prosedur Pembayaran Uang Lembur Pegawai di Lingkungan Poltekkes Kemenkes

Jakarta III”

Tahapan kegiatan yang akan dilakukan mendukung gagasan kreatif diatas adalah

ditunjukkan pada tabel 3.3 dibawah ini

Tabel 3. 3 Tahapan Kegiatan

1. Persiapan dan penyampaian gagasan serta konsultasi kepada pihak yang terkait

1. Melakukan komunikasi penentuan jadwal dengan atasan.

2. Melakukan konsultasi kepada atasan terkait isu yang dipilih dan gagasan kreatif yang akan dilakukan.

3. Melakukan koordinasi dengan bagian kepegawaian khususnya kepegawaian perekaman jam lembur.

20
No Kegiatan Tahapan Kegiatan

2. Pembuatan rancangan / draft Standar Operasional Prosedur pembayaran uang lembur pegawai

1. Melakukan pengumpulan data pendukung dari bagian keuangan dan bagian kepegawaian untuk pembuatan Standar Operasional

Prosedur pembayaran uang lembur pegawai

2. Melakukan pengetikan draft Standar Operasional Prosedur pembayaran uang lembur pegawai.

3. Melakukan pengecekan dan meminta saran kepada rekan kerja sebelum pembahasan dengan atasan

3. Pembahasan dan penetapan Standar Operasional Prosedur pembayaran uang lembur pegawai

1. Melaksanakan diskusi pembahasan rancangan Standar Operasional

Prosedur pembayaran uang lembur pegawai bersama atasan, bagian keuangan dan bagian kepegawaian.

2. Melaksanakan revisi atau perbaikan dari hasil diskusi yang telah dilakukan.

3. Memutuskan penetapan Standar

Operasional Prosedur pembayaran uang lembur pegawai.

4. Pengarsipan berbasis fisik dan digital serta sosialisasi Standar Opearasional Prosedur kepada pegawai lain

1. Melakukan pengarsipan Standar

Operasional Prosedur uang lembur

pegawai yang telah disetujui berupa scandan menyerahkan dokumen asli

kepada pusat penjaminan mutu.

21

2. Melakukan pembuatan akun google drive untuk pengarsipan berbasis digital dan melakukan upload dokumen.

3. Mensosialisasikan dokumen Standar Operasional Prosedur kepada pegawai lain.

URAIAN/RINCIAN TUGAS JABATAN PESERTA

22

BAB IV

RANCANGAN AKTUALISASI

4.1 Rancangan Aktualisasi Nilai-Nilai Dasar PNS

Unit Kerja : Kelompok Substansi Keuangan dan BMN Poltekkes Kemenkes Jakarta III

Isu Yang Diangkat : Belum optimalnya pembayaran uang lembur pegawai di lingkungan Poltekkes Kemenkes Jakarta III

Gagasan Pemecahan Isu : Optimalisasi Pembayaran Uang Lembur Dengan Pembuatan Standar Operasional Prosedur

Pembayaran Uang Lembur Pegawai Di Lingkungan Poltekkes Kemenkes Jakarta III

Tujuan Gagasan Pemecahan Isu : Terjadwalnya pembayaran uang lembur pegawai di lingkungan Poltekkes Kemenkes Jakarta III

Tabel 4. 1 Matriks Rancangan Aktualisasi

No Kegiatan Tahapan Kegiatan Output / Evidence Keterkaitan Substansi

1 Persiapan dan penyampaian gagasan serta

konsultasi

kepada pihak yang terkait

1. Melakukan komunikasi penentuan jadwal dengan atasan.

Mata Pelatihan Kontribusi Terhadap

Visi dan Misi Penguatan Nilai Organisasi

2. Melakukan konsultasi kepada atasan terkait

Tersedianya jadwal pertemuan Terpilihnya isu dan gagasan

Bersikap ramah saat

berkonsultasi dengan

atasan (Berorientasi

Pelayanan)

Sesuai dengan Misi

menguatkan tata

kelola bidang

akademik dan umum

yang akuntabel,

Sesuai dengan nilai

Etika

Memiliki norma, nilai, kaidah dan ukuran untuk mengatur cara bergaul/berhubungan

23

isu yang dipilih dan

gagasan kreatif yang

akan dilakukan.

kreatif

pemecahan isu

Menetapkan isu dan

gagasan kreatif

dengan cermat

profesional dan

transparan.

dengan saling

menghormati, menunjukan

dengan bagian

kepegawaian

khususnya

kepegawaian

perekaman jam

lembur.

Catatan hasil

konsultasi

dengan atasan

(Akuntabel)

Terlaksananya

koordinasi

dengan bagian

kepegawaian

Berkonsultasi dengan

atasan sebagai

bentuk salah satu

kegiatan untuk

meningkatkan

kompetensi diri

(Kompeten)

sikap sopan santun, dan tata karma. Dedikasi

Bersedia mengorbankan

tenaga, pikiran, dan waktu

demi keberhasilan suatu usaha mencapai tujuan

yang mulia.

Foto kegiatan

Menghargai

masukkan dan saran

yang diberikan oleh

mentor (Harmonis)

Akuntabilitas dan

Transparan

Mempertanggungjawabkan

secara ilmiah, terbuka dan

senantiasa mengacu pada

perkembangan keilmuan

yang mutakhir dan

24
3. Melakukan koordinasi

Membuat analisis isu

dan gagasan kreatif

sesuai dengan

ketentuan dan

ketetapan yang

berlaku (Loyal)

dinamis, berorientasi pada

rasa saling percaya untuk

terselenggaranya suasana

akademik yang kondusif

dan menjamin

terwujudnya sinergisme.

Bersikap proaktif

menghubungi atasan

untuk berkonsultasi

(Adaptif)

Dalam kegiatan

konsultasi dengan

atasan terjalin

komunikasi dan

diskusi guna

menghasilkan nilai

25

2. Pembuatan

rancangan / draft Standar

Operasional

Prosedur

pembayaran

uang lembur

pegawai

1. Melakukan pengumpulan data

pendukung dari

bagian keuangan dan

bagian kepegawaian

untuk pembuatan

Standar Operasional

Prosedur pembayaran

uang lembur pegawai.

Tersedianya

data pendukung

untuk

pembuatan draft

Standar

Operasional

Prosedur pembayaran

uang lembur

pegawai

tambah

(Kolaboratif)

Memperbaiki draft

jika dirasa terdapat

kesalahan

(Berorientasi

Pelayanan)

Sesuai dengan Misi

menguatkan tata

kelola bidang

akademik dan umum

yang akuntabel, profesional dan

Sesuai dengan nilai

Etika

Memiliki norma, nilai, kaidah dan ukuran untuk

mengatur cara

bergaul/berhubungan

2. Melakukan pengetikan

draft Standar Operasional Prosedur

pembayaran uang

lembur pegawai.

Tersedianya

hasil printout

draft Standar

Operasional

Prosedur

pembayaran

Menggunakan kertas

bekas saat printout

draft Standar

Operasional Prosedur

pembayaran uang

lembur pegawai

untuk menghemat

penggunaan kertas

(Akuntabel)

transparan.

dengan saling

menghormati, menunjukan

sikap sopan santun, dan tata karma. Dedikasi

Bersedia mengorbankan

tenaga, pikiran, dan waktu

demi keberhasilan suatu

usaha mencapai tujuan yang mulia.

26

pengecekan dan

meminta saran

kepada rekan kerja

sebelum pembahasan

dengan atasan.

uang lembur

pegawai Catatan atas

masukan dan

saran dari rekan

kerja Foto kegiatan

Membuat draft

Standar Operasional

Prosedur pembayaran

uang lembur pegawai

dengan kualitas

terbaik agar minimal

akan kesalahan

(Kompeten)

Akuntabilitas dan

Transparan

Mempertanggungjawabkan

secara ilmiah, terbuka dan

senantiasa mengacu pada

perkembangan keilmuan yang mutakhir dan

dinamis, berorientasi pada

Menjadikan kegiatan

meminta saran

kepada rekan kerja

sebagai bentuk untuk

mempererat

hubungan dilinkungan

kerja (Harmonis)

rasa saling percaya untuk

terselenggaranya suasana

akademik yang kondusif

dan menjamin terwujudnya sinergisme.

Pembuatan draft

dilakukan dengan

27
3. Melakukan

mempertimbangkan

peraturan dan

ketentuan yang

berlaku (Loyal)

Menerapkan inovasi

dan kreatifitas dalam

pembuatan draft

Standar Operasional

Prosedur pembayaran

uang lembur pegawai

(Adaptif) Saat draft Standar

Operasional Prosedur

pembayaran uang

lembur pegawai

sudah selesai

menunjukkannya

28

3. Pembahasan dan penetapan Standar

Operasional Prosedur

pembayaran uang lembur

pegawai

1. Melaksanakan diskusi

pembahasan

rancangan Standar

Operasional Prosedur

pembayaran uang

lembur pegawai

bersama atasan, bagian keuangan dan

bagian kepegawaian.

2. Melaksanakan revisi

atau perbaikan dari

hasil diskusi yang

telah dilakukan.

Catatan

perbaikan hasil

diskusi dengan

atasan, bagian

keuangan dan bagian

kepegawaian

kepada rekan kerja

untuk meminta

masukan dan saran

(Kolaboratif)

Bersikap ramah

kepada atasan dan

pihak lain saat

melakukan diskusi

pembahasan

rancangan Standar

Operasional Prosedur

pembayaran uang

Sesuai dengan Misi

menguatkan tata

kelola bidang

akademik dan umum

yang akuntabel, profesional dan

transparan.

Sesuai dengan nilai

Etika

Memiliki norma, nilai, kaidah dan ukuran untuk

mengatur cara

bergaul/berhubungan

dengan saling

menghormati, menunjukan

Terlaksananya

revisi atas hasil

diskusi dengan

atasan, bagian

keuangan dan

bagian

kepegawaian

lembur pegawai

(Berorientasi

Pelayanan)

sikap sopan santun, dan tata karma.

Membuat Standar

Operasional Prosedur

pembayaran uang

Dedikasi

Bersedia mengorbankan

tenaga, pikiran, dan waktu

demi keberhasilan suatu

29

3. Memutuskan

penetapan Standar

Operasional Prosedur

pembayaran uang

lembur pegawai.

Terlaksananya

penandatangana

n penetapan / pengesahan

Standar

Operasional

Prosedur

pembayaran

uang lembur

pegawai Foto kegiatan

lembur pegawai

secara

bertanggungjawab, cermat, dan disiplin

(Akuntabel)

usaha mencapai tujuan

yang mulia.

Menjadikan kegiatan

pembahasan Standar

Operasional Prosedur

pembayaran uang

lembur pegawai

sebagai bentuk untuk

meningkatkan

kompetensi diri

(Kompeten)

Akuntabilitas dan

Transparan

Mempertanggungjawabkan

secara ilmiah, terbuka dan senantiasa mengacu pada

perkembangan keilmuan yang mutakhir dan

dinamis, berorientasi pada rasa saling percaya untuk

terselenggaranya suasana

akademik yang kondusif

dan menjamin

terwujudnya sinergisme.

Menghargai pendapat

atasan dan pihak lain

yang memberikan

30

masukan dan saran

tanpa membeda-

bedakan apapun

jabatannya

(Harmonis)

Penetapan dan

penetapan Standar

Operasional Prosedur

didasarkan kepada

peraturan dan

ketentuan yang

berlaku

(Loyal)

Cepat menyesuaikan

diri saat ada revisi

pada Standar

31

4. Pengarsipan berbasis fisik dan digital

serta sosialisasi Standar

Opearasional Prosedur

1. Melakukan pengarsipan Standar

Operasional Prosedur

uang lembur pegawai

yang telah disetujui

berupa scandan

menyerahkan

Operasional Prosedur

sebelum diputuskan

(Adaptif)

Dapat berkerja sama

dengan atasan dan

pihak lain guna

menghasilkan nilai

tambah pada hasil

akhir Standar

Operasional Prosedur

(Kolaboratif)

Terlaksananya

penyerahan

dokumen

kepada pusat

penjaminan

mutu

Bersikap ramah

kepada pegawai lain

saat menyerahkan

dokumen Standar

Operasional Prosedur

(Berorientasi

Pelayanan)

Sesuai dengan Misi menguatkan tata

kelola bidang

akademik dan umum

yang akuntabel, profesional dan transparan.

Sesuai dengan nilai

Etika

Memiliki norma, nilai, kaidah dan ukuran untuk

mengatur cara

bergaul/berhubungan

dengan saling

32

kepada

pegawai lain

dokumen asli kepada

pusat penjaminan

mutu.

2. Melakukan pembuatan

akun google drive

untuk pengarsipan

berbasis digital dan

melakukan upload

dokumen.

3. Mensosialisasikan

dokumen Standar

Operasional Prosedur

kepada pegawai lain.

Dokumen Standar

Operasional Prosedur

terarsipkan baik

secara fisik

maupun digital

Menggunakan printer

untuk scansecara

bertanggung jawab

dan memperbanyak

dokumen Standar

Operasional Prosedur

pembayaran uang

menghormati, menunjukan

sikap sopan santun, dan

tata karma.

Dedikasi

Bersedia mengorbankan

tenaga, pikiran, dan waktu

demi keberhasilan suatu

Terlaksananya

sosialisasi

kepada pegawai

lain Foto kegiatan

lembur seperlunya

untuk menghemat

kertas (Akuntabel)

usaha mencapai tujuan

yang mulia.

Membantu pegawai

lain yang kurang

memahami saat

penyampaian Standar

Operasional Prosedur

pembayaran uang

lembur (Kompeten)

Akuntabilitas dan

Transparan

Mempertanggungjawabkan

secara ilmiah, terbuka dan

senantiasa mengacu pada

perkembangan keilmuan

yang mutakhir dan

dinamis, berorientasi pada

33

Penyerahan Standar

Operasional Prosedur

pembayaran uang

lembur sebagai

bentuk untuk

menciptakan

lingkungan kerja yang

kondusif kedepannya

dengan adanya

peraturan yang jelas

terhadap pembayaran

uang lembur

(Harmonis)

rasa saling percaya untuk

terselenggaranya suasana

akademik yang kondusif

dan menjamin

terwujudnya sinergisme.

Tidak

menyebarluaskan

dokumen Standar

Operasional Prosedur

34

pembayaran uang

lembur kepada pihak-

pihak yang tidak

berkepentingan

(Loyal)

Melakukan

pengarsipan

Penyerahan Standar

Operasional Prosedur

pembayaran uang

lembur tidak hanyak

berbasis fisik namun

juga berbais digital

(Adaptif)

Bekerja sama dengan

pusat penjaminan

mutu untuk

35
36
pengarsipan berbasik fisik (Kolaboratif)

4.2 Penjadwalan

Tabel 4. 2 Penjadwalan Kegiatan

1. Persiapan dan penyampaian gagasan serta konsultasi kepada pihak yang terkait

2. Pembuatan rancangan / draft Standar Operasional Prosedur pembayaran uang lembur pegawai

3. Pembahasan dan penetapan Standar Operasional Prosedur pembayaran uang lembur pegawai

4. Pengarsipan berbasis fisik dan digital serta sosialisasi Standar Operasional Prosedur kepada pegawai lain

4.3 Para Pihak yang Terlibat dan Perannya dalam Aktualisasi

Tabel 4. 3 Para Pihak dan Perannya dalam Aktualisasi

1. Mentor Memberikan masukan dan saran dalam pembuatan Standar Operasional Prosedur pembayaran uang lembur.

Memberikan arahan dan solusi dalam pengambilan keputusan.

2. Coach Memberikan bimbingan dan pengarahan selama proses pembelajaran, rancangan aktualisasi dan pelaksanaan aktualisasi.

37
No Kegiatan
Kegiatan
Pelaksanaan
Agustus September 2 3 4 1 2
No Pihak Peran

Memberikan motivasi dan dukungan dalam proses pembelajaran, rancangan aktualisasi dan pelaksanaan aktualisasi.

3. Bagian Keuangan Melakukan koordinasi dan memberikan masukan serta saran dalam pembuatan Standar Operasional Prosedur pembayaran uang lembur.

Ikut serta dalam pengimplementasian Standar Operasional Prosedur pembayaran uang lembur.

4. Bagian Kepegawaian Melakukan koordinasi dan memberikan masukan serta saran dalam pembuatan Standar Operasional Prosedur pembayaran uang lembur.

Ikut serta dalam pengimplementasian Standar Operasional Prosedur pembayaran uang lembur

5. Jajaran Manajemen Memberikan masukan dan saran saat pembahasan akhir Standar Operasional Prosedur pembayaran uang lembur.

Menetapkan / mengesahkan Standar Operasional Prosedur pembayaran uang lembur akhir yang disetujui.

6. Pusat Penjaminan Mutu Berkoordinasi untuk penyimpanan berbasis fisik dokumen Standar Operasional Prosedur pembayaran uang lembur yang telah disetujui jajaran manajemen.

7. Satuan Pengawas Internal Membantu mengawasi berjalannya pengimplementasian Standar Operasional Prosedur pembayaran uang lembur

8 Bagian IT Koordinasi untuk pengaplikasian runningtext sosialisasi Standar Operasional Prosedur

38

1

5.1 Deskripsi Aktualisasi Nilai – Nilai Dasar PNS

Proses aktualisasi nilai-nilai dasar PNS BerAKHLAK, Manajemen ASN dan SMART ASN pada profesi Pengelola Keuangan Poltekkes Kemenkes Jakarta III terdiri dari 4 kegiatan. Nilai dasar PNS BerAKHLAK merupakan landasan bagi penulis dalam menyelesaikan tugas dan menerapkan peran, fungsi, serta kedudukan PNS di satuan kerja. Kegiatan yang telah dilaksanakan adalah sebagai berikut:

Tabel 5. 1 Tahapan Kegiatan Aktualisasi

1. Melakukan komunikasi penentuan jadwal dengan atasan.

Persiapan dan penyampaian gagasan serta konsultasi kepada pihak yang terkait

2. Melakukan konsultasi kepada atasan terkait isu yang dipilih dan gagasan kreatif yang akan dilakukan.

3. Melakukan koordinasi dengan bagian kepegawaian khususnya kepegawaian perekaman jam lembur.

8 – 12 Agustus 2022 Terlaksana

2

Pembuatan rancangan / draft Standar Operasional Prosedur pembayaran uang lembur pegawai

1. Melakukan pengumpulan data pendukung dari bagian keuangan dan bagian kepegawaian untuk pembuatan Standar Operasional Prosedur pembayaran uang lembur pegawai.

12 – 26 Agustus 2022 Terlaksana

39
BAB V PELAKSANAAN AKTUALISASI
NO KEGIATAN TAHAPAN KEGIATAN WAKTU PELAKSANAAN STATUS REALISASI

3

Pembahasan dan penetapan Standar Operasional Prosedur pembayaran uang lembur pegawai

2. Melakukan pengetikan draft Standar Operasional Prosedur pembayaran uang lembur pegawai.

3. Melakukan pengecekan dan meminta saran kepada rekan kerja sebelum pembahasan dengan atasan.

1. Melaksanakan diskusi pembahasan rancangan Standar Operasional Prosedur pembayaran uang lembur pegawai bersama atasan, bagian keuangan dan bagian kepegawaian.

2. Melaksanakan revisi atau perbaikan dari hasil diskusi yang telah dilakukan.

3. Memutuskan penetapan Standar Operasional Prosedur pembayaran uang lembur pegawai.

29 Agustus – 05 September 2022

Terlaksana

4

Pengarsipan berbasis fisik dan digital serta sosialisasi Standar Operasional Prosedur kepada pegawai lain

1. Melakukan pengarsipan Standar Operasional Prosedur uang lembur pegawai yang telah disetujui berupa scandan menyerahkan dokumen asli kepada pusat penjaminan mutu.

06 – 12 September 2022

Terlaksana

40

2. Melakukan pembuatan akun google drive untuk pengarsipan berbasis digital dan melakukan uploaddokumen.

3. Mensosialisasikan dokumen Standar Operasional Prosedur kepada pegawai lain.

5.2 Capaian Pelaksanaan Aktualisasi Nilai-Nilai Dasar CPNS

5.2.1 Kegiatan 1 Pelaksanaan Aktualisasi

Tabel 5. 2 Kegiatan Pelaksanaan Aktualisasi

Nama Kegiatan Persiapan dan penyampaian gagasan serta konsultasi kepada pihak yang terkait

Sumber Sasaran Kinerja Pegawai

Tanggal Kegiatan 8 – 12 Agustus 2022

Tahapan kegiatan dan capaian pelaksanaan

1. Melakukan komunikasi penentuan jadwal dengan atasan.

Peserta latsar melakukan komunikasi lewat pesan WhatsApp kepada mentor untuk melakukan konfirmasi kesediaan waktu terkait konsultasi rancangan aktualisasi, dan telah disepakati pada tanggal

11 Agustus 2022 pukul 09.30 WIB.

Hasil/Output: Tersedianya jadwal pertemuan

2. Melakukan konsultasi kepada atasan terkait isu yang dipilih dan gagasan kreatif yang akan dilakukan.

Peserta latsar menemui mentor pada tanggal 11 Agustus 2022 pukul 09.30 WIB untuk menjelaskan tentang gagasan kreatif yang akan dilakukan beserta tahapan kegiatan dan menyampaikan kontrak waktu yang telah dibuat. Selain itu peserta latsar juga

meminta saran dan masukan kepada mentor.

Hasil/Output: Terpilihnya isu dan gagasan kreatif pemecahan isu

41

3. Melakukan koordinasi dengan bagian kepegawaian khususnya

kepegawaian perekaman jam lembur.

Peserta latsar menemui bagian kepegawaian perekaman absensi jam lembur pada tanggal 12 Agustus 2022 pukul 10.30 WIB untuk

menjelaskan tentang gagasan kreatif dan tahapan kegiatan yang akan dilakukan serta meminta saran dan masukan

Hasil/Output: Terlaksananya koordinasi dengan bagian

kepegawaian

Dokumentasi

42
Gambar 5. 1 Tersedianya Jadwal Pertemuan
43
Gambar 5. 2 Terpilihnya Isu dan Gagasan Kreatif Pemecahan Isu Gambar 5. 3 Terlaksananya Koordinasi Dengan Bagian Kepegawaian

Keterkaitan Substansi

Mata Pelatihan

Bersikap ramah saat berkonsultasi dengan atasan (Berorientasi

Pelayanan)

Menetapkan isu dan gagasan kreatif dengan cermat (Akuntabel)

Berkonsultasi dengan atasan sebagai bentuk salah satu kegiatan untuk meningkatkan kompetensi diri (Kompeten)

Menghargai masukkan dan saran yang diberikan oleh mentor (Harmonis)

Membuat analisis isu dan gagasan kreatif sesuai dengan ketentuan dan ketetapan yang berlaku (Loyal)

Bersikap proaktif menghubungi atasan untuk berkonsultasi (Adaptif)

Dalam kegiatan konsultasi dengan atasan terjalin komunikasi dan diskusi guna menghasilkan nilai tambah (Kolaboratif)

Keterkaitan

kegiatan dengan

Manajemen ASN

dan SMART ASN

Kontribusi terhadap Visi dan Misi Organisasi

Penguatan Nilai

Organisasi

Penyampaian ide gagasan dan berkonsultasi dengan mentor serta bagian kepegawaian dilakukan dengan menerapkan SMART ASN yaitu bersikap professional, memiliki integritas, keramahtamahan dan membangun jejaring kerja.

Sesuai dengan Misi menguatkan tata kelola bidang akademik dan umum yang akuntabel, profesional dan transparan.

Sesuai dengan nilai yang dimiliki oleh Poltekkes Kemenkes Jakarta III

yaitu:

Etika, memiliki norma, nilai, kaidah dan ukuran untuk mengatur cara bergaul/berhubungan dengan saling menghormati, menunjukan sikap sopan santun, dan tata karma.

Dedikasi, bersedia mengorbankan tenaga, pikiran, dan waktu demi keberhasilan suatu usaha mencapai tujuan yang mulia.

Akuntabilitas dan Transparan, mempertanggungjawabkan secara ilmiah, terbuka dan senantiasa mengacu pada perkembangan

keilmuan yang mutakhir dan dinamis, berorientasi pada rasa saling percaya untuk terselenggaranya suasana akademik yang kondusif dan menjamin terwujudnya sinergisme.

44

5.2.2 Kegiatan 2 Pelaksanaan Aktualisasi

Tabel 5. 3 Kegiatan 2 Pelaksanaan Aktualisasi

Nama Kegiatan Pembuatan rancangan / draft Standar Operasional Prosedur pembayaran uang lembur pegawai

Sumber Inovasi

Tanggal Kegiatan 13 – 26 Agustus 2022

Tahapan kegiatan dan capaian pelaksanaan

1. Melakukan pengumpulan data pendukung dari bagian keuangan dan bagian kepegawaian untuk pembuatan Standar Operasional Prosedur pembayaran uang lembur pegawai.

Peserta latsar melakukan pengumpulan data pendukung dari bagian keuangan dan bagian kepegawaian serta melalui internet yang dilakukan pada tanggal 14 – 19 Agustus 2022.

Hasil/Output: Tersedianya data pendukung untuk pembuatan draft Standar Operasional Prosedur pembayaran uang lembur pegawai.

2. Melakukan pengetikan draft Standar Operasional Prosedur pembayaran uang lembur pegawai.

Setelah mendapatkan data pendukung, selanjutnya peserta latsar melakukan pembuatan draft Standar Operasional Prosedur pembayaran uang lembur pegawai yang dilakukan pada tanggal 22 – 24 Agustus 2022

Hasil/Output: Tersedianya hasil printoutdraft Standar Operasional Prosedur pembayaran uang lembur pegawai

3. Melakukan pengecekan dan meminta saran kepada rekan kerja sebelum pembahasan dengan atasan.

Setelah pembuatan draft Standar Operasional Prosedur pembayaran uang lembur pegawai selesai, peserta latsar mengecek kembali hasilnya dan meminta saran kepada rekan kerja yang dilakukan pada tanggal 25 Agustus 2022 sebelum pembahasan dengan atasan.

Hasil/Output: Catatan atas masukan dan saran dari rekan kerja

45
46 Dokumentasi
Gambar 5. 4 Pengumpulan Data Pendukung Untuk Pembuatan Draft Standar Operasional Prosedur Pembayaran Uang Lembur Gambar 5. 5 Pembuatan Draft Standar Operasional Prosedur Pembayaran Uang Lembur
47
Gambar 5. 6 Kegiatan Meminta Saran Atas Draft Standar Operasional Prosedur Yang Telah Dibuat Gambar 5. 7 Catatan Masukan dan Saran Dari Rekan Kerja

Keterkaitan Substansi

Mata Pelatihan

Memperbaiki draft jika dirasa terdapat kesalahan (Berorientasi

Pelayanan)

Menggunakan kertas bekas saat printoutdraft Standar Operasional

Prosedur pembayaran uang lembur pegawai untuk menghemat

penggunaan kertas (Akuntabel)

Membuat draft Standar Operasional Prosedur pembayaran uang lembur pegawai dengan kualitas terbaik agar minimal akan kesalahan (Kompeten)

Menjadikan kegiatan meminta saran kepada rekan kerja sebagai

bentuk untuk mempererat hubungan dilinkungan kerja (Harmonis)

Pembuatan draft dilakukan dengan mempertimbangkan peraturan dan ketentuan yang berlaku (Loyal)

Menerapkan inovasi dan kreatifitas dalam pembuatan draft Standar

Operasional Prosedur pembayaran uang lembur pegawai (Adaptif)

Saat draft Standar Operasional Prosedur pembayaran uang lembur pegawai sudah selesai menunjukkannya kepada rekan kerja untuk

meminta masukan dan saran (Kolaboratif)

Keterkaitan

kegiatan dengan

Manajemen ASN dan SMART ASN

Kontribusi terhadap Visi dan Misi Organisasi

Penguatan Nilai

Organisasi

Pembuatan rancangan / draft Standar Operasional Prosedur pembayaran uang lembur pegawai serta meminta saran dari rekan kerja dilakukan dengan menerapkan SMART ASN yaitu bersikap professional, memiliki integritas, keramahtamahan dan membangun jejaring kerja.

Sesuai dengan Misi menguatkan tata kelola bidang akademik dan umum yang akuntabel, profesional dan transparan.

Sesuai dengan nilai yang dimiliki oleh Poltekkes Kemenkes Jakarta III yaitu:

Etika, memiliki norma, nilai, kaidah dan ukuran untuk mengatur cara bergaul/berhubungan dengan saling menghormati, menunjukan sikap sopan santun, dan tata karma.

Dedikasi, bersedia mengorbankan tenaga, pikiran, dan waktu demi keberhasilan suatu usaha mencapai tujuan yang mulia.

Akuntabilitas dan Transparan, mempertanggungjawabkan secara ilmiah, terbuka dan senantiasa mengacu pada perkembangan

keilmuan yang mutakhir dan dinamis, berorientasi pada rasa saling

48

percaya untuk terselenggaranya suasana akademik yang kondusif dan menjamin terwujudnya sinergisme.

5.2.3 Kegiatan 3 Pelaksanaan Aktualisasi

Tabel 5. 4 Kegiatan 3 Pelaksanaan Aktualisasi

Nama Kegiatan Pembahasan dan penetapan Standar Operasional Prosedur pembayaran uang lembur pegawai

Sumber Inovasi

Tanggal Kegiatan 27 Agustus – 05 September 2022

Tahapan kegiatan dan capaian pelaksanaan

1. Melaksanakan diskusi pembahasan rancangan Standar Operasional Prosedur pembayaran uang lembur pegawai bersama atasan, bagian keuangan dan bagian kepegawaian.

Peserta latsar melakukan pembahasan rancangan Standar Operasional Prosedur pembayaran uang lembur pada tanggal 1 September 2022.

Hasil/Output: Catatan perbaikan hasil diskusi dengan atasan, bagian keuangan dan bagian kepegawaian

2. Melaksanakan revisi atau perbaikan dari hasil diskusi yang telah dilakukan.

Setelah melakukan pembahasan dengan atasan, bagian keuangan dan bagian kepegawaian, selanjutnya peserta latsar melakukan perbaikan Standar Operasional Prosedur pembayaran uang lembur yang dilakukan pada tanggal 1 September 2022.

Hasil/Output: Terlaksananya revisi atas hasil diskusi dengan atasan, bagian keuangan dan bagian kepegawaian

3. Memutuskan penetapan Standar Operasional Prosedur pembayaran uang lembur pegawai.

Peserta latsar memberikan hasil revisi atas masukan yang telah diberikan, lalu atasan menetapkan Standar Operasional Prosedur uang lembur yang telah dibuat pada tanggal 2 September 2022.

49

Hasil/Output: Terlaksananya penandatanganan penetapan / pengesahan Standar Operasional Prosedur pembayaran uang lembur pegawai

Dokumentasi

50
Gambar 5. 8 Pembahasan Standar Operasional Prosedur Gambar 5. 9 Catatan Perbaikan Hasil Diskusi
51
Gambar 5. 10 Penetapan Standar Operasional Oleh Atasan

Keterkaitan Substansi

Mata Pelatihan

Bersikap ramah kepada atasan dan pihak lain saat melakukan diskusi

pembahasan rancangan Standar Operasional Prosedur pembayaran uang lembur pegawai (Berorientasi Pelayanan)

Membuat Standar Operasional Prosedur pembayaran uang lembur

pegawai secara bertanggungjawab, cermat, dan disiplin (Akuntabel)

Menjadikan kegiatan pembahasan Standar Operasional Prosedur

pembayaran uang lembur pegawai sebagai bentuk untuk

meningkatkan kompetensi diri (Kompeten)

Menghargai pendapat atasan dan pihak lain yang memberikan masukan dan saran tanpa membeda-bedakan apapun jabatannya (Harmonis)

Penetapan dan penetapan Standar Operasional Prosedur didasarkan

kepada peraturan dan ketentuan yang berlaku (Loyal)

Cepat menyesuaikan diri saat ada revisi pada Standar Operasional Prosedur sebelum diputuskan (Adaptif)

Dapat berkerja sama dengan atasan dan pihak lain guna

menghasilkan nilai tambah pada hasil akhir Standar Operasional Prosedur (Kolaboratif)

Keterkaitan

kegiatan dengan

Manajemen ASN

dan SMART ASN

Kontribusi terhadap Visi dan Misi Organisasi

Penguatan Nilai

Organisasi

Pembahasan dan penetapan Standar Operasional Prosedur

pembayaran uang lembur pegawai dilakukan dengan menerapkan SMART ASN yaitu bersikap professional, memiliki integritas, keramahtamahan dan membangun jejaring kerja.

Sesuai dengan Misi menguatkan tata kelola bidang akademik dan umum yang akuntabel, profesional dan transparan.

Sesuai dengan nilai yang dimiliki oleh Poltekkes Kemenkes Jakarta III

yaitu:

Etika, memiliki norma, nilai, kaidah dan ukuran untuk mengatur cara bergaul/berhubungan dengan saling menghormati, menunjukan sikap sopan santun, dan tata karma.

Dedikasi, bersedia mengorbankan tenaga, pikiran, dan waktu demi keberhasilan suatu usaha mencapai tujuan yang mulia.

Akuntabilitas dan Transparan, mempertanggungjawabkan secara ilmiah, terbuka dan senantiasa mengacu pada perkembangan

keilmuan yang mutakhir dan dinamis, berorientasi pada rasa saling

52

percaya untuk terselenggaranya suasana akademik yang kondusif dan menjamin terwujudnya sinergisme.

5.2.4 Kegiatan 4 Pelaksanaan Aktualisasi

Tabel 5. 5 Kegiatan 4 Pelaksanaan Aktualisasi

Nama Kegiatan Pengarsipan berbasis fisik dan digital serta sosialisasi Standar

Operasional Prosedur kepada pegawai lain

Sumber Inovasi

Tanggal Kegiatan 06 – 12 September 2022

Tahapan kegiatan dan capaian pelaksanaan

1. Melakukan pengarsipan Standar Operasional Prosedur uang lembur pegawai yang telah disetujui berupa scandan menyerahkan dokumen asli kepada pusat penjaminan mutu.

Peserta latsar menyerahkan dokumen Standar Operasional Prosedur uang lembur pegawai asli kepada bagian penjaminan mutu. Namun sebelum menyerahkan dokumen asli Standar

Operasional Prosedur uang lembur kepada pusat penjaminan mutu, butuh persetujuan Kepala Bagian Administrasi Akademik dan Umum, Wadir II, dan Direktur. Kegiatan ini dilakukan pada tanggal 07 – 12 September 2022.

Hasil/Output: Terlaksananya penyerahan dokumen kepada pusat penjaminan mutu

2. Melakukan pembuatan akun google drive untuk pengarsipan berbasis digital dan melakukan uploaddokumen.

Peserta latsar melakukan pembuatan akun google drive untuk menyimpan dokumen Standar Operasional Prosedur pembayaran uang lembur. Kegiatan ini dilakukan pada tanggal 12 September 2022

Hasil/Output: Dokumen Standar Operasional Prosedur terarsipkan baik secara fisik maupun digital

3. Mensosialisasikan dokumen Standar Operasional Prosedur kepada pegawai lain.

53

Peserta latsar mensosialisasikan Standar Operasional Prosedur pembayaran uang lembur kepada pegawai lain. Kegiatan ini dilakukan pada tanggal 12 September 2022.

Hasil/Output: Terlaksananya sosialisasi kepada pegawai lain

Dokumentasi

54
Gambar 5. 11 Penyerahan Standar Operasional Prosedur Kepada Ka Pusat Penjaminan Mutu

Gambar 5. 12 Pembuatan Akun Google Drive dan Penguploadan Dokumen

Gambar 5. 13 Sosialisasi Standar Operasional Prosedur Kepada Pegawai Lain

Bersikap ramah kepada pegawai lain saat menyerahkan dokumen

Standar Operasional Prosedur (Berorientasi Pelayanan)

Keterkaitan Substansi

Mata Pelatihan

Menggunakan printer untuk scansecara bertanggung jawab dan memperbanyak dokumen Standar Operasional Prosedur pembayaran uang lembur seperlunya untuk menghemat kertas (Akuntabel)

Membantu pegawai lain yang kurang memahami saat penyampaian Standar Operasional Prosedur pembayaran uang lembur (Kompeten)

55

Keterkaitan

kegiatan dengan

Manajemen ASN

dan SMART ASN

Kontribusi terhadap Visi dan Misi Organisasi

Penguatan Nilai

Organisasi

Penyerahan Standar Operasional Prosedur pembayaran uang lembur

sebagai bentuk untuk menciptakan lingkungan kerja yang kondusif kedepannya dengan adanya peraturan yang jelas terhadap

pembayaran uang lembur (Harmonis)

Tidak menyebarluaskan dokumen Standar Operasional Prosedur pembayaran uang lembur kepada pihak-pihak yang tidak berkepentingan (Loyal)

Melakukan pengarsipan Penyerahan Standar Operasional Prosedur pembayaran uang lembur tidak hanyak berbasis fisik namun juga berbais digital (Adaptif)

Bekerja sama dengan pusat penjaminan mutu untuk pengarsipan berbasik fisik (Kolaboratif)

Pengarsipan berbasis fisik dan digital serta sosialisasi Standar

Opearasional Prosedur kepada pegawai lain dilakukan dengan menerapkan SMART ASN yaitu bersikap professional, memiliki integritas, keramahtamahan dan membangun jejaring kerja.

Sesuai dengan Misi menguatkan tata kelola bidang akademik dan umum yang akuntabel, profesional dan transparan.

Sesuai dengan nilai yang dimiliki oleh Poltekkes Kemenkes Jakarta III

yaitu:

Etika, memiliki norma, nilai, kaidah dan ukuran untuk mengatur cara bergaul/berhubungan dengan saling menghormati, menunjukan sikap sopan santun, dan tata karma. Dedikasi, bersedia mengorbankan tenaga, pikiran, dan waktu demi keberhasilan suatu usaha mencapai tujuan yang mulia.

Akuntabilitas dan Transparan, mempertanggungjawabkan secara ilmiah, terbuka dan senantiasa mengacu pada perkembangan keilmuan yang mutakhir dan dinamis, berorientasi pada rasa saling percaya untuk terselenggaranya suasana akademik yang kondusif dan menjamin terwujudnya sinergisme.

56

5.3 Evaluasi Pelaksanaan Aktualisasi

Pelaksanaan pembayaran uang lembur di lingkungan Politeknik Kesehatan

Kementerian Kesehatan Jakarta III masih belum optimal dikarenakan waktu pembayaran yang tidak menentu. Jika hal ini terus dibiarkan, berpotensi akan menurunkan kinerja pegawai. Oleh karena itu perlu diterapkan aturan yang mengatur agar pembayaran uang lembur pegawai dapat dilaksanakan sebagaimana mestinya. Karena uang lembur merupakan hak setiap pegawai yang melakukan kelebihan jam kerja.

Pembayaran uang lembur yang dilakukan di lingkungan Politeknik Kesehatan

Kementerian Kesehatan Jakarta III sebelum peserta mengikuti kegiatan pelatihan dasar

CPNS 2022 ini yaitu pembayaran uang lembur untuk bulan Maret 2022, baru dibayarkan pada tanggal 23 Juni 2022.

57
Gambar 5. 14 Pembayaran Uang Lembur Sebelum Dilaksanakan nya Latsar

Pembayaran terakhir untuk uang lembur yang dibayarkan oleh Politeknik Kesehatan

Kementerian Kesehatan Jakarta III yaitu terjadi di tanggal 06 September 2022 untuk pembayaran kelebihan jam kerja yang dilakukan di bulan Juli 2022.

Terlihat adanya peningkatan waktu pembayaran uang lembur kepada pegawai.

Diharapkan dengan adanya Standar Operasional Prosedur ini akan dapat mengatasi permasalahan yang terjadi sehingga pembayaran uang lembur dapat dibayarkan dengan semestinya.

58
Gambar 5. 15 Pembayaran Uang Lembur Terakhir Dalam Pelaksanaan Latsar

5.4

1

Melakukan monitoring dan evaluasi penerapan Standar

Operasional Prosedur

Pembayaran Uang Lembur di lingkungan Poltekkes Kemenkes Jakarta III

Laporan monitoring

evaluasi SOP

Pembayaran

Uang Lembur

Desember 2022 Mentor, Bagian

Keuangan dan Bagian

Kepegawaian

2

Sosialisasi kepada pegawai lain berupa running text dan dengan menggunakan media sosial seperti WhatsApp, dll

Terlaksana nya kegiatan

sosiaslisasi

Desember 2022 Mentor, Bagian IT

59
Rencana Tindak Lanjut
NO KEGIATAN OUTPUT WAKTU PARA PIHAK TERLIBAT
Tabel 5. 6 Rencana Tindak Lanjut

BAB VI PENUTUP

Kesimpulan

Hasil aktualisasi yang telah dilaksanakan pada tanggal 8 Agustus 2022 sampai

dengan 12 September 2022 di lingkungan Politeknik Kesehatan Kementerian Kesehatan

Jakarta III dapat disimpulkan:

1. Seluruh kegiatan pada Laporan Aktualisasi yang telah dibuat yaitu Persiapan dan penyampaian gagasan serta konsultasi kepada pihak yang terkait, Pembuatan rancangan / draft Standar Operasional Prosedur pembayaran uang lembur pegawai, Pembahasan dan penetapan Standar Operasional Prosedur pembayaran uang lembur pegawai, Pengarsipan berbasis fisik dan digital serta sosialisasi Standar Operasional Prosedur kepada pegawai lain dapat dilaksanakan.

2. Kegiatan aktualisasi di lingkungan Politeknik Kesehatan Kementerian Kesehatan

Jakarta III menerapkan nilai-nilai dasar ASN BerAKHLAK, Manajemen ASN dan SMART ASN dalam pelaksanaannya sehingga dapat mendorong terwujudnya visi dan misi organisasi.

3. Penerapan nilai-nilai dasar ASN BerAKHLAK dalam kehidupan sehari-hari dapat membentuk ASN yang profesional sebagai pelayan masyarakat.

Saran Nilai-nilai dasar ASN BerAKHLAK yaitu Berorientasi Pelayanan, Akuntabel, Kompeten, Harmonis, Loyal, Adaptif dan Kolaboratif diharapkan tetap diaktualisasikan dalam melakukan tugas pokok dan fungsi sebagai Aparatur Sipil Negara di Politeknik Kesehatan Kementerian Kesehatan Jakarta III, sehingga tercapai pelayanan prima yang mampu menunjang optimalisasi pencapaian visi dan misi Politeknik Kesehatan Kementerian Kesehatan Jakarta III.

60

DAFTAR PUSTAKA

Keputusan Kepala LAN Nomor 13/K.1/PDP.07/2022 tentang Pedoman Penyelenggaraan

Pelatihan Dasar Calon Pegawai Negeri Sipil dapat diakses pada

https://www.slideshare.net/rfirmans/keputusan-kepala-lan-pedoman-penyelenggaraanlatsar-cpns

Keputusan Kepala LAN Nomor 14/K.1/PDP.07/2022 tentang Kurikulum Pelatihan Dasar Calon

Pegawai Negeri Sipil dapat diakses pada https://docplayer.info/226576594-Salinankeputusan-kepala-lembaga-administrasi-negara-nomor-14-k-1-pdp-07-2022-tentangkurikulum-pelatihan-dasar-calon-pegawai-negeri-sipil.html

Handoko, R. (2021). Modul Akuntabel : Pelatihan Dasar Calon Pegawai Negeri Sipil. Jakarta:

Lembaga Administrasi Negara.

Jalis Ahmad (2021). Modul Kompeten : Pelatihan Dasar Calon Pegawai Negeri Sipil. Jakarta:

Lembaga Administrasi Negara.

Mirdin, A. A. (2021). Modul Berorientasi Pelayanan : Pelatihan Dasar Calon Pegawai Negeri Sipil. Jakarta: Lembaga Administrasi Negara.

Peraturan Direktur Jenderal Perbendaharaan Nomor Per-41/PB/2009 tentang Prosedur dan

Tata Cara Permintaan serta Pembayaran Uang Lembur Bagi Pegawai Negeri Sipil.

Peraturan Menteri Keuangan Nomor 125/PMK.05/2009 tentang Kerja Lembur dan Pemberian

Uang Lembur Bagi Pegawai Negeri Sipil;

Peraturan Menteri Keuangan Nomor 190/PMK.05/2012 tentang Tata Cara Pembayaran Dalam

Rangka Pelaksanaan Anggaran Pendapatan dan Belanja Negara;

Rahmanendra, D.(2021). Modul Loyal : Pelatihan Dasar Calon Pegawai Negeri Sipil. Jakarta: Lembaga Administrasi Negara.

Sejati, T. A. (2021). Modul Kolaboratif : Pelatihan Dasar Calon Pegawai Negeri Sipil. Jakarta: Lembaga Administrasi Negara.

Sembodo, J. (2021). Modul Harmonis : Pelatihan Dasar Calon Pegawai Negeri Sipil. Jakarta: Lembaga Administrasi Negara.

Surat Edaran Menteri Pendayagunaan Aparatur Negara Dan Reformasi Birokrasi Nomor 20

Tahun 2021 Tentang Implementasi CoreValuesdanEmployerBrandingAparatur Sipil Negara.

Suwarno, Y. (2021). Modul Adaptif : Pelatihan Dasar Calon Pegawai Negeri Sipil. Jakarta:

Lembaga Administrasi Negara

Undang-Undang Nomor 5 Tahun 2014 Tentang Aparatur Sipil Negara

Undang-Undang Nomor 20 Tahun 2003 Tentang Sistem Pendidikan Nasional

61

DAFTAR LAMPIRAN

62
63
Lampiran 1 Sasaran Kinerja Pegawai (SKP)

Output Kegiatan

Terhadap Pemecahan

Isu:

Tersedianya jadwal pertemuan

Terpilihnya isu dan gagasan kreatif pemecahan isu

Catatan hasil konsultasi dengan atasan

Terlaksananya koordinasi dengan bagian kepegawaian

Foto kegiatan

Keterkaitan Substansi

Mata Pelajaran:

Bersikap ramah saat

berkonsultasi dengan atasan

(Berorientasi Pelayanan)

Menetapkan isu dan gagasan kreatif dengan cermat (Akuntabel)

Berkonsultasi dengan

atasan sebagai bentuk salah

satu kegiatan untuk

meningkatkan kompetensi

diri (Kompeten)

63

Menghargai masukkan dan saran yang diberikan oleh mentor (Harmonis)

Membuat analisis isu dan gagasan kreatif sesuai dengan ketentuan dan ketetapan yang berlaku (Loyal)

Bersikap proaktif menghubungi atasan untuk berkonsultasi (Adaptif)

Dalam kegiatan konsultasi dengan atasan terjalin komunikasi dan diskusi guna menghasilkan nilai tambah (Kolaboratif)

64

Output Kegiatan

Terhadap Pemecahan

Isu:

Tersedianya data pendukung untuk pembuatan draft

Standar Operasional

Prosedur pembayaran uang lembur pegawai

Tersedianya hasil print out draft Standar Operasional

Prosedur pembayaran uang lembur pegawai

Catatan atas masukan dan saran dari rekan kerja

Foto kegiatan

Keterkaitan Substansi

Mata Pelajaran:

Memperbaiki draft jika

dirasa terdapat kesalahan (Berorientasi Pelayanan)

Menggunakan kertas bekas

saat print out draft Standar

Operasional Prosedur

pembayaran uang lembur

pegawai untuk menghemat

penggunaan kertas (Akuntabel)

66

Membuat draft Standar

Operasional Prosedur

pembayaran uang lembur

pegawai dengan kualitas

terbaik agar minimal akan kesalahan (Kompeten)

Menjadikan kegiatan

meminta saran kepada

rekan kerja sebagai bentuk

untuk mempererat

hubungan dilinkungan kerja (Harmonis)

Pembuatan draft dilakukan

dengan mempertimbangkan

peraturan dan ketentuan yang berlaku (Loyal)

Menerapkan inovasi dan kreatifitas dalam pembuatan

draft Standar Operasional

Prosedur pembayaran uang lembur pegawai (Adaptif)

Saat draft Standar

Operasional Prosedur

pembayaran uang lembur

pegawai sudah selesai

menunjukkannya kepada

rekan kerja untuk meminta

masukan dan saran (Kolaboratif)

67

Output Kegiatan

Terhadap Pemecahan

Isu:

Catatan perbaikan hasil diskusi dengan atasan, bagian keuangan dan

bagian kepegawaian

Terlaksananya revisi atas

hasil diskusi dengan atasan, bagian keuangan dan

bagian kepegawaian

Terlaksananya

penandatanganan

penetapan / pengesahan

Standar Operasional

Prosedur pembayaran uang

lembur pegawai

Foto kegiatan

Keterkaitan Substansi

Mata Pelajaran:

Bersikap ramah kepada

atasan dan pihak lain saat

melakukan diskusi

pembahasan rancangan

Standar Operasional

Prosedur pembayaran uang

lembur pegawai

(Berorientasi Pelayanan)

69

Membuat Standar

Operasional Prosedur

pembayaran uang lembur

pegawai secara

bertanggungjawab, cermat, dan disiplin (Akuntabel)

Menjadikan kegiatan

pembahasan Standar

Operasional Prosedur

pembayaran uang lembur

pegawai sebagai bentuk

untuk meningkatkan

kompetensi diri (Kompeten)

Menghargai pendapat atasan dan pihak lain yang

memberikan masukan dan

saran tanpa membedabedakan apapun jabatannya (Harmonis)

Penetapan dan penetapan

Standar Operasional

Prosedur didasarkan kepada

peraturan dan ketentuan

yang berlaku (Loyal)

Cepat menyesuaikan diri

saat ada revisi pada Standar

Operasional Prosedur

sebelum diputuskan

70

(Adaptif)

Dapat berkerja sama

dengan atasan dan pihak

lain guna menghasilkan nilai

tambah pada hasil akhir

Standar Operasional

Prosedur (Kolaboratif)

71

Output Kegiatan

Terhadap Pemecahan

Isu:

Terlaksananya penyerahan

dokumen kepada pusat

penjaminan mutu

Dokumen Standar

Operasional Prosedur

terarsipkan baik secara fisik

maupun digital

Terlaksananya sosialisasi

kepada pegawai lain

Foto kegiatan

Keterkaitan Substansi

Mata Pelajaran:

Bersikap ramah kepada

pegawai lain saat

menyerahkan dokumen

Standar Operasional

Prosedur (Berorientasi

Pelayanan)

Menggunakan printer untuk

scansecara bertanggung

jawab dan memperbanyak

dokumen Standar

Operasional Prosedur

pembayaran uang lembur

seperlunya untuk

73

menghemat kertas (Akuntabel)

Membantu pegawai lain

yang kurang memahami

saat penyampaian Standar

Operasional Prosedur

pembayaran uang lembur (Kompeten)

Penyerahan Standar

Operasional Prosedur

pembayaran uang lembur

sebagai bentuk untuk

menciptakan lingkungan

kerja yang kondusif

kedepannya dengan adanya

peraturan yang jelas

terhadap pembayaran uang

lembur (Harmonis)

Tidak menyebarluaskan

dokumen Standar

Operasional Prosedur

pembayaran uang lembur

kepada pihak-pihak yang

tidak berkepentingan (Loyal)

Melakukan pengarsipan

Penyerahan Standar

Operasional Prosedur

pembayaran uang lembur

74

tidak hanyak berbasis fisik

namun juga berbais digital (Adaptif)

Bekerja sama dengan pusat

penjaminan mutu untuk pengarsipan berbasik fisik (Kolaboratif)

75

LAPORAN AKTUALISASI

PELATIHAN DASAR CPNS GOLONGAN II ANGKATAN 6

OPTIMALISASI PEMBAYARAN UANG LEMBUR DENGAN PEMBUATAN

STANDAR OPERASIONAL PROSEDUR PEMBAYARAN UANG LEMBUR

PEGAWAI DI LINGKUNGAN POLTEKKES KEMENKES JAKARTA III

TAHUN 2022

DISUSUN OLEH :

WAHYU EKO SAPUTRO

NIP. 199404032022031002

BAPELKES CIKARANG

KEMENTERIAN KESEHATAN RI

2022

PROFILE PESERTA

NAMA : WAHYU EKO SAPUTRO

TTL : JAKARTA, 3 APRIL 1994

PENDIDIKAN : D-III AKUNTANSI

JABATAN : PENGELOLA KEUANGAN

BAGIAN : KELOMPOK SUBSTANSI KEUANGAN DAN BMN

INSTANSI : POLTEKKES KEMENKES JAKARTA III

ISU TERPILIH

ANALISIS ISU

BELUM OPTIMALNYA PEMBAYARAN UANG LEMBUR

PEGAWAI DI LINGKUNGAN POLTEKKES KEMENKES

JAKARTA III TAHUN 2022.

GAGASAN KREATIF

OPTIMALISASI PEMBAYARAN UANG LEMBUR DENGAN

PEMBUATAN STANDAR OPERASIONAL PROSEDUR

PEMBAYARAN UANG LEMBUR PEGAWAI DI LINGKUNGAN

POLTEKKES KEMENKES JAKARTA III

TAHUN 2022

KEGIATAN AKTUALISASI

1 Persiapan dan penyampaian gagasan serta konsultasi kepada pihak yang terkait

Pembuatan rancangan / draft Standar

8 - 12 Agustus 2022

2

Operasional Prosedur pembayaran

uang lembur pegawai

13 - 26 Agustus 2022 Terlaksana

3

Pembahasan dan penetapan Standar

Operasional Prosedur pembayaran

uang lembur pegawai

27 Agustus 2022 - 05 September 2022

4 Pengarsipan berbasis fisik dan digital serta sosialisasi Standar Opearasional Prosedur kepada pegawai lain 06 - 12 September 2022

WAKTU PELAKSANAAN
REALISASI
(2)
(4)
NO. KEGIATAN
STATUS
(1)
(3)
Terlaksana
Terlaksana
Terlaksana

KEGIATAN 1 : PERSIAPAN DAN

PENYAMPAIAN GAGASAN SERTA KONSULTASI

KEPADA PIHAK YANG TERKAIT

TAHAPAN KEGIATAN

1.Melakukan komunikasi penentuan jadwal konsultasi dengan atasan.

2. Melakukan konsultasi kepada atasan terkait isu yang dipilih dan gagasan kreatif yang akan dilakukan.

3.Melakukan koordinasi dengan bagian kepegawaian khususnya kepegawaian perekaman jam lembur.

OUTPUT / HASIL

1. Tersedianya jadwal pertemuan

2. Terpilihnya isu dan gagasan kreatif pemecahan isu

3. Terlaksananya koordinasi dengan bagian kepegawaian

KEGIATAN 2 : PEMBUATAN RANCANGAN / DRAFT STANDAR OPERASIONAL PROSEDUR PEMBAYARAN UANG LEMBUR PEGAWAI

TAHAPAN KEGIATAN OUTPUT / HASIL

1. Melakukan pengumpulan data pendukung dari bagian keuangan dan bagian kepegawaian untuk pembuatan Standar

Operasional Prosedur pembayaran uang lembur pegawai.

2. Melakukan pengetikan draft Standar

Operasional Prosedur pembayaran uang lembur pegawai.

3. Melakukan pengecekan dan meminta saran kepada rekan kerja sebelum pembahasan dengan atasan.

1. Tersedianya data pendukung untuk pembuatan draft

Standar Operasional Prosedur pembayaran uang lembur pegawai

2. Tersedianya hasil printoutdraft

Standar Operasional Prosedur pembayaran uang lembur pegawai

3. Catatan atas masukan dan saran

dari rekan kerja

KEGIATAN 3 : PEMBAHASAN DAN PENETAPAN

STANDAR OPERASIONAL PROSEDUR PEMBAYARAN UANG LEMBUR PEGAWAI

TAHAPAN KEGIATAN OUTPUT / HASIL

1. Melaksanakan diskusi pembahasan rancangan Standar Operasional Prosedur pembayaran uang lembur pegawai bersama atasan, bagian keuangan dan bagian kepegawaian.

2. Melaksanakan revisi atau perbaikan dari hasil diskusi yang telah dilakukan.

1. Catatan perbaikan hasil diskusi dengan atasan, bagian keuangan dan bagian

kepegawaian

2. Terlaksananya revisi atas hasil diskusi dengan atasan, bagian keuangan dan bagian kepegawaian

3. Memutuskan penetapan Standar Operasional

Prosedur pembayaran uang lembur pegawai.

3. Terlaksananya penandatanganan

penetapan / pengesahan Standar

Operasional Prosedur pembayaran uang lembur pegawai

KEGIATAN 4 : PENGARSIPAN BERBASIS FISIK DAN

DIGITAL SERTA SOSIALISASI STANDAR OPEARASIONAL

PROSEDUR KEPADA PEGAWAI LAIN

TAHAPAN KEGIATAN OUTPUT / HASIL

1. Melakukan pengarsipan Standar

Operasional Prosedur uang lembur pegawai

yang telah disetujui berupa scandan menyerahkan dokumen asli kepada pusat penjaminan mutu.

2. Melakukan pembuatan akun google drive

untuk pengarsipan berbasis digital dan melakukan uploaddokumen.

3. Mensosialisasikan dokumen Standar

Operasional Prosedur kepada pegawai lain.

1. Terlaksananya penyerahan dokumen kepada pusat penjaminan mutu

2. Dokumen Standar Operasional

Prosedur terarsipkan baik secara fisik maupun digital

3. Terlaksananya sosialisasi kepada

pegawai lain

EVALUASI

RENCANA TINDAK LANJUT

Melakukan monitoring dan evaluasi penerapan Standar Operasional

Prosedur Pembayaran Uang Lembur di lingkungan Poltekkes Kemenkes

Jakarta III

Sosialisasi kepada pegawai lain

berupa runningtextdan dengan

menggunakan media sosial

seperti WhatsApp, dll

KESIMPULAN

1. Seluruh kegiatan pada rancangan aktualisasi yang telah dibuat yaitu

Persiapan dan penyampaian gagasan serta konsultasi kepada pihak yang

terkait, Pembuatan rancangan / draft Standar Operasional Prosedur

pembayaran uang lembur pegawai, Pembahasan dan penetapan Standar

Operasional Prosedur pembayaran uang lembur pegawai, Pengarsipan

berbasis fisik dan digital serta sosialisasi Standar Operasional Prosedur

kepada pegawai lain dapat dilaksanakan.

2. Kegiatan aktualisasi di lingkungan Politeknik Kesehatan Kementerian

Kesehatan Jakarta III menerapkan nilai-nilai dasar ASN BerAKHLAK, Manajemen ASN dan SMART ASN dalam pelaksanaannya sehingga dapat

mendorong terwujudnya visi dan misi organisasi.

3. Penerapan nilai-nilai dasar ASN BerAKHLAK dalam kehidupan sehari-hari

dapat membentuk ASN yang profesional sebagai pelayan masyarakat.

SARAN

Nilai-nilai dasar ASN berakhlak yaitu berorientasi pelayanan, akuntabel, kompeten, harmonis, loyal, adaptif dan kolaboratif dapat tetap diimplementasikan dalam

melakukan tugas dan fungsi sebagai Aparatur Sipil Negara di Politeknik Kesehatan Kementerian Kesehatan Jakarta

III, sehingga tercapai pelayanan prima yang mampu

menunjang optimalisasi pencapaian visi dan misi

Politeknik Kesehatan Kementerian Kesehatan Jakarta III.

THANK YOU

Turn static files into dynamic content formats.

Create a flipbook
Issuu converts static files into: digital portfolios, online yearbooks, online catalogs, digital photo albums and more. Sign up and create your flipbook.