Uppingham Research Journal: Issue #4

Page 1


Uppingham Research Journal Issue 4 September 2025

Will nuclear fusion become commercially viable in our lifetime?

Which Toxin released by the Gram A positive bacterium; Streptococcus Pyogenes is most essential is preserving virulence?

By Amiel Suresh

Was Gustave Courbet’s The Stone Breakers purely a reflection of the changes in society caused by the French Industrial Revolution or driven by his own vanity?

Alternative meat and its potential impact on the food industry.

How do mathematical models shape our understanding of the natural world?

How progressive was Ancient Egypt in its treatment of women?

By Taisiya Bogucharskaya

Can Prion Diseases be cured? By Tiffany Tam

Is maths invented or discovered: The language of thought and the universe. By Ayena Khan

Foreword

Dear Reader

Welcome to the fourth edition of the Uppingham Research Journal. This edition includes the innovative and creative research ideas of the Lower Sixth team of editors who have continued to go beyond their subjects and introduce us to the deep research they have conducted about the subjects they are passionate about.

We hope that as you explore this issue, you are inspired by the work of our brilliant editors and feel enriched by the wide research in this issue’s selected range of fields. This journal offers a space to write beyond the constraints of the curriculum—an opportunity to shape perspectives, challenge assumptions, spark meaningful dialogue, and leave a lasting impact. Writing has long held the power to influence, disrupt, and reshape the course of history. We believe that by developing this skill, each student can find their own way to leave an impact on the world around them.

I would like to thank the entire editorial team for their brilliant contributions, dedication, and creativity, as well as my co-editor Hermione Everall for her help in bringing this issue to publication. This journal would not be the same without this team and their efforts. We hope you, the reader, enjoy and gain as much from these essays as we have during their selection and review. If you feel inspired by what you read and have written something you believe is worthy of publication, we warmly encourage you to submit it to anyone on the team.

Finally, we extend our sincere thanks to Mr Addis for his ongoing support and guidance in the continuation of this journal. We are truly fortunate to have him as part of our team.

“All I need is a sheet of paper and something to write with, and then I can turn the world upside down.” Friedrich Nietzsche

Will nuclear fusion become commercially viable in our lifetime?

For billions of years, the Sun has been powered by nuclear fusion. Scientists have long sought to replicate this process on Earth, as it promises a nearly limitless source of clean energy. Unlike fossil fuels, fusion relies on abundant fuels like Deuterium, which makes up about 1 in 6,500 Hydrogen atoms in seawater. 1However, fusion also requires the rare Hydrogen isotope Tritium. Scientists are currently developing methods to produce and extract tritium by using lithium in fusion reactors. Even more promising, fusion produces no greenhouse gases and does not generate long lived radioactive waste. However, achieving practical nuclear fusion is a scientific and engineering challenge.2

Unlike nuclear fission where an atom is split to release energy, nuclear fusion involves combining two small nuclei (Deuterium and Tritium nuclei), under high temperatures to form one heavier nucleus (helium) and a neutron. This process overcomes strong electrostatic forces of repulsion between positive nuclei, with a small proportion of mass being converted into energy. The equation E = mc2, discovered by Albert Einstein in his theory of relativity, shows that even a small amount of mass can be converted into a large amount of energy (thermal energy in this case). This energy is used to boil water, to turn turbines and ultimately generate electricity.

Despite its potential, achieving fusion on Earth presents significant challenges, including:

1. Maintaining over 100 million °C heat and very intense pressure3

These conditions which are required for the fusion reaction to are costly to maintain, present safety concerns, and require complex engineering to build systems that can function under these extreme circumstances.

2. Containing the plasma4

At such high temperatures, the Hydrogen isotopes enter a low-density plasma state. The plasma must be contained using strong magnetic fields (in tokamaks and stellarators) to prevent heat loss (contact with walls) and the density of the plasma must be great enough for nuclei to collide at a high rate.

Confining plasma using magnetic fields

1 U.S. Department of Energy. (n.d.). DOE explains: Deuterium-tritium fusion fuel. U.S. Department of Energy. https://www.energy.gov/science/doe-explainsdeuterium-tritium-fusion-fuel

2 International Atomic Energy Agency. (n.d.). Fusion energy – Frequently asked questions. IAEA. https://www.iaea.org/topics/energy/fusion/faqs

3 Chatzis, I., & Barbarino, M. (2021, May). What is fusion and why is it so difficult to achieve? IAEA. https://www.iaea.org/bulletin/what-is-fusion-and-why-is-it-so-difficult-to-achieve

4 Princeton Plasma Physics Laboratory. (n.d.). About plasmas and fusion. U.S. Department of Energy. https://www.pppl.gov/about/about-plasmas-and-fusion

Vertical field coils
Transformer coil
Toroidal field coil
Magnetic

3. Energy input vs output

The energy required to sustain nuclear fusion is immense and often exceeds the energy produced by the reaction itself. However, the National Ignition Facility (NIF) achieved a breakthrough, successfully generating nearly twice the energy input during a fusion reaction. 5

4. Tritium

Tritium (3H) is a rare isotope of Hydrogen with a half life of 12 years. 6 However scientists are developing methods to artificially produce tritium. This process is called breeding, using a fission like reaction between the neutron produced in the fusion reaction and the light metal lithium, generating one tritium and one helium nucleus. The breeding process will take place in the blankets, which form the vessel wall. 7

5 Science Media Centre. (2024, 8 February). Expert reaction to nuclear fusion energy record. Science Media Centre. https://www.sciencemediacentre.org/expert-reaction-to-nuclear-fusion-energy-record/

6 Canadian Nuclear Safety Commission. (2021, 15 November). Tritium. Canadian Nuclear Safety Commission. https://www.cnsc-ccsn.gc.ca/eng/resources/fact-sheets/tritium/

7 European Fusion Development Agreement. (n.d.). Tritium breeding. EUROfusion. https://euro-fusion.org/glossary/tritium-breeding/

VV Outer shell
VV Inner shell
Shielding Blanket
Breeding Blanket Module
Divertor Support
Divertor Plate
Cooling Pipe

To overcome these challenges, major investment is needed. In recent years, scientists have made significant progress toward harnessing nuclear fusion. A significant driving force behind these improvements is the increasing funding into this new industry. Over the past year, total investment in the fusion industry has risen from $6.2 billion to $7.1 billion, marking significant growth in this sector. In addition, public investment in private fusion companies has risen by over 50%, increasing from $271 million to $426 million.8 These funds are crucial in performing tests, conducting research and supplying materials. Furthermore, the International Thermonuclear Experimental Reactor (ITER), a group of 33 nations, is collaborating to create the world’s largest tokamak and begin its ‘research operation’9 in 2034. Its goals are:

1. Achieve a Deuterium-Tritium plasma in which fusion conditions are sustained mostly by internal fusion heating.

2. Generate 500 mw of fusion power in its plasma.

3. Contribute to the demonstration of the integrated operation of technologies for a fusion power plant.

4. Test Tritium breeding.

5. Demonstrate the safety characteristics of a fusion device.

The collaboration of so many countries, bringing together the brightest minds in the field, is an exciting sign that fusion will continue developing rapidly.

Although fusion power faces significant engineering challenges, recent research advancements and growing international collaboration suggest it could become commercially viable one day. Whether this will happen in our lifetime is impossible to predict. However with continued investment, and sufficient government funding and breakthroughs from ITER and NIF, the goal of clean, limitless energy is becoming more achievable.

8 Science Business. (2024, 23 July). Fusion investment grows from $6.2B to $7.1B in a year. https://sciencebusiness.net/news/r-d-funding/fusion-investment-grows-62b-71b-year

9 International Thermonuclear Experimental Reactor (ITER). (n.d.). Few lines about ITER. ITER Organization. https://www.iter.org/few-lines

Which Toxin released by the Gram A positive bacterium; Streptococcus Pyogenes is most essential is preserving virulence?

Introduction

Necrotizing Fasciitis is a bacterial infection which is caused by Streptococcus pyogenes (group A streptococcus). This bacterium can enter the body through a break in the skin and can cause edema (swelling caused by fluid being trapped in the tissues of your body), painful red skin rashes and necrosis (the death of cells) of the muscle fascia (casing of connective tissue that surrounds and holds every organ). Usually, the infection will travel along the fascial plane (the space between two facial layers). This bacterium has an extremely virulent nature, moving quickly through the body while effectively avoiding the body’s immune system. The bacterium can achieve this with the help of the release of streptococcal toxins including: Streptolysin S, Streptolysin O, A variety of superantigens, Streptococcal pyrogenic exotoxin B, several DNases, The streptococcal inhibitor of complement and streptokinase. All these toxins have a different role in preserving virulence and have different mechanisms of actions; by looking at them qualitatively it is possible to determine which of these has the most crucial role facilitating the invasion of the bacterium.

Streptolysin S (SLS): Through what ways does SLS cause apoptosis?

Streptolysin S (SLS) exotoxin is a toxin released by Strep after invasion into the body. This exotoxin is responsible for one feature of Streptococcus pyogenes, β-hemolysis (this is complete hemolysis, the bursting of red blood cells due to the increased water pressure inside the cell from the movement of water molecules through osmosis). SLS is a cytolytic toxin (this is a toxin which damages membranes and rips them apart, it is a cause of hemolysis) which has a similar feature to bacteriocins (peptidic toxins produced by bacteria to prevent growth) found in Gram-positive bacteria. SLS is known to damage many cells, besides erythrocytes, the process in which it accomplishes this is not confirmed however it was originally thought that the toxin creates pores in the cells causing lysis. However, a more recent study showed that the toxins disrupt the anion transporters to cause an influx (dramatic increase of) chlorine ions. This will lead to an influx of water molecules leading to colloidal-osmotic rupture.

Streptolysin O (SLO): How does it inhibit immune response and inhibit regular bodily function?

Another toxin released by nearly all streptococcus is Streptolysin O (SLO). The gene in the bacteria which codes for the toxin will produce SLO monomers which will oligomerize in somatic cell membranes using the cholesterol molecules on the exterior. This oligomerization will eventually result in a pore forming in the membrane of the cell causing rupture and apoptosis 1 (a type of cell death). The SLO toxin is shown to be inactivated in the presence of oxygen and therefore is proven to be active in the blood stream and during test was shown to not affect routine blood agar plates 2 .This toxin targets cells such as macrophages and neutrophils (parts of the body’s immune system) by prevent neutrophil degranulation (a method of killing extracellular organisms by releasing a specific type of white blood cell called granules)3 The SLO gene also codes for the S. pyogenes NADase, this enzyme works by hydrolyzing cellular NDA+ (this is a cofactor used in many metabolic processes, most importantly is part of a redox reaction which leads to the production of ATP) which would therefore deplete ATP and reduce the body’s energy source4 Furthermore, the entry of the SPN (S. Pyogenes DNases) into the somatic cells is entirely dependent on the formation of pores from the apoptosis of the SLO toxin. Both SLO and SPN seem to positively increase each other’s productivity, working in a symbiotic manner. Studies have shown that a model of a necrotizing soft tissue infection which did not produce the SLO toxin were ineffective in causing myositis (a group of diseases characterized by muscle inflammation, prolonged muscle fatigue and muscle weakness), bacteremia (this is where bacteria infiltrate the bloodstream) and soft tissue infections.

1 Tweten RK, Hotze EM, Wade KR. 2015. The unique molecular choreography of giant pore formation by the cholesterol-dependent cytolysins of Gram-positive bacteria. Annu Rev Microbiol 69:323–340 https://doi.org/10.1146/annurev-micro-091014-104233.

2 Bhakdi S, Tranum-Jensen J, Sziegoleit A. 1985. Mechanism of membrane damage by streptolysin-O. Infect Immun 47:52–60.

3 Uchiyama S, Döhrmann S, Timmer AM, Dixit N, Ghochani M, Bhandari T, Timmer JC, Sprague K, Bubeck-Wardenburg J, Simon SI, Nizet V. 2015. Streptolysin O rapidly impairs neutrophil oxidative burst and antibacterial responses to group A Streptococcus. Front Immunol 6:581

4 Michos A, Gryllos I, Håkansson A, Srivastava A, Kokkotou E, Wessels MR. 2006. Enhancement of streptolysin O activity and intrinsic cytotoxic effects of the group A streptococcal toxin, NAD-glycohydrolase. J Biol Chem 281:8216–8223

How do superantigens stimulate and affect the immune system; how does this affect the body?

Streptococcus Pyogenes is a rare bacterium in many manners, one of them being that it produces superantigen toxins. These superantigen toxins are made in ribosomes and are quite small proteins with quite a low molecular mass. The way in which superantigens harm the body is by activating T-cells, a type of white blood cells used often during the fighting against cancer. Having said this, superantigens in S. Pyogenes are unique as they are known to cause a red rash amongst an illness called scarlet fever (a flu-like disease), giving it the name ‘scarlet fever toxin’5. There are now believed to be 14 genetically different superantigens which this bacterium can produce, many of them encoded using different types of bacteriophagic elements. Different strains of the superantigen will have unique combinations of typically between 3 to 6 superantigen genes. The currently known superantigens are streptococcal pyrogenic exotoxin types A, C, G, H, I, J, K, L, M, N, O, P and streptococcal mitogenic exotoxin Z. The Superantigens conduct T-Cell activation by simultaneously stimulating the region of the T-cell antigen receptor (TCR) β-chain and other areas of Major Histocompatibility Complex (MHC) (proteins involved in antigen presentation) on antigen-presenting cells like macrophages6. During the activation process the toxin will bind to the TCR’s and they will usually bind to regions distant from peptide-specific recognition areas therefore allowing these toxins to activate a specific immune response without the complementary antigen usually required. In this process both CD4+ (a type of T-cell programmed for helper functions) and CD8+ (a type of T-cell programmed for cytotoxic functions) T-cells are stimulated, and this can therefore lead to an overwhelming primary response, which is more detrimental than a normal specific immune response. This is because the excessive activation of T-cells will cause an abundance in proinflammatory cytokines7, this could result in a lethal disease called TSS (Toxic Shock Syndrome) which presents by inducing a high fever, rash or a low blood pressure.

Streptococcal Pyrogenic Exotoxin B (SpeB): How does SpeB suppress the immune system and allow for increased bacterial virulence.

A Toxin seen in almost all strains of Streptococcus Pyogenes’s DNA is the streptococcal Pyrogenic Exotoxin B (SpeB). This toxin is known to function as a broad-spectrum protease which is secreted as a 40kDa zymogen (an inactivated enzyme). This zymogen is autocatalytically cleaved to form a 28-kDa proteinase, a smaller but working protease enzyme. Since this process is an autocatalytic one, this proteinase itself can catalyze the hydrolysis of the peptide bonds of the zymogen8. Along with the protein, an inhibitor for Exotoxin B is also transcribed and translated. This inhibitor has a similar structure to the part of the zymogen which was chopped off. However, it is resistant to cleavage and can be used to prevent any activity within the bacterium9. Having said this, even though the Gene for this toxin is present in most strains of the bacterium, it is not consistent with its expression. An example of this would be that 40% of patients with acute rheumatic fever produced SpeB whereas only 5.5% of patients with impetigo have this10. SpeB is deemed a significant virulent factor due to its immunosuppressing ability, it’s broad proteolytic activity affects several human proteins such as: fibrinogen, Interleukin 1-β, immunoglobulins, fibronectin, kininogens, and a metalloprotease. Human fibrinogen is used for blood coagulation, wound healing and many aspects of homeostasis, When SpeB was added to the fibrinogen, scientists observed the degradation of the COOH (hydroxylic acid) terminal region of the protein’s β-chain telling us that

5 Watson DW. 1960. Host-parasite factors in group A streptococcal infections. Pyrogenic and other effects of immunologic distinct exotoxins related to scarlet fever toxins. J Exp Med 111:255–284

6 Li H, Llera A, Malchiodi EL, Mariuzza RA. 1999. The structural basis of T cell activation by superantigens. Annu Rev Immunol 17:435–466

7 Bueno C, Criado G, McCormick JKJK, Madrenas J. 2007. T cell signalling induced by bacterial superantigens. Chem Immunol Allergy 93:161–180

8 Doran JD, Nomizu M, Takebe S, Ménard R, Griffith D, Ziomek E. 1999. Autocatalytic processing of the streptococcal cysteine protease zymogen: processing mechanism and characterization of the autoproteolytic cleavage sites. Eur J Biochem 263:145–151 https://doi.org/10.1046/j.1432-1327.1999.00473.x.

9 Kagawa TF, O’Toole PW, Cooney JC. 2005. SpeB-Spi: a novel protease-inhibitor pair from Streptococcus pyogenes. Mol Microbiol 57:650–666 https://doi.org/10.1111/j.1365-2958.2005.04708.x.

10 Ly AT, Noto JP, Walwyn OL, Tanz RR, Shulman ST, Kabat W, Bessen DE. 2017. Differences in SpeB protease activity among group A streptococci associated with superficial, invasive, and autoimmune disease. PLoS One 12:e0177784 https://doi.org/10.1371/journal.pone.0177784.

fibrinogen is a substrate to SpeB, and thus a reduced fibrinogen count could result in lack of stable homeostasis in the patient11. Interleukin 1-β is an important part of the body’s immune system, it is a key mediator in the body’s inflammatory response. According to Dr. Vivek Kapur who conducted a study on the effects of SpeB on interleukin 1-β, the toxin cleaves the inactive interleukin 1-β precursor (pIL-1B) into the active version of the protein. This will therefore lead to the development of a fever. Furthermore, this cleavage will induce nitric oxide synthase activity in vascular smooth muscle cells which will in turn increase the concentration of nitrogen oxide, causing damage as unregulated production will cause oxidative stress, disrupted energy metabolism, DNA damage and dysregulation of cytosolic calcium leading to apoptotic or necrotic cell death. In addition to this, the cleavage will kill cells part of the human melanoma too12. Immunoglobulins, also known as antibodies, are also affected by SpeB. SpeB cleaves and thus degrades human plasma cells and immunoglobulins, however recent studies have shown that SpeB is only cleaves these proteins in the reduced state. Since these proteins are usually active in the oxidized form, we can deduce that SpeB has little effect in reducing antibody function13. There are two main types of kininogens (KNG) found in the body, low and high molecular weight kininogens (LMW KNG) and (HMW KNG). HMW KNGs have many important functions, including forming bradykinin (a very useful molecule which can induce vasodilatation, muscle contraction and inflammatory responses), being involved in the blood coagulation process, the release of anti-microbial and anti-fungal peptides, the downregulation of cell proliferation (programed cell death) and helps reduce apoptosis. LMW KNGs help to inhibit the aggregation of thrombocytes (platelets), preventing the unnecessary formation of hemostatic plugs14. Both types of KNGs are degraded by the SpeB toxin released by S. Pyogenes. The plasma kininogens are cleaved and kinin liberation activity will increase, causing an overproduction of the molecule kinin. The breakdown of KNG will cause a reduction in its necessary function and the excess kinin can lead to inflammation, pain and edema15. The innate immune system of the host is also weakened through the proteolytic hydrolysis of complement factors such as C3 (a protein that cleaves and activates other proteins involved in the alternative complement pathway)16 and the membrane attack complex (a cyclolytic effector that forms pores in the plasma membrane of pathogens, leading to osmolysis17). SpeB has the ability to cleave human chemokines destroying their signaling and antibacterial properties with the exception of CLXCL9 which is unique as it preserves its antibacterial properties after hydrolysis18. Furthermore, the SpeB has been shown to 19have proteolytic activity against occludin and E-cadherin (junctional proteins), it cleaves E-cadherin in a region next to the calcium binding site in the extracellular domain. This means SpeB has efficacy in junctional degradation20, facilitating the paracellular invasion of the bacterium across the epithelial barrier.

11 Matsuka YV, Pillai S, Gubba S, Musser JM, Olmsted SB. 1999. Fibrinogen cleavage by the Streptococcus pyogenes extracellular cysteine protease and generation of antibodies that inhibit enzyme proteolytic activity. Infect Immun 67:4326–4333. https://journals.asm.org/doi/pdf/10.1128/iai.67.9.4326-4333.1999

12 Kapur V, Majesky MW, Li LL, Black RA, Musser JM. 1993. Cleavage of interleukin 1 beta (IL-1 beta) precursor to produce active IL-1 beta by a conserved extracellular cysteine protease from Streptococcus pyogenes. Proc Natl Acad Sci U S A 90:7676–7680 https://doi.org/10.1073/pnas.90.16.7676.

13 Persson H, Vindebro R, von Pawel-Rammingen U. 2013. The streptococcal cysteine protease SpeB is not a natural immunoglobulin-cleaving enzyme. Infect Immun 81:2236–2241 https://doi.org/10.1128/IAI.00168-13.

14 https://www.sciencedirect.com/topics/neuroscience/kininogen

15 Herwald H, Collin M, Müller-Esterl W, Björck L. 1996. Streptococcal cysteine proteinase releases kinins: a virulence mechanism. J Exp Med 184:665–673 https://doi.org/10.1084/jem.184.2.665.

16 Kuo CF, Lin YS, Chuang WJ, Wu JJ, Tsao N. 2008. Degradation of complement 3 by streptococcal pyrogenic exotoxin B inhibits complement activation and neutrophil opsonophagocytosis. Infect Immun 76:1163–1169 https://doi.org/10.1128/IAI.01116-07.

17 https://pmc.ncbi.nlm.nih.gov/articles/PMC7280757/#:~:text=The%20complement%20membrane%20attack%20complex,targeted%20 cells%2C%20leading%20to%20osmolysis.

18 Egesten A, Olin AI, Linge HM, Yadav M, Mörgelin M, Karlsson A, Collin M. 2009. SpeB of Streptococcus pyogenes differentially modulates antibacterial and receptor activating properties of human chemokines. PLoS One 4:e4769 https://doi.org/10.1371/journal.pone.0004769.

19 Kansal RG, Nizet V, Jeng A, Chuang WJ, Kotb M. 2003. Selective modulation of superantigen-induced responses by streptococcal cysteine protease. J Infect Dis 187:398–407 https://doi.org/10.1086/368022.

20 Sumitomo T, Nakata M, Higashino M, Terao Y, Kawabata S. 2013. Group A streptococcal cysteine protease cleaves epithelial junctions and contributes to bacterial translocation. J Biol Chem 288:13317–13324 https://doi.org/10.1074/jbc.M113.459875.

Uppingham Research Journal – Issue 4

Streptococcal Pyrogenic Exotoxin B (SpeB): What are ways in which SpeB negatively influence internalization of the bacterium?

SpeB not only has significant effects in disrupting the immune response, but it also is able to degrade other toxins leading to some beneficial and hindering effects to the bacterium. SpeB has the ability to degrade multiple superantigens, such as SmeZ, which will as a result cause the proliferative response of lymphocytes to increase significantly. These degraded superantigens can stimulate only specific T-cell receptors (Vβ-4, TCRVB7 and TCRVBV8 but not TCRBV2) meaning SpeB has very selective proteolytic effects on superantigens21. According to a study done by Lund University, SpeB is also capable of cleaving the F1 protein (a cell wall attached, fibronectin-binding protein). The removal of this protein from the bacterial surface leads to reduced internalization, showing that SpeB plays a regulatory role in the entrance of the Bacterium into human cells, by decreasing the rate of internalization22. Despite this, the SpeB is conserved in all S. Pyogenes since the inactivation of the protease was shown to cause decreased resistance to phagocytosis and impaired dissemination to organs23. Having said this, earlier research has determined and shown that in the invasive M1T1 strain a phase shift of a non-functional protease helps to conserve the virulence of the pathogen which would usually be degraded by SpeB24. This inverse relationship between SpeB expression and virulence of invasive strain of S. Pyogenes has suggested that the bacterium may need to differentially regulate SpeB expression depending on the site and events of the infection25

DNases: How do DNases allow S. Pyogenes to evade the immune system innate response? An additional mechanism which contributes to the virulence of S. Pyogenes are its DNases. Through genome analysis a total of 8 different DNases have been identified: spnA, spdB, sda1, sda2, spd1, spd3, spd4 and sdn. two of which (spnA and spdB) are conserved among all strains of S. pyogenes and spnA is the only one which is a cell wall bound DNase. DNases are essential to the bacterium as it contributes to the immune evasion of the pathogen. Neutrophils as part of the body’s innate immune response create neutrophil extracellular traps (NETs) made from azurophilic granules, and proteins from specific secondary and tertiary granules combined with chromatin. NETs form extracellular fibers which binds to Gram Positive bacteria, degrades virulence factors and kills them26. The sda1 and spnA DNases both will work by degrading the chromatin backbone, which will allow bacteria to avoid getting trapped in the NET’s, preserving their virulent nature. Toll like receptors 9 (TLR9) is a receptor which recognizes CpG rich DNA in the bacterial DNA, sda1 DNase degrades and modifies these sections of the DNA, not allowing it to be recognized by the TLR’s preventing recognition and thus the innate immune response27

21 Kansal RG, Nizet V, Jeng A, Chuang WJ, Kotb M. 2003. Selective modulation of superantigen-induced responses by streptococcal cysteine protease. J Infect Dis 187:398–407 https://doi.org/10.1086/368022.

22 Nyberg P, Rasmussen M, Von Pawel-Rammingen U, Björck L. 2004. SpeB modulates fibronectin-dependent internalization of Streptococcus pyogenes by efficient proteolysis of cell-wall-anchored protein F1. Microbiology 150:1559–1569 https://doi.org/10.1099/mic.0.27076-0.

23 Lukomski S, Burns EH Jr, Wyde PR, Podbielski A, Rurangirwa J, Moore-Poveda DK, Musser JM. 1998. Genetic inactivation of an extracellular cysteine protease (SpeB) expressed by Streptococcus pyogenes decreases resistance to phagocytosis and dissemination to organs. Infect Immun 66:771–776.

24 Kansal RG, McGeer A, Low DE, Norrby-Teglund A, Kotb M. 2000. Inverse relation between disease severity and expression of the streptococcal cysteine protease, SpeB, among clonal M1T1 isolates recovered from invasive group A streptococcal infection cases. Infect Immun 68:6362–6369 https://doi.org/10.1128/IAI.68.11.6362-6369.2000.

25 https://journals.asm.org/doi/10.1128/microbiolspec.gpp3-0054-2018

26 Brinkmann V. 2004. Neutrophil extracellular traps kill bacteria. Science 303:1532–1535. https://www.jstor.org/stable/pdf/3836573.pdf?casa_token=n OXWRDWsbEkAAAAA:KKi6pIDxZ4qctvQrao0fsstTagBZYG60o8FkSYcACuggQdPb9ijTOGYtYCSZO6-k6iGAQ3bLaRN78W6fRY6FbLgz3QhlpYhI1 3GQDIST0wGUoTxCjyOrlQ

27 Uchiyama S, Andreoni F, Schuepbach RA, Nizet V, Zinkernagel AS. 2012. DNase Sda1 allows invasive M1T1 group A Streptococcus to prevent TLR9-dependent recognition. PLoS Pathog 8:e1002736 https://doi.org/10.1371/journal.ppat.1002736.

Uppingham Research Journal – Issue 4

Streptococcal inhibitor of complement (SIC): How does SIC prevent destruction of bacterieal cells from the immune system.

Streptococcus Pyogenes also releases a streptococcal inhibitor of complement (SIC) which is a highly variable protein which arises during the epidemic spread of the pathogen. Most variants experience a mutation of a single amino acid substitution or deletion, which may increase or decrease its effectiveness when dealing with the complement system. The SIC works by blocking insertion sites on the complement 7 (C7) protein for which C5bC6 complex will bind to. This process will normally alter the configuration of the protein, exposing a hydrophilic site which is able to penetrate the phospholipid bilayer. However without this induced change of shape insertion into the membrane not possible28. SIC is also internalized by neutrophils, when inside these white blood cells, the SICs will bind to ezrin and Mosin proteins. These helps bind the actin cytoskeleton to the neutrophil cell membrane and thus provide some flexibility, the disruption of this exoskeleton will interfere with polymorphonuclear opsonophagocytic (by reducing the needed flexibility) which the neutrophils usually perform when in contact with pathogens29. SIC has also been shown to prohibit the binding of HMW KNGs to endothelial cells, these cells normally control adhesion and migration of inflammatory cells. Furthermore, SICs effect on HMW KNGs impairs the release of bradykinin, this is a vasodilator important in the inflammatory response, a lack of it could lead to decreased inflammation and thus the persistence of the bacterium30. SIC’s can bind to histones and lead to the formation of large aggregates, this binding will mostly neutralize their antimicrobial activity. Histones are also part of the composition of NET’s and therefore the binding and formation of aggregates would reduce the presence and effects of these structures, preserving the bacterium’s virulence31

IgG targeting enzymes: How does the degradation of IgG slow and inhibit immune response IgG targeting enzymes of S.Pyogenes (IdeS) have a major part of inhibiting immune response by targeting IgG antibodies (which are a very important part of the humoral response). The IdeS cleaves IgG antibodies bound to streptococcal surface structures. Having said this, this enzyme is specific to IgG and does not target IgM, IgE or IgD antibodies32. Endoglycosidase S (EndoS) is an enzyme which hydrolyses the β1-4 glycosidic bond between the polysaccharides linked to Asn297, the presence of which is responsible for the recognition of Fc binding ligands (a molecule with a functional group responsible for forming complexes)33. This removal of this glycoprotein will thus result in the inability of complement activation, a system where plasma proteins work together to opsonize pathogens and trigger a series of inflammatory responses. The removal of this glycoprotein will also prohibit FcR binding on effector cells such as macrophages and neutrophils which are part of the body’s immune response34.

Streptokinase: How is Streptokinase able to activate plasmin and what are the consequences? S. pyogenes has another toxin which helps evade and damage a host’s immune system. Streptokinase is a single chained protein which is a plasminogen activator, activating working plasmin35. Plasminogen is the

28 Fernie-King BA, Seilly DJ, Willers C, Würzner R, Davies A, Lachmann PJ. 2001. Streptococcal inhibitor of complement (SIC) inhibits the membrane attack complex by preventing uptake of C567 onto cell membranes. Immunology 103:390–398 https://doi.org/10.1046/j.1365-2567.2001.01249.x.

29 https://journals.asm.org/doi/10.1128/microbiolspec.gpp3-0054-2018

30 Akesson P, Herwald H, Rasmussen M, Håkansson K, Abrahamson M, Hasan AAK, Schmaier AH, Müller-Esterl W, Björck L. 2010. Streptococcal inhibitor of complement-mediated lysis (SIC): an anti-inflammatory virulence determinant. Microbiology 156:3660–3668 https://doi.org/10.1099/mic.0.039578-0.

31 Westman J, Chakrakodi B, Snäll J, Mörgelin M, Bruun Madsen M, Hyldegaard O, Neumann A, Frick I-M, Norrby-Teglund A, Björck L, Herwald H 2018. Protein SIC secreted from Streptococcus pyogenes forms complexes with extracellular histones that boost cytokine production. Front Immunol 9:236 https://doi.org/10.3389/fimmu.2018.00236.

32 von Pawel-Rammingen U, Johansson BP, Björck L. 2002. IdeS, a novel streptococcal cysteine proteinase with unique specificity for immunoglobulin G. EMBO J 21:1607–1615 https://doi.org/10.1093/emboj/21.7.1607.

33 Collin M, Olsén A. 2001. EndoS, a novel secreted protein from Streptococcus pyogenes with endoglycosidase activity on human IgG. EMBO J 20:3046–3055 https://doi.org/10.1093/emboj/20.12.3046.

34 Collin M, Svensson MD, Sjöholm AG, Jensenius JC, Sjöbring U, Olsén A. 2002. EndoS and SpeB from Streptococcus pyogenes inhibit immunoglobulin-mediated opsonophagocytosis. Infect Immun 70:6646–6651 https://doi.org/10.1128/IAI.70.12.6646-6651.2002.

35 Wang X, Lin X, Loy JA, Tang J, Zhang XC. 1998. Crystal structure of the catalytic domain of human plasmin complexed with streptokinase. Science 281:1662–1665 https://doi.org/10.1126/science.281.5383.1662.

Uppingham Research Journal – Issue 4

multidomain zymogen for plasmin. Plasminogen contains 5 domains which are responsible for binding plasminogen receptors. Streptokinase, plasminogen and fibrinogen will form a trimolecular complex which is then bound to the S.Pyogenes via surface receptors, here either the plasminogen activator urokinase or tissue plasminogen activator will activate this membrane bound plasminogen’s into plasmin. Streptokinase will also form a 1:1 complex with the plasminogen in order to activate it36. Plasmin is a serine protease which dissolves fibrin blood clots and is crucially involved in the inflammatory response, it is able to cleave fibrin, fibronectin, thrombospondin, laminin and Von Willebrand factor, therefore, improper activation can lead to widespread tissue damage and dissemination of the bacterium37

Studies have also shown that streptokinase activated plasmin on the cell surface membrane of S. Pyogenes is able to degrade the complement factor C3b, this usually binds to pathogens acting as an opsonin for phagocytosis however, due to the degradation of this protein, neutrophilic phagocytosis is greatly hindered38. Additionally, membrane bound plasmin degrades all classes of histones and abrogates their antibacterial effects, such as in the formation of NETs39.

Conclusion

In conclusion S. Pyogenes has many different toxins which allow for bacterial virulence and penetration, and it is possible to qualitatively determine which of the toxins have the most detrimental effects, such that: SLS is a toxin used by the bacterium to induce hemolysis and an influx of ions. SLO on the other hand could be argued to have a more important role in preventing phagocytic degranulation and inhibiting the production of ATP, weakening the immune system. Additionally, S. Pyogenes releases superantigens, a protein which is responsible for the overstimulation of CD4+ and CD8+ cells which could result in Toxic shock syndrome. Arguably the most important toxin, SpeB has many effects on the host such as it great immunosuppressing ability, affecting fibrinogen, Interleukin 1-β, immunoglobulins, fibronectin, kininogens, and a metalloprotease, despite this a phase shift in the bacterium does inhibit the production of this toxin due to its nature of cleaving a F1 protein which thus reduced host cell internalization. The DNases released by the bacterium provide significant impact to the pathogens’ virulence as it degrades NET’s allowing for the evasion of the immune system. The SIC preserves virulence by blocking C7 sites making it unable to form a complex and thus prohibiting membrane insertion, it also decreases flexibility of neutrophils preventing them from performing phagocytosis on the bacterium. IgG inhibitors, IdeS and EndoS inhibit immune activity by removing glycoproteins and reducing complement activation, resulting in a decreased immune force allowing for bacterial survival. Finally, we have streptokinase, a toxin which activates plasminogen into active plasmin which is a serine protease, which when produced improperly will lead to mass tissue damage. Despite having said this, the question of importance is one which does not consider the relationship between these toxins. Whilst they may perform different roles individually, the invasion and virulence of S. Pyogenes is created by the harmony created by all these toxins working together.

36 Walker MJ, McArthur JD, McKay F, Ranson M. 2005. Is plasminogen deployed as a Streptococcus pyogenes virulence factor? Trends Microbiol 13:308–313 https://doi.org/10.1016/j.tim.2005.05.006.

37 https://en.wikipedia.org/wiki/Plasmin#:~:text=Plasmin%20is%20a%20serine%20protease,Graafian%20follicle%2C%20leading%20to%20ovulation.

38 Ly D, Taylor JM, Tsatsaronis JA, Monteleone MM, Skora AS, Donald CA, Maddocks T, Nizet V, West NP, Ranson M, Walker MJ, McArthur JD, Sanderson-Smith ML. 2014. Plasmin(ogen) acquisition by group A Streptococcus protects against C3b-mediated neutrophil killing. J Innate Immun 6:240–250 https://doi.org/10.1159/000353754.

39 Nitzsche R, Köhler J, Kreikemeyer B, Oehmcke-Hecht S. 2016. Streptococcus pyogenes escapes killing from extracellular histones through plasminogen binding and activation by streptokinase. J Innate Immun 8:589–600 https://doi.org/10.1159/000448039.

Was Gustave Courbet’s The Stone Breakers purely a reflection of the changes in society caused by the French Industrial Revolution or driven by his own vanity?

Preface

Born in the commune of Ornans in eastern France, Jean Désiré Gustave Courbet (1819 - 1877) grew up in a rural middle-class environment during the years presaging the French Industrial Revolution (1848-1875) 1. He was inspired by the works of the Old Masters, notably Vermeer, Rembrandt and Velasquez, who portrayed images of daily life in their work2.

Courbet “was the main exponent of Realism in 19th-century French painting” 3. He challenged the dominating Neoclassicism movement of the time by portraying everyday images of the suffering caused to the working classes as a result of the French Industrial Revolution. An understanding of the sociocultural impact of the industrial breakthrough is crucial to recognising the controversy of the artist's political ideologies and how this drove him to depict the lower classes in his art. By defying the prevailing aesthetic tastes of the conventional bourgeois society and expressing his socialist beliefs4, Courbet’s reputation as a radical artist grew 5. This essay examines one of his notorious masterpieces The Stone Breakers, 1849, which embodies this revolutionary approach.

Was this piece an outburst against the changing society, or simply a way for Courbet to stand out from other artists to promote himself?

The Neoclassicism movement had thrived across Northern Europe since the 1750s. The majority of French art depicted an idealised society; people were pictured as God-like individuals (attractive, wealthy, well-dressed) and set in dream-like biblical surroundings. The works of Jacques-Louis David6, Elisabeth Louise Vigée Le Brun7 and Jean-AugusteDominique Ingres parallel this style.

In contrast, Courbet’s aim as a Realist was not to idealise or apotheosize reality but to depict honest portrayals of provincial life.

The Stone Breakers

As the French Industrial Revolution developed and the use of machinery became widespread, the working classes, especially in rural areas, suffered greatly. Employment rates plummeted and labourers had no choice but to work long hours for

Figure 1 : Jean-Auguste-Dominique Ingres (1824). The Vow of Louis XIII. Oil on canvas⁸.

1 University of Calcutta. Essay: Making of Modern Europe: Module 4. Industrial Revolution: France. Script. Industrialisation in Continental Europe: the case of France.

2 The National Gallery. Gustave Courbet. Book: Gustave Courbet: His Life and Art, by Jack Lindsay, 1973.

3 The National Gallery in London: Courbet “was the main exponent of Realism in 19th-century French painting”.

4 Book: Image of the People; Gustave Courbet and the 1418 Revolution, by T.J. Clark.

Met Museum: Timeline of Art History, Gustave Courbet.

5 Rehs Galleries, Inc. BIOGRAPHY – Gustave Courbet.

6 Oxford Art Online. Neo-classicism and the French Revolution.

7 Met Museum. Marquise de Puységur, by Elisabeth Louise Vigée Le Brun.

8 Web Gallery of Art. Oil on canvas, The Vow of Louis XIII (1824) by the French Neoclassical artist Jean-Auguste-Dominique Ingres, exhibited in Montauban Cathedral.

minimal wages, often subjected to exploitation and abuse in the workplace9. Courbet’s firm socialist beliefs sparked his desire to incorporate images of this situation in his work; the bottom tier of the Third Estate’s social hierarchy were the people most affected by the changing times10. He featured elements considered vulgar by society, notably manual workers with desperate, tortured facial expressions in oppressive environments. The artist scandalized the bourgeois audience who did not want to be confronted with life outside their rarified world.

Courbet had his major breakthrough in 1851. That year, he exhibited a trio of paintings in the Paris Salon; The Stone Breakers, A Burial at Ornans, 1850, and The Peasants of Flagey Returning from the Fair, 185011. Amongst these controversial paintings, The Stone Breakers spurred the most outcry from the upper classes as it depicted the harsh reality of manual labour.

In this oil painting, two labourers toil on the construction of a road. Whilst the young boy carries a heavy dish full to the brim with stones, the older man hammers rocks to break them into gravel. Their faces are averted, as if afraid of being judged by the observer. The side of a dark, craggy mountain consumes much of the background. It is a landscape similar to that around Ornans. The scene is excessively barren, devoid of any vegetation or signs of life, the only exception to this

being the pale blue patch of sky, which Courbet uses to symbolise freedom, calm and perhaps a ray of hope, out of reach to the workers.

The viewer’s gaze is initially drawn to the foreground, in particular to the men’s fatigued and ripped clothing. This would have shocked the conservative public as it emblematizes the poverty of the figures. The men’s attire is in direct contradiction to the respectable, often sumptuous, robes worn by subjects featured in traditional Neoclassicist paintings.

Courbet perhaps intended to use the labourers' hands as an analogy to depict their age; the pale and soft nature of the boy’s hand, representing his innocence and inexperience of outdoor labour, directly contrasts with the elder’s bronzed and leathered fist. The elder wears a hat to protect him from the sun which suggests that he is more experienced and has been in the drudgery of physical labour throughout his life.

The artist may have intended to portray the same person at different stages in their life. Child labour was common practice at the time, and the painting brings to life the abuse and destitution often suffered by 19th century workers. The inescapability of this cycle of working life is also argued through the composition of this piece; the young and old are presented at equal levels in the painting.

9 Article: The First Industrial Revolution, by the Editors of Encyclopaedia Britannica.

10 Article: Third Estate French History, by the Editors of Encyclopaedia Britannica.

11 Thyssen-Bornemisza Museo Nacional. Gustave Courbet. Article: Oxford Art Online. Courbet, (Jean-Désiré-) Gustave, by Klaus Herding.

Figure 2: Gustave Courbet (1849). The Stone Breakers. Oil on canvas.

Moreover, the artist emphasizes the chiaroscuro to highlight the impression of light shining on the subjects and refines all elements of the painting equally in order to create a compositionally accurate piece. The contrast between the soft sky and the submersion of the labourers in darkness suggests that the men are segregated in society. This exaggerates the effect of isolation and indicates that they are physically and economically trapped. Courbet connects the viewer with the painting and ensures they see the labourers as real people.

By portraying the stone breakers as he did, Courbet crystallised the harsh reality of workingclass life in rural France: a life on the brink of survival. However, it is unlikely that the artist merely painted what he saw without considering the outcry this would cause. One cannot underestimate the extent to which Courbet tried to provoke a reaction.

In technical terms, the artist uses a palette knife to create rough brushwork. This approach goes against the highly refined Neoclassical style; demonstrating how Courbet forges his own creative path. He also exemplifies a clear rejection of the basic rules of conventional art by addressing neither aerial perspective nor a focal differentiation between the foreground and the background. He was confident that by doing so, he would affront art critics and cause a sensation in bourgeois society.

In addition, critics were shocked by the exceptionally large size of the canvas (165cm x 257cm). At the time, large-scale paintings were normally reserved for portraits of the famous and wealthy, because ordinary people were not considered to be of importance or aesthetically pleasing to look at. For this reason, pieces such as The Stone Breakers were highly controversial as they established the common man as a worthy subject to represent at scale, alongside paintings of the noble man. By defying societies’ expectations and painting onto a considerable canvas, the artist argues that all individuals are worthy of large-scale artistic attention12.

“The Most Arrogant Man in France”

The artist shared the views of the Realist painter Jean-Baptiste Camille Corot (1796-1875) as they both valued individuality in their work. Corot stated that “it is better to be nothing than an echo of other painters” 13 which reflects Courbet’s desire to stand out from the typical scene of Neoclassicist painters.

Although his provocative style led to criticism from The Salon, the artist intentionally spread a certain image of himself across Europe. The Most Arrogant Man in France, a book written by Petra tenDoesschate Chu, claims that Courbet was one of the first artists in history to publicise his work and himself in this entrepreneurial manner, making a much greater mark than fellow artists who were not as scandalous or outspoken. Chu claimed that “Courbet understood this dilemma perhaps better than any painter before him” 14. An example of how Courbet’s motive for painting was heavily influenced by his pride and his desire to be noticed, was in 1855. He flew into a rage when two of his paintings were rejected for the Paris Exposition Universelle. As an act of revenge, Courbet decided to create his own showcase, the ‘Pavillon du Réalisme’, opposite the Exposition entrance15. He disregarded negative responses to his work and promoted himself as a Realist to be distinctive from other artists.

Closure

Therefore, there is no doubt that Gustave Courbet’s portrayal of the working class in his painting The Stone Breakers reflected their suffering caused by the French Industrial Revolution. Nonetheless, the argument that his overwhelming ambition was to attract attention to his work, is notably convincing. As Chu claims in his book, the anarchists’ vanity and self-importance was the driving force behind his choice of subject matter and the way in which he promoted his art. There is sufficient evidence to show that he intentionally caused a sensation in order to stand out from the majority of contemporaries in the art world and be recognised as the artist who ignited the Realist movement.

12 Smart History. Gustave Courbet, The Stone Breakers.

13 John Pototschnik Fine Art. Jean-Baptiste Camille Corot speaks.

14 Book: The Most Arrogant Man in France, Gustave Courbet and the Nineteenth-Century Media Culture, by Petra ten-Doesschate Chu. Published 2007.

15 Oxford Reference. Gustave Courbet.

Alternative meat and its potential impact on the food industry

Introduction

As the number of people with a vegan or vegetarian diet increased the demand for alternative protein rose. Alternative meat is more relevant these days as it may bring a significant impact on the food industry, as they could possibly become the largest competitor of conventional meat and affect its sales. Recently there has been development in sustainable meat and the 2 major types, novel vegan meat and cultured meat. Novel vegan meat is made of plant-based inputs, despite their ingredients they have a close sensory profile to real meat. Cultured meat is created from 3D scaffolding using cells extracted from animals. Those 2 have been the most attractive for the venture capital and there was global funding of $900m for novel meat and $50m for culture meat up to 2018.1 The society has become more aware of the issues of consuming conventional meat, for instance the health consequences such as colorectal cancer, heart disease and diabetes. Environmental impacts include 70% of global freshwater and half of world’s habitable land being used for agriculture which leads to reduction of biodiversity 2, and the greenhouse gases produced as a process of keeping livestock. Therefore, alternative meat is significant key for humans to live more sustainably, without inflicting these damages to the earth.

The reason alternative meat can potentially be more popular is that it is a perfect substitute of real meat. The products are marketed toward meat eaters rather than only to those already with meat-free diet which is the minority of 10% in the UK.3 Perhaps it may be a more effective method to introduce them to meat-free diet than advertising vegetarianism which people would be more reluctant to. Instead, alternative meat can be substituted for meat while individuals don’t change their behaviour.4 Blomberg intelligence project predicts that alternative meat market would grow from worth $4.2 billion to $72 billion in the next 10 years.5 The market is already experiencing growth due to the increase in vegan population by 350% to 79 million. Plant-based goods overall has reached $29.4 billion in 2020, and plant-based dairy is consumed by 1 in 13 people, which suggests that meat substitutes could also become large soon. Restaurants may be affected by change in customer preference, since chefs might not have experience with plant-based meat. They would require enough time to research and experiment to recreate the previous dish but without real meat. Consequently, the restaurant would face difficulty adding plantbased options to their menu and meeting the new demand and may eventually lead to structural unemployment. However, some restaurants have managed to adapt to the change, such as Popeye having a vegan menu and Omni pork, plant-based meat sold in Sainsbury’s store.6

The environmental costs involved in the production of conventional meat, mentioned above are negative externality and is creating a dead weight loss to the society. Animal farming produces 12 to 20% of the total global greenhouse gases7, as a result it makes meat production one of the largest contributing factors of global warming. Subsequently, the benefit of global veganism is predicted to be great, reducing the climate cost by $1.5 trillion by 2050.8 The production of plant-based meat is not perfectly sustainable. The production requires significant amount of processing which every step consumes energy. Fossil fuel,

1 Kearney, A.T. How Cultured Meat and Meat Alternatives will Disrupt the Agricultural and Food Industry. https://www.kearney.com/ documents/291362523/291366549/How+Will+Cultured+Meat+and+Meat+Alternatives+Disrupt+the+Agricultural+and+Food+Industry.pdf (Accessed 17 Feb 2025)

2 Ritchie, H., Rosado, P., Roser, M. Environmental Impacts of Food Production. https://ourworldindata.org/environmental-impacts-of-food (Accessed 17 Feb 2025)

3 Wikipedia. Vegetarianism by Country. https://en.wikipedia.org/wiki/Vegetarianism_by_country (Accessed 17 Feb 2025)

4 Holmes, B. 2022. How sustainable are fake meats? https://ourworldindata.org/environmental-impacts-of-food (Accessed 20 Feb 2025)

5 Advanced Biotech, 2023. Plant-Based Demands and the Effect on Animal Agriculture. https://adv-bio.com/plant-based-demands-and-the-effect-onanimal-agriculture/#:~:text=Effects%20on%20the%20Cattle%20and,all%20US%20meat%20sales2. (Accessed 18 Feb 2025)

6 Digital Restaurant, 2022. Impact of Plant-Based Meat on Restaurants & Food Industries. https://www.digital-restaurant.co.uk/blog/plant-based-meatgrowth/ (Accessed 17 Feb 2025)

7 Carrington, D.2025. ‘Insanely tasty green food’: how the meaty Danes embraced a world first-plant based plan. https://www.theguardian.com/ environment/2025/jan/31/more-carrot-less-stick-how-meat-loving-danes-were-sold-a-plant-led-world-first (Accessed 19 Feb 2025)

8 Digital Restaurant, 2022. See above.

water and land are used to grow the ingredient soy and there is gas emission from fertiliser. Although there are environmental costs, they are much less than real meat production. Source by Jon Hopkins shows that the emission is 10% of real beef, water used is 23% of real beef, and only occupies 2% of land used for beef, in production of the same amount of protein.9 Cultivated meat can be created with little or no greenhouse gas emissions, except from the electricity required to power the labs where they are made in.10

The rise of alternative meat may be unfavourable to the workers employed in the animal agriculture sector, since they are at risk of losing their jobs. The 3 groups that would be impacted the most according to the industry experts are: growers of soy and corn for livestock, contract pork and poultry farmers, and meatpacking workers. Although they are prone to be no longer in demand if alternative protein becomes the mainstream, it is possible for them to avoid unemployment by converting their career to plant-based farmers. Animal feed farmers would need to switch their type of crops to the specific ingredients of fake meat. Whereas contract farmers might struggle to adapt because they will need to change from building steel barns for livestock, to hemp or mushroom growing buildings. The cost will be expensive, and it could be unaffordable for vulnerable farmers. Additionally, the plant-based processing uses automation as firms are willing to reduce costs by reducing workers. As a result, there are less employment opportunities in the alternative meat industry.11 This may have negative consequences for the economy, since meat and poultry industry has generated $1.02 trillion in the US, and meat companies employ 1.9 million people and generate 3.6 million jobs. Conventional meat losing popularity might lead to mass employment in the US. Moreover, the industry and its employees pay tax of $43.96 billion, and if the industry shrinks the tax revenue will also decrease which could possibly cause government budget deficit.12 77.9% of the experts disagreed that there will be migration from animal production to other jobs. When comparing the survey results of Brazil to Europe, Brazil had more disagrees, possibly from the lower standard of education and the workforce lacking transferrable skills. Especially, cultivating meat requires fields of engineering, biology, and food science. On the other hand, Brazil is more optimistic about the growth of alternative meat because the production is carried out by the large conventional meat industries that are continuing to invest in normal meat, hence they feel less threat of unemployment.13

Since alternative meat is relatively new, there are great room for improvement in the production of it. The costs of plant-based meat include channel costs, logistics, production, packaging, materials, research and development. These costs are expensive now, but it is said that the per unit costs can decrease significantly. This can happen by improvement in yield of crop and protein content, lower cost extraction, shared supply chain, etc.14 If the costs drop, the firms will be able to supply more of them at lower costs. Technology advancement is the key factor to the development of the fake meat industry. For instance, the Impossible Burger uses synthetic biology whereas other companies are still in start-up phase, which means there are future expectations for this scientific method to be used more commonly. Despite the price of alternative meat being higher, Brandon Friedrich, the co-founder of Good Food Institute claims “once infrastructure has been created and volume goes up, these products will be less expensive”.15 This

9 Holmes, B. 2022. See above

10 Gates, B. 2021. How to Avoid a Climate Disaster: the Solutions We Have and the Breakthroughs We Need. Random House Inc.

11 Advanced Biotech, 2023. See above.

12 Shearer, P.S. 2016. Meat an economic boom for United States. https://www.nationalhogfarmer.com/hog-welfare/meat-industry-supports-u-s-economyby-over-1-trillion (Accessed 18 Feb 2025)

13 Luiz Morais-da-Silva, R. 2022. The expected impact of cultivated and plant-based meats on jobs: the views of experts from Brazil, the United States and Europe. https://www.nature.com/articles/s41599-022-01316-z (Accessed 19 Feb 2025)

14 Good Food Institute. Reducing the price of alternative proteins. https://gfi.org/wp-content/uploads/2021/12/Reducing-the-price-of-alternativeproteins_GFI_2022.pdf (Accessed 19 Feb 2025)

15 Couzens, R. 2022. The effects of the fake meat industry. https://yuobserver.org/2022/02/the-effects-of-the-fake-meat-industry/#:~:text=When%20 it%20comes%20to%20economics,small%20sector%20of%20the%20world. (Accessed 19 Feb 2025)

might become an example of Schumpeter’s creative destruction. It is a process of innovation replacing old methods, coming from belief that capitalism is always evolving.

Yet, it could also be argued that there would be minimal impact on the existing food industry by the alternative meat. Plant-based meat currently account for only 1% of the meal sales in the US. An issue is the fact that the market is not developing to the best of its potential which is because it requires $27 billion worth of investment in order to grow to even 6% of the market.16 Consequently, there is unlikely to be a significant change in the sales of plant-based meat and its increase in popularity in a short-run. Furthermore, even if the price of alternative meat decreases there is little effect on the cattle industry. In the US, 10% drop in price of alternative only reduces 1.2% of the sales of beef. It has also been found that 10% price drop decreases cattle slaughter by 0.15%. This can be explained by cross elasticity of demand, which can be calculated from the fall in quantity demanded of beef and the fall in price of plant-based meat. The cross elasticity of demand is a positive value showing that they are substitutes, but the value is smaller than 1 meaning they are weak substitutes. It is indicated that the demand for beef is inelastic, and people would continue to buy it even if plant-based meat becomes more affordable. Moreover, the farmers have other options if the alternative meat gains more market share. The farmers already export 10% of their beef, and they could switch to more exports if the product becomes less competitive domestically. Plant-based meat is mainly a substitute for ground beef, and this implies that when the demand for ground beef decreases, farmers can regain their profit by selling meat in other forms such as sirloins, chucks and ribs. 17 As a result, in the long run, the price drop of fake meat will not have a large impact on the producer profits.

The price of alternative meat is falling, for instance the company Impossible food dropped the price of their products by 20%. Yet, there is still a gap between prices of alternative and conventional. When comparing animal-based and plant-based burgers, in 2021, plant-based are 65% more expensive in the US and 32% more in the UK. The gaps are even larger in Australia with 233% and in Japan with 335%.18 The development of alternative meat varies around the world, and it is more accessible in some nations than others. Thus, it would be very challenging to bring change to the global preference in meat. On top of that it is up to the decision of each person to switch to fake meat, and the demand for it must be high enough to counteract the market share of farmed meat.

Conclusion

Ultimately, it is inevitable for alternative meat to have an impact on the food industry though there aren’t major changes currently. The transition would not occur over a short period of time, but we will eventually experience it as the production costs will certainly decrease due to development of the industry and technology. Another factor is the government intervention that can aid the increase in meat-free diet. In Denmark, there is a Danish action plan created by Jacob Jensen from the liberal party, which supports production of plant-based food. It is backed by €170 million government funds. Denmark government is also the first to impose tax on emissions from livestock.19 There is likely to be tax imposed on meat products as well which could result in 35 to 56% increase in beef prices to reflect environmental costs.20

16 Holmes, B. 2022. See above.

17 The Breakthrough Institute, 2022. Impact of Plant-Based Meat Alternatives on Cattle, Beef Industry and Greenhouse Gas Emissions https://thebreakthrough.org/issues/food-agriculture-environment/impact-of-plant-based-meat-alternatives-on-beef-emissions (Accessed 20 Feb 2025)

18 The Breakthrough Institute, 2022. See above.

19 Carrington, Damian, 2025. See above

20 Funke, Franziska, 2022. A meat tax is probably inevitable – here’s how it could work. https://www.smithschool.ox.ac.uk/news/meat-tax-probably-inevitable-heres-how-it-could-work (Accessed 21 Feb 2025)

The tax revenue earnt from it can be used for subsidies of alternative protein. Even though meat producers can avoid loss by taking different actions such as exporting more, that could also be classified as an impact. They may also attempt to lower their costs by more efficient farming and installing automation, which can lead to cheaper prices.

Bibliography

Carrington, D. 2025. ‘Insanely tasty green food’: how the meaty Danes embraced a world first-plant based plan. https://www.theguardian.com/environment/2025/jan/31/more-carrot-less-stick-how-meat-lovingdanes-were-sold-a-plant-led-world-first (Accessed 19 Feb 2025)

Couzens, R. 2022. The effects of the fake meat industry. https://yuobserver.org/2022/02/the-effects-ofthe-fake-meat-industry/#:~:text=When%20it%20comes%20to%20economics,small%20sector%20 of%20the%20world. (Accessed 19 Feb 2025)

Funke, F. 2022. A meat tax is probably inevitable – here’s how it could work. https://www.smithschool.ox. ac.uk/news/meat-tax-probably-inevitable-heres-how-it-could-work (Accessed 21 Feb 2025)

Gates, B. 2021. How to Avoid a Climate Disaster: the Solutions We Have and the Breakthroughs We Need Random House Inc.

Holmes, B. 2022. How sustainable are fake meats? https://ourworldindata.org/environmental-impacts-of-food (Accessed 20 Feb 2025)

Kearney, A.T. How Cultured Meat and Meat Alternatives will Disrupt the Agricultural and Food Industry. https://www.kearney.com/documents/291362523/291366549/https://www.kearney.com/ documents/291362523/291366549/How+Will+Cultured+Meat+and+Meat+Alternatives+Disrupt+ the+Agricultural+and+Food+Industry.pdf (Accessed 17 Feb 2025)

Luiz Morais-da-Silva, R. 2022. The expected impact of cultivated and plant-based meats on jobs: the views of experts from Brazil, the United States and Europe. https://www.nature.com/articles/s41599-022-01316-z (Accessed 19 Feb 2025)

Ritchie, H., Rosado, P., Roser, M. Environmental Impacts of Food Production https://ourworldindata.org/environmental-impacts-of-food (Accessed 17 Feb 2025)

Shearer, P.S. 2016. Meat an economic boom for United States. https://www.nationalhogfarmer.com/hogwelfare/meat-industry-supports-u-s-economy-by-over-1-trillion (Accessed 18 Feb 2025)

Other sources

Advanced Biotech, 2023. Plant-Based Demands and the Effect on Animal Agriculture. https://adv-bio.com/ plant-based-demands-and-the-effect-on-animal-agriculture/#:~:text=Effects%20on%20the%20 Cattle%20and,all%20US%20meat%20sales2. (Accessed 18 Feb 2025)

The Breakthrough Institute, 2022. Impact of Plant-Based Meat Alternatives on Cattle, Beef Industry and Greenhouse Gas Emissions. https://thebreakthrough.org/issues/food-agriculture-environment/impact-ofplant-based-meat-alternatives-on-beef-emissions (Accessed 20 Feb 2025)

Digital Restaurant, 2022. Impact of Plant-Based Meat on Restaurants & Food Industries. https://www.digital-restaurant.co.uk/blog/plant-based-meat-growth/ (Accessed 17 Feb 2025)

Good Food Institute. Reducing the price of alternative proteins. https://gfi.org/wp-content/ uploads/2021/12/Reducing-the-price-of-alternative-proteins_GFI_2022.pdf (Accessed 19 Feb 2025)

Wikipedia. Vegetarianism by Country. https://en.wikipedia.org/wiki/Vegetarianism_by_country (Accessed 17 Feb 2025)

How do mathematical models shape our understanding of the natural world?

Mathematical models reflect our beliefs about how the world functions, this is very useful as it simplifies and gives solutions to the problems that we encounter everyday in the natural world. Using the equations, formulas, algorithms and computer simulations, these models are able to make predictions or find solutions to the real-world scenarios.1 Using mathematical modeling, we are able to simulate real-world scenarios, which give insights and solutions to complex challenges. Scientists use mathematical modeling in various ways, such as weather forecasts, economic growth predictions and physics simulations. Mathematical modelers conduct experiments with models to understand the process in full details and make predictions, such as when and where an asteroid might hit the Earth. “Some of these phenomena are easier to model than others,” was said by Dr. Florin Diacu, a University of Victoria mathematician. He uses mathematical modeling to explain and predict complex and destructive natural phenomena, including asteroid collisions, earthquakes, tsunamis, volcanoes, hurricanes, pandemics and climate change.2 Even though, it might seem that we can predict everything using mathematical modeling, it is not particularly true as these give us only predictions, which means the chance of this happening in the real world scenario is possible but not definite. Mathematical modeling has a downside that all the factors have to be taken into account, as otherwise the model will be inaccurate and the outcome produced will not be reliable, therefore even slight factors that might affect one or another event have to be taken into account. As an example, climate change is very hard to model as it has lots of factors that should be accounted for and those factors change slightly every time, causing the modeling to be accurate only if those factors remain unchanged. This shows that mathematical models can be used in various areas and help to provide the foundation for scientific discovery, technological advancements, and informed decision-making.

One of the primary areas where the mathematical modeling plays a crucial role is science, including physics (engineering) and biology(medicine). In physics, there are two good examples which show the predictive power of the mathematical modeling used. Newton discovered laws of motion for the solar system which showed them to be very accurate in predicting the paths along which the planets move, but they applied and checked only to the planets that were already discovered and known. Whereas, in 1781, the planet Uranus was discovered by William Herschel, and when its orbit was plotted it was found that whilst it was nearly accurate with the predictions that Newton had stated in his law of motion, there were small discrepancies. This led to a large number of concerns as there were contradictions to the Newton laws. Scientists were concerned that there was a cause for this which they weren’t sure about at that time, and one of the explanations was that there is another planet in our solar system, that must have disturbed the orbit of Uranus. This contributed to some scientists using the Newtonian model to calculate the location of this planet. These calculations were carried out simultaneously, by John Couch Adams at Cambridge, and by Urbain Le Verrier in Paris. They both obtained similar results, and using Le Verrier’s calculations, Johan Galle has discovered the planet in 1846, which was Neptune.3 It highlights the remarkable predictive power of mathematical modeling, as Newton’s law of motion is a highly accurate model for predicting planetary orbits. It is also important how scientists have tried to find reasons for models having deviations, rather than discarding the model straight away. This is because scientists have trusted this model was accurate, causing them to find external factors that could have affected the orbit of Uranus to have slight changes compared to the calculations they made using the Newton laws. This demonstrates the strength of mathematical modeling as they have the ability not only to describe known phenomena but also to predict unknown elements of a system with high precision. It is also important to consider that in physics the accuracy of foundation models can be very high and slightly deviations, leading to investigations that can lead to new discoveries. Even in the 19th century, it became clear that

1 https://www.indeed.com/career-advice/career-development/mathematical-modeling6

2 https://www.uvic.ca/knowledge/archives/2010/v10n04-april10.php#:~:text=Mathematical%20modellers%20use%20real%2Dworld,and%20what%20 factors%20influence%20hurricanes

3 https://www.mathscareers.org.uk/real-world-examples-of-mathematical-modelling/

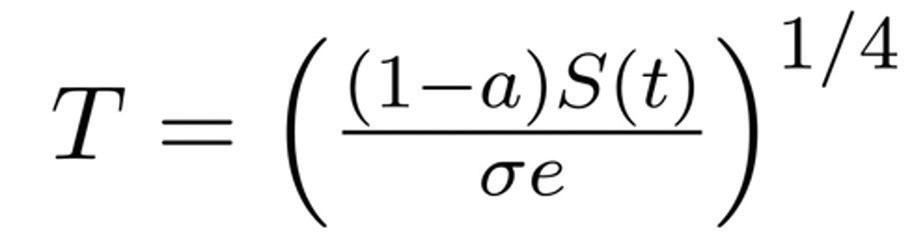
mathematical models had potentially extraordinary predictive powers. Another example of using mathematical modeling includes climate models, which can calculate the average temperature of the Earth. This is used for different scenarios, such as calculation of carbon dioxide production and solar variability. Here is a simple climate model which assumes that the energy arriving from the Sun balances the energy radiated from the Earth and gives us an equation for the average temperature on the Earth:

T gives us the average temperature on the Earth, S(t) is used for the average energy from the Sun, a is the fraction of the light that the surface of the Earth has reflected, e is the effective emissivity of the Earth’s atmosphere and sigma is used as Boltzman’s constant. This is a simplified mathematical model, as it doesn’t take any side factors that might affect the average temperature of the Earth. Even though it is very simplified, it still can give us predictions and allow scientists to see how the temperature on the Earth will change if, in any circumstances, the energy from the Sun would change. If this change in the energy released from the Sun to earth would have changed, this would lead to lots of unwanted changes such as polar ice caps melting and causing the global sea level to rise. This is a good model as these predictions can be tested against experimental data. This model helps in assessing the effect of greenhouse gas emissions and guides policymakers in making informed decisions to mitigate climate change. This can then be further used to see the impact it causes on the ecosystems, as further mathematical modeling can be used to check the impact on biodiversity.4 This is very useful, as society must maintain the environment for future generations.5 This therefore leads to research made by scientists to see how seriously human activities impact the environment and find new sustainable solutions that can mitigate pollution, save natural resources and keep the level of CO2 produced decreasing.

As stated before, mathematical modeling is like a simplified version of something real, using math stuff like rules and numbers. It helps society understand how things work, predict what might happen, and see how they behave. These models make complex things easier to understand and help the businesses make smart decisions based on what they learn from them. This predictive nature of mathematical models is very useful in the analysing the market, which therefore leads them to be used in economics and financial modeling.6 These models help to assess the investment risks and returns, predict how stock prices will change over time, and analyse the behavior of financial markets. Investors use those financial models to make more reasonable and allocative decisions, as investors want to make their investment successful, which will be more profitable. Even though, the predictions made by the mathematical models are pretty accurate, it doesn’t mean that the economy will behave in the same way as predicted, as the economy might go into recession, which then will lead to higher unemployment level and a decrease in the investment level. To manage other financial risks such as loans, investments, and market changes, banks and other institutions use much more complex models. These models help them understand and control potential risks, ensuring stability and safety in the financial system. An example of a simple economic mathematical model that is used in finance is Time Value of Money model (TVM). The core principle behind the TVM is that the money you have now will be worth more than the same amount at a future date. This is because money you have now can be invested for a financial return, and it will also get impacted by the inflation and so the value of money will be reduced, therefore the future value of the same amount of money will be less. So, the future value of money is calculated with this mathematical model:

4 https://www.comap.com/blog/item/math-modeling-examples

5 https://www.geeksforgeeks.org/real-life-applications-of-mathematical-modeling/

6 https://www.comap.com/blog/item/math-modeling-examples

FV represents the future value of the money, PV stands for the present value of money you have, r is the interest rate per period, and n is the number of periods.7 Again, this is a simplified version of the real model as there are lots of factors that might influence the actual value you will get in the future, some of those factors are interest rates, inflation and economic shock. Economic shocks have crucial effects on the economy of the country as they are random, unpredictable events that have a huge impact on the economy, and they are caused by things outside the scope of economic models.8 This model gives us the future value of the money, which is only the nominal value of the money, so it is not adjusted for the inflation. Whereas the real value, on the other hand, accounts for inflation and shows the true purchasing power of money over time. Acknowledging the difference between nominal and real values helps the investors to evaluate the actual growth of their investments, ensuring that they exceed the inflation rate so they get profit from the money invested.9 The main area where the TVM is used is investment decisions, as TVM helps investors to compare the value of different investment opportunities and pick one that gives the highest profit. Another area where TVM is used is savings. This mathematical model is used in calculating the future value of savings accounts and annuities. Financial planners use TVM model to determine how much periodic savings will grow over time, helping their clients plan for specific financial goals like purchasing a house or education. A major assumption made in this model is the constant growth rate remaining the same. In reality, market conditions are fluctuating all the time, this affects the returns and makes these estimates for the final value less reliable. Overall, mathematical modeling is crucial in finance and economics as it gives a framework to understand and use complex systems, predict economic fluctuations, and optimise the decision-making. Economists can designate and manage the risks and assess market behaviour.

In conclusion, mathematical modeling plays a crucial role in shaping and improving different aspects of everyday life. From predicting the weather patterns and their effect on natural habitats, and to managing the household budget, as it helps them to take decisions on the investment and the most rational decision on spending their money as mathematical models provide the tools that are needed for making informed decisions. As I said before, the use of mathematical modeling isn’t just simple calculations that provide the same data, it is deeply embedded in industries such as engineering, business, environmental science, and economics, where it influences everything from disease control to economic policies. One of the key advantages of mathematical modeling is its ability to simplify complex real-world problems, so it will be easily recognised and used by the specialists in order to obtain some further information and give it public top use. Therefore, it is used a lot in business and finance, as they assist in risk assessment, investment strategies, and economic planning, ensuing stability and growth in the economy to occur. Another advantage of mathematical modeling is its efficiency in management, as it can find the best option from all the data provided to it, where it ensures it picks the best option to use. This advantage can be used in ensuring effective resource allocation in the market or the supply of medicine in hospitals. This is very useful, as in the real-world resources are limited whereas demands are rising everyday, mathematical modeling provides the necessary framework for sustainable decision-making. Furthermore, mathematical modeling enhances technological advancement. Many innovations, including artificial intelligence, machine learning, and data analytics, rely on mathematical principles to function effectively. Additionally, mathematical modeling plays a crucial role in environmental conservation, and helping the ecosystem to evolve. Despite all the advantages it has, mathematical modeling has its own challenges. The accuracy of a model depends on the quality and quantity of the data used, the assumptions used, and the complexity of the real-world problem. This means that continuous updating and validation of mathematical models is essential to ensure their reliability and effectiveness. As the world continues to evolve, the importance of mathematical modeling will only grow, making it a fundamental aspect of everyday life.

7 https://www.trading212.com/learn/investing-101/time-value-of-money

8 https://www.investopedia.com/terms/e/economic-shock.asp#:~:text=Economic%20shocks%20are%20random%2C%20unpredictable,influence%20 either%20supply%20or%20demand

9 https://www.investopedia.com/articles/03/082703.asp

How progressive was Ancient Egypt in its treatment of women?

Within many ancient civilisations, women were often relegated to secondary roles, with restricted access to education, professional opportunities, and political power. Ancient Egypt, however, stands out as an exception, offering women a higher degree of equality compared to other societies of its time. The role and status of women in Egypt was diverse, enabling them the chance to participate in various public and private spheres. Although, it is often debated whether Ancient Egyptians were truly progressive in their treatment of women.

Unlike other cultures at the time, Ancient Egypt granted women greater equality, particularly in terms of education and professional opportunities. In Egypt, women were considered as the equals of men in most key areas of society, such as legal rights and religious roles, though they were generally excluded from certain occupations1 – such as government or military positions. Certain career opportunities were accessible to all, such as becoming a scribe, which could lead to further work opportunities such as teaching, becoming a physician or going into priesthood.2 The Alexandria Medical School in Egypt was attended by both foreign women and Egyptians; For instance, Agnodice, a legendary Greek woman from the 4th century BCE is often celebrated as the first recorded female midwife and physician in Athens. Denied a medical degree in Athens because of her gender, she studied midwifery in Egypt (4th century BCE) before returning to Greece posing as a man to practice medicine3 – making history by challenging legal and social barriers that excluded her from the field. Another vital example of Ancient Egypt's progressive nature is Pesheshet, who is often considered the first recorded (and named) female physician. Holding the title of 'Overseer of Female Physicians,'4 she practiced around 2500 BCE, further underlining the significant role of Egyptian women in the history of medicine. These instances highlight the progressive nature of Egyptian society, in comparison to other civilisations like Ancient Greece, where it was illegal for women to vote, own land, or inherit – and it was widely accepted they were largely confined to the household5

This social progress extended into women’s roles in the economy as well, where their rights were also notably advanced; Free and wealthy women enjoyed substantial property rights, thus enabling them to manage land and businesses. Similarly, they could take out loans and engage in trade without male guardianship6 – something uncommon in other ancient civilisations. Egyptian women also held the

1 Scholars Brier, B & Hobbs, H. Ancient Egypt: Everyday Life in the Land of the Nile. Sterling, 2013.

2 Mark, Joshua J. "Female Physicians in Ancient Egypt." World History Encyclopedia. Last modified February 22, 2017. https://www.worldhistory.org/article/49/female-physicians-in-ancient-egypt/.

3 https://worldhistoryedu.com/agnodice-history-midwifery-and-other-accomplishments/

4 https://europepmc.org/article/med/2685681

5 Mark Cartwright, “Women in Ancient Greece”, worldhistory.org

6 Csaba Szilovics, Professor, Head of Department, University of Pécs, Faculty of Law Department of Financial and Business Law http://eworkcapital.com/the-role-of-women-in-the-tax-system-of-ancient-egypt/

highest tax obligations – highlighting their direct participation in the state’s economic structure7. However, despite this social progress, their involvement was limited in certain areas, as they were barred from roles which involved navigation, fishing, banking and long-distance trade. Women’s economic influence peaked during the independent Egyptian empire (3000–332 BC) as they could exercise both financial and legal autonomy. However, as political dynamics shifted during the Hellenistic period (304–30 BC), Greek influence led to a decline in women’s economic power as they were increasingly subjected to new financial burdens, such as the head tax, which diminished their role in the Egyptian economy. This shows the advanced nature of women’s rights in Egypt- but also reinforces the broader debate of how political shifts (like the Hellenistic period) could either advance or erode female autonomy – showing that women’s progress was deeply tied to the wider socio-political landscape at the time.

Further, the question of legal progression is seen from a positive angle, as women could testify as witnesses during trials, serve as judges8, and were expected to pay taxes (as mentioned earlier). They could also own a third of the property they acquired during marriage. This can be seen as largely progressive, especially when compared to some contemporary civilisations like England, where women could only own property starting 1882 – following the Married Women’s Property Act. In contrast, Ancient Egyptian women were granted legal rights much earlier, showing a substantial degree of gender equality in their society.

Egyptian society uniquely celebrated the feminine within its religious framework, granting women significant roles in temple life that reflected their broader social importance. In some periods, it was normal for influential women to take on religious roles to enhance their status. In the Old Kingdom. (c 2686-2160 BCE), noblewomen could be priestesses – often in goddess cults like those of Goddesses Hathor or Isis. Whereas, in the New Kingdom they are more commonly described as temple singers or musicians9. The most powerful religious role to be held by Royal women was “God’s wife of Amun”, which conveyed that the newborn pharaoh born from a woman with this title would be a demigod (before this title a pharaoh could only become divine at death). These positions suggest that women had certain influence within the temple. The Egyptian Church here can be compared to Ancient Rome, in which female involvement in the church was limited to the Vestal Virgins. While they held a sacred role in the Roman Church, there weren’t many of them. They also lived with severe restrictions, such as life-long chastity, and if these restrictions were broken, the vestal virgin would be condemned to death.10 This emphasises Egypt’s relative progressiveness, where women were both integrated in religious institutions but also held positions of certain power and influence.

While royal women in most ancient societies were relegated to the background, Egyptian queens held significant political authority, with some, like Hatshepsut and Cleopatra, ruling as pharaohs. Hatshepsut (came to power in 1437 BC) co-ruled with her stepson Thutmose III – but was perceived as the ‘dominant’ king11. As she progressed through her reign, she was increasingly portrayed with male regalia and with a male body – which can be seen either as a sign of respect, or as an argument for the slightly regressive nature of some parts of Egyptian society. Another argument for its somewhat regressive nature is that after his stepmother’s death, Thutmose III sought to erase Hatshepsut from history by defacing her monuments12 – for instance, chiseling away relief images of her as King in the temple of Amen in Karnak.

7 Csaba Szilovics, Professor, Head of Department, University of Pécs, Faculty of Law Department of Financial and Business Law http://eworkcapital.com/the-role-of-women-in-the-tax-system-of-ancient-egypt/

8 https://www.tandfonline.com/doi/abs/10.1080/08974454.2021.2004971#:~:text=Included%20among%20these%20observations%20are,their%20 mother's%20dowry%3B%20women%20could

9 https://exhibitions.kelsey.lsa.umich.edu/galleries/Exhibits/WomenandGender/relig.html#:~:text=In%20general%2C%20men%20were%20in,of%20 such%20goddesses%20as%20Hathor.

10 https://pdxscholar.library.pdx.edu/cgi/viewcontent.cgi?article=1157&context=younghistorians

11 https://www.britannica.com/biography/Hatshepsut

12 https://www.chandlerinstitute.org/governancematters/a-3-500-year-old-pharaohs-lessons-for-todays-leaders

This is shown on the depiction opposite (her erased figure between gods Thoth and Horus). Another notable female royal was Cleopatra VII, who was known for her diplomatic, political and romantic connections with leaders such as Mark Antony and Julius Caesar. Believed to have been fluent in at least nine languages, she was one of the few to know and use the native Egyptian language13 – highlighting her intellect and communication skills. This can be seen through her communication with Herod the Great– despite her own personal dislike of the king of Judea. This exchange resulted in trade routes and mercantile arrangements between the two leaders, which significantly furthered the Egyptian economy. Despite challenges, Hatshepsut and Cleopatra exemplified the power and influence of Egyptian royal women. Their reigns highlighted both the progress and limitations of gender roles in Egypt, leaving a lasting impact on its political and economic history.

In sum, the treatment of women in Ancient Egypt was certainly progressive compared to many other ancient civilisations, granting them economic, religious and legal rights that were rare for their time. Women could own property, engage in trade, and participate in temple life, with some even rising to positions of political power. However, this progressiveness was relative – certain professions remained inaccessible, and male rulers often sought to erase the authority of powerful women. Additionally, many of these rights were lost as foreign empires such as the Greeks and Romans gained control. While Egyptian society was not entirely equal, it demonstrated a level of gender inclusivity that set it apart from other ancient cultures. Ultimately, the treatment of women in Ancient Egypt was progressive for its time, though it remained shaped by social and political constraints that prevented full equality.

13 “The Reign of Cleopatra” Stanley M. Burstein

Can Prion diseases be cured?

Introduction

Prion diseases, also known as transmissible spongiform encephalopathy (TSEs), are a rare group of invariably fatal neurodegenerative disorders that affect humans and other mammals (Moore, Tauber & Priola, 2009). Examples of human prion diseases include Creutzfeldt- Jakob Disease (CJD), Kuru and fatal familial insomnia (FFI). This essay explores the mechanism of prion diseases, current challenges and solutions in treatment and research.

Mechanism of Prion diseases

Prion diseases occur when the major prion proteins (PrP) misfold into PrP-res. The major prion protein is found on the surface of many cells in the body, including the brain. According to MedlinePlus, PrP is believed to be responsible for transporting ionic copper to cells from the surrounding environment and is involved in protecting brain cells from injuries.

Prions can occur in two forms: PrP-C and PrP-res. They are both coded for by the same PRNP gene but have different secondary structures (Eghiaian et al., 2004). PrP-C are the normal prion proteins, which are normally found in the neurons in the brain. They are relatively unstable and are normally broken down quickly by proteases (Schuler, 2019).

PrP-res, a name given to any isoform of PrP-C, is the disease-causing form of prion protein. Unlike PrP-C, this protein is resistant to being broken down and accumulates in the brain (UCL, 2024). When PrP-C comes into contact with PrP-res, it is converted into PrP-res, resulting in a chain reaction that multiplies copies of the infectious prion (University of Utah, n.d.). PrP-res proteins tend to stick to each other due to their abnormal shape, forming long chains called ‘amyloid fibres’, which are toxic to nerve cells. Cells called astrocytes crawl through the brain and digest the dead neurons, causing small holes to form in the brain tissues. This leads to memory loss, behaviour changes and even death (Seladi-Schulman, 2023).

Treatment

Unfortunately, there is currently no cure for prion diseases. Most people diagnosed with prion diseases die within a few months to a few years (Cleveland Clinic, 2024). However, many scientists are discovering new ways to help manage symptoms or slow progression. The main strategies to treat prion diseases can be put into two main groups: anti-prion therapeutics and gene therapy.

Anti-prion therapeutics

Anti-prion therapeutics are designed to target the infectious prion. One of the therapeutics being investigated is monoclonal antibodies (mAbs). The antibodies bind to antigens on the pathogen, neutralising toxins and agglutinating the pathogens so they can be engulfed and digested by a phagocyte. Ma & Ma (2020) found that mAbs stabilise PrP-C thereby preventing the PrP-C to PrP-Sc (PrP-res) conversion, reducing the number of harmful prions in the brain.

In a treatment programme conducted in 2022, a humanised prion protein mAbs, PRN100, was tested on 6 patients with a clinical diagnosis of probable CJD (Mead et al., 2022). The patients were treated for 7-260 days and during the course of treatment, 3 patients died, one patient withdrew due to the disease progression and treatment was discontinued for the last 2 patients due to exhaustion of availability of drug product. Although disease progression was not halted or reversed in any patient, MRC Prion Disease Rating Scale scores of the patients appeared to have stabilised in 3 patients. The brain autopsy from 2 patients also showed that PRN100 treatment did not induce neurotoxicity and suggested that the antibody can cross the blood-brain barrier and help clear disease-related PrP from the brain. Minikel (2022), highlighted that PRN100 reached brain concentrations 10-30 times higher than required to saturate PrP. However, due to limited drug products and a small number of patients, it cannot be

determined whether PRN100 altered the course of the disease. Nonetheless, it can be concluded that PRN100 treatment is safe and able to access the brain, which is promising for a formal clinical trial in a larger number of patients in the future.

Another therapeutic being investigated is dendrimers. A dendrimer is a synthetic highly branched monodisperse and polyfunctional macromolecule (Chabre & Roy, 2010). Different types of dendrimers, such as polyamidoamine and polypropyleneimine (PPI) are found to show anti-prion activities.

In a study done in 2001, scrapie-infected neuroblastoma cells were cultured and exposed to PPI for 4 weeks. PrP-Sc was reduced to a level undetectable by polyamidoamine and PPI dendrimers (Supattapone et al., 2001). Dendrimers can achieve this due to their ability to destabilise the tertiary structure of the prion protein. The high-density reactive surface groups on the dendrimers interact with patches of minor surface charge on the PrP-Sc molecule, perturbing the protein’s water structure and, therefore, destabilising it (McCarthy et al., 2013). Furthermore, they also found that a specific dendrimer, mPPIg5, eliminates PrP-Sc by inhibiting the conversion of PrP-C to PrP-Sc. In the conversion process, PrP-C encounters PrP-Sc and is converted to the misfolded isoform. After an hour, the PrP-Sc undergoes a proteolytic process (protein-cutting process), forming a truncated PrP-Sc that accumulates in the lysosome and has a half-life of ≥ 24 hours. However, the non-truncated PrP-Sc, referred to as Full Length PrP-Sc, is short-lived, if the synthesis of FL PrP-Sc is interfered with, its levels will drop rapidly. Therefore, the level of FL PrP-SC is seen as the marker of the conversion of PrP-C to misfolded forms. The researchers exposed prion-infected cells to mPPI-g5 and approximately 80% of FL PrP-Sc was eliminated after 12 hours of treatment. They believe mPPI-g5 alters the structure of PrP-Sc to such an extent it is no longer capable of initiating the misfolding of PrP-C. The exact mechanism of how it is done remains unknown. However, it is still proven that mPPI-g5 can inhibit the conversion of PrP-C to PrP-Sc.

Gene therapy

On the other hand, gene therapy aims to modify a person’s genes to treat or cure disease. One of the strategies being investigated is antisense oligonucleotides (ASOs). ASOs are short, synthetic, singlestranded oligodeoxynucleotides that can alter RNA and reduce or modify protein expression through several distinct mechanisms (Rinaldi & Wood, 2018). ASOs bind to their target RNA sequence inside the cells via complementary base pairing and bring about gene silencing through mechanisms such as induction of RNase H endonuclease activity and alteration of the splicing process (Di Fusco et al., 2019). The former being a process where a structure called an RNA-DNA duplex is formed when the ASO binds to the RNA. This attracts the enzyme RNase H, which cleaves the RNA part of the duplex, destroying the instructions to make the protein, so the protein can no longer be produced. Alteration of splicing is achieved by the ASOs binding specific sequences in the pre-mRNA near splice sites or removing introns. The resulting protein is often degraded or becomes non-functional. By inhibiting protein expression, the cause of many degenerative and neoplastic diseases can be controlled.

In a study done in 2019, Raymond et al. (2019) found that ASOs are able to significantly delay the onset of prion diseases in mice by preventing the production of normal prion protein. The group of scientists first designed and screened ASOs complementary to mouse PrP mRNA and identified 2 potential ASOs. Mice were infected with prions and were introduced to ASOs via intracerebroventricular injections, directly delivering to their brains. They were injected either as prophylactic treatment, 14 days before infection and twice more every 2-3 month, or therapeutic intervention, at 120 days post infection which is near the onset of clinical symptom. By collecting brain samples and identifying ASO and PrP mRNA distribution using RT-PCR, both ASOs are proved to reduce PrP RNA. For instance, when given 500 μg, ASO 1 and ASO 2 reduced mRNA amount in the cortex to around 50% and 40% respectively. Moreover, prophylactic treatment extended mice survival by 61%-98% while therapeutic treatment extended survival by 55%.

Since 2012, various researches have approved of or trialled ASOs for treating spinal muscular atrophy, Huntington’s disease alongside other neurological indications. It is now in preclinical development for prion disease aim to lower PrP expression in the brain (Reidenbach et al., 2019).

Challenges and possible solutions

Despite the apparent potential of these therapeutics in treating prion diseases, many challenges hinder the development of treatment against prion diseases.

Firstly, the inclusion of sizable homogenous patient cohorts in clinical trials is challenging (Baiardi, S. et al., 2023). Prion diseases are extremely rare conditions, with an annual incidence of approximately 2 cases per million people, which is heightened by the fact that prion diseases are ‘phenotypically heterogenous’, with several disease subtypes. This limits therapeutic trials to only be able to include a small group of patients, which might lead to unreliable conclusions, often due to risks of false positives or false negatives or biases.

Moreover, the nature of prion diseases makes developing treatment difficult. Although early symptoms vary widely, most cases rapidly advance into progressive dementia with an average duration of less than half a year (Goldman & Vallabh, 2022). This results in significant neurological damage by the time of diagnosis, which leaves a narrow window for therapeutic intervention, therefore making early diagnosis and developing treatment difficult. Prion disease also includes a highly heterogeneous spectrum of phenotypes. The most common prion disease, CJD comprises six subtypes, each with distinct characteristics, structure and clinical trajectories such as disease duration, regional distribution and neurotoxicity (Baiardi, S. et al., 2023). This complicates treatment and research of prion diseases as specificity must be achieved.

Furthermore, several challenges also arise in employing the therapeutics. For instance, the main limitation of employing monoclonal antibodies-based treatment is the cost. As of 2020, A. San-Juan-Rodriguez, et al. (2020) estimated that the average annual price of monoclonal antibody therapies used in US was $96,731, contributed by the complex and costly manufacturing process. For example, scientists need to ensure a stable cell line that is uncontaminated and tailored for optimal productivity by using genetic engineering techniques. Developing monoclonal antibodies is also not cost-effective, highlighted by the fact that many monoclonal antibody drugs fail during phase III clinical trials. Between 2014 2019, 21 candidates reached Phase III but were discontinued due to factors such as a lack of sufficiently rigorous trial design and incomplete understanding of disease pathway (Sun, A., Benet, L. Z, 2020). Therefore, the expensive and lengthy production process postpones the availability of new treatments for patients, worsened by the rapid progression of prion disease.

However, with challenges come solutions.

To tackle the problem of a low disease prevalence and small population for clinical trials, the International Rare Diseases Research Consortium (IRDiRC) Small Population Clinical Trials Task Force suggests that trials should be long enough to ensure adequate assessment of long-term outcomes or to implement multi-arm trials that incorporate several treatments in several treatment arms to enhance efficiency (Day, S., Jonker, A.H., Lau, L.P.L. et al., 2018). By applying these measures, treatment for prion diseases can be developed despite having a small population of patients. Moreover, the IRDiRC itself aims to promote international collaboration in rare disease research and development. By pooling resources and data across countries, advancement in prion research can be accelerated. In 2024, researchers led by Johnathan Weissman of the Whitehead Institute and Sonia Vallabh of the Broad Institute have developed CHARM, a single intravenous injection that can be delivered across the brain in mice and eliminate more than 80% of the prion protein using gene-silencing (Friar, G, 2024). Despite not being an international

collaboration, this project reflects the success of a collaboration, which can only be amplified when scientists from across the globe come together to find solutions for prion diseases.

Furthermore, many new therapeutics and strategies against prion diseases are being researched or tested. According to Rossi et al. (2020), the real-time quaking-induced conversion (RT-QulC) assay has potential to improve the early diagnosis of neurogenerative diseases when performance on more accessible specimens is tested and different subtypes of diseases can be identified. RT-QulC is a highly sensitive and specific in vitro assay that can detect very low amounts of PrP-Sc aggregates and has been proven successful in identifying misfolded forms of prion proteins from the cerebrospinal fluid of patients with CJD (Dong & Satoh, 2021). By mixing the sample with healthy recombinant protein, the sample containing prions acts as a ‘seeding’ to induce normal proteins to misfold. The misfolded protein aggregates and is bound to a fluorescent dye, therefore the results can be monitored (Green A. J. E., 2019). Results obtained in several laboratories with the first generation of this assay used a full-length hamster recombinant prion protein as substate demonstrated a 73-100% sensitivity and a 98-100% specificity in CJD (Rossi et al., 2020). Dong and Satoh (2021) believe by improving the ability of RT-QulC to distinguish between sCJD subtypes, expanding testing to tissues with minimal intervention and standardizing and manufacturing the recombinant substrate on a large scale, it can become a powerful tool used in early diagnosis treatment for prion diseases. Medd and Cao (2024) also proposed using CRISPR to prevent prion diseases in high-risk individuals who have a family history of fCJD and sCJD. By introducing one or two nucleotide substitutions in the chromosome of the 20th pair, a PRNP gene polymorphism can be induced, which grants immunity to prion diseases in high-risk individuals. Currently, six treatments of prion diseases have been advanced to the stage of clinical evaluation: flupirtine, quinacrine, doxycycline, pentosan polysulfate, monoclonal antibody PRN100, and antisense oligonucleotides, which is very promising.

Lastly, known therapeutics are also being improved. Grand Challenges (2024) is calling for proposals worldwide to achieve $10 per gram of mABs, which extends effective treatment for low- and middleincome countries. They have highlighted several advances that can lower the production cost of mABs in their white paper. Due to the high cost of mABs production from Chinese hamster ovary cells (CHO), non-mammalian hosts such as yeasts, fungi and plants are being pursued as alternatives. The yeast Pichia pastoris has been widely used for industrial production of proteins, due to its ability to grow to very high cell densities and only requiring methanol as a cheap growth substrate. However, wide-type Pichia produces glycoproteins with high mannose content, which removes the antibodies’ ability to bind to specific antigens. Significant glycoengineering has been performed to introduce gene-encoding enzymes that would produce antibodies with human glycosylation patterns, making it an effective therapeutic. Currently, Eptinezumab, one full-length antibody produced in Pichia has been approved by the FDA. By further characterising the yeast’s gene to target PrP-Sc and increase antibody yield, Pichia can become a cost-effective platform for mABs production against prion diseases.

Conclusion

Prion diseases are rapidly progressing and fatal neurodegenerative diseases. No cure has been found despite significant efforts in research over the last few decades. Development of treatment is greatly hindered by challenges such as low incidence of diseases, rapid clinical progression and cost. Nonetheless, emerging therapeutics and research discoveries such as mABs, dendrimers and ASOs are currently paving the way for effective treatment, demonstrating promising statistics concerning lowering levels of PrP-SC and slowing disease progression. Through continued research and improvements, namely developing early diagnosis, reducing cost for therapeutic development and fostering global collaboration, the prospect of a cure is becoming increasingly attainable.

Bibliography

Baiardi, S., Mammana, A., Capellari, S., & Parchi, P. (2023). Human prion disease: molecular pathogenesis, and possible therapeutic targets and strategies. Expert Opinion on Therapeutic Targets, 27(12), 1271–1284. https://doi.org/10.1080/14728222.2023.2199923

Chabre, Y. M., & Roy, R. (2010). Design and Creativity in Synthesis of Multivalent Neoglycoconjugates. Advances in Carbohydrate Chemistry and Biochemistry, 63, 165-393. https://doi.org/10.1016/S0065-2318(10)63006-5

Cleveland Clinic. (2024) Fatal Familial Insomnia: Symptoms, Causes & Outlook. https://my.clevelandclinic.org/health/diseases/25001-fatal-familial-insomnia

Day, S., Jonker, A.H., Lau, L.P.L. et al. Recommendations for the design of small population clinical trials. Orphanet J Rare Dis 13, 195 (2018). https://doi.org/10.1186/s13023-018-0931-2

Di Fusco, D., Dinallo, V., Marafini, I., Figliuzzi, M. M., Romano, B., & Monteleone, G. (2019). Antisense Oligonucleotide: Basic Concepts and Therapeutic Application in Inflammatory Bowel Disease. Frontiers in Pharmacology, 10, 440751. https://doi.org/10.3389/fphar.2019.00305

Dong, T., & Satoh, K. (2021). The Latest Research on RT-QuIC Assays—A Literature Review. Pathogens, 10(3), 305. https://doi.org/10.3390/pathogens10030305

Eghiaian, F., Grosclaude, J., Lesceu, S., Debey, P., Doublet, B., Tréguer, E., Rezaei, H., & Knossow, M. (2004). Insight into the PrPC-->PrPSc conversion from the structures of antibody-bound ovine prion scrapiesusceptibility variants. Proceedings of the National Academy of Sciences of the United States of America, 101(28), 10254–10259. https://doi.org/10.1073/pnas.0400014101

Friar, G. (2024, June 27). A therapy candidate for fatal prion diseases turns off disease-causing gene. Broadinstitute. https://www.broadinstitute.org/news/therapy-candidate-fatal-prion-diseases-turnsdisease-causing-gene

Genetic Science Learning Center, Univeristy of Utah. (n.d.) Prions. https://learn.genetics.utah.edu/content/basics/prions/

Goldman, J. S., & Vallabh, S. M. (2022). Genetic counseling for prion disease: Updates and best practices. Genetics in Medicine, 24(10), 1993-2003. https://doi.org/10.1016/j.gim.2022.06.003

Green, A. J. E. (2018). RT-QuIC: a new test for sporadic CJD. Practical Neurology, 19(1), 49–55. https://doi.org/10.1136/practneurol-2018-001935

Hernandez, I., San-Juan-Rodriguez, A., Parekh, N., & Newman, T. (2018). Pricing of monoclonal antibodies in the United States. Global Journal on Quality and Safety in Healthcare, 1(1), 4. https://doi.org/10.4103/jqsh.jqsh_1_18

Ma, Y., & Ma, J. (2020). Immunotherapy against Prion Disease. Pathogens, 9(3), 216. https://doi.org/10.3390/pathogens9030216

McCarthy, J. M., Appelhans, D., Tatzelt, J., & Rogers, M. S. (2013). Nanomedicine for prion disease treatment: New insights into the role of dendrimers. Prion, 7(3), 198. https://doi.org/10.4161/pri.24431

Mead, S., Khalili-Shirazi, A., Potter, C., et al. (2022). Prion protein monoclonal antibody (PRN100) therapy for Creutzfeldt-Jakob disease: evaluation of a first-in-human treatment programme. The Lancet Neurology, 21(4), 342–354. https://doi.org/10.1016/S1474-4422(22)00082-5

Medd, M. M., & Cao, Q. (2024). Perspectives on CRISPR Genome Editing to Prevent Prion Diseases in High-Risk Individuals. Biomedicines, 12(8), 1725. https://doi.org/10.3390/biomedicines12081725

MedlinePlus Genetics (n.d.) PRNP Gene https://medlineplus.gov/genetics/gene/prnp/

Minikel, E. V. (2022). Results in from PRN100 antibody first-in-human dosing. Cureffi. https://www.cureffi.org/2022/03/17/prn100-first-in-human/

Moore, R. A., Taubner, L. M., & Priola, S. A. (2009). Prion Protein Misfolding and Disease. Current Opinion in Structural Biology, 19(1), 14. https://doi.org/10.1016/j.sbi.2008.12.007

Raymond, G. J., Zhao, H. T., Race, B., Raymond, L. D., Williams, K., Swayze, E. E., Graffam, S., Le, J., Caron, T., Stathopoulos, J., Lubke, L. L., Reidenbach, A. G., Kraus, A., Schreiber, S. L., Mazur, C., Cabin, D. E., Carroll, J. B., Minikel, E. V., Kordasiewicz, H., . . . Vallabh, S. M. (2019). Antisense oligonucleotides extend survival of prion-infected mice. JCI Insight, 4(16), e131175. https://doi.org/10.1172/jci.insight.131175

Reidenbach, A. G., Minikel, E. V., Zhao, H. T., Guzman, S. G., Leed, A. J., Mesleh, M. F., Kordasiewicz, H. B., Schreiber, S. L., & Vallabh, S. M. (2019). Characterization of the Prion Protein Binding Properties of Antisense Oligonucleotides. Biomolecules, 10(1), 1. https://doi.org/10.3390/biom10010001

Rinaldi, C., & Wood, M. J. (2018). Antisense oligonucleotides: The next frontier for treatment of neurological disorders. Nature Reviews Neurology, 14(1), 9-21. https://doi.org/10.1038/nrneurol.2017.148

Rossi, M., Candelise, N., Baiardi, S., Capellari, S., Giannini, G., Orrù, C. D., Antelmi, E., Mammana, A., Hughson, A. G., Calandra-Buonaura, G., Ladogana, A., Plazzi, G., Cortelli, P., Caughey, B., & Parchi, P. (2020). Ultrasensitive RT-QuIC assay with high sensitivity and specificity for Lewy body-associated synucleinopathies. Acta Neuropathologica, 140(1), 49. https://doi.org/10.1007/s00401-020-02160-8

Schuler K. (2019) Prion Hypothesis for CWD: An Examination of the Evidence. Cornell Wildlife Health Lab. https://cwhl.vet.cornell.edu/article/prion-hypothesis-cwd-examination-evidence

Seladi-Schulman, J., PhD. (2023). Prion Disease: Symptoms, Causes, Treatment, & Prevention. Healthline. https://www.healthline.com/health/neurological-health/prion-disease

Sun, A., & Benet, L. Z. (2020). Late-Stage Failures of Monoclonal Antibody Drugs: A Retrospective Case Study Analysis. Pharmacology, 105(3-4), 145–163. https://doi.org/10.1159/000505379

Supattapone, S., Wille, H., Uyechi, L., Safar, J., Tremblay, P., Szoka, F. C., Cohen, F. E., Prusiner, S. B., & Scott, M. R. (2001). Branched Polyamines Cure Prion-Infected Neuroblastoma Cells. Journal of Virology, 75(7), 3453. https://doi.org/10.1128/JVI.75.7.3453-3461.2001

UCL. (2021) Prions and Prion Disease

https://www.ucl.ac.uk/national-prion-clinic/prions-and-prion-disease

White Paper: Innovative Technical Approaches are Needed to Reduce the Cost of Antibody Production for Global Use. (2024).

https://gcgh.grandchallenges.org/sites/default/files/files/low-cost_mab_manufacturing_white_paper.pdf

Is maths invented or discovered: The language of thought and the universe

“God created the integers; all else is the work of man”
Leopold Kronecker

I. Abstract

Is maths within us, or is it a separate world? If the latter, how can we even begin to understand its nature? For centuries, mathematicians and philosophers have contended with the question of whether maths is invented or discovered. This essay will explore two key perspectives: Formalism and mathematical nativism. Formalism largely contends that maths is invented, a game with specific rules that can be manipulated, whereas mathematical nativism posits an argument that maths is both invented and discovered. This essay champions the latter as a more compelling argument, pitching the view that maths is a representation of natural phenomena that exist independently of the symbols invented for it.

II. Formalism

This essay will predicate the idea of math being invented on its being a man-made construct following axioms and definitions with no inherent meaning beyond its formal structure. Like chess, it is a game in which characters can be manipulated according to certain rules that do not immediately describe natural phenomena. Such is the crux of the formalist argument. Formalism is not a distinct argument but rather a school of thought or coalition of ideas that fall under the same basic principles (in this essay, loosely Hilbertian formalism) (Horsten, 2023)1. For a formalist, mathematics does not refer to anything beyond typographical symbols and the rules that define them.

a. Revision of geometry and arithmetic

Formalism is broadly based on five key elements, of which this essay will focus on three. Firstly, it revises the priority of two previously accepted classifications of mathematical sciences. From ancient times until the first half of the 19th century, mathematics was divided into two sciences: the science of magnitude (geometry) and the science of multitude (arithmetic), in which the former was considered more fundamental (Detlefsen, 2005)2. However, the formalist perspective reverses this; it contends that arithmetic and algebra are better represented as symbols, and that geometry can be represented in algebraic terms. For example, analytic or co-ordinate geometry is a branch of mathematic which uses algebraic methods to solve geometric problems: the most common co-ordinate system is the cartesian system where (x, y) is used for 2D co-ordinate geometry and (x, y, z) for 3D co-ordinate geometry (Mark, 2007)3. This lends itself to the formalist gospel of maths being a game of symbols.

b. Nonrepresentational role of language

The second, and arguably most crucial, idea in the formalist framework is the nonrepresentational role of language that challenges the traditional concept that mathematical symbols and expressions must represent something concrete. To the formalist, the utility of these expressions and symbols lies not in their connection with the real world but rather their internal coherence within the structure of maths. A striking example of this is the use of imaginary and complex numbers. The imaginary number i is the square root of negative one and may initially raise questions about its necessity – what purpose could there be for a negative square root besides aesthetics? (Powell, 2024)4. However, imaginary numbers have actual functions in real life and within the structure of maths – for example, Euler’s equation (Larson, 2017)5:

1 Horsten, Leon, "Philosophy of Mathematics", The Stanford Encyclopedia of Philosophy (Winter 2023 Edition), Edward N. Zalta & Uri Nodelman (eds.)

2 Michael Detlefsen, ‘Formalism’, in S. Shapiro (ed.), The Oxford Handbook of Philosophy of Mathematics and Logic (Oxford University Press, 2005): 236-317.

3 Mark, H., & Workman, J. (2007). Analytic Geometry: Part 1 – The Basics in Two and Three Dimensions. Chemometrics in Spectroscopy, (4), 71-76.

4 Andrew W. Powell, "What is an Imaginary Number? The Plane and Beyond," Journal of Humanistic Mathematics, Volume 14 Issue 2 (July 2024), pages 264-285. DOI: 10.5642/jhummath.FRCK6517.

5 Larson, Caleb (2017) "An Appreciation of Euler's Formula," Rose-Hulman Undergraduate Mathematics Journal: Vol. 18 : Iss. 1 , Article 17.

This equation elegantly connects a complex exponential to trigonometric functions, demonstrating that imaginary numbers are not just abstract symbols but essential tools for representing periodic phenomena, such as sine and cosine waves.

c. “creativism”

Comparable to free will, the third aspect of the formalist gospel examines a mathematician’s freedom to craft instruments of reasoning that align with their epistemic goals. This component of formalism frames maths as a creative activity; mathematicians invent or create formal systems rather than discovering pre-existing truths about nature. The existence of Euclidean (the most widely used system) and nonEuclidean geometry illustrates this point: Mathematicians such as Gauss (Halsted, 1900)6 and Bolyai explored a geometry that satisfied all of Euclid’s assumptions except for Euclid’s fifth postulate (Heath, 1926)7. Initially seen as entirely abstract, these geometries were later found to have an application in physics (e.g., general relativity). The fact that there is no singular foundation for maths, but rather given axioms that mathematicians can choose to accept, reinforces the formalist component that maths is a fixed system governed by set rules. However, Hilbert held a more instrumentalist view rather than purely creative – he argued these rules must ensure the consistency of their systems (Weir, 2025)8. For formalism to work, there can be no contradictions within the system, which limits creativism.

III. Limitations of Formalism

i. Gödel’s first incompleteness theorem

The first hurdle formalism faces to its argument is Gödel’s incompleteness theorem. Take the paradox “this statement is false.” If we accept that it is false, then it is true. If we accept that it is true, then it is false (Gödel, 1931)9. This is the basis of the incompleteness theorem. Gödel began by assigning mathematical statements to numbers so that a statement could be encoded in numbers (Raatikainen, 2022)10

For example, the statement “0 = 0” could be written as 151. To encode the statement as a single unique number, Gödel took the product of the first consecutive primes raised to the power of the corresponding list of numbers. So, “0 = 0” is written as 21×35×51, which equals 2430. Even proofs and metamathematical statements (statements about arithmetical formulas) can be given a Gödel number. In this way, he created a true mathematical statement that cannot be proved. This directly contradicts Hilbert’s program, in which Hilbert aimed to reduce maths into a complete, consistent system, as it proved that in any given mathematical structure, there would be true, unprovable statements and that the consistency of a system cannot be proven within itself. Thus, the first component of formalism cannot be entirely true because of Gödel’s first incompleteness theorem: it calls into question the consistency and completeness of entirely arithmetic mathematical systems.

6 Halsted, G. B. (1900). Gauss and the Non-Euclidean Geometry. The American Mathematical Monthly, 7(11), 247–252. https://doi.org/10.2307/2968396

7 Heath, T. L. (1926). The thirteen books of Euclid's Elements (Vols. 1–3). Cambridge University Press.

8 Weir, A. (2025). Formalism in the philosophy of mathematics. In E. N. Zalta & U. Nodelman (Eds.), The Stanford encyclopedia of philosophy (Spring 2025 edition). Stanford University..

9 Gödel, K. (1931). On formally undecidable propositions of Principia Mathematica and related systems (pp. 175–176). University of Cincinnati.

10 Raatikainen, Panu, "Gödel’s Incompleteness Theorems", The Stanford Encyclopedia of Philosophy (Spring 2022 Edition), Edward N. Zalta (ed.)

Figure 1

ii. The intrinsic meaning of maths in nature

Contrary to Hilbert’s assertion that maths has no inherent meaning, many mathematical symbols and patterns frequently appear in nature, suggesting that maths has an intrinsic connection to the natural world (Marples, 2022)11. For example, the golden ratio (��=1.61803…) is the factor by which the radius of each turn of spiral galaxies increases and can also be traced to the flight paths of insects and birds (Boyadzhiev, 1999)12. Graphene is the strongest material measured, 200 times the strength of steel (Mbayachi, 2021)13, and is so due to the hexagonal arrangement of its atoms: hexagons are made up of 6 equilateral triangles, which are the strongest shapes in the universe as any force applied to a triangle edge is evenly distributed to its other edges (Ju, 2011)14. Hexagons also appear in honeycombs, columns of basalt from volcanic eruptions such as the Giant’s Causeway in Ireland, and snowflakes. These examples indicate that nature is governed by mathematical principles like geometric shapes. They challenge the formalist view that maths is a game without inherent meaning and show that maths has a direct relationship to the physical world.

IV. Mathematical Nativism

Mathematical nativism is the argument that humans are innately equipped with a disposition to understand mathematical concepts such as patterns, quantities, and numbers. Thus, it implies that the way we label and conceptualise things mathematically mirrors our neural pathways. In essence, this argument champions that maths is both invented and discovered, as it argues that the way we label and conceptualise maths is invented, but that the way we are inherently suited to understanding the language of maths is discovered as we learn to recognise and articulate mathematical concepts. Innate numerical disposition.

Research has found that humans have an innate disposition to understanding numerical systems – that is to say, our brains are wired with the tools to understand maths. From infancy, we have a “number sense” (Skagenholt, 2025)15 - an ability to perceive and estimate quantities without any formal education, and this ability to distinguish between magnitudes lays the groundwork for more sophisticated maths. Furthermore, certain regions of the brain have been identified to be involved in mathematical estimation, such as the intraparietal sulcus and prefrontal cortex (Lorenzi, 2025)16. This highlights a neural basis for mathematical cognition, which shows that there must be a pre-existing language that the brain is wired to decode. Moreover, this is not limited to humans – research indicates that crows can produce certain numbers of vocalisations (Liao, 2024)17 in response to visual cues, suggesting an understanding of different magnitudes (Pantsar, 2021)18. This mirrors infants’ enumeration skills before having the language to describe numbers.

11 Marples, C. R., & Williams, P. M. (2022). The Golden Ratio in Nature: A Tour across Length Scales. Symmetry, 14(10), 2059. https://doi.org/10.3390/sym14102059

12 Boyadzhiev, K. N. (1999). Spirals and Conchospirals in the Flight of Insects. The College Mathematics Journal, 30(1), 23–31. https://doi.org/10.1080/07468342.1999.11974025

13 Mbayachi, V. B., Ndayiragije, E., Sammani, T., Taj, S., Mbuta, E. R., & Khan, A. U. (2021). Graphene synthesis, characterization and its applications: A review. Results in Chemistry, 3, 100163. https://doi.org/10.1016/j.rechem.2021.100163

14 Ju, J., & Summers, J. D. (2011). Compliant hexagonal periodic lattice structures having both high shear strength and high shear strain. Materials & Design, 32(2), 512-524. https://doi.org/10.1016/j.matdes.2010.08.029

15 Skagenholt, M., Skagerlund, K., & Träff, U. (2025). Numerical cognition across the lifespan: A selective review of key developmental stages and neural, cognitive, and affective underpinnings. Cortex, 184, 263-286. https://doi.org/10.1016/j.cortex.2025.01.005

16 Lorenzi, E., Kobylkov, D., & Vallortigara, G. (2025). Is there an innate sense of number in the brain? Cerebral Cortex, 35(2), bhaf004. https://doi.org/10.1093/cercor/bhaf004

17 Liao, D. A., Brecht, K. F., Veit, L., & Nieder, A. (2024). Crows “count” the number of self-generated vocalizations. Science. https://doi.org/adl0984

18 Pantsar, M. (2021). Objectivity in Mathematics, Without Mathematical Objects. Philosophia Mathematica, 29(3), 318-352. https://doi.org/10.1093/philmat/nkab010

i. Spatial reasoning

Einstein’s genius lay in his exceptional ability to visualise, relying on thought experiments rather than pure algebra, as formalism boils maths down to. His inclination to visualise abstract concepts provides a striking example of how spatial reasoning underpins mathematics. His scientific and mathematical insights provide examples of key traits of parts of the brain, for example, Einstein’s famous chasing the light thought experiment (Norton, 2013)19. Specifically, the parietal lobe is linked to mathematical reasoning. (Babliloni, 2006)20. Einstein once spoke of his cognition in an interview: “The physical entities which seem to serve as elements in thought are certain signs and more or less clear images which can be 'voluntarily' reproduced and combined. The above-mentioned elements are, in my case, of visual and some of muscular type." (Hadamard, 1996)21 This indicates the greatly visual and spatial nature of his mathematical cognition, which aligns with findings that the parietal lobe is involved in pattern recognition, spatial and geometric reasoning, all essential for mathematical understanding and innately wired into the brain.

ii. Mathematics as a language of thought

What do babies think before they learn language? Infants are found to respond to mathematical changes even before learning verbal counting skills. In a study in 2004 (Feigenson, 2004)22, 6-month-old babies were shown arrays of either 8 or 16 dots until their attention declined. They were then shown arrays of the opposite quantity. The babies looked longer at the new quantity, indicating they detected a change in number. This supports the concept that humans have early developing “number sense” and, therefore, innate numerical cognitive skills. It shows that the first sense of mathematical thinking babies develop is directly linked to the inherent meaning of maths in real life, unlike the argument of the second component of formalism. Thus, mathematical thinking exists in humans before formal education and is not dependent on language – symbols and numbers are cultural inventions, but the underlying mathematical concepts behind them are biologically hardwired into us. Consider the labels of the same mathematical symbol in different languages: the label for a single mathematical object in English is “one”, written as 1. In Arabic, this same concept is written as “١” or “ ”. These labels are both correct, as they both represent the same concept without a difference in meaning or application. However, the fact that different versions exist of the same concept indicates there is an underlying unchangeable mathematical language. Mathematical nativism is supported by the existence of mathematical thinking independent of language as maths is shown to be “discovered” as our brains develop, rather than purely learned, or invented as formalism champions it to be.

iii. The computational power of the brain

The brain operates through a complex system of some 86 billion neurons (Azevedo, 2009)23 allowing sophisticated information processing. This neural architecture allows for the abstraction and manipulation of mathematical concepts. Studies have shown that the brain employs specific logical frameworks to organise information efficiently which facilitates complex problem solving and pattern

19 Norton, J. D. (2013). Chasing the light: Einstein's most famous thought experiment. In J. R. Brown, M. Frappier, & L. Meynell (Eds.), Thought experiments in philosophy, science and the arts (pp. 123–140). Routledge

20 Babiloni, C., Vecchio, F., Miriello, M., Romani, G. L., & Rossini, P. M. (2006). Visuo-spatial Consciousness and Parieto-occipital Areas: A High-resolution EEG Study. Cerebral Cortex, 16(1), 37-46. https://doi.org/10.1093/cercor/bhi082

21 Hadamard, J., & Johnson-Laird, P. N. (1996). APPENDIX II: A TESTIMONIAL FROM PROFESSOR EINSTEIN. In The Mathematician’s Mind: The Psychology of Invention in the Mathematical Field (Vol. 109, pp. 142–143). Princeton University Press. http://www.jstor.org/stable/j.ctvzsmf1c.17

22 Feigenson, L., Dehaene, S., & Spelke, E. S. (2004). Core systems of number. Trends in Cognitive Sciences, 8(7), 307–314. https://doi.org/10.1016/j.tics.2004.05.002

23 Azevedo, A. C., Carvalho, R. B., Grinberg, L. T., Farfel, J. M., Ferretti, E. L., Leite, E. P., Filho, W. J., Lent, R., & Herculano-Houzel, S. (2009). Equal numbers of neuronal and nonneuronal cells make the human brain an isometrically scaled-up primate brain. Journal of Comparative Neurology, 513(5), 532-541. https://doi.org/10.1002/cne.21974 (this has been contested by Goriely, A. (2025). Eighty-six billion and counting: Do we know the number of neurons in the human brain? Brain, 148(3), 689-691. https://doi.org/10.1093/brain/awae390)

recognition – the centre of maths. For example, some studies suggest that cognitive functions, such as decision-making and mathematical reasoning, are structured in a way that reflects binary systems based on doubling (i.e., increases of factors of 2). This is called power-of-two permutation logic (Xie, 2016)24 and is like the binary system of 1s and 0s used by computers. Since many mathematical concepts, such as logarithms (Oxford, 2025)25 and exponential growth are rooted in powers of two, our brains are particularly suited to intuitively grasping these concepts. This suggests that these mathematical concepts we have discovered and developed work more intuitively for us.

Isaac Newton’s invention of differential calculus exemplifies the brain’s capacity to conceptualise complex mathematical ideas. In the late 17th century, Newton developed calculus as a framework to describe motion and change. (Norman, 2025)26. He used the symbol dx to describe an infinitesimal change in “x” - whilst this notation is invented, the physical phenomena of motion and, therefore, velocity, acceleration, and related concepts exist independently. Newton’s ability to abstract motion into algebraic expressions is an extension of how the brain naturally processes patterns – he discovered the relationships between motion and force, but the notation he used was completely invented. This functions as a rebuttal to the formalist argument because Newton’s invention was not an arbitrary construct for epistemic convenience but a necessary framework to express real-world phenomena.

iv. The limits of the brain

In Gödel’s incompleteness blackhole, the shaded region in Figure 2 represents the region of possible new ideas of solutions that have not been conceptualised yet or proven but exist in the mental “solution space” that the brain operates within (Acharjee, 2024)27. It essentially operates as a metaphor for the gap in which solutions to mathematical problems exist that are unattainable or not yet represented in formal mathematics. This inherently implies the existence of mathematical truths beyond our reach – maths we cannot discover due to cognitive restrictions - contrary to the formalist argument that maths is a creative system within which mathematicians can invent or manipulate symbols to their epistemic ends. As illustrated by Gödel’s incompleteness blackhole, there is a realm of maths that exists beyond human comprehension, to which formal answers cannot be invented.

24 Xie, K., Fox, G. E., Liu, J., Lyu, C., Lee, J. C., Kuang, H., Jacobs, S., Li, M., Liu, T., Song, S., & Tsien, J. Z. (2016). Brain Computation Is Organized via Power-of-Two-Based Permutation Logic. Frontiers in Systems Neuroscience, 10, 95. https://doi.org/10.3389/fnsys.2016.00095

25 University of Oxford. (n.d.). Lecture notes on logic. Mathematical Institute, University of Oxford.

26 Norman, J. M. (n.d.). First publication of Newton's early writings on the calculus. History of Information. Retrieved March 27, 2025

27 Acharjee, S., & Gogoi, U. (2024). The limit of human intelligence. Heliyon, 10(12), e32465. https://doi.org/10.1016/j.heliyon.2024.e32465

Figure 2

V. Conclusion

The debate over whether mathematics is invented or discovered hinges on the interplay between mental cognition and the natural world. Formalism, which asserts that maths is a game of symbols without intrinsic meaning, meets significant challenges when faced with natural patterns and phenomena, such as the golden ratio. Mathematical nativism, however, argues that humans are innately equipped to understand mathematical concepts. This is supported by the brain’s capacity to process numbers and patterns and for spatial reasoning. Ultimately, maths cannot be fully described as invented or discovered, but instead a dynamic interplay between the two: the invention of symbols and notation to describe discovered phenomena, a product of human creativity and our interaction with the natural world.

Bibliography (n.d.).

Acharjee, S. &. (2024). The Limit of Human Intelligence. Heliyon, 10(2). doi: https://doi.org/10.1016/j.heliyon.2024.e32465

Azevedo, A. C.-H. (2009). Equal numbers of neuronal and nonneuronal cells make the human brain an isometrically scaled-up primate brain. Journal of Comparative Neurology, 513(5), 532-541. doi: https://doi.org/10.1002/cne.21974

Babliloni, C. V. (2006). Visuo-spatial Consciousness and Parieto-occipital Areas: A High-resolution EEG Study. Cerebral Cortex, 16(1), 37-46. doi:https://doi.org/10.1093/cercor/bhi082

Boyadzhiev, K. N. (1999). Spirals and Conchospirals in the Flight of Insects. The College Mathematics Journal, 30(1), 23-31. doi:https://doi.org/10.1080/07468342.1999.11974025

Detlefsen, M. (2005). Formalism. In Detlefsen, & S. Shapiro (Ed.), The Oxford Handbook of Philosophy of Mathematics and Logic (pp. 236-317). Oxford University Press.

Feigenson, L. D. (2004). Core Systems of Number. Trends in Cognitive Sciences, 8(7), 307-314. doi: https://doi.org/10.1016/j.tics.2004.05.002

Gödel, K. (1931). On Formally Undecidable Propositions of Principia Mathematica and Related Systems. University of Cincinnati.

Hadamard, J. &.-L. (1996). APPENDIX II: A Testimonial from Professor Einstein. In J. &.-L. Hadamard, The Mathematician's Mind: The Psychology of Invention in the Mathematical Field (Vol. 109, pp. 142-143). Princeton University Press. Retrieved from http://www.jstor.org/stable/j.ctvzsmf1c.17

Halsted, G. B. (1900). Gauss and the Non-Euclidean Geometry. The American Mathematical Monthly, 7(11), 247-252. doi:https://doi.org/10.2307/2968396

Heath, T. L. (1926). The Thirteen Books of Euclid's Elements (Vols. 1-3). Cambridge: Cambridge University Press.

Horsten, L. (2023). Philosophy of Mathematics. (Stanford University) Retrieved from The Stanford Encyclopedia of Philosophy: https://plato.stanford.edu/archives/win2023/entries/philosophy-mathematics/

Ju, J. &. (2011). Compliant Hexagonal Periodic Lattice Structures Having Both High Shear Strength and High Shear Strain. Materials & Design, 32(2), 512-524. doi: https://doi.org/10.1016/j.matdes.2010.08.029

Larson, C. (2017). An Appreciation of Euler's Formula. Rose-Hulman Undergraduate Mathematics Journal, 18(1). Retrieved from https://scholar.rose-hulman.edu/rhumj/vol18/iss1/17

Liao, D. A. (2024). Crows "count" the Number of Self-Generated Vocalizations. Science. doi: https://doi.org/adl0984

Lorenzi, E. K. (2025). Is There an Innate Sense of Number in the Brain? Cerebral Cortex, 35(2). doi: https://doi.org/10.1093/cercor/bhaf004

Mark, H. &. (2007). Analytic Geometry: Part 1 - The Basics in Two and Three Dimensions. Chemometrics in Spectroscopy, 4, 71-76.

Marples, C. R. (2022). The Golden Ratio in Nature: A Tour across Length Scales. Symmetry, 14(10). doi:https://doi.org/10.3390/sym14102059

Mbayachi, V. B. (2021). Graphene Synthesis, Characterization, and Its Applications: A Review. Results in Chemistry, 3. doi:https://doi.org/10.1016/j.rechem.2021.100163

Norman, J. M. (2025, march 27). First publication of Newton's early writings on the calculus. (History of Information) Retrieved from https://historyofinformation.com/

Norton, J. D. (2013). Chasing the Light: Einstein's Most Famous Thought Experiment. In J. D. Norton, & J. R. Brown (Ed.), Thought Experiments in Philosophy, Science, and the Arts (pp. 123-140). Routledge.

Oxford, U. o. (2025). Lecture Notes on Logic. (Mathematical Institute, University of Oxford) Retrieved from https://www.maths.ox.ac.uk/

Pantsar, M. (2021). Objectivity in Mathematics, Without Mathematical Objects. Philosophia Mathematica, 29(3), 318-352. doi:https://doi.org/10.1093/philmat/nkab010

Powell, A. W. (2024). What is an Imaginary Number? The Plane and Beyond. Journal of Humanistic Mathematics, 14(2), 264-285. doi:10.5642/jhummath.FRCK6517

Raatikainen, P. (2022). Gödel’s Incompleteness Theorems. (Stanford University) Retrieved from The Stanford Encyclopedia of Philosophy: https://plato.stanford.edu/archives/spr2022/entries/goedelincompleteness/

Skagenholt, M. S. (2025). Numerical Cognition Across the Lifespan: A Selective Review of Key Developmental Stages and Neural, Cognitive, and Affective Underpinnings. Cortex, 184, 263-286. doi: https://doi.org/10.1016/j.cortex.2025.01.005

Weir, A. (2025). Formalism in the Philosophy of Mathematics. (E. N. Zalta, Editor, & Stanford University) Retrieved from The Stanford Encyclopedia of Philosophy: https://plato.stanford.edu/archives/spr2025/entries/formalism-mathematics/

Xie, K. F. (2016). Brain computation is organized via power-of-two-based permutation logic. Frontiers in Systems Neuroscience, 10. doi: https://doi.org/10.3389/fnsys.2016.00095

Turn static files into dynamic content formats.

Create a flipbook
Issuu converts static files into: digital portfolios, online yearbooks, online catalogs, digital photo albums and more. Sign up and create your flipbook.