Pembuatan Media Informasi brupa VideoPenerapn Budaya Sapa & Salam di Satelit FarmasiKiara Ibu & Anak

Page 1

LAPORAN AKTUALISASI

PELATIHAN DASAR CPNS GOLONGAN II ANGKATAN V

Pembuatan Media Informasi berupa Video Penerapan Budaya Sapa dan Salam

di Satelit Farmasi Kiara Ibu dan Anak

RSUPN Dr. Cipto Mangunkusumo Tahun 2022

DISUSUN OLEH : DEWI KARINA

NIP. 199803112022032001

BAPELKES CIKARANG

KEMENTERIAN KESEHATAN RI

2022

ii

KATA PENGANTAR

Puji syukur penulis panjatkan kepada Allah Subhanahu wa Ta’ala atas berkah, rahmat, dan karunia yang dilimpahkan, sehingga penulis dapat menyelesaikan Laporan Aktualisasi untuk memenuhi persyaratan kelulusan Pelatihan Dasar Calon Pegawai Negeri Sipil Golongan II. Penulis memperoleh bimbingan, dukungan, dorongan semangat, serta bantuan yang sangat berarti dari berbagai pihak selama proses pembuatan laporan aktualisasi ini. Oleh karena itu, ucapan terima kasih penulis kepada:

1. Dr. Rina Mutiara, Apt., M. Pharm, Kepala Instalasi Farmasi Rumah Sakit Umum Pusat

Nasional dr. Cipto Mangunkusumo

2. Yustika Novianti, Apt.,MPH, Kepala Sub Pelayanan Instalasi Farmasi Rumah Sakit Umum

Pusat Nasional dr. Cipto Mangunkusumo

3. Fauzan Arafat, S.Si., Apt.,M.Med.Sci, Mentor sekaligus Penanggung Jawab Satelit Farmasi Kiara Ibu dan Anak yang membimbing penulis dalam penyusunan rancangan aktualisasi

4. dr.TitiekResmisari,MARS,Coachyangmemberiarahandalamprosesrancanganaktualiasi nilai-nilai dasar ASN dengan baik;

5. Segenap Widyaiswara dan panitia yang telah membagikan ilmunya yang berharga untuk penulis

6. Keluarga yang selalu memberikan doa dan dukungan kepada penulis

7. Rekan-rekan Satelit Farmasi Kiara Ibu dan Anak di RSUPN dr. Cipto Mangunkusumo yang telah memberikan dukungan

8. Seluruh teman-teman Pelatihan Dasar Calon Pegawai Negeri Sipil Golongan II angkatan 5

9. Dukungan teman – teman kelompok C Pelatihan Dasar Calon Pegawai Negeri Sipil Golongan II Angkatan 5

10.Seluruh pihak yang telah membantu penyelesaian laporan aktualisasi ini, yang tidak dapat disebutkan satu persatu. Semoga segala kebaikan yang Bapak/Ibu/Saudara /Saudari berikan kepada penulis mendapatkan balasan yang berlipat ganda dari Allah Subhanahu wa Ta’ala.

Penulis menyadari bahwa masih banyak kekurangan pada laporan aktualisasi ini. Oleh karena itu, penulis mengharapkan saran dan masukan yang membangun untuk kesempurnaan penulisan dan pembelajaran selanjutnya.

Jakarta, Juli 2022

Penulis

iii
iv DAFTAR ISI Halaman Judul i Lembar Pengesahan...................................................................................................ii Kata Pengantar..........................................................................................................iii Daftar Isi....................................................................................................................iv Daftar Tabel...............................................................................................................vi Daftar Gambar..........................................................................................................vii Daftar Bagan viii BAB I. PENDAHULUAN................................................................................................1 1.1. Latar belakang 1 1.2. Tujuan ...............................................................................................................2 1.3. Manfaat..............................................................................................................3 BAB II. PROFIL INSTANSI DAN PESERTA 4 2.1. Sejarah Singkat RSUPN Dr. Cipto Mangunkusumo...................................................4 2.2. Visi dan Misi RSUPN Dr. Cipto Mangunkusumo........................................................4 2.3. Nilai Budaya dan Perilaku RSUPN Dr. Cipto Mangunkusumo 4 2.4. Struktur Organisasi RSUPN Dr. Cipto Mangunkusumo..............................................5 2.5. Instalasi Farmasi RSUPN Dr. Cipto Mangunkusumo ................................................6 2.6. Uraian/Rincian Tugas Jabatan Peserta....................................................................8 BAB III. ANALISIS ISU DALAM PELAKSANAAN TUGAS DAN FUNGSI ....................10 3.1. Identifikasi Isu...................................................................................................10 3.2. Analisis Isu/ Penapisan Isu..................................................................................13 3.3. Deskripsi Isu Utama ...........................................................................................15 3.4. Analisis Penyebab Isu Utama...............................................................................16 3.5. Gagasan Kreatif Pemecah Isu Utama ...................................................................16 BAB IV. RANCANGAN AKTUALISASI........................................................................17 4 1 Rancangan Aktualisasi Nilai-nilai Dasar PNS 17 4.2. Penjadwalan......................................................................................................31 4.3. Para Pihak yang Terlibat dan Perannya dalam Aktualisasi.......................................32
v BAB V. PELAKSANAAN AKTUALISASI .....................................................................34 5.1. Pelaksanaan Aktualisasi ......................................................................................34 5.2. Hasil dan Pembahasan........................................................................................34 5 3 Rencana Tindak Lanjut 50 BAB VII. PENUTUP ..................................................................................................51 7.1. Kesimpulan .......................................................................................................51 7 2 Saran 51 DAFTAR PUSTAKA.....................................................................................................52 LAMPIRAN ................................................................................................................53
vi Daftar Tabel Tabel 2.1. Tabel Nilai Budaya dan Perilaku RSCM..............................................................5 Tabel 2.2. Tabel Uraian Tugas Asisten Apoteker RSCM......................................................8 Tabel 3.1. Tabel Keterkaitan Isu dengan peran dan kedudukan ASN.................................16 Tabel 3.2. Tabel Analisis Penilaian Kualitas Isu dengan Metode APKL................................16 Tabel 3.3. Tabel Penjelasan Analisis APKL terhadap skoring isu utama..............................16 Tabel 3.4. Tabel Rincian Kegiatan..................................................................................16 Tabel 4.1. Tabel Rancangan Kegiatan Aktualisasi............................................................16 Tabel 4.2. Tabel Jadwal Kegiatan Aktualisasi..................................................................31 Tabel 4.3. Tabel Pihak yang Terlibat dalam Kegiatan Aktualisasi.......................................32
vii
Gambar Gambar 2.1 Struktur Organisasi RSCM................................................................... 5 Gambar 2.1 Struktur Organisasi Instalasi Farmasi RSCM........................................16 Gambar 3.1 Time Out Resep Racikan di sistem EHR .............................................16 Gambar 3.2 Stok Alat Kesehatan pada sistem EHR ................................................16 Gambar 3.3 Stok Alat Kesehatan pada kartu stok ..................................................16 Gambar 5.1 Izin telaah draft hasil pelatihan Customer Service Exellent...................35 Gambar 5.2 Konsultasi dengan PJ Satelit Farmasi Kiara Ibu dan Anak.....................36 Gambar 5.3 Kuesioner Survey Pengetahuan Petugas Farmasi mengenai Budaya Sapa dan Salam ..........................................................................................................38 Gambar 5.4 Persetujuan Kuesioner oleh Mentor ....................................................39 Gambar 5.5 Pengisian Kuesioner oleh Petugas Farmasi..........................................39 Gambar 5.6 Draft Video Penerapan Budaya Sapa dan Salam Farmasi RSCM............42 Gambar 5.7 Hasil Video Standar Sapa dan Salam Farmasi RSCM ............................42 Gambar 5.8 Surat Persetujuan Video yang ditandatangani oleh PJ Satelit Farmasi Kiara Ibu dan Anak sekaligus Mentor ...................................................................42 Gambar 5.9 Surat Izin melakukan sosialisasi di Satelit Farmasi Kiara Ibu dan Anak..45 Gambar 5.10 Sosialisasi Video Sapa dan Salam Farmasi RSCM...............................45 Gambar 5.11 Video Testimoni dari Petugas Farmasi mengenai Video Budaya Sapa dan Salam Farmasi RSCM ....................................................................................48 Gambar 5.12 Survey Kepuasan Pasien..................................................................48
Daftar
viii
Bagan 3.1.
Teknik Fishbone ..................................................................... 16
Daftar Bagan
Bagan Analisis dengan

BAB I

PENDAHULUAN

1.1. Latar Belakang

Sesuai dengan UU no. 5 tahun 2014 tentang Aparatur Sipil Negara (ASN), ASN adalah profesi bagi pegawai negeri sipil dan pegawai pemerintah dengan perjanjian kerja yang bekerja pada instansi pemerintah. Pegawai Negeri Sipil (PNS) adalah warga negara

Indonesia yang memenuhi syarat tertentu, diangkat sebagai Pegawai ASN secara tetap oleh pejabat pembina kepegawaian untuk menduduki jabatan pemerintahan. Calon PNS (CPNS) adalah warga negara Indonesia yang lolos seleksi pengadaan PNS, diangkat dan ditetapkan oleh PPK,serta telah mendapatkan persetujuan teknis danpenetapannomorinduk pegawai.

Pelatihan Dasar CPNS adalah pendidikan dan pelatihan dalam Masa Prajabatan.

Tujuan pelatihan dasar CPNS ini untuk membangun integritas moral, kejujuran, semangat dan motivasi nasionalisme dan kebangsaan, karakter kepribadian yang unggul dan bertanggung jawab, dan memperkuat profesionalisme serta kompetensi bidang. Dalam rangka penguatan budaya kerja sebagai salah satu strategi transformasi pengelolaan ASN menuju pemerintahan berkelas dunia (world class government) serta untuk melaksanakan ketentuan Pasal 4 tentang nilai dasar dan Pasal 5 tentang kode etik dan kode perilaku Undang-undang Nomor 5 tahun 2014 tentang Aparatur Sipil Negara diperlukan keseragaman nilai-nilai dasar ASN. Sehingga pada tanggal 27 Juli 2021 Presiden Republik Indonesia telah meluncurkan core values (nilai-nilai dasar) ASN BerAKHLAK dan employer branding ASN "Bangga Melayani Bangsa". Core values ASN BerAKHLAK meliputi Berorientasi pelayanan, Akuntabel, Kompeten, Harmonis, Loyal, Adaptif, serta Kolaboratif. Diharapkan

ASN mampu menghadapi tantangan dalam mendukung Visi Indonesia Maju. Tantangan pertama yaitu technology disruption, dimana kita harus menghadapi perubahan dari traditional industrykeindustry4.0 . Kedua yaitu millenials disruption. Total millennials akan mecapai 70% dari total populasi di tahun 2030. Kita harus siap

dihadapkan pada tehnologi canggih untuk memenuhi kebutuhan millennialssehingga persepsi terhadap ASN bisa terwujud dengan baik. Tantangan yang ketiga yaitu pandemic disruption. Pandemi yang terjadi saat ini mengharuskan kita untuk bisa bekerja dan melakukan segala sesuatu di berbagai macam tempat sehingga diperlukan akselerasi transformasi digital.

1

Menurut Permenkes RI No. 376 tahun 2009, tugas pokok Asisten Apoteker adalah melaksanakan penyiapan pekerjaan kefarmasian yang meliputi penyiapan rencana kerja kefarmasian, penyiapan pengelolaan perbekalan farmasi dan penyiapan pelayanan farmasi klinik. AsistenApoteker harus dapat memenuhi kebutuhan pasien mengenai obat,disamping itu Asisten Apoteker juga harus memberikan pelayanan yang terbaik kepada pasien/masyarakat.

Instalasi Farmasi Rawat Jalan berperan penting sebagai garda depan dalam membentuk citra pelayanan prima suatu rumah sakit. Dari hasil observasi penulis, di Satelit Farmasi Kiara Ibu dan Anak RSUPN Dr. Cipto Mangunkusumo hampir setiap hari banyak pasien yang mengeluh secara lisan bahwa petugas farmasi kurang ramah dalam memberikan pelayanan. Hal ini tentunya berdampak bagi pasien, petugas farmasi sendiri dan juga citra rumah sakit. Pasien yang tersulut emosinya karena ketidakramahan petugas akan komplain sehingga akan menambah tekanan bagi petugas farmasi dan juga dapat membentuk citra RS yang tidak ramah pasien.

Sapa dan salam menjadi elemen utama dalam membentuk pelayanan prima, oleh karena itu budaya sapa dan salam penting untuk diterapkan dalam pelayanan sehari-hari. Hal ini diharapkan dapat meningkatkan kepuasan pelanggan terhadap layanan yang diberikan. Penerapan budaya sapa dan salam ini sesuai dengan peran ASN sebagai pelayan publik yang harus melayani pasien dengan baik, serta mewujudkan nilai SMART ASN yaitu hospitality atau keramahan terhadap pelayanan. Karena belum adanya media informasi interaktif terkait budaya sapa dan salam di RSUPN Dr. Cipto Mangunkusumo, maka peserta mengusulkan gagasan kreatif yaitu “Pembuatan Media Informasi berupa Video Penerapan

Budaya Sapa dan Salam di Satelit Farmasi Kiara Ibu dan Anak RSUPN Dr. Cipto Mangunkusumo Tahun 2022”.

1.2. Tujuan

1.2.1. Tujuan Umum

Menjadi PNS yang professional dan berkarakter dengan menerapkan nilai-nilai dasar PNS

BerAKHLAK yaitu Berorientasi Pelayanan, Akuntabel, Kompeten, Harmonis, Loyal, Adaptif dan Kolaboratif.

2

1.2.2. Tujuan Khusus

Adapun tujuan khusus dari kegiatan aktualisasi adalah sebagai berikut.

1. Memahami Budaya Sapa dan Salam Farmasi RSCM.

2. Mengukur pengetahuan petugas farmasi mengenai Budaya Sapa dan Salam Farmasi RSCM.

3. Menambah kreativitas penulis dalam pembuatan Video Budaya Sapa dan Salam Farmasi RSCM.

4. Melakukan evaluasi penerapan Budaya Sapa dan Salam oleh petugas farmasi di Satelit Farmasi Kiara Ibu dan Anak.

1.3. Manfaat

1.3.1. Bagi Penulis

Penulis mampu mengaktualisasikan nilai-nilai dasar ASN dalam melaksanakan tugas di instansi masing-masing sehingga dapat meningkatkan kompetensi penulis.

1.3.2. Bagi Instansi Kerja

Mampu meningkatkan pelayanan berkualitas di Instalasi Farmasi RSUPN Dr. Cipto Mangunkusumo yang berlandaskan nilai-nilai dasar profesi ASN.

1.3.3. Bagi Masyarakat

Mampu mewujudkan pelayanan prima yang berorientasi pada pasien sehingga terciptanya kepuasan pasien/masyarakat.

3

BAB II

PROFIL INSTANSI DAN PESERTA

2.1. Sejarah Singkat RSUPN Dr. Cipto Mangunkusumo

RSUPN Dr.Cipto Mangunkusumo merupakan rumah sakit tipe A berbentuk Badan Layanan Umum (BLU). Berdasarkan SK Menkes No.YM.01.06/111/7352/2010, RSUPN Dr.Cipto Mangunkusumo ditetapkan sebagai rumah sakit pendidikan utama Fakultas Kedokteran Universitas Indonesia (FKUI) Jakarta. Apabila ditilik dari sejarahnya, ditampilkan dalam website RSUPN Dr.Cipto Mangunkusumo (2017), FKUI dan RSUPN Dr.Cipto Mangunkusumo sudah sejak tahun 1919 saling mengisi satu sama lain. Sekolah Dokter Jawa, yang kemudian berubah nama menjadi STOVIA, merupakan cikal bakal FKUI. Sementara itu, Centrale Burgelijke Ziekenhuis (CBZ) didirikan sebagai rumah sakit perguruan tinggi yang disatukan dengan STOVIA. Pergantian nama CBZ dilakukan beberapa kali, hingga pada tanggal 13 Juni 1994, SK Menkes nomor 553/Menkes/SK/VI/1994 menetapkan perubahan nama menjadi RSUPN Dr. Cipto Mangunkusumo.

2.2. Visi dan Misi RSUPN Dr. Cipto Mangunkusumo

2.2.1. Visi RSUPN Dr. Cipto Mangunkusumo

Menjadi Rumah Sakit Umum Pusat Rujukan Nasional Terdepan dalam Layanan, Pendidikan dan Penelitian yang Berstandar Internasional

2.2.2. Misi RSUPN Dr. Cipto Mangunkusumo

1. Memberikan pelayanan kesehatan paripurna dan profesional berstandar internasional

2. Menyelenggarakan layanan kesehatan semesta berbasis institusi maupun komunitas melalui AHS (Academic Health System)

3. Menyelenggarakan Pendidikan yang menghasilkan tenaga kedokteran dan kesehatan unggul

4. Menyelenggarakan rumah sakit berbasis Smart hospital

5. Menyelenggarakan sistem manajemen RS dengan tata kelola yang andal dan akuntabel.

2.3. Nilai Budaya dan Perilaku RSUPN Dr. Cipto Mangunkusumo

Integritas

✓ Beriman dan bertakwa

4
Nilai Budaya Perilaku Utama

Profesionalisme

✓ Jujur dan konsisten

✓ Memegang teguh etika

✓ Disiplin dan taat pada aturan

✓ Bertanggung jawab dan berdedikasi

✓ Kompeten dan belajar berkelanjutan

✓ Berempati

Kepedulian

✓ Proaktif bekerjasama

✓ Saling menolong dan bersinergi

✓ Komunikasi efektif

Kolaborasi

Keunggulan

✓ Proaktif bekerjasama

✓ Saling menolong dan bersinergi

✓ Berorientasi pada standart tertinggi dan tepat guna

✓ Berjiwa enterpreneurship ,inovatif, dan kreatif

✓ Terbuka terhadap perubahan dan wawasan kedepan

5
2.4. Struktur RSUPN Dr. Cipto Mangunkusumo Tabel 2.1. Tabel Nilai Budaya dan Perilaku RSCM Gambar 2.1. Struktur Organisasi RSCM

2.5. Instalasi Farmasi RSUPN Dr. Cipto Mangunkusumo

Instalasi Farmasi merupakan unit kerja nonstruktural di dalam organisasi RSUP Nasional Dr. Cipto Mangunkusumo yang berperan dalam penyelenggara kegiatan pelayanan farmasi di rumah sakit, berada di bawah dan bertanggung jawab kepada Direktur Pelayanan Medik, Keperawatan dan Penunjang.

2.4.1. Tugas dan Fungsi Instalasi Farmasi RSUPN Dr. Cipto Mangunkusumo

Instalasi Farmasi RSUP Nasional Dr. Cipto Mangunkusumo, mempunyai fungsi:

a. pengelolaan kegiatan administrasi dan keuangan;

b. pengelolaan kegiatan produksi dan pengembangan dalam rangka peningkatan mutu dan keselamatan pasien;

c. pengelolaan pelayanan farmasi: dan

d. pelaksanaan perencanaan, monitoring dan evaluasi.

Dalam melaksanakan fungsinya, Instalasi Farmasi RSUP Nasional Dr. Cipto Mangunkusumo mempunyai tugas:

a. menyusun program pelayanan pengelolaan sediaan farmasi, alat kesehatan dan bahan medis habis pakai, produksi sediaan farmasi, pelayanan farmasi klinik rumah sakit serta administrasi dan keuangan;

b. menyusun rencana kebutuhan sediaan farmasi, alat kesehatan dan bahan medis habis pakai rumah sakit,tenaga, sarana dan prasarana penunjang kebutuhan Instalasi Farmasi;

c. menyusun standar, kriteria, prosedur dan indikator kinerja pelayanan kefarmasian serta administrasi umum dan keuangan;

d. menjamin ketersediaan sediaan farmasi, alat kesehatan dan bahan medis habis pakai;

e. menyelenggarakan pemesanan, penyimpanan dan pendistribusian sediaan farmasi, alat kesehatan dan bahan medis habis pakai;

f. menyelenggarakan produksi sediaan farmasi dan aseptic dispensing untuk memenuhi kebutuhan pelayanan kesehatan di rumah sakit;

g. menyelenggarakan pelayanan farmasi klinik;

h. menyelenggarakan supervisi, pemantauan, pengawasan dan pengendalian terhadap mutu pelayanan farmasi;

i. memfasilitasi dan mendorong tersusunnya standar pengobatan dan formularium;

j. melaksanakan kegiatan administrasi penerimaan dan pengeluaran sediaan farmasi, alat kesehatan dan bahan medis habis pakai;

k. melaksanakan administrasi SDM dan keuangan farmasi;

6

l. melaksanakan pengembangan kompetensi SDM farmasi;

m. menyelenggarakan penelitian dan pengembangan pelayanan farmasi;

n. mengkoordinasikan pelaksanaan pendidikan dan pelatihan Instalasi Farmasi dengan Bagian Diklit; dan

o. melaksanakan evaluasi mutu dan pelaporan kegiatan Instalasi Farmasi.

2.4.2. Struktur Organisasi Instalasi Farmasi RSUPN Dr. Cipto Mangunkusumo

Struktur Organisasi Instalasi Farmasi RSUPN Dr. Cipto Mangunkusumo adalah sebagai berikut.

Subinstalasi Pelayanan Farmasi

Subinstalasi Pelayanan Farmasi menjalankan fungsi pengelolaan farmasi di rumah sakit.

Dalam menjalankan fungsinya, Subinstalasi Pelayanan Farmasi mempunyai tugas:

a. menyusun rencana program Subinstalasi Pelayanan Farmasi;

b. melaksanakan program kegiatan penyimpanan dan pendistribusian sediaan farmasi, alat kesehatan dan bahan medis habis pakai di satelit dan pelayanan farmasi klinik;

c. menyusun rancangan kebijakan, standar, kriteria, prosedur dan indikator kinerja

Subinstalasi Pelayanan Farmasi;

d. mengkoordinasikan perencanaan sediaan farmasi, alat kesehatan dan bahan medis habis pakai dengan unit kerja;

7
Gambar 2.2. Struktur Organisasi Instalasi Farmasi RSCM

e. mengkoordinasikan penyimpanan dan pendistribusian sediaan farmasi, alat kesehatan dan bahan medis habis pakai di satelit sesuai aturan kefarmasian;

f. mengkoordinasikan pelayanan farmasi klinik;

g. mengarahkan dan membimbing para penanggung jawab satelit farmasi dan penanggung jawab farmasi klinik dalam melakukan pengawasan dan pengendalian terhadap pengelolaan sediaan farmasi, alat kesehatan dan bahan medis habis pakai di satelit-satelit farmasi serta Apotek Kimia Farma RSCM; dan

h. melaporkan kegiatan pelayanan farmasi kepada Kepala Instalasi Farmasi.

2.6. Uraian/Rincian Tugas Peserta

2.5.1. Profil Peserta

Nama : Dewi Karina

NIP : 199803112022032001

Jabatan/Golongan : Asisten Apoteker Terampil/ II-c

Instansi : RSUPN Dr. Cipto Mangunkusumo

Unit Kerja : Instalasi Farmasi

Tugas dan Fungsi Jabatan

Tugas pokok Asisten Apoteker sesuai Permenkes RI No. 376 tahun 2009 adalah melaksanakan

penyiapan pekerjaan kefarmasian yang meliputi penyiapan rencana kerja kefarmasian, penyiapan pengelolaan perbekalan farmasi dan penyiapan pelayanan farmasi klinik.

Adapun uraian tugas peserta selaku Asisten Apoteker di Instalasi Farmasi RSUPN Dr. Cipto

Mangunkusumo sesuai dengan Sasaran Kinerja Pegawai (SKP) adalah sebagai berikut: Uraian Tugas Sumber

Terwujudnya kepuasan pelanggan. SKP

Melakukan perbaikan berkesinambungan dalam hal Pelayanan Kefarmasian. SKP

Membuat permintaan Sediaan farmasi, Alkes, dan BMHP SKP

Memeriksa dan menerima Sediaan farmasi, Alkes, dan BMHP SKP

Menyimpan Sediaan farmasi, Alkes, dan BMHP SKP

8

Mengisi kartu stok SKP

Melakukan verifikasi dan penyelesaian resep/permintaan SKP

Menyiapkan Sediaan farmasi, Alkes, dan BMHP SKP

Memberi etiket dan mengemas SKP

Melakukan telaah obat dan menyerahkan Sediaan farmasi, Alkes, dan BMHP kepada dokter/perawat/pasien/keluarga SKP

Melakukan uji petik (sampling) SKP

Melakukan pemeriksaan troli/tas emergensi/kit ambulans SKP

Konfirmasi/koordinasi penyelesaian masalah SKP

Upaya pencegahan kesalahan peresepan, dispensing, kesalahan

aturan pakai/ penandaan, kesalahan pasien dan kesalahan obat SKP

Penyelesaian tugas tanpa kesalahan dan komplain dari pelanggan internal/eksternal SKP

9
Tabel 2.2. Tabel Uraian Tugas Asisten Apoteker RSCM

BAB III

ANALISIS ISU DALAM PELAKSANAAN TUGAS DAN FUNGSI

4.1 Identifikasi Isu

a. Belum Optimalnya Penerapan Budaya Sapa dan Salam oleh Petugas Farmasi

Kiara Ibu dan Anak RSUPN Dr. Cipto Mangunkusumo tahun 2022

Dalam menyelenggarakan layanan, pihak penyedia dan pemberi layanan harus selalu berupaya untuk mengacu kepada tujuan utama pelayanan, yaitu kepuasan pelanggan (costumersatisfaction). Kepuasan pelanggan dapat terbentuk dari pelayanan yang prima. Djamaludin Ancok dkk (2014) memberi ilustrasi bahwa perilaku yang semestinya ditampilkan untuk memberikan layanan prima adalah: 1) Menyapa dan memberi salam; 2) Ramah dan senyum manis; 3) Cepat dan tepat waktu; 4) Mendengar dengan sabar dan aktif; 5) Penampilan yang rapi dan bangga akan penampilan; 6) Terangkan apa yang Saudara lakukan; 7) Jangan lupa mengucapkan terima kasih; 8) Perlakukan teman sekerja seperti pelanggan; dan 9) Mengingat nama pelanggan.

Instalasi Farmasi Rawat Jalan berperan penting sebagai garda depan dalam membentuk citra pelayanan prima. Dari hasil observasi penulis, di Satelit Farmasi Kiara Ibu dan Anak RSUPN Dr. Cipto Mangunkusumo hampir setiap hari banyak pasien yang mengeluh secara lisan bahwa petugas farmasi kurang ramah dalam memberikan pelayanan. Hal ini tentunya berdampak bagi pasien, petugas farmasi sendiri dan juga citra rumah sakit. Pasien yang tersulut emosinya karena ketidakramahan petugas akan komplain sehingga akan menambah tekanan bagi petugas farmasi dan juga dapat membentuk citra RS yang tidak ramah pasien. Dari hasil survey 101 pasien di Satelit Kiara Ibu dan Anak, didapatkan hasil masih terdapat 29,7% pasien yang menyatakan tidak puas dengan sapaan petugas farmasi, dan 92,9% nya menginginkan perbaikan terhadap sapa dan salam yang diberikan petugas farmasi. Sapa dan salam menjadi elemen utama dalam membentuk pelayanan prima, oleh karena itu budaya sapa dan salam penting untuk diterapkan dalam pelayanan sehari-hari. Hal ini diharapkan dapat meningkatkan kepuasan pelanggan terhadap layanan yang diberikan.

b. Belum Optimalnya Pelayanan Resep Racikan di Satelit Farmasi Kiara Ibu dan Anak RSUPN Dr. Cipto Mangunkusumo tahun 2022

Respondtimeadalah waktu yang digunakan oleh petugas kesehatan di rumah sakit untuk memberikan pelayanan pada pasien. Lama waktu tunggu dapat mencerminkan suatu

10

proses kerja dari tenaga farmasi dalam melakukan pelayanan yang sudah disesuaikan dengan situasi dan harapan pasien. Saat ini di Satelit Farmasi Kiara Ibu dan Anak RSUPN Dr. Cipto Mangunkusumo masih sering terdapat timeoutrespondtimepada resep racikan. Standar respond time resep racikan RSUPN Dr. Cipto Mangunkusumo untuk resep racikan kurang atau sama dengan 60 bungkus adalah 60 menit; sedangkan untuk resep racikan lebih atau sama dengan 90 bungkus 120 menit (Sumber: ElectronicHealthRecordRSCM). Banyaknya jumlah pasien yangdilayanidankemampuan petugasmelayani jugaberpengaruh terhadap kecepatan pelayanan. Lamanya waktu tunggu merupakan masalah yang sering menimbulkan keluhan pasien di beberapa rumah sakit, oleh karena itu diperlukan evaluasi waktu tunggu (respond time) di Instalasi Farmasi dalam rangka meningkatkan pelayanan.

c. Belum Optimalnya Pencatatan Kartu Stok dan Penginputan Alat Kesehatan Fast Movingpada sistem ElectronicHealthRecord(EHR) di Satelit Farmasi Kiara Ibu dan Anak RSUPN Dr. Cipto Mangunkusumo tahun 2022

Saat ini, di Satelit Farmasi Kiara Ibu dan Anak RSUPN Dr. Cipto Mangunkusumo masih terdapat isu yang mempengaruhi kualitas pelayanan obat. Stok fisik alat Kesehatan fast movingseringkali berbeda dengan stok di sistem Eectronic Health Record (EHR) maupun di kartu stok. Seperti contoh yang tertera dalam gambar di bawah ini, stok fisik feeding buret 348 unit, dikartu stok tertulis 360 unit dan di sistem EHR ada 352 unit. Hal ini dapat menimbulkan kesalahan dalam pelayanan. Salah satunya ketika stok di sistem masih ada namun stok fisik obat terjadi selisih dan bahkan sudah 0, maka dapat menimbulkan persepsi yang salah antara asisten apoteker penginput resep diloket depan dengan asisten apoteker yang mengemas obat selanjutnya. Dampak dari selisih stok ini adalah pasien jadi lama menunggu karena harus cek stok terlebih dahulu, apabila stok kosong padahal pasien tersebut sudah lama menunggu maka akan menimbulkan komplain karena pasien sudah lama menunggu namun tidak menerima alat kesehatan tersebut. Hal tersebut dapat mempengaruhi kualitas pelayanan.

11
Gambar 3.1. Time Out Resep Racikan di sistem ElectronicHealthRecord(EHR)

pada kartu stok.

Keterkaitan isu dengan peran dan kedudukan ASN untuk Terwujudnya Smart Governance

No. Isu

1. Belum Optimalnya Penerapan Budaya Sapa dan Salam di Satelit Farmasi Kiara

Ibu dan Anak RSUPN Dr. Cipto

Mangunkusumo tahun 2022

Keterkaitan dengan Peran dan Kedudukan ASN untuk

terwujudnya Smart Governance

Manajemen ASN : Sesuai dengan

fungsi ASN yaitu sebagai pelayan

publik, seorang Asisten Apoteker harus selalu memberikan pelayanan terbaik untuk pasien (masyarakat).

Smart ASN : Isu ini erat keterkaitannya dengan nilai Smart ASN yaitu hospitality (keramahan). Seorang Asisten Apoteker harus selalu bersikap ramah kepada pasien maupun teman sejawat.

2. Belum Optimalnya Pelayanan Resep

Racikan di Satelit Farmasi Kiara Ibu dan Anak RSUPN Dr. Cipto Mangunkusumo

tahun 2022

Manajemen ASN : Sesuai dengan fungsi ASN yaitu sebagai pelayan publik, seorang Asisten Apoteker harus selalu memberikan pelayanan terbaik untuk pasien (masyarakat).

12
Gambar 3.2. Stok alat Kesehatan pada ElectronicHealthRecord(EHR). Gambar 3.3. Stok alat Kesehatan

3. Belum Optimalnya Pencatatan Kartu Stok

dan Penginputan Alat Kesehatan Fast

Moving pada sistem Electronic Health

Record(EHR) di Satelit Farmasi Kiara Ibu

dan Anak RSUPN Dr. Cipto

Mangunkusumo tahun 2022.

Smart ASN : Isu ini erat

keterkaitannya dengan nilai Smart ASN

yaitu Profesionalisme. Seorang Asisten

Apoteker harus professional dalam menjalankan tupoksi jabatannya.

Smart ASN : Isu ini erat

keterkaitannya dengan nilai Smart ASN

yaitu profesionalisme dan menguasai IT. Seorang Asisten Apoteker harus professional dalam menjalankantupoksi

jabatannya dan senantiasa cakap memanfaatkan IT dalam kehidupan sehari-hari.

3.2. Analisis

Isu/Penapisan Isu

Berdasarkan identifikasi isu yang telah dipaparkan, perlu dilakukan proses analisis isu untuk menentukan isu mana yang merupakan prioritas yang dapat dicarikan solusi oleh penulis. Proses analisis isu tersebut menggunakan alat bantu penetapan kriteria kualitas isu. Dalam hal ini, penulis menggunakan metode APKL untuk menetapkan isu utama. Metode APKL adalah teknik yang digunakan untuk menentukan kelayakan suatu masalah dengan memperhatikan 4 faktor yaitu:

1) Aktual (A) : benar-benar terjadi dan sedang hangat dibicarakan dalam masyarakat

2) Problematik (P) : Isu yang memiliki dimensi masalah yang kompleks, sehingga perlu dicarikan segera solusinya

3) Kekhalayakan (K) : Isu yang menyangkut hajat hidup orang banyak

4) Kelayakan (L) : Isu yang masuk akal dan realistis serta relevan untuk dimunculkan inisiatif pemecehan masalahnya

13
Tabel 3.1. Tabel Keterkaitan isu dengan peran dan kedudukan ASN untuk Terwujudnya Smart Governance

Tabel 3.2 Analisis Penilaian kualitas isu dengan

No Isu

1. Belum Optimalnya Penerapan

Budaya Sapa dan Salam oleh

Petugas Farmasi di Satelit

Farmasi Kiara Ibu dan Anak

RSUPN Dr. Cipto Mangunkusumo

tahun 2022

2. Belum Optimalnya Pelayanan

resep racikan di Satelit Farmasi

Kiara Ibu dan Anak RSUPN Dr. Cipto Mangunkusumo tahun 2022

3. Belum Optimalnya Pencatatan

Kartu Stok dan Penginputan Alat

Kesehatan Fast Moving pada

sistem ElectronicHealthRecord

(EHR)diSatelitFarmasiKiaraIbu

dan Anak RSUPN Dr. Cipto

Mangunkusumo tahun 2022.

Keterangan :

metode AKPL

5 5 5 5 20 I

5 4 4 2 15 II

4 2 3 2 11 III

Perhitungan menggunakan skala 1-5 yang menandakan bahwa semakin tinggi skor berarti isu tersebut bersifat mendesak untuk segera dicari penyelesaiannya.

Berdasarkan Analisis APKL yang telah dilaksanakan pada tabel 3.2, terlihat bahwa isu mengenai “Belum Optimalnya Penerapan Budaya Sapa dan Salam oleh Petugas Farmasi di Satelit Farmasi Kiara Ibu dan Anak RSUPN Dr. Cipto Mangunkusumo tahun 2022” memiliki peringkat tertinggi dengan skor APKL sebesar 20 poin dengan penjelasan sebagai berikut:

Kriteria Deskripsi Terkait Isu

Aktual 5 – Isu dinilai selalu menjadi pembicaraan utama sehari-hari, karena hampir setiap hari banyak pasien mengeluh mengenai petugas farmasi yang kurang ramah dalam memberikan pelayanan.

14
A P K L Jumlah
Prioritas

Problematik 5 – Isu dinilai kompleks dan harus dicari segera solusinya, karena apabila tidak dicarikan solusi dari sekarang, akan sulit membentuk budaya pelayanan yang prima.

Kekhalayakan 5 – Isu dinilai menyangkut hajat hidup orang banyak, yaitu menimbulkan komplain dari pasien, menambah tekanan bagi petugas farmasi, dan dapat membentuk citra RS yang tidak ramah pasien.

Kelayakan 5 – Isu dinilai sangat relevan untuk dicarikan inisiatif pemecahannya.

Tabel 3.3 Penjelasan Analisis APKL terhadap Keterkaitannya dengan Skoring pada Isu Utama

Berdasarkan penjelasan analisis metode APKL diatas dapat disimpulkan bahwa isu atau masalah yang memiliki pengaruh paling signifikan serta layak untuk diselesaikan dan dicarikan solusinya adalah isu mengenai “Belum Optimalnya Penerapan Budaya Sapa dan Salam oleh

Petugas Farmasi di Satelit Farmasi Kiara Ibu dan Anak RSUPN Dr. Cipto Mangunkusumo tahun 2022” memiliki peringkat tertinggi dengan skor APKL sebesar 20 poin.

3.3. Deskripsi Isu Utama

Dari hasil observasi penulis, di Satelit Farmasi Kiara Ibu dan Anak RSUPN Dr. Cipto

Mangunkusumo hampir setiap hari banyak pasien yang mengeluh secara lisan bahwa petugas farmasi kurang ramah dalam memberikan pelayanan. Hasil survey pendahuluan penulis mengenai kepuasan pasien terhadap sapa dan salam yang diberikan oleh petugas farmasi, dari 101 pasien di Satelit Kiara Ibu dan Anak didapatkan hasil masih terdapat 29,7% pasien yang menyatakan tidak puas dengan sapaan petugas farmasi, dan 92,9% nya menginginkan perbaikan terhadap sapa dan salam yang diberikan petugas farmasi. Kurangnya penerapan budaya sapa dan salam tentunya berdampak bagi pasien, petugas farmasi sendiri dan juga citra rumah sakit. Pasien yang tersulut emosinya karena ketidakramahan petugas akan komplain sehingga akanmenambah tekanan bagi petugas farmasi dan juga dapat membentuk citra RS yang tidak ramah pasien. Sapa dan salam menjadi elemen utama dalam membentuk pelayanan prima, oleh karena itu budaya sapa dan salam penting untuk diterapkan dalam pelayanan sehari-hari. Hal ini diharapkan dapat meningkatkan kepuasan pelanggan terhadap layanan yang diberikan.

15

3.4. Analisis Penyebab Isu Utama

Isu yang terpilih, kemudian di cari akar penyebab masalah yang harus segera diselesaikan. Analisis akar penyebab masalah pada isu terpilih menggunakan Teknik Analsis Fishbone sebagai berikut :

Skill System

Kurang pengetahuan dan kurang terbiasa

Petugas cenderung fokus ke pekerjaan teknis

Belum ada sosialisasi mengenai penerapan sapa dan salam

Belum adanya SOP yang mengatur cara menyapa pasien

Petugas farmasi sangat banyak dan tersebar di beberapa Satelit sehingga sulit melakukan sosialisasi.

Belum adanya media informasi interaktif terkait budaya sapa dan salam.

Surrounding

3.5. Gagasan Kreatif Pemecah Isu Utama

Belum

Optimalnya

Penerapan

Budaya Sapa dan Salam oleh

Petugas

Farmasi di Satelit Farmasi

Kiara Ibu dan Anak RSCM tahun 2022

ASN wajib memberikan pelayanan yang prima sehingga masyarakat sebagai pelanggannya dapat merasa puas. Sebagai asisten apoteker yang berstatus sebagai ASN juga memiliki kewajiban untuk memberi pelayan prima pasien. Kepuasan pasien menjadi tujuan utama dalam pelayanan. Setelah menentukan prioritas isu yang akan dipecahkan, selanjutnya adalah tahapan analisis pemecahan isu dengan melihat penyebab terjadinya isu tersebut. Gagasan penulis untuk memecahkan isu adalah dengan Pembuatan Media Informasi berupa Video Penerapan Budaya Sapa dan Salam di Satelit Farmasi Kiara Ibu dan Anak RSUPN Dr. Cipto Mangunkusumo Tahun 2022. Rincian Kegiatannya adalah sebagai berikut.

No. Kegiatan

Sumber

1. Telaah Budaya Sapa dan Salam Farmasi RSCM. SKP

2. Pengukuran tingkat pengetahuan petugas farmasi

tentang budaya sapa dan salam di Satelit Farmasi

Kiara Ibu dan Anak.

Inovasi

16
Bagan 3.1. Bagan Analisis dengan Teknik Fishbone

3. Pembuatan Video Budaya Sapa dan Salam Farmasi

RSCM Inovasi

4. Sosialisasi Video Penerapan Budaya Sapa dan Salam Farmasi RSCM kepada petugas farmasi Kiara Ibu dan Anak. SKP

5. Evaluasi Penerapan Budaya Sapa dan Salam kepada petugas dan pasien/keluarga pasien. SKP dan Inovasi

Tabel 3.4. Tabel rincian kegiatan

17

RANCANGAN AKTUALISASI

Isu Utama : Belum Optimalnya Penerapan Budaya Sapa dan Salam oleh Petugas Farmasi di Satelit Farmasi Kiara Ibu dan Anak RSCM tahun 2022.

Gagasan Kreatif Pemecah Isu Utama: Pembuatan Media Informasi berupa Video Penerapan Budaya Sapa dan Salam di Satelit Farmasi Kiara Ibu dan Anak RSUPN Dr. Cipto Mangunkusumo Tahun 2022.

No. Kegiatan Tahapan kegiatan Output / Evidence

1. Telaah Budaya Sapa dan Salam Farmasi RSCM.

a. Meminta izin kepada

atasan untuk menelaah

draft mengenai Budaya

Sapa dan Salam

Farmasi RSCM yang di dapat dari hasil

pelatihan Customer

ServiceExcellent.

Izin untuk

mencari informasi tentang

Budaya Sapa

dan Salam

Farmasi RSCM

yang di dapat

dari draft hasil

Keterkaitan dengan

substansi mata

pelatihan agenda 2

Berorientasi

pelayanan : meminta

izin dengan sikap yang

baik dan tutur kata yang

santun dan ramah.

Kolaborasi : menjalin

komunikasi yang baik

dengan pimpinan,

berkoordinasi untuk

Kontribusi

terhadap visi misi organisasi

Kegiatan ini

diharapkan dapat

berkontribusi terhadap visi

RSUPN Dr. Cipto

Mangunkusumo

yaitu Menjadi

Rumah Sakit

Umum Pusat

Penguatan nilai organisasi

Kegiatan ini memberikan penguatan

terhadap tiga

nilai dan

Perilaku Utama

RSCM yaitu

Kepedulian,

18
BAB IV
4.1. Rancangan Aktualisasi Nilai-nilai Dasar PNS Tabel 4.1. Tabel Rancangan Kegiatan Aktualisasi

pelatihan Customer Service Excellent.

b. Menelaah Budaya Sapa

dan Salam tersebut. Pengetahuan mengenai

Budaya Sapa

dan Salam

Farmasi RSCM.

c. Berkonsultasi dengan

PJ Farmasi Kiara

mengenai Budaya Sapa

dan Salam yang selama ini diterapkan di Satelit

Catatan hasil

konsultasi tentang Budaya Sapa dan Salam yang selama ini

mencapai tujuan

bersama Rujukan Nasional Terdepan dalam

Layanan, Pendidikan dan Penelitian yang

Berstandar Internasional.

Kolaborasi dan Keunggulan.

Akuntabel : cermat

dalam menelaah budaya

sapa dan salam.

Kompeten : meningkatkan

kompetensi diri dengan

belajar mengenai

budaya sapa dan salam.

Loyal : menerapkan

nilai sila ke-4 Pancasila

yaitu dengan berdiskusi

dengan pimpinan.

Harmonis :

menghargai setiap

19

pengetahuan petugas farmasi

tentang budaya sapa

dan salam di Satelit

Farmasi Kiara Ibu

dan Anak.

Farmasi Kiara Ibu dan Anak. diterapkan di Satelit Farmasi

Kiara Ibu dan Anak.

pendapat dan masukan

dari pimpinan.

Adaptif : bertindak

proaktif dengan cara

aktif mencatat hasil

diskusi.

Kolaborasi : menjalin

komunikasi yang baik

dengan pimpinan, berkoordinasi untuk

mencapai tujuan

bersama

a. Menyusun draft kuisoner mengenai tingkat pengetahuan

petugas farmasi

tentang budaya sapa

dan salam di Satelit

Farmasi Kiara Ibu dan Anak serta

berkonsultasi dengan

Tersusunnya

draft kuesioner

pengetahuan

petugas

farmasitentang

budaya sapa

dan salam di Satelit Farmasi

Akuntabel : Menyusun

draft kuesioner yang

dapat

dipertanggungjawabkan.

Kompeten : meningkatkan

kompetensi diri dalam

Menyusun draft

kuesioner.

Kegiatan ini

diharapkan dapat

berkontribusi

terhadap Misi

RSUPN Dr. Cipto

Mangunkusumo

yaitu

menyelenggarakan

Pendidikan yang

Kegiatan ini

memberikan

penguatan

terhadap empat

nilai dan

Perilaku Utama

RSCM yaitu

profesionalisme, Kepedulian,

20
2. Pengukuran tingkat

Penanggungjawab

Satelit Farmasi Kiara

Ibu dan Anak dan mentor.

Kiara Ibu dan Anak Berorientasi

Pelayanan : berkoordinasi dengan

sikapyangbaikdantutur

kata yang santun dan

ramah.

Loyal : kegiatan diskusi

dengan mentor

bertujuan untuk

mencapai kesepakatan

sesuai dengan sila ke-4

Pancasila.

Adaptif : mengembangkan

kreativitas dalam

membuat draft

kuesioner.

Kolaborasi : Menjalin

komunikasi yang baik

dengan pimpinan, berkoordinasi untuk

menghasilkan

tenaga kesehatan

unggul.

Kolaborasi dan Keunggulan.

21

b. Meminta persetujuan

Penanggung jawab

Satelit Farmasi Kiara

Ibu dan Anak dan

mentor perihal

kuesioner mengenai

tingkat pengetahuan

petugas farmasi

tentang budaya sapa

dan salam di Satelit

Farmasi Kiara Ibu dan Anak

Kuesioner

disetujui oleh

Penanggung

jawab Satelit

Farmasi Kiara

Ibu dan Anak

dan juga

mentor

mencapai tujuan

bersama.

Berorientasi

pelayanan : meminta

persetujuan dengan

sikap yang baik dan

tutur kata yang santun

dan ramah.

Kolaborasi : menjalin

komunikasi yang baik

dengan pimpinan, berkoordinasi untuk

mencapai tujuan

bersama

c. Membagikan kuisoner dan menganalisa hasil

kuesioner petugas

farmasi.

Adanya hasil dari pengetahuan petugas

farmasitentang

Berorientasi

pelayanan :

membagikan kuesioner

dengan sikap yang baik

22

budaya sapa

dan salam di

Satelit Farmasi

Kiara Ibu dan Anak

dan tutur kata yang

santun dan ramah.

Harmonis : menghargai

teman sejawat farmasi

yang telah bersedia

mengisi kuesioner.

3. Pembuatan Video

Penerapan Budaya

Sapa dan Salam

Farmasi RSCM.

a. Menyusun draft video

Penerapan Budaya

Sapa dan Salam

Farmasi RSCM serta

berkonsultasi dengan

Penanggungjawab

Satelit Farmasi Kiara

Ibu dan Anak dan mentor.

Tersusunnya

draft video Budaya Sapa dan Salam Farmasi RSCM.

Akuntabel : Menyusun

draft video yang dapat

dipertanggungjawabkan.

Kompeten :

meningkatkan

kompetensi diri dalam

Menyusun draft video.

Berorientasi

Pelayanan :

berkoordinasi dengan

sikapyangbaikdantutur

kata yang santun dan

ramah.

Kegiatan ini

diharapkan dapat

berkontribusi

terhadap visi

RSUPN Dr. Cipto

Mangunkusumo

yaitu Menjadi

Rumah Sakit

Umum Pusat

Rujukan Nasional

Terdepan dalam

Layanan, Pendidikan dan

Kegiatan ini memberikan penguatan

terhadap tiga

nilai dan Perilaku Utama RSCM yaitu Kepedulian, Kolaborasi dan Keunggulan.

23

Loyal : kegiatan diskusi

dengan PJ Satelit Kiara

dan mentor bertujuan

untuk mencapai

kesepakatan sesuai

dengan sila ke-4

Pancasila.

Adaptif : mengembangkan

kreativitas dalam

menyusun draft video.

Kolaborasi : Menjalin

komunikasi yang baik

dengan pimpinan, berkoordinasi untuk

mencapai tujuan

bersama.

Penelitian yang

Berstandar

Internasional.

dipertanggungjawabkan.

24
b. Membuat video Budaya Sapa dan Salam Farmasi RSCM. Adanya video Budaya Sapa dan Salam Farmasi RSCM. Akuntabel : Membuat video yang dapat

Kompeten : meningkatkan

kompetensi diri dalam

membuat video

Adaptif : mengembangkan

kreativitas dalam

membuat video.

c. Meminta persetujuan

Penanggung jawab

Satelit Farmasi Kiara

Ibu dan Anak dan

mentor perihal video

Budaya Sapa dan

Salam Farmasi RSCM.

Video disetujui

oleh

Penanggung

jawab Satelit

Farmasi Kiara

Ibu dan Anak dan juga mentor.

Berorientasi

pelayanan : meminta

persetujuan dengan

sikap yang baik dan

tutur kata yang santun dan ramah.

Kolaborasi : menjalin

komunikasi yang baik

dengan pimpinan, berkoordinasi untuk

mencapai tujuan

bersama

25

4. Sosialisasi Video

Penerapan Budaya

Sapa dan Salam

Farmasi RSCM

kepada petugas

farmasi KiaraIbudan

Anak.

a. Meminta izin kepada Penanggung jawab

Satelit Farmasi Kiara

Ibu dan Anak untuk

melakukan sosialisasi

petugas di Satelit

Farmasi Kiara Ibu dan

Anak.

b. Mempersiapkan video yang akan dipresentasikan

kepada petugas

Farmasi Kiara Ibu dan

Anak serta

berkonsultasi dengan

Penanggungjawab

Satelit Farmasi Kiara

Ibu dan Anak dan mentor.

Izin untuk

untuk

melakukan

sosialisasi

petugas di

Satelit Farmasi

Kiara Ibu dan Anak.

Berorientasi

pelayanan : meminta

izin dengan sikap yang

baik dan tutur kata yang

santun dan ramah.

Kolaborasi : menjalin

komunikasi yang baik

dengan pimpinan, berkoordinasi untuk

mencapai tujuan

Bersama.

Kegiatan ini

diharapkan dapat

berkontribusi

terhadap visi

RSUPN Dr. Cipto

Mangunkusumo

yaitu Menjadi

Rumah Sakit

Umum Pusat

Rujukan Nasional

Terdepan dalam

Kegiatan ini

memberikan penguatan

terhadap lima

nilai dan

Perilaku Utama

RSCM yaitu

Video

sosialisasi siap

untuk

dipresentasikan

kepada

petugas di

Satelit Farmasi

Kiara Ibu dan Anak.

Akuntabel : Mempersiapkan video

sosialisasi yang dapat dipertanggungjawabkan.

Berorientasi

Pelayanan : berkoordinasi dengan sikapyangbaikdantutur

kata yang santun dan

ramah.

Layanan, Pendidikan dan

Penelitian yang

Berstandar

Internasional.

Integritas, Profesionalisme, Kepedulian, Kolaborasi dan Keunggulan.

26

kepada petugas

Farmasi Kiara Ibu dan

Anak dengan

Loyal : kegiatan diskusi

dengan PJ Satelit Kiara

dan mentor bertujuan

untuk mencapai

kesepakatan sesuai

dengan sila ke-4

Pancasila.

Adaptif :

mengembangkan

kreativitas dalam

mempersiapkan video

sosialisasi.

Kolaborasi : menjalin

komunikasi yang baik

dengan pimpinan,

berkoordinasi untuk

mencapai tujuan

bersama.

Output berupa

dokumentasi, notulen serta

didapatkan

Berorientasi

pelayanan : menyampaikan

sosialisasi dengan sikap

27
c. Melakukan sosialisasi

Budaya Sapa dan Salam kepada petugas dan pasien/keluarga pasien.

berkoordinasi dengan Penanggungjawab

Satelit Farmasi Kiara

Ibu dan Anak.

pemahaman dari petugas

farmasi Kiara

Ibu dan Anak

mengenai

Budaya Sapa

dan Salam

Farmasi RSCM.

yang baik dan tutur kata yang santun dan ramah.

Kompeten : meningkatkan

kompetensi diri dalam

melakukan sosialisasi.

Harmonis : menghargai

teman sejawat yang

telah bersedia

meluangkan waktunya

untuk mengikuti

sosialisasi.

a. Menyusun instrumen pertanyaan. Tersusunnya instrumen pertanyaan.

Akuntabel : Menyusun instrumen pertanyaan yang dapat dipertanggungjawabkan.

Kompeten : meningkatkan

kompetensi diri dalam

menyusun instrumen pertanyaan.

Kegiatan ini diharapkan dapat

berkontribusi terhadap visi

RSUPN Dr. Cipto

Mangunkusumo

yaitu Menjadi

Rumah Sakit

Umum Pusat

Kegiatan ini memberikan penguatan terhadap lima nilai dan Perilaku Utama

RSCM yaitu Integritas, Profesionalisme,

28
5. Evaluasi Penerapan

b. Melakukan evaluasi kegiatan pada rekan kerja.

Adanya testimoni dari rekan kerja.

Adaptif : mengembangkan

kreativitas dalam

menyusun instrumen

pertanyaan.

Berorientasi

Pelayanan : meminta

kesediaan rekan kerja

untuk diwawancarai

dengan sikap yang baik

dan tutur kata yang

santun dan ramah.

Kolaborasi : Menjalin

komunikasi yang baik

dengan teman sejawat, berkoordinasi untuk

mencapai tujuan

bersama.

Rujukan Nasional Terdepan dalam

Layanan, Pendidikan dan Penelitian yang

Berstandar

Internasional.

Kepedulian, Kolaborasi dan Keunggulan.

c. Melakukan evaluasi kepada pasien dan keluarga melalui pengisian kuesioner.

Adanya hasil kuesioner pasien yang

telah terisi.

Berorientasi

Pelayanan : meminta

pasien/keluarga pasien

untuk mengisi kuesioner

29

d. Menyusun laporan hasil evaluasi. Laporan hasil evaluasi.

dengan sikap yang baik

dan tutur kata yang

santun dan ramah.

Harmonis : menghargai

pasien yang telah

bersedia meluangkan

waktunya untuk mengisi

kuesioner.

Akuntabel : Menyusun

laporan hasil evaluasi

yang dapat

dipertanggungjawabkan.

Kompeten : Menyusun

laporan hasil evaluasi

dengan kualitas terbaik.

30

4.2. Penjadwalan

Kegiatan aktualisasi akan dilaksanakan di Satelit Farmasi Kiara Ibu dan Anak RSUPN Dr. Cipto Mangunkusumo yaitu pada tanggal 5 Agustus 2022 sampai 9 September 2022.

No. Kegiatan Agustus September Ketera ngan Minggu ke-1 Minggu ke-2 Minggu ke-3 Minggu ke-4 Minggu ke-1

1. Telaah Budaya

Sapa dan

Salam Farmasi

RSCM.

2. Pengukuran

tingkat

pengetahuan

petugas

farmasi tentang

budaya sapa

dan salam di

Satelit Farmasi

Kiara Ibu dan

Anak.

3. Pembuatan

Video Budaya

Sapa dan

Salam Farmasi

RSCM

4. Sosialisasi

Video

Penerapan

Budaya Sapa

dan Salam

Farmasi RSCM

kepada petugas

farmasi Kiara

Ibu dan Anak.

5. Evaluasi

Penerapan

Budaya Sapa

dan Salam

kepada petugas

dan

pasien/keluarga pasien.

31
Tabel 4.2. Tabel Jadwal Kegiatan Aktualisasi

4.3. Para Pihak yang Terlibat dan Perannya dalam Aktualisasi

Berikut adalah pihak-pihak yang terlibat dalam kegiatan aktualisasi beserta perannya.

Tabel 4 3 Tabel Pihak yang Terlibat dalam Kegiatan Aktualisasi

No Para Pihak Peran dalam aktualisasi Keterangan

1 Fauzan Arafat, S.Si., Apt.,M.Med.Sci

Mentor sekaligus

Penanggung Jawab

Satelit FarmasiKiaraIbu

dan Anak yang

membimbing penulis

dalampenulisanlaporan

aktualisasi ini.

2 dr. Titiek Resmisari, MARS Coach Aktualisasi

Penulis yang

membimbing penulis

dalampenulisanlaporan

aktualisasi ini.

3 Teman Sejawat Farmasi

Kiara Ibu dan Anak RSCM Responden

4 Pasien Responden

32

BAB V

PELAKSANAAN AKTUALISASI

5.1. Pelaksanaan Aktualisasi

Pelaksanaan aktualisasi dilakukan di Satelit Farmasi Kiara Ibu dan Anak RSUPN Dr. Cipto Mangunkusumo pada tanggal 5 Agustus 2022 sampai dengan 9 September 2022.

No. Kegiatan Waktu Pelaksanaan Status Realisasi

1. Telaah Budaya Sapa dan Salam Farmasi RSCM. 5 - 12 Agustus 2022 Terlaksana

2. Pengukuran tingkat pengetahuan petugas farmasi tentang budaya sapa

dan salam di Satelit Farmasi Kiara Ibu dan Anak.

3. Pembuatan Video Penerapan Budaya

Sapa dan Salam Farmasi RSCM.

4. Sosialisasi Video Penerapan Budaya

Sapa dan Salam Farmasi RSCM kepada petugas farmasi Kiara Ibu dan Anak.

5. Evaluasi Penerapan Budaya Sapa dan Salam kepada petugas dan pasien/keluarga pasien.

5.2. Hasil dan Pembahasan

1. Hasil Capaian Kegiatan 1

Nama Kegiatan

12 - 19 Agustus 2022 Terlaksana

12 – 24 Agustus 2022 Terlaksana

19– 26 Agustus 2022 Terlaksana

26 Agustus –9 September 2022 Terlaksana

Telaah Budaya Sapa dan Salam Farmasi RSCM.

Tanggal Kegiatan 5 - 12 Agustus 2022

Tahapan Kegiatan dan Output

a. Meminta izin kepada atasan untuk menelaah draft mengenai Budaya

Sapa dan Salam Farmasi RSCM yang di dapat dari hasil pelatihan CustomerServiceExcellent.

33

Penulis meminta izin kepada PJ Satelit Farmasi Kiara untuk menelaah draft mengenai Budaya Sapa dan Salam Farmasi RSCM yang di dapat dari pelatihan CustomerServiceExcellentmelalui chat whatsapp.

Output: Izin untuk mencari informasi tentang Budaya Sapa dan Salam Farmasi RSCM yang di dapat dari draft hasil pelatihan Customer Service Excellent.

b. Menelaah Budaya Sapa dan Salam tersebut.

Penulis menelaah sapa dan salam dari draft mengenai Budaya Sapa dan Salam Farmasi RSCM yang di dapat dari hasil pelatihan Customer ServiceExcellent.

Output: Pengetahuan mengenai Budaya Sapa dan Salam Farmasi RSCM.

c. Berkonsultasi dengan PJ Farmasi Kiara mengenai Budaya Sapa dan Salam yang selama ini diterapkan di Satelit Farmasi Kiara Ibu dan Anak.

Penulis berkonsultasi mengenai Budaya Sapa dan Salam yang selama iniditerapkandiSatelitFarmasiKiaraIbudanAnak denganPJFarmasi Kiara.

Output: Catatan hasil konsultasi tentang Budaya Sapa dan Salam yang selama ini diterapkan di Satelit Farmasi Kiara Ibu dan Anak.

34

Bukti Kegiatan

dari

35
Gambar 5.1. Izin telaah draft hasil pelatihan Customer Service Excellent Penanggung Jawab Satelit Farmasi Kiara Ibu dan Anak.

Keterkaitan

Kegiatan dengan

nilai-nilai dasar

PNS

✓ Berorientasi pelayanan : meminta izin menelaah draft sapa dan salam farmasi RSCM kepada atasan dengan sikap yang baik dan tutur kata yang santun dan ramah.

✓ Akuntabel : cermat dalam menelaah budaya sapa dan salam.

✓ Kompeten : meningkatkan kompetensidiridengan belajar mengenai budaya sapa dan salam.

✓ Loyal : menerapkan nilai sila ke-4 Pancasila yaitu dengan berdiskusi dengan pimpinan untuk mencapai mufakat atau persamaan persepsi.

✓ Harmonis : menghargai setiap pendapat dan masukan dari pimpinan.

✓ Adaptif : bertindak proaktif dengan cara aktif mencatat hasil diskusi.

✓ Kolaborasi : menjalin komunikasi yang baik dengan pimpinan, berkoordinasi untuk mencapai tujuan bersama.

36
Gambar 5.2. Konsultasi dengan PJ Satelit Farmasi Kiara Ibu dan Anak

Kontribusi pada

visi dan misi

RSUPN Dr. Cipto

Mangunkusumo

Penguatan Nilai

Organisasi

Kegiatan ini berkontribusi terhadap visi RSUPN Dr. Cipto Mangunkusumo

yaitu MenjadiRumah Sakit UmumPusat Rujukan Nasional Terdepandalam

Layanan, Pendidikan dan Penelitian yang Berstandar Internasional.

Kegiataninimemberikanpenguatan terhadaptiganilai danPerilaku Utama

RSCM yaitu Kepedulian, Kolaborasi dan Keunggulan.

Kendala Pada kegiatan ini penulis tidak menemui kendala, kegiatan dapat berjalan dengan baik dan lancar tanpa kendala.

Manfaat Kegiatan Kegiatan ini sangat bermanfaat bagi penulis, karena penulis mendapatkan informasi mengenai kebiasaan sapa dan salam yang biasa diterapkan di Satelit Farmasi Kiara Ibu dan Anak serta dapat mengetahui draft Standar Sapa dan Salam Farmasi RSCM sebagai bahan untuk pembuatan draft video.

2. Hasil Capaian Kegiatan 2

Nama Kegiatan Pengukuran tingkat pengetahuan petugas farmasi tentang budaya sapa dan salam di Satelit Farmasi Kiara Ibu dan Anak.

Tanggal Kegiatan 12 - 19 Agustus 2022

Tahapan Kegiatan dan Output

a. Menyusun draft kuesioner mengenai tingkat pengetahuan petugas farmasi tentang budaya sapa dan salam di Satelit Farmasi Kiara Ibu dan Anak serta berkonsultasi dengan Penanggungjawab Satelit Farmasi Kiara Ibu dan Anak dan mentor.

Penulis menyusun draft kuesioner dengan menggunakan google form serta berkonsultasi dengan Penanggungjawab Satelit Farmasi Kiara Ibu dan Anak dan mentor.

Output:Tersusunnya draft kuesioner pengetahuan petugas farmasi tentang budaya sapa dansalam di Satelit Farmasi Kiara Ibu dan Anak.

b. Meminta persetujuan Penanggung jawab Satelit Farmasi Kiara Ibu dan Anak dan mentor perihal kuesioner mengenai tingkat pengetahuan petugas farmasi tentang budaya sapa dan salam di Satelit Farmasi Kiara Ibu dan Anak

Penulis meminta persetujuan PJ Satelit sekaligus mentor mengenai kuesioner melalui chat whatsapp.

37

Output:Kuesioner disetujui oleh Penanggung jawab Satelit Farmasi

Kiara Ibu dan Anak dan juga mentor

c. Membagikan kuesioner dan menganalisa hasil kuesioner petugas farmasi.

Penulis membagikan link kuesioner melalui chat whatsapp grup

petugas farmasi Kiara Ibu dan Anak dan menganalisa hasil kuesioner.

Output: Adanya hasil dari pengetahuan petugas farmasi tentang budaya sapa dan salam di Satelit Farmasi Kiara Ibu dan Anak.

Dari hasil kuesioner didapat data :

Sebanyak 66,7% responden menyatakan bahwa memang belum

adanya standar sapa dan salam RSCM yang membuat mereka belum melakukan penerapan budaya sapa dan salam, dan jika sudah terdapat standar sapa dan salam, seluruh responden menginginkan media sosialisasi berupa video karena lebih menarik, dan mudah dipahami.

38
Gambar 5.3. Kuesioner Survey Pengetahuan Petugas Farmasi mengenai Budaya Sapa dan Salam

Keterkaitan

Kegiatan dengan

✓ Akuntabel : Penulis

dipertanggungjawabkan.

✓ Kompeten : meningkatkan kompetensi diri dalam menyusun draft

39
Gambar 5 4 Persetujuan Kuesioner oleh Mentor Gambar 5.5. Pengisian Kuesioner oleh Petugas Farmasi menyusun draft kuesioner yang dapat

nilai-nilai dasar

PNS kuesioner.

✓ Berorientasi Pelayanan : berkoordinasi dengan pimpinan dan teman sejawat menggunakan sikap yang baik dan tutur kata yang santun dan ramah.

✓ Loyal : kegiatan diskusi dengan mentor bertujuan untuk mencapai kesepakatan sesuai dengan silake-4 Pancasila.

✓ Adaptif : mengembangkan kreativitas dalam membuat draft kuesioner menggunakan google form.

✓ Kolaborasi : menjalinkomunikasiyangbaikdenganpimpinan, berkoordinasiuntuk mencapai tujuan bersama.

✓ Harmonis : menghargai teman sejawat farmasi yang telah bersedia mengisi kuesioner.

Kontribusi pada

visi dan misi

RSUPN Dr. Cipto

Mangunkusumo

Penguatan Nilai Organisasi

Kegiatan ini berkontribusi terhadap Misi RSUPN Dr. Cipto Mangunkusumo yaitu menyelenggarakanPendidikan yang menghasilkan tenaga kesehatan unggul.

Kegiatan ini memberikan penguatan terhadap empat nilai dan Perilaku Utama RSCM yaitu profesionalisme, Kepedulian, Kolaborasi dan Keunggulan.

Kendala Pada kegiatan ini penulis tidak menemui kendala, kegiatan dapat berjalan dengan baik dan lancar tanpa kendala.

Manfaat Kegiatan Kegiatan ini bermanfaat bagi penulis untuk mengetahui tingkat pengetahuan petugas farmasi mengenai budaya sapa dan salam farmasi RSCM.

Nama Kegiatan Pembuatan Video Penerapan Budaya Sapa dan Salam Farmasi RSCM

Tanggal

Kegiatan 12 – 24 Agustus 2022

Tahapan Kegiatan dan

Output

a. Menyusun draft video Penerapan Budaya Sapa dan Salam Farmasi RSCM serta berkonsultasi denganPenanggungjawab Satelit Farmasi Kiara Ibu dan Anak dan mentor.

PenulismenyusundraftvideoPenerapanBudayaSapadanSalamFarmasiRSCM dengan berpanduan pada draft mengenai Budaya Sapa dan Salam Farmasi

40
3. Hasil Capaian Kegiatan 3

RSCM yang di dapat dari hasil pelatihan Customer Service Excellent lalu berkonsultasi dengan mentor.

Output:Tersusunnya draft video Budaya Sapa dan Salam Farmasi RSCM.

b. Membuat video Budaya Sapa dan Salam Farmasi RSCM.

Penulis membuat video Standar Sapa dan Salam Farmasi RSCM dengan berpanduan pada draft video yang telah dibuat. Pengambilan video dilakukan di Setelit Farmasi Kencana Lt. 1 pada hari Minggu saat pelayanan poli tutup agar tidak mengganggu pelayanan.

Output:Adanya video Budaya Sapa dan Salam Farmasi RSCM.

c. Meminta persetujuanPenanggung jawabSatelitFarmasi KiaraIbudanAnakdan mentor perihal video Budaya Sapa dan Salam Farmasi RSCM.

Penulis meminta persetujuan Penanggung jawab Satelit Farmasi Kiara Ibu dan Anak dan mentor perihal video Budaya Sapa dan Salam Farmasi RSCM dengan menggunakan surat persetujuan video.

Output:Video disetujui oleh Penanggung jawab Satelit Farmasi Kiara Ibu dan Anak dan juga mentor

41
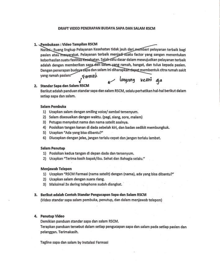
Bukti Kegiatan Gambar 5.6. Draft Video penerapan Budaya Sapa dan Salam Farmasi RSCM

Keterkaitan

Kegiatan

Link video:

https://drive.google.com/file/d/1m4MwFQhlfS92rMDoiFyLHSgadhpWyJ6R/view?usp=drivesdk

✓ Akuntabel : Menyusun draft video yang dapat dipertanggungjawabkan.

✓ Kompeten : meningkatkan kompetensi diri dalam menyusun draft video dan membuat video

42
Gambar 5.7. Hasil Video Standar Sapa dan Salam Farmasi RSCM Gambar 5.8. Surat Persetujuan Video yang ditandatangani oleh PJ Satelit Farmasi Kiara Ibu dan Anak sekaligus Mentor

dengan nilainilai dasar PNS

✓ Berorientasi Pelayanan : berkoordinasi dengan pimpinan dan orang yang membantu dalam pembuatan video menggunakan sikap yang baik dan tutur kata yang santun dan ramah.

✓ Loyal : kegiatan diskusi dengan PJ Satelit Kiara dan mentor bertujuan untuk mencapai kesepakatan sesuai dengan sila ke-4 Pancasila.

✓ Adaptif : mengembangkan kreativitas dalam menyusun draft video dan membuat video.

✓ Kolaborasi : Bekerjasama dengan pimpinan dan orang yang membantu dalam pembuatan video.

✓ Akuntabel : Membuat video yang dapat dipertanggungjawabkan.

Kontribusi pada visi dan misi

RSUPN Dr.

Cipto

Mangunkusumo

Penguatan Nilai

Organisasi

Kegiatan ini diharapkan dapat berkontribusi terhadap visi RSUPN Dr. Cipto Mangunkusumo yaitu Menjadi Rumah Sakit Umum Pusat Rujukan Nasional Terdepan dalam Layanan, Pendidikan dan Penelitian yang Berstandar Internasional.

Kegiatan ini memberikan penguatan terhadap tiga nilai dan Perilaku Utama RSCM yaitu Kepedulian, Kolaborasi dan Keunggulan.

Kendala Kendala yang penulis temui saat pembuatan video adalah saat mencari orang yang bersedia membantu penulis merekam video serta menjadi pasien di video, karena video diambil saat hari libur poli, petugas farmasi yang bertugas punsedikitsehingga tidak bisa membantu penulis dalam pembuatan video. Untuk mengatasinya penulis meminta bantuan kepada teman di luar rumah sakit.

Manfaat Kegiatan

Kegiatan ini melatih penulis berkolaborasi dengan banyak orang dalam pembuatan video.

4. Hasil Capaian Kegiatan 4

Nama Kegiatan Sosialisasi Video Penerapan Budaya Sapa dan Salam Farmasi RSCM kepada petugas farmasi Kiara Ibu dan Anak.

Tanggal Kegiatan 19– 26 Agustus 2022

Tahapan Kegiatan dan Output a. Meminta izin kepada Penanggung jawab Satelit Farmasi Kiara Ibu dan Anak untuk melakukan sosialisasi petugas di Satelit Farmasi Kiara Ibu dan Anak.

Penulis meminta izin untuk melakukan sosialisasi video standar sapa dan salam farmasi RSCM di Satelit Farmasi Kiara Ibu dan Anak yang

43

Bukti Kegiatan

akan dilaksanakan pada tanggal 25 Agustus 2022 melalui surat izin sosialisasi yang ditujukan kepada PJ Satelit Farmasi Kiara.

Output: Izin untuk untuk melakukan sosialisasi petugas di Satelit Farmasi Kiara Ibu dan Anak.

b. Mempersiapkan video yang akan dipresentasikan kepada petugas Farmasi Kiara Ibu dan Anak serta berkonsultasi dengan

Penanggungjawab Satelit Farmasi Kiara Ibu dan Anak dan mentor.

Penulis mempersiapkan video yang akan dipresentasikan dan mengirimkannya melalui chat whatsapp grup agar semua petugas farmasi dapat menonton video tersebut.

Output:Video sosialisasi siap untuk dipresentasikan kepada petugas di Satelit Farmasi Kiara Ibu dan Anak.

c. Melakukan sosialisasi kepada petugas Farmasi Kiara Ibu dan Anak denganberkoordinasidenganPenanggungjawabSatelitFarmasiKiara Ibu dan Anak.

Penulis melakukan sosialisasi di Satelit Farmasi Kiara Ibu dan Anak sesuai dengan jadwal yang telah disepakati, dengan didampingi oleh PJ Satelit Farmasi Kiara.

Output : Output berupa dokumentasi, notulen serta didapatkan pemahaman dari petugas farmasi Kiara Ibu dan Anak mengenai Budaya Sapa dan Salam Farmasi RSCM.

44

Keterkaitan

Kegiatan

45
Gambar 5.9 Surat Izin melakukan sosialisasi di Satelit Farmasi Kiara Ibu dan Anak Gambar 5.10. Sosialisasi Video Sapa dan Salam Farmasi RSCM dengan ✓ Berorientasi pelayanan : meminta izin dengan sikap yang baik dan tutur kata yang santun dan ramah.

nilai-nilai dasar PNS

✓ Kolaborasi : menjalin komunikasi yang baik dengan pimpinan, berkoordinasi untuk mencapai tujuan Bersama.

✓ Akuntabel : Mempersiapkan video sosialisasi yang dapat dipertanggungjawabkan.

✓ Loyal : kegiatan diskusi dengan PJ Satelit Kiara dan mentor bertujuan untuk mencapai kesepakatan sesuai dengan sila ke-4 Pancasila.

✓ Adaptif : mengembangkan kreativitas dalam mempersiapkan video sosialisasi.

✓ Kolaborasi : menjalin komunikasi yang baik dengan pimpinan, berkoordinasi untuk mencapai tujuan bersama.

✓ Berorientasi pelayanan : menyampaikan sosialisasi dengan sikap yang baik dan tutur kata yang santun dan ramah.

✓ Kompeten : meningkatkan kompetensi diri dalam melakukan sosialisasi.

✓ Harmonis : menghargai teman sejawat yang telah bersedia meluangkan waktunya untuk mengikuti sosialisasi.

Kontribusi pada visi dan misi

RSUPN Dr. Cipto

Mangunkusumo

Penguatan Nilai

Organisasi

Kegiatan ini berkontribusi terhadap visi RSUPN Dr. Cipto Mangunkusumo yaitu MenjadiRumah Sakit UmumPusat RujukanNasional Terdepandalam Layanan, Pendidikan dan Penelitian yang Berstandar Internasional.

Kegiatan ini memberikan penguatan terhadap lima nilai dan Perilaku Utama RSCM yaitu Integritas, Profesionalisme, Kepedulian, Kolaborasi dan Keunggulan.

Kendala Sulitnya mencari tanggal untuk briefing karena padatnya pekerjaan teknis di Satelit Farmasi Kiara Ibu dan Anak.

Manfaat Kegiatan Kegiatan ini bermanfaat bagi petugas farmasi karena petugas farmasi dapat mengetahui standar sapa dan salam farmasi RSCM, sehingga dapat diterapkan dalam pelayanan sehari-hari. Penerapan sapa dan salam ini juga dapat meningkatkan kepuasan pasien terhadap pelayanan di Satelit Farmasi Kiara Ibu dan Anak RSCM.

46

5. Hasil Capaian Kegiatan 5

Nama Kegiatan Evaluasi Penerapan Budaya Sapa dan Salam kepada petugas dan pasien/keluarga pasien

Tanggal Kegiatan 26 Agustus – 9 September 2022

Tahapan Kegiatan dan Output

a. Menyusun instrumen pertanyaan.

Penulis menyusun daftar pertanyaan untuk video testimoni petugas farmasi serta menyiapkan kuesioner mengenai survey kepuasan pasien setelah dilakukan sosialisasi penerapan budaya sapa dan salam di Satelit Farmasi Kiara Ibu dan Anak.

Output:Tersusunnya instrumen pertanyaan.

b. Melakukan evaluasi kegiatan pada rekan kerja.

Penulis membuat video testimoni dari rekan sejawat mengenai video yang telah dibuat dan disosialisasikan dengan pertanyaan yang telah disiapkan.

Output:Adanya testimoni dari rekan kerja

Dari hasil testimoni rekan kerja di dapatkan hasil petugas farmasi menyukai video yang telah dibuat karena menarik, mudah dipahami dan dipraktekkan.

c. Melakukan evaluasi kepada pasien dan keluarga melalui pengisian kuesioner.

Penulis melakukan survey kepuasan pelanggan dengan kuesioner yang telah dibuat sebelumnya untuk mengetahui tingkat kepuasan pasien setelah dilakukan penerapan standar sapa dan salam farmasi di Satelt Farmasi Kiara Ibu dan Anak.

Output:Adanya hasil kuesioner pasien yang telah terisi.

Dari hasil kuesioner pasien di dapat data :

- Keseragaman sapa dan salam petugas farmasi meningkat dari survey sebelumnya 53% menjadi 74,30%.

- Kepuasan pasien terhadap sapa dan salam yang diberikan petugas farmasi meningkat dari survey sebelumnya 70% menjadi 88%.

- Perlu adanya perbaikan sapa dan salam petugas farmasi menurun dari 93% menjadi 55,40% menandakan bahwa sapa dan salam petugas farmasi sudah cukup baik.

47

Bukti Kegiatan

d. Menyusun laporan hasil evaluasi.

Penulis menyusun laporan dari hasil evaluasi yang telah dilakukan.

Output:Laporan hasil evaluasi.

Link video testimoni: https://drive.google.com/file/d/1JOGV8wgppF5YeDDC6piXZausgqzlrUP/view?usp=drivesdk

Keterkaitan

Kegiatan dengan

nilai-nilai dasar

PNS

✓ Akuntabel : Menyusun instrumen pertanyaan yang dapat dipertanggungjawabkan.

✓ Kompeten : meningkatkan kompetensi diri dalam menyusun instrumen pertanyaan.

✓ Adaptif : mengembangkan kreativitas dalam menyusun instrumen pertanyaan

48
Gambar 5.11 Video Testimoni dari petugas farmasi mengenai Video Standar Sapa dan Salam Farmasi RSCM Gambar 5.12 Survey Kepuasan Pasien

Kontribusi pada

visi dan misi

RSUPN Dr. Cipto

Mangunkusumo

Penguatan Nilai

Organisasi

✓ Berorientasi Pelayanan : meminta kesediaan rekan kerja untuk diwawancarai dengan sikap yang baik dan tutur kata yang santun dan ramah.

✓ Kolaborasi : Menjalin komunikasi yang baik dengan teman sejawat, berkoordinasi untuk mencapai tujuan bersama.

✓ Berorientasi Pelayanan : meminta pasien/keluarga pasien untuk mengisi kuesioner dengan sikap yang baik dan tutur kata yang santun dan ramah.

✓ Harmonis : menghargai pasien yang telah bersedia meluangkan waktunya untuk mengisi kuesioner.

✓ Akuntabel : Menyusun laporan hasil evaluasi yang dapat dipertanggungjawabkan.

✓ Kompeten : Menyusun laporan hasil evaluasi dengan kualitas terbaik.

Kegiatan ini berkontribusi terhadap visi RSUPN Dr. Cipto Mangunkusumo yaitu MenjadiRumah Sakit UmumPusat RujukanNasional Terdepandalam Layanan, Pendidikan dan Penelitian yang Berstandar Internasional.

Kegiatan ini memberikan penguatan terhadap lima nilai dan Perilaku Utama RSCM yaitu Integritas, Profesionalisme, Kepedulian, Kolaborasi dan Keunggulan.

Kendala Sapa dan salam farmasi belum dijalankan setiap waktu oleh petugas farmasi sehingga masih ada pasien yang belum melihat dan merasakan sapa dan salam farmasi RSCM.

Manfaat Kegiatan Kegiataninibermanfaatuntukmengetahuitestimonirekankerjamengenai video yang telah dibuat, dan juga mengetahui tingkat kepuasan pasien setelah dilakukan penerapan standar sapa dan salam farmasi RSCM di lingkungan Satelit Farmasi Kiara Ibu dan Anak.

49

5.3. Rencana Tindak Lanjut

No. Kegiatan Output

1. Melakukan

koordinasi dengan

Kepala Instalasi

Farmasi untuk

mensosialisasikan

video standar sapa

dan salam farmasi

RSCM melalui

media sosial

internal instalasi

farmasi dan juga

seluruh satelit

farmasi melalui

para PJ Satelit.

2. Melakukan evaluasi

dan monitoring

implementasi sapa

dan salam farmasi

RSCM.

Izin untuk

melakukan

sosialisasi

video standar

sapa dan salam farmasi RSCM

Waktu Pelaksanaan

Para Pihak Terkait Sumber Biaya Ketera ngan

Oktober 2022 Kepala

Instalasi

Farmasi, Seluruh petugas farmasi RSCM

-

Hasil evaluasi

penerapan

sapa dan salam farmasi RSCM

OktoberNovember 2022

Penulis, seluruh prtugas farmasi RSCM.

-

50

BAB VI PENUTUP

6.1. Kesimpulan

1. Kegiatan aktualisasi yang dilaksanakan selama kurang lebih 1 (satu) bulan ini dengan tema “Pembuatan Media Informasi berupa Video Penerapan Budaya Sapa dan Salam di Satelit Farmasi Kiara Ibu dan Anak RSUPN Dr. Cipto Mangunkusumo Tahun 2022” telah menerapkan nilai-nilai dasar PNS, yang meliputi nilai berorientasi pelayanan, akuntabel, kompeten, harmonis, loyal, adaptif, kolaboratif

2. Kegiatan aktualisasi ini sangat bermanfaat bagi petugas farmasi, pasien, dan juga rumah sakit karena setelah evaluasi didapat hasil tingkat kepuasan pasien meningkat setelah dilakukannya penerapan Budaya Sapa dan Salam oleh petugas farmasi di Satelit Farmasi Kiara Ibu dan Anak RSCM dari survey sebelumnya 70% menjadi 88%.

6.2. Saran

1. Bagi Rumah Sakit

Pihak rumah sakit diharapkan dapat membuat kebijakan standar sapa dan salam yang dapat dipergunakan dan diterapkan di seluruh unit pelayanan pasien di RS agar dapat meningkatkan kepuasan pasien terhadap pelayanan RS.

2. Bagi Unit Organisasi

• Diharapkan kerjasama kepada rekan Satelit Farmasi Kiara Ibu dan Anak untuk terus menerapkan budaya sapa dan dalam farmasi RSCM pada pelayanan seharihari.

• Diharapkan standar sapa dan salam farmasi RSCM ini dapat diterapkan diseluruh Satelit Farmasi yang ada di RSCM.

51

DAFTAR PUSTAKA

1. Undang-Undang Republik Indonesia Nomor 5 Tahun 2014 Tentang Aparatur Sipil Negara, tahun 2014.

2. Surat Edaran Menteri Pendayagunaan Aparatur Negara dan Reformasi Birokrasi No. 20 Tahun 2021 tentang Implementasi Core Values dan Employer Branding Aparatur Sipil Negara. 2021.

3. Peraturan Lembaga Administrasi Negara Republik Indonesia Nomor 10 Tahun 2021 Tentang Pelatihan Dasar Calon Pegawai Negeri Sipil, Tahun 2021.

4. Struktur Organisasi Instalasi Farmasi dan Tata Kerja RSUPN Dr. Cipto Mangunkusumo Tahun 2020.

5. LAN. (2017). Modul pelatihan dasar calon PNS: Manajemen ASN. Jakarta: Lembaga Administrasi Negara

6. https://www.bapeten.go.id/berita/sosialisasi-se-menpan-rb-no-20-tahun-2021-tentangimplementasi-core-values-berakhlak-dan-employer-branding-asn-141158

52

Lampiran Rancangan Aktualisasi

53
Lampiran
Bimbingan dengan Mentor mengenai pemilihan isu utama via Google meet. Survey pendahuluan kepuasan pasien sebelum penerapan budaya sapa dan salam farmasi RSCM
54
Hasil Survey pendahuluan mengenai kepuasan pasien sebelum penerapan budaya sapa dan salam farmasi RSCM

Lampiran Pelaksanaan Aktualisasi

Bukti Kegiatan 1

55
Tagline Sapa dan Salam Farmasi dari draft hasil pelatihan CustomerServiceExcellent.

Bukti Kegiatan 2

56
Kuesioner sebelum revisi
57
58
Kuesioner sesudah revisi sesuai arahan mentor
59
Hasil Pengisian Kuesioner oleh Petugas Farmasi
60
Bukti Kegiatan 3 Draft Video Sebelum Revisi
61
Draft Video penerapan Budaya Sapa dan Salam Farmasi RSCM setelah di revisi Bukti Kegiatan 4 Sosialisasi Video Sapa dan Salam Farmasi RSCM
62
Notulensi Briefing dan Daftar Hadir Sosialisasi Bukti Kegiatan 5 Draft pertanyaan untuk petugas farmasi
63
64
Hasil Survey Kepuasan Pelanggan setelah Penerapan Budaya Sapa dan Salam Farmasi RSCM

Grafik Hasil Survey Terhadap Pasien/Keluarga Pasien

Petugas farmasi menyapa dengan baik Salam dan Sapa Seragam/sama antara petugas 1 dan lainnya

Kepuasan pasien terhadap salam dan sapa yang diberikan oleh petugas farmasi

Perlu adanya perbaikan terhadap sapa dan salam yang diberikan oleh petugas farmasi

Form Pengendalian Aktualisasi oleh Mentor

65
0% 20% 40% 60% 80% 100% 120%
Sebelum penerapan budaya sapa dan salam Sesudah penerapan budaya sapa dan salam
66
67
Form Pengendalian Aktualisasi Oleh Coach

Turn static files into dynamic content formats.

Create a flipbook
Issuu converts static files into: digital portfolios, online yearbooks, online catalogs, digital photo albums and more. Sign up and create your flipbook.