




![]()













Revision of the Guide : Status and Next Steps


Dermatitis in Lean Zucker


Diabetic Fatty Rats








African Spiny Mouse (Acomys cahirinus)


Breeding Colony Management



Kansas City Branch Holds Annual Meeting













Nutritional enrichment your animals love delivered in a ready-to-use foraging gel.


































A symphony of seeds and groats mixed into an electrolyte-infused enrichment gel to keep animals occupied for extended periods.



Garden vegetables and fruits come together in a highly palatable, naturally flavored gel enriched with prebiotic fiber and electrolytes.




The inclusion of seeds, nuts, fruits, and vegetables encourages natural foraging behaviors and intrigues even the pickiest of species.
Leadership
People & Places
PROfiles
Meet Adrienne Duran, MBA, LVT, CMAR
Lines and Spines: The Art of African Spiny Mouse (Acomys cahirinus) Breeding Colony Management
By Matthew D. Boulanger, VMD, Jennifer Crosby, BS, RLATG, and Patrick A. Lester, MS, DVM, BCPS, DACLAM
INSIDE the IACUC
Revision of the Guide: Status and Next Steps
AALAS Connection
Kansas City Branch Holds Annual Meeting By Karin Wilson, MPH, CPIA
2025 National Meeting Update
Calling all GLAS applicants: Apply By February 1st
AALAS Foundation News
AALAS Foundation Announces Results of 2024 National Meeting Events
Dermatitis in Lean Zucker Diabetic Fatty Rats
By Justin Guice, PhD, Ryan Page, Anne M Raggio, Raphael Malbrue, DVM, CertAqV, DACLAM, James T.F. Wise, PhD, Claudia Husseneder, PhD, Diana G. Carvajal-Aldaz, PhD, Rhett W. Stout, DVM, PhD, DACLAM, Diana Coulon, DVM, and Michael J Keenan, PhD
2024 AALAS National Meeting Recap
EXECUTIVE COMMITTEE
PRESIDENT
James D. Macy
VICE PRESIDENT
Jori K. Leszczynski
VICE PRESIDENT-ELECT
Brian J. Ebert
PAST PRESIDENT
Robert H. Quinn
SECRETARY/TREASURER
Mark Sharpless
EXECUTIVE DIRECTOR
Thomas L. Joseph
TRUSTEES
District One
Jennifer L. Asher
District Two
Erin E. Vogelsong
District Three
Erika Wiltrout
District Four
Janet Lynn Steele
District Five
Stacy R. Cantrell
District Six
Stephen I. Levin
District Seven
Adrienne Ferguson Duran
District Eight
Katherine M. Marshall
AT-LARGE TRUSTEE
Jennifer Mitchell
Karena Thek
Gordon Yee
Jason S. Villano
Thomas L. Joseph Publisher
Ashlee Vaughn Associate Editor
Chris Lyons Associate Publisher
Degan Mesler Production
Jennifer C. Smith Editor
Heather Lampi Ad Sales
Leslie Birke Louisiana State Univ
Andrew Burich Benaroya Research Institute
Bob Dauchy Tulane Univ School of Medicine
David DeOrnellis Champions Oncology
Penny Devlin Pennsylvania State Univ College of Medicine
Sonia Doss Duke Univ Medical Center
Kelly Ethun Emory University
Glenn Jackson Cornell University
Richard Marble Oakland University
Elizabeth Nunamaker Charles River Laboratories
Sara Oglesby Abbvie
Jane Olin Edward Lifesciences
Karuna Patil Seattle Children's Research Institute
Amy Pierce Tulane Univ School of Medicine
Stacy Pritt
The Texas A&M University System
Laboratory Animal Science Professional (LAS Pro) is the official magazine for American Association for Laboratory Animal Science members. LAS Pro provides a wide range of useful resources and knowledge to the association’s 15,000 laboratory animal science professionals who are involved in advancing responsible laboratory animal care and use to benefit people and animals. All signed articles, including, committee reports, news, and commentary, reflect the individual views of the authors and are not official views of AALAS.
Authorization to photocopy portions for personal or internal use is granted by the American Association for Laboratory Animal Science. Photocopying for purposes of resale or outside distribution is prohibited unless written approval is obtained from AALAS.
Copyright 2025 by the American Association for Laboratory Animal Science.
Laboratory Animal Science Professional (USPS 010-730) is published bimonthly by the American Association for Laboratory Animal Science, 9190 Crestwyn Hills Drive, Memphis, TN 38125. Periodicals Postage paid at Memphis, TN 38101 and additional mailing offices. POSTMASTER: Send address changes to AALAS, 9190 Crestwyn Hills Drive, Memphis, TN 38125-8538.
AALAS, 9190 Crestwyn Hills Drive, Memphis, TN 38125-8538
Phone: 901-754-8620 • Fax: 901-753-0046 • Email: info@aalas.org • Web: www.aalas.org





e National Meeting in Nashville was fantastic. It was a great program with a strong exhibitor showing and located in a vibrant city. It was not surprising that the meeting attendance was higher than in Salt Lake City and demonstrates the full “come-back” of the National Meeting! And we are already in full planning force for Long Beach, CA next November. It’s a new site for AALAS with high expectations. Recognizing that the National Meeting is some way o and not always feasible to attend, your local branch and district meetings are great local options to learn and network with colleagues in your region/area. I am looking forward to attending the Texas Branch meeting in Houston in February. It looks like my travel schedule will get busier later in the spring and early summer, so I am looking forward to seeing you while I am traveling.
e new year has come. It is a natural reminder to hit the “re-set” button as well as a chronological signal that “the future is now.” To this end, the Board of Trustees will undergo board training on February 3rd which will emphasize the boards’ role in strategic planning, in addition to its required scal and other oversight responsibilities. e Board will then have a virtual winter meeting on February 24th, followed by an in-person meeting in June, in conjunction with the leadership summit at AALAS’s national o ce in Memphis. us, one goal for this year is to identify 1-2 inaugural strategic issues during the February Board meeting and begin to work on them throughout the year. No doubt, this will constitute a “busy stretch” for the Board starting in February. In addition, the Executive Committee, comprised of President, Vice President, Vice President-Elect, Past President, Secretary Treasurer, and Executive Director meet monthly to discuss emergent topics. e newest members of the Executive Committee, Mark Sharpless, Treasurer and Brian Ebert, Vice President-Elect have hit the ground running, leveraging their previous AALAS Board experiences.


On another note, I took notice of the capture of animal rights extremist David Andreas San Diego in November, who was wanted for two bombings in the San Francisco area 20 years ago. It is a reminder that there are individuals who fundamentally disagree with animal-based research at all costs, but it also demonstrates that extremists will eventually be held accountable for their actions. More globally, it is also a reminder that public opinion about animal research is controversial and split. However, we know public opinion can be positively in uenced when animal-based research is performed with the utmost care, skill, and compassion and when non-animal models are not an option. To this point, more and better non-animal model alternatives are coming. I believe the non-animal models will facilitate research not only through cost e cient and e ective animal replacement of some animal models but also through catalyzing new, more re ned animal models arising from broader preliminary work in non-animal models. Animal models are likely to become more re ned and complex as are our facility operations and all part of a future for which we are preparing. Our overarching responsibilities to animal-based research underscore the importance of what we do, why we do it, and how we do it.

With the new year, we are rolling up our sleeves to get to work. I will keep you updated as we move through the year. If you have thoughts or suggestions, feel free to reach out to any of us on the Executive Committee or your Board of Trustees representative. Hearing from the membership is great!
Jim




James D Macy, MS, DVM, DACLAM President American Association for Laboratory Animal Science


4 Laboratory Animal Science Professional January 2025




AALAS recognizes the achievements of the following members who have successfully completed their certification during November 2024.
November 2024
Debra Goodwin
Melissa Babbitt
Alyster Carter
Tyler Robert Deuel
Victoria G Donovan
Madison P Eaton
Paige Gabitzer
Martyna M Abbatello
Sonni Alvarez
Connor E Armstad
Kimberly Barteau
Kaeley N Benedict
John M Berney
Abby S Bont
Nicole Borszich
Avy Burek
Leira A Burgos-Arzola
Rachel Butler
Ariana Cast
Kayla Castleberry
Yesol Choi
Karina Abreu
Alexander Alasin
Caroline C Baker-Bailey
Jorge Marcelo Banderas
Stella C Barksdale
David Barnes
Malcolm R Bello
Ruthanne Hendricks
Sarah E Hollis
Stephen G Kallus
Audrey A Kaminski-Morris
Sarah M Kosela
Jennifer M Laskowski
Rebecca A Lilak
Jillian M Middlebrooks
Maxwell G Namey
Emma Kate Neuberger
Devanshi Ragha
Alicia C Rodgers
Jeanee R Coy
Ruth J Daghfal
Anna Rose Degroff
Kelsee Duffy
Audrey H Forth
Olivia M Fortin
Brandice R Freer
Emily D Fuentes
Jocelyn L Guallpa
Morgan K Haney
Colin W Henderson
Brian Hersey
Alexandria A Hines
Nejra Isic
Michele Jones
Jewel T Kilian
Kathryn Y King
Keri Ann Konieczka
Kyle D Kraszewski
Kelsey Lalonde
An Le
Sophie Lenoir Cestelos
Elisa Lopez
Megan Mackay
Patrick J Mengel
Brian Min
Brad M Ness
Rachel A Oeler
Majer B Berore
Hannah Bervig
Annette M Black
Matthew R Bledsoe
Brittany Boyer
Taylor K Bracciale
Adam J Bradley
Katelyn R Breault
Mark Brinker
Izabella A Buchanan
Martin B Burgos
Kristin A Cantwell
Cheyenne F Capito
Taylor Castillo
Elizabeth Rodriguez
Orlando C Roman
Madison P Rorex
Nicole R Sadori
Trisha Shaffer
Nur Zaliana Zaini
Lea Patterson
Julie A Persac
Adam Potter
Alicia N Ransom
Lizzet Andrea Ricalde Otero
Kimberly M Spadafora
Jillian E Spera
Alexandra L Sprinkle
Thomas J St Pere
Erin Stelljes
Jade N Swanson
Sue Swope
Amanda D Wells
Mikayla Wood
Kevin Jose Castillo-Arzuza
Ariana A Chambers
Marena S Chambers
Donald M Chaney
Nina Clark
Stephanie Clark
Johnna Comfort
Julia A Connor
Maria A Connor
Lauren Devin Crerand
Haley Doohan
Lauren Dunlap
Olivia A Eaton
Myesha Edmonds
Victor Hugo Estrada
Brittany Fisher
Christian J Flannery
Colby R Fletcher
Allison Flowers
Lee Frias
Mickey J Frisbie
Marcia Gannon
Mary Grace Gerkin
Chase Gonzales
Jazaria Hamer
Harry He
Jermaine J Head
Brytani Henry
Ivy C Herkert
Kaitlin Hossom
Abigail L Huff
Alexandra M Hunt
Melony Johnson
Dayaun Kim
Kelly M King
Joseph Kuhn
Amy H Lane
Molly J Lane
Jacob G Lashley
Ashley Renee Lawless
Cassandra N Lopez
Samuel Oliver Lyons
Neil K MacLeod
Kelly Mathias
Morgane E McDonald
Blair McKinney
DaTori T Medlow
Nataly Millan
Alice G Millan Mendoza
Sarah Jo Miller
Erynn Mills
Olivia J Moore
Annie C Moran
Castille La Seine Ngo Yomba
Khang Danny Ngoc Nguyen
Wyatt W Nyswaner
Drake Ocampo
Whiton P Odiorne
Theodore Olceski
Maria J Pabst
Deborah N Parker
Pranali M Patel
Matthew Pattuinan
Catherine A Paul
Pearla J Paz
Jordan Piedra
Anthony D Ramirez
Rhyan Rasmussen
Rebecca Reth
Cristal Jazmin Rojas
Samantha T Rovetto
Sofia A Saenz Aguirre
Ashley G Salas
Bryer S Saville
Cody R Saxe
Benjamin K Schepp
Brittney Lauren Schofill
Savannah Scott
Allie Seok
Samantha Shaneybrook
Nicole S Silva
Sergio Silva Morales
Alexandra Sistena-Kerin
Madison Smith
Mary Ellen Smyth
Kendra A Sochor
Madeleine Sorbonne
Stasia Spakowski
Jerry A Sportsman
Conner Thibodeau
Hannah M Thompson
Heather M Thompson
Korinne L VanderRoest
Amber Vaughn
Judith Vega
Bianca V Wass
Brittney M Wells
Brandon Wheeler
Kristin A Wood
Xiaoli Wu
Kevin Xie
Mykola Yuzhakov


Facility/Employer: The University of Texas MD Anderson Cancer Center
Job Title: Associate Director, Animal Resources
How did you get in this eld?
When I was in vet tech school we had a one semester lab animal course. At that time, I was working in a private practice (dog, cat, exotic clinic). I never thought I would work in lab animal. We had a job fair at school, and a genetics lab was at the job fair. It sounded interesting and I admit I was also drawn to having benefits. I thought I would try it out and then eventually go back to private practice, but I fell in love with lab animal medicine. The combination of the science and the fact that we could be the voice of the animals drew me in. That was over 20 years ago, and I never looked back.
Who were your mentors?
Early in my career, John Zapata was a mentor for me. He introduced me to Texas Branch AALAS and convinced me to get involved. He introduced me to lots of other people in the field, such as Brian Gillman,
who I still remain in contact with to this day. Then, I worked with a vet, Dr. Oestmann, who pushed me to get out of my comfort zone and learn more about cattle, pigs, sheep, etc. He encouraged me to work in experimental surgery, where I gained further valuable experience. In this stage of my career, I consider Morag Mackay to be a mentor for me. I have so much admiration and appreciation for all of my mentors over the years.
What are your current interests in animal science?
I love that our field is constantly changing and improving. Right now, there is so much technology out there that is new and exciting. Automation such as AMR’s or AGV’s and digitally ventilated cages just to name a few. I am also interested in other less common species that are now making unique contributions to human medicine.
Where do you see yourself in 5 years?
In 5 years, I hope to still be doing what I love. I hope to broaden my area of responsibility and be sitting in a brand-new state-of-the-art vivarium.
What is your favorite part of your job?
My favorite part of my job is seeing a spark in a technician, cage wash attendant, or vet tech who is experiencing something new for them in the lab animal field. I love it when they are excited about their
career, and I want to help them grow like those who have helped me. I love seeing their successes, like passing an AALAS certification exam, handling a new species, or successfully performing a technique for the first time. I love seeing them get promoted or give their first talk or poster at a conference.
What advice do you have for others just beginning their animal science career? When someone asks you to do something, don’t say no. You never know what you will learn from that experience or who you will meet that will be part of your professional network for years to come. Get involved with your local branches and other lab animal organizations. Get your AALAS certifications and even if they are not required. Take advantage of any learning opportunity that is available even if you don’t think you will ever use it.
What is the most rewarding aspect of your career?
The most rewarding aspect of my career is being surrounded by a team of people who truly care for the animals, the science and each other. Whether it is changing a tire in the parking lot for a coworker, going out of their way to help a researcher, or volunteering to be on site for ride out during a hurricane, I witness their dedication on a daily basis.
What is something unexpectedly interesting about your career?
When I first started in this field, I never would have imagined all the interesting things I would see. For example, I worked with cattle with LVADs, I have worked with prions and anthrax, and now I can say that my team takes care of mice who contributed to a Nobel Prize. I would have not seen any of those things if I had stayed in private practice.
What companion animals do you have?
I have three rescue dogs and two rescue cats. I would love to talk to you about my pets all day and tell you their stories.
Best binge-watching TV series?
I don’t have a lot of time to watch tv these days, but some that I have binged in the past are: Sons of Anarchy, Game of Thrones, and The Big Bang Theory.

What are your favorite hobbies?
Photography is a hobby of mine. I take portraits of humans from newborns to 90+ years old, but I also volunteer taking portraits of rescue animals to help them get adopted. You would be surprised how much difference a good photo can make

for getting these babies into forever homes.
Where is your dream vacation spot? I love anywhere with a beautiful beach, hiking, and wildlife.
What is your favorite dessert?
Anything chocolate. I even ate a chocolate covered cricket once.




By Matthew D. Boulanger, VMD, Jennifer Crosby, BS, RLATG, and Patrick A. Lester, MS, DVM, BCPS, DACLAM
There is growing interest for spiny mice ( Acomys spp.) in research—searching PubMed for spiny mice (i.e., (“spiny” AND “mouse”) OR (“Acomys ”)) suggests that the number of publications between 2010 and 2020 has doubled. However, breeding spiny mice can be challenging, as they have multiple characteristics that set them apart from mice of the genus Mus, including a unique ecology.
Mice of the genus Acomys were classified in the early 18th century for the appearance of their coat and named “pointy mice” from “acme-” and “-mus,” respectively, for their large hairs.2 Since then, it has been discovered that multiple structures within their skin are enlarged, leaving a relative lack of connective tissue compared to Mus and predisposing them to tearing of the skin. This trait is considered a potential predator evasion technique, allowing for autotomy or shedding of the skin for escape. Perhaps an adaptation in response to autotomy, a marked and uniquely scarless regenerative capacity has also been identified.6
However, Acomys have multiple unique characteristics beyond their regeneration that make them interesting for study. They have bony tissue along their tail skin, menstruate, demonstrate a prolonged gestation period for rodents, and produce precocial pups.1,4,5 All of these traits should be considered when establishing a breeding program, in addition to species-specific characteristics such as behavior and autotomy.
After establishing an initial colony, at the University of Michigan we have successfully maintained approximately 25 monogamous breeding pairs of Cairo spiny mice (Acomys cahirinus). Since the development of our method, we have
successfully introduced new pairs upon arrival to our institution. This produces about 50 mice per month and aims to reduce genetic homozygosity drift.3 While the exact relatedness of individuals at introduction is unknown, non-sibling pairs were established prioritizing animals from different institutions that maintain outbred stock. All animal-related activities are approved by the Institutional Animal Care and Use Committee (IACUC), and in accord with both the


Animal Welfare Act as well as The Guide for the Care and Use of Laboratory Animals. Broadly speaking, we have noticed approximately three pups per litter, which is consistent with previously published values,2,8 with an average gestation of approximately 38 days, ranging between 34 and 42 days. Given this information, postpartum estrus has been suggested in dams, as intralitter intervals have been as short as 33 days. However, multiple differences between Acomys and Mus should be highlighted. Pups are born precocial and both parents have been observed contributing to postnatal care–starting with the dam but shifting to the sire as pups transition to solid food, typically starting around one week postpartum. Nesting behavior of dams is specialized, gathering materials into provided structures such as tunnels instead of standalone piles.
Facing all this, we have established the following protocol. Breeding pairs are co-housed in ventilated standard #3 rat cages (140 in2, Allentown Equipment Industries), which are changed biweekly. These were selected because they are ventilated, allow for more spontaneous movement, and adult Acomys tend to be about a third larger than Mus- suggesting a potential corresponding surface area requirement (ie. an average adult female Acomys may weigh between 40 and 50g).5,8 Acomys are also maintained at a higher ambient temperature (74 degrees Fahrenheit) as compared to Mus, with a similar relative humidity (30-70%). During changes, mice are handled in tunnels (Rat Tunnel or Retreat, Bio-Serv, Flemington, NJ); however, other techniques have been published such as cupping with a towel.8 These tunnels are otherwise provid-
ed as enrichment with a minimum of two per housing unit. Furthermore, it appears the spiny mice choose to interact with the tunnel throughout multiple life stages (Figure 1). Every cage is also provided with destructible enrichment (wooden blocks or sticks, Nyla bones) and additional nesting material (Enviro-Dri, nestlets, paper bags). When provided running wheels (Mouse Igloo and Fast Tracs, Bio-Serv, Flemington, NJ) from a young age, spiny mice demonstrate lifelong aptitude. Spiny mice are provided ad lib water via a bottle or lixit, and when available mouse-sized overhead wiring (Wire Bar Lid, Allentown Inc., Allentown, PA) allows for climbing. Chow is provided either in a crock (Small Animal Crock Dish, Ethical Products, Bloomfield, NJ) or scattered on the floor (Harlan Teklad Pellets: 2014). Sunflower seeds may be an offered component of Acomys diet,8 and while they appear to be an exceptionally high-value resource with potential for behavioral training motivation, we do not recommend offering seeds as enrichment due to associated behaviors such as fighting, and the high-fat content– as the species is predisposed to diabetes.7
Monogamous pairs consist of one male and one female (6–7 weeks old) from different parental lines to maintain outbred stock. The species communicates readily with olfactory cues, so transferring bedding from previous housing may aid in transitions either at pairing or at cage transitions.2 Furthermore, we introduce females into the male’s homecage to limit potential negative conspecifics. Pups are weaned at four weeks, and within one-week anogenital
distance is used to sex litters for distribution into breeding pairs, as seen in Figure 2.10 If breeding pairs are not desired, litters may be arranged into same-sex housing with up to five mice per cage. Larger caging may permit higher housing density, yet performance indices and wellbeing should be determined. It is desirable to keep same-sex littermates together and for all social transitions to occur as close to weaning as possible. Enrichment may help limit negative conspecific interactions, such as an increased number of available tunnels. As observed in rabbits, chasing may be observed during initial interactions between non-littermates; however, animals should be separated if negative interactions are noted in the absence of fleeing.9 We therefore recommend monitoring new pairs for a minimum of five minutes following introduction to track the progression of potential chasing behaviors. Like rabbits, we have found the absence of fleeing to be a poor indicator for pair success. Introductions of adult animals may be more challenging. Breeders are retired if pups are not noted within 3 months. At this time, males may be introduced to a novel female, but we do not recommend introducing multiparous females to novel males. While challenging, maintaining a breeding colony of spiny mice can be rewarding, as they share multiple favorable traits with mice of the genus Mus such as large litter sizes, short interlitter periods, and docile demeanor towards humans. However, we have noticed that Acomys demonstrate traits of semi-social animals, which should be reflected in their husbandry. Because their natural ecology includes arid regions with rocky cliffs, we recommend offering multiple opportunities to climb and burrow with environmental enrichment while limiting stocking density. We hope this allows for and directs future work towards investigating optimized enrichment programs for their care, welfare, and subsequent productivity.
Matthew D. Boulanger, VMD is a Postdoctoral Research Fellow at the University of Michigan, Ann Arbor, MI.
Jennifer Crosby, BS, RLATG is a Breeding Colony Specialist at the University of Michigan, Ann Arbor, MI.
Patrick A. Lester, MS, DVM, BCPS, DACLAM is a Clinical Professor at the University of Michigan, Ann Arbor, MI.
1. Gaire J, Varholick JA, Rana S, Sunshine MD, Doré S, Barbazuk WB, Fuller DD, Maden M, Simmons CS. 2021. Spiny mouse (Acomys): an emerging research organism for regenerative medicine with applications beyond the skin. Npj Regen Med 6:1–6. https://doi.org/10.1038/s41536-020-00111-1
2. Haughton CL, Gawriluk TR, Seifert AW . 2016. The Biology and Husbandry of the African Spiny Mouse (Acomys cahirinus) and the Research Uses of a Laboratory Colony. J Am Assoc Lab Anim Sci 55 :9–17.
3. Lutz CM, Linder CC, Davisson MT . 2012. Strains, stocks and mutant mice.
4. Maden M, Polvadore T, Polanco A, Barbazuk WB, Stanley E. 2023. Osteoderms in a mammal the spiny mouse Acomys and the independent evolution of dermal armor. iScience 26:106779. https://doi.org/10.1016/j. isci.2023.106779
5. Pinheiro G, Prata DF, Araújo IM, Tiscornia G . 2018. The African spiny mouse (Acomys spp.) as an emerging model for development and regeneration. Lab Anim 52 :565–576. https://doi. org/10.1177/0023677218769921
6. Seifert AW, Kiama SG, Seifert MG, Goheen JR, Palmer TM, Maden M . 2012. Skin shedding and tissue regeneration in African spiny mice (Acomys). Nature 489 :561–565.
7. Shafrir E . 2000. Overnutrition in spiny mice (Acomys cahirinus): beta-cell expansion leading to rupture and overt diabetes on fat-rich diet and protective energy-wasting elevation in thyroid hormone on sucrose-rich diet. Diabetes Metab Res Rev 16 :94–105. https://doi. org/10.1002/(SICI)1520-7560(200003/04)16:2<94::A ID-DMRR82>3.0.CO;2-U
8. Shkorbatova PYu, Veshchitskii AA, Mikhalkin AA, Nikitina NI, Belyaev AV, Merkulyeva NS . 2024. Breeding of the Cairo Spiny Mouse (Acomys cahirinus) in Laboratory Conditions. J Evol Biochem Physiol 60 :1347–1362. https://doi.org/10.1134/S0022093024040082
9. Thurston S, Burlingame L, Lester PA, Lofgren J. 2018. Methods of pairing and pair maintenance of New Zealand White rabbits (Oryctolagus cuniculus) via behavioral ethogram, monitoring, and interventions. J Vis Exp JoVE:57267.
10. Boulanger MD, Lester PA . 2024. The Long and Short of It: Sexing Spiny Mice (Acomys spp.). Laboratory Animal Science Professional. March-April, pg. 24–27.
By Justin Guice,
Introduction
This article describes the unexpected observance of dermatitis in lean Zucker Diabetic Fatty (ZDF) rats. We fi rst report what happened in the introduction section. Th en we describe the treatments in material and methods. Finally, we conclude with a discussion about the occurrence of dermatitis and what we recommend as an approach if other researchers encounter dermatitis in rodents. Our group used lean ZDF rats in two previously unpublished studies. In the fi rst study, we wanted to determine if insulin sensitivity/resistance (fasting insulin and glucose with homeostatic model assessment for insulin resistance, HOMA-IR) could be transferred by cecal and fecal material gavages (1 to 10 cecal and 1 to 40: fecal dilutions with saline) from obese ZDF rats to lean ZDF rats. Previously we showed that obese ZDF rats fed a diet with a high-amylose resistant starch (RS, HI-MAIZE®, Ingredion, Inc., Westchester, IL) had less insulin resistance than obese ZDF rats fed a diet with a waxy cornstarch (100% highly digestible amylopectin, AMIOCATM, Ingredion, Inc.). 2 For our current report, obese ZDF rats were fed either a lowfat diet with RS or a high fat (HF) diet with a waxy corn starch. However, in week 4 of the 7-week study, fi ve of the twelve lean ZDF rats developed dermatitis, and four were treated with a topical ointment from week 4 to the end of the study. Th ese four treated rats lost signifi cant (greater than 10%, 13-33%) amounts of body weight (Figure 1) and were unsuitable for use in statistical analysis. For the second study, another group of lean ZDF rats were used to test diff erent doses of whole grain fl our with high-amylose RS. We decided their use again was warranted because obese ZDF rats in our previous study had greater cecal contents of short-chain fatty acids (SCFA) with fermentation of the whole grain fl our with RS compared to the isolated RS. 2 Increased amounts of SCFA are usually considered benefi cial for health 6 and are used to demonstrate increased fermentation of a fi ber. 8 Also, we believed that dermatitis could be avoided in the second study by not subjecting the rats to the increased stress from treatments with initial
antibiotics’ treatment and sixteen additional gavages that the fi rst study rats experienced. Nevertheless, nineteen of sixty-eight rats developed dermatitis in the 8-week study, but the veterinarians changed the treatment to an antihistamine in the bottle of drinking water. Th is treatment was eff ective in mitigating dermatitis, and rats continued to gain weight during the study (Figure 2).
For both studies, lean (“+” produces lean) ZDF male rats [study 1, colony strain code 380 (fa/+), study 2, colony strain code 371 (+/?); nomenclature for both: ZDF-Lepr fa / Crl] arrived at six-weeks old from Charles River Laboratories (Houston, TX) and acclimated one week. Studies were approved for ethical considerations by the LSU IACUC, and were conducted in the LSU vivarium (PHS assured and AAALAC accredited). The rats were housed individually in hanging stainless steel cages with wire bottoms with a 3 × 6-inch plastic rest stop for comfort, and a plastic tube 2 inches long and 1 inch in diameter was included for enrichment. Bodyweight and food intake were measured twice a week. Rats were euthanized following the AVMA panel’s 2013 guidelines 1 for the two studies that were performed in 2015.
In the fi rst study, lean ZDF rats (n=12) were given antibiotics (Sigma-Aldrich, St. Louis, MO) as vancomycin (narrow spectrum) and meropenem (broad spectrum) at 50 mg/kg each in their drinking tap water for three days. Th en lean ZDF rats received gavages of diluted cecal contents seven times over a 3-week period from obese ZDF rats fed (for 3 weeks), either a low-fat RS diet (20% RS by weight) or a high fat (HF) diet (42% of energy) with no RS (n=3 per diet). Th is was followed by gavages of nine diluted fecal samples over a 4-week period. Lean ZDF rats are referred to as RS (n=6) or HF (n=6) based on obese donor ZDF diets. Lean ZDF rats consumed the 5001 Laboratory Rodent chow diet ad lib (Lab Diet Company, local distributor: Double “M” Feed Co., Gretna, LA) during this 7-week study.

Figure 1. Body weight data (grams) for lean ZDF rats at the end of each week of the first study. A) RS rats received gavages of cecal and then fecal transplants from obese ZDF rats fed a diet with 20% RS (resistant starch by weight of diet). B) HF rats also received similar gavages from obese ZDF rats fed a high fat diet (42% of energy). Footnote letters: A lack of a footnote letter means no dermatitis in the study, a) did poorly with dermatitis, b) removed from the study due to weight loss apparently caused by dermatitis: RS1, RS5, HF4, and HF6 had begun their major weight loss by week 4, and c) had mild dermatitis during study and was untreated. Our criterion for removal from the study was a weight loss of 10% or more of the weight. RS1 lost 38 g from 275 to 237 g (14% loss), RS5 lost 63 g from 250 to 187 (25% loss), HF4 lost 32 g from 250 to 217 g (13% loss), and HF6 lost 83 g from 250 to 167 g (33% loss).
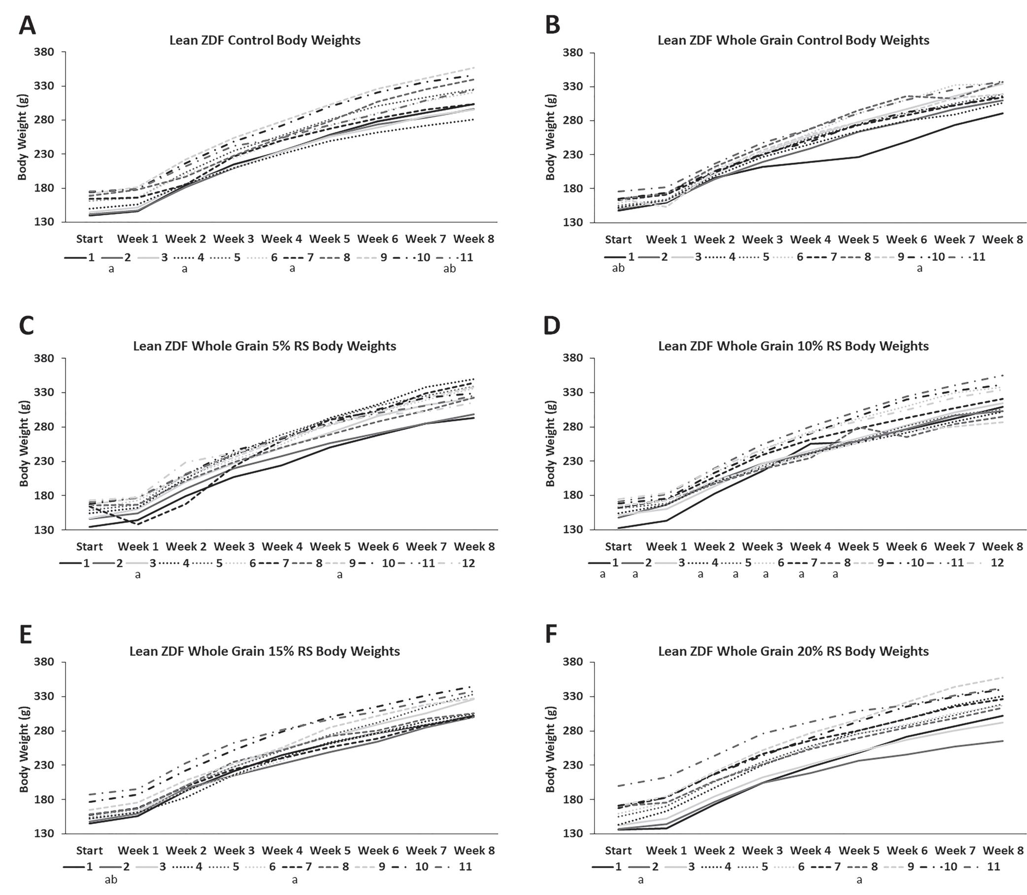
The second study was comprised of a dose-response diet study with six groups of lean ZDF rats fed diets for 8 weeks. One group (CON, n=11) was fed a control diet (containing no whole grain and had 100% amylopectin as waxy starch component with no RS). A second group was fed another control diet (WG, n=11) with whole grain flour from waxy corn. Four other groups were fed increasing weight amounts of high-amylose whole grain flour with RS in total amounts of 5% (n=12), 10% (n=12), 15% (n=11), and 20% (n=11) of the weight of the diet. All diets had 30% fat as energy. All six diets were modifications of the AIN93M diet formulations 11 with modifications to accommodate the starches and whole grain flours. The amylopectin starch and the two whole grain flours were gifts from Ingredion Inc. (Westchester, Il). All other diet ingredients were purchased from DYETS Inc (Bethlehem, PA).
The dermatitis treatments used in the first study were EnteDerm ointment (antibacterial, antifungal and corticosteroid prep for inflammation of skin, Vet One, MWI Animal Health, Boise, ID, given to four rats daily in weeks 4-7), and meloxicam (NSAID, given orally by syringe as 0.2 ml of 1.5 mg/mL, Metacam, Boehringer Ingelheim Animal Health, Duluth MN, given to four rats with one dose in week 5, and two doses in week 6). In addition, maropitant (maropitant citrate, Cerenia, Zoetis, Parsippanny, NJ) was injected for pruritis subcutaneously (1 mg/kg from a concentration of 10 mg/ml, for four rats on three days in week 7). In the second study the antihistamine hydroxyzine (hydroxyzine HCl, Atarax, Pfizer, New York, NY) was provided for 17 of 19 rats, beginning in weeks 4 and 5 until the end of the study. The hydroxyzine was used in the drinking tap water from the water bottle attached to the cage at 50 mg per 400 mL with target of 2 mg/kg daily. Meloxicam was given to three rats in week 5 for pain after taking biopsies for smear samples from dermatitis lesions that revealed bacterial infection with cocci causing septic neutrophilic inflammation.
Our aim was not to have studies focused on dermatitis, but rather to prevent the lean ZDF rats from losing significant amounts of weight and to maintain viable studies. Unfortunately, this aim was not achieved for our first study. Therefore, the veterinarians tried a new treatment for the second study successfully replacing EnteDerm ointment with hydroxyzine in drinking water. We believe this change of treatment succeeded in avoiding significant weight loss whether dermatitis was mild (limited irritation), moderate (greater spread of irritation), or severe (sores present), in contrast to EnteDerm which did not prevent weight loss. Similarly, Skiles et al. reported that neither of their two topical treatments (triple antibiotic ointment or Columbia wound powder) for dermatitis in phenotypically selected to prefer drinking alcohol (“P”) rats was effective to treat dermatitis.13 We believe that hydroxyzine was the more effective treatment because the lean ZDF rats with mild to moderate and severe dermatitis in our second study all had healing of the dermatitis condition, avoided weight loss and remained in the study.
Our goal in writing this article is to alert other researchers to the possibility that lean ZDF rats may be susceptible to the development of dermatitis. Increased dermatitis susceptibility of lean ZDF rats is supported by the lack of occurrence of dermatitis in our numerous studies with several types of rats and mice over many years consuming dietary RS. 9,12,14 To date there are no records in literature reporting dermatitis susceptibility in lean ZDF rats. 3-5,7 It is possible that dermatitis in lean ZDF rats is exacerbated under certain conditions but also that other studies did not report mild dermatitis or dermatitis that was successfully treated without any negative effects on the studies.
In the first study, dermatitis was first detected in week 4 of the 7-week study as five rats (designated as RS1, RS5, HF1, HF4, and HF6 based on diet of obese ZDF rats from whom cecal and fecal material for gavages were obtained) developed

mild skin lesions in their scapular regions. At the beginning of week 5, the resident veterinarian (RM) began using EnteDerm ointment treatment for RS1, RS5, HF4, and HF6 because they lost weight as the rest of the rats continued to gain weight (Figure 1) and they had the worst dermatitis signs. The dermatitis for HF1 remained mild throughout the study without any treatment. Mid-week of week 5, RS1, RS5, HF4, and HF6 received their first meloxicam dose. During week 6, these same four rats received their second and third doses of meloxicam, and in week 7, were treated for pruritis with maropitant for several days.
In the second study during week 3 of the 8-week study, we noticed mild to moderate excoriation and ulcerations behind ears and on dorsal scapular and cervical regions for three lean ZDF rats designated as 10%RS8, 15%RS2, and
15%RS7. Rat 15%RS2 had the worst lesions, 10%RS8 was moderately affected and 15%RS7 was the least affected. At the beginning of week 4 a check of all rats was performed that confirmed the more widespread dermatitis in ten rats with three from week 3 and seven more from week 4. Seven of the ten rats had mild signs: 5%RS3 had a lesion on its left shoulder, 5%RS9 showed a lesion on its left ear and excoriation on crown of head, 10%RS4 had a lesion on its right ear, 10%RS7 showed minor lesions on both its ears, 15%RS7 had lesions on its right shoulder, 20%RS2 showed a small ulceration on its left shoulder, and 20%RS8 showed a lesion on its upper right arm. Three rats had moderate to severe lesions, which means open sore ulcerative lesions were present: WG1 had lesions on both its ears, and large lesions of 1-2 cm on both its scapulae. 10%RS8 showed
lesions on both its ears and scapular lesions bilaterally, and 15%RS2 showed lesions on both its ears, both scapular regions and its whole dorsum (back). Later in the week the same rats plus an additional five rats (CON11 and 10%RS1, 2, 5, and 6) had lesions that were mild. These 15 rats had a similar timeframe of discovery as in study 1 (around week 4). The manager veterinarian (DC) and the resident veterinarian (RM) discussed the possible treatment options with the goal of avoiding the weight loss that was observed in the first study (Figure 1). This discussion resulted in a change of the major treatment from EnteDerm to the antihistamine hydroxyzine provided in the tap drinking water. From this point on, the drinking water was changed out weekly with a new dose of hydroxyzine for rats with signs of dermatitis. At the beginning of week 5, RM decided to do biopsies and smears for three rats, CON11, WG1, and 15%RS2 that revealed bacterial infection with cocci causing septic neutrophilic inflammation. No further identification of bacteria was performed. These rats were also given meloxicam for relieving possible pain and triple antibiotic ointment. During weeks 5-8, the fifteen treated rats stabilized (maintained or gained weight, Figure 2), but four more untreated rats developed minor lesions in week 5 (CON2 and WG10) or week 8 (CON4 and CON7). The latter two rats were not treated, as all rats were euthanized the following week. This brought the total number of rats in the second study showing signs of dermatitis to 19 out of 68. However, no rats had to be removed from the study because there was no precipitous drop in weight (Figure 2).
Rats WG1 and 20%RS2 had slowing in weight gain around mid-study but recovered and otherwise no other rats showed weight loss during the study because of dermatitis and treatment (Figure 2).
Our recommendation is that if lean ZDF rats or other rats or mice used in a study develop dermatitis, hydroxyzine administered in the drinking water possibly could be the preferred solution. However, more research is needed to determine if a single component like hydroxyzine mitigated the effects of dermatitis and if hydroxyzine could be used as a preventative treatment. Researchers may also want to explore the use of omega-3 fatty acids along with hydroxyzine for treatment or possible prevention of dermatitis as they are reported to reduce the risk of developing atopic dermatitis, which is a chronic skin disease in humans with inflammation, redness and irritation of the skin. 7
Justin Guice, PhD, from the School of Nutrition and Food Sciences and an MS in Experimental Statistics is currently residing in Haymarket, Virginia.
Ryan Page is a current PhD candidate in the School of Nutrition and Food Sciences at the LSU AgCenter in Baton Rouge, Louisiana.
Anne Raggio is a research associate in the School of Nutrition and Food Sciences at the LSU AgCenter in Baton Rouge, Louisiana.
Raphael Malbrue, DVM, CertAqV, DACLAM, is the Director & Attending Veterinarian for the Center for
Comparative Medicine at the University of Virginia in Charlottsville, Virginia.
James T. F. Wise, PhD, is an assistant professor in the School of Nutrition and Food Sciences at the LSU AgCenter in Baton Rouge, Louisiana.
Claudia Husseneder, PhD, is a Professor in the Department of Entomology at the LSU AgCenter in Baton Rouge, Louisiana.
Diana G. Carvajal-Aldaz, PhD, is an Associate Professor at Facultad Ciencias de la Vida, ESPOL Polytechnic University, ESPOL, Campus Gustavo Galindo, Km. 30.5 Vía Perimetral, Guayaquil, 090902, Ecuador.
Rhett W. Stout, DVM, PhD, DACLAM, is the Director & Attending Veterinarian for Laboratory Animal Medicine at LSU in Baton Rouge, Louisiana.
Diana Coulon, DVM, is the Director and Attending Veterinarian for Comparative Biology at the Pennington Biomedical Research Center in Baton Rouge, Louisiana.
Michael J. Keenan, PhD, is a Professor in the School of Nutrition and Food Sciences at the LSU AgCenter in Baton Rouge, Louisiana.
1. American Veterinary Medical Association. 2013. AVMA Guidelines for the euthanasia of animals: Schaumburg (IL): American Veterinary Medical Association.
2. Goldsmith F, Guice J, Page R, Welsh DA, Taylor CM, Blanchard EE, Luo M, Raggio AM, Stout RW, CarvajalAldaz D, Gaither A, Pelkman C, Ye J, Martin RJ, Geaghan J, Durham HA, Coulon D, Keenan MJ. 2017. Obese ZDF rats fermented resistant starch with effects on gut microbiota but no reduction in abdominal fat. Mol Nutr Food Res 61:1, 1501025.
3. Hempe J, Elvert R, Schmidts HL, Kramer W, Herling AW. Appropriateness of the Zucker Diabetic Fatty rat as a model for diabetic microvascular late complications. Lab Anim 2012; 46: 32-39.
4. Kristiansen SB, Lofgren B, Stottrup NB, Khatir D, Nielsen-Kudsk JE, Nielsen TT, Botker HE, Flyvbjerg A Ischaemic preconditioning does not protect the heart in obese and lean animal models of type 2 diabetes. Diabetologia 2004; 47: 1716-1721.
5. Leonard BL, Watson RN, Loomes KM, Phillips ARJ, Cooper GJ Insulin resistance in the Zucker diabetic fatty rat: a metabolic characterization of obese and lean phenotypes. Acta Diabetol 2005; 42: 162-170.
6. Li X, He M, Yi X, Lu X, Zhu M, Xue M, Tang Y, Zhu Y 2024 Short-chain fatty acids in nonalcoholic fatty liver disease: new prospects for short-chain fatty acids as therapeutic targets (2024) Heliyon 10:e26991.
7. Lin J-Y, Ma L-J, Yuan J-P, Yu P, Bai B-X 2023 Causal effects of fatty acids on atopic dermatitis: A Mendelian randomization study. Front Nutr 10.1083455.
8. Keenan MJ , Zhou J, McCutcheon KL, Raggio AM, Bateman HG, Todd E, Jones CK, Tulley RT, Melton S, Martin RJ, Hegsted M. 2006 Effects of resistant starch, a
non-digestible fermentable fi ber, on reducing body fat. Obes 14:1523-1534.
9. Obanda D, Page R, Guice J, Raggio AM, Husseneder C, Marx B, Stout RW, Welsh DA, Taylor CM, Luo M, Blanchard EE, Bendiks Z, Coulon D, Keenan MJ . CD obesity-prone rats, but not obesity-resistant rats, robustly ferment resistant starch without increased weight or fat accretion. Obes 2018 ; 26: 570-577.
10. Pold R, Jensen LS, Jessen N, Buhl ES, Schmitz O, Flyvnjerg A, Fujii N, Goodyear LJ, Gotfredsen CF, Brand CL, Lund S. Long-term AICAR administration and exercise prevents diabetes in ZDF rats. Diabetes 2005; 54: 928-934.
11. Reeves PG, Nielsen FH, Fahey Jr. GC 1993 AIN-93
Purifi ed diets for laboratory rodents: fi nal report of the American Institute of Nutrition Ad Hoc writing committee on the reformulation of the AIN-76A rodent diet. J Nutr 123:1939-1951.
12. Shen L, Keenan MJ, Raggio AM, Williams C, Martin RJ. 2011. Dietary resistant starch improves maternal
glycemic control in Goto-Kakizaki rats. Mol Nutr Food Res 55:1499-1508.
13. Skiles BA, Boehm CA, Peveler JL, Hickman DL. 2021 Evaluation of treatment options for ulcerative dermatitis in the P rat. J Amer Assoc Lab Anim Sci 60:311-318.
14. Zhou J, Martin RJ, Tulley RT, Raggio AM, Shen L, Lissy E, McCutcheon K, Keenan MJ. 2009. Failure to ferment dietary resistant starch in specific mouse models of obesity results in no body fat loss. J Agric Food Chem 57:8844-8851.
This work was supported by USDA-NIFA #2014-67017-21760, LSU AgCenter Hatch 1018927, and Ingredion Incorporated funding and gifts of starches and flours.
The authors declare the following competing financial interests: Michael Keenan has received research funding from Ingredion Incorporated and gifts of starch and flour for research.

















































































































e 2024 AALAS National Meeting was held in Nashville, Tennessee from November 3-7, 2024. Our total registration was 3,860, and we had 236 exhibitors, including 27 rst time exhibitors! is year we again partnered with VRL Laboratories to bring you Zelda the zebra sh, our AI chat bot for the National Meeting app.
Poster Award Winners:
Animal Welfare, Training, & the 3R’s
• 3rd Place:
P140 Rearing C57BL/6J Mice in Partially Divided Caging Demonstrates Reduction in Anxiety-Like Behavior and Improved Welfare
Bret Tallent
• 2nd Place:
P170 Transitioning Laboratory Dogs Into Research Ambassadors: From Clinical To Household Settings
Catherine Flaherty
• 1st Place:
P172 Comparison of Seed Starter Mat to Circulating Warm Water Blanket for Rodent Heat Support
Samantha Glaspell
Clinical
• 3rd Place:
P216 E ect of Maropitant Citrate Administration on Buprenorphine-Induced Pica in Rats (Rattus norvegicus)
Christina Camson
• 2nd Place:
P233 Enteric Disease in Immunode cient Mouse Strains
Infected with a Clostridial Species Phylogenetically Related to Clostridioides celatum and C. cuniculi
Amy Funk
• 1st Place:
P239 Using Filters in the Sump for Monitoring Health of Laboratory Zebra sh
Amanda Darbyshire


Husbandry and Management
• 3rd Place:
P354 Incorporating Openness & Transparency from the Very Start: At the Time of Facility Design
Julia Boyce
• 2nd Place:
P345 3D Printing to Create Inexpensive Quality Control Tools
Michelle Foskett
• 1st Place:
P337 Don’t Cry Over Spilled Milk
Bradley Youngblood
Lab Inves�ga�ons
• 3rd Place:
P423 e Role of RECK in Metabolic Alcohol-associated Liver Disease (MetALD)
Elizabeth Fiechter
• 2nd Place:
P400 A New Mouse Model Lacking Murine Fc Gamma Receptors Designed for Improved E cacy Evaluation of Antibody-Based Drugs
Adam Navis
• 1st Place:
P410 In uence of Microbial Richness and Post-weaning
Gut Microbiota Transfer on DSS Colitis Disease Severity
Kevin Gustafson


















































































































































































































































































































































































Awards Presentation at Opening Session















































































































































































































































































































































































































































































































































































































































































































































































































































































































































































































































































































































































































































































































































































































































































































































































































































































































































































































































































































































































































































































































































































































































































































































































































































































































































































































































































































































































































































































































































































































































































































































































































































































































































































































James F. Taylor,DVM, MS, DACLAM

Management Consultant at National Institute of Health, National Institute of Allerg y and Infectious Disease
Nathan R. Brewer Lifetime Achievement Award
James F. Taylor received his DVM from The Ohio State University and a Master’s degree in Radiobiology from the University of Rochester.Following graduation from OSU, he spent 25 years in the Army Veterinary Corps performing or supporting biomedical research and achieved board certification in the ACLAM. Following Army retirement, he joined and became the Director of the Off ice of Animal Care and Use at the NIH.He served as President and then an Emeritus Member of the AAALAC International Council on Accreditation.He has served on the AALAS Board of Trustees, the Membership and Nominations Committees and as the ILAM Curriculum Director



Executive Director of the Center of Comparative Medicine and Pathology, Memorial Sloan Kettering Cancer Center and Weill Cornell Medicine, Cornell University
Pravin N. Bhatt Scientif ic Investigator Award
Neil S. Lipman, VMD is Executive Director of the Center of Comparative Medicine and Pathology serving the Memorial Sloan Kettering CancerCenter (MSK) and Weill Cornell Medicine the medical college of Cornell University, and Professor of Veterinary Medicine in Pathology and Laboratory Medicine at Weill Cornell as well as a Laboratory Memberat the Sloan-Kettering Institute at MSK.

Dr Lipman, a graduate of the University of Pennsylvania’s School of Veterinary Medicine, completed postdoctoral training in Comparative Medicine at the Massachusetts Institute of Technology (MIT). He is a Diplomate of the American College of Laboratory Animal Medicine with 40 years of experience in laboratory animal medicine and science. He has also held professional and faculty appointments at MIT, Brown University, Tufts University and the University of Chicago. Dr Lipman has expertise in vivarium design, engineering and operations and served on the committee for the update of the Guide for the Care and Use of Laboratory Animals 8th Edition. His research interests include development and analysis of new technologies; the characterization and development of animal models; understanding the etiopathogenesis of endocrine disorders, parasitic, bacterial and viral diseases affecting laboratory animal species; and, development and analysis of novel therapeutic strategies. Throughout his career,Dr. Lipman has been extensively involved in the postgraduate training of laboratory animal specialists serving as the Director of the Tri-Institutional Training Program forLaboratory Animal Science and Medicine since its inception in 2002.




Assistant Vice Provost, Animal Care, Outreach, & 3Rs, University of Washington
Charles RiverPrize
Sally Thompson-Iritani, DVM, PhD, is theAssistant Vice Provost for Animal Care, Outreach, and 3Rs at the University of Washington’s Office of Research. With a background in industry and academia, she has served as a laboratory animal veterinarian, IACUC administrator, facility manager, and preclinical researcher. Certified in key areas including IACUC administration and Compassion Fatigue, she emphasizes the 3Rs principles (Replacement,Reduction, and Ref inement) and advocates for holistic approaches in animal care.Nationally, she serves as President for the 3Rs Collaborative, Chair of the Roundtable on Science and Welfare of Animals Involved in Research, and Vice-Chair for the USARO initiative.







Associate Director, Laboratory Animal Training & Education and Director, Residency Training, Rutgers University
George R. Collins Education andTraining Award
Dr Bright is a South Carolina native and a Clemson University alum. She earned herDVM (2014) and PhD in equine genomics (2015) at Mississippi State University.Following graduation, she completed her laboratory animal medicine residency at the University of Pennsylvania She has worked at Rutgers University since 2017 and is currently the Associate Director of Laboratory Animal Training & Education and Residency Director.Though she is honored to receive this award, she knows this really reflects a team effort She would like to thank the training team and RUAC staff, as well as her husband and three young sons


Joseph J. Garvey Management Award
Dr.Patrick Sharp received his DVM from Purdue University and completed his Comparative Medicine postdoctoral fellowship at the Washington University School of Medicine in St.Louis.He has held academia, industry, and government positions in the US, Asia,Europe, and Australia, specif ically supporting biomedical research programs in Singapore, Portugal, Australia, and adjacent countries. Dr Sharp is an ardent supporter of laboratory animal training and development programs globally to increase the quality of animal care through personnel education and advancement at all animal care levels and by constructing and designing more functional and sustainable vivaria and research support facilities.



Laboratory Animal Technician II
Abigail Wexner Research Institute at Nationwide Children’s Hospital
Technician of theYearAward
Ms.Waddell is a LaboratoryAnimal Technician II at Nationwide Children’s Hospital She works with rodents, large animals, and even other people; but has a special fondness forrats. Her work supports gene therapy and oncology. She is active in her organization’s Behavior and Enrichment Team, and won both the Ohio and District 5“LAT” of theYearawards (2023). She pairs her passion for animals with her love of art, designing animal memorial stationary, uniforms, fundraiser pieces (OhioAALAS 2022, 2023) and logos (District 5AALAS,OhioAALAS, 2024) She is a proud mentor, and is herself a lifelong learner



Global Head of Animal Welfare Compliance Novartis Biomedical Research
Charles A. Griff in Award
Dr.Lofgren is a laboratory animal veterinarian with expertise in how animals’ lived experiences affect both theirwell-being and research quality She advances evidence-based methods that improve animal welfare, and she advocates for open communication about the critical role of animals in biomedical research as well as the fields’commitment to their care.Dr. Lofgren earned a MS and DVM from Tufts University, and she completed a post-doc at MIT and a research fellowship at Newcastle University, UK She served as an AssociateAttending Veterinarian at the University of Michigan before becoming Global Head of Animal Welfare Compliance at Novartis



The July 2024 “Inside the IACUC” column featured an article about the National Academies of Science, Engineering, and Medicine’s efforts to revise the Guide for the Care and Use of Laboratory Animals. That article highlighted how the Guide is used by IACUCs and what improvements could be made to enhance the mission and operations of IACUCs following it, which built upon information provided during a two-day virtual workshop hosted by the National Academies in April, 2024.
Since the workshop, the National Academies has been busy planning for the next phase in the process of revising the Guide. Even though this work started a few years ago, given the importance of the Guide to research animal care globally, the National Academies wants to ensure that the revisions are meaningful and incorporate feedback from across the research community.
In this month’s column, we are very fortunate to have Susana Rodriguez, Ph.D., a Program Officer with the National Academies, provide us an update on the four phases of the Guide’s revision.
Corresponding contact: spritt@tamus.edu

Stacy Pritt, DVM, MS, MBA, CPIA, CHRC, DACAW is the Associate Vice Chancellor and Chief Research Compliance Officer, Texas A&M University System.

F. Claire Hankenson, DVM, MS, DACLAM, is the Associate Vice Provost for Research and Attending Veterinarian and Executive Director, University Laboratory Animal Resources, at the University of Pennsylvania in Philadelphia, PA.
The Guide for the Care and Use of Laboratory Animals1 (the Guide) is a seminal document that provides guidelines on animal care and use in research. The Guide was first published in 1963 by the U.S. Public Health Service through the efforts of the Animal Care Panel, which eventually became AALAS. The National Academies of Sciences, Engineering, and Medicine’s (NASEM) Institute for Laboratory Animal Research (ILAR), now the Board on Animal Health Sciences, Conservation, and Research (BAHSCR), produced the subsequent editions that followed in 1965, 1968, 1972, 1978, 1985, 1996, and 2011. Each edition reflects the consensus of experts and practitioners, incorporating the latest information on laboratory animals, animal welfare, husbandry, veterinary care, and regulatory changes. Periodic revisions ensure that the Guide remains consistent with advancements in these areas and evolving scientific methodologies.
In 2019, BAHSCR proposed a new process for updating the Guide to facilitate timely revisions that could more effectively incorporate the latest scientific information and regulatory changes. This vision involved the establishment of the Standing Committee for the Care and Use of Animals in Research in 2020 to serve as a forum to discuss ideas and potential topics to be included in future updates to the Guide. The Standing Committee’s activities include regular engagement with interested and stakeholder groups; developing ad hoc projects; and identifying topics that could contribute to timely updates of the Guide.
The structure of the committee is based on a four-phase iterative process. The first phase, which has been completed, involved hosting listening sessions to facilitate discussions about the Guide
The second phase, which is ongoing, is focused on convening activities to discuss potential Guide topics, including those raised in the listening sessions. The third phase, which will be formally announced soon, is the Consensus Study, conducted by a separate ad hoc committee tasked with updating the Guide. The fourth phase, which will overlap with phases 2 and 3, will involve ongoing discussions under the Standing Committee’s oversight to explore updates and formats for future Guide editions.
In working through this new process, BAHSCR decided to address an ongoing criticism of the Guide—namely that those who must apply its tenets have historically not been given the opportunity to provide input into its content, including scientists, Institutional Animal Care and Use Committee (IACUC) administrators, animal welfare experts, regulatory agencies, and the public.
Since its inauguration, the Standing Committee held 25 listening sessions between 2021 and 2024 to solicit feedback from diverse interest groups, ranging from scientific organizations to industry and federal agencies. Participants represented a wide range of professional roles, and the sessions offered opportunities for attendees to provide their perspectives on areas for improvement or further clarification in the current edition of the Guide. Specific topics were repeatedly raised as needing attention in a future edition and include the role and responsibilities of the IACUC, regulatory aspects of the Guide, use of terminology, performance versus engineering standards, format of the Guide, topics in animal housing and husbandry, and considerations on expanding the Guide to provide additional guidance relevant to the care and use of non-traditional
“laboratory” species. Although the feedback was deliberated between and even within groups, the listening sessions were informative in identifying the areas in the Guide that may benefit most from revision and updating. A document summarizing the listening sessions is available 2
On April 23-24, 2024, NASEM convened a public workshop3 hosted by an ad hoc committee, which included several Standing Committee members. The workshop shared information conveyed during the listening session and explored topics of interest related to potential future updates to the Guide. Participants included 40 speakers from various sectors to share their perspectives across eight broad themes. In addition to discussing revision topics, participants in the listening sessions and workshop expressed many concerns about the potential impacts of formatting changes in the Guide. Some suggested moving the Guide to a hybrid or online format, while others preferred a static document. Other discussions focused on the role of accessory documents and their utility in supporting the Guide’s content to keep it current. The workshop also highlighted additional areas for further dialogue, including harm-benefit analysis and ethical review, rigor and reproducibility, culture of care, occupational health and biosafety, and behavioral management considerations in animal housing, husbandry, and handling. A proceedings-in-brief summarizing the workshop content is available online4, including resource documents highlighting references provided by presenters and their suggestions for improving the Guide.
Now equipped with perspectives from the listening sessions and workshop, BAHSCR is currently working to secure funding to support the next revision of the Guide Once the project is funded, the National Academies will seek nominees to form the ad hoc committee that will be tasked with revising the Guide. Meanwhile, the Standing Committee will continue its work by exploring issues raised in the workshop and topics related to animal welfare, while
developing a process to consider Guide changes, such as additional updates, inclusion of new topics, or content removal. This multi-committee approach ensures that the Guide will remain dynamic and address contemporary aspects of research animal endeavors.
Aspects of this summary were presented at the 2024 PRIM&R Annual Conference in Seattle, Washington at the session entitled “What happened to ILAR and what is BAHSCR?”, with speakers, Sally Thompson-Iritani, Joseph T. Newsome, Nia D. Johnson, and Susana Rodriguez.
Susana Rodriguez, PhD, Program Officer with the National Academies.
1. Institute for Laboratory Animal Research. 2011. Guide for the care and use of laboratory animals, 8th ed. Washington (DC): National Academies Press. [Internet]. Available at https://grants.nih.gov/grants/olaw/guide-for-the-care-anduse-of-laboratory-animals.pdf (Accessed 11Dec2024).
2. National Academies of Sciences, Engineering, and Medicine. 2024. [Internet]. Standing Committee for the Care and Use of Animals in Research: Listening Sessions Summary Book. Available at https://www.nationalacademies.org/our-work/ standing-committee-for-the-care-and-use-of-animals-in-research (Accessed 11Dec2024).
3. National Academies of Sciences, Engineering, and Medicine. 2024. [Internet]. Future Topical Updates to the “Guide for the Care and Use of Laboratory Animals”- A Workshop. Available at https://www.nationalacademies.org/our-work/ future-topical-updates-to-the-guide-for-the-care-and-use-oflaboratory-animals-a-workshop (Accessed 11Dec2024).
4. National Academies of Sciences, Engineering, and Medicine. 2024. [Internet]. Future Topical Updates to the Guide for the Care and Use of Laboratory Animals: Proceedings of a Workshop—in Brief. Washington, DC: The National Academies Press. Available at https://doi.org/10.17226/27936 (Accessed 11Dec2024).

By Karin Wilson, MPH, CPIA
The Kansas City Branch of AALAS (KC AALAS) held its annual membership meeting at the University of Kansas on October 10, 2024. This was truly a fantastic half-day hybrid event!
We had a buffet-style lunch with presentations on the National Bio-Agro Defense Facility (NBAF) and what it takes to send mice to space. We also had a vendor fair and held our membership business meeting. Throughout the afternoon, we had drawings for gift cards and a four-pack of tickets to the Kansas City Zoo and Aquarium.
Our first speakers, Dr. Maggie Behnke and Alex Gray spoke to us about various aspects of the National Bio-Agro Defense Facility (NBAF).
Dr. Maggie Behnke, the Attending Veterinarian and Director of the Animal Resources Unit at NBAF in Manhattan, Kansas, gave everyone a brief behind-the-scenes look at construction and security concerns that went into developing this revolutionary facility.
Alex Grey, RLATG, ILAM, CMAR, showed everyone the training lab at NBAF and how they are currently tracking training for all of their staff without the assistance of a Learning Management System (LMS) due to the strict security protocols of this facility. She also demonstrated how NBAF utilizes non-animal training models for both small and large animal species, many of which were made in house or with the assistance of a local artist. Alex also


summarized and recommended several off-site training opportunities that were available.
Our second presentation was by Dr. Lane Christenson, Professor at the University of Kansas Medical Center (KUMC) in the Department of Molecular and Integrative Physiology. Dr. Christenson introduced us to research with mice in space. His research focuses on uncovering the complex events occurring in the ovary at the last stages of follicular development and the onset of luteal function. As part of that work, he talked about a project where female mice were sent to space and various reproductive organs were studied as well as the effect of space on reproduction in general. All steps of the process were discussed including where the animals were held prior to launch, how animals were acclimated to the cages to be used in space, how the astronauts were trained to handle the animals after launch, and what the mice did once they were in space. One of the biggest questions was what is done with the waste products from the mouse, while living in space!
KC AALAS would not be where it is today without their amazing vendors and their support! As part of the vendor fair, Pat Wiese, regional coordinator for both the Missouri and Kansas branch of Homes for Animal Heroes (HAH), hosted a table to educate attendees about HAH and their mission to provide permanent, loving homes to retired research animals through a nationwide rehoming network, educate the public about the benefits of biomedical research relating to human and animal health and well-being, present an accurate representation of the care and consideration research professionals provide for the animals they work with each day, and work collaboratively with the research community to promote awareness and develop a cohesive rehoming network. Additional vendors for the day included Allentown Inc., Idexx Laboratories, CURIS System, Innovive, and Shepherd Specialty Papers. Each vendor provided hands-on expert presentations on the products and solutions their company provides.
We would like to especially thank Allentown Inc. and Idexx Laboratories for being Diamond-level sponsors for this event.
For our membership meeting, the new leadership for 2025 was announced along with a tentative schedule of events for 2025. Current president Karin Wilson also

announced that after several years of struggling to come back from COVID setbacks, membership greatly (~300%) increased in 2024! As a result, many new opportunities for 2025 are available, such as leadership roles on the KC AALAAS board of directors or committee chair positions. All individuals in attendance were encouraged to reach out and get involved in any way possible! This increase in membership revenue and the generous sponsorship from KC AALAAS’s amazing vendors have also opened up the possibility of reinstating the Technician of the Year award for 2025 to assist a KC AALAS member in attending the AALAS national meeting.
We are looking forward to our December social event and to 2025, another amazing year full of events, continuing education opportunities, and sustained growth.
Karin Wilson, MPH, CPIA, KC AALAS President and the KC AALAS Board of Directors.
Submit a Topic or Abstract for 2025:
We hope you will consider submitting a topic or abstract for the 2025 National Meeting in Long Beach, CA.
The Program Committee and AALAS President Jim Macy invite you to submit proposals for abstracts, technical trade presentations, panel discussions, seminars, special topic lectures, and workshops for the 2025 National Meeting.
Go to Abstract Central to access the portal. Those who have submitted before will have an existing username and password. New users must create an account. The deadline for topic submissions is March 15, 2025 and the deadline for abstract submissions is June 1, 2025.

Heather Lampi at hlampi@aalas.org or Degan Mesler at degan.mesler@aalas.org
Exhibit Your Products and Services in Long Beach: Exhibitor registration is now open! As an exhibitor you have an opportunity to interact with more than 4,000 AALAS attendees from the academic community, research institutions, government organizations, and commercial companies. Interested in partnering with AALAS and supporting our mission? Consider becoming a National Meeting sponsor! Review our 2025 Media Kit on our website and consider the opportunities to promote your products to our AALAS decision-makers. For more information contact
Recognize a Deserving Colleague with an AALAS Award: AALAS recognizes outstanding achievements in the fields of biomedical research and laboratory animal science through its highly regarded awards program. Award nominees and nominators must be current national members of AALAS as of January 1 of the nominating year. Nominations are due by April 1, 2025. Over $13,000 in prize money will be awarded! More information can be found on the AALAS website
The GLAS (Grants for Laboratory Animal Science) mission is to enhance scientific knowledge in laboratory animal health and welfare through research and to promote collaborative efforts by the AALAS membership within the broader scientific community. The GLAS program aims to advance responsible laboratory animal care and use to benefit people and animals in such areas as environmental conditions, housing and enrichment, pain and distress, health and welfare, euthanasia, and animal care and use. Since the first grants were awarded in 2007, the GLAS program has awarded 102 grants totaling $1,979,619. As a result of the GLAS program, a total of 446 cited presentations, publications, and posters stemming from GLAS-sponsored projects have been produced and are listed on the AALAS website. Through these outcomes, AALAS has had a visible role in advancing research and knowledge in laboratory animal science.
The GLAS program provides two types of research grants: the standard grant for up to $50,000 for studies with a sound hypothesis and preliminary data; and the small grant for up to $7,500 for innovative or pilot studies. The GLAS program requires that the principal investigator be an AALAS member at any level, but it is not restricted geographically. Application forms and instructions are available online! Applications are due on February 1 .
A tutorial on the AALAS website gives guidance on the application process. To access the application form and these informational resources, visit www.aalas.org/main/ glas
If you have a proposal to improve laboratory animal health and welfare in research and need additional funding, consider submitting a GLAS (Grants for Laboratory Animal Science) application!

he AALAS Foundation thanks everyone who participated in all of its events at the 2024 National Meeting in Nashville, Tennessee.
A special thanks to the Foundation’s National Meeting Chair, Sarah Gilliam, and Vice Chair, Lindsay Holmes, and the committee members who helped organize and plan this year’s events – along with all of the many volunteers who helped out at the AALAS Foundation’s booth!
e following is a breakdown of the results for each event:
“In Tune with Research” Contest is year’s fundraising contest challenged participants to showcase their creativity by decorating a 14” wooden guitar. e competition saw an impressive sixty-nine contestants, and together, they raised a remarkable $6,591 to support the AALAS Foundation and its mission.
Congratulations to the following contest winners! Branch Category Winner: Research Triangle Branch; Artists: RTB AALAS Executive Council
Corporate/Company Winner: AbbVie ACT; Artists: Cassy Weinberger, Brandon Cuevas, Becky Reth, Andrea Kachellek
Individual Category Winner: Paige & Brian Ebert; Artist: Kay Laurent
Institution/Organization Category Winner: University of Pittsburgh – 18 BST; Artist: Robert Santiago e “Fan Favorite” Winner: University of Texas Health Science Center at Houston; Artists: Jeannete Pearson, Kelly Williams, Sheri Brodie e “Best of Show” Award: Owner & Artist: Elise Bragg




















e AALAS Foundation’s virtual Silent Auction was a tremendous success, thanks to the generosity of both auction donors and bidders! With everyone’s support, the virtual Silent Auction raised over $6,000 to advance the AALAS Foundation’s mission.



e AALAS Foundation was thrilled to host eightyseven high school students from the Nashville, Tennessee area at this year’s National Meeting AREA Program. is engaging event provided students with an invaluable opportunity to learn about the vital role that animals play in biomedical research and the many contributions of laboratory animal science to society. rough interactive sessions and hands-on activities, the program sparked curiosity and inspired students to consider the diverse career paths available in this eld. Feedback from the participants revealed how eye-opening the experience was, with many expressing surprise at the range of career opportunities and a newfound appreciation for the critical work being done in laboratory animal science.
AREA Program speakers were representatives from P zer, sponsor of this year’s AREA Program: Dr. Chandra Williams gave a lively presentation about the “pros/cons” of animals in research and Melissa Dragon engaged the students with P zer’s interactive and










educational game “ e Long Road to Drug Discovery”, where students learned about the lengthy and expensive process of bringing a drug and/or vaccine to market.
AALAS Foundation Board Chair, Molly Romick, served as MC for this important educational outreach program.
anks to the over thirty AALAS members who volunteered to serve as tour guides and to the thirteen National Meeting Exhibitors who participated in this important event. is program could not have been a success without all your help!

























e 2024 Appreciation Reception and Live Auction was a fabulous success! anks to our amazing auctioneer, Brian Ebert, and to those who donated so many incredible auction items, as well as to everyone who generously submitted bids. Your e orts helped us raise over $25,000!
We are especially thankful to all our Appreciation Reception & Live Auction sponsors who made this important event possible.
$10,000 Level Sponsor
Gruenberg Dry Heat Sterilizers
$5,000 Level Sponsors
Lomir Biomedical, Inc.
$1,000 Level Sponsors
AAALAC International
Animal Care Systems
ARES Scienti c
Innovive
Rotano International Pharmacal
e AALAS Foundation was also happy to recognize the following companies for being a rst-time Platinum+ level donor:
ARES Scienti c
Rotano International Sanitation Strategies
Zebra sh Husbandry Association
e AALAS Foundation was honored to recognize the following individuals who were recently added to the virtual Memorial Wall of Honor – each of whom made lasting contributions and impact to the laboratory animal science community during their lifetime:
Skeeter Georgeson
George Gabriel



















Appreciation Reception & Live Auction
















e Nebraska Branch was recognized during the appreciation reception as the 2024 Branch POE Award winner. is award is based on public outreach e orts conducted by branch members from September 1st through August 31st. For their outstanding public outreach e orts in 2024, the Nebraska Branch received a $100 gift card and certi cate of appreciation. is year, the AALAS Foundation Branch Committee introduced a new component to the POE Award to recognize outstanding individuals for their public outreach e orts. We were happy to recognize Julie Roller as the rst recipient of the Individual POE Award. During the appreciation reception, Julie was presented with a certi cate of appreciation and a $100 gift card.

e AALAS Foundation was proud to serve as a sponsor of the Americans for Medical Progress’ 2024 BRAD event. We also served as a sponsor of the Best Branch BRAD contest and were happy to help recognize the Nebraska Branch as the recipient of the 2024 Best Branch BRAD award.




e AALAS Foundation recognized the following Board members whose terms of o ce ended at the conclusion of the 2024 AALAS National Meeting. eir dedication and service to the AALAS Foundation has been greatly appreciated:
Sarah Gilliam – AALAS Foundation Director-at-Large Jori Leszczynski – AALAS BOT Liaison



e AALAS Foundation was proud to be the recipient of funds raised at Quip Laboratories “Party for the Cause” and Charles River Laboratories “Harmonies of Hope” booth activity at this year’s National Meeting. We appreciate their support!
















Join us for the 76th AALAS National Meeting in Long Beach, California. Each fall since 1950, the American Association for Laboratory Animal Science has held its annual National Meeting. During the five days of the meeting, members and nonmembers come together to enjoy the workshops, lectures, poster sessions, and exhibits. The program is designed to have topics relevant to the entire membership. Exhibitors have an opportunity to interact with AALAS members from the academic community, research institutions, government organizations, and commercial companies.
The AALAS National Meeting is the largest gathering in the world of professionals concerned with the production, care, and use of laboratory animals.






: www.allentowninc.com/discovery/

