RENOVACIÓN URBANA LA VERACRUZ, BOGOTA D.C.

Page 1

TALLER DE URBANISMO II

ANA M. VEGA NATALIA ORTIZ VALENTINA MARÍN YURI NATALIA TORRES

CENTRO TRADICIONAL

ANÁLISIS MACRO

ANÁLISIS MESO

SECTOR LAS NIEVES

LAS NIEVES UPZ 93

DELIMITACIÓN DEL POLÍGONO

LOCALIDAD ÁREA POLÍGONO SECTOR NORMATIVO TRATAMIETNO URBANÍSTICO

Santa Fe 7Ha 8 Renovación Urbana

SECTOR NORMATIVO 8 LA VERACRUZ

B B

C C C B

D D D

Sector Normativo 8 La Veracruz El borde de la AV. Jimenes hace parte del sector declarado como monumento nacional del centro histórico, su manejo esta orientado por los lineamientos específicos para los BIC de carácter nacional en articulación con las normas establecidas en el decreto 492 de 2007, el decreto 678 de 1994 y normas que los modifiquen y/o complementen.

ZONIFICACIÓN ÁREAS OCUPADAS Y LIBRES BIENES DE INTÉRES CULTURAL
A A A B C D

POBLACIÓN

Alto flujo vehicular sobre la calle 19, lo que genera contaminación de gases y partículas en el aire, disminuyendo significativamente la calidad de aire. .

Plazoleta

Déficit y desarticulación en la estructura ecológica principal, Solo se encuentra vegetación en el tramo de la calle 13 debido al eje ambiental y arborización debido a las jardineras del Parque Santander.

La mayoría de la población es flotante y se posiciona en las zonas comerciales de la calle 19 y la carrera 7.

MOVILIDAD
AMBIENTAL
ESPACIO PÚBLICO Y

La vocación del polígono es comercial, sin embargo se presenta en uso mixto (comercio-oficinas o comerciovivienda. Se destaca también el uso dotacional.

Estas dinámicas generan un gran flujo de población flotante durante el día.

CONCLUSIONES

Altos niveles de contaminación en el aire debido al déficit y desarticulación de estructura ecológica

Déficit de espacio publico debido a la alta ocupación de comercio informal, esto genera deterioro del mismo,

Alto flujo peatonal sobre la carrera 7 y el parque Santander debido al comercio informal sobre tales vías.

Bajo nivel de población residente en consecuencia del alto uso comercial y dotacional, generando así poca actividad nocturna, esto aumenta los índices de inseguridad en el sector.

Alto Flujo Vehicular

Ciclorrutas Alto Flujo Peatonal Comercio Informal Contaminación Auditiva Bienes de Interés Cultural en Deterioro

Estructura Ecológica

Alto deterioro en los Bienes de Interés Cultural en la manzana B. debido al abandono de las edificaciones y vandalismo

A
D VOCACIÓN
B C

Desconexión de la estructura ecológica principal en la UPZ las nieves, con respeto al contexto cercano.

Polígono de intervención, cuenta con un solo parque de escala urbana Corredor ecológico Eje Ambiental se interrumpe en la carrera 6 debido al transporte publico Transmilenio.

PROPUESTA CONEXIÓN

Se plantean ejes verdes a partir de reaborizacion e incremento de zonas verdes para conectar así el polígono con la estructura ecológica principal de la ciudad.

EEP
PARQUE DE LA INDEPENDENCIA PARQUE SANTANDER PARQUE DE LA MARIPOSA
A B C
A B B
PLANTA DE CUBIERTAS PERSPECTIVAS PEATONALES AXO PROPUESTA A B C

PERFIL ACTUAL CARRERA 6

PERFIL PROPUESTA CARRERA 6

PERFIL ACTUAL CARRERA 7

PERFIL PROPUESTA CARRERA

7

PERFIL ACTUAL AV. JIMENEZ

PERFIL ACTUAL CALLE

PERFIL PROPUESTA CALLE 19

MODELO DE GESTION – SEGUNDO ELEMENTO DE REPARTO ZONIFICACION VERTICAL

PERFIL PROPUESTA CARRERA 7

PERFIL PROPUESTA CARRERA 6

Se presenta un incremento en los usos ya que hay déficit según normativa del POT, la densificación en altura, englobe de predios y replanteo de usos fueron estrategias para cumplir con los porcentajes Además de aumentar el dinamismo del sector mediante nueva población residente.

19,3% 0,4% 15,9% 3,7%
INCREMENTO DE USOS
PROPUESTA
OCUPACION ACTUAL MODELO DE GESTION – SEGUNDO ELEMENTO DE REPARTO
VIVIENDA COMERCIO SEVICIOS EMPRESARIALES SERVICIOS URBANOS BASICOS USO MIXTO EQUIPAMIENTOS 5.918 M2 10.035 M2 4.077 M2 2.749 M2 6.533 M2 2.058 M2 VIVIENDA COMERCIO SEVICIOS EMPRESARIALES SERVICIOS URBANOS BASICOS USO MIXTO EQUIPAMIENTOS 193.183 M2 16.025 M2 155.191 M2 38.315 M2 95.377 M2 29.672 M2 AREA CONSTRUIDA 824.481,6 M2 AREA CONSTRUIDA 948.573 M2 AREA % AREA % 0,7 1,2 0,4 0,3 0,8 0,2 20 1,6 16,3 4 10 3
9,2% 2,8%
OCUPACION

ESTACIONAMIENTOS

Se plantean parqueaderos en sótanos de dos niveles teniendo en cuenta la densificación en altura.

CORTE LONGITUDINAL A-A’

CORTE TRANSVERSAL C-C’

CORTE TRANSVERSAL B-B’
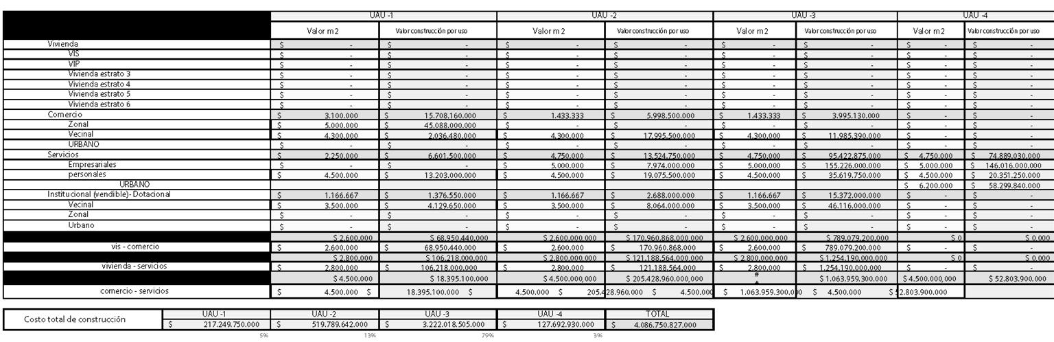
CARACTERIZACION PREDIAL - RESUMEN DE COSTOS POR MANZANA

CARACTERIZACION PREDIAL - RESUMEN DE COSTOS POR MANZANA

NORMATIVA - EDIFICABILIDAD PERMITIDA Y USOS UPZ
LAS NIEVES SECTOR NORMATIVO 8
93

AREAS URBANISTICAS PROPUESTA

AREAS URBANISTICAS ACTUALES

USOS EQUIPAMIENTOS PUBLICOS Y PRIVADOS

Se conservan principalmente los bienes de interés cultural, dotacional, equipamientos y hotelería.

Hay déficit del 0.5% en equipamientos.

PROPUESTA ENGLOBE PREDIOS

Para el englobe relacionado al parque propuesto, se utilizan los lotes que tienen por uso servicios personalesparqueaderos y comercio de escala vecinal, los cuales se reubican en la propuesta de usos.

Los demás son agrupaciones por uso que se redistribuyen.

USOS A CONSERVAR
USOS BIENES DE INTERES CULTURAL

ESPACIO PUBLICO ACTUAL

Controles Ambientales 0 m2

Espacio Público 13.805,3 m2

Superficie Verde 0 m2

Como se evidencia en el plano, no existe superficie verde, ni controles ambientales en el polígono de intervención.

UNIDADES DE ACTUACION URBANISTICA

UAU 1

UAU 2 UAU 3 UAU 4

Se plantean las UAU teniendo en cuenta la rentabilidad de las edificaciones propuestas (torres plataforma con uso mixto). Siendo así las primeras UAU las que poseen mayor índice de construcción.

UAU

PROPUESTA ESPACIO PUBLICO

UnestudiodelaOMSsegúnelcual cadabogotanocuentacon4metros cuadradosdeespacioverde,cuando lamediainternacionalmínimaesde 10metros.

Controles Ambientales Superficie Verde

0 m2

Espacio Público

26.523 m2

3.180,9 m2

Se duplico el área de espacio publico efectivo.

Se incremento en un 420% la superficie verde por habitante.

Esto descontamina el aire del sector incrementando así la calidad de vida para la población.

AREA OCUPADA Y ÁREA LIBRE
MODELO DE GESTION – PRIMER ELEMENTO DE REPARTO

CARGAS GENERALES

COSTOS CARGAS GENERALES

CARGAS LOCALES

COSTOS CARGAS LOCALES

MODELO DE GESTION – SEGUNDO ELEMENTO DE REPARTO
MODELO DE GESTION – TERCER ELEMENTO DE REPARTO UNIDADES DE ACTUACION URBANISTICA ESPACIO PUBLICO POR HABITANTE Se duplico el espacio publico por habitante. 3,2m2 1 8.201 26.523 m2 AREA UTIL EDIFICABILIADAD UAU 1 UAU 2 UAU 3 UAU 4 0 0 0 0 0

MODELO DE GESTION – TERCER ELEMENTO DE REPARTO

COSTOS SITUACION INICIAL DEL SUELO

COSTOS DIRECTOS DE CONSTRUCCION

COSTOS DE GESTION

COSTOS INDIRECTOS

VENTAS TOTALES

PRIMER BALANCE PLAN PARCIAL

MODELO DE GESTION – TERCER ELEMENTO DE REPARTO
BALANCE DEL EJERCICIO
PLUSVALIA

10-50MParaunmínimode lasuperficiedelsuelo urbanizado.

COMPACIDAD CORREGIDA

Se evidencia que el área ocupada es bastante grande respecto a la no ocupada, esto genera un déficit de espacio publico efectivo.

10-50MParaunmínimode lasuperficiedelsuelo urbanizado.

COMPACIDAD CORREGIDA

Se disminuye en un 6,5% la compacidad corregida. Esto en función de aumentar el área no ocupada para espacio publico. SUPERFICIE

La vocación del polígono es comercial, sin embargo se presenta en uso mixto (comerciooficinas o comercio-vivienda.

del polígono pasa a ser de servicios. Esto incrementa la calidad de vida para los residentes del sector, disminuyendo el tiempo de desplazamiento.

BENEFICIOS DEL PLAN PARCIAL
COMPACIDAD CORREGIDA ACTUAL
SUPERFICIE EDIFICADA BRUTA AREA OCUPADA AREA NO OCUPADA 824.481,6 M2 44.404 M2 26.532 M2 POLICENTRALIDAD
31m COMPACIDAD CORREGIDA PROPUESTA
AREA SERVICIOS TOTAL UNIDADES CONSTRUIDAS 23.186,2 m2 471,4 u CENTRALIZACION DE FUNCIONES 0,05 Servicios Personales Servicios Empresariales AREA SERVICIOS TOTAL UNIDADES CONSTRUIDAS CENTRALIZACION DE FUNCIONES 22,7 Servicios Personales Servicios Empresariales 116.379 m2 5.109 u La
EDIFICADA BRUTA AREA OCUPADA AREA NO OCUPADA 57.673 M2 33.262 M2 29m 948.573 M2
vocación

DENSIDAD RESIDENCIAL ACTUAL

VIVIENDA

BIFAMILIAR 8,4ha 2u ha 0,2u

VIVIENDA MULTIFAMILIAR

N° DE VIVIENDAS N° DE VIVIENDAS 8,4ha 184u ha 21,9u

TOTAL DENSIDAD RESIDENCIAL ha 22u

La densidad residencial es baja debido a que la mayoría de la población es flotante.

Vivienda

DENSIDAD RESIDENCIAL PROPUESTA

VIVIENDA

MULTIFAMILIAR 8,4ha

VIVIENDA DE INTERES SOCIAL

515u ha 61,3u

238u ha 28,3u

N° DE VIVIENDAS N° DE VIVIENDAS 8,4ha

1 Unidad de Vivienda Familia Biparental con hijos

TOTAL DENSIDAD RESIDENCIAL ha 89,6u

La densidad residencial aumento en un 404,5% generando así un incremento en la población residente.

Lo anterior permite generar un sentido de apropiación en el sector disminuyendo la inseguridad.

Vivienda Multifamiliar Vivienda Interés Social

BENEFICIOS DEL PLAN
PARCIAL

EJERCICIO DE NEGOCIACION DE ACTORES

ACUERDOS CONJUNTOS

Ampliación de la avenida central y construcción del sistema integrado de transporte centro comercial contiguo a la estación del metro y vivienda de alta calidad vía de acceso a los terrenos internos donde se desarrollará vivienda de estratos 4 y 5 con espacio público localizado en la ladera como articulación a la ciudad ilegal existente.

a. Accesibilidad y conectividad con las otras zonas de la ciudad

b. Construcción de un colegio y un jardín infantil

c. Que les sean reconocidos sus derechos sobre esas tierras que compraron a un urbanizador pirata

d. Que sean incluidos en un programa de mejoramiento integral de barrios y de vivienda saludable para mejorar las condiciones de habitabilidad No cuentan con servicios públicos (letrinas y aljibes) y no hay vías de acceso

e. Les gustaría participar en el proyecto solo si los localizan en los terrenos contiguos a la estación del metro

a. El propietario del terreno 2 (intermedio) no quiere desarrollar su terreno y necesitamos que el estado garantice la continuidad de la vía y la accesibilidad y conectividad de los lotes internos.

QUE PERDIO

ACTOR 1: INVERSIONISTAS/GESTORES DEL PROYECTO (propietarios terrenos 3 y 4)

INSTRUMENTOS Y MECANISMOS DE GESTION

ADQUISICION DE SUELOS

a. Enajenación de venta voluntaria del terreno 1 y 2 hacia los inversionistas.

b. Obligación de provisión VIS/VIP en procesos de urbanización, se ubica en el terreno 1 y se garantizan sus requerimientos ubicando los equipamientos (jardín infantil y colegio) en el terreno 3.

c. Cesiones urbanísticas obligatorias: vías (se plantea la via del metro y otra que conecta con los demás terrenos y el perímetro urbano), espacio público (perimetral al cuerpo de agua) que conecta con los otros equipamientos(biblioteca y polideportivo).

d. Suelos de reserva localización VIS/declaratoria de utilidad pública e. Anuncio de proyecto

f. Derecho de preferencia

g. Transferencia de derechos de construcción y desarrollo

h. Se define el proyecto como plan parcial ya que permite generar piezas urbanas debidamente planificadas , superar el desarrollo predio a predio y garantizar que las necesidades de los habitantes estén, entiéndanse servicios públicos, equipamientos, entre otros.

i. Se definen 4 unidades de actuación urbanística teniendo en cuenta las rentabilidades de los terrenos respecto a la planificación de usos y cesiones urbanísticas obligatorias como las vías que permitirán conectar el polígono con la pieza urbana

ACTOR

2: ESTADO ACTOR 3: PROPIETARIOS

DE TERRENOS

a. El propietario del terreno 2 (intermedio) no quiere desarrollar su terreno y necesitamos que el estado garantice la continuidad de la vía y la accesibilidad y conectividad de los lotes internos.

1. El propietarios del terreno 1 (frente a la vía principal) expone que el tiene proyectado el desarrollo de un centro comercial contiguo a la estación del metro y que no necesita de alianzas estratégicas para construirlo. No esta interesado en el proyecto

ACTOR 4: HABITANTES BARRIOS ILEGALES

INTERVENCION DE SUELOS

a. Enajenación voluntaria y Expropiación para fines urbanísticos (Enajenación forzosa y subasta pública, Expropiación administrativa y judicial) Declaratoria de desarrollo y construcción prioritaria Bancos Inmobiliarios (Bancos de tierras)

INSTRUMENTOS DE FINANCIACION

a. Se hace mediante el reparto de cargas y beneficios de las unidades de actuación urbanística para la financiación de los costos del desarrollo urbano según la utilidad de cada unidad

Dos vías principales que conectan el polígono con el resto del perímetro urbano

Proyecto del Metro.

Centro comercial Vivienda de interés social ( reubicación de habitantes de urbanizaciones piratas). Se garantiza el 25% de vis.

Via principal que conectan el polígono con el resto del perímetro urbano

Vivienda estrato 4 y 5

Equipamientos: Polideportivo Biblioteca Espacio publico con aproximación al cuerpo de agua.

Terreno 2 intermedio Terreno 4 Ladera Terreno 3 Urbanizaciones piratas Terreno 1 Frente via ppal UAU 1 UAU 2 UAU 3 UAU 4
UAU 2 UAU 3 UAU 4
UAU 1
Vía que conectan el polígono con el resto del perímetro urbano
Equipamiento: Jardín infantil Colegio
5
PROYECTO DEL METRO CENTRO COMERCIAL
VIS VIVIENDA ESTRATO 4 Y
POLIDEPORTIVO BIBLIOTECA JARDIN INFANTIL
COLEGIO

Turn static files into dynamic content formats.

Create a flipbook
Issuu converts static files into: digital portfolios, online yearbooks, online catalogs, digital photo albums and more. Sign up and create your flipbook.