TFG: REQUALIFICAÇÃO TRAJETO: ESTAÇÃO VILA CLARICE E PARQUE JARAGUÁ

Page 1

REQUALIFICAÇÃO TRAJETO ESTAÇÃO

VILA CLARICE E PARQUE JARAGUÁ

ana clara dér sperandio oliveira orientador: enio moro júnior centro universitário belas artes trabalho final de graduação

são
2022
paulo

REQUALIFICAÇÃO TRAJETO ESTAÇÃO VILA CLARICE E PARQUE JARAGUÁ

AGRADECIMENTOS

Agradeço primeiramente aos meus pais, Carla e Jean, por todo o apoio e incentivo tanto na faculdade quanto na vida. Ao Leon, meu parceiro que me acompanhou por todo o período da faculdade, tornando os momentos difí ceis mais fáceis e me ajudando em todos os eles. Ao meu grupo de amigos da faculdade, pelos trabalhos em grupo, com certeza sem vocês a experiência teria sido bem menos divertida. E, por fim, ao meu orientador Ênio Moro Júnior, sempre disposto a ouvir minhas ideias e discutir as propostas, me ensinando demais, obrigada por me acompanhar nesse momento tão impor tante.

4

RESUMO

O projeto tem como principal abordagem a elaboração da requalificação urba na do trajeto entre a Estação Vila Clarice da CPTM e o Parque Estadual Jara guá, localizados na subprefeitura Pirituba-Jaraguá, no estado de São Paulo. O projeto pretende entender as necessidades da área e criar soluções que atendam aos usuários da estação, parque e moradores da região, valorizando e trazendo um novo significado ao local, com implementação de novas construções que atendam ao zoneamento previsto para a região. Para chegar ao pro jeto final, foram usados três conceitos norteadores: requalificação urbana, que servirá de instrumento tanto para a recuperação das áreas degradadas quanto para a criação de elementos pertinentes à região; ecoturismo, pelo incentivo à visitação ao parque tanto pelos residentes em seu entorno quanto para os vindos de diversas partes de São Paulo; e territorialidade, para o não apagamento da história dos indígenas que vivem nas áreas de preservação do trajeto.

The main approach of the project is the elaboration of the urban requalification of the route between the CPTM Vila Clarice Station and the Jaraguá State Park, located in the Pirituba-Jaraguá subprefecture, in the state of São Paulo. The project intends to understand the needs of the area and create solutions that meet the users of the station, park and residents of the region, valuing and bringing a new meaning to the place, with the implementation of new cons tructions that meet the zoning planned for the region. To arrive at the final project, three guiding concepts were used: urban requalification, which will serve as an instrument both for the recovery of degraded areas and for the creation of elements relevant to the region; ecotourism, by encouraging visitors to the park both by residents in the surrounding area and by those coming from different parts of São Paulo; and territoriality, so as not to erase the history of the indigenous people who live in the preservation areas along the route.

ABSTRACT
5

1. APRESENTAÇÃO

1.1 tema

1.2 conceitos 1.2.1 ecoturismo 1.2.2 requalificação urbana 1.2.3 territorialidade 1.3 justificativa

1.4 objetivos 1.4.1 geral 1.4.2 específicos 1.5 métodos

2.

FUNDAMENTAÇÃO TEÓRICA

2.1 contextualização do local 2.1.1 localização 2.1.2 imagens ao longo do trajeto 2.1.3 linha do tempo

2.2 estudos de caso 2.2.1 concurso 3 estações | estação berrini | SP 2.2.2 habitação open source | aldeia guarani tekoá pyaú 2.2.3 no caminho do trem: mobilidade nas escalas local e regional na estação prefeito celso daniel/ santo andré

3. LEITURA TERRITORIAL

3.1 diagnóstico

3.1.1 usos do solo, densidade demográfica e vulnerabilidade social 3.1.2 zoneamento 3.2 problemáticas e potencialidades

06 8 8 8 9 9 10 12 12 12 13 14 14 15 16 18 18 22 24
26 26 30 32

4. PROPOSTA

4.1 implantação geral

4.1.1 rua tipo 01 4.1.2 rua tipo 02 4.1.3 rua tipo 03 4.1.4 rua tipo 04 e 05 4.1.5 rua tipo 06

4.2 descrição dos elementos

4.2.1 estação reformada 4.2.2 centro esportivo; centro cultural “coral da paz”; segundo acesso ao parque 4.2.3 pórtico de “boas vindas” para o parque/ comércio/ ponto de parada do VLP 4.2.4 acesso à trilha do pai zé; readequação da praça existente; readequação do mirante existente 4.2.5 criação de um novo mirante e funicular

4.3 ampliações de ruas 4.3.1 ampliação 01 4.3.2 ampliação 02 4.4 VLP

4.5 mobiliário urbano

5. CONSIDERAÇÕES FINAIS

6. REFERÊNCIAS BIBLIOGRÁFICAS

07
34 36 40 44 48 52 56 56 60 62 64 66 76 76 80 82 86 98 99

1. APRESENTAÇÃO

1.2 conceitos

1.2.1 ecoturismo

O Ecoturismo possui entre seus princípios a conservação ambiental aliada ao envolvimento das comunidades locais, devendo ser desenvolvido sob os prin cípios da sustentabilidade, com base em referenciais teóricos e práticos, e no suporte legal. O desenvolvimento sustentável é um conceito que visa harmonizar o crescimento econômico com a promoção da igualdade social e preservação do patrimônio natural, garantindo que as necessidades das atuais gerações sejam satisfeitas sem, contudo, comprometer o atendimento às necessidades das gera ções futuras. (Brasil, 2010, p.11)

O ecoturismo é definido de acordo com diversos fatores e atores envolvidos na atividade: as motivações dos turistas durante a viagem; o comportamento deles no meio ambiente; a preocupação do empreendimento com a base de recursos; e, além disso, é definido de acordo com os benefícios produzidos para as comu nidades locais. (Peralta, 2012, p. 5)

O ecoturismo não está à margem das condições de reprodução social, já que ele é permeado por relações produtivas e mercantis, notadamente determinadas pelo livre mercado. Ele é um instrumento ideológico que, por intermédio de qualquer relação social mediada pelo capital, pode agir seja em função da conservação ou da transformação social, dependendo do que se decida como diretriz política para o ecoturismo. Daí o apelo para a necessidade de se criar políticas públicas capazes de definir a função social do ecoturismo. (Layrargues, 2004, p. 5)

08

1.1 tema

Um projeto urbano de requalificação do trajeto entre a Estação Vila Clarice da CPTM e o Parque Estadual Jaraguá, localizados na subprefeitura Pirituba -Jaraguá, no estado de São Paulo. Também a proposta de reformas tanto na estação quanto no parque, para atrair o público e tornar esse passeio mais convidativo.

1.2.2 requalificação urbana

A requalificação urbana é sobretudo um instrumento para a melhoria das condições de vida das populações, promovendo a construção e recuperação de equipamentos e infra-estruturas e a valorização do espaço público com medidas de dinamiza ção social e económica. Procura a (re)introdução de qualidades urbanas, de acessibilidade ou centralidade a uma determinada área (sendo frequentemente apelidada de uma política de centralidade urbana).” (GUERRA, MOURA, SEICAS, FREITAS, 2006, p. 20).

“O conceito de requalificação urbana abrange as alterações, desenvolvidas de forma integrada, das características de uma área urbana que está em transição devido a um processo de declínio. ”, afirma Moreira (2007, p.120)

“A requalificação urbana visa a melhoria da qualidade de ambiente e de vida nas cidades, e envolve a articulação e integração de diversas componentes como, por exemplo, a habitação, a cultura, a coesão social e a mobilidade. ”, afirma Silva (2011, p.6)

1.2.3 territorialidade

A territorialidade corresponde às relações sociais e às atividades diárias que os homens têm com sua natureza exterior. É o resultado do processo de produção de cada território, sendo fundamental para a construção da identidade e para a reorganização da vida quotidiana. Isso significa dizer que entendemos a identidade de maneira híbrida, isto é, como processo relacional e histórico, efetivado tanto cultural como econômica e politicamente. (SA QUET, BRISKIEVICZ, p. 8)

“O conceito de requalificação urbana abrange as alterações, desenvolvidas de forma integrada, das características de uma área urbana que está em transição devido a um processo de declínio. ”, afirma Moreira (2007, p.120)

“A requalificação urbana visa a melhoria da qualidade de ambiente e de vida nas cidades, e envolve a articulação e integração de diversas componentes como, por exemplo, a habitação, a cultura, a coesão social e a mobilidade. ”, afirma Silva (2011, p.6)

09

1.3 justificativa

O Parque Estadual do Pico do Jaraguá é todo alimentado pelas bacias hidrográficas dos ribeirões Vermelho (afluente do rio Tietê), São Miguel, e do cór rego Santa Fé (afluentes do rio Juqueri). É uma importante reserva ambiental, administrada pela Fundação para a Conservação e a Produção Florestal do Estado de São Paulo - Fundação Florestal (FF), órgão vinculado à Secretaria de Meio Ambiente do Estado de São Paulo (SMA). Se localiza na parte noroeste de São Paulo, a 16 Km do marco zero na Praça da Sé, na subprefeitura do Jaraguá, e ocupa também parte do território de Perus. É parte da Marcroárea de Preservação dos Ecossistemas Naturais, e foi declarado como Patrimônio da Humanidade pela UNESCO (Organização das Nações Unidas para a Educação, a Ciência e a Cultura), na qualidade de Reserva da Biosfera, passando a integrar a Zona Núcleo do Cinturão Verde da Cidade de São Paulo. Nele estão localizadas as aldeias indígenas Tekoa Pyau, Tekoa Ytú e Itakupé e a Casa do Bandeirante Afonso Sardinha, datada de 1592, cujo nome está associado às primeiras Cavas de Ouro exploradas no Brasil. Uma delas, situada no próprio território do parque, teve influência na construção da ferrovia São Paulo Railway. A presença desses bens do patrimônio histórico, cultural e ambiental brasileiro teve possibilidade de reconhecimento como importância em conjunto no território pelos artigos 315 a 317 do Plano Diretor Estratégico - PDE (Lei 16.050/14), que define a criação de Territórios de Interesse da Cultura e da Paisagem - TICP, e que foi aprofundado nos Planos Regionais das Subprefeituras.

Sua área conta com 492,68 ha de Mata Atlântica, e destaca-se dos demais parques por possuir o ponto mais alto do município paulista, o Pico do Jara guá, com 1135 metros de altitude. São muitas as possibilidades de atividades de lazer, ecoturismo, culturais e educativas no parque, e sua presença como remanescente de área verde exerce manutenção da qualidade do meio urbano, proporcionando o equilíbrio do clima, da conservação de mananciais e de espécies nativas, além da integração com a comunidade local.

O parque tem dois acessos, um pela Estrada Turística do Jaraguá (Imagem 1) e outro pela Rua Antônio Cardoso Nogueira (Imagem 2), com 600m de distância entre eles. Existem pontos de ônibus nas proximidades dos dois acessos, onde passam as seguintes linhas: 101910 (SOL NASCENTE - TERM. PIRITUBA); 8040-10 (SOL NASCENTE - TERM. LAPA); 1896-10 (JARAGUÁ – PÇA. RAMOS DE AZEVEDO); 8047-10 (JARAGUÁ – LAPA); 8047-51 (JARAGUÁ – LAPA); 8047-41 (JARAGUÁ - ME TRÔ VL. MADALENA). Existem também duas estações de trem próximas ao parque, a Estação Jaraguá (3.1km do acesso da Estrada Turística do Jaraguá) e a Estação Vila Clarice (1.4km do acesso da Estrada Turística do Jaraguá), ambas da Linha 7 rubi da CPTM. Não existem linhas de metrô próximas.

imagem 01 - acesso estrada turística jaraguá

Imagem 2 – Acesso Rua Antônio Cardoso Nogueira

fonte: acervo pessoal

fonte: acervo pessoal

10

O entorno do parque é considerado um dos maiores eixos de expansão urbana em São Paulo, com muitas áreas de urbanização densa já consolidadas e outras de expansão. A construção do Rodoanel Metropolitano Mario Covas, que contorna o parque, estimulou a ocupação de indústrias e comércios na região.

A estação de trem mais próxima é a Vila Clarice, como já citada anteriormente, que está a apenas 1.4km do acesso da Estrada Turística do Jaraguá. Essa faz parte da Linha 7 – Rubi, e, assim como as outras da mesma linha, está bem degradada e não tem uma infraestrutura adequada para atender a popula ção que a utiliza. Seu acesso se dá pela Rua Maria José Vasconcelos Mankel, com uma grande escadaria que não garante acessibilidade (Imagem 3). Sua plataforma conta com apenas um trecho bem curto de cobertura, e para passar de uma plataforma a outra é necessário utilizar uma passarela metálica (Imagem 4). A distância entre o trem e a plataforma também é grande.

Desde de 2021 a Linha 7-Rubi foi unida com a 10-Turquesa, com o objetivo de diminuir as baldeações. Portanto, o mesmo trem vai de Jundiaí até Rio Grande da Serra, passando pela Barra Funda, Luz e Brás. Partindo do ponto em que o parque é um espaço de grande relevância para a região, pode-se per ceber que seu entorno e o acesso a ele deveriam ser mais convidativos. Apesar de existirem pontos de ônibus próximos à entrada e duas estações de trem relativamente perto, o acesso a ele se torna difícil por caminhada ou bicicleta, por não haver uma ciclovia no entorno, calçadas inadequadas e sensação de insegurança na região (Imagem 5).

fonte: acervo pessoal

Imagem 3 – Acesso Estação Vila Clarice Imagem 4 – Passarela Metálica Entre Plataformas na Estação Vila Clarice fonte: acervo pessoal fonte: acervo pessoal Imagem 5: Trajeto Entre Estação e Parque
11

A escolha de requalificar o trajeto entre a estação Vila Clarice e o Parque, e promove-lo como o principal, vem exatamente dessa proximidade entre eles e da abrangência de acessos que essa qualificação vai promover para ambos, e principalmente para a região.

É importante levar em consideração as aldeias que vivem na região, e atualmente sofrem de subnutrição dentro das áreas demarcadas, sem condições de promover seu próprio sustento através de caça ou pesca, conforme seus costumes, pela área ser de preservação e ruim para plantio. Acabam por sobreviver da venda de artesanatos e doações, tentando manter sua língua e costumes tradicionais vivos.

1.4 objetivos

1.4.1 geral

O projeto terá como principal abordagem a elaboração da requalificação urbana do trajeto entre a Estação Vila Clarice da CPTM e o Parque Estadual Jaraguá, localizados na subprefeitura Pirituba-Jaraguá, no estado de São Paulo. Também será estudada a possibilidade de reforma da estação atual, para melhor atender ao novo espaço urbano. O projeto pretende entender as necessidades da área e criar soluções que atendam aos usuários da estação, parque e moradores da região, valorizando e trazendo um novo significado ao local.

1.4.2 específicos

• Estudar o histórico da área de intervenção e elementos relevantes para o projeto;

• Levantar dados qualitativos, quantitativos e topográficos da região;

• Identificar problemáticas no trajeto entre estação e parque, e estágio de degradação da estação;

• Entender a legislação referente à área estudada;

• Pesquisar referências de projetos de requalificação urbana e ambiental já existentes para a área ou pertinentes ao tema;

• Identificar interesses, necessidades e expectativas dos usuários do par que, da estação e moradores da região;

• Propor soluções para problemas identificados no espaço entre estação e parque, visando também as áreas de reserva indígena, transformando-o em um ambiente mais adequado para os visitantes do parque e moradores da região, no que diz respeito à acessibilidade, circulação e mobilidade, infraestrutura, paisagem urbana, conforto, vegetação, saneamento e uso do solo;

• Traduzir tais propostas num projeto de requalificação da infraestrutura urbana, arquitetônica e paisagística do trajeto.

12

1.5 métodos

a. Através de consultas à bibliografia clássica, artigos atuais e coletas de dados, que servem de emba samento teórico dos temas relacionados à subprefeitura Pirituba-Jaraguá, Parque Estadual Jaraguá, Estação Vila Clarice, aldeias que vivem na região, e relação entre esses elementos com a história da evolução urbana de São Paulo num geral;

b. Coleta de dados em documentos oficiais da subprefeitura Pirituba-Jaraguá, assim como em biblio grafia pertinente, focando nos dados de Transportes, Equipamentos, Usos do Solo, Zoneamento, Topografia e Áreas de Preservação;

c. Visitas aos locais e anotações em diferentes dias da semana, ano e horários, com o objetivo de identificar as problemáticas em diferentes cenários. Também com pesquisas bibliográficas referentes ao tema;

d. Dados obtidos em pesquisas com a subprefeitura e documentos oficiais, checando a legislação da cidade, estado e país, tendo em vista sua hierarquia;

e. Pesquisa bibliográfica em teses, TFGs e doutorados, assim como textos e livros que agreguem ao tema da proposta;

f. Com os dados coletados em todas as outras etapas em mente, identificar os problemas e pensar nas soluções adequadas para cada um deles, sempre se baseando no que já foi estudado, mas sem descartar novas pesquisas para complementar as propostas;

g. Tendo as propostas claras e em mãos, cruzar elas com a área de intervenção, projetando uma requalificação urbana entre a Estação Vila Clarice e o Parque Estadual Jaraguá. O projeto será apresentado através de plantas, cortes urbanos, ampliações e perspectivas, identificando assim o projeto urbano para o trajeto.

13

2. FUNDAMENTAÇÃO TEÓRICA

2.1.1 localização

PIRITUBA/ JARAGUÁ

acesso parque acesso estação

TRAJETO (1,6KM)

SÃO PAULO

14
contextualização
local
acesso parque acesso estação fonte: acervo pessoal fonte: acervo pessoal fonte: acervo pessoal fonte: acervo pessoal fonte: acervo pessoal fonte: acervo pessoal fonte: acervo pessoal fonte: acervo pessoal fonte: acervo pessoal fonte: acervo pessoal 15
2.1
do
2.1.2 ao longo do trajeto

ATÉ SÉCULO XIV GUARANI

Antes da chegada dos Eu ropeus o povo Guarani já vivia na região há muito tempo. Sua agricultura era forte, para sobrevivência e por acreditarem ser um meio de se conectar es piritualmente ao território. Deram o nome do Pico de Jaraguá, que significa Se nhor do Vale, por ser o pon to mais alto da região.

1580

AFONSO SARDINHA

Bandeirante chega à re gião com objetivo de fa zer ocupação estratégica no Pico do Jaraguá, sen do o primeiro traficante de índios e negros.

1592

GUERRA E EXTERMÍNIO DOS ÍNDIOS

A população indígena é eli minada de sua região e se inicia a exploração de miné rio e ouro.

SÉCULO XIX ANTERIORMENTE À INAUGURAÇÃO DA ESTAÇÃO

Em sua maior parte o território de Pirituba/ Jaraguá era formado por grandes fazendas e sítios, principalmen te pelas áreas das fazendas Anastácio e Jaraguá. A fazenda Anastácio cultivava diversos tipos de pro dutos, o que tornava a região muito rica pela agricultura.

1860

CONSTRUÇÃO SÃO PAULO RAIWAY COMPANY (SPR)

A São Paulo Railway Company (SPR) foi a primeira ferrovia construída em São Paulo, e a segunda no Brasil.

1867

INAUGURAÇÃO SÃO PAULO RAIWAY COMPANY (SPR)

A ferrovia, com 159 km, ligava o município de Santos ao de Jundiaí, tendo como ponto de passagem a cidade de São Paulo. A paisagem urbana da Província de São Paulo e arredores com a implantação da Estrada de Ferro Santos Jundiaí, foi impactada de várias formas. As estações ferroviárias começam a concentrar as primeiras atividades urbanas, como oficinas, armazéns e depósitos, e propagam caminhos que interligam povoados, chácaras e sítios, vinculados a exploração mineral, florestal ou a produção agrícola. Por meio de suas es tações intermediárias, a ferrovia também começa a estruturar uma nova rede de caminhos inter-regio nais, e as estações tornaram-se centros irradiadores de ruas, ave nidas e atividades urbanas.

1890

INAUGURAÇÃO ESTAÇÃO FERROVIÁRIA JARAGUÁ

Há a inauguração da primeira estação do Jaraguá, que foi inaugurada se chamando “Tai pas”.

1885

INAUGURAÇÃO

ESTAÇÃO FERROVIÁRIA PIRITUBA

Em 1 de fevereiro de 1885 foi inaugurada a estação ferrovi ária Pirituba, pela SPR. O seu nome se deu pela forte presen ça da vegetação Taboa, que nas palavras indígenas fica Piri (taboa) e Tuba (muita).

1898

IMPLANTAÇÃO DE INDÚS TRIAS

São implantadas as primeiras indústrias na região.

2.1.3 linha do tempo
PARQUE JARAGUÁ LINHA 7 RUBI
16

1940

ANHANGUERA

Implantação da rodovia Anhan guera, que margeia a lateral do Pico do Jaraguá. 1946

1960

ÍNDIOS VOLTAM

Uma família indíge na recebe terras e volta a ocupar a re gião que pertencia.

1961

PARQUE DO JARAGUÁ

Governo Estadual cria parque no Pico do Ja raguá.

1978

RODOVIA DOS BANDEIRANTES

Rodovia dos Ban deirantes é implan tada, margeando a lateral do parque e criando uma barreira entre os moradores e ele.

1990

OCUPAÇÕES

A população começa a ocupar o entorno do par que, o que inicia grandes desmatamentos na área.

1994 UNESCO Jaraguá é reconhecido como Patrimônio Ambien tal na UNESCO, e é inte grado ao Cinturão Verde de São Paulo.

2014

RODOANEL

Se iniciam as obras do trecho Norte do Rodo anel Mário Covas, o que gera grandes impactos ambientais e sociais na região.

MUDANÇA DE NOME PARA ESTRADA DE FERRO SANTOS JUNDIAÍ (EFSJ)

A linha passou a pertencer ao governo fe deral, por isso a mudança de nome, e com ele mudaram também alguns aspectos da ferrovia como estações, vias e sistemas operacionais, padronizando, por exem plo, o projeto de arquitetura das estações construídas nesse período para atender à crescente demanda dos trens urbanos. Um exemplo disso são as estações Piqueri e Vila Clarice, muito semelhantes as esta ções do trecho Luz - Rio Grande da Serra como São Caetano, Santo André e Utinga.

1996

PRIVATIZAÇÃO

O domínio da linha passa a ser com partilhado pela concessionária MRS – Logística, que opera com trens de carga do interior ao porto de Santos e pela Companhia Paulista de Trens Metropolitanos (CPTM), que presta serviço de trens urbanos entre Esta ção da Luz e Jundiaí (Linha 7-Rubi) e entre Brás e Rio Grande da Serra (Linha 10-Turquesa).

2021

SERVIÇO 710 A partir desse ano e até os dias atu ais houve a junção entre as linhas 7 – Rubi e 10 – Turquesa, sendo pos sível a viagem direta entre as esta ções Jundiaí e Rio Grande da Serra.

17

2.2.1 concurso 3 estações | estação berrini | SP

Projeto de requalificação urbana e segurança viária em vias de alto fluxo de pedestres e veículos.

Ficha Técnica

Realização: EMBARQ Brasil , WRI Brasil, USP Cidades.

Local: Estação Berrini CPTM, São Paulo, Brasil.

Equipe: Carolina Guido, Fernanda Mercês, Rodolfo Macedo, Yuval Fogelson.

ANÁLISE

O concurso foi organizado pela Embarq Brasil juntamente com a WRI Brasil e USP CIDADES, objetivando promover melhoria para a acessibilidade e qualidade urbana no entorno das estações de trem, e a Urb-i escolheu a Berrini para o estudo. O projeto foi dividido em três fases: a primeira para implantação do projeto piloto, utilizando de tinta e mobiliário para uma intervenção mais rápida e eficaz; segunda fase para arborização de viário, drenagem e fiação; e na terceira uma fase com obras de maior escala, envolvendo agentes públicos e privados para realização, como a conexão entre os dois lados do rio e alteração de usos.

JUSTIFICATIVA DA ESCOLHA

Escolhi esse projeto principalmente por se tratar de uma requalificação no entorno de uma estação de trem, assim como o que estou trabalhando. A forma com que melhoraram a segurança do caminhar dos pedestres, implantação de ciclovia e ajustes no viário e usos do solo, são uma grande inspiração para o que estou pretendendo. Por fim, achei muito interessante a forma com que dividiram o projeto em fases, trabalhando tanto a escala do pedestre quanto uma escala urbana maior, com setorizações e implementação de uma pon te para conexão, tornando a realização do projeto bem mais organizada e possível.

18

2.2 estudos de caso

Imagem 6 – Fase 1: Tinta e mobiliário

fonte: Urb-i, Brasil, 2015

19

Imagem 7 – Fase 2: Arborização, drenagem e fiação

fonte: Urb-i, Brasil, 2015

20

Imagem 8 – Fase 3: Empreendimentos e operações de iniciativa conjunta

fonte: Urb-i, Brasil, 2015

21

2.2.2 habitação open source | aldeia guarani tekoá pyaú

Proposta de habitação social para aldeia Tekoá Pyaú.

Ficha Técnica

Projeto: Trabalho de Conclusão de Curso de Fiama Dias de Souza. Local: Reserva indígena, situada no bairro Jaraguá, zona noroeste de São Paulo. Ano de publicação: 2015.

ANÁLISE

O projeto se baseia na história e cultura da tribo indígena Tekoá Pyaú e em suas caracte rísticas de arquitetura tradicional para desenvolver uma proposta de habitação pertinente e respeitosa com a população. Trás, então, uma proposta de construção viável, acessível e sustentável para a área, utilizando como base o conceito de arquitetura open source, que basicamente é uma “arquitetura livre”, onde se é disponibilizada a forma de construção, e os próprios habitantes da área tem a liberdade de implantar o projeto, sem depender de órgãos públicos. Também utiliza o bambu para o projeto, material sustentável, e faz alguns estudos de como implementar essa proposta na área.

JUSTIFICATIVA DA ESCOLHA

O projeto estudado trabalha exatamente na área que quero fazer a requalificação urbana, mostrando uma solução coerente para resolver a questão de vulnerabilidade onde a tribo vive atualmente. Não pretendo chegar na escala de projeto de edificação das moradias, mas o estudo da forma como Fiama chega na distribuição de usos no terreno é uma grande inspiração.

22

Imagem 9 –Diferentes implantações e tipologias

23
fonte: Souza, Fiama. Habitação Open Source, Aldeia Guarani Tekoá Pyaú.

2.2.3 no caminho do trem: mobilidade nas escalas local e regional na estação prefeito celso daniel/ santo andré

Projeto de nova estação ferroviária.

Ficha Técnica

Projeto: Trabalho de Conclusão de Curso de Bruno dos Santos Andrade. Local: Estação Prefeito Celso Daniel/ Santo André. Ano de publicação: 2019.

ANÁLISE

A proposta estuda a história de Santo André e como foi o desenvolvimento ferroviário, e reconhece que as estações de trem devem ir além da função de transporte, acabam se tornando parte da identidade do lugar. Assim, propõe uma nova estação para a cidade, solucionando os problemas da atual e trazendo elementos de sua antiga fachada para a proposta.

JUSTIFICATIVA DA ESCOLHA

O projeto analisado é de uma nova estação de trem para a cidade, assim como estou querendo propor para a Estação Vila Clarice, que também é uma estação antiga e com proble mas de acessibilidade e deterioração. A identificação com a arquitetura que Bruno propõe é imediata, e me chama atenção o fato dele ter escolhido o mesmo local da estação antiga para propor a nova, o que penso em fazer também.

24

Imagem 10 –Perspectiva da estação remodelada.

25
fonte: Andrade, Bruno. No Caminho do Trem: Mobilidade nas Escalas Local e Regional na Estação Prefeito Celso Daniel/ Santo André.

3.1.1 usos do solo, densidade demográfica e vulnerabilidade social

Mapa 1 - Usos do Solo

fonte: Elaboração própria a partir de informações do Geosampa e Google Maps

3. LEITURA TERRITORIAL

26

3.1 diagnóstico

fonte: Elaboração própria a partir de informações do Geosampa e Google Maps

27
Mapa fonte: Elaboração própria a partir de informações do Geosampa e Google Maps
28
Mapa 3 - Vulnerabilidade Social

Pode-se observar dois momentos na região: um próximo à estação, com usos predominantemente residenciais e de médio e alto padrão, e até com alguns pequenos pontos comerciais; e outro ao ultrapassar a barreira principal desse trajeto, o túnel abaixo da Rodovia dos Bandeirantes. Nesse segundo momento, principalmente por conta dessa barreira física, conseguimos observar tanto por imagens quanto pelos mapas de Usos do Solo e Vulnerabilidade Social que a situação se torna mais precária. Também é observado que ao ultrapassar o túnel nos são mostradas as áreas de preservação, que abrangem as Aldeias e o Parque Estadual Jaraguá. Com isso é possível concluir que tanto a barreira quanto o descaso do governo com a população indígena fazem essa diferença ser tão gritante.

29

É possível verificar

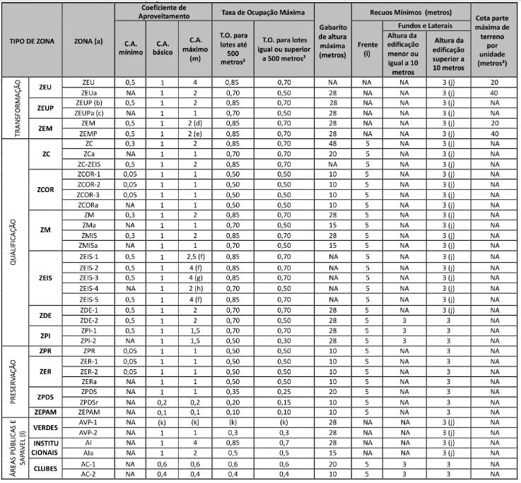
no entorno da Estação Vila Clarice existe um grande incentivo para aumento de gabarito e uso misto, por se tratarem de ZEU e ZM. Ao cruzar o túnel abaixo da Rodovia dos Bandeirantes, podemos perceber uma mudança de cenário, com uma grande predominância de áreas de preservação e uma de ZEIS - 2

ZEP (Zona Especial de Preservação) -São porções do território destinadas a parques estaduais considerados unidades de conservação, parques naturais municipais existentes e outras Unidades de Conservação de Proteção Integral definidas pela legislação federal (Sistema Nacional de Unidades de Conservação), existentes e que vierem a ser criadas no Município, tendo por objetivo a preservação dos ecossistemas e permitindo apenas a pesquisa, o ecoturismo e a educação ambiental.O objetivo dessa zona é preservar as unidades de conservação, de forma a ser exigido a observação do plano de manejo de cada unidade de conservação.

ZEPAM (Zona Especial de Proteção Ambiental) -São porções do território destinadas à preservação e proteção do patrimônio ambiental, que têm como principais atributos re manescentes de Mata Atlântica e outras formações de vegetação nativa, arborização de relevância ambiental, vegetação significativa, alto índice de permeabilidade e existência de nascentes, incluindo os parques urbanos existentes e planejados e os parques naturais pla nejados. Também são considerados ZEPAM os territórios ocupados por povos indígenas até a entrada em vigor do PDE.

ZEIS - 2 (Zonas Especiais de Interesse Social) - As ZEIS existem para garantir que a política habitacional consiga bons terrenos para a produção de novas Habitações de Inte resse Social (HIS) e para que a regularização fundiária e urbanização de favelas, loteamentos irregulares e conjuntos habitacionais populares possam beneficiar os mais de 25% de habi tantes da cidade que vivem nestes assentamentos precários e informais.

ZEU (Zona Eixo de Estruturação da Transformação Urbana) - São porções do território em que pretende promover usos residenciais e não residenciais com densidades demográfica e construtiva altas e promover a qualificação paisagística e dos espaços públicos de modo articulado ao sistema de transporte público coletivo.

ZM (Zona Mista) - Zonas Mistas são porções do território em que se pretende promover usos residenciais e não residenciais, com predominância do uso residencial, com densidades construtiva e demográfica baixas e médias. A principal característica da zona mista é viabilizar a diversificação de usos, sendo uma zona em que se pretende mais a preservação da morfologia urbana existente e acomodação de novos usos, do que a intensa transforma ção.

3.1.2 zoneamento
30
que
fonte: Elaboração própria a partir de informações do Geosampa e Google Maps 31
Mapa 4 - Zoneamento

3. LEITURA TERRITORIAL problemáticas

ALTA VULNERABILIDADE SOCIAL

RESERVAS INDÍGENAS EM NEGLIGÊNCIA NÃO PADRONIZAÇÃO DE CALÇADAS POUCA DIVERSIDADE DE USOS

SENSAÇÃO DE INSEGURANÇA AO CAMINHAR

NÃO HÁ FAIXAS EXCLUSIVAS PARA BICICLETAS

32

3.2 problemáticas e potencialidades potencialidades

VALORIZAÇÃO DA CULTURA INDÍGENA

ZONEAMENTO PREVÊ UMA MAIOR DIVERSIDADE DE USOS

LOCALIZAÇÃO E FÁCIL ACESSO AO PARQUE POR TRANSPORTE PÚBLICO

PARQUE COM BOA INFRAESTRUTURA E POTENCIAL

TURÍSTICO

PROXIMIDADE COM A RODOVIA DOS BANDEIRANTES

33

A proposta consiste em uma requalificação urbana e adição de elementos para atrair o público ao Parque Estadual Jaraguá, ao mesmo tempo que valoriza a aldeia indígena que reside em seu entorno. Para a representação foram numerados os elementos e pintadas as ruas que sofrerão alteração de acordo com cortes esquemáticos, que podem ser visualizados nas próximas páginas.

34

4.1 implantação geral

fonte: Elaboração própria a partir de informações do Geosampa e Google Maps.

35
36
4.1.1 rua tipo 01

R. Comendador J. de Matos: Proposta de readequação de rua para atender ao trajeto, mantendo duas vias de automóveis, adicionando ciclovias, canteiros, VLP e alargando as calçadas. As faixas exclusivas de VLP podem ser usadas pelos automóveis em caso de necessidade para ultrapassagens ou manobras específi-

Proposta de abertura de quadra com rua completa.

37

4.1.1 rua tipo 01 fonte: acervo pessoal

Imagem 06 - Situação atual R. Comendador J. de Matos

38

4.1 implantação geral

39
40
4.1.2 rua tipo 02

Proposta de readequação de rua interna do parque, que da acesso ao Pico do Jaraguá. Atualmente esse acesso pode ser feito por automóveis, caminhada ou ciclofaixa, mas não existe uma calçada ou faixa exclusiva para bicicletas, o que torna um trajeto arriscado se não feito por veículos, além de não ter um estacionamento próprio para esses no Pico. A proposta consiste em limitar esse acesso apenas para o VLP, a pé e bicicletas, com o objetivo de melhorar a segurança nesse caminho e democratizar o acesso.

41

4.1.2 rua tipo 02

Imagem 07 - Situação atual da rua que da acesso ao Pico do Jaraguá.

fonte: acervo pessoal

42

4.1 implantação geral

Imagem 07 - Situação atual de carros estacionados em local indevido.

fonte: acervo pessoal
43
44
4.1.3 rua tipo 03

CORTE ESQUEMÁTICO RUA TIPO 03

Av. Maria José Vasconcellos Mankel; Av. Myrim; Av. Guilherme Mankel; trecho Estrada Turística do Jaraguá: proposta de readequação de ruas, mantendo duas vias de automóveis, adicionando ciclovias, canteiros e alargando as calçadas.

45

4.1.4 rua tipo 03

Imagem 09 - Situação atual Av. Guilherme Mankel

fonte: acervo pessoal

46

4.1 implantação geral

fonte: acervo pessoal
47
Imagem 10 - Situação atual Av. Maria José Vasconcellos Mankel
05 48
4.1.4 rua tipo 04 e

CORTE ESQUEMÁTICO RUA TIPO 04

CORTE ESQUEMÁTICO RUA TIPO 05

Túnel Av. Inácia de Toledo: nesse trecho foi proposta uma divisão do túnel, deixando a passagem de pedestres, ciclofaixa e VLP em um lado, e duas faixas de veículos do outro. Os VLPs terão que revesar, só passando um por vez.

Av.

49
Venâncio Garcia Simões; R. Maj. João Joaquim Braga; Av. Guilherme Mankel; Rua Coronel Walter da Silva Porto: rua tipo 05 proposta também nas ruas existentes e propostas que circundam o trajeto.

4.1.4 rua tipo 04 e 05

Imagem 11- Situação atual Túnel Av. Inácia de Toledo

fonte: acervo pessoal

50

4.1 implantação geral

Imagem 12 - Situação atual Rua Coronel Walter da Silva Porto

fonte: acervo pessoal
51
52
4.1.4 rua tipo 06

CORTE ESQUEMÁTICO RUA TIPO 06

Av. José Alves de Mira: nesse trecho foi proposta a readequação da rua, deixando duas vias para carros, passagem de pedestres, ciclofaixas e apenas uma via para VLP. Os VLPs terão que revesar, só passando um por vez.

4.1
geral 0.60 1.50 3.00 3.00 1.50 0.60 10.20 tipo 5 calçada veículos veículos calçada ESC. 1:200 tipo 6 ESC. 1:200 0.60 2.80 1.50 3.00 3.00 3.00 1.50 0.60 1.60 calçada canteiro ciclofaixa exclusivo vlp veículos veículos calçada 17.60 LEGENDA: 1 0 Escala
implantação
53

4.1.4 rua tipo 06

Imagem 13 - Situação atual Av. José Alves de Mira

fonte: acervo pessoal

54

4.1 implantação geral

Imagem 14 - Situação atual Av. José Alves de Mira

fonte: acervo pessoal
55

4.2.1 - 1: estação reformada

56

4.2 descrição dos elementos específicos

PONTO 1: Reforma da estação Vila Clarice

A Estação Vila Clarice foi inaugurada por volta da década de 50, e fazia parte da São Paulo Railway, que ligava o município de Santos ao de Jundiaí. É, por tanto, uma estação antiga, com alguns problemas para sua utilização nos dias atuais. Esses são, principalmente, a falta de acessibilidade (imagem 15), dificuldade de locomoção entre plataformas (imagem 16) e grande distância entre o trem e plataforma (imagem

Imagem 15 - Situação atual da escadaria que da acesso à primeira plataforma da es tação

Imagem 16 - Situação atual da passarela para locomoção entre plataformas

Imagem 17 - Situação atual da distância entre trem e platafor ma, onde foi inclusive colocada uma solução provisória para garantir a acessibilidade.

57
fonte: acervo pessoal fonte: acervo pessoal fonte: Folhan Noroeste, 2022

4.2.1 - estação reformada

Para solucionar essas questões, o projeto da Progen, que está em produção, será implantado. Esse projeto foi elaborado por conta do TIC (Trem Inter Cida des), que irá oferecer o transporte entre Campinas e Palmeiras-Barra Funda, e tem uma passagem pela Estação Vila Clarice.

O projeto irá manter uma parte da edificação existente e ajustar alguns pon tos, como adequar o desnível das plataformas. A plataforma 1 será reaprovei tada e a 2 demolida e reconstruída.

Outro ponto é a construção de uma nova passarela, que dará o acesso direto à estação, e também permitirá a passagem livre de passageiros entre platafor mas. Será implantada também uma nova bilheteria e elevadores para que os usuários com mobilidade reduzida possam acessar as plataformas.

Ao leste da estação essa mesma passarela será prolongada para ultrapassar um grande vão que passará a existir por conta do TIC e trens de carga, que farão um traçado diferente da CPTM.

58

4.2 descrição de elementos específicos

Imagem 19 - Projeto em planta da passarela

Imagem 20 - Corte da passarela

fonte: Projeto elaborado pelo Progen

fonte: Projeto elaborado pelo Progen

Imagem 21 - Corte da circulção vertical

fonte: Projeto elaborado pelo Progen

Imagem 18 - Proposta para complementação da Estação Vila Clarice

fonte: Google e elaboração Progen

59

4.2.2 - centro esportivo; centro cultural “coral da paz”; segundo acesso ao parque

60

4.2 descrição de elementos específicos

PONTO 3:

Proposta

de Centro Esportivo

Próximo ao Túnel Av Imácia de To ledo existe uma Escola de Futebol, que estou propondo uma reforma e transformação em Centro Esportivo.

Imagem 22 - Escola de Futebol

PONTO 4: Proposta de Centro Cultural “Coral

da Paz”

Em frente ao primeiro acesso ao parque existe o Museu Coral da Paz, destivado no momento, mas que foi pintado pelo artista Henrique Manzo.

A ideia é criar um Centro Cultural a partir desse museu, com atividades voltadas à Aldeia, valorizando sua cultura.

Imagem 23 - Situação atual do Museu Coral da Paz

PONTO 6: Segundo acesso ao parque Reforma do pórtico, deixando com a mesma linguagem do primeiro acesso proposto.

Imagem 24 - Situação atual do segundo acesso

fonte: acervo pessoal

fonte: acervo pessoal

fonte: acervo pessoal

61

4.2.3 - pórtico de “boas vindas” para o parque/ comércio/ ponto de parada do VLP

62

4.2 descrição de elementos específicos

PONTO 5: Pórtico de “Boas Vindas” para o parque/ comércio/ ponto de parada VLP

Proponho para o primeiro acesso ao parque um Pórtico de Boas Vindas, com informativos, comércio e um ponto te parada do VLP, nos dois sentidos. O objetivo é tornar o acesso mais convidativo para os visitantes, o que atualmente não apresenta.

Imagem 25 - Situação atual do primeiro acesso ao parque

Imagem 26 - Situação pretendida do primeiro acesso ao parque

63
fonte: acervo pessoal fonte: produzido pelo autor

4.2.4 - acesso à trilha do pai zé; readequação da praça existente; readequação do mirante existente

64

4.2 descrição de elementos específicos

PONTO 7: Acesso à Trilha do Pai Zé

A Trilha do Pai Zé é uma das que existem no parque, e tem grande impor tância pois liga o momento do primeiro com o segundo acesso, chegando até os mirantes. Para ela o projeto prevê um ponto de VLP, pois atualmente muitas pessoas apressiam a vista dalí.

Imagem 27 - Acesso Trilha do Pai Zé

PONTOS

8 e 9: Readequação da praça e mirante existentes

Chegando ao Pico existe uma praça, com alguns equipamentos como parquinho, academia ao ar livre e uma marquise, que antes era usada como refeitório mas atualmente está desativada. Também há um primeiro mirante, um pouco mais baixo, com vista para a cidade de São Paulo. O projeto irá ajustar essas áreas de acordo com novo mobiliário proposto e identidade visual do parque, e criar rampas de acesso à todos os níveis da praça. Também existe um projeto em andamento da Prefeitura de São Paulo para ajuste estrutrutural da Marquise, que será implantado, retomando seu funcionamento.

Imagem 28 - Situação atual do mirante baixo

Imagem 29 - Situação atual do segundo acesso

fonte: acervo pessoal

fonte: acervo pessoal

fonte: acervo pessoal

65

4.2.5 - criação de um novo mirante e funicular

66

4.2 descrição de elementos específicos

PONTO10: Criação de um novo mirante abaixo da antena e reativação de funicular Proponho a implantação de um novo mirante. Atualmente o principal e mais alto é integrado à torre de transmissão. Esse, apesar de não ser tão convidativo, é muito visitado pelo público por conta da vista privilegiada da cidade de São Paulo. A ideia é criar um espaço totalmente pensado para o público, alheio à torre. Com esse novo equipamento e a reativação do funicular reformado (hoje em dia o acesso ao topo é feito por uma longa escadaria), a acessibilidade será garantida e o potencial turístico do parque será muito melhor aproveitado.

Imagem 30 - Situação atual da escadaria para chegar ao mirante

Imagem 31 - Situação atual de acesso ao mirante

Imagem 31 - Situação atual de acesso ao mirante

fonte: produzido pelo autor

67
fonte: acervo pessoal fonte: produzido pelo autor

4.2.5 - criação de um novo mirante e funicular

DETALHAMENTO MIRANTE

MALHA ESTRUTURAL MIRANTE - Esc 1:200

IMPLANTAÇÃO MIRANTE - Esc 1:500

68
16.03 5.00 1.59 16.03 13.70 5.00 1.50 1.59

4.2 descrição de elementos específicos

ACABAMENTO EM MADEIRA

ESTRUTURA EM TRELIÇA METÁLICA

PILAR METÁLICO 50cm DE DIÂMETRO

FIXAÇÃO POR SOLDA

PILAR METÁLICO 50cm DE DIÂMETRO

FIXAÇÃO POR SOLDA E ENCAIXE MACHO-FÊMEA

SAPATA DE CONCRETO FIXA NO SOLO COM ESPESSURA DE 1m X 2m

69

4.2.5 - criação de um novo mirante e funicular

FUNICULAR

ESTRUTURA FUNICULAR 17 LUGARES

vista superior vista inferior vista lateral direita estrutura inferior de nivelamento

Esc 1:100

70
DETALHAMENTO
2.80 2.02 8.84 0.40 0.40 1.14 7.34 1.50 0.67 1.01 0.10 2.05 7.34 0.40 0.45 1.08 8.84 3.23 3.81 1.47

4.2 descrição de elementos específicos

FUNICULAR

Proposta de implantação de dois trilhos de funicular, com alimentação elétrica por placas solares e sistema de contrapeso entre eles para a movimentação.

Foi feito um cálculo baseado no documento “Tudo o que você precisa saber sobre funicular”, do Grupo Eco & Eco, para dimensionar e calcular o número de passageiros que esse modelo atende por dia.

Em média, fazendo o caminho todo numa velocidade de 1 minuto, será possível transportar 250 passageiros por hora em cada bonde. Como o funcionamento do parque é das 7h às 16h, por dia serão transportadas em média 4500 usuários, o que é suficiente, considerando que o parque tem 10000 visitantes por fim de semana.

71

4.2.5 - criação de um novo mirante e funicular

72

4.2 descrição de elementos específicos

73

4.2.5 - criação de um novo mirante e funicular

74

4.2 descrição de elementos específicos

75

4.3.1 - ampliação 01: implantação estação

4.3 ampliações de ruas

77
4.3.1 - ampliação 01 78

4.3 ampliações de ruas

79

4.3.2 - ampliação 02

4.3 ampliações de ruas

81

CORTE TETALHADO INSTALAÇÃO VLP esc 1:50

gancho em aço galvanizado chapa metálica em aço galvanizado

asfalto brita tubulação solo compactado brita

0.45

82

4.4 VLP

Será feita a implantação de uma li nha de vlp, com duas unidades de micro-ônibus movidos à hidrogênio, cada um com capacidade para transportar 29 pessoas. Essa tecnologia é 100% nacional e foi desenvolvida pela UFRJ. Os ônibus circularão de forma rotativa durante o período de funcionamento do parque, levando os visitantes da estação até o topo do Pico do Jaraguá, e terá o mesmo valor de passagem do transporte público. Com isso, será proibida a entrada de automóveis não autorizados no parque. O objetivo principal dessa medida é tormar o acesso ao pico mais democrático e evitar a grande quantidade de carros estacionados irregularmente no parque.

83

fonte: UFRJ

84
85 fonte: UFRJ

banco com floreira

86

4.5 mobiliário urbano

87

banco com floreira central

88

4.5 mobiliário urbano

89

banco de madeira

90

4.5 mobiliário urbano

91
92

4.5 mobiliário urbano

93

,19

,54

PLANTA ESC:1/15

1.00

VISTA FRONTAL ESC:1/15

94 lixeira

4.5 mobiliário urbano

95

,30 PLANTA ESC:1/15

poste de iluminação 2,80

VISTA FRONTAL ESC:1/15

96

4.5 mobiliário urbano

97

5. CONSIDERAÇÕES FINAIS

Ao finalizar o trabalho foi possível compreender os caminhos para se fazer um projeto urbano, desde sua pesquisa até o resultado fi nal. É de se destacar a importância da base teórica bem consolida da quando se vai projetar, e também a justificativa e contribuições que o projeto terá para a sociedade.

No início da jornada do TFG havia-se pensado em apenas reformar a Estação Vila Clarice, mas depois de maiores pesquisas e discus sões o trabalho foi crescendo e tomando outro foco. Isso se tornou real a partir de muita investigação sobre o que a cidade e população precisavam.

Os objetivos específicos e gerais do projeto foram atendidos, acre dita-se que com quatro destaques que resumem o trabalho: reforma da estação; requalificação do trajeto e meio facilitado de levar os visitantes da estação até o parque (VLP); requalificação do parque em si, com maiores atrativos ao público; devolução das terras às aldeias.

98

6. REFERÊNCIAS BIBLIOGRÁFICAS

ANDRADE, Bruno. No Caminho do Trem: Mobilidade nas Escalas Local e Regional na Estação Prefeito Celso Daniel/ Santo André. 2019. 161 p. Tra balho Final de Graduação (Bacharel em Arquitetura e Urbanismo) – Universidade Presbiteriana Mackenzie, Faculdade de Arquitetura e Urbanismo, São Paulo, 2019.

BRASIL. Ecoturismo: orientações básicas. Ministério do Turismo, Brasília, Edição 2, Páginas 1- 96, 2010.

Caderno de Propostas dos Planos Regionais das Subprefeituras Perímetros de Ação Pirituba/Jaraguá. 2018. São Paulo: Prefeitura de São Paulo.

CARLOS, Jean. Estação Vila Clarice terá plataforma reconstruída e nova passarela de acesso. Metrô CPTM, São Paulo, setembro de 2021. Disponível em: <https://www.metrocptm.com.br/estacao-vila-clarice-tera-plataforma-reconstruida-e-nova-passarela-de-acesso/>. Acesso em: 18 ago. 2022

COELHO, Thays. A ESCALA HUMANA E A TRANSFORMAÇÃO DA DINÂMICA NA ZONA EIXO DE PIRITUBA. 2021. 106 folhas. Trabalho Final de Graduação em Arquitetura e Urbanismo – Universidade São Judas Tadeu, São Paulo, 2021.

CONCURSO 3 ESTAÇÕES: ESTAÇÃO BERRINI, SP. Urb-i, São Paulo. Disponível em: <https://www.urb-i.com/3-estacoes>. Acesso em 17 jun. 2022. FFLORESTAL, Fundação para a Conservação e a Produção Florestal do Estado de São Paulo. Plano de Manejo do Parque Estadual do Jaraguá. Núcleo de Planos de Manejo. Secretaria do Estado de Meio Ambiente, 2010.

99

FREITAS, Maria/ MOURA, Dulce/ GUERRA, Isabel/ SEIXAS, João. A Revitalização Urbana: Contributos para a Definição de um Conceito Operativo. Cidades – Comunidades e Territórios, n° 12/13, Páginas 15-34, dez. de 2006.

GIL, Izabel. Territorialidade e Desenvolvimento Contemporâneo. REVISTA NERA, Ano 7, Número 4, Páginas 5-19, jan./jul. de 2004.

GONÇALVES, Ana/ JARDIM, Beatriz/ GRABOSCHI, Beatriz/ HERNANDES, Daiane/ MALERBA, Fernanda/ PAPA, Letícia/ SHIMURA, Mariana/ ZOLIO, Mariana. PLANO URBANO JARAGUÁ. 2018. 82 folhas. Trabalho Final de Graduação em Arquitetura e Urbanismo – Pontifícia Universidade Católica, Campinas, 2018.

LAYRARGUES, Philippe. A FUNÇÃO SOCIAL DO ECOTURISMO. 2004. 5 Folhas. Biologia – Universidade Santa Úrsula, Rio de Janeiro, 2004.

LIMA, Aryane. Renovação, revitalização ou requalificação urbana?. Projeto Batente, Fortaleza - CE, 20 de dezembro de 2017. Disponível em: <https:// projetobatente.com.br/renovacao-revitalizacao-ou-requalificacao-urbana>. Acesso em: 29 mar. 2022

LITTLE, Paul. Anuário Antropológico/2002-2003. Rio de Janeiro: Tempo Brasileiro, 2004

MOREIRA, Graça. Requalificação Urbana – Alguns Conceitos Básicos. ARTITEXTOS, Páginas 117-129, dezembro de 2007.

MOTTA, Aline. TEKOA PYAU UMA GUARANI ALDEIA NA METRÓPOLE. 2007. 148 folhas. Mestrado em Ciências Sociais – Pontifícia Universidade Católica de São Paulo, São Paulo, 2007.

OLIVEIRA, Fagno/ BRANDÃO, Reuber. Perspectivas do ecoturismo: uma análise sobre características e percepções locais na Floresta Nacional Saracá-Taquera, Pará - Brasil. 2015. Turismo – Universidade de Brasília, Brasília, 2004.

OLIVEIRA, Fernanda. O TERRITÓRIO GERADO PELAS ESTAÇÕES FERROVIÁRIAS: O CASO DA ESTAÇÃO PIRITUBA DA CPTM. 2016. 142 folhas. Trabalho Final de Graduação em Arquitetura e Urbanismo – Universidade Presbiteriana Mackenzie, São Paulo, 2016.

OLIVEIRA, Patricia. Métricas da paisagem e perspectivas de conservação para Parques em situação de isolamento na cidade de São Paulo: O Parque Estadual Fontes do Ipiranga (PEFI), O Parque Estadual do Jaraguá (PEJ) e o Parque Natural Municipal Fazenda do Carmo (PNMFC), Município de São Paulo (SP). 2018. 422 folhas. Pós-Graduação em Geografia Física – Universidade de São Paulo, São Paulo, 2018.

ÔNIBUS HÍBRIDO À HIDROGÊNIO. Coppe UFRJ, Rio de Janeiro. Disponível em: <https://www.coppe.ufrj.br/pt-br/a-coppe/coppe-produtos/onibus-hibrido-a-hidrogenio>. Acesso em 13 out. 2022.

100

6. REFERÊNCIAS BIBLIOGRÁFICAS

PERALTA, Nelissa. Ecoturismo de base comunitária na Amazônia: uma análise comparativa. Observatório de Inovação do Turismo – Revista Acadê mica, Rio de Janeiro, Vol. 11, Páginas 1-16, abril de 2012.

SANTOS, Bárbara/ CAVENAGUI, Airton. O processo de concretização do imaginário e a visitação no Parque Estadual do Jaraguá (SP). Revista Brasileira de Ecoturismo, São Paulo, Número do Volume 7, Número 1, Páginas 119-137, fev./abr. 2014.

SAQUET, Marcos/ BRISKIEVICZ, Michele. TERRITORIALIDADE E IDENTIDADE: UM PATRIMÔNIO NO DESENVOLVIMENTO TERRITORIAL. Caderno Prudentino de Geografia, Vol. 1, Número 31, Páginas 3-16, 2009.

SILVA, Ana Marina. REQUALIFICAÇÃO URBANA: O exemplo da intervenção Polis em Leiria. 2011. 175. Dissertação de Mestrado em Geografia – Faculdade de Letras da Universidade de Coimbra, Coimbra, 2011.

SOUZA, Fiama. Habitação Open Source, Aldeia Guarani Tekoá Pyaú. 2015. 57 p. Trabalho de Conclusão de Curso II (Bacharel em Arquitetura e Urba nismo) – Centro Universitário Senac, Faculdade de Arquitetura e Urbanismo, São Paulo, 2015.

SOUZA, Tauane. ORLA FERROVIÁRIA DE PIRITUBA: ENSAIO INTERCIDADE. 2020. 138 folhas. Trabalho Final de Graduação em Arquitetura e Urbanismo – Universidade São Judas Tadeu, São Paulo, 2020.

101

Turn static files into dynamic content formats.

Create a flipbook
Issuu converts static files into: digital portfolios, online yearbooks, online catalogs, digital photo albums and more. Sign up and create your flipbook.